Movatterモバイル変換


[0]ホーム

URL:


CN112633741A - Task allocation method, equipment and computer readable storage medium - Google Patents

Task allocation method, equipment and computer readable storage medium
Download PDF

Info

Publication number
CN112633741A
CN112633741ACN202011610873.6ACN202011610873ACN112633741ACN 112633741 ACN112633741 ACN 112633741ACN 202011610873 ACN202011610873 ACN 202011610873ACN 112633741 ACN112633741 ACN 112633741A
Authority
CN
China
Prior art keywords
task
service robot
kth
tasks
executed
Prior art date
Legal status (The legal status is an assumption and is not a legal conclusion. Google has not performed a legal analysis and makes no representation as to the accuracy of the status listed.)
Pending
Application number
CN202011610873.6A
Other languages
Chinese (zh)
Inventor
张晓璐
张献涛
暴筱
林小俊
支涛
Current Assignee (The listed assignees may be inaccurate. Google has not performed a legal analysis and makes no representation or warranty as to the accuracy of the list.)
Beijing Yunji Technology Co Ltd
Original Assignee
Beijing Yunji Technology Co Ltd
Priority date (The priority date is an assumption and is not a legal conclusion. Google has not performed a legal analysis and makes no representation as to the accuracy of the date listed.)
Filing date
Publication date
Application filed by Beijing Yunji Technology Co LtdfiledCriticalBeijing Yunji Technology Co Ltd
Priority to CN202011610873.6ApriorityCriticalpatent/CN112633741A/en
Publication of CN112633741ApublicationCriticalpatent/CN112633741A/en
Pendinglegal-statusCriticalCurrent

Links

Images

Classifications

Landscapes

Abstract

The embodiment of the application provides a method, equipment and a computer readable storage medium for task allocation, wherein the method comprises the steps of obtaining N tasks which can be executed by a service robot, wherein N is an integer which is more than or equal to 1; calculating the task score of the ith task in the plurality of service robots in the N tasks, wherein i belongs to [1, N ]; and allocating the ith task to the service robot with the highest task score value. According to the method, the tasks executable by the service robots are obtained, the task scores of the tasks in each service robot are calculated, the tasks are further allocated to the service robot with the highest score value, the demand tasks of hotel customers can be reasonably and effectively allocated to the service robot, so that the flow automation of hotel services is realized, and the hotel service efficiency is further improved.

Description

Task allocation method, equipment and computer readable storage medium
Technical Field
The present application relates to the field of information processing technologies, and in particular, to a method, an apparatus, and a computer-readable storage medium for task allocation.
Background
With the deep development of digitization and intelligence technologies in various fields, more and more intelligent devices play an important role in hotels. For example, the introduction of devices such as intelligent sound boxes, intelligent guest room control switches, and intelligent robots has gradually accelerated the digital process of hotels. Particularly, the hotel service robot is used, so that the manpower resource of the hotel is saved to a great extent.
At present, many distribution services can be solved by hotel service robots, such as slippers, bottled water, toothbrush and tooth cleaners, for customers. However, when the hotel service robot is used more and more commonly, many requirements of customers need to be met by the hotel service robot, under the condition of a large number of requirements, the task allocation system allocates tasks to the hotel service robot at will, and the hotel service robot also receives the tasks at will, so that part of the robots need to process a plurality of tasks, and part of the robots are in an idle state, so that the whole service flow cannot be effectively supervised, the hotel service efficiency is low, and hotel customers cannot obtain timely and effective service guarantee. Therefore, how to reasonably and effectively distribute the demand tasks of hotel customers to the hotel service robot becomes a problem which needs to be solved urgently.
Disclosure of Invention
An object of the embodiments of the present application is to provide a method, an apparatus, and a computer-readable storage medium for task allocation, which can reasonably and effectively allocate a demand task of a hotel customer to a hotel service robot.
In a first aspect, an embodiment of the present application provides a method for task allocation, including: acquiring N tasks which can be executed by a service robot, wherein N is an integer greater than or equal to 1; calculating the task score of the ith task in each service robot in the plurality of service robots in the N tasks, wherein i belongs to [1, N ]; and distributing the ith task to the service robot with the highest task score value.
In the implementation process, the background server obtains the tasks executable by the service robots, calculates the task score of each task in each service robot, and allocates each task to the service robot with the highest task score value, so that the automation of the hotel service process is realized, the demand tasks of hotel customers can be reasonably and effectively allocated to the hotel service robots, and the hotel service efficiency is further improved.
With reference to the first aspect, in an embodiment, acquiring N tasks that the service robot can perform includes: acquiring at least one request task of a customer; and screening the at least one request task to obtain the N tasks.
In the implementation process, the background server screens tasks executable by the service robot from the tasks requested by the customers, and further mechanizes and intelligentizes part of hotel service work, so that the investment of human resources is reduced, and the cost is saved.
With reference to the first aspect, in another implementation manner, a kth service robot in the plurality of service robots corresponds to M task scores, where M represents a total number of tasks to be executed by the kth service robot, where the M task scores are calculated by ranking the ith task after a jth task in the kth service robot, where j represents a sequence number of the tasks to be executed in the kth service robot, and j belongs to [1, M ]; when the task score calculated after the ith task is ranked at the jth task to be executed in the kth service machine is the highest among the task scores determined by all the service robots, the step of allocating the ith task to the service robot with the highest task score value comprises the following steps: and distributing the ith task to the kth service robot, wherein the ith task is sequentially executed at the (j + 1) th service robot.
In the implementation process, the task score of each task is calculated on all possible sequences of all the service robots for each task to be distributed, the service robot with the largest task score is finally screened as the service robot for executing the task, and the task is executed after the execution sequence corresponding to the service robot with the largest task score is ranked, so that the robot for executing the task and the execution sequence in the robot are determined, and the reasonable and effective distribution of the task is realized.
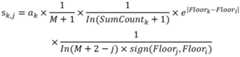
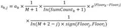
With reference to the first aspect, in another embodiment, the calculating the task score of the ith task of the N tasks for each service robot of the plurality of service robots includes calculating the task score of each service robot according to the following formula:
Figure BDA0002873581440000031
wherein s isk,jRepresenting the task score calculated after the ith task is ranked at the jth task to be executed in the kth service machine; a iskThe weight parameter representing the kth service robot is initialized to 2; m represents the total number of tasks to be executed by the kth service robot; SumCountkRepresenting the total number of tasks executed by the kth service robot on the same day; floorkRepresenting the floor where the kth service robot is currently located; flooriRepresenting the floor where the ith task is located; floor | (Floor)k-FlooriL represents the difference value between the current floor of the kth service robot and the floor of the ith task; floorjRepresenting the floor where the jth task to be executed in the kth service robot is located;
sign(Floorj,Floori) For the piecewise function, the following is defined:
Figure BDA0002873581440000032
namely, whether the floor where the ith task is located and the floor where the jth task to be executed in the kth service robot is located are on the same floor or not is judged.
In the implementation process, all possible service robots are calculated in a traversal mode for each task by using a task score calculation formula, task scores in all possible service robots under all possible sequences are calculated in a traversal mode, so that the task score under all the possibilities of each task is obtained, and finally, a result corresponding to the largest task score is selected as an allocation result of the task, and effective allocation of the task is further achieved.
With reference to the first aspect, in another embodiment, after the assigning the ith task to the service robot with the highest task score, the method further includes: acquiring the total number of executed tasks of the kth service robot and an evaluation result of the kth service robot; updating the state value of the kth service robot according to the total number of the tasks executed by the kth service robot; according to the number of the evaluation results in a preset time period, a weight parameter a of the kth service robotkAnd (6) optimizing.
In the implementation process, the service robot which completes the task updates the state value, so that preparation is made for reasonable distribution of the next task at any time.
With reference to the first aspect, in another implementation, the updating the state value of the kth service robot according to the total number of tasks executed by the kth service robot includes updating the state value of the kth service robot according to the following formula:
SumCountk′=SumCountk+1
wherein, SumCountk' represents the updated total number of executed tasks of the kth service robot on the current day.
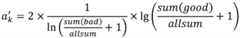
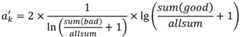
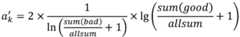
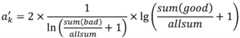
With reference to the first aspect, in another embodiment, the weighting parameter a for the kth service robot according to the number of evaluation results in a preset time periodkOptimizing, including according to the following formulakOptimizing:
Figure BDA0002873581440000041
allsum=sum(good)+sum(bad)+sum(normal)
wherein,a′kRepresenting the updated weight parameter of the kth service robot; sum (good) represents the number of good comments of the kth service robot in the preset time period; sum (bad) represents the number of bad comments of the kth service robot in the preset time period; sum (normal) represents the number of critics of the k-th service robot within the preset time period; and the total number of evaluations of the kth service robot in the preset time period is represented by allsum.
In the implementation process, the service robot is subjected to weight optimization regularly, and tasks are reasonably and effectively distributed to the service robot according to the weight of the service robot, so that the tasks are responded to the greatest extent, and the hotel service efficiency is further improved.
In a second aspect, an embodiment of the present application provides a task allocation apparatus, where an obtaining module is configured to obtain N tasks that can be executed by a service robot, where N is an integer greater than or equal to 1;
the processing module is used for calculating the task score of the ith task in the N tasks in each service robot in the plurality of service robots, wherein i belongs to [1, N ];
the processing module is also used for distributing the ith task to the service robot with the highest task score value.
With reference to the second aspect, in one embodiment, the obtaining module is further configured to obtain at least one requested task of the customer; and screening the at least one request task to obtain the N tasks.
With reference to the second aspect, in another embodiment, a kth service robot in the plurality of service robots corresponds to M task scores, where M represents a total number of tasks to be executed by the kth service robot, where the M task scores are calculated by ranking the ith task after a jth task in the kth service robot, where j represents a sequence number of the tasks to be executed in the kth service robot, and j ∈ [1, M ];
when the task score calculated after the ith task is ranked at the jth task to be executed in the kth service machine is the highest among the task scores determined by all the service robots, the step of allocating the ith task to the service robot with the highest task score value comprises the following steps:
and distributing the ith task to the kth service robot, wherein the ith task is sequentially executed at the (j + 1) th service robot.
With reference to the second aspect, in another embodiment, the calculating the task score of the ith task of the N tasks for each service robot of the plurality of service robots includes calculating the task score of each service robot according to the following formula:
Figure BDA0002873581440000061
wherein s isk,jRepresenting the task score calculated after the ith task is ranked at the jth task to be executed in the kth service machine; a iskThe weight parameter representing the kth service robot is initialized to 2; m represents the total number of tasks to be executed by the kth service robot; SumCountkRepresenting the total number of tasks executed by the kth service robot on the same day; floorkRepresenting the floor where the kth service robot is currently located; flooriRepresenting the floor where the ith task is located; floor | (Floor)k-FlooriL represents the difference value between the current floor of the kth service robot and the floor of the ith task; floorjRepresenting the floor where the jth task to be executed in the kth service robot is located;
sign(Floorj,Floori) For the piecewise function, the following is defined:
Figure BDA0002873581440000062
namely, whether the floor where the ith task is located and the floor where the jth task to be executed in the kth service robot is located are on the same floor or not is judged.
Bonding ofIn a second aspect, in another embodiment, the processing module is further configured to: acquiring the total number of executed tasks of the kth service robot and an evaluation result of the kth service robot; updating the state value of the kth service robot according to the total number of the tasks executed by the kth service robot; according to the number of the evaluation results in a preset time period, a weight parameter a of the kth service robotkAnd (6) optimizing.
With reference to the second aspect, in another embodiment, the updating the state value of the kth service robot according to the total number of tasks executed by the kth service robot includes updating the state value of the kth service robot according to the following formula:
SumCountk′=SumCountk+1
wherein, SumCountk' represents the updated total number of executed tasks of the kth service robot on the current day.
With reference to the second aspect, in another embodiment, the processing module is specifically configured to: the weight parameter a of the kth service robot is determined according to the number of the evaluation results in the preset time periodkOptimizing, including according to the following formulakOptimizing:
Figure BDA0002873581440000071
allsum=sum(good)+sum(bad)+sum(normal)
wherein, a'kRepresenting the updated weight parameter of the kth service robot; sum (good) represents the number of good comments of the kth service robot in the preset time period; sum (bad) represents the number of bad comments of the kth service robot in the preset time period; sum (normal) represents the number of critics of the k-th service robot within the preset time period; and the total number of evaluations of the kth service robot in the preset time period is represented by allsum.
In a third aspect, an embodiment of the present application provides a task allocation apparatus, including:
a processor, a memory and a bus, the processor being connected to the memory via the bus, the memory storing computer readable instructions for carrying out the steps of the method as provided in the first aspect above when the computer readable instructions are executed by the processor.
In a fourth aspect, the present application provides a computer-readable storage medium, on which a computer program is stored, and when the computer program is executed by a server, the computer program implements the steps in the method as provided in the first aspect.
Additional features and advantages of the present application will be set forth in the description which follows, and in part will be obvious from the description, or may be learned by the practice of the embodiments of the present application. The objectives and other advantages of the application may be realized and attained by the structure particularly pointed out in the written description and claims hereof as well as the appended drawings.
Drawings
In order to more clearly illustrate the technical solutions of the embodiments of the present application, the drawings that are required to be used in the embodiments of the present application will be briefly described below, it should be understood that the following drawings only illustrate some embodiments of the present application and therefore should not be considered as limiting the scope, and that those skilled in the art can also obtain other related drawings based on the drawings without inventive efforts.
Fig. 1 is a flowchart of a method for task allocation according to an embodiment of the present disclosure;
fig. 2 is a schematic structural diagram of a task allocation apparatus according to an embodiment of the present application;
fig. 3 is a schematic structural diagram of another task allocation apparatus according to an embodiment of the present application.
Detailed Description
The technical solutions in the embodiments of the present application will be clearly and completely described below with reference to the drawings in the embodiments of the present application, and it is obvious that the described embodiments are only a part of the embodiments of the present application, and not all of the embodiments. The components of the embodiments of the present application, generally described and illustrated in the figures herein, can be arranged and designed in a wide variety of different configurations. Thus, the following detailed description of the embodiments of the present application, presented in the accompanying drawings, is not intended to limit the scope of the claimed application, but is merely representative of selected embodiments of the application. All other embodiments, which can be derived by a person skilled in the art from the embodiments of the present application without making any creative effort, shall fall within the protection scope of the present application.
It should be noted that: like reference numbers and letters refer to like items in the following figures, and thus, once an item is defined in one figure, it need not be further defined and explained in subsequent figures. Meanwhile, in the description of the present application, the terms "first", "second", and the like are used only for distinguishing the description, and are not to be construed as indicating or implying relative importance.
A method for task allocation according to an embodiment of the present application is described below with reference to fig. 1.
Referring to fig. 1, fig. 1 is a flowchart of a task allocation method according to an embodiment of the present application, where the method may be applied to a task allocation apparatus shown in fig. 2 and fig. 3, and specifically, the method shown in fig. 1 includes:
and 110, acquiring N tasks which can be executed by the service robot.
Acquiring N tasks which can be executed by a service robot, wherein N is an integer greater than or equal to 1;
acquiring N tasks executable by the service robot, wherein the N tasks comprise:
acquiring at least one request task of a customer;
and screening the at least one request task to obtain N tasks which can be executed by the service robot.
After a hotel customer checks in a hotel, there are a variety of check-in service needs, for example: cleaning rooms, cleaning, delivering articles, washing clothes, waking up, repairing, returning rooms and the like.
As an embodiment, first, a service request of a hotel customer is obtained;
it should be noted that the obtaining manner includes at least one of a telephone in a room, a smart speaker, a filling form, a WeChat client application, and a hotel client, but the present application is not limited thereto.
It should be noted that each service request includes: the customer's request time, the customer's unique identification, the customer's room number, the floor, the service category, and the service content, but the application is not limited thereto.
The service category may be a delivery category, a room cleaning category, or a laundry category, but the present application is not limited thereto.
As an example, a hotel customer may issue Request requests, either of which may be issuediIncluding unique identification GuestID of the customeriTime of request issueiRoomNumber of room number where customer is locatediFloor where the customer isiAnd type RequestType of the requesti. Therefore, Request is requestediMay be represented as the following five-tuple: { GuestIDi,Timei,RoomNumberi,Floori,RequestTypei}。
As an embodiment, the services which can be completed by the existing service robot are all related to delivery, and the services such as repair, cleaning, waking and the like cannot be completed. Therefore, a set of all task types { ServiceType }, { ServiceType } that can be supported by one service robot takes the value of ServiceType } as a subset of RequestType, and is configured by the background server.
Specifically, when the executable task is screened, each Request is traversediAccording to the request type RequestType thereiniComparing the type { ServiceType } which can be completed by the service robot, if equal values exist, recording the Request as a task which can be completed by the service robot, and finally obtaining a Request set candidate { Request } which needs to be completedcandidateAnd other tasks which cannot be completed can be handed over to manual workLine processing follows.
In the implementation process, the background server screens tasks executable by the service robot from the tasks requested by the customers, and further mechanizes and intelligentizes part of hotel service work, so that the investment of human resources is reduced, and the cost is saved.
And 120, calculating the task score of the ith task in each service robot in the plurality of service robots in the N tasks.
Calculating the task score of the ith task in the plurality of service robots in the N tasks, wherein i belongs to [1, N ];
calculating a task score of an ith task of the N tasks for each of the plurality of service robots, including calculating the task score for each service robot according to the following formula:
Figure BDA0002873581440000101
wherein s isk,jRepresenting the task score calculated after the ith task is ranked at the jth task to be executed in the kth service machine;
akinitializing a weight parameter representing the kth service robot to be 2;
m represents the total number of tasks to be executed by the kth service robot;
SumCountkrepresenting the total number of tasks executed by the kth service robot on the same day;
Floorkrepresenting the current floor of the kth service robot;
Floorirepresenting the floor where the ith task is located;
|Floork-Floorii represents the difference value between the current floor of the kth service robot and the floor of the ith task;
Floorjrepresenting the floor where the jth task to be executed in the kth service robot is located;
sign(Floorj,Floori) For section boxesNumber, defined as follows:
Figure BDA0002873581440000111
namely, whether the floor where the ith task is located and the floor where the jth task to be executed in the kth service robot is located are on the same floor or not is judged.
The method comprises the following steps that a k-th service robot in a plurality of service robots corresponds to M task scores, wherein M represents the total number of tasks to be executed by the k-th service robot, the M task scores are obtained by calculating the ith task after the jth task is arranged in the k-th service robot, wherein j represents the sequence number of the tasks to be executed in the k-th service robot, and j belongs to [1, M ];
when the task score calculated after the ith task is ranked at the jth task to be executed in the kth service robot is the highest among the task scores determined by all the service robots, the ith task is allocated to the service robot with the highest task score value, and the method comprises the following steps:
and allocating the ith task to the kth service robot, wherein the ith task is sequentially executed in the (j + 1) th service robot.
In the implementation process, the task score of each task is calculated on all possible sequences of all the service robots for each task to be distributed, the service robot with the largest task score is finally screened as the service robot for executing the task, and the task is executed after the execution sequence corresponding to the service robot with the largest task score is ranked, so that the robot for executing the task and the execution sequence in the robot are determined, and the reasonable and effective distribution of the task is realized.
When the customer request needing to be processed is determined, the request needs to be converted into a task to be distributed to the service robots of the hotel, and for each service robot, the request of the customer is received and a service response is carried out.
As an example, a received RequestiGenerating Task corresponding to Task to be completedi(Request and Task correspond to the same subscript i). Kth service robotRobotkAny Task that needs to be processediRequest containing customer to be servediOrder pickup time in processing StartTimeiAnd a processed closing timeiThus, any TaskiCan be expressed as a triplet: { Requesti,StartTimei,CloseTimeiAnd determining the service efficiency of the service robot for each task according to the processing time of each task.
As an embodiment, at the same time, each service robot may have many tasks waiting to be executed, and there is a sequence of execution, so that the kth service robot currently has to execute the task TaskQueuekConsists of multiple tasks and forms a queue, which can be expressed as: [ Task1,Task2,…,TaskM]Wherein M represents the total number of tasks to be executed by the kth service robot;
as another embodiment, the kth service robot has other relevant states, such as the Floor where the kth service robot is currently located, during the task execution processkCumulative service duration SumTime of the daykThe total number of executed tasks SumCount on the same daykThus, the state of the kth service robot can be represented as a quadruple: { Floork,SumTimek,SumCountk,TaskQueuek}。
As an example, choose { Request }candidateA Request ofiCorresponding TaskiTaskiThe task execution method comprises the following specific steps of allocating to a kth service machine and executing at a j +1 th position in the kth service machine, wherein j represents an execution sequence number of a task in the kth service machine:
traversing all possible k e [1 ], total number of service robots]And traversing all possible j e [1, M ] in k]Task of computingiThe calculation formula is as follows:
Figure BDA0002873581440000121
wherein s isk,jRepresenting the task score calculated after the ith task is ranked at the jth task to be executed in the kth service machine;
akinitializing a weight parameter representing the kth service robot to be 2;
m represents the total number of tasks to be executed by the kth service robot;
SumCountkrepresenting the total number of tasks executed by the kth service robot on the same day;
Floorkrepresenting the current floor of the kth service robot;
Floorirepresenting the floor where the ith task is located;
|Floork-Flooril represents the difference value between the current floor of the kth service robot and the floor of the ith task;
Floorjrepresenting the floor where the jth task to be executed in the kth service robot is located;
sign(Floorj,Floori) For the piecewise function, the following is defined:
Figure BDA0002873581440000131
namely, whether the floor where the ith task is located and the floor where the jth task to be executed in the kth service robot is located are on the same floor or not is judged.
Note that the task score may indicate the priority of the task or indicate the priority of the task, but the present invention is not limited thereto.
Finally, s is selectedk,jThe combination of the set (k, j) with the largest value represents the TaskiMay be assigned to the service robot k and ranked in the service robot k for the j +1 th task to execute.
In the implementation process, all possible service robots are calculated in a traversal mode for each task by using a task score calculation formula, task scores in all possible service robots under all possible sequences are calculated in a traversal mode, so that the task score under all the possibilities of each task is obtained, and finally, a result corresponding to the largest task score is selected as an allocation result of the task, and effective allocation of the task is further achieved.
And 130, distributing the ith task to the service robot with the highest task score value.
And allocating the ith task to the service robot with the highest task score value.
After the ith task is allocated to the service robot with the highest task score value, the method further comprises the following steps:
acquiring the total number of executed tasks of the kth service robot and an evaluation result of the kth service robot;
updating the state value of the kth service robot according to the total number of the tasks executed by the kth service robot;
according to the number of the evaluation results in the preset time period, the weight parameter a of the kth service robot is setkAnd (6) optimizing.
In the implementation process, the service robot which completes the task updates the state value, so that preparation is made for reasonable distribution of the next task at any time.
Updating the state value of the kth service robot according to the total number of tasks executed by the kth service robot, wherein the updating of the state value of the kth service robot comprises the following steps of:
SumCountk′=SumCountk+1
wherein, SumCountk' represents the total number of executed tasks updated by the kth service robot on the current day.
According to the evaluation result in the preset time period, the weight parameter a of the kth service robot is setkThe optimization includes, a according to the following formulakOptimizing:
Figure BDA0002873581440000141
allsum=sum(good)+sum(bad)+sum(normal)
wherein, a'kRepresenting the updated weight parameter of the kth service robot; sum (good) represents the number of the k-th service robot which is good in the preset time period; sum (bad) represents the bad comment number of the kth service robot in a preset time period; sum (normal) represents the number of the k-th service robot evaluated in a preset time period; and the total number of evaluations of the kth service robot in a preset time period is represented by allsum.
As an example, a Request will be requestediFrom { RequestcandidateGet rid of it and convert the request into TaskiAssigned to the kth service RobotkAnd executing in the j +1 th position side by side to form TaskQueuekTask of j +1 th in queuej+1And StartTime is addediIs set as the current time;
then from { RequestcandidateChoose another Request to be completed, repeat the above steps until { Request }candidateThe requests in are all allocated.
By the method, the newly generated task can be distributed to the appropriate service robot, the service robot can process the task, the current tasks are minimum, and the service robot can be responded in time.
As an example, when the service Robot RobotkTask completion TaskiThen, the time at this time is set as the completion time CloseTimeiAnd to service RobotkThe state value of (2) is updated. Namely to SumCountkPerform an add-on operation and accumulate to SumTime upon completionkIn (1), the calculation is as follows:
SumCountk′=SumCountk+1
wherein, SumCountk' represents the total number of executed tasks updated by the kth service robot on the current day.
As an example, for a service Robot, RobotkThe updating of the state value may further include the following equation:
SumTime′k=SumTimek+CloseTimei-StartTimei
wherein, SumTime'kRepresenting the updated total working time of the kth service robot.
The total working time of each service robot can be determined by updating the completion time of the service robot, so that the service robot can be prepared for further evaluation of the state of the service robot.
As an example, the user may rate the service robot.
It should be noted that the evaluation manner may be a touch screen click, a call return visit, or a voice interaction, but the application is not limited thereto.
The obtained evaluation may be classified into a good score, a medium score and a poor score, or may be excellent, good or poor, or may be up, medium or down, but the present application is not limited thereto.
As an embodiment, taking good evaluation, medium evaluation and poor evaluation as examples, the background server stores data and records the data as Robotrate every time the evaluation is obtainedkEach of which indicates a service RobotkNumber of current good scores, bad scores, and medium scores.
When the robot executes a task for a period of time, feedback of the execution result of the robot needs to be processed, for example, a robot with slow action, a robot with small fault, or a robot with general stability may have a problem in the service process, and a user may give a relatively low score or evaluation.
As an embodiment, the service robot is weight-optimized according to the evaluation result of the service robot within a preset time period.
It should be noted that the preset time period may be one week, two weeks, one month, or one year, but the present application is not limited thereto.
Robot with servicekFor example, the weight of the evaluation result is optimized according to the evaluation result in one week, and the optimization formula is as follows:
Figure BDA0002873581440000161
allsum=sum(good)+sum(bad)+sum(normal)
wherein, a'kRepresenting the updated weight parameter of the kth service robot;
sum (good) represents the number of the k-th service robot which is good in the preset time period;
sum (bad) represents the bad comment number of the kth service robot in a preset time period;
sum (normal) represents the number of the k-th service robot evaluated in a preset time period;
and the total number of evaluations of the kth service robot in a preset time period is represented by allsum.
Updated weight parameter a 'of kth service robot'kCan be used for task score calculation of the next task to be distributed.
In the implementation process, the service robot is subjected to weight optimization regularly, and tasks are reasonably and effectively distributed to the service robot according to the weight of the service robot, so that the tasks are responded to the greatest extent, and the hotel service efficiency is further improved.
The background server obtains the tasks executable by the service robots, calculates the task score of each task in each service robot, and allocates each task to the service robot with the highest task score value, so that the automation of the hotel service process is realized, the demand tasks of hotel customers can be reasonably and effectively allocated to the hotel service robots, and the hotel service efficiency is further improved.
A method for task allocation according to an embodiment of the present application is described above with reference to fig. 1, and an apparatus for task allocation according to an embodiment of the present application is described below with reference to fig. 2 and 3.
Referring to fig. 2, fig. 2 is a schematic structural diagram of a task allocation device according to an embodiment of the present disclosure, and thetask allocation device 200 shown in fig. 2 corresponds to the method in fig. 1 and includes functional modules capable of implementing the method in fig. 1.
In one embodiment, anapparatus 200 for task assignment shown in FIG. 2 comprises: anacquisition module 210 and aprocessing module 220;
the service robot comprises an acquisition module, a processing module and a processing module, wherein the acquisition module is used for acquiring N tasks which can be executed by the service robot, and N is an integer which is more than or equal to 1;
the processing module is used for calculating the task score of the ith task in the N tasks in each service robot in the plurality of service robots, wherein i belongs to [1, N ];
the processing module is also used for distributing the ith task to the service robot with the highest task score value.
In one embodiment, the obtaining module is further configured to obtain at least one requested task of the customer; and screening the N tasks from at least one request task.
In one embodiment, a kth service robot in a plurality of service robots corresponds to M task scores, wherein M represents the total number of tasks to be executed by the kth service robot, the M task scores are calculated after the ith task is ranked in the kth service robot after the jth task to be executed, wherein j represents a sequence number of the tasks to be executed in the kth service robot, and j belongs to [1, M ];
when the task score calculated after the ith task is ranked at the jth task to be executed in the kth service robot is the highest among the task scores determined by all the service robots, the ith task is allocated to the service robot with the highest task score value, and the method comprises the following steps:
and allocating the ith task to the kth service robot, wherein the ith task is sequentially executed at the (j + 1) th service robot.
In another embodiment, calculating the task score of the ith task of the N tasks for each of the plurality of service robots includes calculating the task score for each service robot according to the following formula:
Figure BDA0002873581440000181
wherein s isk,jRepresenting the task score calculated after the ith task is ranked at the jth task to be executed in the kth service machine; a iskInitializing a weight parameter representing the kth service robot to be 2; m represents the total number of tasks to be executed by the kth service robot; SumCountkRepresenting the total number of tasks executed by the kth service robot; floorkRepresenting the current floor of the kth service robot; flooriRepresenting the floor where the ith task is located; floor | (Floor)k-FlooriI represents the difference value between the current floor of the kth service robot and the floor of the ith task; floorjRepresenting the floor where the jth task to be executed in the kth service robot is located; sign (Floor)j,Floori) For the piecewise function, the following is defined:
Figure BDA0002873581440000182
namely, whether the floor where the ith task is located and the floor where the jth task to be executed in the kth service robot is located are on the same floor or not is judged.
In another embodiment, the processing module is further configured to: acquiring the total number of executed tasks of the kth service robot and an evaluation result of the kth service robot;
updating the state value of the kth service robot according to the total number of the tasks executed by the kth service robot;
according to the number of the evaluation results in the preset time period, the weight parameter a of the kth service robot is setkAnd (6) optimizing.
In another embodiment, updating the state value of the kth service robot according to the total number of tasks performed by the kth service robot includes updating the state value of the kth service robot according to the following formula:
SumCountk′=SumCountk+1
wherein, SumCountk' represents the total number of executed tasks updated by the kth service robot on the current day.
The total number SumCount of executed tasks updated by the kth service robot on the same dayk' can be used for task score calculation of the next task to be assigned.
In another embodiment, the processing module is specifically configured to: according to the evaluation result in the preset time period, the weight parameter a of the kth service robot is setkThe optimization includes, a according to the following formulakOptimizing:
Figure BDA0002873581440000191
allsum=sum(good)+sum(bad)+sum(normal)
wherein, a'kRepresenting the updated weight parameter of the kth service robot; sum (good) represents the number of the k-th service robot which is good in the preset time period; sum (bad) represents the bad comment number of the kth service robot in a preset time period; sum (normal) represents the number of the k-th service robot evaluated in a preset time period; and the total number of evaluations of the kth service robot in a preset time period is represented by allsum.
It should be noted that fig. 2 provides atask allocation apparatus 200, which is capable of implementing various processes related to task allocation in the method embodiment of fig. 1. The operations and/or functions of the respective modules in thetask assigning apparatus 200 are respectively for implementing the corresponding flows in the method embodiment in fig. 1. Reference may be made specifically to the description of the above method embodiments, and a detailed description is appropriately omitted herein to avoid redundancy.
Referring to fig. 3, fig. 3 is a schematic structural diagram of another task allocation apparatus according to an embodiment of the present disclosure, where thetask allocation apparatus 300 shown in fig. 3 may include: at least oneprocessor 310, such as a CPU, at least onecommunication interface 320, at least onememory 330, and at least onecommunication bus 340. Wherein thecommunication bus 340 is used for realizing direct connection communication of these components. Thecommunication interface 320 of the device in the embodiment of the present application is used for performing signaling or data communication with other node devices. Thememory 330 may be a high-speed RAM memory or a non-volatile memory (e.g., at least one disk memory). Thememory 330 may optionally be at least one memory device located remotely from the aforementioned processor. Thememory 330 stores computer readable instructions which, when executed by theprocessor 310, cause the task assigning apparatus to perform the method process of fig. 1.
An embodiment of the present application provides a computer-readable storage medium, on which a computer program is stored, and when the computer program is executed by a server, the computer program implements the method process shown in fig. 1.
In the several embodiments provided in the present application, it should be understood that the disclosed system and method may be implemented in other ways. The above-described system embodiments are merely illustrative, and for example, the division of the system apparatus into only one logical functional division may be implemented in other ways, and for example, a plurality of apparatuses or components may be combined or integrated into another system, or some features may be omitted, or not implemented.
In addition, units described as separate parts may or may not be physically separate, and parts displayed as units may or may not be physical units, may be located in one place, or may be distributed on a plurality of network units. Some or all of the units can be selected according to actual needs to achieve the purpose of the solution of the embodiment.
The above description is only an example of the present application and is not intended to limit the scope of the present application, and various modifications and changes may be made by those skilled in the art. Any modification, equivalent replacement, improvement and the like made within the spirit and principle of the present application shall be included in the protection scope of the present application.

Claims (10)

1. A method of task allocation, comprising:
acquiring N tasks which can be executed by a service robot, wherein N is an integer greater than or equal to 1;
calculating the task score of the ith task in each service robot in the plurality of service robots in the N tasks, wherein i belongs to [1, N ];
and distributing the ith task to the service robot with the highest task score value.
2. The method of claim 1, wherein the obtaining N tasks executable by the service robot comprises:
acquiring at least one request task of a customer;
and screening the at least one request task to obtain the N tasks.
3. The method according to claim 1 or 2,
the kth service robot in the plurality of service robots corresponds to M task scores, wherein M represents the total number of tasks to be executed by the kth service robot, the M task scores are obtained by calculating after the ith task is ranked in the kth service robot after the jth task is to be executed, wherein j represents the sequence number of the tasks to be executed in the kth service robot, and j belongs to [1, M ];
when the task score calculated after the ith task is ranked at the jth task to be executed in the kth service machine is the highest among the task scores determined by all the service robots, the step of allocating the ith task to the service robot with the highest task score value comprises the following steps:
and distributing the ith task to the kth service robot, wherein the ith task is sequentially executed at the (j + 1) th service robot.
4. The method of claim 3, wherein calculating the task score for the ith task of the N tasks in each of the plurality of service robots comprises calculating the task score for each service robot according to the following formula:
Figure FDA0002873581430000021
wherein s isk,jRepresenting the task score calculated after the ith task is ranked at the jth task to be executed in the kth service machine;
akthe weight parameter representing the kth service robot is initialized to 2;
m represents the total number of tasks to be executed by the kth service robot;
SumCountkrepresenting the total number of tasks executed by the kth service robot on the same day;
Floorkrepresenting the floor where the kth service robot is currently located;
Floorirepresenting the floor where the ith task is located;
|Floork-Flooril represents the difference value between the current floor of the kth service robot and the floor of the ith task;
Floorjrepresenting the floor where the jth task to be executed in the kth service robot is located;
sign(Floorj,Floori) For the piecewise function, the following is defined:
Figure FDA0002873581430000022
namely, whether the floor where the ith task is located and the floor where the jth task to be executed in the kth service robot is located are on the same floor or not is judged.
5. The method of claim 4, wherein after the assigning the ith task to the service robot with the highest task score, the method further comprises:
acquiring the total number of executed tasks of the kth service robot and an evaluation result of the kth service robot;
updating the state value of the kth service robot according to the total number of the tasks executed by the kth service robot;
according to the number of the evaluation results in a preset time period, a weight parameter a of the kth service robotkAnd (6) optimizing.
6. The method of claim 5, wherein the updating the state value of the kth service robot according to the total number of tasks performed by the kth service robot comprises updating the state value of the kth service robot according to the following formula:
SumCountk′=SumCOuntk+1
wherein, SumCountk' represents the updated total number of executed tasks of the kth service robot on the current day.
7. The method according to claim 5, wherein the weight parameter a of the kth service robot according to the number of the evaluation results in a preset time periodkOptimizing, including according to the following formulakOptimizing:
Figure FDA0002873581430000031
allsum=sum(good)+sum(bad)+sum(normal)
wherein, a'kRepresenting the updated weight parameter of the kth service robot;
sum (good) represents the number of good comments of the kth service robot in the preset time period;
sum (bad) represents the number of bad comments of the kth service robot in the preset time period;
sum (normal) represents the number of critics of the k-th service robot within the preset time period;
and the total number of evaluations of the kth service robot in the preset time period is represented by allsum.
8. An apparatus for task assignment, comprising:
the service robot comprises an acquisition module, a processing module and a processing module, wherein the acquisition module is used for acquiring N tasks which can be executed by the service robot, and N is an integer which is more than or equal to 1;
the processing module is used for calculating the task score of the ith task in the N tasks in each service robot in the plurality of service robots, wherein i belongs to [1, N ];
the processing module is also used for distributing the ith task to the service robot with the highest task score value.
9. An apparatus for task assignment, comprising:
a processor, a memory and a bus, the processor being connected to the memory via the bus, the memory storing computer readable instructions for implementing the method of task allocation according to any one of claims 1-7 when the computer readable instructions are executed by the processor.
10. A computer-readable storage medium, having stored thereon a computer program which, when executed by a server, implements the method of any one of claims 1-7.
CN202011610873.6A2020-12-302020-12-30Task allocation method, equipment and computer readable storage mediumPendingCN112633741A (en)

Priority Applications (1)

Application NumberPriority DateFiling DateTitle
CN202011610873.6ACN112633741A (en)2020-12-302020-12-30Task allocation method, equipment and computer readable storage medium

Applications Claiming Priority (1)

Application NumberPriority DateFiling DateTitle
CN202011610873.6ACN112633741A (en)2020-12-302020-12-30Task allocation method, equipment and computer readable storage medium

Publications (1)

Publication NumberPublication Date
CN112633741Atrue CN112633741A (en)2021-04-09

Family

ID=75286679

Family Applications (1)

Application NumberTitlePriority DateFiling Date
CN202011610873.6APendingCN112633741A (en)2020-12-302020-12-30Task allocation method, equipment and computer readable storage medium

Country Status (1)

CountryLink
CN (1)CN112633741A (en)

Cited By (1)

* Cited by examiner, † Cited by third party
Publication numberPriority datePublication dateAssigneeTitle
CN114019960A (en)*2021-10-192022-02-08北京云迹科技有限公司Scheduling method and device for multi-robot delivery

Citations (5)

* Cited by examiner, † Cited by third party
Publication numberPriority datePublication dateAssigneeTitle
CN107291078A (en)*2017-06-062017-10-24歌尔股份有限公司The dispatching method and device of a kind of service robot
CN109902901A (en)*2017-12-112019-06-18广东智动力知识产权运营有限公司Method for allocating tasks, device, storage medium and computer equipment
CN110046818A (en)*2019-04-152019-07-23广州高新兴机器人有限公司A kind of multi-robot Task Allocation
CN110648047A (en)*2019-08-162020-01-03深圳市轱辘汽车维修技术有限公司Task scheduling method, device, system and storage medium
CN111079990A (en)*2019-11-292020-04-28炬星科技(深圳)有限公司Cluster robot scheduling method, device, system, equipment and computer readable storage medium

Patent Citations (6)

* Cited by examiner, † Cited by third party
Publication numberPriority datePublication dateAssigneeTitle
CN107291078A (en)*2017-06-062017-10-24歌尔股份有限公司The dispatching method and device of a kind of service robot
US20190176337A1 (en)*2017-06-062019-06-13Goertek Inc.Method and device for dispatching service robots
CN109902901A (en)*2017-12-112019-06-18广东智动力知识产权运营有限公司Method for allocating tasks, device, storage medium and computer equipment
CN110046818A (en)*2019-04-152019-07-23广州高新兴机器人有限公司A kind of multi-robot Task Allocation
CN110648047A (en)*2019-08-162020-01-03深圳市轱辘汽车维修技术有限公司Task scheduling method, device, system and storage medium
CN111079990A (en)*2019-11-292020-04-28炬星科技(深圳)有限公司Cluster robot scheduling method, device, system, equipment and computer readable storage medium

Cited By (2)

* Cited by examiner, † Cited by third party
Publication numberPriority datePublication dateAssigneeTitle
CN114019960A (en)*2021-10-192022-02-08北京云迹科技有限公司Scheduling method and device for multi-robot delivery
CN114019960B (en)*2021-10-192024-06-07北京云迹科技股份有限公司Scheduling method and device for multi-robot delivery

Similar Documents

PublicationPublication DateTitle
Shi et al.MDP and machine learning-based cost-optimization of dynamic resource allocation for network function virtualization
JP6165777B2 (en) Computing system, computer storage memory, and computer-implemented method for automatic scaling
JP6254948B2 (en) Method, program, storage medium storing program, and system for assigning job to pool of virtual machine in distributed computing environment and executing task on virtual machine
CN109992422A (en)A kind of method for scheduling task towards GPU resource, device and system
WO2020233307A1 (en)Task data processing method and apparatus, computer device and storage medium
EP3507692A1 (en)Resource oversubscription based on utilization patterns in computing systems
CN106095569B (en)A kind of cloud workflow engine scheduling of resource and control method based on SLA
CN104951372A (en)Method for dynamic allocation of Map/Reduce data processing platform memory resources based on prediction
US20180262563A1 (en)Availability management operations in a distributed computing system
CN111291930A (en)Task allocation method and device, computing equipment and storage medium
CN109767057B (en) Resource allocation method, device, electronic device and storage medium
US20210004267A1 (en)Cooperative scheduling method and system for computing resource and network resource of container cloud platform
Ramirez et al.Capacity-driven scaling schedules derivation for coordinated elasticity of containers and virtual machines
CN116501478A (en)Task allocation method, device, equipment, medium and digital twin system
CN107430526A (en)For dispatching the method and node of data processing
CN118819870A (en) Resource scheduling method and system based on cloud computing
CN112633741A (en)Task allocation method, equipment and computer readable storage medium
CN108874520A (en)Calculation method and device
WO2018164888A1 (en)Availability management interfaces in a distributed computing system
CN109656692A (en)A kind of big data task management method, device, equipment and storage medium
US10785102B2 (en)Modifying distributed application based on cloud diagnostic data
CN111324459A (en)Calendar-based resource scheduling method and device, electronic equipment and storage medium
CN113886086A (en) Cloud platform computing resource allocation method, system, terminal and storage medium
CN108536518A (en)Method and system, reference platform, service terminal and the memory of task scheduling
CN109767094B (en)Smart cloud manufacturing task scheduling device

Legal Events

DateCodeTitleDescription
PB01Publication
PB01Publication
SE01Entry into force of request for substantive examination
SE01Entry into force of request for substantive examination
CB02Change of applicant information

Address after:Room 201, building 4, courtyard 8, Dongbeiwang West Road, Haidian District, Beijing

Applicant after:Beijing Yunji Technology Co.,Ltd.

Address before:Room 201, building 4, courtyard 8, Dongbeiwang West Road, Haidian District, Beijing

Applicant before:BEIJING YUNJI TECHNOLOGY Co.,Ltd.

CB02Change of applicant information
RJ01Rejection of invention patent application after publication

Application publication date:20210409

RJ01Rejection of invention patent application after publication

[8]ページ先頭

©2009-2025 Movatter.jp