Movatterモバイル変換


[0]ホーム

URL:


CN112643670A - Flexible joint control method based on sliding-mode observer - Google Patents

Flexible joint control method based on sliding-mode observer
Download PDF

Info

Publication number
CN112643670A
CN112643670ACN202011424609.3ACN202011424609ACN112643670ACN 112643670 ACN112643670 ACN 112643670ACN 202011424609 ACN202011424609 ACN 202011424609ACN 112643670 ACN112643670 ACN 112643670A
Authority
CN
China
Prior art keywords
mechanical arm
joint
load side
control
motor side
Prior art date
Legal status (The legal status is an assumption and is not a legal conclusion. Google has not performed a legal analysis and makes no representation as to the accuracy of the status listed.)
Granted
Application number
CN202011424609.3A
Other languages
Chinese (zh)
Other versions
CN112643670B (en
Inventor
赵杰
李长乐
金宏哲
Current Assignee (The listed assignees may be inaccurate. Google has not performed a legal analysis and makes no representation or warranty as to the accuracy of the list.)
Luoyang Shangqi Robot Technology Co ltd
Original Assignee
Luoyang Shangqi Robot Technology Co ltd
Priority date (The priority date is an assumption and is not a legal conclusion. Google has not performed a legal analysis and makes no representation as to the accuracy of the date listed.)
Filing date
Publication date
Application filed by Luoyang Shangqi Robot Technology Co ltdfiledCriticalLuoyang Shangqi Robot Technology Co ltd
Priority to CN202011424609.3ApriorityCriticalpatent/CN112643670B/en
Publication of CN112643670ApublicationCriticalpatent/CN112643670A/en
Application grantedgrantedCritical
Publication of CN112643670BpublicationCriticalpatent/CN112643670B/en
Activelegal-statusCriticalCurrent
Anticipated expirationlegal-statusCritical

Links

Images

Classifications

Landscapes

Abstract

The invention discloses a flexible joint control method based on a sliding-mode observer, which comprises the following steps of 1: establishing a flexible joint mechanical arm dynamic model, and step 2: designing a sliding-mode observer, and step 3: applying the sliding-mode observer to a flexible joint mechanical arm system, and step 4: designing a flexible joint mechanical arm control law, and step 5: updating the control output of the mechanical arm; the sliding mode observer designed by the invention estimates the dynamic characteristics and the external disturbance of the system, can accurately estimate the system disturbance without depending on the internal model structure and related parameters of the system, introduces a saturation function into the sliding mode observer, and can effectively inhibit the trembling phenomenon of the traditional sliding mode observer based on the symbolic function.

Description

Flexible joint control method based on sliding-mode observer
Technical Field
The invention relates to the field of robot control, in particular to a flexible joint control method based on a sliding-mode observer.
Background
With the development of a new generation of collaborative mechanical arm technology, the traditional industrial mechanical arm is developing towards lightweight joint and high load-weight ratio; in the process of lightening the joints of the mechanical arm, the rigidity of the joints is relatively reduced, the flexibility of the joints is more and more obvious, but the control precision of a control system is influenced by the existence of the flexibility of the joints, and the control difficulty is improved, so that the flexible joint mechanical arm system has the characteristics of strong system nonlinearity, difficult modeling and easy external disturbance; the conventional disturbance observer represented by a high-gain disturbance observer generally estimates unknown external disturbance and unmodeled dynamics by using known model information of a system, and has the problem of high model dependence; while the traditional intelligent controller based on the neural network has strong nonlinear system approximation capability, the topological structure is relatively complex, high computing power and processing speed are required, and the traditional intelligent controller based on the neural network cannot be well suitable for a complex real-time system.
In order to solve the problems, a flexible joint mechanical arm control method which has small dependence on a system model and has strong robustness and anti-interference performance is needed.
Disclosure of Invention
The invention aims to: the flexible joint control method based on the sliding-mode observer is provided, and aims to solve the problems that a flexible joint mechanical arm system in the prior art is high in nonlinearity, difficult to model and prone to external disturbance.
The technical scheme adopted by the invention is as follows:
a flexible joint control method based on a sliding-mode observer comprises the following steps:
step 1: establishing a flexible joint mechanical arm dynamic model:
Figure BDA0002821545490000011
Figure BDA0002821545490000012
wherein (1) represents a load side dynamic model, (2) represents a motor side dynamic model,
Figure BDA0002821545490000013
indicating the load side angleThe angular velocity and the angular acceleration,
Figure BDA0002821545490000014
representing motor side angle, angular velocity and angular acceleration, m (q) representing the inertia matrix of the robot arm,
Figure BDA0002821545490000015
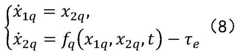
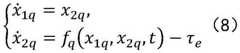
representing a nonlinear term consisting of centrifugal force and Copenforces, G (q) representing a gravity matrix of the robot arm, J representing a motor-side moment of inertia, KsDenotes joint stiffness, λ denotes joint reduction ratio, τextRepresenting external disturbance torque, τeAnd τmRespectively representing the load side and the motor driving torque;
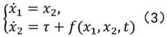
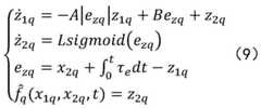
step 2: designing a sliding-mode observer:
Figure BDA0002821545490000021
wherein x in (3)1,x2Denotes the generalized state of the system,. tau.denotes the control input of the system, f (x)1,x2T) is the nonlinear dynamics of the system, including the internal dynamics of the system and the external disturbance torque; assuming that the internal dynamic model structure and model parameters of the system are unknown, and considering both the internal dynamic model and the external disturbance torque as unknown disturbance, a sliding mode disturbance observer pair f (x) shown below can be adopted1,x2T) estimating:
Figure BDA0002821545490000022
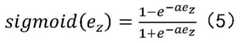
wherein (A, B, L > 0) are all gain coefficients, sigmoid (e)z) Is expressed as a saturation function as follows:
Figure BDA0002821545490000023
a is more than 0 and is a control parameter, and the problem of vibration of the sliding mode observer can be effectively inhibited by introducing a saturation function;
and step 3: applying a sliding-mode observer to a flexible joint mechanical arm system:
order to
Figure BDA0002821545490000024
And
Figure BDA0002821545490000025
respectively load side and motor side trajectory commands,
Figure BDA0002821545490000026
and
Figure BDA0002821545490000027
for the corresponding track tracking error, the flexible joint mechanical arm error dynamics model can be organized as follows:
Figure BDA0002821545490000028
Figure BDA0002821545490000029
take the load side as an example, let xlq=eq
Figure BDA00028215454900000210
Figure BDA00028215454900000211
Representing a system disturbance, then (6) may be arranged as:
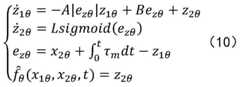
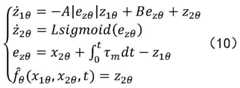
Figure BDA00028215454900000212
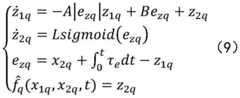
comparing (3) and (8), the following sliding mode disturbance observer can be designed for the load side:
Figure BDA00028215454900000213
in the same way, the motor side sliding mode disturbance observer can be designed as follows:
Figure BDA00028215454900000214
and 4, step 4: designing a flexible joint mechanical arm control law:
dividing a joint model of a flexible joint mechanical arm into a motor side and a load side, adopting a layered cascade control strategy, introducing a virtual controller and the motor side controller together at the load side, and forming a distributed cascade control architecture at each joint of the mechanical arm, wherein the load side virtual controller calculates a control moment actually required by the joint load side by combining a user track command and system state information, and maps the load side control moment into a motor side control command through an elastic dynamics mapping formula as follows:
Figure BDA0002821545490000031
then, a motor side controller outputs a motor side control torque by combining a motor side track command and motor side state information, so that the joint is driven to track a given track; the control law structures of the load side and the motor side are as follows:
Figure BDA0002821545490000032
Figure BDA0002821545490000033
in the formula (12) (K)pq,Kdq) (K) in equation (13) for position and velocity gain of the load side controller,K) Is a motor sideThe position and velocity gains of the controller,
Figure BDA0002821545490000034
and
Figure BDA0002821545490000035
estimating system disturbances on a load side and a motor side by sliding mode observers shown in equations (9) and (10), respectively;
and 5: updating the control output of the mechanical arm:
acquiring real-time angle parameters of the mechanical arm in the motion process through a load side and motor side angle encoder arranged in the mechanical arm joint, and acquiring angular velocity information of the mechanical arm joint motion through first-order differential processing; obtaining elastic parameters of each joint of the mechanical arm through external calibration or parameter identification; and finally, calculating the control input of each joint of the mechanical arm and using the control input for controlling the mechanical arm by combining the state feedback information and the joint elastic parameters.
In summary, due to the adoption of the technical scheme, the invention has the beneficial effects that:
1. the sliding mode observer designed by the invention estimates the dynamic characteristics and the external disturbance of the system, and can accurately estimate the system disturbance without depending on the internal model structure and related parameters of the system.
2. According to the invention, a saturation function is introduced into the sliding mode observer, so that the chattering phenomenon of the traditional sliding mode observer based on the sign function can be effectively inhibited.
3. According to the invention, a layered control architecture is adopted, a load side virtual controller is introduced, and load side control input is mapped into a motor side control command through joint elastic dynamic mapping, on the basis, a sliding mode observer is utilized to effectively estimate system disturbance, model parameters except joint rigidity are not needed, complex dynamic modeling and dynamic parameter identification processes are avoided, and the method has the characteristics of simplicity and easiness in use.
4. The invention has the capability of effectively estimating and compensating the unknown dynamic behavior and the external disturbance of the system, thereby improving the control precision and the anti-interference performance of the flexible joint mechanical arm.
Drawings
FIG. 1 is a flow chart of the steps of the present invention;
FIG. 2 is a schematic view of the working principle of the flexible joint robot arm;
FIG. 3 is a schematic diagram illustrating the track tracking control effect of the flexible joint mechanical arm based on the present invention;
FIG. 4 is a schematic diagram of disturbance estimation effect of the sliding mode observer;
FIG. 5 control moment-schematic using the proposed sliding-mode observer based on a saturation function;
FIG. 6 is a schematic diagram of control torque-using a conventional sliding mode observer based on a symbolic function;
fig. 7 is a schematic diagram of the tracking error of the controller (based on the proposed sliding-mode observer for disturbance compensation) and the pure PD controller (without disturbance compensation) according to the present invention.
Detailed Description
The invention will be further explained in detail with reference to the drawings and technical solutions.
Referring to fig. 1, a flexible joint control method based on a sliding-mode observer includes the following steps:
step 1: establishing a flexible joint mechanical arm dynamic model:
Figure BDA0002821545490000041
Figure BDA0002821545490000042
wherein (1) represents a load side dynamic model, (2) represents a motor side dynamic model,
Figure BDA0002821545490000043
representing the load side angle, angular velocity and angular acceleration,
Figure BDA0002821545490000044
representing motor side angle, angular velocity and angular acceleration, m (q) representing the inertia matrix of the robot arm,
Figure BDA0002821545490000045
representing a nonlinear term consisting of centrifugal force and Copenforces, G (q) representing a gravity matrix of the robot arm, J representing a motor-side moment of inertia, KsDenotes joint stiffness, λ denotes joint reduction ratio, τextRepresenting external disturbance torque, τeAnd τmRespectively representing the load side and the motor driving torque;
step 2: designing a sliding-mode observer:
Figure BDA0002821545490000046
wherein x in (3)1,x2Denotes the generalized state of the system,. tau.denotes the control input of the system, f (x)1,x2T) is the nonlinear dynamics of the system, including the internal dynamics of the system and the external disturbance torque;
assuming that the internal dynamic model structure and model parameters of the system are unknown, and considering both the internal dynamic model and the external disturbance torque as unknown disturbance, a sliding mode disturbance observer pair f (x) shown below can be adopted1,x2T) estimating:
Figure BDA0002821545490000047
wherein (A, B, L > 0) are all gain coefficients, sigmoid (e)z) Is expressed as a saturation function as follows:
Figure BDA0002821545490000051
a is more than 0 and is a control parameter, and the problem of vibration of the sliding mode observer can be effectively inhibited by introducing a saturation function;
and step 3: applying a sliding-mode observer to a flexible joint mechanical arm system:
order to
Figure BDA0002821545490000052
And
Figure BDA0002821545490000053
respectively load side and motor side trajectory commands,
Figure BDA0002821545490000054
and
Figure BDA0002821545490000055
for the corresponding track tracking error, the flexible joint mechanical arm error dynamics model can be organized as follows:
Figure BDA0002821545490000056
Figure BDA0002821545490000057
take the load side as an example, let x1q=eq
Figure BDA0002821545490000058
Figure BDA0002821545490000059
Representing a system disturbance, then (6) may be arranged as:
Figure BDA00028215454900000510
comparing (3) and (8), the following sliding mode disturbance observer can be designed for the load side:
Figure BDA00028215454900000511
in the same way, the motor side sliding mode disturbance observer can be designed as follows:
Figure BDA00028215454900000512
and 4, step 4: designing a flexible joint mechanical arm control law:
dividing a joint model of a flexible joint mechanical arm into a motor side and a load side, adopting a layered cascade control strategy (as shown in figure 1), introducing a virtual controller and a motor side controller together at the load side, and forming a distributed cascade control framework at each joint of the mechanical arm, wherein the load side virtual controller calculates a control moment actually required by the joint load side by combining a user track command and system state information, and maps the load side control moment into a motor side control command by the following elastodynamics mapping formula:
Figure BDA00028215454900000513
then, a motor side controller outputs a motor side control torque by combining a motor side track command and motor side state information, so that the joint is driven to track a given track;
the control law structures of the load side and the motor side are as follows:
Figure BDA0002821545490000061
Figure BDA0002821545490000062
in the formula (12) (K)pq,Kdq) (K) in equation (13) for position and velocity gain of the load side controller,K) For the position and speed gains of the motor side controller,
Figure BDA0002821545490000063
and
Figure BDA0002821545490000064
estimating system disturbances on a load side and a motor side by sliding mode observers shown in equations (9) and (10), respectively;
and 5: updating the control output of the mechanical arm:
acquiring real-time angle parameters of the mechanical arm in the motion process through a load side and motor side angle encoder arranged in the mechanical arm joint, and acquiring angular velocity information of the mechanical arm joint motion through first-order differential processing; obtaining elastic parameters of each joint of the mechanical arm through external calibration or parameter identification; finally, calculating the control input of each joint of the mechanical arm and using the control input for controlling the mechanical arm by combining the state feedback information and the joint elastic parameters;
fig. 2 is a schematic view of the working principle of a flexible joint robot arm to which the control method designed by the present invention is applied, and the control simulation results are shown in fig. 3-7; as can be seen from fig. 3 and 4, the control method can achieve good trajectory tracking and disturbance estimation performance; fig. 5 and 6 compare the control inputs of the sliding mode observer using the saturation function and the sliding mode observer using the conventional sign function, and it can be seen that the chattering phenomenon of the motor-side control signal is effectively suppressed due to the introduction of the saturation function in the present invention, and this characteristic can improve the capability of the control system to cope with the sensor noise, and enhance the robustness and stability of the system; fig. 7 compares the trajectory tracking accuracy with or without disturbance compensation, and it can be seen that the flexible joint mechanical arm control method based on the sliding-mode observer provided by the invention has an obvious advantage in control accuracy compared with the conventional PD controller.
In conclusion, the system disturbance can be accurately estimated under the condition of not depending on the internal model structure and related parameters of the system; a saturation function is introduced into the sliding mode observer, so that the chattering phenomenon of the traditional sliding mode observer based on the sign function can be effectively inhibited; the method can avoid complex dynamics modeling and dynamics parameter identification processes, and has the characteristics of simplicity and easiness in use; the flexible joint mechanical arm has the capability of effectively estimating and compensating unknown dynamic behaviors and external disturbance of a system, and can improve the control precision and the anti-interference performance of the flexible joint mechanical arm.

Claims (1)

1. A flexible joint control method based on a sliding-mode observer is characterized by comprising the following steps:
step 1: establishing a flexible joint mechanical arm dynamic model:
Figure FDA0002821545480000011
Figure FDA0002821545480000012
wherein (1) represents a load side dynamic model, (2) represents a motor side dynamic model,
Figure FDA0002821545480000013
representing the load side angle, angular velocity and angular acceleration,
Figure FDA0002821545480000014
representing motor side angle, angular velocity and angular acceleration, m (q) representing the inertia matrix of the robot arm,
Figure FDA0002821545480000015
representing a nonlinear term consisting of centrifugal force and Copenforces, G (q) representing a gravity matrix of the robot arm, J representing a motor-side moment of inertia, KsDenotes joint stiffness, λ denotes joint reduction ratio, τextRepresenting external disturbance torque, τeAnd τmRespectively representing the load side and the motor driving torque;
step 2: designing a sliding-mode observer:
Figure FDA0002821545480000016
wherein x in (3)1,x2Denotes the generalized state of the system,. tau.denotes the control input of the system, f (x)1,x2T) is the nonlinear dynamics of the system, including the internal dynamics of the system and the external disturbance torque;
assuming that the internal dynamic model structure and model parameters of the system are unknown, and considering both the internal dynamic model and the external disturbance torque as unknown disturbance, a sliding mode disturbance observer pair f (x) shown below can be adopted1,x2T) estimating:
Figure FDA0002821545480000017
wherein (A, B, L)>0) Are all gain coefficients, sigmoid (e)z) Is expressed as a saturation function as follows:
Figure FDA0002821545480000018
the a is more than 0 and is a control parameter, and the problem of vibration of the sliding mode observer can be effectively inhibited by introducing a saturation function;
and step 3: applying a sliding-mode observer to a flexible joint mechanical arm system:
order to
Figure FDA0002821545480000019
And
Figure FDA00028215454800000110
respectively load side and motor side trajectory commands,
Figure FDA00028215454800000111
and
Figure FDA00028215454800000112
for the corresponding track tracking error, the flexible joint mechanical arm error dynamics model can be organized as follows:
Figure FDA00028215454800000113
Figure FDA00028215454800000114
take the load side as an example, let x1q=eq,
Figure FDA00028215454800000115
Figure FDA0002821545480000021
Representing a system disturbance, then (6) may be arranged as:
Figure FDA0002821545480000022
comparing (3) and (8), the following sliding mode disturbance observer can be designed for the load side:
Figure FDA0002821545480000023
in the same way, the motor side sliding mode disturbance observer can be designed as follows:
Figure FDA0002821545480000024
and 4, step 4: designing a flexible joint mechanical arm control law:
dividing a joint model of a flexible joint mechanical arm into a motor side and a load side, adopting a layered cascade control strategy, introducing a virtual controller and the motor side controller together at the load side, and forming a distributed cascade control architecture at each joint of the mechanical arm, wherein the load side virtual controller calculates a control moment actually required by the joint load side by combining a user track command and system state information, and maps the load side control moment into a motor side control command through an elastic dynamics mapping formula as follows:
Figure FDA0002821545480000025
then, a motor side controller outputs a motor side control torque by combining a motor side track command and motor side state information, so that the joint is driven to track a given track;
the control law structures of the load side and the motor side are as follows:
Figure FDA0002821545480000026
Figure FDA0002821545480000027
in the formula (12) (K)pq,Kdq) (K) in equation (13) for position and velocity gain of the load side controller,K) For the position and speed gains of the motor side controller,
Figure FDA0002821545480000028
and
Figure FDA0002821545480000029
estimating system disturbances on a load side and a motor side by sliding mode observers shown in equations (9) and (10), respectively;
and 5: updating the control output of the mechanical arm:
acquiring real-time angle parameters of the mechanical arm in the motion process through a load side and motor side angle encoder arranged in the mechanical arm joint, and acquiring angular velocity information of the mechanical arm joint motion through first-order differential processing; obtaining elastic parameters of each joint of the mechanical arm through external calibration or parameter identification; and finally, calculating the control input of each joint of the mechanical arm and using the control input for controlling the mechanical arm by combining the state feedback information and the joint elastic parameters.
CN202011424609.3A2020-12-072020-12-07Flexible joint control method based on sliding-mode observerActiveCN112643670B (en)

Priority Applications (1)

Application NumberPriority DateFiling DateTitle
CN202011424609.3ACN112643670B (en)2020-12-072020-12-07Flexible joint control method based on sliding-mode observer

Applications Claiming Priority (1)

Application NumberPriority DateFiling DateTitle
CN202011424609.3ACN112643670B (en)2020-12-072020-12-07Flexible joint control method based on sliding-mode observer

Publications (2)

Publication NumberPublication Date
CN112643670Atrue CN112643670A (en)2021-04-13
CN112643670B CN112643670B (en)2022-07-29

Family

ID=75350403

Family Applications (1)

Application NumberTitlePriority DateFiling Date
CN202011424609.3AActiveCN112643670B (en)2020-12-072020-12-07Flexible joint control method based on sliding-mode observer

Country Status (1)

CountryLink
CN (1)CN112643670B (en)

Cited By (9)

* Cited by examiner, † Cited by third party
Publication numberPriority datePublication dateAssigneeTitle
CN113977571A (en)*2021-07-122022-01-28洛阳尚奇机器人科技有限公司Flexible joint robot output torque control method
CN114536334A (en)*2022-02-232022-05-27浙江工业大学High-order sliding mode anti-interference control method for flexible mechanical arm system
CN114740734A (en)*2022-04-292022-07-12重庆邮电大学 Flexible actuator, design and control method based on time-varying disturbance and continuous synovial film
CN114952835A (en)*2022-05-202022-08-30南昌大学Flexible joint mechanical arm neural network integral sliding mode controller design method based on disturbance observer
CN115139337A (en)*2022-06-132022-10-04桂林电子科技大学Mechanical arm collision detection method, device, equipment and storage medium
CN115284294A (en)*2022-08-232022-11-04上海大学 A Dynamic Parameter Identification Method for Differential Joints
CN116141337A (en)*2023-04-142023-05-23苏州艾利特机器人有限公司Method for designing rigidity of elastic body of flexible joint mechanical arm
CN114454161B (en)*2022-01-062023-08-29安徽大学Manipulator rigid-flexible coupling system based on spherical motor drive
CN117773912A (en)*2023-11-212024-03-29哈尔滨工业大学(深圳)(哈尔滨工业大学深圳科技创新研究院)Method for estimating external force of mechanical arm by high-order synovial membrane momentum observer

Citations (10)

* Cited by examiner, † Cited by third party
Publication numberPriority datePublication dateAssigneeTitle
DE4311290A1 (en)*1992-04-061993-10-14Siemens Ag Model-based neural path guidance of an industrial robot
CN108594661A (en)*2018-05-082018-09-28东南大学A kind of bionic movement control method of the wheel-leg combined type robot based on CPG
CN109946975A (en)*2019-04-122019-06-28北京理工大学 A Reinforcement Learning Optimal Tracking Control Method for Unknown Servo System
CN110244561A (en)*2019-06-112019-09-17湘潭大学 An Adaptive Sliding Mode Control Method for Two-stage Inverted Pendulum Based on Disturbance Observer
CN110653817A (en)*2019-08-202020-01-07南京航空航天大学Exoskeleton robot power-assisted control system and method based on neural network
CN110687918A (en)*2019-10-172020-01-14哈尔滨工程大学 A Trajectory Tracking Control Method for Underwater Robots Based on Regressive Neural Network Online Approximation
CN110744541A (en)*2019-10-082020-02-04哈尔滨工程大学Vision-guided underwater mechanical arm control method
CN111590544A (en)*2020-04-102020-08-28南方科技大学 A method and device for determining the output force of an exoskeleton
CN111687845A (en)*2020-06-232020-09-22哈尔滨工业大学Mechanical arm kinematics parameter calibration method based on inertia measurement unit
CN112025682A (en)*2020-09-022020-12-04中国科学技术大学 Control method and system of flexible exoskeleton robot based on muscle coordination theory

Patent Citations (10)

* Cited by examiner, † Cited by third party
Publication numberPriority datePublication dateAssigneeTitle
DE4311290A1 (en)*1992-04-061993-10-14Siemens Ag Model-based neural path guidance of an industrial robot
CN108594661A (en)*2018-05-082018-09-28东南大学A kind of bionic movement control method of the wheel-leg combined type robot based on CPG
CN109946975A (en)*2019-04-122019-06-28北京理工大学 A Reinforcement Learning Optimal Tracking Control Method for Unknown Servo System
CN110244561A (en)*2019-06-112019-09-17湘潭大学 An Adaptive Sliding Mode Control Method for Two-stage Inverted Pendulum Based on Disturbance Observer
CN110653817A (en)*2019-08-202020-01-07南京航空航天大学Exoskeleton robot power-assisted control system and method based on neural network
CN110744541A (en)*2019-10-082020-02-04哈尔滨工程大学Vision-guided underwater mechanical arm control method
CN110687918A (en)*2019-10-172020-01-14哈尔滨工程大学 A Trajectory Tracking Control Method for Underwater Robots Based on Regressive Neural Network Online Approximation
CN111590544A (en)*2020-04-102020-08-28南方科技大学 A method and device for determining the output force of an exoskeleton
CN111687845A (en)*2020-06-232020-09-22哈尔滨工业大学Mechanical arm kinematics parameter calibration method based on inertia measurement unit
CN112025682A (en)*2020-09-022020-12-04中国科学技术大学 Control method and system of flexible exoskeleton robot based on muscle coordination theory

Non-Patent Citations (2)

* Cited by examiner, † Cited by third party
Title
曾伟鹏等: "采用非线性干扰观测器的机械臂补偿型滑模控制", 《华侨大学学报(自然科学版)》*
秦勇等: "两轮自平衡机器人运动控制研究", 《哈尔滨工业大学学报》*

Cited By (11)

* Cited by examiner, † Cited by third party
Publication numberPriority datePublication dateAssigneeTitle
CN113977571A (en)*2021-07-122022-01-28洛阳尚奇机器人科技有限公司Flexible joint robot output torque control method
CN113977571B (en)*2021-07-122023-08-11洛阳尚奇机器人科技有限公司Flexible joint robot output torque control method
CN114454161B (en)*2022-01-062023-08-29安徽大学Manipulator rigid-flexible coupling system based on spherical motor drive
CN114536334A (en)*2022-02-232022-05-27浙江工业大学High-order sliding mode anti-interference control method for flexible mechanical arm system
CN114536334B (en)*2022-02-232023-08-08浙江工业大学High-order sliding mode anti-interference control method for flexible mechanical arm system
CN114740734A (en)*2022-04-292022-07-12重庆邮电大学 Flexible actuator, design and control method based on time-varying disturbance and continuous synovial film
CN114952835A (en)*2022-05-202022-08-30南昌大学Flexible joint mechanical arm neural network integral sliding mode controller design method based on disturbance observer
CN115139337A (en)*2022-06-132022-10-04桂林电子科技大学Mechanical arm collision detection method, device, equipment and storage medium
CN115284294A (en)*2022-08-232022-11-04上海大学 A Dynamic Parameter Identification Method for Differential Joints
CN116141337A (en)*2023-04-142023-05-23苏州艾利特机器人有限公司Method for designing rigidity of elastic body of flexible joint mechanical arm
CN117773912A (en)*2023-11-212024-03-29哈尔滨工业大学(深圳)(哈尔滨工业大学深圳科技创新研究院)Method for estimating external force of mechanical arm by high-order synovial membrane momentum observer

Also Published As

Publication numberPublication date
CN112643670B (en)2022-07-29

Similar Documents

PublicationPublication DateTitle
CN112643670B (en)Flexible joint control method based on sliding-mode observer
CN109927032B (en)Mechanical arm track tracking control method based on high-order sliding-mode observer
CN112947067B (en)Precise tracking control method for three-dimensional track of underwater robot
JPH0740204B2 (en) Controller for multi-degree-of-freedom nonlinear mechanical system
CN113325805B (en) A kind of active disturbance rejection controller and its design method
CN111572818B (en)Magnetic suspension control moment gyroscope frame rate servo system and control method
CN108597058A (en) State Cascade Estimation Method for Distributed Drive Electric Vehicle Based on Pseudo-Measurement Information
CN111948943A (en)Combined sliding mode motion control method of flexible mechanical arm
CN106483844A (en)The implementation method of the electrohydraulic servo system adaptive location controller based on non linear robust
CN111251288B (en)Flexible robot cascade control system and method based on time-varying interference compensation
CN109426150B (en)Load simulator backstepping control method based on extended state observer
CN113283090B (en)Friction compensation method for electric servo system of airplane steering engine based on bee colony algorithm
CN111510035A (en) A control method and device for a permanent magnet synchronous motor
CN111673742A (en)Industrial robot trajectory tracking control algorithm
CN112147894B (en) Active Control Method of Wheeled Mobile Robot Based on Kinematics and Dynamics Model
CN116276986B (en)Composite learning self-adaptive control method of flexible driving robot
CN104020664B (en)A kind of flexible mechanical arm interference observer method for designing based on partial differential equation
CN112462606B (en) A Dynamic Parameter Identification Method for Flexible Joints Based on Adaptive Control
CN116638544B (en) A collaborative control method for joint modules based on hyperlocal model
CN111293949B (en)Control method of anti-interference electric six-degree-of-freedom parallel mechanism
CN115421391B (en)Backstepping sliding mode control method of photoelectric tracking turntable
CN106066603A (en)There is the implementation method of the electrohydraulic servo system ADAPTIVE ROBUST positioner of accurate tracking performance
CN116482977A (en)Novel nonsingular rapid terminal sliding mode control method and system for underwater robot
CN118971719B (en)Backlash oscillation suppression control method based on transmission torque estimation and compensation
CN114624994B (en) A Novel Active Disturbance Rejection Control Method and System for High-Order Flexible Linear Systems

Legal Events

DateCodeTitleDescription
PB01Publication
PB01Publication
SE01Entry into force of request for substantive examination
SE01Entry into force of request for substantive examination
GR01Patent grant
GR01Patent grant

[8]ページ先頭

©2009-2025 Movatter.jp