Movatterモバイル変換


[0]ホーム

URL:


CN112644502A - Control method suitable for driving mode switching of new energy commercial vehicle - Google Patents

Control method suitable for driving mode switching of new energy commercial vehicle
Download PDF

Info

Publication number
CN112644502A
CN112644502ACN202011640478.2ACN202011640478ACN112644502ACN 112644502 ACN112644502 ACN 112644502ACN 202011640478 ACN202011640478 ACN 202011640478ACN 112644502 ACN112644502 ACN 112644502A
Authority
CN
China
Prior art keywords
mode
driving
torque
eco
sport
Prior art date
Legal status (The legal status is an assumption and is not a legal conclusion. Google has not performed a legal analysis and makes no representation as to the accuracy of the status listed.)
Pending
Application number
CN202011640478.2A
Other languages
Chinese (zh)
Inventor
杨志超
吴丽娟
苏涛
Current Assignee (The listed assignees may be inaccurate. Google has not performed a legal analysis and makes no representation or warranty as to the accuracy of the list.)
Dayun Automobile Co Ltd
Original Assignee
Dayun Automobile Co Ltd
Priority date (The priority date is an assumption and is not a legal conclusion. Google has not performed a legal analysis and makes no representation as to the accuracy of the date listed.)
Filing date
Publication date
Application filed by Dayun Automobile Co LtdfiledCriticalDayun Automobile Co Ltd
Priority to CN202011640478.2ApriorityCriticalpatent/CN112644502A/en
Publication of CN112644502ApublicationCriticalpatent/CN112644502A/en
Pendinglegal-statusCriticalCurrent

Links

Images

Classifications

Landscapes

Abstract

A control method suitable for driving mode switching of a new energy commercial vehicle relates to the technical field of new energy commercial vehicles, and solves the problems that a fluctuation phenomenon exists in the existing driving mode switching process, the driving mode switching cannot be adaptively adjusted according to the current insufficient electric quantity condition of a power battery, energy conservation and environmental protection cannot be realized to the maximum degree, and the like; the SCU outputs a driving torque coefficient of a corresponding mode to the torque module; the torque module outputs a torque request signal to the IC, the VCU acquires a KEY signal to identify the current ignition state of the vehicle, the SCU sends driving mode request information to the torque module in the VCU through the CAN bus, and the VCU finally determines the current driving mode according to the current power battery SOC value sent by the BMS and outputs the current driving mode to the IC for display; the control method reasonably selects the corresponding driving mode according to different driving road conditions, and improves comfortable driving feeling.

Description

Control method suitable for driving mode switching of new energy commercial vehicle
Technical Field
The invention relates to the technical field of new energy commercial vehicles, in particular to a control method suitable for driving mode switching of a new energy commercial vehicle.
Background
In the existing control method for switching the driving modes, torque output is not accurately filtered and smoothed, so that the current torque output fluctuates in the switching process of the driving modes, the switching of the driving modes cannot be adaptively adjusted according to the current insufficient electric quantity condition of a power battery, comfortable driving feeling cannot be brought to users, and energy conservation, environmental protection and improvement of the driving mileage of a vehicle cannot be realized to the maximum extent.
Disclosure of Invention
The invention provides a control method suitable for switching driving modes of a new energy commercial vehicle, aiming at solving the problems that the existing driving mode switching process has a fluctuation phenomenon, the driving mode switching can not be adaptively adjusted according to the current insufficient electric quantity condition of a power battery, the energy conservation and the environmental protection can not be realized to the maximum degree, and the like.
A control method suitable for switching driving modes of a new energy commercial vehicle defines an ECO mode, a NORMAL mode and a SPORT mode; the SCU outputs a driving torque coefficient Map of a corresponding mode to the torque module; the torque module outputs a torque request signal to the IC,
the VCU acquires a KEY signal to identify the current ignition state of the vehicle, the SCU sends driving mode request information to a torque module in the VCU through a CAN bus, and the VCU finally determines the current driving mode according to the current power battery SOC value sent by the BMS and outputs the current driving mode to the IC for display;
the VCU controls the switching process of three driving modes as follows:
setting the initial state of the whole vehicle as a NORMAL mode and setting a power supply as an ON mode;
the conditions for the transition from NORMAL mode to ECO mode are:
the ECO key is pressed down or the SOC electric quantity of the battery is less than or equal to a certain value;
transition from ECO mode to NORMAL mode:
a. entering an ECO mode when the SOC electric quantity of the battery is less than or equal to a certain value;
b. when the SOC electric quantity of the battery is larger than or equal to the threshold value, the battery is restored to the NORMAL mode;
c. when the NORMAL button is pressed, the mode is converted into the NORMAL mode.
Transition from NORMAL mode to SPORT mode: the SPORT button is pressed;
conversion of the SPORT mode to the NORMAL mode: the NORMAL button is pressed;
conversion of SPORT mode to ECO mode: the ECO key is pressed down or the SOC is less than or equal to a certain value.
Conversion of ECO mode to SPORT mode:
a. when the SOC is less than or equal to a certain value, entering an ECO mode, and when the SOC is more than or equal to a certain value, recovering to the SPORT mode again;
b. when the SPORT button is pressed, the mode changes into the SPORT mode.
The invention has the beneficial effects that:
(1) the corresponding driving mode is reasonably selected according to different driving road conditions, so that comfortable driving feeling is improved;
(2) the switching of the driving mode fully considers the electric quantity of the power battery, and the maximized environmental protection and energy saving are realized;
(3) the driving mode memory function is embodied, and the driving mode used for the last time before the power-off of the driver can be stored;
(4) different driving modes have different driving torque coefficients MAP, and the uncovered parameter range is calculated by adopting a linear difference value, so that the processing load of a controller is reduced, the operation rate is improved, and the data acquisition is efficient and smooth;
(5) the filter control and the smooth control are carried out in the torque output control by combining the specific torque output filter time and the filter algorithm under different driving modes, so that the driving comfort is improved, and the service life of a transmission system can be ensured.
The method is verified in the real vehicle, and the algorithm, technical parameters and switching logic of each driving mode are continuously optimized. Through test verification, driving mode division and specific switching logic are finally formed.
Drawings
FIG. 1 is a driving mode recognition function block diagram of a control method suitable for switching driving modes of a new energy commercial vehicle according to the invention;
fig. 2 is a driving mode switching logic diagram of a control method suitable for switching driving modes of a new energy commercial vehicle according to the invention.
Detailed Description
The embodiment is described with reference to fig. 1 and fig. 2, and a control method suitable for switching the driving modes of the new energy commercial vehicle defines three driving modes: three driving modes of an economy mode (ECO mode), a NORMAL mode (NORMAL mode) and a SPORT mode (SPORT mode); the gear controller SCU outputs a driving torque coefficient Map of a corresponding mode to the torque module; the torque module outputs a torque request signal to a combination Instrument (IC), the VCU identifies the current ignition state of the vehicle through a signal of a KEY (KEY switch) collected by a hard wire, the SCU sends driving mode request information to the torque module in the VCU through a CAN bus, and the VCU finally determines the current driving mode by combining the current power battery SOC value sent by the BMS and outputs the current driving mode to the IC for display. In the state of charge, the VCU monitors the change in SOC value in real time.
The VCU controls the switching process of three driving modes as follows:
setting the default of the initial state of the whole vehicle as a NORMAL mode, wherein the whole vehicle is in a power supply ON mode, and the conversion condition from the NORMAL mode to the ECO mode is as follows: the ECO key is pressed down or the SOC electric quantity of the battery is less than or equal to a certain value (generally 18 to 20 percent).
Transition from ECO mode to NORMAL mode:
a. when the SOC electric quantity of the battery is less than or equal to a certain value (generally 18% -20%), entering an ECO mode;
b. when the SOC electric quantity of the battery is larger than or equal to a certain value (21% -25%), the battery is restored to the NORMAL mode;
c. when the NORMAL button is pressed, the NORMAL mode is changed.
Transition from NORMAL mode to SPORT mode: the SPORT button is pressed.
Conversion of the SPORT mode to the NORMAL mode: the NORMAL button is pressed;
conversion of SPORT mode to ECO mode: the ECO key is pressed down or the SOC is less than or equal to a certain value.
Conversion of ECO mode to SPORT mode:
a. when the SOC is less than or equal to a certain value, entering an ECO mode, and when the SOC is more than or equal to a certain value, recovering to the SPORT mode again;
b. when the SPORT key is pressed down, the mode is changed into a SPORT mode;
in the present embodiment, the relationship between the set accelerator opening percentage (expressed by x) and the drive torque coefficient percentage (expressed by y) can be expressed by the following function:
1. the ECO mode generally selects y as ax2
2. The NORMAL mode is that y is ax;
3. the SPORT mode generally selects y-log10(ax);
The reference value of the coefficient a in the formula is 1, the larger the value of a is, the larger the slope of the curve is, the specific value needs to be adjusted according to the actual calibrated road condition, and the maximum value is not more than 3.
In the present embodiment, in the ECO mode, a separate accelerator pedal MAP is employed;
and (3) filtering algorithm:
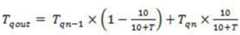
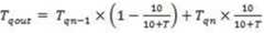
Figure BDA0002881389890000041
(formula description: T)qoutIs the current actual output torque; t isqn-1Is the last actual output torque; t isqnIs the calculated torque; t is the filter time)
The VCU sends a driving mode state signal to the IC through the CAN bus to be ECO; and when the SOC of the power battery is less than or equal to a certain value, the current driving mode automatically enters an ECO mode. The ECO mode drive torque Map is as shown in table 1ECO mode drive coefficient table (electric light card) and table 2ECO mode drive coefficient table (electric heavy card).
TABLE 1
Figure BDA0002881389890000042
TABLE 2
Figure BDA0002881389890000043
In the present embodiment, in NORMAL mode: adopting a single accelerator pedal MAP;
and (3) filtering algorithm:
Figure BDA0002881389890000051
(formula description: T)qoutIs the current actual output torque; t isqn-1Is the last actual output torque; t isqnIs the calculated torque; t is the filter time)
The VCU sends a driving mode state signal NORMAL to the IC through the CAN bus.
The drive torque coefficient Map in NORMAL mode is shown in the table 3NORMAL mode drive coefficient table (electric light card) and the table 4NORMAL mode drive coefficient table (electric heavy card)
TABLE 3
Figure BDA0002881389890000052
TABLE 4
Figure BDA0002881389890000053
In the present embodiment, in the SPORT mode, an individual accelerator pedal MAP is employed;
and (3) filtering algorithm:
Figure BDA0002881389890000054
(formula description: T)qoutIs the current actual output torque; t isqn-1Is the last actual output torque; t isqnIs the calculated torque; t is the filter time)
The chord mode torque coefficient Map is as shown in table 5 the chord mode drive coefficient table (electric light card) and table 6 the chord mode drive coefficient table (electric heavy card).
TABLE 5
Figure BDA0002881389890000061
TABLE 6
Figure BDA0002881389890000062
In the present embodiment, the section not shown in the drive coefficient table in the different driving modes is calculated by the linear difference method.
The control method of the embodiment has different requirements on the current driving torque under different operating conditions, and improves the driving experience of a user; the maximum output driving torque is adjusted in combination with the adaptability of the residual electric quantity of the power battery, so that energy conservation and environmental protection are realized; by increasing a driving torque coefficient MAP and a linear difference value method, data query in a software processing process is reduced, the operation rate is improved, and the smoothness of torque output is ensured; through setting up detailed torque filtering time and filtering algorithm in the strategy of different driving modes, the sudden change of data output is prevented, the problem of the sudden change of torque in the switching process of different modes is solved, and the stability of torque output is ensured.
The technical features of the embodiments described above may be arbitrarily combined, and for the sake of brevity, all possible combinations of the technical features in the embodiments described above are not described, but should be considered as being within the scope of the present specification as long as there is no contradiction between the combinations of the technical features.
The above-mentioned embodiments only express several embodiments of the present invention, and the description thereof is more specific and detailed, but not construed as limiting the scope of the invention. It should be noted that, for a person skilled in the art, several variations and modifications can be made without departing from the inventive concept, which falls within the scope of the present invention. Therefore, the protection scope of the present patent shall be subject to the appended claims.

Claims (5)

1. A control method suitable for switching driving modes of a new energy commercial vehicle is characterized by comprising the following steps: defining an ECO mode, a NORMAL mode and a SPORT mode; the SCU outputs a driving torque coefficient of a corresponding mode to the torque module; the torque module outputs a torque request signal to an IC;
the VCU acquires a KEY signal to identify the current ignition state of the vehicle, the SCU sends driving mode request information to a torque module in the VCU through a CAN bus, and the VCU finally determines the current driving mode according to the current power battery SOC value sent by the BMS and outputs the current driving mode to the IC for display;
the VCU controls the switching process of three driving modes as follows:
setting the initial state of the whole vehicle as a NORMAL mode and setting a power supply as an ON mode;
the conditions for the transition from NORMAL mode to ECO mode are:
the ECO key is pressed down or the SOC electric quantity of the battery is less than or equal to a certain value;
transition from ECO mode to NORMAL mode:
a. entering an ECO mode when the SOC electric quantity of the battery is less than or equal to a certain value;
b. when the SOC electric quantity of the battery is larger than or equal to the threshold value, the battery is restored to the NORMAL mode;
c. when the NORMAL key is pressed down, the NORMAL key is converted into a NORMAL mode;
transition from NORMAL mode to SPORT mode: the SPORT button is pressed;
conversion of the SPORT mode to the NORMAL mode: the NORMAL button is pressed;
conversion of SPORT mode to ECO mode: the ECO key is pressed down or the SOC is less than or equal to a certain value;
conversion of ECO mode to SPORT mode:
a. when the SOC is less than or equal to a certain value, entering an ECO mode, and when the SOC is more than or equal to a certain value, recovering to the SPORT mode again;
b. when the SPORT button is pressed, the mode changes into the SPORT mode.
2. The control method suitable for switching the driving modes of the new energy commercial vehicle according to claim 1, characterized in that: the certain value is 18-20%, and the threshold value range is 21-25%.
3. The control method suitable for switching the driving modes of the new energy commercial vehicle according to claim 1, characterized in that: the method for calculating the driving torque coefficient Map in the ECO mode, the NORMAL mode and the SPORT mode comprises the following steps:
setting an accelerator opening percentage as x and a driving torque coefficient percentage as y, wherein the relation between the x and the y is expressed by the following functions:
the driving torque coefficient formula in the ECO mode is: y is ax2
The drive torque coefficient in NORMAL mode is expressed as: y is ax;
the driving torque coefficient formula in the SPORT mode is as follows: y log10(ax);
In the formula, the reference value of the coefficient a is 1.
4. The control method suitable for switching the driving modes of the new energy commercial vehicle according to claim 1, characterized in that: in the ECO mode, NORMAL mode, or SPORT mode, the torque module calculates an output torque by a filtering method, represented by:
Figure FDA0002881389880000021
in the formula, TqoutFor the current actual output torque, Tqn-1For the last actual output torque, TqnTo calculate the output torque, T is the filter time.
5. The control method suitable for switching the driving modes of the new energy commercial vehicle according to claim 1, characterized in that: in the state of charge, the VCU monitors the change in SOC value in real time.
CN202011640478.2A2020-12-312020-12-31Control method suitable for driving mode switching of new energy commercial vehiclePendingCN112644502A (en)

Priority Applications (1)

Application NumberPriority DateFiling DateTitle
CN202011640478.2ACN112644502A (en)2020-12-312020-12-31Control method suitable for driving mode switching of new energy commercial vehicle

Applications Claiming Priority (1)

Application NumberPriority DateFiling DateTitle
CN202011640478.2ACN112644502A (en)2020-12-312020-12-31Control method suitable for driving mode switching of new energy commercial vehicle

Publications (1)

Publication NumberPublication Date
CN112644502Atrue CN112644502A (en)2021-04-13

Family

ID=75366968

Family Applications (1)

Application NumberTitlePriority DateFiling Date
CN202011640478.2APendingCN112644502A (en)2020-12-312020-12-31Control method suitable for driving mode switching of new energy commercial vehicle

Country Status (1)

CountryLink
CN (1)CN112644502A (en)

Cited By (4)

* Cited by examiner, † Cited by third party
Publication numberPriority datePublication dateAssigneeTitle
CN114084141A (en)*2021-10-272022-02-25东风汽车股份有限公司Method for switching driving modes of electric learner-driven vehicle
CN115009257A (en)*2022-06-012022-09-06中国第一汽车股份有限公司 Hybrid vehicle driving mode control architecture and switching control method
CN115027446A (en)*2022-05-272022-09-09奇瑞商用车(安徽)有限公司 A kind of motor assist strategy control method and system
CN116834559A (en)*2023-07-082023-10-03中印云端(深圳)科技有限公司New energy automobile integrated form electrical system

Citations (9)

* Cited by examiner, † Cited by third party
Publication numberPriority datePublication dateAssigneeTitle
CN103192737A (en)*2013-03-252013-07-10吉林大学Drive control method for all-electric car
CN104648184A (en)*2014-12-302015-05-27北京新能源汽车股份有限公司Multi-mode drive control method of pure electric vehicle
CN106167022A (en)*2015-05-202016-11-30丰田自动车株式会社Motor vehicle driven by mixed power
CN106347145A (en)*2016-10-112017-01-25浙江吉利新能源商用车有限公司Power follower and power battery control device and method for electric vehicle
US20190092315A1 (en)*2017-09-262019-03-28Hyundai Motor CompanySpatial division type stop control method and vehicle using the same
EP3514034A1 (en)*2018-01-192019-07-24Toyota Jidosha Kabushiki KaishaHybrid vehicle
CN111098856A (en)*2018-10-252020-05-05本田技研工业(中国)投资有限公司 Electric vehicle control method, control device and electric vehicle
CN111409471A (en)*2020-04-172020-07-14大运汽车股份有限公司Torque control method of four-wheel drive electric automobile
CN112026529A (en)*2019-06-042020-12-04郑州宇通客车股份有限公司Vehicle output torque control method and device

Patent Citations (9)

* Cited by examiner, † Cited by third party
Publication numberPriority datePublication dateAssigneeTitle
CN103192737A (en)*2013-03-252013-07-10吉林大学Drive control method for all-electric car
CN104648184A (en)*2014-12-302015-05-27北京新能源汽车股份有限公司Multi-mode drive control method of pure electric vehicle
CN106167022A (en)*2015-05-202016-11-30丰田自动车株式会社Motor vehicle driven by mixed power
CN106347145A (en)*2016-10-112017-01-25浙江吉利新能源商用车有限公司Power follower and power battery control device and method for electric vehicle
US20190092315A1 (en)*2017-09-262019-03-28Hyundai Motor CompanySpatial division type stop control method and vehicle using the same
EP3514034A1 (en)*2018-01-192019-07-24Toyota Jidosha Kabushiki KaishaHybrid vehicle
CN111098856A (en)*2018-10-252020-05-05本田技研工业(中国)投资有限公司 Electric vehicle control method, control device and electric vehicle
CN112026529A (en)*2019-06-042020-12-04郑州宇通客车股份有限公司Vehicle output torque control method and device
CN111409471A (en)*2020-04-172020-07-14大运汽车股份有限公司Torque control method of four-wheel drive electric automobile

Cited By (4)

* Cited by examiner, † Cited by third party
Publication numberPriority datePublication dateAssigneeTitle
CN114084141A (en)*2021-10-272022-02-25东风汽车股份有限公司Method for switching driving modes of electric learner-driven vehicle
CN115027446A (en)*2022-05-272022-09-09奇瑞商用车(安徽)有限公司 A kind of motor assist strategy control method and system
CN115009257A (en)*2022-06-012022-09-06中国第一汽车股份有限公司 Hybrid vehicle driving mode control architecture and switching control method
CN116834559A (en)*2023-07-082023-10-03中印云端(深圳)科技有限公司New energy automobile integrated form electrical system

Similar Documents

PublicationPublication DateTitle
CN112644502A (en)Control method suitable for driving mode switching of new energy commercial vehicle
CN107026484B (en)Charging device
CN114347812B (en)Driving style-based energy management method for fuel cell hybrid electric vehicle
CN112406564B (en)Range extender control method and device, driving system and range extender hybrid vehicle
CN114056191B (en) A FCEV energy management method and system
CN110605980A (en) Energy management method and system based on plug-in hybrid electric vehicle charging habits
CN116968568B (en)Range extender power supply control method and range extender power supply control device
CN117864094B (en)Range extender power generation control method and device, electronic equipment and storage medium
CN112092623A (en)Method and device for controlling charging of storage battery, vehicle, and storage medium
CN114714977B (en)Charging and discharging control method for vehicle and trailer, whole vehicle controller and vehicle
CN112644503A (en)Intelligent mode control method and system for electric automobile
CN103158570A (en)High voltage accessory energy management method of pure electric automobile
US20230202310A1 (en)Method for optimising the power of an electrified vehicle, and vehicle
EP2300253A1 (en)Electric driving mode selection for hybrid vehicles
CN114074673A (en)Control method and device for self-adaptive driving mode
CN115923694A (en)Vehicle load control method and device, vehicle and storage medium
CN119858539A (en)Extended range automobile power generation optimization method and related equipment
CN117302176A (en)Control method and device of hybrid electric vehicle, hybrid electric vehicle and medium
CN116198479A (en)Vehicle energy management method, system, storage medium and device
CN119037386A (en)Vehicle hybrid power energy adjusting method
CN112824130B (en)Control method and device for brake energy recovery gear and automobile
CN118636900B (en)Energy calculating method and device, electronic device, readable storage medium and vehicle
CN120517426B (en)New energy vehicle-mounted control method and system
CN113911053B (en)Vehicle low-voltage power supply management method, vehicle and storage medium
CN117360334A (en)Battery control method and device and vehicle

Legal Events

DateCodeTitleDescription
PB01Publication
PB01Publication
SE01Entry into force of request for substantive examination
SE01Entry into force of request for substantive examination
RJ01Rejection of invention patent application after publication
RJ01Rejection of invention patent application after publication

Application publication date:20210413


[8]ページ先頭

©2009-2025 Movatter.jp