Priority of united states provisional application No. 62/909,336 filed 2019, 10, 2, 35 u.s.c. § 119(e), the entire content of which is incorporated herein by reference.
Detailed Description
A. Term(s) for
Unless otherwise specified, the following terms as used herein are defined as follows:
as used herein, the term "organic" includes polymeric materials and small molecule organic materials that may be used to fabricate organic optoelectronic devices. "Small molecule" refers to any organic material that is not a polymer, and "small molecules" may actually be quite large. In some cases, the small molecule may include a repeat unit. For example, the use of long chain alkyl groups as substituents does not remove a molecule from the "small molecule" class. Small molecules can also be incorporated into polymers, for example as pendant groups on the polymer backbone or as part of the backbone. Small molecules can also serve as the core moiety of a dendrimer, which consists of a series of chemical shells built on the core moiety. The core moiety of the dendrimer may be a fluorescent or phosphorescent small molecule emitter. Dendrimers can be "small molecules," and all dendrimers currently used in the OLED art are considered small molecules.
As used herein, "top" means furthest from the substrate, and "bottom" means closest to the substrate. Where a first layer is described as being "disposed" over "a second layer, the first layer is disposed farther from the substrate. Other layers may be present between the first and second layers, unless it is specified that the first layer is "in contact with" the second layer. For example, a cathode may be described as "disposed over" an anode even though various organic layers are present between the cathode and the anode.
As used herein, "solution processable" means capable of being dissolved, dispersed or transported in and/or deposited from a liquid medium in the form of a solution or suspension.
A ligand may be referred to as "photoactive" when it is believed that the ligand contributes directly to the photoactive properties of the emissive material. A ligand may be referred to as "ancillary" when it is believed that the ligand does not contribute to the photoactive properties of the emissive material, but the ancillary ligand may alter the properties of the photoactive ligand.
As used herein, and as will be generally understood by those skilled in the art, if the first energy level is closer to the vacuum energy level, the first "Highest Occupied Molecular Orbital" (HOMO) or "Lowest Unoccupied Molecular Orbital" (LUMO) energy level is "greater than" or "higher than" the second HOMO or LUMO energy level. Since Ionization Potential (IP) is measured as negative energy relative to vacuum level, a higher HOMO level corresponds to an IP with a smaller absolute value (less negative IP). Similarly, a higher LUMO energy level corresponds to an Electron Affinity (EA) with a smaller absolute value (a less negative EA). On a conventional energy level diagram with vacuum levels at the top, the LUMO energy level of a material is higher than the HOMO energy level of the same material. The "higher" HOMO or LUMO energy level appears closer to the top of this figure than the "lower" HOMO or LUMO energy level.
As used herein, and as will be generally understood by those skilled in the art, a first work function is "greater than" or "higher than" a second work function if the first work function has a higher absolute value. Since the work function is typically measured as negative relative to the vacuum level, this means that the "higher" work function is more negative (more negative). On a conventional energy level diagram with vacuum level at the top, the "higher" work function is illustrated as being farther from the vacuum level in the downward direction. Thus, the definitions of HOMO and LUMO energy levels follow a different rule than work functions.
The terms "halo," "halogen," and "halo" are used interchangeably and refer to fluorine, chlorine, bromine, and iodine.
The term "acyl" refers to a substituted carbonyl group (C (O) -Rs)。
The term "ester"Refers to substituted oxycarbonyl (-O-C (O) -R)sor-C (O) -O-Rs) A group.
The term "ether" means-ORsA group.
The terms "thio" or "thioether" are used interchangeably and refer to-SRsA group.
The term "sulfinyl" refers to-S (O) -RsA group.
The term "sulfonyl" refers to-SO2-RsA group.
The term "phosphino" refers to-P (R)s)3Group, wherein each RsMay be the same or different.
The term "silyl" refers to-Si (R)s)3Group, wherein each RsMay be the same or different.
The term "oxyboronyl" refers to-B (R)s)2Group or Lewis adduct thereof (R) -B (R)s)3Group, wherein RsMay be the same or different.
In each of the above, RsMay be hydrogen or a substituent selected from the group consisting of: deuterium, halogen, alkyl, cycloalkyl, heteroalkyl, heterocycloalkyl, aralkyl, alkoxy, aryloxy, amino, silyl, alkenyl, cycloalkenyl, heteroalkenyl, alkynyl, aryl, heteroaryl, and combinations thereof. Preferred RsSelected from the group consisting of: alkyl, cycloalkyl, aryl, heteroaryl, and combinations thereof.
The term "alkyl" refers to and includes straight and branched chain alkyl groups. Preferred alkyl groups are those containing from one to fifteen carbon atoms and include methyl, ethyl, propyl, 1-methylethyl, butyl, 1-methylpropyl, 2-methylpropyl, pentyl, 1-methylbutyl, 2-methylbutyl, 3-methylbutyl, 1-dimethylpropyl, 1, 2-dimethylpropyl, 2-dimethylpropyl, and the like. In addition, the alkyl group may be optionally substituted.
The term "cycloalkyl" refers to and includes monocyclic, polycyclic and spiroalkyl groups. Preferred cycloalkyl groups are those containing 3 to 12 ring carbon atoms and include cyclopropyl, cyclopentyl, cyclohexyl, bicyclo [3.1.1] heptyl, spiro [4.5] decyl, spiro [5.5] undecyl, adamantyl, and the like. In addition, the cycloalkyl group may be optionally substituted.
The term "heteroalkyl" or "heterocycloalkyl" refers to an alkyl or cycloalkyl group, respectively, having at least one carbon atom replaced with a heteroatom. Optionally, the at least one heteroatom is selected from O, S, N, P, B, Si and Se, preferably O, S or N. In addition, heteroalkyl or heterocycloalkyl groups may be optionally substituted.
The term "alkenyl" refers to and includes straight and branched chain alkenyl groups. An alkenyl group is essentially an alkyl group that includes at least one carbon-carbon double bond in the alkyl chain. Cycloalkenyl is essentially cycloalkyl that includes at least one carbon-carbon double bond in the cycloalkyl ring. The term "heteroalkenyl" as used herein refers to an alkenyl group having at least one carbon atom replaced with a heteroatom. Optionally, the at least one heteroatom is selected from O, S, N, P, B, Si and Se, preferably O, S or N. Preferred alkenyl, cycloalkenyl or heteroalkenyl groups are those containing from two to fifteen carbon atoms. In addition, the alkenyl, cycloalkenyl or heteroalkenyl groups may be optionally substituted.
The term "alkynyl" refers to and includes straight and branched chain alkynyl groups. Alkynyl is essentially an alkyl group comprising at least one carbon-carbon triple bond in the alkyl chain. Preferred alkynyl groups are those containing from two to fifteen carbon atoms. In addition, alkynyl groups may be optionally substituted.
The terms "aralkyl" or "arylalkyl" are used interchangeably and refer to an alkyl group substituted with an aryl group. In addition, the aralkyl group may be optionally substituted.
The term "heterocyclyl" refers to and includes both aromatic and non-aromatic cyclic groups containing at least one heteroatom. Optionally, the at least one heteroatom is selected from O, S, N, P, B, Si and Se, preferably O, S or N. Aromatic heterocyclic groups may be used interchangeably with heteroaryl groups. Preferred non-aromatic heterocyclic groups are heterocyclic groups containing 3 to 7 ring atoms including at least one heteroatom and include cyclic amines such as morpholinyl, piperidinyl, pyrrolidinyl and the like, and cyclic ethers/thioethers such as tetrahydrofuran, tetrahydropyran, tetrahydrothiophene and the like. In addition, the heterocyclic group may be optionally substituted.
The term "aryl" refers to and includes monocyclic aromatic hydrocarbon radicals and polycyclic aromatic ring systems. Polycyclic rings can have two or more rings in which two carbons are common to two adjoining rings (the rings are "fused"), wherein at least one of the rings is an aromatic hydrocarbyl, e.g., the other rings can be cycloalkyls, cycloalkenyls, aryls, heterocyclics, and/or heteroaryls. Preferred aryl groups are those containing from six to thirty carbon atoms, preferably from six to twenty carbon atoms, more preferably from six to twelve carbon atoms. Especially preferred are aryl groups having six carbons, ten carbons, or twelve carbons. Suitable aryl groups include phenyl, biphenyl, terphenyl, triphenylene, tetraphenylene, naphthalene, anthracene, phenalene, phenanthrene, fluorene, pyrene, perylene,
Perylene and azulene, preferably phenyl, biphenyl, terphenyl, triphenylene, fluorene and naphthalene. In addition, the aryl group may be optionally substituted.
The term "heteroaryl" refers to and includes monocyclic aromatic groups and polycyclic aromatic ring systems that include at least one heteroatom. Heteroatoms include, but are not limited to O, S, N, P, B, Si and Se. In many cases O, S or N are preferred heteroatoms. Monocyclic heteroaromatic systems are preferably monocyclic with 5 or 6 ring atoms, and rings may have one to six heteroatoms. A heteropolycyclic system can have two or more rings in which two atoms are common to two adjoining rings (the rings are "fused"), wherein at least one of the rings is heteroaryl, e.g., the other rings can be cycloalkyls, cycloalkenyls, aryls, heterocycles and/or heteroaryls. The heterocyclic aromatic ring system may have one to six heteroatoms per ring of the polycyclic aromatic ring system. Preferred heteroaryl groups are those containing from three to thirty carbon atoms, preferably from three to twenty carbon atoms, more preferably from three to twelve carbon atoms. Suitable heteroaryl groups include dibenzothiophene, dibenzofuran, dibenzoselenophene, furan, thiophene, benzofuran, benzothiophene, benzoselenophene, carbazole, indolocarbazole, pyridylindole, pyrrolobipyridine, pyrazole, imidazole, triazole, oxazole, thiazole, oxadiazole, oxatriazole, dioxazole, thiadiazole, pyridine, pyridazine, pyrimidine, pyrazine, triazine, oxazine, oxathiazine, oxadiazine, indole, benzimidazole, indazole, indolizine, benzoxazole, benzisoxazole, benzothiazole, quinoline, isoquinoline, quinazoline, quinoxaline, naphthyridine, phthalazine, pteridine, xanthene, acridine, phenazine, phenothiazine, phenoxazine, benzofuropyridine, furobipyridine, benzothienopyridine, thienobipyridine, benzothienopyridine, and selenenopyridine, preferably dibenzothiophene, and benzothiophene, Dibenzofurans, dibenzoselenophenes, carbazoles, indolocarbazoles, imidazoles, pyridines, triazines, benzimidazoles, 1, 2-azaborines, 1, 3-azaborines, 1, 4-azaborines, borazines, and aza analogs thereof. In addition, the heteroaryl group may be optionally substituted.
Of the aryl and heteroaryl groups listed above, triphenylene, naphthalene, anthracene, dibenzothiophene, dibenzofuran, dibenzoselenophene, carbazole, indolocarbazole, imidazole, pyridine, pyrazine, pyrimidine, triazine, and benzimidazole are of particular interest, as well as their respective corresponding aza analogues.
The terms alkyl, cycloalkyl, heteroalkyl, heterocycloalkyl, alkenyl, cycloalkenyl, heteroalkenyl, alkynyl, aralkyl, heterocyclyl, aryl, and heteroaryl, as used herein, are independently unsubstituted or independently substituted with one or more general substituents.
In many cases, typical substituents are selected from the group consisting of: deuterium, halogen, alkyl, cycloalkyl, heteroalkyl, heterocycloalkyl, aralkyl, alkoxy, aryloxy, amino, silyl, alkenyl, cycloalkenyl, heteroalkenyl, alkynyl, aryl, heteroaryl, acyl, carboxylic acid, ether, ester, nitrile, isonitrile, thio, sulfinyl, sulfonyl, phosphino, borinyl, and combinations thereof.
In some cases, preferred general substituents are selected from the group consisting of: deuterium, fluorine, alkyl, cycloalkyl, heteroalkyl, alkoxy, aryloxy, amino, silyl, alkenyl, cycloalkenyl, heteroalkenyl, aryl, heteroaryl, nitrile, isonitrile, thio, oxyboronyl, and combinations thereof.
In some cases, more preferred general substituents are selected from the group consisting of: deuterium, fluorine, alkyl, cycloalkyl, alkoxy, aryloxy, amino, silyl, oxyboronyl, aryl, heteroaryl, thio, and combinations thereof.
In other cases, most preferred general substituents are selected from the group consisting of: deuterium, fluoro, alkyl, cycloalkyl, aryl, heteroaryl, and combinations thereof.
The terms "substituted" and "substitution" mean that a substituent other than H is bonded to the relevant position, e.g., carbon or nitrogen. For example, when R is1When representing a single substitution, then one R1Must not be H (i.e., substituted). Similarly, when R is1When representing disubstituted, then two R1Must not be H. Similarly, when R is1When represents zero or no substitution, R1For example, it may be hydrogen of available valency for the ring atoms, such as the carbon atom of benzene and the nitrogen atom of pyrrole, or it may be hydrogen of only zero for ring atoms having fully saturated valency, such as the nitrogen atom of pyridine. The maximum number of substitutions possible in a ring structure will depend on the total number of available valences in the ring atoms.
As used herein, "a combination thereof" means that one or more members of the applicable list are combined to form a known or chemically stable arrangement that one of ordinary skill in the art can envision from the applicable list. For example, alkyl and deuterium can be combined to form a partially or fully deuterated alkyl; halogen and alkyl may combine to form haloalkyl substituents; and halogen, alkyl, and aryl groups may be combined to form haloaralkyl groups. In one example, the term substituted includes combinations of two to four of the listed groups. In another example, the term substitution includes a combination of two to three groups. In yet another example, the term substitution includes a combination of two groups. Preferred combinations of substituents are those containing up to fifty atoms other than hydrogen or deuterium, or those containing up to forty atoms other than hydrogen or deuterium, or those containing up to thirty atoms other than hydrogen or deuterium. In many cases, a preferred combination of substituents will include up to twenty atoms that are not hydrogen or deuterium.
The term "aza" in the fragment described herein, i.e., aza-dibenzofuran, aza-dibenzothiophene, etc., means that one or more of the C-H groups in the corresponding aromatic ring can be replaced by a nitrogen atom, for example and without any limitation, azatriphenylene encompasses dibenzo [ f, H ] quinoxaline and dibenzo [ f, H ] quinoline. Other nitrogen analogs of the aza-derivatives described above can be readily envisioned by one of ordinary skill in the art, and all such analogs are intended to be encompassed by the term as set forth herein.
As used herein, "deuterium" refers to an isotope of hydrogen. Deuterated compounds can be readily prepared using methods known in the art. For example, U.S. patent No. 8,557,400, patent publication No. WO 2006/095951, and U.S. patent application publication No. US 2011/0037057 (which are incorporated herein by reference in their entirety) describe the preparation of deuterium substituted organometallic complexes. With further reference to \37154min (Ming Yan) et al, Tetrahedron (Tetrahedron)2015,71,1425-30 and azrote (Atzrodt) et al, german applied chemistry (angelw. chem. int. ed.) (review) 2007,46,7744-65, which are incorporated by reference in their entirety, describe efficient routes for deuteration of methylene hydrogens in benzylamines and replacement of aromatic ring hydrogens with deuterium, respectively.
It is understood that when a molecular fragment is described as a substituent or otherwise attached to another moiety, its name can be written as if it were a fragment (e.g., phenyl, phenylene, naphthyl, dibenzofuranyl) or as if it were an entire molecule (e.g., benzene, naphthalene, dibenzofuran). As used herein, these different named substituents or the manner of linking the fragments are considered equivalent.
In some cases, a pair of adjacent substituents may optionally join or be fused to form a ring. Preferred rings are five-, six-or seven-membered carbocyclic or heterocyclic rings, including both cases where a portion of the ring formed by the pair of substituents is saturated and where a portion of the ring formed by the pair of substituents is unsaturated. As used herein, "adjacent" means that the two substituents involved can be on the same ring next to each other, or on two adjacent rings having two nearest available substitutable positions (e.g., the 2, 2' positions in biphenyl or the 1, 8 positions in naphthalene), so long as they can form a stable fused ring system.
B. Compounds of the present disclosure
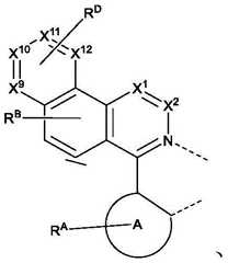
In one aspect, the present disclosure provides a compound comprising a ligand LAThe ligand LAHas the advantages of
Wherein:
ring a is a 5-or 6-membered carbocyclic or heterocyclic ring;
X1-X4is C when bonded to ring a;
X1-X4one of which is N when adjacent to the bonded C and coordinates to the metal M, forming a five-membered chelate ring as shown by the two dotted lines;
X1-X4the remaining two of (a) are CR or N;
X5-X12each independently is C or N;
X5-X8is N;
in formula II, X9-X12Only if rings A and X are present2、X3Or X4N when connected;
the maximum number of N atoms that can be attached to each other within each ring within the ring is two;
RA、RB、RCand RDEach independently represents a zero substitution, a mono substitution, or up to the maximum number of substitutions allowed for the ring to which it is attached;
R、RA、RB、RCand RDEach independently is hydrogen or a substituent selected from the group consisting of the general substituents defined herein; and is
Two R, RA、RB、RCAnd RDThe substituents may be joined orIs fused to form a ring, wherein the ligand LAMay be linked to other ligands to form tridentate, tetradentate, pentadentate or hexadentate ligands.
In some embodiments, R, RA、RB、RCAnd RDEach independently is hydrogen or a substituent selected from the group consisting of the preferred general substituents defined herein.
In some embodiments, ring a is a 6-membered aromatic ring.
In some embodiments, RASelected from the group consisting of hydrogen, deuterium, alkyl, cycloalkyl, and combinations thereof.
In some embodiments, two RAThe substituents are joined together to form a 6-membered aromatic ring fused to ring a.
In some embodiments, X1-X4One is N, one is C, and two are CR. In some embodiments, X1-X4Two of which are N, one is C, and one is CR.
In some embodiments, X5-X8One of which is N and the remainder are C.
In some embodiments, X9-X12Each is C, and ring A is with X of formula II1And (4) connecting. In some embodiments, X9-X12One of which is N and the remainder are C.
In some embodiments, X1Is C and is linked to the ring A by a direct bond, and X2Is N and is coordinated to M. In some embodiments, X4Is C and is linked to the ring A by a direct bond, and X3Is N and is coordinated to M.
In some embodiments, each R isBMay independently be H. In some embodiments, each R isCAnd RDMay independently be H.
In some embodiments, M is selected from the group consisting of Ru, Os, Ir, Pd, Pt, Cu, Ag, and Au. In some embodiments, M is Ir or Pt. In some embodiments, M is coordinated to a substituted or unsubstituted acetylacetonate ligand.
In some embodiments, the ligand L
ASelected from the group consisting of:
wherein:
X13and X14Each independently is CR or N;
y is selected from the group consisting of BRe、NRe、PRe、O、S、Se、C=O、S=O、SO2、CReRf、SiReRfAnd GeReRfGroup of (I), wherein ReAnd RfMay be fused or joined to form a ring; and is
Each ReAnd RfIndependently hydrogen or a substituent selected from the group consisting of: deuterium, halogen, alkyl, cycloalkyl, heteroalkyl, heterocycloalkyl, aralkyl, alkoxy, aryloxy, amino, silyl, oxyboronyl, alkenyl, cycloalkenyl, heteroalkenyl, alkynyl, aryl, heteroaryl, acyl, carboxylic acid, ether, ester, nitrile, isonitrile, thio, sulfinyl, sulfonyl, phosphino, and combinations thereof.
In some embodiments, the ligand LASelected from the group consisting of:
L
Ah-1based on structure 1
L
Ah-2Based on structure 2
L
Ah-3Based on structure 3
L
Ah-4Based on structure 4
L
Ah-5Based on structure 5
L
Ah-6Based on structure 6
L
Ah-7Based on structure 7
L
Ah-8Based on structure 8
L
Ah-9Based on structure 9
L
Ah-10Based on the structure 10
L
Ah-11Based on structure 11
L
Ah-12Based on structure 1
L
Ah-13Based on structure 13
L
Ah-14Based on structure 14
L
Ah-15Based on structure 15
L
Ah-16Based on structure 16
L
Ah-17Based on structure 17
L
Ah-18Based on structure 18
L
Ah-19Based on structure 19
L
Ah-20Based on the structure 20
L
Ah-21Based on structure 21
L
Ah-22Based on a structure 22
L
Ah-23Based on structure 23
L
Ah-24Based on structure 24
L
Ah-25Based on structure 25
L
Ah-26Based on structure 26
L
Ah-27Based on structure 27
Wherein h is an integer from 1 to 455, wherein for each h, R
E、R
FAnd G is defined as follows:
wherein R is
EAnd R
FHas the following structure:
wherein G has the following structure:
in some embodiments of the compound, the ligand LASelected from the group consisting of:
in some embodiments, the compound has formula M (L)A)x(LB)y(LC)z(ii) a Wherein L isBAnd LCEach is a bidentate ligand; and wherein x is 1,2 or 3; y is 0, 1 or 2; z is 0, 1 or 2; and x + y + z is the oxidation state of metal M. In some embodiments, the compound has a formula selected from the group consisting of: ir (L)A)3、Ir(LA)(LB)2、Ir(LA)2(LB)、Ir(LA)2(LC) And Ir (L)A)(LB)(LC) Wherein L isA、LBAnd LCAre different from each other.
In the formula of M (L)A)x(LB)y(LC)zIn some embodiments of the compound of (1), the compound has the formula Pt (L)A)(LB) Wherein L isAAnd LBMay be the same or different. In some embodiments, LAAnd LBLinked to form a tetradentate ligand.
In the formula of M (L)A)x(LB)y(LC)zIn some embodiments of the compounds of (1), LBAnd LCMay each be independently selected from the group consisting of:
wherein: y is1To Y13Each independently selected from the group consisting of carbon and nitrogen; y' is selected from the group consisting of BRe、NRe、PRe、O、S、Se、C=O、S=O、SO2、CReRf、SiReRfAnd GeReRfA group of compounds; wherein R iseAnd RfMay be fused or joined to form a ring; ra、Rb、RcAnd RdEach independently represents a zero substitution, a mono substitution, or up to the maximum number of substitutions allowed for the ring to which it is attached; each Ra1、Rb1、Rc1、Ra、Rb、Rc、Rd、ReAnd RfIndependently hydrogen or a substituent selected from the group consisting of the general substituents defined herein; and wherein Ra、Rb、RcAnd RdTwo adjacent substituents in (a) may be fused or joined to form a ring or form a multidentate ligand.
In the formula of M (L)
A)
x(L
B)
y(L
C)
zIn some embodiments of the compounds of (1), L
BAnd L
CMay each be independently selected from the group consisting of:
wherein R is
a'、R
b' and R
c' each independently represents a zero substitution, a mono substitution, or up to the maximum number of substitutions allowed for the ring to which it is attached; each R
a1、R
b1、R
c1、R
N、R
a'、R
b' and R
c' is independently hydrogen or a substituent selected from the group consisting of the general substituents defined herein; and two adjacent substituents R
a、R
b、R
cAnd R
dMay be fused or joined to form a ring or to form a multidentate ligand when chemically feasible.
In some embodiments of the compounds, the compound has the formula Ir (L)Ah-m)3、Ir(LAh-m)(LB)2、Ir(LAh-m)2(LB)、Ir(LAh-m)2(LC) Or Ir (L)Ah-m)(LB)(LC) Wherein m is an integer of 1 to 27;
wherein when said compound has the formula Ir (L)Ah-m)3And the compound is selected from the group consisting of Ir (L)A1-1)3To Ir (L)A455-27)3Group consisting of, wherein the ligand structure LA1-1To LA455-27As defined above;
wherein when said compound has the formula Ir (L)Ah-m)(LB)2When L isBIs LBkWherein k is an integer from 1 to 264 and the compound is selected from the group consisting of Ir (L)A1-1)(LB1)2To Ir (L)A455-27)(LB264)2A group of compounds;
wherein when said compound has the formula Ir (L)Ah-m)2(LB) When L isBIs LBkWherein k is an integer from 1 to 264 and the compound is selected fromFree Ir (L)A1-1)2(LB1) To Ir (L)A455-27)2(LB264) A group of compounds;
wherein when said compound has the formula Ir (L)Ah-m)2(LC) When L isCMay be LCj-IOr LCj-IIWherein j is an integer from 1 to 1416 and the compound is selected from the group consisting of Ir (L)A1-1)2(LC1-I) To Ir: (LA455-27)2(LC1416-I) Group consisting of or Ir (L)A1-1)2(LC1-II) To Ir (L)A455-27)2(LC1416-II) A group of compounds;
wherein when said compound has the formula Ir (L)Ah-m)(LB)(LC) When L isBIs LBkWherein k is an integer of 1 to 264 and LCMay be LCj-IOr LCj-IIWherein j is an integer from 1 to 1416, and the compound is selected from the group consisting of Ir (L)A1-1)(LB1)(LC1-I) To Ir (L)A455-27)(LB264)(LC1416-I) Or Ir (L)A1-1)(LB1)(LC1-II) To Ir (L)A455-27)(LB264)(LC1416-II) And wherein L isB1To LB264Has the structure defined below:
Wherein L is
C1-ITo L
C1416-IBased on structure
Wherein L is
C1-IITo L
C1416-IIBased on structure
Wherein for each LCj,R201And R202Is defined as:
wherein R isD1To RD246Has the following structure:
in the formula Ir (L)Ah-m)(LB)2、Ir(LAh-m)2(LB) Or Ir (L)Ah-m)(LB)(LC) In some embodiments of the compounds of (1), LBMay be selected from the group consisting of: l isB1、LB2、LB18、LB28、LB38、LB108、LB118、LB122、LB124、LB126、LB128、LB130、LB32、LB134、LB136、LB138、LB140、LB142、LB144、LB156、LB58、LB160、LB162、LB164、LB168、LB172、LB175、LB204、LB206、LB214、LB216、LB218、LB220、LB222、LB231、LB233、LB235、LB237、LB240、LB242、LB244、LB246、LB248、LB250、LB252、LB254、LB256、LB258、LB260、LB262、LB263And LB264. In some embodiments, LBSelected from the group consisting of: l isB1、LB2、LB18、LB28、LB38、LB108、LB118、LB122、LB124、LB126、LB128、LB132、LB136、LB138、LB142、LB156、LB162、LB204、LB206、LB214、LB216、LB218、LB220、LB231、LB233And LB237。
In the formula Ir (L)Ah-m)2(LC) Or Ir (L)Ah-m)(LB)(LC) In some embodiments of the compounds of (1), LCMay be selected from the group consisting of: only the corresponding R201And R202Those defined as one of the following structures LCj-IAnd LCj-II:
In the formula Ir (L)Ah-m)2(LC) Or Ir (L)Ah-m)(LB)(LC) In some embodiments of the compounds of (1), LCMay be selected from the group consisting of: only the corresponding R201And R202Those defined as one of the following structures LCj-IAnd LCj-II:
In the formula Ir (L)Ah-m)2(LC) Or Ir (L)Ah-m)(LB)(LC) In some embodiments of the compounds of (1), LCMay be selected from the group consisting of:
in some embodiments of the compounds, the compound may have the formula Ir (L)A)(LBk)2、Ir(LA)2(LBk) Ir of the formulaA)2(LCj-I) Ir of the formulaA)2(LCj-II)、Ir(LA)(LBk)(LCj-I) Or Ir (L)A)(LBk)(LCj-II) Wherein L isAIs a ligand as defined herein, k is an integer from 1 to 264, wherein each LBkIs defined herein, j is an integer from 1 to 1416, wherein each LCj-IAnd each LCj-IIAre defined herein.
In some embodiments of the compounds, the compounds are selected from the group consisting of the structures in table 5 below:
in some embodiments, the compound has
Wherein: m1Is Pd or Pt; the moieties E and F are each independently a 5-or 6-membered carbocyclic or heterocyclic ring; z1And Z2Each independently is C or N; k1And K2Each independently selected from the group consisting of a direct bond, O and S, wherein K1And K2Is a direct bond; l is1、L2And L3Each independently selected from the group consisting of: a direct bond, no bond, O, S, CR 'R', SiR 'R', BR 'and NR', wherein L1And L2At least one of (a); x13-X15Each independently is C or N; rEAnd RFEach independently represents zero substitution, mono substitution, or up to the maximum number of substitutions permitted; each R ', R', REAnd RFIndependently hydrogen or a substituent selected from the group consisting of: deuterium, fluoro, alkyl, cycloalkyl, heteroalkyl, alkoxy, aryloxy, amino, silyl, oxyboronyl, alkenyl, cycloalkenyl, heteroalkenyl, aryl, heteroaryl, nitrile, isonitrile, thio, and combinations thereof; two substituents may be joined or fused together to form a ring when chemically feasible; and X1-X12、RA、RB、RC、RDAnd ring a are the same as defined above.
In some embodiments of the compounds of formula III or formula IV, both part E and part F are 6-membered aromatic rings. In some embodiments, moiety F is a 5-or 6-membered heteroaromatic ring.
In some embodiments, L1Is O or CRR'. In some embodiments, Z1Is N and Z2Is C. In some embodiments, Z1Is C and Z2Is N. In some embodiments, L2Is a direct bond. In some embodiments, L2Is NR'.
In some embodiments, K1And K2Are all direct bonds. In some embodiments, K1And K2Is O. In some embodiments, X13-X15Are all C.
In some embodiments, the compound is selected from the group consisting of:
wherein: rxAnd RyEach selected from the group consisting of: alkyl, cycloalkyl, heteroalkyl, heterocycloalkyl, aryl, heteroaryl, and combinations thereof; rGIndependently at each occurrence is hydrogen or a substituent selected from the group consisting of: deuterium, fluoro, alkyl, cycloalkyl, heteroalkyl, alkoxy, aryloxy, amino, silyl, oxyboronyl, alkenyl, cycloalkenyl, heteroalkenyl, aryl, heteroaryl, nitrile, isonitrile, thio, and combinations thereof; and X1-X12、RA、RB、RC、RD、RE、RFAnd L1Are all the same as defined above.
In some embodiments, the compound is selected from the group consisting of:
it is to be understood that the calculations associated with these compounds obtained using the DFT function set and the base set as identified herein are theoretical. Computational compounding schemes (e.g., with CEP-3 as used herein)Gaussian of 1G basis set) relies on the assumption that electronic effects are additive, and therefore, a larger basis set can be used to infer the Complete Basis Set (CBS) limits. However, when the objective of the study was to understand a series of structurally related compounds in HOMO, LUMO, S1、T1The additive effect is expected to be similar when there are changes in bond dissociation energy, etc. Thus, while the absolute error produced using B3LYP may be large compared to other calculation methods, it is expected that the HOMO, LUMO, S calculated using the B3LYP scheme1、T1And the relative difference between the values of bond dissociation energy, will reproduce the experiment well. See, e.g., flood et al, chemicals (chem. mater.) 2016,28, 5791-. Furthermore, for iridium or platinum complexes useful in the OLED field, the data obtained from the DFT calculations correlate well with actual experimental data. See tawasli (Tavasli), et al, journal of materials chemistry (j. mater. chem.) 2012,22,6419-29,6422 (table 3) (showing that DFT calculations are closely related to actual data for various emission complexes); morelalo G.R. (Morello, G.R.), (journal of molecular models (j. mol. model.), (2017, 23: 174) (study of various DFT functional and basis sets and conclude that the combination of B3LYP and CEP-31G is particularly accurate for emission complexes).
C. OLEDs and devices of the present disclosure
In another aspect, the present disclosure also provides an OLED device comprising a first organic layer comprising a compound as disclosed in the above compounds section of the present disclosure.
In some embodiments, an OLED includes an anode, a cathode, and a first organic layer disposed between the anode and the cathode. The first organic layer may comprise a compound comprising a ligand LAThe ligand LAHas the advantages of
Wherein:
ring a is a 5-or 6-membered carbocyclic or heterocyclic ring;
X1-X4is C when bonded to ring a;
X1-X4one of which is N when adjacent to the bonded C and coordinates to the metal M, forming a five-membered chelate ring as shown by the two dotted lines;
X1-X4the remaining two of (a) are CR or N;
X5-X12each independently is C or N;
X5-X8is N;
in formula II, X9-X12Only if rings A and X are present2、X3Or X4N when connected;
the maximum number of N atoms that can be attached to each other within each ring within the ring is two;
RA、RB、RCand RDEach independently represents a zero substitution, a mono substitution, or up to the maximum number of substitutions allowed for the ring to which it is attached;
R、RA、RB、RCand RDEach independently is hydrogen or a substituent selected from the group consisting of the general substituents defined herein; and is
Two R, RA、RB、RCAnd RDThe substituents may be joined or fused to form a ring, wherein the ligand LAMay be linked to other ligands to form tridentate, tetradentate, pentadentate or hexadentate ligands.
In some embodiments, the organic layer may be an emissive layer and the compound as described herein may be an emissive dopant or a non-emissive dopant.
In some embodiments, the organic layer may further comprise a host, wherein the host comprises a triphenylene comprising a benzo-fused thiophene or a benzo-fused furan, wherein any substituent in the host is a non-fused substituent independently selected from the group consisting of: cnH2n+1、OCnH2n+1、OAr1、N(CnH2n+1)2、N(Ar1)(Ar2)、CH=CH-CnH2n+1、C≡CCnH2n+1、Ar1、Ar1-Ar2、CnH2n-Ar1Or no substituent, wherein n is 1 to 10; and wherein Ar1And Ar2Independently selected from the group consisting of: benzene, biphenyl, naphthalene, triphenylene, carbazole, and heteroaromatic analogs thereof.
In some embodiments, the organic layer may further comprise a host, wherein the host comprises at least one chemical group selected from the group consisting of: triphenylene, carbazole, indolocarbazole, dibenzothiophene, dibenzofuran, dibenzoselenophene, 5, 9-dioxa-13 b-boronaphtho [3,2,1-de ] anthracene, aza-triphenylene, aza-carbazole, aza-indolocarbazole, aza-dibenzothiophene, aza-dibenzofuran, aza-dibenzoselenophene, and aza- (5, 9-dioxa-13 b-boronaphtho [3,2,1-de ] anthracene).
In some embodiments, the subject may be selected from the group of subjects consisting of:
and combinations thereof.
In some embodiments, the organic layer may further comprise a host, wherein the host comprises a metal complex.
In some embodiments, a compound as described herein may be a sensitizer; wherein the device may further comprise a receptor; and wherein the receptor may be selected from the group consisting of: fluorescent emitters, delayed fluorescent emitters, and combinations thereof.
In yet another aspect, the OLEDs of the present disclosure can further comprise an emissive region comprising a compound as disclosed in the above compounds section of the present disclosure.
In some embodiments, the emission region can comprise a compound comprising a ligand LAThe ligand LAHas the advantages of
Wherein:
ring a is a 5-or 6-membered carbocyclic or heterocyclic ring;
X1-X4is C when bonded to ring a;
X1-X4one of which is N when adjacent to the bonded C and coordinates to the metal M, forming a five-membered chelate ring as shown by the two dotted lines;
X1-X4the remaining two of (a) are CR or N;
X5-X12each independently is C or N;
X5-X8is N;
in formula II, X9-X12Only if rings A and X are present2、X3Or X4N when connected;
the maximum number of N atoms that can be attached to each other within each ring within the ring is two;
RA、RB、RCand RDEach independently represents a zero substitution, a mono substitution, or up to the maximum number of substitutions allowed for the ring to which it is attached;
R、RA、RB、RCand RDEach independently is hydrogen or selected from the group defined hereinSubstituents of the group consisting of general substituents; and is
Two R, RA、RB、RCAnd RDThe substituents may be joined or fused to form a ring, wherein the ligand LAMay be linked to other ligands to form tridentate, tetradentate, pentadentate or hexadentate ligands.
In some embodiments of the emissive layer, the compound is a host. In some embodiments, the emissive region further comprises a phosphorescent emissive dopant; wherein the emissive dopant is a transition metal complex having at least one ligand or a portion of the ligand when the ligand is more than bidentate, the ligand selected from the group consisting of:
wherein each X1To X13Independently selected from the group consisting of carbon and nitrogen;
wherein X is selected from the group consisting of BR ', NR ', PR ', O, S, Se, C-O, S-O, SO2CR 'R', SiR 'R' and GeR 'R';
wherein R' and R "are optionally fused or joined to form a ring;
wherein each Ra、Rb、RcAnd RdMay represent mono-to the maximum number of substitutions possible, or no substitution;
wherein R ', R', Ra、Rb、RcAnd RdEach independently is hydrogen or a substituent selected from the group consisting of: deuterium, halogen, alkyl, cycloalkyl, heteroalkyl, heterocycloalkyl, aralkylA group, alkoxy, aryloxy, amino, silyl, alkenyl, cycloalkenyl, heteroalkenyl, alkynyl, aryl, heteroaryl, acyl, carboxylic acid, ether, ester, nitrile, isonitrile, thio, sulfinyl, sulfonyl, phosphino, and combinations thereof; and is
Wherein R isa、Rb、RcAnd RdAny two substituents of (a) are optionally fused or joined to form a ring or to form a multidentate ligand.
In yet another aspect, the present disclosure also provides a consumer product comprising an Organic Light Emitting Device (OLED) having an anode; a cathode; and an organic layer disposed between the anode and the cathode, wherein the organic layer can comprise a compound as disclosed in the above compounds section of the present disclosure.
In some embodiments, the consumer product comprises an OLED having an anode; a cathode; and an organic layer disposed between the anode and the cathode, wherein the organic layer may comprise a compound comprising a ligand LAThe ligand LAHas the advantages of
Wherein:
ring a is a 5-or 6-membered carbocyclic or heterocyclic ring;
X1-X4is C when bonded to ring a;
X1-X4one of which is N when adjacent to the bonded C and coordinates to the metal M, forming a five-membered chelate ring as shown by the two dotted lines;
X1-X4the remaining two of (a) are CR or N;
X5-X12each independently is C or N;
X5-X8is N;
in formula II, X9-X12Only if rings A and X are present2、X3Or X4N when connected;
the maximum number of N atoms that can be attached to each other within each ring within the ring is two;
RA、RB、RCand RDEach independently represents a zero substitution, a mono substitution, or up to the maximum number of substitutions allowed for the ring to which it is attached;
R、RA、RB、RCand RDEach independently is hydrogen or a substituent selected from the group consisting of the general substituents defined herein; and is
Two R, RA、RB、RCAnd RDThe substituents may be joined or fused to form a ring, wherein the ligand LAMay be linked to other ligands to form tridentate, tetradentate, pentadentate or hexadentate ligands.
In some embodiments, the consumer product may be one of the following: a flat panel display, a computer monitor, a medical monitor, a television, a billboard, a light for interior or exterior lighting and/or signaling, a heads-up display, a fully or partially transparent display, a flexible display, a laser printer, a telephone, a cellular telephone, a tablet, a phablet, a Personal Digital Assistant (PDA), a wearable device, a laptop computer, a digital camera, a video camera, a viewfinder, a microdisplay at a diagonal of less than 2 inches, a 3-D display, a virtual reality or augmented reality display, a vehicle, a video wall containing multiple displays tiled together, a theater or stadium screen, a phototherapy device, and a sign.
Generally, an OLED comprises at least one organic layer disposed between and electrically connected to an anode and a cathode. When current is applied, the anode injects holes and the cathode injects electrons into the organic layer. The injected holes and electrons each migrate toward the oppositely charged electrode. When an electron and a hole are located on the same molecule, an "exciton," which is a localized electron-hole pair with an excited energy state, is formed. When the exciton relaxes by a light emission mechanism, light is emitted. In some cases, the exciton may be localized on an excimer (eximer) or an exciplex. Non-radiative mechanisms (such as thermal relaxation) may also occur, but are generally considered undesirable.
Several OLED materials and configurations are described in U.S. patent nos. 5,844,363, 6,303,238, and 5,707,745, which are incorporated herein by reference in their entirety.
The initial OLEDs used emissive molecules that emit light from a singlet state ("fluorescence"), as disclosed, for example, in U.S. patent No. 4,769,292, which is incorporated by reference in its entirety. Fluorescence emission typically occurs in a time frame of less than 10 nanoseconds.
More recently, OLEDs having emissive materials that emit light from the triplet state ("phosphorescence") have been demonstrated. Baldo et al, "high efficiency Phosphorescent Emission from Organic Electroluminescent Devices" (Nature), 395, 151-154,1998 ("Baldo-I"); and baldo et al, "Very high-efficiency green organic light-emitting devices based on electrophosphorescence (Very high-efficiency green organic light-emitting devices-based on electrophosphorescence)", applied physical promo (appl. phys. lett.), volume 75, stages 3,4-6 (1999) ("baldo-II"), which are incorporated by reference in their entirety. Phosphorescence is described in more detail in U.S. Pat. No. 7,279,704, columns 5-6, which is incorporated by reference.
Fig. 1 shows an organiclight emitting device 100. The figures are not necessarily to scale.Device 100 can includesubstrate 110,anode 115,hole injection layer 120,hole transport layer 125,electron blocking layer 130,emissive layer 135,hole blocking layer 140,electron transport layer 145,electron injection layer 150,protective layer 155,cathode 160, and blockinglayer 170.Cathode 160 is a composite cathode having a firstconductive layer 162 and a secondconductive layer 164. Thedevice 100 may be fabricated by depositing the layers in sequence. The nature and function of these various layers and example materials are described in more detail in U.S. Pat. No. 7,279,704, columns 6-10, which is incorporated by reference.
More instances of each of these layers are available. For example, a flexible and transparent substrate-sunThe pole combination is disclosed in U.S. patent No. 5,844,363, which is incorporated by reference in its entirety. An example of a p-doped hole transport layer is doped with F at a molar ratio of 50:14TCNQ m-MTDATA as disclosed in U.S. patent application publication No. 2003/0230980, which is incorporated by reference in its entirety. Examples of luminescent and host materials are disclosed in U.S. Pat. No. 6,303,238 to Thompson et al, which is incorporated by reference in its entirety. An example of an n-doped electron transport layer is BPhen doped with Li at a molar ratio of 1:1, as disclosed in U.S. patent application publication No. 2003/0230980, which is incorporated by reference in its entirety. U.S. Pat. Nos. 5,703,436 and 5,707,745, which are incorporated by reference in their entirety, disclose examples of cathodes comprising composite cathodes having a thin layer of a metal (e.g., Mg: Ag) with an overlying transparent, conductive, sputter-deposited ITO layer. The theory and use of barrier layers is described in more detail in U.S. patent No. 6,097,147 and U.S. patent application publication No. 2003/0230980, which are incorporated by reference in their entirety. Examples of injection layers are provided in U.S. patent application publication No. 2004/0174116, which is incorporated by reference in its entirety. A description of the protective layer may be found in U.S. patent application publication No. 2004/0174116, which is incorporated by reference in its entirety.
Fig. 2 shows aninverted OLED 200. The device includes asubstrate 210, acathode 215, anemissive layer 220, ahole transport layer 225, and ananode 230. Thedevice 200 may be fabricated by depositing the layers in sequence. Because the most common OLED configuration has a cathode disposed above an anode, anddevice 200 has acathode 215 disposed below ananode 230,device 200 may be referred to as an "inverted" OLED. Materials similar to those described with respect todevice 100 may be used in corresponding layers ofdevice 200. Fig. 2 provides one example of how some layers may be omitted from the structure ofdevice 100.
The simple layered structure illustrated in fig. 1 and 2 is provided by way of non-limiting example, and it is to be understood that embodiments of the present disclosure may be used in conjunction with various other structures. The specific materials and structures described are exemplary in nature, and other materials and structures may be used. Functional OLEDs may be obtained by combining the various layers described in different ways, or the layers may be omitted entirely based on design, performance, and cost factors. Other layers not specifically described may also be included. Materials other than those specifically described may be used. Although many of the examples provided herein describe the various layers as comprising a single material, it is understood that combinations of materials may be used, such as mixtures of hosts and dopants, or more generally, mixtures. Further, the layer may have various sub-layers. The names given to the various layers herein are not intended to be strictly limiting. For example, indevice 200,hole transport layer 225 transports holes and injects holes intoemissive layer 220, and may be described as a hole transport layer or a hole injection layer. In one embodiment, an OLED may be described as having an "organic layer" disposed between a cathode and an anode. This organic layer may comprise a single layer, or may further comprise multiple layers of different organic materials as described, for example, with respect to fig. 1 and 2.
Structures and materials not specifically described may also be used, such as oleds (pleds) comprising polymeric materials, such as disclosed in U.S. patent No. 5,247,190 to frand (Friend), et al, which is incorporated by reference in its entirety. By way of further example, OLEDs having a single organic layer may be used. The OLEDs may be stacked, for example, as described in U.S. patent No. 5,707,745 to forrister (Forrest) et al, which is incorporated by reference in its entirety. The OLED structure may deviate from the simple layered structure illustrated in fig. 1 and 2. For example, the substrate may include an angled reflective surface to improve out-coupling (out-coupling), such as a mesa structure as described in U.S. Pat. No. 6,091,195 to Foster et al, and/or a pit structure as described in U.S. Pat. No. 5,834,893 to Boolean (Bulovic) et al, which are incorporated by reference in their entirety.
Any of the layers of the various embodiments may be deposited by any suitable method, unless otherwise specified. For organic layers, preferred methods include thermal evaporation, ink jetting (as described in U.S. Pat. Nos. 6,013,982 and 6,087,196, both incorporated by reference in their entirety), organic vapor deposition (OVPD) (as described in U.S. Pat. No. 6,337,102 to Foster et al, both incorporated by reference in their entirety), and deposition by Organic Vapor Jet Printing (OVJP) (as described in U.S. Pat. No. 7,431,968, incorporated by reference in its entirety). Other suitable deposition methods include spin coating and other solution-based processes. The solution-based process is preferably carried out in a nitrogen or inert atmosphere. For other layers, a preferred method includes thermal evaporation. Preferred patterning methods include deposition through a mask, cold welding (as described in U.S. Pat. nos. 6,294,398 and 6,468,819, which are incorporated by reference in their entirety), and patterning associated with some of the deposition methods such as inkjet and Organic Vapor Jet Printing (OVJP). Other methods may also be used. The material to be deposited may be modified to suit the particular deposition method. For example, substituents such as alkyl and aryl groups, branched or unbranched, and preferably containing at least 3 carbons, may be used in small molecules to enhance their ability to undergo solution processing. Substituents having 20 carbons or more may be used, and 3 to 20 carbons is a preferred range. A material with an asymmetric structure may have better solution processibility than a material with a symmetric structure because asymmetric materials may have a lower tendency to recrystallize. Dendrimer substituents may be used to enhance the ability of small molecules to undergo solution processing.
Devices fabricated according to embodiments of the present disclosure may further optionally include a barrier layer. One use of barrier layers is to protect the electrodes and organic layers from damage from exposure to hazardous substances in the environment including moisture, vapor, and/or gas. The barrier layer may be deposited on, under or beside the substrate, electrode, or on any other part of the device, including the edge. The barrier layer may comprise a single layer or multiple layers. The barrier layer may be formed by various known chemical vapor deposition techniques and may include compositions having a single phase and compositions having multiple phases. Any suitable material or combination of materials may be used for the barrier layer. The barrier layer may incorporate an inorganic compound or an organic compound or both. Preferred barrier layers comprise a mixture of polymeric and non-polymeric materials as described in U.S. patent No. 7,968,146, PCT patent application nos. PCT/US2007/023098 and PCT/US2009/042829, which are incorporated herein by reference in their entirety. To be considered a "mixture," the aforementioned polymeric and non-polymeric materials that make up the barrier layer should be deposited under the same reaction conditions and/or simultaneously. The weight ratio of polymeric material to non-polymeric material may be in the range of 95:5 to 5: 95. The polymeric material and the non-polymeric material may be produced from the same precursor material. In one example, the mixture of polymeric material and non-polymeric material consists essentially of polymeric silicon and inorganic silicon.
Devices manufactured according to embodiments of the present disclosure may be incorporated into a wide variety of electronic component modules (or units), which may be incorporated into a wide variety of electronic products or intermediate components. Examples of such electronic products or intermediate components include display screens, lighting devices (e.g., discrete light source devices or lighting panels), etc., which may be utilized by end-user product manufacturers. The electronics module may optionally include drive electronics and/or a power source. Devices manufactured in accordance with embodiments of the present disclosure may be incorporated into a wide variety of consumer products having one or more electronic component modules (or units) incorporated therein. A consumer product comprising an OLED comprising a compound of the present disclosure in an organic layer in the OLED is disclosed. The consumer product shall include any kind of product comprising one or more light sources and/or one or more of some type of visual display. Some examples of such consumer products include flat panel displays, curved displays, computer monitors, medical monitors, televisions, billboards, lights for interior or exterior illumination and/or signaling, heads-up displays, fully or partially transparent displays, flexible displays, rollable displays, foldable displays, stretchable displays, laser printers, telephones, cellular telephones, tablet computers, tablet phones, Personal Digital Assistants (PDAs), wearable devices, laptop computers, digital cameras, video cameras, viewfinders, microdisplays (displays less than 2 inches diagonal), 3-D displays, virtual reality or augmented reality displays, vehicles, video walls containing multiple displays tiled together, theater or stadium screens, phototherapy devices, and signs. Various control mechanisms may be used to control devices made in accordance with the present disclosure, including passive matrices and active matrices. Many of the devices are intended for use in a temperature range that is comfortable for humans, such as 18 ℃ to 30 ℃, and more preferably at room temperature (20-25 ℃), but may be used outside this temperature range (e.g., -40 ℃ to +80 ℃).
More details regarding OLEDs and the definitions described above can be found in U.S. patent No. 7,279,704, which is incorporated herein by reference in its entirety.
The materials and structures described herein may be applied to devices other than OLEDs. For example, other optoelectronic devices such as organic solar cells and organic photodetectors may employ the materials and structures. More generally, organic devices such as organic transistors may employ the materials and structures.
In some embodiments, the OLED has one or more features selected from the group consisting of: flexible, rollable, foldable, stretchable, and bendable. In some embodiments, the OLED is transparent or translucent. In some embodiments, the OLED further comprises a layer comprising carbon nanotubes.
In some embodiments, the OLED further comprises a layer comprising a delayed fluorescence emitter. In some embodiments, the OLED comprises an RGB pixel arrangement or a white plus color filter pixel arrangement. In some embodiments, the OLED is a mobile device, a handheld device, or a wearable device. In some embodiments, the OLED is a display panel having a diagonal of less than 10 inches or an area of less than 50 square inches. In some embodiments, the OLED is a display panel having a diagonal of at least 10 inches or an area of at least 50 square inches. In some embodiments, the OLED is a lighting panel.
In some embodiments, the compound may be an emissive dopant. In some embodiments, the compounds may produce emission via phosphorescence, fluorescence, thermally activated delayed fluorescence (i.e., TADF, also known as E-type delayed fluorescence, see, e.g., U.S. application No. 15/700,352, which is incorporated herein by reference in its entirety), triplet-triplet annihilation, or a combination of these processes. In some embodiments, the emissive dopant may be a racemic mixture, or may be enriched in one enantiomer. In some embodiments, the compounds may be homoleptic (each ligand is the same). In some embodiments, the compounds may be compounded (at least one ligand being different from the others). In some embodiments, when there is more than one ligand that coordinates to the metal, the ligands may all be the same. In some other embodiments, at least one ligand is different from the other ligands. In some embodiments, each ligand may be different from each other. This is also true in embodiments where the ligand that coordinates to the metal can be linked to other ligands that coordinate to the metal to form a tridentate, tetradentate, pentadentate, or hexadentate ligand. Thus, where the coordinating ligands are linked together, in some embodiments all of the ligands may be the same, and in some other embodiments at least one of the linked ligands may be different from the other ligand(s).
In some embodiments, the compounds may be used as phosphorous photosensitizers in OLEDs, where one or more layers in the OLED contain an acceptor in the form of one or more fluorescent and/or delayed fluorescence emitters. In some embodiments, the compounds may be used as a component of an exciplex to be used as a sensitizer. As a phosphosensitizer, the compound must be capable of energy transfer to the acceptor and the acceptor will emit or further transfer energy to the final emitter. The receptor concentration may range from 0.001% to 100%. The acceptor may be in the same layer as the phosphorous sensitizer or in one or more different layers. In some embodiments, the receptor is a TADF emitter. In some embodiments, the acceptor is a fluorescent emitter. In some embodiments, the emission may be produced by any or all of the sensitizer, the receptor, and the final emitter.
According to another aspect, a formulation comprising a compound described herein is also disclosed.
The OLEDs disclosed herein can be incorporated into one or more of consumer products, electronic component modules, and lighting panels. The organic layer may be an emissive layer, and the compound may be an emissive dopant in some embodiments, while the compound may be a non-emissive dopant in other embodiments.
In yet another aspect of the present invention, a formulation comprising the novel compound disclosed herein is described. The formulation may include one or more of the components disclosed herein selected from the group consisting of: a solvent, a host, a hole injection material, a hole transport material, an electron blocking material, a hole blocking material, and an electron transport material.
The present disclosure encompasses any chemical structure comprising the novel compounds of the present disclosure or monovalent or multivalent variants thereof. In other words, the compounds of the present invention or monovalent or multivalent variants thereof may be part of a larger chemical structure. Such chemical structures may be selected from the group consisting of: monomers, polymers, macromolecules and supramolecules (also known as supramolecules). As used herein, "monovalent variant of a compound" refers to a moiety that is the same as a compound but where one hydrogen has been removed and replaced with a bond to the remainder of the chemical structure. As used herein, "multivalent variants of a compound" refers to moieties that are the same as a compound but where more than one hydrogen has been removed and replaced with one or more bonds to the rest of the chemical structure. In the case of supramolecules, the compounds of the invention may also be incorporated into supramolecular complexes without covalent bonds.
D. Combinations of the compounds of the present disclosure with other materials
Materials described herein as suitable for use in a particular layer in an organic light emitting device can be used in combination with a variety of other materials present in the device. For example, the emissive dopants disclosed herein may be used in conjunction with a wide variety of hosts, transport layers, barrier layers, implant layers, electrodes, and other layers that may be present. The materials described or referenced below are non-limiting examples of materials that can be used in combination with the compounds disclosed herein, and one of ordinary skill in the art can readily review the literature to identify other materials that can be used in combination.
a) Conductive dopant:
the charge transport layer may be doped with a conductivity dopant to substantially change its charge carrier density, which in turn will change its conductivity. The conductivity is increased by the generation of charge carriers in the host material and, depending on the type of dopant, a change in the Fermi level of the semiconductor can also be achieved. The hole transport layer may be doped with a p-type conductivity dopant and an n-type conductivity dopant is used in the electron transport layer.
Non-limiting examples of conductivity dopants that can be used in OLEDs in combination with the materials disclosed herein, along with references disclosing those materials, are exemplified below: EP01617493, EP01968131, EP2020694, EP2684932, US20050139810, US20070160905, US20090167167, US2010288362, WO06081780, WO2009003455, WO2009008277, WO2009011327, WO2014009310, US2007252140, US2015060804, US20150123047 and US 2012146012.
b)HIL/HTL:
The hole injection/transport material used in the present disclosure is not particularly limited, and any compound may be used as long as the compound is generally used as the hole injection/transport material. Examples of materials include (but are not limited to): phthalocyanine or porphyrin derivatives; an aromatic amine derivative; indolocarbazole derivatives; a fluorocarbon-containing polymer; a polymer having a conductive dopant; conductive polymers such as PEDOT/PSS; self-assembling monomers derived from compounds such as phosphonic acids and silane derivatives; metal oxide derivatives, e.g. MoOx(ii) a p-type semiconducting organic compounds, such as 1,4,5,8,9, 12-hexaazatriphenylhexacyano-nitrile; a metal complex; and a crosslinkable compound.
Examples of aromatic amine derivatives for use in HILs or HTLs include, but are not limited to, the following general structures:
Ar
1to Ar
9Each of which is selected from: a group consisting of aromatic hydrocarbon cyclic compounds such as: benzene, biphenyl, terphenyl, triphenylene, naphthalene, anthracene, phenalene, phenanthrene, fluorene, pyrene,

Perylene and azulene; a group consisting of aromatic heterocyclic compounds such as: dibenzothiophene, dibenzofuran, dibenzoselenophene, furan, thiophene, benzofuran, benzothiophene, benzoselenophene, carbazole, indolocarbazole, pyridylindole, pyrrolobipyridine, pyrazole, imidazole, triazole, oxazole, thiazole, oxadiazole, oxatriazole, dioxazole, thiadiazole, pyridine, pyridazine, pyrimidine, pyrazine, triazine, oxazine, oxathiazine, oxadiazine, indole, benzimidazole, indazole, indolizine, benzoxazole, benzisoxazole, benzothiazole, quinoline, isoquinoline, cinnoline, quinazoline, quinoxaline, naphthyridine, phthalazine, pteridine, xanthene, acridine, phenazine, phenothiazine, phenoxazine, benzofuropyridine, furobipyridine, benzothienopyridine, thienobipyridine, benzoselenenopyridine, and selenenopyridine; and a group consisting of 2 to 10 cyclic structural units which are the same type or different types of groups selected from aromatic hydrocarbon ring groups and aromatic heterocyclic groups and are bonded to each other directly or via at least one of an oxygen atom, a nitrogen atom, a sulfur atom, a silicon atom, a phosphorus atom, a boron atom, a chain structural unit and an aliphatic ring group. Each Ar may be unsubstituted or may be substituted with a substituent selected from the group consisting of: deuterium, halogen, alkyl, cycloalkyl, heteroalkyl, heterocycloalkyl, arylalkyl, alkoxyA group, aryloxy, amino, silyl, alkenyl, cycloalkenyl, heteroalkenyl, alkynyl, aryl, heteroaryl, acyl, carboxylic acid, ether, ester, nitrile, isonitrile, thio, sulfinyl, sulfonyl, phosphino, and combinations thereof.
In one aspect, Ar1To Ar9Independently selected from the group consisting of:
wherein k is an integer from 1 to 20; x101To X108Is C (including CH) or N; z101Is NAr1O or S; ar (Ar)1Having the same groups as defined above.
Examples of metal complexes used in HILs or HTLs include, but are not limited to, the following general formulas:
wherein Met is a metal which may have an atomic weight greater than 40; (Y)101-Y102) Is a bidentate ligand, Y101And Y102Independently selected from C, N, O, P and S; l is101Is an ancillary ligand; k' is an integer value from 1 to the maximum number of ligands that can be attached to the metal; and k' + k "is the maximum number of ligands that can be attached to the metal.
In one aspect, (Y)101-Y102) Is a 2-phenylpyridine derivative. In another aspect, (Y)101-Y102) Is a carbene ligand. In another aspect, Met is selected from Ir, Pt, Os and Zn. In another aspect, the metal complex has a structure comparable to Fc+A minimum oxidation potential in solution of less than about 0.6V for/Fc coupling.
Non-limiting examples of HIL and HTL materials that can be used in OLEDs in combination with the materials disclosed herein, along with references disclosing those materials, are exemplified by the following: CN102702075, DE102012005215, EP01624500, EP0169861, EP01806334, EP01930964, EP01972613, EP01997799, EP02011790, EP02055700, EP02055701, EP1725079, EP2085382, EP2660300, EP650955, JP07-073529, JP2005112765, JP2007091, JP 2008021621687, JP2014-009196, KR 201188898, KR20130077473, TW 201139201139402, US06517957, US 2008220158242, US20030162053, US20050123751 751, US 20060282993, US 200602872 14579, US 201181874874, US20070278938, US 20080014014464 091091091, US20080106190, US 200907192605092385, US 12460352009071794392604335200356371798, WO 20120020120020135200353141563543544354435443544354435443544354435443544354435443544354435646, WO 200200352003520035563256325632563256325646, WO 20035200352003520035200435443544354435443544354435443544354435443544354435646, WO 200605646, WO 200605632563256325632563256325646, WO 2002002002002002002002002002002002002002004356325632563256325632563256325632563256325632563256325632563256325632567, WO 2004354435443435632563256325632563256325632563256325632563243544354434354435443544354435443544354435443544354435443541, WO 200200200200200200200200200200200200200200200200200200.
c)EBL:
An Electron Blocking Layer (EBL) may be used to reduce the number of electrons and/or excitons that leave the emissive layer. The presence of such a barrier layer in a device may result in substantially higher efficiency and/or longer lifetime compared to a similar device lacking a barrier layer. In addition, blocking layers can be used to limit the emission to the desired area of the OLED. In some embodiments, the EBL material has a higher LUMO (closer to the vacuum level) and/or higher triplet energy than the emitter closest to the EBL interface. In some embodiments, the EBL material has a higher LUMO (closer to the vacuum level) and/or higher triplet energy than one or more of the bodies closest to the EBL interface. In one aspect, the compound used in the EBL contains the same molecule or the same functional group as used in one of the hosts described below.
d) A main body:
the light-emitting layer of the organic EL device of the present disclosure preferably contains at least a metal complex as a light-emitting material, and may contain a host material using the metal complex as a dopant material. Examples of the host material are not particularly limited, and any metal complex or organic compound may be used as long as the triplet energy of the host is larger than that of the dopant. Any host material may be used with any dopant so long as the triplet criteria are met.
Examples of the metal complex used as the host preferably have the following general formula:
wherein Met is a metal; (Y)103-Y104) Is a bidentate ligand, Y103And Y104Independently selected from C, N, O, P and S; l is101Is another ligand; k' is 1 to the most connectable with metalInteger values for large ligand numbers; and k' + k "is the maximum number of ligands that can be attached to the metal.
In one aspect, the metal complex is:
wherein (O-N) is a bidentate ligand having a metal coordinated to the O and N atoms.
In another aspect, Met is selected from Ir and Pt. In another aspect, (Y)103-Y104) Is a carbene ligand.
In one aspect, the host compound contains at least one selected from the group consisting of: a group consisting of aromatic hydrocarbon cyclic compounds such as: benzene, biphenyl, terphenyl, triphenylene, tetraphenylene, naphthalene, anthracene, phenalene, phenanthrene, fluorene, pyrene, perylene,

Perylene and azulene; a group consisting of aromatic heterocyclic compounds such as: dibenzothiophene, dibenzofuran, dibenzoselenophene, furan, thiophene, benzofuran, benzothiophene, benzoselenophene, carbazole, indolocarbazole, pyridylindole, pyrrolobipyridine, pyrazole, imidazole, triazole, oxazole, thiazole, oxadiazole, oxatriazole, dioxazole, thiadiazole, pyridine, pyridazine, pyrimidine, pyrazine, triazine, oxazine, oxathiazine, oxadiazine, indole, benzimidazole, indazole, indolizine, benzoxazole, benzisoxazole, benzothiazole, quinoline, isoquinoline, cinnoline, quinazoline, quinoxaline, naphthyridine, phthalazine, pteridine, xanthene, acridine, phenazine, phenothiazine, phenoxazine, benzofuropyridine, furobipyridine, benzothienopyridine, thienobipyridine, benzoselenenopyridine, and selenenopyridine; and a group consisting of 2 to 10 cyclic structural units which are the same type or different types of groups selected from aromatic hydrocarbon cyclic groups and aromatic heterocyclic groups and are directly or via an oxygen atom, a nitrogen atom, a sulfur atom, a silicon atom, a phosphorus atomAt least one of the boron atom, the chain structural unit and the aliphatic ring group is bonded to each other. Each option in each group may be unsubstituted or may be substituted with a substituent selected from the group consisting of: deuterium, halogen, alkyl, cycloalkyl, heteroalkyl, heterocycloalkyl, aralkyl, alkoxy, aryloxy, amino, silyl, alkenyl, cycloalkenyl, heteroalkenyl, alkynyl, aryl, heteroaryl, acyl, carboxylic acid, ether, ester, nitrile, isonitrile, thio, sulfinyl, sulfonyl, phosphino, and combinations thereof.
In one aspect, the host compound contains at least one of the following groups in the molecule:
wherein R is101Selected from the group consisting of: hydrogen, deuterium, halogen, alkyl, cycloalkyl, heteroalkyl, heterocycloalkyl, aralkyl, alkoxy, aryloxy, amino, silyl, alkenyl, cycloalkenyl, heteroalkenyl, alkynyl, aryl, heteroaryl, acyl, carboxylic acid, ether, ester, nitrile, isonitrile, thio, sulfinyl, sulfonyl, phosphino, and combinations thereof, and when it is aryl or heteroaryl, it has a similar definition to Ar mentioned above. k is an integer from 0 to 20 or from 1 to 20. X101To X108Independently selected from C (including CH) or N. Z101And Z102Independently selected from NR101O or S.
Non-limiting examples of host materials that can be used in OLEDs in combination with the materials disclosed herein are exemplified below, along with references disclosing those materials: EP2034538, EP2034538A, EP2757608, JP2007254297, KR20100079458, KR20120088644, KR20120129733, KR20130115564, TW201329200, US20030175553, US20050238919, US20060280965, US20090017330, US20090030202, US20090167162, US20090302743, US20090309488, US20100012931, US20100084966, US20100187984, US2010187984, US2012075273, US2012126221, US2013009543, US2013105787, US2013175519, US 001446, US 20148301503, US20140225088, US2014034914, US7154114, WO2001039234, WO 2004093203203203207, WO 2005014545454545452009020090455646, WO 2002012009020120090201902019072201200907220120020190722012002012002016072201200201200201200201607246, WO 20120020120020160722012002016072201200201200201607246, WO 200201200201200201200201200201200201200201200907220020120020120020120020120020120020120090729, WO 200201200201200201200201200201200201200201200201200201200201200201200201200201200201200201200201200200200201200201200200200200200200200200200200200200200200200200200200200200200200200200200200200200200200200200200200200200200200200200200200200200200200200200200200200200200200200200200200200200,
e) other emitters:
one or more other emitter dopants may be used in combination with the compounds of the present invention. Examples of the other emitter dopant are not particularly limited, and any compound may be used as long as the compound is generally used as an emitter material. Examples of suitable emitter materials include, but are not limited to, compounds that can produce emission via phosphorescence, fluorescence, thermally activated delayed fluorescence (i.e., TADF, also known as E-type delayed fluorescence), triplet-triplet annihilation, or a combination of these processes.
Non-limiting examples of emitter materials that can be used in OLEDs in combination with the materials disclosed herein, along with references disclosing those materials, are exemplified below: CN103694277, CN1696137, EB01238981, EP01239526, EP01961743, EP1239526, EP1244155, EP1642951, EP1647554, EP1841834, EP1841834B, EP2062907, EP2730583, JP 201207440263, JP4478555, KR1020090133652, KR20120032054, KR20130043460, TW201332980, US0669959, US 200100916520, US20010019782, US20020034656, US 20030068568526, US20030072964, US 2003013865657, US 200501787878788, US 20020020020020120044673, US2005123791, US 2006052449 449, US20060008670, US20060065890, US 601696, US 6016016016012006012016016310204659, US 2012002012002012002012002012000477817781979, WO 20020120020120020120020020020020020020004778177819748, US 20120020020004779, WO 200200200201200201200200200200200201200778177819748, US 20020120004779, US 20120020120020120020120020020120020020020004779, US 2002012002002002002002002002002002002002002002002002002002012000477819748, US 200200200200200200200200200200200200200200200200200200200200200200200200200200200200200200200200200200779, US 200200200200200200200200200200200200200200200200200200200200200200200200200200200200200200200200200200200200200200200200200200200200200200779, US 200200200200200200200200200200200200200200200200200200200200200200200200200200200200200200200200200200200200200200200200200200200200200200200200200200200779, US 20020020020020020020020020020020020020020020020020020020120020120020020020020020020020020020020020020020020020020020020020020020020043979, US 20020020020020020020020020020020020020020020020020020020020020020020020020020020020020020020020020020020020020020020020020020020020020020020020020020020020043979, US 20020020020020020020020020020020020020020020020020020020020020020020020020020020020043979, US 20020020020120020120020020020020020020020020020020020020020020020043979, US 20020020020020020020020020020020020120020120020020020020020020020020020020020020020020020020020020020020020020020020020020120020020020020020020020020020020020020020020020043979, US 20020020020020020020020020020020020020020020020020020020020020020020020020020020020020020020020020020020020020020020120020120020120020120043979, US 200200200200200200200200200200200200200200200200200200200200200200200200200200200, WO2012020327, WO2012163471, WO2013094620, WO2013107487, WO2013174471, WO2014007565, WO2014008982, WO2014023377, WO2014024131, WO2014031977, WO2014038456, WO 2014112450.
f)HBL:
Hole Blocking Layers (HBLs) may be used to reduce the number of holes and/or excitons that leave the emissive layer. The presence of such a barrier layer in a device may result in substantially higher efficiency and/or longer lifetime compared to a similar device lacking a barrier layer. In addition, blocking layers can be used to limit the emission to the desired area of the OLED. In some embodiments, the HBL material has a lower HOMO (farther from the vacuum level) and/or higher triplet energy than the emitter closest to the HBL interface. In some embodiments, the HBL material has a lower HOMO (farther from the vacuum level) and/or higher triplet energy than one or more of the hosts closest to the HBL interface.
In one aspect, the compound used in the HBL contains the same molecule or the same functional group as used for the host described above.
In another aspect, the compound used in HBL contains in the molecule at least one of the following groups:
wherein k is an integer from 1 to 20; l is101Is another ligand, and k' is an integer of 1 to 3.
g)ETL:
The Electron Transport Layer (ETL) may include a material capable of transporting electrons. The electron transport layer may be intrinsic (undoped) or doped. Doping may be used to enhance conductivity. Examples of the ETL material are not particularly limited, and any metal complex or organic compound may be used as long as it is generally used to transport electrons.
In one aspect, the compound used in the ETL contains in the molecule at least one of the following groups:
wherein R is101Selected from the group consisting of: hydrogen, deuterium, halogen, alkyl, cycloalkyl, heteroalkyl, heterocycloalkyl, aralkyl, alkoxy, aryloxy, amino, silyl, alkenyl, cycloalkenyl, heteroalkenyl, alkynyl, aryl, heteroaryl, acyl, carboxylic acid, ether, ester, nitrile, isonitrile, thio, sulfinyl, sulfonyl, phosphino, and combinations thereof, which when aryl or heteroaryl has a similar definition to Ar described above. Ar (Ar)1To Ar3Have similar definitions as Ar mentioned above. k is an integer of 1 to 20. X101To X108Is selected from C (including C)H) Or N.
In another aspect, the metal complex used in the ETL contains (but is not limited to) the following general formula:
wherein (O-N) or (N-N) is a bidentate ligand having a metal coordinated to atom O, N or N, N; l is101Is another ligand; k' is an integer value from 1 to the maximum number of ligands that can be attached to the metal.
Non-limiting examples of ETL materials that can be used in an OLED in combination with the materials disclosed herein, along with references disclosing those materials, are exemplified as follows: CN103508940, EP01602648, EP01734038, EP01956007, JP2004-022334, JP2005149918, JP2005-268199, KR0117693, KR20130108183, US20040036077, US20070104977, US2007018155, US20090101870, US20090115316, US20090140637, US 2009017959554, US2009218940, US2010108990, US2011156017, US2011210320, US2012193612, US2012214993, US 20140142014014925, US 201401492014927, US 2014028450284580, US 5666612, US 1508431, WO 200306093060979256, WO2007111263, WO2009148269, WO2010067894, WO2010072300, WO 201107070, WO 105373, WO 201303017, WO 201314545477, WO 2014545667, WO 201104376, WO2014104535, WO 2014535,
h) charge Generation Layer (CGL)
In tandem or stacked OLEDs, CGL plays a fundamental role in performance, consisting of an n-doped layer and a p-doped layer for injecting electrons and holes, respectively. Electrons and holes are supplied by the CGL and the electrodes. Electrons and holes consumed in the CGL are refilled by electrons and holes injected from the cathode and anode, respectively; subsequently, the bipolar current gradually reaches a steady state. Typical CGL materials include n and p conductivity dopants used in the transport layer.
In any of the above-mentioned compounds used in each layer of the OLED device, the hydrogen atoms may be partially or fully deuterated. Thus, any of the specifically listed substituents, such as (but not limited to) methyl, phenyl, pyridyl, and the like, can be in their non-deuterated, partially deuterated, and fully deuterated forms. Similarly, substituent classes (such as, but not limited to, alkyl, aryl, cycloalkyl, heteroaryl, etc.) can also be non-deuterated, partially deuterated, and fully deuterated forms thereof.
It should be understood that the various embodiments described herein are by way of example only and are not intended to limit the scope of the invention. For example, many of the materials and structures described herein may be substituted with other materials and structures without departing from the spirit of the invention. The invention as claimed may thus comprise variations of the specific examples and preferred embodiments described herein, as will be apparent to those skilled in the art. It should be understood that various theories as to why the invention works are not intended to be limiting.
E. Experimental part
Synthesis of bis [ (2- (3, 5-dimethylphenyl) -2' -yl) -8-methyl-3, 7-phenanthrolin-3-yl)]- (3, 7-diethyl-4, 6-nonanedioato-k)2O, O') iridium (III).
Preparing 4-methoxy-8-methyl-3, 7-phenanthroline.
A nitrogen purged flask containing palladium (II) acetate (0.52g, 2.3mmol), tricyclohexylphosphine tetrafluoroborate (2.56g, 6.94mmol), cesium carbonate (45g, 140mmol), and 3-bromo-6-methylpyridinecarboxylic acid (10.0g, 46.3mmol) was charged with xylene (mixed isomer, 200mL), norbornadiene (12mL, 120mmol), and 3-iodo-2-methoxypyridine (12mL, 93 mmol). The mixture was heated to 140 ℃ and stirred for 6 hours. The mixture was cooled to Room Temperature (RT), diluted with EtOAc (400mL), filtered through celite (eluting with EtOAc, 200mL), and concentrated to a volume of about 100 mL. Purification by column chromatography (silica gel, 330g short column, liquid load, 0-100% EtOAc/([1:1 DCM/isohexane ])) gave 4-methoxy-8-methyl-3, 7-phenanthroline (1) (4.62g, 20.2mmol, 44% yield, > 98% purity) as a brown solid.
Preparing 8-methyl-3, 7-phenanthroline-4 (3H) -ketone hydrochloride.
A suspension of 4-methoxy-8-methyl-3, 7-phenanthroline (1) (4.6g, 21mmol) in HCl (4M in 1, 4-dioxane) (50mL, 200mmol) was stirred at 90 ℃ for 4 hours. The reaction mixture was cooled to room temperature and diluted with TBME (100 mL). The solid was collected by filtration, the filter cake was rinsed with TBME (20mL), and the solid was dried in vacuo to give 8-methyl-3, 7-phenanthrolin-4 (3H) -one hydrochloride (2) (5.0g, 20mmol, 97% yield, > 98% purity) as a yellow solid.
Preparing 4-chloro-8-methyl-3, 7-phenanthroline.
8-methyl-3, 7-phenanthroline-4 (3H) -one hydrochloride (2) (5.0g, 20mmol) in POCl3The suspension in (50mL, 540mmol) was stirred at 100 ℃ for 20 h. The reaction mixture was cooled to room temperature and diluted with TBME (100 mL). The solid was collected by filtration and the filter cake was rinsed with TBME (30 mL). The solid was suspended in DCM (1L) and reacted with saturated NaHCO3(aqueous solution) (200mL) were stirred together for 10 minutes. The phases were separated and the organic portion was washed with brine (200mL) over MgSO4Dried, filtered and concentrated. Flash column chromatography (silica gel, 330g short column, solid support, 0-100% EtOAc/[1:1 DC)M/isohexane]) Purification to give 4-chloro-8-methyl-3, 7-phenanthroline (3) as a white solid (3.7g, 16mmol, 78% yield,>98% purity).
Preparation of 4- (3, 5-dimethylphenyl) -8-methyl-3, 7-phenanthroline.
To a nitrogen purged vial containing 4-chloro-8-methyl-3, 7-phenanthroline (5.0g, 21.86mmol), (3, 5-dimethylphenyl) boronic acid (3.5g, 23.34mmol), pd (dppf) cl2.ch2cl2(0.50g, 0.614mmol), and potassium carbonate (4.5g, 32.6mmol) was charged toluene (50mL) and water (50 mL). The reaction mixture was stirred at 80 ℃ for 2 hours and cooled to room temperature. The reaction mixture was extracted with DCM, the organic layer was concentrated and purified by flash column chromatography. This material was dissolved in EtOAc (100mL) and shaken with 1M HCl (aq) (100 mL). The organic layer was discarded and the aqueous layer was washed with EtOAc (2X 50 mL). The aqueous portion was basified with 2M NaOH (aq) (70mL) and extracted with EtOAc (100 mL). The organic extracts were washed with brine, dried over MgSO4, filtered and concentrated. The residue (3.7g) was slurried in MeCN (20mL) overnight. The solid was collected by filtration, rinsed with MeCN (3 × 3mL) and dried in vacuo to give 4- (3, 5-dimethylphenyl) -8-methyl-3, 7-phenanthroline (3.34g, 11.18mmol, 51.1% yield) as a white solid.
Preparation of bis [ (2- (3, 5-dimethylphenyl) -2' -yl) -8-methyl-3, 7-phenanthrolin-3-yl)]- (3, 7-diethyl-4, 6-nonanedioato-k)2O, O') iridium (III).
A mixture of 4- (3, 5-dimethylphenyl) -8-methyl-3, 7-phenanthroline (1.2g, 4.01mmol, 2.0 equiv.) in triethyl phosphate (15mL) was bubbled with nitrogen for 10 minutes. Iridium (III) chloride hydrate (0.64g, 2.01mmol, 1.0 equiv.) was added and bubbling was continued for 5 minutes. The reaction mixture was heated at 115 ℃ for 18 hours, at which time1H-NMR AnalyzerAbout 72% conversion to the intermediate μ -dichloride complex (intermediate-1) is evident. The reaction mixture was cooled to room temperature and diluted with methanol (15 mL). 3, 7-diethyl-nonane-4, 6-dione (0.85g, 4.01mmol, 4.0 equiv.) and powdered potassium carbonate (0.83g, 6.02mmol, 6.0 equiv.) were added and the reaction mixture was heated at 50 ℃ for 3 hours. After cooling to room temperature, the reaction mixture was diluted with water (5mL) and the resulting suspension was filtered. The solid was washed with water (2X 3mL) and methanol (3X 3 mL). The residue was purified by column chromatography on silica gel eluting with 0-10% EtOAc in DCM. The recovered product was wet-milled with methanol containing 10% DCM (10mL) at 50 ℃ for 1 hour and filtered warm. The solid was dried in vacuo to give bis [ (2- (3, 5-dimethylphenyl) -2' -yl) -8-methyl-3, 7-phenanthrolin-3-yl) as a red solid]- (3, 7-diethyl-4, 6-nonanedioato-k)2O, O') Iridium (III) (1.5g, 99.7% UPLC purity).
B3LYP functional groups were used in calculations with the CEP-31G basis set. Geometry optimization was performed under vacuum. Excitation energy was obtained on these optimized geometries using time-dependent density functional theory (TDDFT). In the TDDFT calculation, a continuous solvent model was used to simulate tetrahydrofuran solvent. All calculations were performed using the Gaussian program.
More specifically, DFT calculations are performed to determine the energies of the lowest triplet (T1) excited state, the Highest Occupied Molecular Orbital (HOMO), and the Lowest Unoccupied Molecular Orbital (LUMO). Data was collected using Gaussian16 software. The B3LYP functional set and the CEP-31G basic set were used to optimize the geometry. Under the optimized ground state geometry, the excited state energy is calculated by TDDFT. The consistency with the experiment is further improved by simulating the THF solvent by using a self-consistent reaction field. The DFT data is shown in Table 1.
The DFT results indicate how much the addition of nitrogen on the host core has an effect on the HOMO level and T1. For example, comparing compound 1 of the present invention (IC1) and comparative compound 1(CC1), it can be seen that the addition of a nitrogen atom to IC1 causes a red shift of T1 by 11nm (613 to 624 nm). This is quite surprising in view of how far this addition is from iridium metal. Even more surprising was that the HOMO levels of IC1 and CC1 did not vary much (-5.06 vs. 4.99 eV). Considering the difference between the calculated T1, it is expected that a large change in the calculated HOMO energy level will be observed. This is a good material consideration, and deeper HOMO levels require more changes in the overall architecture (organic stack) of the device. The HOMO of IC1 is only 0.07eV deeper than CC1, which should not affect the device structure.
Similar trends were seen from comparative compound 2(CC2) to compounds 2 and 3 of the invention (IC2 and IC 3). The calculated T1 for CC2 was 623nm, while the calculated T1 for IC2 and IC3 were 631 and 633nm, respectively. The HOMO level also follows the same trend, whereas the HOMO level of CC2 is-4.98 eV and the HOMO levels of both IC2 and IC3 are-5.08 eV. Interestingly, by changing the position of the nitrogen atom on the ligand, the HOMO energy level remains unchanged.
TABLE 1 DFT data