Movatterモバイル変換


[0]ホーム

URL:


CN112660124A - Collaborative adaptive cruise control method for lane change scene - Google Patents

Collaborative adaptive cruise control method for lane change scene
Download PDF

Info

Publication number
CN112660124A
CN112660124ACN202011369769.2ACN202011369769ACN112660124ACN 112660124 ACN112660124 ACN 112660124ACN 202011369769 ACN202011369769 ACN 202011369769ACN 112660124 ACN112660124 ACN 112660124A
Authority
CN
China
Prior art keywords
vehicle
optimal
lane
changing
track
Prior art date
Legal status (The legal status is an assumption and is not a legal conclusion. Google has not performed a legal analysis and makes no representation as to the accuracy of the status listed.)
Granted
Application number
CN202011369769.2A
Other languages
Chinese (zh)
Other versions
CN112660124B (en
Inventor
田彦涛
聂光明
谢波
洪伟
曹轩豪
卢辉遒
Current Assignee (The listed assignees may be inaccurate. Google has not performed a legal analysis and makes no representation or warranty as to the accuracy of the list.)
Jilin University
Original Assignee
Jilin University
Priority date (The priority date is an assumption and is not a legal conclusion. Google has not performed a legal analysis and makes no representation as to the accuracy of the date listed.)
Filing date
Publication date
Application filed by Jilin UniversityfiledCriticalJilin University
Priority to CN202011369769.2ApriorityCriticalpatent/CN112660124B/en
Publication of CN112660124ApublicationCriticalpatent/CN112660124A/en
Application grantedgrantedCritical
Publication of CN112660124BpublicationCriticalpatent/CN112660124B/en
Activelegal-statusCriticalCurrent
Anticipated expirationlegal-statusCritical

Links

Images

Landscapes

Abstract

The invention relates to a cooperative self-adaptive cruise control method with a lane change auxiliary function, which mainly comprises the following steps: the method comprises the following steps: the method comprises the following steps that a piloted vehicle establishes a track changing track function with obstacle avoidance capacity according to the states before and after the vehicle changes the track and the critical collision condition; step two: the pilot vehicle calculates the optimal track change track of the vehicle under the critical collision condition according to the speeds of the own vehicle and the front vehicle, the geometric parameters of the vehicle body, the road parameters and the like; step three: the fleet tracks the optimal trajectory in accordance with the method of the present invention. The invention mainly has the following three innovation points: (1) providing an optimal track changing track calculation method with a collision avoidance function by combining a polynomial method and an optimization method; (2) the nonlinear queue model is established for the heterogeneous vehicles of the fleet, and compared with the traditional method, the method has the advantages that the fleet is simplified into the linear model and is closer to the reality; (3) the designed method can simultaneously ensure the stability of the transverse and longitudinal queues when the motorcade changes lanes.

Description

Collaborative adaptive cruise control method for lane change scene
Technical Field
The invention relates to a design of an advanced assistant driving system (ADAS), in particular to a design of a cooperative adaptive cruise control system control method (CACC) with a lane change assistant function.
Background
Nowadays, the holding capacity of vehicles is getting larger and larger, and a series of problems such as traffic jam, environmental pollution, frequent traffic accidents and the like are brought along with the holding capacity of vehicles. With the development of communication technology, the V2X technology is receiving more and more attention, wherein the collaborative adaptive cruise control has considerable development potential because it can form vehicles to run cooperatively, thereby greatly reducing energy consumption and accident rate during the running process of the vehicles.
The driving of the vehicle formation needs to meet various requirements, firstly, the safety is required, namely, the vehicles are required not to be collided; comfort, i.e. vehicle acceleration etc. cannot be too great; queue stability, i.e., errors upstream of the fleet do not scale up as they propagate downstream. According to the development of communication technology, vehicles in a fleet can obtain various information of a front vehicle, such as a desired track, a desired speed, an expected acceleration and the like of the front vehicle, and the information is fully utilized, so that the vehicles in the fleet can cooperatively advance, and the high efficiency and the safety of a traffic system are ensured.
At present, many researches on CACC systems are focused on the aspect of single-lane longitudinal driving, for example, summer, sunset and the like take traffic information as an available condition, a model prediction control method is adopted, riding comfort, fuel economy, safety and following performance are taken as targets to be optimized, and a cooperative adaptive cruise system method is designed by adding the restriction of the self capacity of a vehicle.
Compared with the situation of longitudinal movement, the situation of the motorcade is more complex when moving transversely, such as lane changing, overtaking and the like, and the transverse dynamics, the selection of lane changing safe routes, the transverse stability of the single vehicle, the queue stability and the like need to be considered. There is relatively little research currently being done to address this problem. Danruina et al, the Qinghua university, has designed a vehicle multi-target cooperative lane change assisted adaptive cruise control method, which can guarantee the tracking, comfort and safety requirements of the vehicle during lane change under the lane change condition, but only aims at the problem of single-vehicle lane change cruise and is not suitable for the motorcade lane change cruise scene (Chinese patent: CN201410033746.2, a vehicle multi-target cooperative lane change assisted adaptive cruise control method).
For a motorcade, firstly, a smooth lane change track which meets the requirements of safety and comfort needs to be planned in a lane change scene, then, motorcade vehicles track the track to run, and the vehicles in the motorcade can always track the expected track in the running process and always meet the requirements of safety, comfort, asymptotic stability and queue stability in the process.
Disclosure of Invention
The invention mainly solves the problem of team cooperative lane change under the condition of obstacles, and mainly comprises the following points:
firstly, designing a lane change track function with an obstacle avoidance function according to predefined states of a lane change starting part and a lane change ending part aiming at an obstacle lane change scene;
secondly, planning an optimal lane changing track of the pilot vehicle by using an optimization method under the condition of ensuring comfort and safety;
and thirdly, coordinating the actual running state of the motorcade vehicles by using a distributed model predictive control method, wherein the requirements of traceability, comfort, safety, asymptotic stability and queue stability are met.
In order to solve the technical problems, the invention adopts the following technical scheme:
a cooperative self-adaptive cruise control method with a lane change assisting function comprises the following steps:
the method comprises the following steps: the method comprises the following steps that a fleet firstly runs at a constant speed, a pilot vehicle determines the optimal lane changing time according to the longitudinal state of a lane changing starting point and a lane changing finishing point predefined by the vehicle and the road condition, and a lane changing track function with an obstacle avoiding function is designed:
defining the starting time of lane change as tiThe piloted vehicle state is
Figure BDA0002805740000000021
The termination time is tfThe piloted vehicle state is
Figure BDA0002805740000000022
Critical collision time tcThe piloted vehicle coordinate is (X)c,Yc) And establishing the following track changing track function with the obstacle avoiding function according to a polynomial method:
Figure BDA0002805740000000023
step two: the method comprises the following steps that a pilot vehicle calculates the optimal lane changing track of the vehicle under a critical collision condition according to the speeds of a self vehicle and a front vehicle, the geometric parameters of the vehicle body, the optimal lane changing time and the like, and an optimization method is adopted to obtain the optimal lane changing track by establishing a cost function with the minimum longitudinal comfort, the minimum transverse comfort and the minimum longitudinal distance during lane changing as an optimization target:
firstly, the optimal track-changing end time t needs to be determinedfAnd the distance dist between the vehicle and the front vehicle when changing the lane:
Figure BDA0002805740000000031
subject to
Eq.(1)
Figure BDA0002805740000000032
Figure BDA0002805740000000033
Figure BDA0002805740000000034
Figure BDA0002805740000000035
and then obtaining the optimal track changing tracks X (t) and Y (t) according to the obtained optimal track changing ending time and the optimal vehicle distance.
Step three: a distributed model prediction control method is designed to ensure the driving safety, tracking performance, comfort, gradual stability and queue stability of a motorcade;
the motorcade tracks the optimal track according to a given method, and designs a cooperative adaptive cruise control method with a lane change auxiliary function, which mainly comprises the following steps:
firstly, establishing a local optimal control method of a single vehicle, and ensuring safety, traceability and comfort:
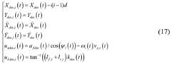
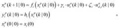
(1): establishing a nonlinear state space model aiming at a single vehicle i in a fleet:
Figure BDA0002805740000000036
(2): designing a local optimal control method to ensure safety, traceability and comfort:
For i∈{1,2,...,N}at time t
Figure BDA0002805740000000037
subject to
Figure BDA0002805740000000041
Figure RE-GDA0002965167160000042
Figure BDA0002805740000000043
Figure BDA0002805740000000044
Figure BDA0002805740000000045
Figure BDA0002805740000000046
Figure BDA0002805740000000047
(3): design distributed model predictive control method
Each vehicle simultaneously solves the corresponding local optimal control problem, and additional constraints are added for other vehicles except the pilot vehicle in the fleet
Figure RE-GDA0002920641700000047
σ ∈ (x, y) to guarantee queue stability.
The scheme of the invention has the following beneficial effects:
(1) the invention designs an optimal lane changing track aiming at the obstacle lane changing scene, so that the lane changing process can be smooth and comfortable and the safety is ensured;
(2) the local optimal method is established for the single vehicle in the motorcade, so that the tracking performance, the safety and the comfort of the single vehicle in the running process are ensured;
(3) the invention expands the bicycle control method into a distributed model predictive control method suitable for the motorcade, and ensures the asymptotic stability and the queue stability in the driving process of the motorcade.
Drawings
Fig. 1 is a schematic diagram of a lane change in an unobstructed scene.
Fig. 2 is a schematic diagram of lane change in an obstructed scene.
Fig. 3 is a diagram of a fleet topology.
FIG. 4 is a single track bicycle model.
Fig. 5 is a flow chart of method execution.
FIG. 6a is the running track of the fleet of vehicles at the initial speed of 15 m/s;
FIG. 6b is the running track of the fleet at the initial speed of 25 m/s.
FIG. 7a is the longitudinal speed variation of the fleet at the initial lane change speed of 15 m/s;
FIG. 7b is the longitudinal speed variation of the platoon at a lane change initial speed of 25 m/s.
FIG. 8a is the lateral velocity variation of the fleet at lane-change initial speeds of 15m/s (a) and 25m/s (b), respectively;
FIG. 8b shows the lateral velocity variation of the fleet at the lane-change initial speed of 15m/s (a) and 25m/s (b), respectively.
FIG. 9a is the longitudinal position deviation of the fleet at the initial lane change speed of 15 m/s;
FIG. 9b shows the longitudinal position deviation of the fleet at a lane-change initial speed of 25m/s (b).
FIG. 10a shows the lateral position deviation of the fleet at the lane-change initial speed of 15 m/s;
FIG. 10b shows the lateral position deviations of the fleet at initial lane change speeds of 25 m/s.
FIG. 11a shows absolute values of longitudinal position deviations of fleets at a lane change initial speed of 15m/s, respectively;
FIG. 11b shows absolute values of longitudinal position deviations of the fleet at initial lane change speeds of 25 m/s.
FIG. 12a shows the absolute values of lateral position deviations of the fleet at a lane-change initial speed of 15 m/s;
FIG. 12b shows the absolute values of the lateral position deviations of the fleet at a lane change initial speed of 25 m/s.
Detailed Description
The invention provides a cooperative self-adaptive cruise control method with a lane change auxiliary function, which comprises the following steps of: the method comprises the following steps: the method comprises the following steps that a piloted vehicle establishes a track changing track function with obstacle avoidance capacity according to the states before and after the vehicle changes the track and the critical collision condition; step two: the pilot vehicle calculates the optimal track change track of the vehicle under the critical collision condition according to the speeds of the own vehicle and the front vehicle, the geometric parameters of the vehicle body, the road parameters and the like; step three: and designing a distributed model prediction control method to control the fleet to track the planned optimal trajectory for running.
1) Establishing a track-changing track function with obstacle avoidance capability
FIG. 1 is a schematic view of a vehicle lane change without obstacles
LiAnd LfRespectively defining the states of the starting time and the ending time of the lane change of the piloting vehicles of the fleet as tiThe position coordinate of which is (X)i,Yi) The termination time is tfThe position coordinate of which is (X)f,Yf). The path planning in the course of changing the path is to find a path from LiTo LfThe constraint condition to be satisfied by the curve is the moving state parameters of the vehicle at the lane change starting position and the lane change ending position, namely the lane change initial state
Figure BDA0002805740000000061
Lane change termination state
Figure BDA0002805740000000062
The lane change initial state and the lane change termination state have 12 parameters, and the solution of 12 unknowns can be satisfied, so that a fifth-order polynomial can be used to represent the transverse position x (t) and the longitudinal position y (t) of the vehicle, namely:
Figure BDA0002805740000000063
and substituting the state values before and after the lane change of the vehicle into the formula to determine the lane change track.
Fig. 2 is a schematic view of a lane-changing scene with obstacles. The obstacle in the figure refers to a vehicle with a relatively slow speed in front of the vehicle fleet.
The states of the vehicles with slower speeds in front of the motorcade at the beginning and the end of the corresponding lane change in the definition map are respectively PiAnd Pf. To avoid a collision and to ensure safety, a critical collision state during lane change is considered, namely at tcAt the moment, the front right angle of the piloting vehicle of the fleet is the same as the longitudinal position of the rear left angle of the vehicle in front of the fleet, the transverse displacement of the piloting vehicle is the width W of the vehicle in front of the fleet, and the transverse displacement and the longitudinal displacement are monotonically increased when the vehicles change lanes, so that the piloting vehicle only needs to be used at tcNo collision occurs at all times and no collision occurs later. L iscAnd PcRespectively, states of a fleet pilot vehicle and a fleet front vehicle at the critical collision moment. The critical state satisfies the following equation:
Figure BDA0002805740000000064
where x iscAnd ycRespectively carrying out longitudinal displacement and transverse displacement from the initial lane change moment of the pilot vehicle to the critical collision moment;
Figure BDA0002805740000000065
longitudinal displacement of a vehicle in front of a fleet from an initial lane changing moment to a critical collision moment; wpAnd LpRespectively the width and length of the front vehicle of the fleet; dist is the distance between two vehicles at the time of lane change;
Figure BDA0002805740000000066
for piloting the vehicle at tcA yaw angle of a moment; h is the half length of the diagonal line of the piloted vehicle; alpha is the included angle between the diagonal line of the piloting vehicle and the longitudinal center line of the vehicle body.
Figure BDA0002805740000000067
In the actual track change, the transverse velocity is generally much smaller than the longitudinal velocity, so psic< α, where the critical collision equation can be rewritten as:
Figure BDA0002805740000000071
in consideration of the critical collision condition required to be met during vehicle trajectory planning, a certain parameter to be determined needs to be added on the basis of collision-free lane change trajectory planning, and in order to take account of both lane change timeliness and comfort, only the high-order term of the longitudinal motion equation is added. Therefore, the adjustment equation (8) is:
Figure BDA0002805740000000072
2) calculating optimal track change track of vehicle
The text sets the fleet first
Figure BDA0002805740000000073
At constant speed for a period of time, at tiAt time t, the lane change is startedfThe time of lane change is over, and then
Figure BDA0002805740000000074
And (5) driving at a constant speed for a period of time. The state of the vehicle at the beginning and end of lane change position can be represented as
Figure BDA0002805740000000075
And
Figure BDA0002805740000000076
the parameters of the body of the piloted vehicle and of the vehicles ahead of the fleet and the predefined states during the lane change are shown in table 1, where the parameters are known, it is determined that the lane change is to be madeTime of track tfAnd the inter-vehicle distance dist between the pilot vehicle and the front vehicle, and the following optimal problems are established by taking the two variables as free variables:
Figure BDA0002805740000000077
subject to
Eq.(12)
Figure BDA0002805740000000078
Figure BDA0002805740000000079
Figure BDA00028057400000000710
Figure BDA00028057400000000711
where w is1,w2,w3,w4,w5Is a weight coefficient, penalty function J (dist),tf) The device is used for ensuring the comfort of the track changing process in the transverse direction and the longitudinal direction, and simultaneously requires that the distance in the longitudinal direction of the track changing process is as small as possible.
Determining the optimal track-changing time t at different speedsfAnd the optimal distance dist, the optimal track changing tracks X (t) and Y (t) of the vehicle are determined. Table 1 shows the relevant parameters used in the planning process, respectively
Figure BDA0002805740000000081
And
Figure BDA0002805740000000082
two sets of comparison experiments are carried out to plan the optimal path and the transverse and longitudinal speedsThe changes are shown in the relevant curves in fig. 6, 7 and 8 respectively.
3) Design distributed model predictive control method
(1) System model
As shown in FIG. 3, in order to ensure the real-time performance of the method, the present invention adopts a relatively common single-track bicycle model for a single vehicle i in a fleet.
The state of each vehicle is defined here as:
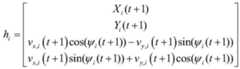
Figure BDA0002805740000000083
the output is as follows:
Figure BDA0002805740000000084
control amount: u. ofi(t)=[ua,i,uδ,i]TAmount of interference
Figure BDA0002805740000000085
Here, the
Figure BDA0002805740000000086
And
Figure BDA0002805740000000087
respectively, the longitudinal and transverse speeds of the vehicle in the world coordinate system, then we can obtain the state space form of each vehicle as:
Figure BDA0002805740000000088
here, the
Figure BDA0002805740000000089
And
Figure BDA00028057400000000810
are all twice continuously differentiable and can be used,
Figure BDA0002805740000000091
m in the above formulaiAs vehicle mass, vx,iAnd vy,iThe velocities in the direction of the vehicle body and perpendicular thereto, respectivelyiIs the yaw angle of the vehicle, /)f,iAnd lr,iRespectively, the distance, omega, between the center of mass of the vehicle and the centers of the front and rear wheelsiIs angular velocity, IiIs the moment of inertia of the vehicle, CfAnd CrCornering stiffness, alpha, of front and rear wheel tyres respectivelyf,iAnd alphar,iSlip angles, delta, of front and rear wheels, respectivelyiAs a steering angle of the vehicle, aiAnd ua,iThe actual acceleration of the vehicle i in the direction of the vehicle body and the control variable u given by the controllerδ,iIs the desired angle of rotation, T, given by the controllera,iAnd Tδ,iThe delay times of the engine and the steering system actuators, respectively.
As shown in fig. 4, the first vehicle provides a reference track, and following vehicles in the fleet of vehicles can receive information of the first vehicle and the vehicles in the vicinity of the first vehicle. The fleet's state, output, input function and interference function are defined as:
Figure BDA0002805740000000092
the discrete dynamics equation of the fleet at this time is as follows:
Figure BDA0002805740000000093
here, the
Figure BDA0002805740000000094
Υ=diag{γ1,...,γN},Z=diag{ζ1...ζN},
Figure BDA0002805740000000095
(2) Control target
Safety: safety is the central importance of the vehicle during driving and is used in the literature [3]"triangle area criterion" in (1) to avoid collision, as shown in FIG. 2, the ith vehicleAre respectively provided with four corners of { Ai,Bi,Ci,DiAccording to this rule, the constraint condition for avoiding collision can be expressed as follows:
Figure BDA0002805740000000096
where i, k — p indicates a vehicle with a low vehicle speed ahead of the vehicle group.
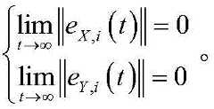
Traceability: here, it is mainly meant that the lateral and longitudinal position errors approach zero, i.e.
Figure BDA0002805740000000097
Queue stability: queue stability means that the position error and the like of upstream vehicles of a fleet caused by interference are smaller and smaller when the upstream vehicles are propagated downstream, namely
Figure BDA0002805740000000101
Where α isX,i≤1,αY,i≤1。
(3) Method design
A distributed nonlinear model predictive control method is employed herein. The method can solve the problem of multi-constraint control, and is suitable for the control problems with various requirements such as safety, stability, comfort, economy and the like of vehicle movement.
Defining the expected output of the ith vehicle in the fleet as
Figure BDA0002805740000000102
The desired control amount is udes,i(t)=[uades,i,uδdes,i]T
In the running process of the vehicles, a fixed vehicle distance strategy is adopted, namely the expected vehicle distance between the vehicles is a fixed value d, and the expected output and the expected control quantity of each vehicle in the fleet can be obtained by combining the planned track.
Figure BDA0002805740000000103
Where X isdes(t),Ydes(t) are respectively the planned desired lateral and longitudinal positions,
Figure BDA0002805740000000104
is the planned desired transverse longitudinal speed, aXdes(t) is the projected lateral expected acceleration,
Figure BDA0002805740000000105
is the planned expected path curvature, and in order to meet the actual lane change requirement of the vehicle in the experiment, the rotation angle value is specified to be positive anticlockwise and negative clockwise.
(4) Local optimal control problem
An optimal control problem for a single vehicle within the prediction horizon [ t, t + p-1] is first analyzed.
Here, it is defined that:
Figure BDA0002805740000000106
the output and the control amount used in prediction are respectively.
Figure BDA0002805740000000107
The assumed output and control amount are actually the optimum amount calculated in one step in the preceding vehicle.
Figure BDA0002805740000000108
And solving the optimal quantity obtained by the optimization problem.
Optimizing the problem:
For i∈{1,2,...,N}at time t
Figure BDA0002805740000000111
subject to
Figure BDA0002805740000000112
Figure BDA0002805740000000113
Figure BDA0002805740000000114
Figure BDA0002805740000000115
Figure BDA0002805740000000116
Figure BDA0002805740000000117
Eq.(15)
the constraints on the control amount here include both acceleration limit for ensuring driver comfort and turning angle limit depending on the physical limitations of the vehicle tires.
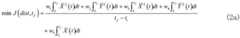
Defining a loss function:
Figure BDA0002805740000000118
here Qi≥0,Ri≥0,Fi≥0,GiNot less than 0 is a weight coefficient, D ═ D,0,0,0]T
(5) Distributed model prediction control method
The previous subsection introduces the local optimal control problem of a single vehicle, and the section expands the local optimal control problem to the whole fleet to establish a distributed model predictive control method.
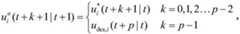
1 deg. initialization.
At the moment t is 0, each vehicle in the fleet is defined to run at an initial expected speed at a constant speed, and the expected distance d between the vehicles is maintained, so that the initial state x of each vehicle can be obtainedi(0) And initial input ui(0)=[0,0]T. Then we can get the assumed control quantity and output that vehicle i transmits to other vehicles at the initial time as:
Figure BDA0002805740000000119
where y isip(k |0) can be obtained from the following equation:
Figure BDA0002805740000000121
2 degree DMPC method iteration
For any time t > 0, vehicles i in the fleet perform the following steps:
step one, a vehicle i is based on the current state xi(t), currently assuming output
Figure BDA0002805740000000122
And the received assumed output of vehicle i-1
Figure BDA0002805740000000123
To solve its local optimal control problem and obtain optimal control sequence
Figure BDA0002805740000000124
The following two points need to be noted in the solving process:
A. for vehicle i-1, the assumed output of the preceding vehicle received by the vehicle is the expected output planned within time [ t, t + p-1]
[ydes(t),ydes(t+1)...ydes(t+p-1)]。
B. For vehicle i-2, 3n, additional constraint conditions need to be satisfied in the solution process compared to the first vehicle i-1
Figure BDA0002805740000000126
Here σ ∈ (x, y).
And step two, solving the optimal state and outputting by using the optimal control sequence obtained in the previous step:
Figure BDA0002805740000000127
step three, calculating assumed output
Figure BDA0002805740000000128
First calculate the hypothetical input
Figure BDA0002805740000000129
The hypothetical control output is then calculated:
Figure BDA00028057400000001210
taking the first item of the optimal control sequence as a control input:
Figure BDA00028057400000001211
step five, returning to 1) iterative calculation until t is t +1stop
(6) Simulation experiment results
In order to verify the effectiveness of the method of the present invention, simulation result graphs of the method are shown in FIGS. 6-12, wherein (a) and (b) represent driving conditions of the vehicle team under the two conditions of lane changing initial speed of 15m/s and 25m/s, respectively. In the figure 6, the operation track of the piloted vehicles of the fleet is almost completely overlapped with the planned optimal track changing track, the subsequent vehicles also completely track the respective expected tracks, and the track in the whole tracking process is smooth and has no collision phenomenon; FIG. 7 is a diagram of longitudinal speed variation during lane change, and it can be seen from the diagram that the absolute value of the speed deviating from the expected speed in two speed cases is about 0.004m/s at most, which is almost ignored relative to the speed per se, and the whole longitudinal driving process is very stable; FIG. 8 is a comparison graph of lateral velocity changes of the fleets at two initial velocities, and it can be seen that the lateral velocity tracking effect is very good; fig. 9 and fig. 10 are actual values of the longitudinal and lateral position deviation between the fleet vehicle and the adjacent front vehicle in two speed situations, respectively, and it can be seen from the figures that the inter-vehicle distance error between the second vehicle and the lead vehicle in the fleet is opposite to the change situation of the lateral and longitudinal tracking error value between the vehicle behind the fleet vehicle and the adjacent front vehicle, because each vehicle must not only track the adjacent front vehicle when solving its local optimum function, but also consider the tracking expected trajectory, and therefore the following vehicle will generate the "compensation" effect on the premise of ensuring safety when the second vehicle tracks the lead vehicle and generates the position deviation; fig. 11 and 12 show absolute values of the lateral and longitudinal tracking errors of the fleet at two speeds, which are used for verifying whether the fleet meets the stability of the fleet during the running process, and it can be seen from the figures that the absolute values of the tracking errors in both the longitudinal and the lateral directions at the two speeds are smaller and smaller along with the increase of the serial number of the vehicle, which proves that the fleet meets the stability of the fleet during the running process.
TABLE 1 vehicle-related vehicle parameters in a fleet of vehicles
mi(kg)lf,i(m)lr,i(m)Ii(kg·m2)τa,i(s)τδ,i(s)
117511.221.732583.30.730.73
215061.151.652111.10.650.65
318911.271.762869.20.770.77
416991.211.712480.00.710.71
519591.291.793012.40.790.79
612551.081.581664.80.580.58
TABLE 2 parameters used in the trajectory planning procedure
Figure BDA0002805740000000131
Figure BDA0002805740000000141

Claims (1)

Translated fromChinese
1.一种具有换道辅助功能的协同自适应巡航控制方法,包括步骤如下:1. A collaborative adaptive cruise control method with a lane change assist function, comprising the following steps:步骤一:车队首先匀速行驶,领航车辆根据自车预定义换道起点和终点纵向状态和道路情况确定最优换道时间,设计具有避障功能的换道轨迹函数:Step 1: The team first drives at a constant speed, and the leading vehicle determines the optimal lane-changing time according to the longitudinal state of the pre-defined lane-changing starting point and ending point and road conditions, and designs a lane-changing trajectory function with obstacle avoidance function:定义换道开始时刻为ti,领航车辆状态为
Figure RE-FDA0002920641690000011
终止时刻为tf,领航车辆状态为
Figure RE-FDA0002920641690000012
临界碰撞时刻为tc,领航车辆坐标为(Xc,Yc),根据多项式法建立如下具有避障功能的换道轨迹函数:Define the start time of lane change as ti , and the state of the leading vehicle as
Figure RE-FDA0002920641690000011
The termination time is tf , and the state of the leading vehicle is
Figure RE-FDA0002920641690000012
The critical collision moment is tc , the coordinates of the leading vehicle are (Xc , Yc ), and the following lane-changing trajectory function with obstacle avoidance function is established according to the polynomial method:
Figure RE-FDA0002920641690000013
Figure RE-FDA0002920641690000013
步骤二:领航车辆根据自车和前车车速、车身几何参数以及最优换道时间等在临界碰撞条件下计算车辆最优换道轨迹,计算车辆最优换道轨迹;Step 2: The leading vehicle calculates the optimal lane-changing trajectory of the vehicle under critical collision conditions according to the speed of the vehicle and the preceding vehicle, the geometric parameters of the vehicle body, and the optimal lane-changing time, and calculates the optimal lane-changing trajectory of the vehicle;首先需要确定最优换道结束时刻tf以及换道时与前车间距dist:First, it is necessary to determine the optimal lane change end time tf and the distance dist from the preceding vehicle when changing lanes:
Figure RE-FDA0002920641690000014
Figure RE-FDA0002920641690000014
subject tosubject toEq.(1)Eq.(1)
Figure RE-FDA0002920641690000015
Figure RE-FDA0002920641690000015
Figure RE-FDA0002920641690000016
Figure RE-FDA0002920641690000016
Figure RE-FDA0002920641690000017
Figure RE-FDA0002920641690000017
Figure RE-FDA0002920641690000018
Figure RE-FDA0002920641690000018
而后再根据得到的最优换道结束时间以及最优车间距可以得到最优换道轨迹X(t)和Y(t);Then, according to the obtained optimal lane-changing end time and optimal vehicle spacing, the optimal lane-changing trajectories X(t) and Y(t) can be obtained;步骤三:车队依据给出的方法跟踪该最优轨迹,设计具有换道辅助功能的协同自适应巡航控制方法,主要包含以下步骤:Step 3: The team tracks the optimal trajectory according to the given method, and designs a collaborative adaptive cruise control method with lane-changing assist function, which mainly includes the following steps:(1):针对车队中单个车辆i建立其非线性状态空间模型:(1): Establish its nonlinear state space model for a single vehicle i in the fleet:
Figure RE-FDA0002920641690000021
Figure RE-FDA0002920641690000021
(2):设计局部最优控制问题(2): Designing local optimal control problems
Figure RE-FDA0002920641690000022
Figure RE-FDA0002920641690000022
Figure RE-FDA0002920641690000023
Figure RE-FDA0002920641690000023
Figure RE-FDA0002920641690000024
Figure RE-FDA0002920641690000024
Figure RE-FDA0002920641690000025
Figure RE-FDA0002920641690000025
Figure RE-FDA0002920641690000026
Figure RE-FDA0002920641690000026
Figure RE-FDA0002920641690000027
Figure RE-FDA0002920641690000027
Figure RE-FDA0002920641690000028
Figure RE-FDA0002920641690000028
Figure RE-FDA0002920641690000029
Figure RE-FDA0002920641690000029
(3):设计分布式模型预测控制方法(3): Design a distributed model predictive control method每辆车同时求解其对应的局部最优控制问题,并针对车队中除领航车辆的其他车辆添加额外约束
Figure RE-FDA00029206416900000210
来保证队列稳定性。
Each vehicle solves its corresponding local optimal control problem at the same time, and adds additional constraints to other vehicles in the fleet except the lead vehicle
Figure RE-FDA00029206416900000210
to ensure queue stability.
CN202011369769.2A2020-11-302020-11-30 A Cooperative Adaptive Cruise Control Method for Lane Changing ScenariosActiveCN112660124B (en)

Priority Applications (1)

Application NumberPriority DateFiling DateTitle
CN202011369769.2ACN112660124B (en)2020-11-302020-11-30 A Cooperative Adaptive Cruise Control Method for Lane Changing Scenarios

Applications Claiming Priority (1)

Application NumberPriority DateFiling DateTitle
CN202011369769.2ACN112660124B (en)2020-11-302020-11-30 A Cooperative Adaptive Cruise Control Method for Lane Changing Scenarios

Publications (2)

Publication NumberPublication Date
CN112660124Atrue CN112660124A (en)2021-04-16
CN112660124B CN112660124B (en)2023-01-24

Family

ID=75403025

Family Applications (1)

Application NumberTitlePriority DateFiling Date
CN202011369769.2AActiveCN112660124B (en)2020-11-302020-11-30 A Cooperative Adaptive Cruise Control Method for Lane Changing Scenarios

Country Status (1)

CountryLink
CN (1)CN112660124B (en)

Cited By (9)

* Cited by examiner, † Cited by third party
Publication numberPriority datePublication dateAssigneeTitle
CN113341722A (en)*2021-06-172021-09-03西北工业大学Vehicle queue collaborative optimal control method under communication topology unconstrained condition
CN113391553A (en)*2021-06-152021-09-14东北大学秦皇岛分校Self-adaptive optimal control method of heterogeneous CACC system with actuator saturation
CN114454883A (en)*2022-02-282022-05-10重庆长安汽车股份有限公司Longitudinal planning method for creating safe lane changing condition based on week vehicle prediction
CN114802300A (en)*2022-04-152022-07-29新驱动重庆智能汽车有限公司Vehicle control method, device, equipment and medium
CN114815852A (en)*2022-06-142022-07-29北京航空航天大学 A CACC Fleet Trajectory Planning Method Based on Spatial Discretization
CN114861391A (en)*2022-03-252022-08-05东南大学Microcosmic simulation method for cooperative self-adaptive cruise control vehicle
CN115601954A (en)*2022-12-132023-01-13西南交通大学(Cn)Lane changing judgment method, device, equipment and medium for intelligent internet motorcade
CN115909709A (en)*2022-10-272023-04-04长安大学Multi-vehicle cooperative control strategy optimization method considering safety
CN117445923A (en)*2023-10-302024-01-26青岛理工大学 Lane-changing trajectory planning method for connected vehicles based on reachability analysis

Citations (15)

* Cited by examiner, † Cited by third party
Publication numberPriority datePublication dateAssigneeTitle
CN101221437A (en)*2008-01-242008-07-16上海交通大学 Optimal control method for the whole process of industrial production under network information exchange mode
US8649941B1 (en)*2012-08-142014-02-11Nissan North America, Inc.Method for operating a vehicle system
CN103754224A (en)*2014-01-242014-04-30清华大学Vehicle multi-target coordinating lane changing assisting adaptive cruise control method
CN105857309A (en)*2016-05-252016-08-17吉林大学Automotive adaptive cruise control method taking multiple targets into consideration
CN108845498A (en)*2018-06-152018-11-20吉林大学A kind of driver's following-speed model considering the response lag time
CN108860148A (en)*2018-06-132018-11-23吉林大学Self-adapting cruise control method based on driver's follow the bus characteristic Safety distance model
CN108877256A (en)*2018-06-272018-11-23南京邮电大学Intersection based on wireless communication nearby disperses cooperative self-adapted cruise control method
US20190147745A1 (en)*2017-11-132019-05-16Hyundai Motor CompanyApparatus and method for controlling platooning of vehicles
CN110187639A (en)*2019-06-272019-08-30吉林大学 A Control Method for Trajectory Planning Based on Parameter Decision Framework
CN110356404A (en)*2019-05-282019-10-22吉林大学A kind of intelligent driving system for having the function of autonomous lane-change and improving laterally security
CN110525436A (en)*2019-08-272019-12-03中国第一汽车股份有限公司Vehicle lane-changing control method, device, vehicle and storage medium
CN110775060A (en)*2019-10-162020-02-11南京信息工程大学 A single-lane double-column small vehicle formation intelligent control system and formation method
US20200282990A1 (en)*2019-03-082020-09-10Suzuki Motor CorporationDriving Control Apparatus for Vehicle
CN111746539A (en)*2020-07-022020-10-09清华大学 A method for strict and safe lane change and queuing control for intelligent networked vehicles
CN111746538A (en)*2020-07-022020-10-09清华大学 A vehicle platoon following control method and control system for strict collision avoidance

Patent Citations (15)

* Cited by examiner, † Cited by third party
Publication numberPriority datePublication dateAssigneeTitle
CN101221437A (en)*2008-01-242008-07-16上海交通大学 Optimal control method for the whole process of industrial production under network information exchange mode
US8649941B1 (en)*2012-08-142014-02-11Nissan North America, Inc.Method for operating a vehicle system
CN103754224A (en)*2014-01-242014-04-30清华大学Vehicle multi-target coordinating lane changing assisting adaptive cruise control method
CN105857309A (en)*2016-05-252016-08-17吉林大学Automotive adaptive cruise control method taking multiple targets into consideration
US20190147745A1 (en)*2017-11-132019-05-16Hyundai Motor CompanyApparatus and method for controlling platooning of vehicles
CN108860148A (en)*2018-06-132018-11-23吉林大学Self-adapting cruise control method based on driver's follow the bus characteristic Safety distance model
CN108845498A (en)*2018-06-152018-11-20吉林大学A kind of driver's following-speed model considering the response lag time
CN108877256A (en)*2018-06-272018-11-23南京邮电大学Intersection based on wireless communication nearby disperses cooperative self-adapted cruise control method
US20200282990A1 (en)*2019-03-082020-09-10Suzuki Motor CorporationDriving Control Apparatus for Vehicle
CN110356404A (en)*2019-05-282019-10-22吉林大学A kind of intelligent driving system for having the function of autonomous lane-change and improving laterally security
CN110187639A (en)*2019-06-272019-08-30吉林大学 A Control Method for Trajectory Planning Based on Parameter Decision Framework
CN110525436A (en)*2019-08-272019-12-03中国第一汽车股份有限公司Vehicle lane-changing control method, device, vehicle and storage medium
CN110775060A (en)*2019-10-162020-02-11南京信息工程大学 A single-lane double-column small vehicle formation intelligent control system and formation method
CN111746539A (en)*2020-07-022020-10-09清华大学 A method for strict and safe lane change and queuing control for intelligent networked vehicles
CN111746538A (en)*2020-07-022020-10-09清华大学 A vehicle platoon following control method and control system for strict collision avoidance

Non-Patent Citations (5)

* Cited by examiner, † Cited by third party
Title
李翰博等: "基于Leader-follower的自主车辆跟随控制器设计", 《吉林大学学报(信息科学版)》*
游峰等: "面向无人驾驶的车辆协同换道轨迹规划", 《科学技术与工程》*
田彦涛等: "电动汽车侧向换道行驶主动避撞控制算法", 《吉林大学学报(工学版)》*
覃频频: "协同自适应巡航控制车队仿真", 《计算机工程与应用》*
邓海鹏等: "自主驾驶车辆紧急避障的路径规划与轨迹跟踪控制", 《兵工学报》*

Cited By (15)

* Cited by examiner, † Cited by third party
Publication numberPriority datePublication dateAssigneeTitle
CN113391553A (en)*2021-06-152021-09-14东北大学秦皇岛分校Self-adaptive optimal control method of heterogeneous CACC system with actuator saturation
CN113391553B (en)*2021-06-152022-04-01东北大学秦皇岛分校 Adaptive optimal control method for heterogeneous CACC systems with actuator saturation
CN113341722B (en)*2021-06-172022-07-01西北工业大学 A collaborative optimal control method for vehicle platoons under unconstrained communication topology
CN113341722A (en)*2021-06-172021-09-03西北工业大学Vehicle queue collaborative optimal control method under communication topology unconstrained condition
CN114454883B (en)*2022-02-282023-09-15重庆长安汽车股份有限公司Longitudinal planning method for creating safe lane change condition based on peripheral vehicle prediction
CN114454883A (en)*2022-02-282022-05-10重庆长安汽车股份有限公司Longitudinal planning method for creating safe lane changing condition based on week vehicle prediction
CN114861391A (en)*2022-03-252022-08-05东南大学Microcosmic simulation method for cooperative self-adaptive cruise control vehicle
CN114802300A (en)*2022-04-152022-07-29新驱动重庆智能汽车有限公司Vehicle control method, device, equipment and medium
CN114815852A (en)*2022-06-142022-07-29北京航空航天大学 A CACC Fleet Trajectory Planning Method Based on Spatial Discretization
CN114815852B (en)*2022-06-142023-02-03北京航空航天大学CACC fleet track planning method based on space discretization
CN115909709A (en)*2022-10-272023-04-04长安大学Multi-vehicle cooperative control strategy optimization method considering safety
CN115909709B (en)*2022-10-272023-10-27长安大学 A multi-vehicle collaborative control strategy optimization method considering safety
CN115601954B (en)*2022-12-132023-03-31西南交通大学Lane change judgment method, device, equipment and medium for intelligent networked fleet
CN115601954A (en)*2022-12-132023-01-13西南交通大学(Cn)Lane changing judgment method, device, equipment and medium for intelligent internet motorcade
CN117445923A (en)*2023-10-302024-01-26青岛理工大学 Lane-changing trajectory planning method for connected vehicles based on reachability analysis

Also Published As

Publication numberPublication date
CN112660124B (en)2023-01-24

Similar Documents

PublicationPublication DateTitle
CN112660124B (en) A Cooperative Adaptive Cruise Control Method for Lane Changing Scenarios
CN106926844B (en)A kind of dynamic auto driving lane-change method for planning track based on real time environment information
CN110286681B (en)Dynamic automatic driving track-changing planning method for curvature-variable curve
CN111806467B (en)Variable speed dynamic track changing planning method based on vehicle driving rule
CN110377039A (en)A kind of vehicle obstacle-avoidance trajectory planning and tracking and controlling method
CN101837781B (en) Model-Based Predictive Control of Control Systems for Automatic Lane Alignment or Lane Changing
CN112046484B (en) A path planning method for vehicles changing lanes and overtaking based on Q-learning
CN110356404A (en)A kind of intelligent driving system for having the function of autonomous lane-change and improving laterally security
CN111381597A (en)Vehicle obstacle avoidance trajectory planning method based on Gaussian pseudo-spectral method
CN112947469A (en)Automobile track-changing track planning and dynamic track tracking control method
CN114312848A (en) Trajectory planning and tracking control method of intelligent driving vehicle based on double-layer MPC
CN115042770B (en)Vehicle queue transverse control method based on distributed robust model prediction
CN111260956A (en) A vehicle automatic lane changing planning and control method based on model predictive control
CN108791290A (en) Two-vehicle cooperative adaptive cruise control method based on online incremental DHP
CN113619574A (en)Vehicle avoidance method and device, computer equipment and storage medium
CN115447615B (en)Track optimization method based on vehicle kinematic model predictive control
CN114030469B (en)Multi-vehicle collaborative trajectory planning and path tracking method
CN113848942A (en)Constraint-oriented intelligent network-connected automobile robust lane-changing confluence control method
Hu et al.Path planning and tracking for autonomous vehicle collision avoidance with consideration of tire-road friction coefficient
CN107380162A (en) Collaborative collision avoidance method based on function allocation and multi-objective fuzzy decision-making
CN117002520A (en)Intelligent vehicle rolling optimization non-cooperative game decision-making method
Xu et al.Local path planning and tracking control of vehicle collision avoidance system
CN113961002B (en)Active lane change planning method based on structured road sampling
CN107992039B (en) A flow field-based trajectory planning method in dynamic environment
CN114475599A (en)Queue control method for curved road scene

Legal Events

DateCodeTitleDescription
PB01Publication
PB01Publication
SE01Entry into force of request for substantive examination
SE01Entry into force of request for substantive examination
GR01Patent grant
GR01Patent grant

[8]ページ先頭

©2009-2025 Movatter.jp