Movatterモバイル変換


[0]ホーム

URL:


CN112613667A - Automatic scheduling method for passenger cabin personnel - Google Patents

Automatic scheduling method for passenger cabin personnel
Download PDF

Info

Publication number
CN112613667A
CN112613667ACN202011570250.0ACN202011570250ACN112613667ACN 112613667 ACN112613667 ACN 112613667ACN 202011570250 ACN202011570250 ACN 202011570250ACN 112613667 ACN112613667 ACN 112613667A
Authority
CN
China
Prior art keywords
flight
scheduling
personnel
passenger cabin
crew
Prior art date
Legal status (The legal status is an assumption and is not a legal conclusion. Google has not performed a legal analysis and makes no representation as to the accuracy of the status listed.)
Pending
Application number
CN202011570250.0A
Other languages
Chinese (zh)
Inventor
韩理希
周长凯
肖芳芳
Current Assignee (The listed assignees may be inaccurate. Google has not performed a legal analysis and makes no representation or warranty as to the accuracy of the list.)
Youhualin Information Technology Shanghai Co Ltd
Original Assignee
Youhualin Information Technology Shanghai Co Ltd
Priority date (The priority date is an assumption and is not a legal conclusion. Google has not performed a legal analysis and makes no representation as to the accuracy of the date listed.)
Filing date
Publication date
Application filed by Youhualin Information Technology Shanghai Co LtdfiledCriticalYouhualin Information Technology Shanghai Co Ltd
Priority to CN202011570250.0ApriorityCriticalpatent/CN112613667A/en
Publication of CN112613667ApublicationCriticalpatent/CN112613667A/en
Pendinglegal-statusCriticalCurrent

Links

Images

Classifications

Landscapes

Abstract

The invention is suitable for the technical field of operational research algorithms, and provides an automatic scheduling method for passenger cabin personnel, which comprises the steps of establishing a large mixed integer planning model and establishing future flight connection lines; inputting basic data and the flight connecting line into the large mixed integer planning model; optimizing the target cost solving precision of the large mixed integer programming model; the invention provides a crew scheduling system based on an operation and research algorithm, and solves the problem that a crew scheduling scheme with large-scale data rapid calculation and quantitative global optimal solution is provided by dividing the solution into two steps of connecting and scheduling, so that the crew scheduling scheme has the advantages of improving the efficiency and economic benefit of crew scheduling.

Description

Automatic scheduling method for passenger cabin personnel
Technical Field
The invention belongs to the technical field of operation research algorithms, and particularly relates to an automatic scheduling method for passenger cabin personnel.
Background
After the airline company obtains the flight schedule, it needs to schedule the flight tasks of the passenger cabin personnel. At present, the flight management system depends on manual arrangement, but personnel resources are not standard, the qualification and the preorder flight executing task of each person are different, then the fatigue degree management policy of a local party and the personnel flight balancing policy of each navigation department are considered, when the specification of a flight is large, a reasonable and optimal solution cannot be calculated manually, and thus precious profit space is lost. The cabin crew automatic scheduling system utilizes operational research algorithms to help airlines compile executable, efficient, and balanced flight plans for crew. In addition, the frequency of the action of personnel scheduling in the airline company is extremely high, and the system can play due roles for a long time and generate high input-output return.
Disclosure of Invention
The invention provides an automatic scheduling method for passenger cabin personnel, and aims to help an airline company to compile an executable, efficient and balanced personnel flight plan by utilizing an operational research algorithm.
The invention discloses an automatic scheduling method for passenger cabin personnel, which comprises the following steps:
s1, establishing a large mixed integer planning model, and establishing future flight connection lines;
s2, inputting basic data and the flight connecting line into the large mixed integer planning model;
s3, optimizing the target cost solving precision of the large mixed integer programming model;
and S4, outputting a shift arrangement result.
Preferably, in step S1, the main decision variable of the large mixed integer programming model is a binary variable, which indicates whether a certain leg is used in a connection, and a leg can be used only once in the set of all connections.
Preferably, in step S2, the main decision variable of the large mixed integer programming model is a binary variable, which indicates whether a person performs flight of a certain set of flight lines.
Preferably, the basic data includes:
past, present, and future flight plans, which include flight taking and backup flights; the flight information comprises scheduled taking-off and landing time, actual taking-off and landing place and time, machine type, machine number and other information;
qualification information of the staff to be scheduled, which includes but is not limited to information such as language, recent experience, qualification certificate, passport visa, business grade, etc.;
flight time limit and past attendance information of the personnel to be scheduled, wherein the flight time limit and the past attendance information comprise but are not limited to flight, backup, duty, vacation and other information;
optimization range limits, which include adjustments that may be specified for certain models or certain regulatory units.
Preferably, the basic data includes: restriction rules, which include, but are not limited to, office compliance requirements, and airline-specific compliance requirements.
Preferably, the basic data includes:
solving the target, which comprises the maximization of flight coverage, the minimization of cost such as lodging and hitching, and the balance of personnel flight time.
Preferably, the basic data includes:
overnight site restriction;
and (4) limiting airplane change stations.
Compared with the prior art, the invention has the beneficial effects that: according to the automatic scheduling method for the passenger cabin personnel, aiming at the defect that the manual scheduling of the crew scheduling plan cannot calculate the overall optimal result only depending on manual experience in the traditional flight scheduling plan, the invention provides the crew scheduling system based on the operation and research algorithm, the solution is divided into two steps of connecting and scheduling, the crew scheduling scheme has the advantages of fast calculation of large-scale data and providing a quantitative overall optimal solution, and the efficiency and the economic benefit of the crew scheduling are improved.
Drawings
FIG. 1 is a schematic diagram of a spatiotemporal network of the present invention.
FIG. 2 is a schematic diagram of the calculation process of the present invention.
Detailed Description
In order to make the objects, technical solutions and advantages of the present invention more apparent, the present invention is described in further detail below with reference to the accompanying drawings and embodiments. It should be understood that the specific embodiments described herein are merely illustrative of the invention and are not intended to limit the invention.
Referring to fig. 2, the present invention provides a technical solution: the automatic scheduling method for the passenger cabin personnel comprises the following steps:
s1, establishing a connection line of future flights by establishing a large mixed integer programming model, wherein the main decision variable is a binary variable and indicates whether a certain flight segment is in the connection line or not.
And S2, calculating the optimal personnel scheduling plan of the future flight plan again through the large mixed integer planning model, wherein the main decision variable is a binary variable and indicates whether a certain person carries out flight of a certain group of flight connecting lines.
The solution is mainly realized by a commercial solver (such as Gurobi and Cplex).
Inputting basic data:
past, present and future flight plans, including flight taking and backup flights. The flight information comprises scheduled taking-off and landing time, actual taking-off and landing place and time, machine type, machine number and other information;
second, the qualification information of the staff to be scheduled includes but is not limited to information such as language, recent experience, qualification certificate, passport visa, business grade and the like;
flight time limit and preamble attendance information of the personnel to be scheduled, including but not limited to flight, backup, duty, vacation and other information;
the restriction rules comprise, but are not limited to, local compliance requirements and self-defined compliance requirements of navigation department;
solving targets, including but not limited to, maximizing flight coverage, minimizing costs such as staying and staying, taking flight and the like, balancing personnel flight time and the like;
sixthly, limiting the overnight sites;
seventhly, airplane station limitation is replaced;
optimization range limits (which may specify adjustments to certain models or certain regulatory units).
And S3, optimizing the target cost solving precision of the large mixed integer programming model.
S4, outputting a shift arrangement result:
the flight connecting line after optimization comprises the following steps: the connection line comprises several flights, wherein the several flights are set flights, the several flights are flight executing shifts, rest time between flights, rest time after connection, flights which are not formed into connection line, and the like.
The scheduling plan after optimization comprises: the connection lines of the personnel on the shift, the posts on the connection lines, the rest time between the shift connection line and other duty period tasks, and the like.
The mathematical model and the algorithm are specifically as follows:
in conjunction with flight planning, as shown in fig. 1, we build a spatio-temporal network, where horizontal lines in the graph represent an airport and nodes at the same airport represent a flight landing or taking off; the dashed line represents a flight, the arrow start point represents the airport and time of departure, and the end point represents the arrival at the airport and time of arrival; it should be noted that in our spatio-temporal network we also include the adjusted flight of the original flight, as in the figure we provide another alternative to 7:20 flights taking off from SHA to PEK, namely 7:30 take off 9:30 landing, i.e. the first flight line in the figure is parallel. In the POC, a large number of adjusting flights are created by adjusting takeoff time or flight time, so that the adjusting space in flight design is increased, and the situation that as few flights as possible are cancelled while new flights are added is ensured. In the spatio-temporal network, whether different nodes of the same airport can be connected depends on the requirements of the airport on the station passing time of different models, and the point is considered in the construction process of the spatio-temporal network.
On the basis of the spatio-temporal network, the following parameters are defined:
af,a,stime s indicating whether flight f occupies airport a. A. thea,sIndicating the number of times that airport a owns at time s.
rf,kRepresenting the marginal contribution value that flight f makes when it is carried out by model k.
bkNumber of airframes for model k.
F1(t),F2(t) represents the set of flights with a takeoff or landing time equal to t, respectively.
f0(f) Representing the original flight corresponding to the flight, resulting in a flight copy. For collections of original flights F0And (4) showing.
The decision variables are defined as follows:
xf,kindicating whether the flight is carried out by model k is a binary variable.
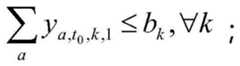
ya,t,k,1,ya,t,k,2The number of airplanes of the model k before and after the node where the t moment is located at the airport a is respectively represented and is an integer variable.
The MILP was designed as follows:
Figure BDA0002862262720000061
Figure BDA0002862262720000062
Figure BDA0002862262720000063
Figure BDA0002862262720000064
Figure BDA0002862262720000071
the objective function represents the maximization of the sum of the marginal contributions. The first type of constraint means that the respective number of times per airport does not exceed a limit. The second type of constraint represents the flow balance of each node in the spatio-temporal network; the third type of constraint is that the time t is counted0The number of each model is counted, and the number cannot exceed the number of airplanes owned by the corresponding model. The fourth class of constraints represents flight correspondencesf0At most only one of all flight copies of (a) is selected.
After Gurobi is used for solving the online optimization model, the airlines copy in the space-time network can be obtained, and the model of the airplane can be executed; on the basis, the flight needing to fly of each airplane in each airplane type can be easily determined, and the connecting line of the airplane is obtained.
In addition, the shift scheduling process also comprises the functions of a rule engine:
1.1, future crew scheduling systems need to fully support the implementation of the R5 specification. The R5 specification is as follows:
121.491 flight duty limit for cabin crew:
(a) when the cabin crew is equipped with the minimum number specified under article 121.391 of the present rule, the flight duty cycle of the cabin crew must not exceed 14 hours.
(b) When the minimum number specified in item 121.391 of the present rule is equipped to increase the number of cabin crew members, the flight duty limit and rest requirement of the cabin crew members should meet the following requirements, 1 cabin crew member should be added, and the flight duty should not exceed 16 hours; 2 passenger cabin crew members are added, and the flight duty period cannot exceed 18 hours; 3 or more than 3 cabin attendants are added, and the flight attendance period cannot exceed 20 hours;
(c) extension of flight duty cycle in the event of unexpected operation:
(1) the certification holder may extend the duty limit specified in clause (a) or (b) by 2 hours or to a point where the aircraft may be safely landed at the next destination airport or landing reserve airport;
(2) extending the duty cycle specified in clause (a) or (b) by more than 30 minutes may only occur once before the rest period specified in clause 121.495 (b) of the present rule is achieved.
121.493 cumulative flight time, attendance time limits for cabin crew
(a) The restrictions specified in this article include all flights performed by cabin crew members on behalf of the certification holder during the appropriate period.
(b) The credential holder must not schedule for the cabin crew nor must the cabin crew accept cumulative flight times that exceed the following regulatory limits:
(1) any calendar month, 100 hours of flight time;
(2) time of flight of 1100 hours for any calendar year.
(c) The credential holder must not schedule for the cabin crew nor must the cabin crew accept the cumulative flight attendance limit beyond the following specifications:
(1) any 7 consecutive calendar days, 70 hour flight attendance period;
(2) any calendar month, a 230 hour flight duty cycle.
(d) The time that the cabin crew performs security duty on the aircraft should account for the flight and duty time of the cabin crew.
121.495 additional requirements for rest time of members of the noodle group
(a) The credential holder must not schedule any work for him during the rest period specified by the flight crew, nor must the flight crew accept any work from the credential holder.
(b) Within 144 hours before any crew member performs a flight mission or primary backup that operates according to the rules, the certification holder should arrange for it a rest period of at least 48 consecutive hours.
(c) If there is a time difference of 6 or more hours between the time zone in which the flight attendance period ends and the time zone in which the crew member's base is located, the credential holder must arrange for it a rest period of at least 48 consecutive hours after the crew member returns to base. This rest period should be scheduled before the team members enter the next attendance period. The base refers to a place where the qualified certificate holder determines the machine group member station and receives the scheduling.
(d) Unless the flight crew acquires a rest period of at least 10 consecutive hours after the end of the previous flight attendance period and before the start of the next flight attendance period, any certification holders must not schedule and any flight attendance task must not be accepted by any flight crew.
(e) When the certification holder schedules other attendance tasks for the crew, the task time may be counted into the flight attendance. When the flight attendance period is not counted, a rest period of at least 10 hours should be scheduled for the flight attendance period before it begins.
1.2 rules Engine parameter configurability
The automatic shift scheduling needs to meet corresponding mandatory rules of local parties and also needs a system to support the requirement of a large number of personalized rules of the navigation department.
The personalized requirements of the navigation department can realize parameter configurability, flexible customized parameters and switches are set for the personalized requirements aiming at different scenes on the premise of meeting corresponding rules of the local, and the scheduling requirements of users under various conditions are met.
For example: whether flight encryption, adjustment of minimum rest interval, etc.
1.3, the automatic scheduling algorithm model considers the requirement of the task ring on the number of people of each post level
Different tasks of each navigation department have different requirements on dispatching standards and people numbers of each post level, and post level task requirements of different task rings can be configured in a new automatic scheduling algorithm model in the future so as to ensure the accuracy of scheduling.
For example: if a flight requires two first class attendants, the flight will be specially set in the automatic scheduling system, and 2 first class attendants will be automatically scheduled instead of only 1 first class attendant. These configuration requirements are written into the rule base to ensure the flight executes accurately.
At the same time, consideration needs to be given to cases that allow for downgraded scheduling.
For example: a flight requires one first class crew member and two general class crew members. When the shift is allowed to be degraded, the first class crew can be degraded to serve as a common class crew member, so that two first class crew members and one common class crew member can be automatically arranged.
1.4, the automatic scheduling algorithm model considers the qualification of the personnel model
Different flights have different requirements on the model qualification and position qualification of the crew, and the model qualification and qualification of each crew also vary from person to person.
For example: a flight crew only qualifies for the airline passenger 320 and the boeing 737, and the flight crew is not allowed to rank the flight crew 330 to the flight crew for the corresponding model when the scheduling plan is run.
In order to ensure the accuracy of flight arrangement, the system considers the qualification conditions of corresponding personnel of different types and different flights in the model to carry out flight arrangement and ensures the accuracy in rule verification.
1.5 automatic scheduling Algorithm model consider personnel airport restrictions
In the personalized needs of a driver, restrictions on the airport of a certain person or persons are involved.
One typical scenario is: when the score for a flight crew is low to some extent, the flight crew will be cancelled from performing intercontinental welfare flights, but flight eligibility will be retained for some less experienced international flights. In this case, neither the international qualification of the attendant can be cancelled nor its international passport can be set invalid.
In this case, a completely new shift arrangement system can configure an airport where crew members are available to take flight, thereby realizing airport restriction management of crew members.
1.6 automatic shift algorithm model considers personnel passport and visa limitation
At present, the verification work of passports and visas of personnel of all navigation departments is still in a manual inspection stage.
The new shift scheduling system can automatically check the passport types and visa limits of personnel, and completely meet the passport and visa limits of personnel on the shift scheduling result.
For example: the passport and visa requirements for southeast Asian short haul flights and intercontinental flights are quite different. Different passport and visa types respectively correspond to different flight plans. If a problem occurs in the passport and the visa of the person, the risk of flight delay is brought, and the adverse effect on the aspect of affairs is also caused.
The rules that need to be checked and satisfied are as follows:
(a) arranging for a attendant of the international airline to have a valid passport and a valid visa of the secondary airline's foreign destination;
(b) at the end of the task, whether the passport and visa are still within the validity period;
(c) the airport health certificate inspection system is suitable for part of airport health certificate inspection, and whether valid exit and entry health certificates are held or not is required.
1.7, the automatic scheduling algorithm model is suitable for the air-protection scheduling requirement
The corresponding operation execution rules of the air guardian are the same as those of the cabin crew member in the regulations established by the bureau, and the specific rules are related to R4 and R5. The new scheduling system can fully support the scheduling requirements of air guards.
1.8, the automatic scheduling algorithm model considers the requirement of the annual-monthly-flying time equilibrium of the personnel
Aiming at the monthly flying and annual flying hour requirements of the crew members of each level, corresponding parameter settings for monthly flying and annual flying are added into the automatic algorithm, so that the corresponding balance requirements are met.
And special setting is carried out on special personnel. For example: the monthly flight hours of the "happy mom" are lower than those of ordinary crew members.
1.9, the automatic scheduling algorithm model considers the requirement of personnel flight balance
Aiming at the requirement of high balance degree executed by a special airport, parameter setting of flight execution density of some special flights is added into an automatic algorithm to achieve the corresponding balance requirement.
Consider, for example, the following equalization parameter configuration:
(a) and balancing the special flights.
(b) And (4) sensitive flight balancing.
(c) The same flight interval.
(d) And time equalization in the period.
(e) The number of destinations is balanced.
(f) The overnight days are balanced in China.
(g) The international overnight days are balanced.
(h) And (4) balancing the number of international flights.
(i) And balancing the number of early flights.
(j) And (4) equalizing the number of late flights.
(k) The backup times are balanced.
1.10 providing the shift checking rule
The new scheduling system builds a perfect scheduling rule check library. Along with the development requirements of China civil aviation industry and various aviation department companies, the rule check library is provided with a flexible rule modification interface and has higher rule modification permission.
The rule checking library can realize the butt joint with the functions of typesetting shifts such as manual shift scheduling, shift changing and the like, the unified line of the rule library checking is realized in the whole passenger cabin shift scheduling business system, and the smooth shift scheduling work of each airline department is comprehensively ensured.
The verification rules include, but are not limited to:
static rules:
(a) and checking the physical examination qualification certificate.
(b) And (5) checking the emergency survival retraining certificate.
(c) One task check per day.
(d) And checking the physical examination qualification certificate.
(e) The airplane type can be verified.
(f) And checking the restricted airport.
(g) And verifying the passport visa.
(h) Checking attendance conflict.
(i) And (4) checking the flying base.
(j) And checking the task connection.
(k) And (5) performing annual retraining and qualified checking.
Dynamic rules:
(a) monthly backup number check (no more than set number per month).
(b) Check the number of week spare parts (no more than set number of times per week).
(c) Overnight days check (no more than set days per week).
(d) The new multiplier is over-checked (no more than a set number of people per week).
(e) Seven consecutive calendar day flight hours (no more than the set number of hours).
(f) Monthly flight hours check (no more than set hours).
(g) Annual flight hour smoke (no more than set hours).
(h) The duty cycle is checked (not less than a set number of hours).
(i) Continuous flight days check (no more than set days).
(j) Continuous resting hours check (no less than set hours) for 7 consecutive calendar days.
(k) The same flight number check in the week (no more than set number per week).
Each of the above-described verification rules may be individually set as to whether to take effect, and which level of crew to take effect.
Aiming at the defect of manual scheduling of the passenger cabin personnel, namely the conventional automatic scheduling system of the passenger cabin personnel based on the operational research algorithm can only depend on manual experience and cannot calculate the overall optimal result, the invention provides the automatic scheduling system of the passenger cabin personnel based on the operational research algorithm, which has a flight adjustment scheme for rapidly calculating large-scale data and providing a quantitative overall optimal solution, and improves the scheduling efficiency and the economic benefit of the passenger cabin personnel.
The core of the system is that a large mixed integer programming model is established, and the combination of flights and the combination of personnel and flight connecting lines are searched within the rule allowable range under the existing flight tasks and passenger cabin personnel, so that the finally solved solution is optimal in economy and completely compliant. The flight connection line obtained by the flight connection line solving meets the requirements of the limitations of the flight segment time, the station passing time, the qualification requirement, the overnight station, the airport operation rule, the airline operation rule, the airplane changing station and the like. The passenger cabin personnel scheduling plan obtained by the flight connection solution comprises all the flights to be carried out, and suitable passenger cabin personnel are arranged for the flights so as to achieve the aims of high personnel utilization rate, low cost, balanced personnel flight time and the like.
The invention has the beneficial effects that: compared with the manual scheduling plan of the passenger cabin personnel, on one hand, the manual scheduling method of the passenger cabin personnel can avoid the situation that manual decision cannot be quantified and the optimal scheduling solution of the passenger cabin personnel cannot be found, is beneficial to solving global and large-scale data, and improves the scheduling accuracy and economy of the passenger cabin personnel; on the other hand, the algorithm model has the advantage of high calculation efficiency, and the scheduling time of the passenger cabin personnel is greatly shortened, so that the scheduling of the passenger cabin personnel is quicker and more efficient, and the situation of high frequency and high frequency of the service is quickly met.
The above description is only for the purpose of illustrating the preferred embodiments of the present invention and is not to be construed as limiting the invention, and any modifications, equivalents and improvements made within the spirit and principle of the present invention are intended to be included within the scope of the present invention.

Claims (7)

1. The automatic scheduling method for passenger cabin personnel is characterized by comprising the following steps: the method comprises the following steps:
s1, establishing a large mixed integer planning model, and establishing future flight connection lines;
s2, inputting basic data and the flight connecting line into the large mixed integer planning model;
s3, optimizing the target cost solving precision of the large mixed integer programming model;
and S4, outputting a shift arrangement result.
2. The method for automatically scheduling passenger cabin personnel as claimed in claim 1, wherein: in step S1, the main decision variables of the large mixed integer programming model are binary variables, which indicate whether a certain flight segment is used in a connection, and a flight segment can be used only once in a set of all connections.
3. The method for automatically scheduling passenger cabin personnel as claimed in claim 1, wherein: in step S2, the main decision variables of the large mixed integer programming model are binary variables, which indicate whether a person is performing flight of a certain set of flight links.
4. The method for automatically scheduling passenger cabin personnel as claimed in claim 1, wherein: the basic data includes:
past, present, and future flight plans, which include flight taking and backup flights; the flight information comprises scheduled taking-off and landing time, actual taking-off and landing place and time, machine type, machine number and other information;
qualification information of the staff to be scheduled, which includes but is not limited to information such as language, recent experience, qualification certificate, passport visa, business grade, etc.;
flight time limit and past attendance information of the personnel to be scheduled, wherein the flight time limit and the past attendance information comprise but are not limited to flight, backup, duty, vacation and other information;
optimization range limits, which include adjustments that may be specified for certain models or certain regulatory units.
5. The method for automatically scheduling passenger cabin personnel as claimed in claim 1, wherein: the basic data includes: restriction rules, which include, but are not limited to, office compliance requirements, and airline-specific compliance requirements.
6. The method for automatically scheduling passenger cabin personnel as claimed in claim 1, wherein: the basic data includes:
solving the target, which comprises the maximization of flight coverage, the minimization of cost such as lodging and hitching, and the balance of personnel flight time.
7. The method for automatically scheduling passenger cabin personnel as claimed in claim 1, wherein: the basic data includes:
overnight site restriction;
and (4) limiting airplane change stations.
CN202011570250.0A2020-12-262020-12-26Automatic scheduling method for passenger cabin personnelPendingCN112613667A (en)

Priority Applications (1)

Application NumberPriority DateFiling DateTitle
CN202011570250.0ACN112613667A (en)2020-12-262020-12-26Automatic scheduling method for passenger cabin personnel

Applications Claiming Priority (1)

Application NumberPriority DateFiling DateTitle
CN202011570250.0ACN112613667A (en)2020-12-262020-12-26Automatic scheduling method for passenger cabin personnel

Publications (1)

Publication NumberPublication Date
CN112613667Atrue CN112613667A (en)2021-04-06

Family

ID=75247943

Family Applications (1)

Application NumberTitlePriority DateFiling Date
CN202011570250.0APendingCN112613667A (en)2020-12-262020-12-26Automatic scheduling method for passenger cabin personnel

Country Status (1)

CountryLink
CN (1)CN112613667A (en)

Cited By (2)

* Cited by examiner, † Cited by third party
Publication numberPriority datePublication dateAssigneeTitle
CN113222238A (en)*2021-05-072021-08-06哈尔滨工业大学Optimization method and system for shift arrangement of on-duty personnel of hub airport
CN114493300A (en)*2022-01-292022-05-13杭州优迈科思信息科技有限责任公司Intelligent duty scheduling method and equipment

Citations (5)

* Cited by examiner, † Cited by third party
Publication numberPriority datePublication dateAssigneeTitle
US20150302333A1 (en)*2014-04-212015-10-22Profusion Corp.Providing air transportation services using integrated platform
CN109377192A (en)*2018-11-302019-02-22广东机场白云信息科技有限公司A kind of airport smart shift scheduling method based on simulated annealing
CN110717140A (en)*2019-09-302020-01-21上海上实龙创智慧能源科技股份有限公司Scheduling method for multipurpose worker target
CN110751358A (en)*2019-08-302020-02-04中国南方航空股份有限公司Scheduling method for airport ground service personnel, electronic equipment and storage medium
CN111680833A (en)*2020-05-282020-09-18悠桦林信息科技(上海)有限公司Automatic scheduling method for flight plan

Patent Citations (5)

* Cited by examiner, † Cited by third party
Publication numberPriority datePublication dateAssigneeTitle
US20150302333A1 (en)*2014-04-212015-10-22Profusion Corp.Providing air transportation services using integrated platform
CN109377192A (en)*2018-11-302019-02-22广东机场白云信息科技有限公司A kind of airport smart shift scheduling method based on simulated annealing
CN110751358A (en)*2019-08-302020-02-04中国南方航空股份有限公司Scheduling method for airport ground service personnel, electronic equipment and storage medium
CN110717140A (en)*2019-09-302020-01-21上海上实龙创智慧能源科技股份有限公司Scheduling method for multipurpose worker target
CN111680833A (en)*2020-05-282020-09-18悠桦林信息科技(上海)有限公司Automatic scheduling method for flight plan

Cited By (3)

* Cited by examiner, † Cited by third party
Publication numberPriority datePublication dateAssigneeTitle
CN113222238A (en)*2021-05-072021-08-06哈尔滨工业大学Optimization method and system for shift arrangement of on-duty personnel of hub airport
CN113222238B (en)*2021-05-072022-10-14哈尔滨工业大学Method and system for optimizing check-in resource allocation of hub airport
CN114493300A (en)*2022-01-292022-05-13杭州优迈科思信息科技有限责任公司Intelligent duty scheduling method and equipment

Similar Documents

PublicationPublication DateTitle
CN112330983B (en)Integrated intelligent recovery method for abnormal flight
LettovskyAirline operations recovery: an optimization approach
YuOperations research in the airline industry
Liang et al.On a new rotation tour network model for aircraft maintenance routing problem
CN110826840B (en)Flight plan recovery method and system
CN112613667A (en)Automatic scheduling method for passenger cabin personnel
CN112418620A (en) Crew member automatic scheduling system
Bard et al.Improving through-flight schedules
CN112819317A (en)Integrated recovery system for airplane, passenger and aircraft of abnormal flight
National Research Council et al.Improving aircraft safety
Nelson et al.US Army Aviation air movement operations assignment, utilization and routing
Tiftik et al.The importance of aviation safety in terms of human resources management in air cargo transportation
KingAviation maintenance management
Teixeira et al.Covid 19 impact on aircraft ground time at Congonhas airport (CGH)
Jayaraj et al.Large-scale model and solution for integrated maintenance routing and tail assignment problem in airline industry
Ivashchuk et al.Airline crew scheduling automatic system
BensonAn investigation of the practices used in airline crew scheduling and their impact on the physical and mental health of airline crew
Bamber et al.Costa Rica in the aerospace global value chain
Nickkar et al.Developing a model for solving the flight perturbation problem
Bazargan et al.A simulation approach to airline maintenance manpower planning
Fahriza et al.Issues and Challenges of Aviation Maintenance Repair and Overhaul in Southeast Asia
Shmelova et al.Optimization of collaborative decision-making during the aircraft pre-flight maintenance
Xu et al.Controllable Model of Abnormal Flight Recovery Considering Loss Cost
Wu et al.A new approach to solve aircraft recovery problem
EdwardsFlight hour costing at the Type Commander and Navy staff levels: an analytical assessment

Legal Events

DateCodeTitleDescription
PB01Publication
PB01Publication
SE01Entry into force of request for substantive examination
SE01Entry into force of request for substantive examination
RJ01Rejection of invention patent application after publication
RJ01Rejection of invention patent application after publication

Application publication date:20210406


[8]ページ先頭

©2009-2025 Movatter.jp