Movatterモバイル変換


[0]ホーム

URL:


CN112612203A - Control method and system of rehabilitation robot, electronic device and storage medium - Google Patents

Control method and system of rehabilitation robot, electronic device and storage medium
Download PDF

Info

Publication number
CN112612203A
CN112612203ACN202011496099.0ACN202011496099ACN112612203ACN 112612203 ACN112612203 ACN 112612203ACN 202011496099 ACN202011496099 ACN 202011496099ACN 112612203 ACN112612203 ACN 112612203A
Authority
CN
China
Prior art keywords
acceleration
real
rehabilitation robot
given
determining
Prior art date
Legal status (The legal status is an assumption and is not a legal conclusion. Google has not performed a legal analysis and makes no representation as to the accuracy of the status listed.)
Granted
Application number
CN202011496099.0A
Other languages
Chinese (zh)
Other versions
CN112612203B (en
Inventor
李福生
夏林清
范渊杰
徐颖俊
Current Assignee (The listed assignees may be inaccurate. Google has not performed a legal analysis and makes no representation or warranty as to the accuracy of the list.)
Shanghai Electric Group Corp
Original Assignee
Shanghai Electric Group Corp
Priority date (The priority date is an assumption and is not a legal conclusion. Google has not performed a legal analysis and makes no representation as to the accuracy of the date listed.)
Filing date
Publication date
Application filed by Shanghai Electric Group CorpfiledCriticalShanghai Electric Group Corp
Priority to CN202011496099.0ApriorityCriticalpatent/CN112612203B/en
Publication of CN112612203ApublicationCriticalpatent/CN112612203A/en
Application grantedgrantedCritical
Publication of CN112612203BpublicationCriticalpatent/CN112612203B/en
Activelegal-statusCriticalCurrent
Anticipated expirationlegal-statusCritical

Links

Images

Classifications

Landscapes

Abstract

The invention discloses a control method and system of a rehabilitation robot, electronic equipment and a storage medium. The control method comprises the following steps: setting the tail end of the rehabilitation robot to reduce the gravity; acquiring a first contact force between the tail end of the rehabilitation robot and an external environment; acquiring real-time motion data of the tail end, wherein the real-time motion data comprises real-time height, real-time speed and real-time acceleration; determining a second contact force between the tip and the external environment from the impedance model and the real-time motion data; determining a gravity-reducing correction value according to the tail-end gravity-reducing force, the first contact force and the second contact force; respectively determining the given speed and the given acceleration of the tail end according to the weight loss correction value and a PID algorithm; the movement of the tip is controlled according to a given velocity and a given acceleration. The invention adopts an indirect moment mode to control the tail end force of the rehabilitation robot so as to realize interactive control, for example, safe and controllable assistance to a patient can be realized in the rehabilitation exercise process of the patient.

Description

Control method and system of rehabilitation robot, electronic device and storage medium
Technical Field
The invention relates to the technical field of automation control, in particular to a control method and system of a rehabilitation robot, electronic equipment and a storage medium.
Background
Worldwide, the aging of the population is becoming a significant issue that is not negligible. With the increasing aging degree of population, the incidence of diseases of the aging population is increasing, taking the most serious stroke as an example, according to the data of the national statistical bureau, the number of people who die due to the stroke in China reaches 140.3/10 ten thousand by 2019, even if the people are timely cured, about 75 percent of patients still leave a plurality of sequelae with different degrees after the stroke happens, and the sequelae can greatly reduce the self-care ability of the patients and seriously affect the life quality of the patients and the family members.
In such a plurality of sequelae, the probability of hemiplegia of a patient is highest, and clinical application shows that scientific rehabilitation training is matched with operation treatment and drug treatment, so that the probability of the function recovery of the limbs of a patient suffering from hemiplegia due to stroke can be obviously improved, the damaged nervous system of the patient in the stroke disease process can be repaired by timely and repeated rehabilitation training, the motor systems such as musculoskeletal system and the like are strengthened, and the recovery of the motor of the affected side limbs of the patient is facilitated.
Currently, in lower limb rehabilitation training, hip weight reduction rehabilitation training is the most common method, and most of the existing lower limb rehabilitation robots adopt a direct torque control method, namely, a motor output torque is directly controlled, so that the purposes of controlling terminal force and realizing the hip weight reduction effect are achieved. However, because the lower limb support capability of the lower limb hemiplegic patient is weak, the terminal force of the rehabilitation robot is controlled directly by adopting a torque control mode, the failure risk of the controller is high, and the secondary injury of the patient is easily caused.
Disclosure of Invention
The invention aims to overcome the defect that a rehabilitation robot in the prior art is easy to cause secondary injury to a patient by adopting a direct torque control method, and provides a control method, a control system, electronic equipment and a storage medium of the rehabilitation robot.
The invention solves the technical problems through the following technical scheme:
a control method of a rehabilitation robot, comprising:
setting the tail end of the rehabilitation robot to reduce the gravity;
acquiring a first contact force between the tail end of the rehabilitation robot and an external environment;
acquiring real-time motion data of the tail end, wherein the real-time motion data comprises real-time height, real-time speed and real-time acceleration;
determining a second contact force between the tip and the external environment from an impedance model and the real-time motion data;
determining a weight reduction correction value according to the tail end gravity reduction force, the first contact force and the second contact force;
respectively determining the given speed and the given acceleration of the tail end according to the gravity reducing correction value and a PID (proportion (P), integral (I) and differential) algorithm;
controlling the movement of the tip according to the given velocity and the given acceleration.
Preferably, the control method further includes:
and constructing the impedance model, wherein the parameters of the impedance model comprise a preset virtual spring and a preset virtual damper.
Preferably, the control method further includes:
setting a reference trajectory of the tip movement, wherein the reference trajectory comprises a desired height, a desired velocity, and a desired acceleration;
the step of determining a second contact force between the tip and the external environment from an impedance model and the real-time motion data comprises:
determining a second contact force between the tip and the external environment from the impedance model, the reference trajectory, and the real-time motion data.
Preferably, the step of determining the given velocity and the given acceleration of the tip end according to the weight loss correction value and the PID algorithm respectively comprises:
calculating the given speed according to:
Figure BDA0002842205630000031
calculating the given acceleration according to:
Figure BDA0002842205630000032
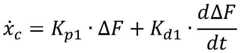
wherein Δ F represents a weight loss correction value, Kp1Representing the speed proportionality coefficient, Kd1Representing the velocity differential coefficient, Kp2Expressing the proportional coefficient of acceleration, Kd2Represents an acceleration differential coefficient;
and/or the presence of a gas in the gas,
the step of controlling the motion of the tip according to the given velocity and the given acceleration includes:
determining a speed drive command of a motor driver of the tip according to the given speed;
determining an acceleration driving instruction of the motor driver according to the given acceleration;
and driving the motor driver according to the speed driving command and the acceleration driving command.
A control system of a rehabilitation robot, comprising:
the first setting module is used for setting the terminal gravity reducing force of the rehabilitation robot;
a first obtaining module for obtaining a first contact force between the distal end of the rehabilitation robot and an external environment;
the second acquisition module is used for acquiring real-time motion data of the tail end, wherein the real-time motion data comprises real-time height, real-time speed and real-time acceleration;
a first determination module for determining a second contact force between the tip and the external environment from an impedance model and the real-time motion data;
the second determining module is used for determining a weight reduction correction value according to the tail end weight reduction force, the first contact force and the second contact force;
the third determining module is used for respectively determining the given speed and the given acceleration of the tail end according to the weight loss correction value and a PID algorithm;
and the control module is used for controlling the movement of the tail end according to the given speed and the given acceleration.
Preferably, the control system further comprises:
the impedance model is constructed by a construction module, wherein the parameters of the impedance model comprise a preset virtual spring and a preset virtual damper.
Preferably, the control system further comprises:
a second setting module for setting a reference trajectory of the tip movement, wherein the reference trajectory comprises a desired height, a desired velocity, and a desired acceleration;
the first determining module is specifically configured to determine a second contact force between the tip and the external environment from the impedance model, the reference trajectory, and the real-time motion data.
Preferably, the third determining module comprises:
a first calculation unit configured to calculate the given speed according to:
Figure BDA0002842205630000041
a second calculation unit configured to calculate the given acceleration according to:
Figure BDA0002842205630000042
wherein Δ F represents a weight loss correction value, Kp1Representing the speed proportionality coefficient, Kd1Representing the velocity differential coefficient, Kp2Expressing the proportional coefficient of acceleration, Kd2Indicating accelerationA differential coefficient;
and/or the presence of a gas in the gas,
the control module includes:
a first determination unit configured to determine a speed drive instruction of the motor driver of the tip end according to the given speed;
a second determination unit configured to determine an acceleration driving instruction of the motor driver according to the given acceleration;
and the driving unit is used for driving the motor driver according to the speed driving instruction and the acceleration driving instruction.
An electronic device comprises a memory, a processor and a computer program stored on the memory and capable of running on the processor, wherein the processor executes the computer program to realize the control method of any one rehabilitation robot.
A computer-readable storage medium, on which a computer program is stored, which, when being executed by a processor, realizes the steps of any of the above-mentioned control methods of a rehabilitation robot.
The positive progress effects of the invention are as follows: the invention adopts an indirect moment mode to control the tail end force of the rehabilitation robot, and particularly, the control of the tail end force of the rehabilitation robot is indirectly realized by controlling the given speed and the given acceleration of the tail end of the rehabilitation robot so as to realize the interactive control between the rehabilitation robot and the external environment, for example, the safe and controllable assistance to a patient can be realized in the rehabilitation motion process of the patient so as to be beneficial to the rehabilitation of the patient.
Drawings
Fig. 1 is a flowchart of a control method of a rehabilitation robot according to embodiment 1 of the present invention.
Fig. 2 is a logic diagram of data processing in the control method of the rehabilitation robot according to embodiment 1 of the present invention.
Fig. 3 is a bode diagram of a rehabilitation robot using the control method of the rehabilitation robot according to embodiment 1 of the present invention.
Fig. 4 is a bode diagram of a rehabilitation robot that does not adopt the control method of the rehabilitation robot according to embodiment 1 of the present invention.
Fig. 5 is a block diagram of a control system of a rehabilitation robot according toembodiment 2 of the present invention.
Fig. 6 is a schematic structural diagram of an electronic device according to embodiment 3 of the present invention.
Detailed Description
The invention is further illustrated by the following examples, which are not intended to limit the scope of the invention.
Example 1
The present embodiment provides a control method of a rehabilitation robot, and fig. 1 shows a flowchart of the control method of the present embodiment. Referring to fig. 1, the control method of the present embodiment includes:
s1, setting the tail end of the rehabilitation robot to reduce the gravity;
s2, acquiring a first contact force between the tail end of the rehabilitation robot and the external environment;
s3, acquiring real-time motion data of the tail end;
s4, determining a second contact force between the tail end and the external environment according to the impedance model and the real-time motion data;
s5, determining a gravity-reducing correction value according to the tail end gravity-reducing force, the first contact force and the second contact force;
s6, respectively determining the given speed and the given acceleration of the tail end according to the weight loss correction value and the PID algorithm;
and S7, controlling the movement of the tail end according to the given speed and the given acceleration.
In this embodiment, the rehabilitation robot preferably includes a lower limb rehabilitation robot, and the external environment preferably includes a patient performing rehabilitation training by using the lower limb rehabilitation robot, for example, when the lower limb rehabilitation robot is used for hip weight reduction rehabilitation training of the patient, the tail end of the rehabilitation robot contacts with the hip of the patient to provide assistance for the hip of the patient and achieve hip weight reduction.
In step S1 of this embodiment, the terminal gravity reducing force may be specifically set according to the self condition of the patient, for example, the terminal gravity reducing force may be set according to the weight of the patient and the rehabilitation stage. In step S2 of this embodiment, the first contact force between the distal end of the rehabilitation robot and the external environment during the rehabilitation training process, that is, the interaction force between the distal end of the rehabilitation robot and the hip of the patient, may be measured in real time by the torque sensor. In step S3, in this embodiment, real-time motion data of the distal end of the rehabilitation robot during the rehabilitation training process, that is, real-time motion data of the hip of the patient contacted by the distal end of the rehabilitation robot, may be measured in real time by a motor-side encoder at the distal end of the rehabilitation robot, and the real-time motion data specifically includes real-time height, real-time speed, and real-time acceleration.
The present embodiment further includes a step of constructing an impedance model before step S1. Specifically, in this embodiment, the parameters of the impedance model preferably include the mass, the preset virtual spring and the preset virtual damping. The introduction of the preset virtual spring and the preset virtual damping is beneficial to improving the response speed and the stability of the control method of the embodiment, and the preset virtual spring and the preset virtual damping can be obtained by an experience or simulation method.
In this embodiment, referring to fig. 2, the parameters of the impedance model are respectively denoted as mass M, preset virtual spring K and preset virtual damping B, and the first contact force during the rehabilitation training process is denoted as FiRecording the real-time motion data in the rehabilitation training process as the real-time height x and the real-time speed respectively
Figure BDA0002842205630000061
And real-time acceleration
Figure BDA0002842205630000071
The end gravity-reducing force of the rehabilitation robot is recorded as FrefRespectively recording the reference motion data of the tail end of the rehabilitation robot as reference height xrefReference speed
Figure BDA0002842205630000072
And a reference acceleration
Figure BDA0002842205630000073
The weight loss correction value Δ F is:
Figure BDA0002842205630000074
wherein, Δ x ═ xrefX, characterizing the tracking height error of the patient's hip joint during rehabilitation training,
Figure BDA0002842205630000075
characterizing the tracking speed error of the patient's hip joint during rehabilitation training,
Figure BDA0002842205630000076
Figure BDA0002842205630000077
and (3) representing the tracking acceleration error of the hip joint of the patient in the rehabilitation training process.
Further, in the present embodiment, the rehabilitation robot may have two working modes, a following mode and an active mode. Specifically, when the following mode is selected, the rehabilitation robot is only used for the weight loss of the hip of the patient, and the reference motion data in the embodiment is a constant; when the active mode is selected, the rehabilitation robot is used for driving the hip of the patient to move according to a reference track while realizing the weight reduction of the hip of the patient, correspondingly, the control method of the embodiment further comprises the step of setting the reference track of the movement of the tail end of the rehabilitation robot, wherein the reference track comprises a desired height, a desired speed and a desired acceleration, and the reference movement data in the embodiment can be determined according to the desired height, the desired speed and the desired acceleration included in the reference track.
In this embodiment, the weight loss correction Δ F is used as an open-loop input to the PID algorithm to determine the given speed of the tip end, respectively
Figure BDA0002842205630000078
With a given acceleration
Figure BDA0002842205630000079
Further, in the present embodiment, when performing PID control, the integral step may be omitted, and specifically, the given speed may be calculated according to the following formula
Figure BDA00028422056300000710
With a given acceleration
Figure BDA00028422056300000711
Figure BDA00028422056300000712
Wherein, Kp1Representing the speed proportionality coefficient, Kd1Representing the velocity differential coefficient, Kp2Expressing the proportional coefficient of acceleration, Kd2Representing the acceleration differential coefficient.
In the embodiment, the introduced preset virtual spring K and the introduced preset virtual damper B can be directly used for PID control parameter self-tuning in the simulation process, and an accurate dynamic model does not need to be established according to the parameters of the rehabilitation robot, so that the design time of a PID algorithm can be greatly shortened, in addition, the influence of environmental factors such as static friction and the like does not need to be considered, the adaptability of the PID algorithm is improved, and the software and hardware cost is saved.
In this embodiment, step S7 may specifically include the following steps:
determining a speed driving command of a motor driver at the tail end according to the given speed;
determining an acceleration driving instruction of a motor driver according to the given acceleration;
and driving the motor driver according to the speed driving command and the acceleration driving command.
Therefore, the control of the end force of the rehabilitation robot is indirectly realized by controlling the given speed and the given acceleration of the end of the rehabilitation robot, and the control of the end force of the rehabilitation robot is realized by adopting an indirect moment mode.
In this embodiment, in the rehabilitation training process of the patient, the steps S2-S7 are repeatedly performed to achieve the assistance and weight reduction on the hip of the patient, so as to assist the patient in performing rehabilitation training. Fig. 3 and 4 show bode diagrams of two kinds of rehabilitation robots, wherein, fig. 3 corresponds to the rehabilitation robot employing the control method of the present embodiment, the rehabilitation robot corresponding to fig. 4 is the same as the embodiment except that the impedance model in the embodiment is not adopted, and it can be known from fig. 3 and 4 that only PID control is performed without impedance control, so that when the P (proportion) link of PID control is selected to be large, the rehabilitation robot has unstable input frequency band, the impedance control of the embodiment is introduced on the basis of PID control, so that the amplitude margin value and the phase angle margin of the rehabilitation robot can be increased, an unstable input frequency band does not exist, and then can select great P link to accelerate response speed, improve the performance of rehabilitation robot, for example, when selecting the mode of following, can improve the following performance of rehabilitation robot.
The control method of the rehabilitation robot provided by the embodiment controls the terminal force of the rehabilitation robot in an indirect torque mode, and specifically, indirectly controls the terminal force of the rehabilitation robot by controlling a given speed and a given acceleration of the terminal of the rehabilitation robot so as to realize interactive control between the rehabilitation robot and an external environment, for example, safe and controllable assistance to a patient can be realized in the rehabilitation motion process of the patient so as to be beneficial to the rehabilitation of the patient.
Example 2
The present embodiment provides a control system of a rehabilitation robot, and fig. 5 shows a block schematic diagram of the control system of the present embodiment. Referring to fig. 5, the control system of the present embodiment includes:
thefirst setting module 11 is used for setting the terminal gravity reducing force of the rehabilitation robot;
a first obtainingmodule 12 for obtaining a first contact force between the distal end of the rehabilitation robot and the external environment;
the second obtainingmodule 13 is configured to obtain real-time motion data of the terminal;
afirst determination module 14 for determining a second contact force between the tip and the external environment from the impedance model and the real-time motion data;
a second determiningmodule 15, configured to determine a gravity-reducing correction value according to the terminal gravity-reducing force, the first contact force, and the second contact force;
the third determiningmodule 16 is used for respectively determining the given speed and the given acceleration of the tail end according to the weight loss correction value and a PID algorithm;
and acontrol module 17 for controlling the movement of the tip according to the given speed and the given acceleration.
In this embodiment, the rehabilitation robot preferably includes a lower limb rehabilitation robot, and the external environment preferably includes a patient performing rehabilitation training by using the lower limb rehabilitation robot, for example, when the lower limb rehabilitation robot is used for hip weight reduction rehabilitation training of the patient, the tail end of the rehabilitation robot contacts with the hip of the patient to provide assistance for the hip of the patient and achieve hip weight reduction.
Thefirst setting module 11 in this embodiment may specifically set the distal end gravity reducing force according to the self condition of the patient, for example, the distal end gravity reducing force may be set according to the weight of the patient and the rehabilitation stage. In this embodiment, the first obtainingmodule 12 may specifically measure, in real time, a first contact force between the distal end of the rehabilitation robot and the external environment during the rehabilitation training process, that is, an interaction force between the distal end of the rehabilitation robot and the hip of the patient through the torque sensor. In this embodiment, the second obtainingmodule 13 may specifically measure, in real time, real-time motion data of the tail end of the rehabilitation robot during the rehabilitation training process through a motor-side encoder at the tail end of the rehabilitation robot, that is, real-time motion data of the hip of the patient contacted by the tail end of the rehabilitation robot, where the real-time motion data specifically includes real-time height, real-time speed, and real-time acceleration.
Referring to fig. 5, the present embodiment further includes aconstruction module 18 for constructing an impedance model. Specifically, in this embodiment, the parameters of the impedance model preferably include the mass, the preset virtual spring and the preset virtual damping. The introduction of the preset virtual spring and the preset virtual damping is beneficial to improving the response speed and the stability of the control method of the embodiment, and the preset virtual spring and the preset virtual damping can be obtained by an experience or simulation method.
In this embodiment, referring to fig. 2, the parameters of the impedance model are respectively denoted as mass M, preset virtual spring K and preset virtual damping B, and the first contact force during the rehabilitation training process is denoted as FiRecording the real-time motion data in the rehabilitation training process as the real-time height x and the real-time speed respectively
Figure BDA0002842205630000101
And real-time acceleration
Figure BDA0002842205630000102
The end gravity-reducing force of the rehabilitation robot is recorded as FrefRespectively recording the reference motion data of the tail end of the rehabilitation robot as reference height xrefReference speed
Figure BDA0002842205630000103
And a reference acceleration
Figure BDA0002842205630000104
The weight loss correction value Δ F is:
Figure BDA0002842205630000105
wherein, Δ x ═ xrefX, characterizing the tracking height error of the patient's hip joint during rehabilitation training,
Figure BDA0002842205630000106
characterizing the tracking speed error of the patient's hip joint during rehabilitation training,
Figure BDA0002842205630000107
Figure BDA0002842205630000108
and (3) representing the tracking acceleration error of the hip joint of the patient in the rehabilitation training process.
Further, in the present embodiment, the rehabilitation robot may have two working modes, a following mode and an active mode. Specifically, when the following mode is selected, the rehabilitation robot is only used for the weight loss of the hip of the patient, and the reference motion data in the embodiment is a constant; when the active mode is selected, the rehabilitation robot is used for driving the hip of the patient to move according to the reference track while realizing the weight reduction of the hip of the patient, and correspondingly, the control system of the embodiment further comprises asecond setting module 19 for setting the reference track of the movement of the distal end of the rehabilitation robot, wherein the reference track comprises the desired height, the desired speed and the desired acceleration, and the reference movement data in the embodiment can be determined according to the desired height, the desired speed and the desired acceleration included in the reference track.
In this embodiment, the weight loss correction Δ F is used as an open-loop input to the PID algorithm to determine the given speed of the tip end, respectively
Figure BDA0002842205630000109
With a given acceleration
Figure BDA00028422056300001010
Further, the third determiningmodule 16 in this embodiment may include the first calculatingunit 161 and the second calculatingunit 162, and the integration element may be omitted when performing PID control in this embodiment. Specifically, the method comprises the following steps:
thefirst calculation unit 161 may calculate the given speed according to the following equation
Figure BDA00028422056300001011
Figure BDA00028422056300001012
Thesecond calculation unit 162 may calculate the given acceleration according to the following equation
Figure BDA00028422056300001013
Figure BDA00028422056300001014
Wherein, Kp1Representing the speed proportionality coefficient, Kd1Representing the velocity differential coefficient, Kp2Expressing the proportional coefficient of acceleration, Kd2Representing the acceleration differential coefficient.
In the embodiment, the introduced preset virtual spring K and the introduced preset virtual damper B can be directly used for PID control parameter self-tuning in the simulation process, and an accurate dynamic model does not need to be established according to the parameters of the rehabilitation robot, so that the design time of a PID algorithm can be greatly shortened, in addition, the influence of environmental factors such as static friction and the like does not need to be considered, the adaptability of the PID algorithm is improved, and the software and hardware cost is saved.
In this embodiment, thecontrol module 17 may specifically include:
afirst determination unit 171 for determining a speed driving command of the motor driver of the tip end according to a given speed;
asecond determination unit 172 for determining an acceleration driving instruction of the motor driver according to a given acceleration;
the drivingunit 173 is configured to drive the motor driver according to the speed driving command and the acceleration driving command.
Therefore, the control of the end force of the rehabilitation robot is indirectly realized by controlling the given speed and the given acceleration of the end of the rehabilitation robot, and the control of the end force of the rehabilitation robot is realized by adopting an indirect moment mode.
In this embodiment, in the rehabilitation training process of the patient, the first obtainingmodule 12 is repeatedly invoked to thecontrol module 17 to achieve the assistance and weight reduction on the hip of the patient, so as to assist the patient in performing rehabilitation training. Fig. 3 and 4 show bode diagrams of two kinds of rehabilitation robots, wherein, fig. 3 corresponds to a rehabilitation robot employing the control system of the present embodiment, the rehabilitation robot corresponding to fig. 4 is the same as the embodiment except that the impedance model in the embodiment is not adopted, and it can be known from fig. 3 and 4 that only PID control is performed without impedance control, so that when the P (proportion) link of PID control is selected to be large, the rehabilitation robot has unstable input frequency band, the impedance control of the embodiment is introduced on the basis of PID control, so that the amplitude margin value and the phase angle margin of the rehabilitation robot can be increased, an unstable input frequency band does not exist, and then can select great P link to accelerate response speed, improve the performance of rehabilitation robot, for example, when selecting the mode of following, can improve the following performance of rehabilitation robot.
The control system of the rehabilitation robot provided by the embodiment controls the terminal force of the rehabilitation robot in an indirect torque mode, and particularly indirectly controls the terminal force of the rehabilitation robot by controlling the given speed and the given acceleration of the terminal of the rehabilitation robot so as to realize interactive control between the rehabilitation robot and an external environment, for example, safe and controllable assistance to a patient can be realized in the rehabilitation motion process of the patient, so that the rehabilitation of the patient is facilitated.
Example 3
The present embodiment provides an electronic device, which may be represented in the form of a computing device (for example, may be a server device), and includes a memory, a processor, and a computer program stored in the memory and executable on the processor, where the processor executes the computer program to implement the control method of the rehabilitation robot provided in embodiment 1.
Fig. 6 shows a schematic diagram of a hardware structure of the present embodiment, and as shown in fig. 6, theelectronic device 9 specifically includes:
at least oneprocessor 91, at least onememory 92, and abus 93 for connecting the various system components (including theprocessor 91 and the memory 92), wherein:
thebus 93 includes a data bus, an address bus, and a control bus.
Memory 92 includes volatile memory, such as Random Access Memory (RAM)921 and/orcache memory 922, and can further include Read Only Memory (ROM) 923.
Memory 92 also includes a program/utility 925 having a set (at least one) ofprogram modules 924,such program modules 924 including, but not limited to: an operating system, one or more application programs, other program modules, and program data, each of which, or some combination thereof, may comprise an implementation of a network environment.
Theprocessor 91 executes various functional applications and data processing, such as a control method of a rehabilitation robot provided in embodiment 1 of the present invention, by running a computer program stored in thememory 92.
Theelectronic device 9 may further communicate with one or more external devices 94 (e.g., a keyboard, a pointing device, etc.). Such communication may be through an input/output (I/O)interface 95. Also, theelectronic device 9 may communicate with one or more networks (e.g., a Local Area Network (LAN), a Wide Area Network (WAN), and/or a public network, such as the Internet) via thenetwork adapter 96. Thenetwork adapter 96 communicates with the other modules of theelectronic device 9 via thebus 93. It should be understood that although not shown in the figures, other hardware and/or software modules may be used in conjunction with theelectronic device 9, including but not limited to: microcode, device drivers, redundant processors, external disk drive arrays, RAID (disk array) systems, tape drives, and data backup storage systems, etc.
It should be noted that although in the above detailed description several units/modules or sub-units/modules of the electronic device are mentioned, such a division is merely exemplary and not mandatory. Indeed, the features and functionality of two or more of the units/modules described above may be embodied in one unit/module, according to embodiments of the application. Conversely, the features and functions of one unit/module described above may be further divided into embodiments by a plurality of units/modules.
Example 4
The present embodiment provides a computer-readable storage medium on which a computer program is stored, which when executed by a processor, implements the steps of the control method of the rehabilitation robot provided in embodiment 1.
More specific examples, among others, that the readable storage medium may employ may include, but are not limited to: a portable disk, a hard disk, random access memory, read only memory, erasable programmable read only memory, optical storage device, magnetic storage device, or any suitable combination of the foregoing.
In a possible embodiment, the present invention may also be implemented in the form of a program product including program code for causing a terminal device to perform the steps of implementing the control method of the rehabilitation robot described in embodiment 1 when the program product is run on the terminal device.
Where program code for carrying out the invention is written in any combination of one or more programming languages, the program code may be executed entirely on the user device, partly on the user device, as a stand-alone software package, partly on the user device and partly on a remote device or entirely on the remote device.
While specific embodiments of the invention have been described above, it will be appreciated by those skilled in the art that this is by way of example only, and that the scope of the invention is defined by the appended claims. Various changes and modifications to these embodiments may be made by those skilled in the art without departing from the spirit and scope of the invention, and these changes and modifications are within the scope of the invention.

Claims (10)

1. A control method of a rehabilitation robot, comprising:
setting the tail end of the rehabilitation robot to reduce the gravity;
acquiring a first contact force between the tail end of the rehabilitation robot and an external environment;
acquiring real-time motion data of the tail end, wherein the real-time motion data comprises real-time height, real-time speed and real-time acceleration;
determining a second contact force between the tip and the external environment from an impedance model and the real-time motion data;
determining a weight reduction correction value according to the tail end gravity reduction force, the first contact force and the second contact force;
respectively determining the given speed and the given acceleration of the tail end according to the weight loss correction value and a PID algorithm;
controlling the movement of the tip according to the given velocity and the given acceleration.
2. The control method of a rehabilitation robot according to claim 1, further comprising:
and constructing the impedance model, wherein the parameters of the impedance model comprise a preset virtual spring and a preset virtual damper.
3. The control method of a rehabilitation robot according to claim 1, further comprising:
setting a reference trajectory of the tip movement, wherein the reference trajectory comprises a desired height, a desired velocity, and a desired acceleration;
the step of determining a second contact force between the tip and the external environment from an impedance model and the real-time motion data comprises:
determining a second contact force between the tip and the external environment from the impedance model, the reference trajectory, and the real-time motion data.
4. The control method of a rehabilitation robot according to claim 1, wherein the step of determining the given velocity and the given acceleration of the tip end based on the weight loss correction value and the PID algorithm, respectively, comprises:
calculating the given speed according to:
Figure FDA0002842205620000021
calculating the given acceleration according to:
Figure FDA0002842205620000022
wherein Δ F represents a weight loss correction value, Kp1Representing the speed proportionality coefficient, Kd1Representing the velocity differential coefficient, Kp2Expressing the proportional coefficient of acceleration, Kd2Represents an acceleration differential coefficient;
and/or the presence of a gas in the gas,
the step of controlling the motion of the tip according to the given velocity and the given acceleration includes:
determining a speed drive command of a motor driver of the tip according to the given speed;
determining an acceleration driving instruction of the motor driver according to the given acceleration;
and driving the motor driver according to the speed driving command and the acceleration driving command.
5. A control system of a rehabilitation robot, comprising:
the first setting module is used for setting the terminal gravity reducing force of the rehabilitation robot;
a first obtaining module for obtaining a first contact force between the distal end of the rehabilitation robot and an external environment;
the second acquisition module is used for acquiring real-time motion data of the tail end, wherein the real-time motion data comprises real-time height, real-time speed and real-time acceleration;
a first determination module for determining a second contact force between the tip and the external environment from an impedance model and the real-time motion data;
the second determining module is used for determining a weight reduction correction value according to the tail end weight reduction force, the first contact force and the second contact force;
the third determining module is used for respectively determining the given speed and the given acceleration of the tail end according to the weight loss correction value and a PID algorithm;
and the control module is used for controlling the movement of the tail end according to the given speed and the given acceleration.
6. The control system of a rehabilitation robot of claim 5, further comprising:
the impedance model is constructed by a construction module, wherein the parameters of the impedance model comprise a preset virtual spring and a preset virtual damper.
7. The control system of a rehabilitation robot of claim 5, further comprising:
a second setting module for setting a reference trajectory of the tip movement, wherein the reference trajectory comprises a desired height, a desired velocity, and a desired acceleration;
the first determining module is specifically configured to determine a second contact force between the tip and the external environment from the impedance model, the reference trajectory, and the real-time motion data.
8. The control system of a rehabilitation robot of claim 5, wherein the third determination module includes:
a first calculation unit configured to calculate the given speed according to:
Figure FDA0002842205620000031
a second calculation unit configured to calculate the given acceleration according to:
Figure FDA0002842205620000032
wherein Δ F represents a weight loss correction value, Kp1Representing the speed proportionality coefficient, Kd1Representing the velocity differential coefficient, Kp2Expressing the proportional coefficient of acceleration, Kd2Represents an acceleration differential coefficient;
and/or the presence of a gas in the gas,
the control module includes:
a first determination unit configured to determine a speed drive instruction of the motor driver of the tip end according to the given speed;
a second determination unit configured to determine an acceleration driving instruction of the motor driver according to the given acceleration;
and the driving unit is used for driving the motor driver according to the speed driving instruction and the acceleration driving instruction.
9. An electronic device comprising a memory, a processor, and a computer program stored on the memory and executable on the processor, wherein the processor implements the control method of the rehabilitation robot according to any one of claims 1 to 4 when executing the computer program.
10. A computer-readable storage medium, on which a computer program is stored, which, when being executed by a processor, carries out the steps of the control method of a rehabilitation robot according to any one of claims 1 to 4.
CN202011496099.0A2020-12-172020-12-17Rehabilitation robot control method, system, electronic equipment and storage mediumActiveCN112612203B (en)

Priority Applications (1)

Application NumberPriority DateFiling DateTitle
CN202011496099.0ACN112612203B (en)2020-12-172020-12-17Rehabilitation robot control method, system, electronic equipment and storage medium

Applications Claiming Priority (1)

Application NumberPriority DateFiling DateTitle
CN202011496099.0ACN112612203B (en)2020-12-172020-12-17Rehabilitation robot control method, system, electronic equipment and storage medium

Publications (2)

Publication NumberPublication Date
CN112612203Atrue CN112612203A (en)2021-04-06
CN112612203B CN112612203B (en)2024-07-09

Family

ID=75240966

Family Applications (1)

Application NumberTitlePriority DateFiling Date
CN202011496099.0AActiveCN112612203B (en)2020-12-172020-12-17Rehabilitation robot control method, system, electronic equipment and storage medium

Country Status (1)

CountryLink
CN (1)CN112612203B (en)

Cited By (1)

* Cited by examiner, † Cited by third party
Publication numberPriority datePublication dateAssigneeTitle
CN114536335A (en)*2022-02-242022-05-27上海电气集团股份有限公司Robot mechanical structure control method, system, electronic device and storage medium

Citations (10)

* Cited by examiner, † Cited by third party
Publication numberPriority datePublication dateAssigneeTitle
EP0334613A2 (en)*1988-03-211989-09-27Stäubli International AGRobot control system having adaptive feedforward torque control for improved accuracy
JPH06175705A (en)*1992-12-071994-06-24Matsushita Electric Works LtdImpedance control method
JPH06320451A (en)*1993-04-261994-11-22Sanyo Electric Co Ltd Manipulator control method
JP2009282720A (en)*2008-05-212009-12-03Nagaoka Univ Of TechnologyOperating method and operation device
US20130184869A1 (en)*2012-01-172013-07-18Seiko Epson CorporationRobot controller, robot system, robot control method
CN105005195A (en)*2014-04-182015-10-28东北大学Upper limb rehabilitation robot rehabilitation training motion control method
CN106272428A (en)*2016-09-132017-01-04江苏大学A kind of apple picking robot end effector grasp force Active Compliance Control method
JP2018041391A (en)*2016-09-092018-03-15オムロン株式会社Control device and control program
CN109613831A (en)*2019-02-012019-04-12河海大学常州校区 Pneumatic artificial muscle control system and method based on dynamic mathematical model feedforward PID
CN110891739A (en)*2017-05-102020-03-17穆格公司Optimal control of coupled admittance controllers

Patent Citations (11)

* Cited by examiner, † Cited by third party
Publication numberPriority datePublication dateAssigneeTitle
EP0334613A2 (en)*1988-03-211989-09-27Stäubli International AGRobot control system having adaptive feedforward torque control for improved accuracy
JPH06175705A (en)*1992-12-071994-06-24Matsushita Electric Works LtdImpedance control method
JPH06320451A (en)*1993-04-261994-11-22Sanyo Electric Co Ltd Manipulator control method
JP2009282720A (en)*2008-05-212009-12-03Nagaoka Univ Of TechnologyOperating method and operation device
US20130184869A1 (en)*2012-01-172013-07-18Seiko Epson CorporationRobot controller, robot system, robot control method
CN105005195A (en)*2014-04-182015-10-28东北大学Upper limb rehabilitation robot rehabilitation training motion control method
JP2018041391A (en)*2016-09-092018-03-15オムロン株式会社Control device and control program
CN106272428A (en)*2016-09-132017-01-04江苏大学A kind of apple picking robot end effector grasp force Active Compliance Control method
CN110891739A (en)*2017-05-102020-03-17穆格公司Optimal control of coupled admittance controllers
US20210138639A1 (en)*2017-05-102021-05-13Moog BvOptimal control of coupled admittance controllers
CN109613831A (en)*2019-02-012019-04-12河海大学常州校区 Pneumatic artificial muscle control system and method based on dynamic mathematical model feedforward PID

Non-Patent Citations (1)

* Cited by examiner, † Cited by third party
Title
王岚;李趁前;刘艳秋;张今瑜;: "基于力阻抗控制的手臂康复机器人实验研究", 中国机械工程, no. 13, 10 July 2008 (2008-07-10), pages 1518 - 1522*

Cited By (2)

* Cited by examiner, † Cited by third party
Publication numberPriority datePublication dateAssigneeTitle
CN114536335A (en)*2022-02-242022-05-27上海电气集团股份有限公司Robot mechanical structure control method, system, electronic device and storage medium
CN114536335B (en)*2022-02-242024-07-09上海电气集团股份有限公司Control method and system of robot mechanical structure, electronic equipment and storage medium

Also Published As

Publication numberPublication date
CN112612203B (en)2024-07-09

Similar Documents

PublicationPublication DateTitle
US20210162589A1 (en)Systems and methods for learning agile locomotion for multiped robots
US20200206944A1 (en)Acceleration compensation method for humanoid robot and apparatus and humanoid robot using the same
CN104698848B (en)A kind of control method of lower limb exoskeleton rehabilitation robot rehabilitation training
US20200005499A1 (en)Output device, control device, and evaluation function value output method
CN102076307A (en)Smart servo for a mechanical CPR system
CN106945046A (en)Mechanical arm control system and its control method based on variation rigidity elastic driver
CN113467235B (en)Biped robot gait control method and control device
CN112370742A (en)Active dragging method and device of mechanical arm and upper limb rehabilitation robot
CN111230870A (en)Robot control method, computing device, and storage medium
CN112612203A (en)Control method and system of rehabilitation robot, electronic device and storage medium
Zhang et al.Research on adaptive impedance control technology of upper limb rehabilitation robot based on impedance parameter prediction
CN118092146A (en)Self-adaptive traction control method of knee joint tractor
CN114102599B (en)Man-machine interaction self-adaptive control method and system based on flexible mechanical arm
CN116652938A (en) Mechanical arm learning method and equipment for humanoid arm stiffness and motor skills
CN107343844B (en)Control method and device for upper limb assistance exoskeleton and upper limb assistance exoskeleton system
CN116679688A (en)Control method and device of foot type robot, storage medium and foot type robot
CN118121265A (en)Hip joint operation robot rubbing control system with admittance function and method thereof
Liang et al.Multi-mode adaptive control strategy for a lower limb rehabilitation robot
Otis et al.Cable tension control and analysis of reel transparency for 6-dof haptic foot platform on a cable-driven locomotion interface
CN116197879A (en)Flexible control method of lower limb exoskeleton rehabilitation robot
JP2024113247A (en) Power assist system and control program
CN111203885B (en)Method and device for determining joint torque of robot and electronic equipment
CN116000917A (en)Motion trail safety triggering data driving control method of rehabilitation walking robot
CN113110480B (en)Active and passive hybrid control method and system for robot, electronic equipment and storage medium
Biagi et al.Intuitive control of a social robot using natural language with a large language model and error correction capabilities

Legal Events

DateCodeTitleDescription
PB01Publication
PB01Publication
SE01Entry into force of request for substantive examination
SE01Entry into force of request for substantive examination
GR01Patent grant
GR01Patent grant

[8]ページ先頭

©2009-2025 Movatter.jp