







技术领域technical field
本申请涉及计算机技术,具体地,涉及一种BMI预测方法、装置、系统及计算机存储介质、电子设备。The present application relates to computer technology, and in particular, to a BMI prediction method, apparatus, system, computer storage medium, and electronic device.
背景技术Background technique
身体质量指数(BMI,Body Mass Index)又称体重指数,BMI=体重/身高的平方(国际单位kg/m2),是国际上常用的衡量人体肥胖程度和是否健康的重要标准。肥胖程度的判断不能采用体重的绝对值,它天然与身高有关,因此,BMI通过人体体重和身高两个数值获得相对客观的参数,并用这个参数所处范围衡量身体质量。Body mass index (BMI, Body Mass Index), also known as body mass index, BMI = weight/height square (international unit kg/m2 ), is an important standard commonly used in the world to measure the degree of human obesity and health. The degree of obesity cannot be judged by the absolute value of body weight, which is naturally related to height. Therefore, BMI obtains relatively objective parameters through the two values of body weight and height, and uses the range of this parameter to measure body mass.
按照世界卫生组织公布的标准,根据BMI数值成年人可分为六类健康状况,如下表所示:According to the standards published by the World Health Organization, adults can be divided into six categories of health conditions according to BMI values, as shown in the following table:
BMI不仅被用于评估个人健康状况,也是各国政府部门制定公共卫生政策的一项重要依据。统计全民BMI数据单纯靠个体坚持测量身高体重并定期汇总上报是非常困难的,移动通信网络的全面覆盖和智能移动终端的日益普及,为远程测量个体BMI提供了硬件基础。BMI is not only used to assess individual health status, but also an important basis for government departments to formulate public health policies. It is very difficult to count the national BMI data simply by insisting on measuring the height and weight of individuals and reporting them regularly. The comprehensive coverage of mobile communication networks and the increasing popularity of intelligent mobile terminals provide a hardware basis for remote measurement of individual BMI.
目前存在利用手机加速度传感器预测用户性别、身高和体重的研究,具体是使用均值、方差在内的统计特征训练传统的及其学习模型。这种方式只能针对特定运动状态下(步行),利用加速度传感器数据进行单一的身高和体重的预测。At present, there are studies on using mobile phone acceleration sensors to predict user gender, height and weight, specifically using statistical features including mean and variance to train traditional and learning models. This method can only predict a single height and weight using acceleration sensor data for a specific movement state (walking).
现有技术中存在的问题:Problems existing in the prior art:
目前采用手机动作传感器只能在特定运动状态已知的情况下预测身高和体重,适用场景有较大局限性;而且是将用户的身高和体重作为独立问题单独预测,然后再进行求比值计算得到BMI,导致预测准确度较低。At present, the mobile phone motion sensor can only predict the height and weight when the specific motion state is known, and the applicable scenarios have great limitations; and the user's height and weight are predicted as independent problems, and then the ratio is calculated to obtain BMI, resulting in lower prediction accuracy.
发明内容SUMMARY OF THE INVENTION
本申请实施例中提供了一种BMI预测方法、装置、系统及计算机存储介质、电子设备,以解决上述技术问题。Embodiments of the present application provide a BMI prediction method, apparatus, system, computer storage medium, and electronic device to solve the above technical problems.
根据本申请实施例的第一个方面,提供了一种BMI预测方法,包括如下步骤:According to a first aspect of the embodiments of the present application, a BMI prediction method is provided, comprising the following steps:
获取用户当前运动状态下的动作传感器数据;Obtain the motion sensor data of the user's current motion state;
根据所述动作传感器数据以及预先建立的与所述动作状态对应的BMI识别模型,预测所述用户的BMI。The BMI of the user is predicted according to the motion sensor data and a pre-established BMI identification model corresponding to the motion state.
根据本申请实施例的第二个方面,提供了一种BMI预测装置,包括:According to a second aspect of the embodiments of the present application, a BMI prediction device is provided, including:
数据获取模块,用于获取用户当前运动状态下的动作传感器数据;The data acquisition module is used to acquire the motion sensor data under the current motion state of the user;
BMI预测模块,用于根据所述动作传感器数据以及预先建立的与所述动作状态对应的BMI识别模型,预测所述用户的BMI。A BMI prediction module, configured to predict the BMI of the user according to the motion sensor data and a pre-established BMI identification model corresponding to the motion state.
根据本申请实施例的第三个方面,提供了一种计算机存储介质,其上存储有计算机程序,所述计算机程序被处理器执行时实现如上所述BMI预测方法的步骤。According to a third aspect of the embodiments of the present application, a computer storage medium is provided, on which a computer program is stored, and when the computer program is executed by a processor, implements the steps of the BMI prediction method as described above.
根据本申请实施例的第四个方面,提供了一种电子设备,包括存储器、以及一个或多个处理器,所述存储器用于存储一个或多个程序;所述一个或多个程序被所述一个或多个处理器执行时,实现如上所述的BMI预测方法。According to a fourth aspect of the embodiments of the present application, an electronic device is provided, including a memory and one or more processors, where the memory is used to store one or more programs; the one or more programs are When executed by the one or more processors, the BMI prediction method as described above is implemented.
根据本申请实施例的第五个方面,提供了一种BMI预测系统,包括:移动终端、以及包括如上所述BMI预测装置的服务器,所述移动终端,包括:According to a fifth aspect of the embodiments of the present application, there is provided a BMI prediction system, including: a mobile terminal, and a server including the above-mentioned BMI prediction device, the mobile terminal including:
动作传感器,用于采集用户动作时的动作传感器数据;The motion sensor is used to collect the motion sensor data when the user moves;
数据通信模块,用于将所述动作传感器数据发送至所述服务器,并接收所述服务器反馈的BMI。A data communication module, configured to send the motion sensor data to the server, and receive the BMI fed back by the server.
采用本申请实施例中提供的BMI预测方法、装置、系统及计算机存储介质、电子设备,本申请实施例将用户的身高体重比值(BMI)直接作为预测目标,将BMI作为一个独立的健康指标,相比现有技术中单独预测身高和体重后再换算成BMI对的准确度更高、更精准。Using the BMI prediction method, device, system, computer storage medium, and electronic equipment provided in the embodiment of the present application, the user's height-to-weight ratio (BMI) is directly used as the prediction target in the embodiment of the present application, and the BMI is used as an independent health indicator. Compared with the prior art, the height and weight are predicted separately and then converted into BMI pairs with higher accuracy and precision.
附图说明Description of drawings
此处所说明的附图用来提供对本申请的进一步理解,构成本申请的一部分,本申请的示意性实施例及其说明用于解释本申请,并不构成对本申请的不当限定。在附图中:The drawings described herein are used to provide further understanding of the present application and constitute a part of the present application. The schematic embodiments and descriptions of the present application are used to explain the present application and do not constitute an improper limitation of the present application. In the attached image:
图1示出了本申请实施例一中BMI预测方法实施的流程示意图;1 shows a schematic flowchart of the implementation of the BMI prediction method in the first embodiment of the present application;
图2示出了本申请实施例二中BMI预测装置的结构示意图;FIG. 2 shows a schematic structural diagram of the BMI prediction device in the second embodiment of the present application;
图3示出了本申请实施例四中电子设备的结构示意图;FIG. 3 shows a schematic structural diagram of an electronic device in
图4示出了本申请实施例五中BMI预测系统的结构示意图;FIG. 4 shows a schematic structural diagram of the BMI prediction system in the fifth embodiment of the present application;
图5示出了本申请实施例六中动作传感器数据的序列示意图;FIG. 5 shows a schematic diagram of a sequence of motion sensor data in Embodiment 6 of the present application;
图6示出了本申请实施例六中动作传感器数据的波形示意图;FIG. 6 shows a schematic waveform diagram of motion sensor data in Embodiment 6 of the present application;
图7示出了本申请实施例六中滑动窗口划分的示意图;FIG. 7 shows a schematic diagram of sliding window division in Embodiment 6 of the present application;
图8示出了本申请实施例六中模型训练的过程示意图。FIG. 8 shows a schematic diagram of a model training process in Embodiment 6 of the present application.
具体实施方式Detailed ways
在实现本申请的过程中,发明人发现:In the process of realizing this application, the inventors found that:
现有技术中还包括利用脸部照片或语音来预测BMI数值的研究方案,但是,使用手机摄像头获取面部照片、或者使用手机麦克风记录语音这两种方式都存在隐私泄露的担忧。The prior art also includes research schemes that use facial photos or voices to predict BMI values. However, there are concerns about privacy leakage by using the mobile phone camera to obtain facial photos or using the mobile phone microphone to record voices.
因此,上述预测BMI的方法都有一定的隐私局限性,制约其大规模使用。Therefore, the above methods for predicting BMI have certain privacy limitations, which restrict their large-scale use.
针对上述问题,本申请实施例中提供了一种BMI预测方法、装置、系统及计算机存储介质、电子设备,可以在用户动作状态未知的情况下使用,更符合日常生活的设定,且将用户的身高体重比值直接作为预测目标,比现有的单独预测身高和体重后再换算BMI的方式预测结果更精准,验证了BMI作为一个独立的健康指标对步态的影响超出了单独的身高或体重指标;此外,使用基于深度学习的预测模型较传统模型在性能上有明显提升。In view of the above problems, the embodiments of the present application provide a BMI prediction method, device, system, computer storage medium, and electronic equipment, which can be used when the user's action state is unknown, which is more in line with the settings of daily life, and the user The height-to-weight ratio is directly used as the prediction target, which is more accurate than the existing method of separately predicting height and weight and then converting BMI. It verifies that BMI, as an independent health indicator, has more influence on gait than height or weight alone. indicators; in addition, the use of deep learning-based prediction models has significantly improved performance compared to traditional models.
本申请实施例中的方案可以采用各种计算机语言实现,例如,面向对象的程序设计语言Java和直译式脚本语言JavaScript等。The solutions in the embodiments of the present application may be implemented in various computer languages, for example, the object-oriented programming language Java and the literal translation scripting language JavaScript, and the like.
为了使本申请实施例中的技术方案及优点更加清楚明白,以下结合附图对本申请的示例性实施例进行进一步详细的说明,显然,所描述的实施例仅是本申请的一部分实施例,而不是所有实施例的穷举。需要说明的是,在不冲突的情况下,本申请中的实施例及实施例中的特征可以相互组合。In order to make the technical solutions and advantages of the embodiments of the present application more clear, the exemplary embodiments of the present application will be described in further detail below with reference to the accompanying drawings. Obviously, the described embodiments are only a part of the embodiments of the present application, and Not all embodiments are exhaustive. It should be noted that the embodiments in the present application and the features of the embodiments may be combined with each other in the case of no conflict.
实施例一Example 1
图1示出了本申请实施例一中BMI预测方法实施的流程示意图。FIG. 1 shows a schematic flowchart of the implementation of the BMI prediction method in the first embodiment of the present application.
如图所示,所述BMI预测方法包括:As shown in the figure, the BMI prediction method includes:
步骤101、获取用户当前动作状态下的动作传感器数据;Step 101: Acquire motion sensor data of the user's current motion state;
步骤102、根据所述动作传感器数据以及预先建立的与所述动作状态对应的BMI识别模型,预测所述用户的BMI。Step 102: Predict the BMI of the user according to the motion sensor data and a pre-established BMI identification model corresponding to the motion state.
具体实施时,动作传感器数据可以由传感器组件记录得到,传感器组件可以包括加速度计、重力传感器、陀螺仪、姿态传感器等。所述用户可以携带具备这些传感器组件的设备进行任意活动,本申请实施例将这些传感器组件采集或记录得到的动作传感器数据获取到并进行后续模型预测。During specific implementation, the motion sensor data may be recorded by a sensor component, and the sensor component may include an accelerometer, a gravity sensor, a gyroscope, an attitude sensor, and the like. The user can carry out any activity with a device equipped with these sensor components. In this embodiment of the present application, motion sensor data collected or recorded by these sensor components is acquired and subsequent model prediction is performed.
所述预先建立的BMI识别模型为以若干携带具有动作传感器的设备的用户执行某一指定动作时采集的动作传感器数据作为样本进行深度学习训练得到,所述BMI识别模型的训练样本携带有动作标签以及该用户的BMI值两个标签。The pre-established BMI recognition model is obtained by performing deep learning training with motion sensor data collected when several users carrying devices with motion sensors perform a certain specified action as samples, and the training samples of the BMI recognition model carry action labels. And two labels of the user's BMI value.
采用本申请实施例中提供的BMI预测方法,可以在用户动作状态未知的情况下使用,更符合日常生活的设定;而且,本申请实施例将用户的身高体重比值(BMI)直接作为预测目标,将BMI作为一个独立的健康指标,相比现有技术中单独预测身高和体重后再换算成BMI对的准确度更高、更精准。The BMI prediction method provided in the embodiment of the present application can be used when the user's action state is unknown, which is more in line with the setting of daily life; moreover, the user's height-to-weight ratio (BMI) is directly used as the prediction target in the embodiment of the present application , using BMI as an independent health indicator is more accurate and more accurate than the prior art to predict height and weight separately and then convert it into a BMI pair.
在具体实施时,可能并不知晓用户当前具体处于何种运动状态,因此,本申请实施例还可以采用如下方式实施。During specific implementation, it may not be known what kind of motion state the user is currently in. Therefore, the embodiments of the present application may also be implemented in the following manner.
在一种实施方式中,所述获取用户当前运动状态下的动作传感器数据,包括:In one embodiment, the acquiring motion sensor data of the user's current motion state includes:
获取用户当前的动作传感器数据;Get the user's current motion sensor data;
根据所述动作传感器数据以及预先建立的动作识别模型,确定所述用户当前的动作状态。The current motion state of the user is determined according to the motion sensor data and a pre-established motion recognition model.
所述预先建立的动作识别模型为以若干携带具有动作传感器的设备的用户分别执行不同的动作时采集的动作传感器数据作为样本进行深度学习训练得到,所述动作识别模型的训练样本携带有动作标签;The pre-established motion recognition model is obtained by performing deep learning training on motion sensor data collected when several users carrying devices with motion sensors perform different actions respectively as samples, and the training samples of the motion recognition model carry motion labels. ;
采用本申请实施例中提供的BMI预测方法,可以在用户动作状态未知的情况下使用,更符合日常生活的设定。The BMI prediction method provided in the embodiment of the present application can be used when the user's action state is unknown, which is more in line with the setting of daily life.
在一种实施方式中,在所述获取用户的动作传感器数据之后、根据所述动作传感器数据以及预先建立的动作识别模型确定所述用户的动作状态之前,进一步包括:In an embodiment, after the acquiring the motion sensor data of the user and before determining the motion state of the user according to the motion sensor data and a pre-established motion recognition model, the method further includes:
根据预先设定的采样率φ对所述动作传感器数据进行重采样,得到与所述预先设定的采样率φ相同的动作传感器数据;Resampling the motion sensor data according to a preset sampling rate φ, to obtain motion sensor data that is the same as the preset sampling rate φ;
对所述与所述预先设定的采样率相同的动作传感器数据按照预先设定的时间窗口w和交叠θ进行滑动窗口划分;Divide the motion sensor data with the same sampling rate as the preset sampling rate into a sliding window according to the preset time window w and overlap θ;
在滑动窗口划分后对所述动作传感器数据进行标准化,生成若干子序列。After the sliding window is divided, the motion sensor data is normalized to generate several subsequences.
具体实施时,不同的终端中动作传感器的采样率可能是不同的,例如:在某些型号的手机中加速度计的采样率为88Hz,陀螺仪的采样率则为122Hz等,本申请实施例为了确保后续不同传感器(例如:加速度计和陀螺仪、或者不同手机中的加速度计、不同手机中的陀螺仪等)的数据能够同时处理,通过上采样、下采样和内插等方式来对动作传感器数据进行重采样,使得它们的采样率一致。During specific implementation, the sampling rate of motion sensors in different terminals may be different. For example, in some models of mobile phones, the sampling rate of the accelerometer is 88 Hz, and the sampling rate of the gyroscope is 122 Hz. Ensure that the data of subsequent different sensors (for example: accelerometers and gyroscopes, or accelerometers in different mobile phones, gyroscopes in different mobile phones, etc.) can be processed at the same time, and the motion sensors are processed by upsampling, downsampling, and interpolation. The data are resampled so that their sampling rate is the same.
此外,由于采集到的动作传感器数据在时间上是连续的,本申请实施例根据给定的时间窗口大小将基于时间序列的动作传感器数据拆分为若干小块,使用固定大小的滑动窗口快速分割数据。In addition, since the collected motion sensor data is continuous in time, the embodiment of the present application divides the time series-based motion sensor data into several small pieces according to a given time window size, and uses a fixed-size sliding window to quickly divide data.
本领域技术人员应当知晓,还可以存在其他类型的分割方法,本申请实施例只是以上述分割方式为例进行说明,并不能限制本申请的保护范围。Those skilled in the art should know that other types of segmentation methods may also exist, and the embodiments of the present application only take the foregoing segmentation methods as an example for description, and do not limit the protection scope of the present application.
最后,在数据分割后,本申请实施例可以将滑动窗口中的数据归一化为0~1的范围,通过规范化可以在不改变数据分布的情况下对不同数据进行标准化,生成若干子序列。具体的,子序列的结构可以采用多维数组结构。Finally, after the data is divided, the embodiment of the present application can normalize the data in the sliding window to a range of 0-1, and through normalization, different data can be normalized without changing the data distribution, and several subsequences can be generated. Specifically, the structure of the subsequence may adopt a multi-dimensional array structure.
现有技术认为所有的动作传感器数据都能用于训练模型,这样导致很多不具备鲜明运动特征的数据影响了模型的识别效果,本申请实施例为了解决这一问题,还可以采用如下方式实施。It is considered in the prior art that all motion sensor data can be used to train a model, which results in a lot of data without distinct motion characteristics affecting the recognition effect of the model. In order to solve this problem, the embodiments of the present application may also be implemented in the following manner.
在一种实施方式中,在所述根据动作传感器数据以及预先建立的动作识别模型确定所述用户的动作状态之后、根据所述动作传感器数据以及预先建立的与所述动作状态对应的BMI识别模型,预测所述用户的BMI之前,进一步包括:In an implementation manner, after the motion state of the user is determined according to the motion sensor data and the pre-established motion recognition model, the motion sensor data and the pre-established BMI recognition model corresponding to the motion state are performed. , before predicting the user's BMI, further comprising:
计算所述动作传感器数据的运动信息熵;calculating the motion information entropy of the motion sensor data;
将所述动作传感器数据中低于与所述动作状态对应的预设运动信息熵阈值的数据删除。Data in the motion sensor data that is lower than a preset motion information entropy threshold corresponding to the motion state is deleted.
具体实施时,每个动作状态可以预先设置有与该动作状态对应的运动信息熵(MotionEn)阈值,该阈值的具体数值可以根据实际需要设置,本申请对此不作限制。During specific implementation, each motion state may be preset with a motion information entropy (MotionEn) threshold corresponding to the motion state, and the specific value of the threshold may be set according to actual needs, which is not limited in this application.
具体的,信息熵的计算可以采用现有技术实现,本申请对现有的信息熵计算方式在此不做赘述。Specifically, the calculation of the information entropy can be implemented by using the prior art, and the present application does not describe the existing information entropy calculation method here.
本申请实施例通过基于信息熵的动作传感器数据过滤机制,可以过滤掉那些无法或不能明显确定用户特征的动作传感器数据,从而极大缩减了预测数据所需的窗口大小,相比现有技术中基于所有数据预测用户特征的方式,减少了后续计算量、提高了预测准确度。Through the motion sensor data filtering mechanism based on information entropy, the embodiment of the present application can filter out motion sensor data that cannot or cannot clearly determine user characteristics, thereby greatly reducing the window size required for predicting data. Compared with the prior art The method of predicting user characteristics based on all data reduces the subsequent calculation amount and improves the prediction accuracy.
在一种实施方式中,所述计算所述动作传感器数据的运动信息熵,具体利用下式计算:In one embodiment, the calculation of the motion information entropy of the motion sensor data is specifically calculated by the following formula:
其中,racc,rgyro分别为预设的加速度传感器各分量、角速度传感器各分量的向量模相似容限;Bm(racc,rgyro)为序列Xm(i)和序列Xm(j)在相似容限racc,rgyro下匹配m个点的概率,Am(racc,rgyro)为序列Xm+1(i)和序列Xm+1(j)在相似容限racc,rgyro下匹配m+1个点的概率;Among them, racc , rgyro are the preset vector modulus similarity tolerances of each component of the acceleration sensor and each component of the angular velocity sensor, respectively; Bm (racc , rgyro ) is the sequence Xm (i) and the sequence Xm (j ) the probability of matchingm points under the similarity tolerance racc ,rgyro , Am (racc ,rgyro ) is the sequence Xm+1 (i) and the sequence Xm+1 (j) under the similarity tolerance racc , the probability of matching m+1 points under rgyro ;
Bi为与序列Xm(i)的各传感器向量模分量间距离小于等于racc,rgyro的Xm(j)的数量;Bi is the number of Xm (j) whose distance from each sensor vector modulo component of the sequence Xm (i) is less than or equal to racc , rgyro ;
Ai为与序列Xm+1(i)的各传感器向量模分量间距离小于等于racc,rgyro的Xm+1(j)的数量;w为设定的时间窗口大小;w>m+1; Ai is the number of X m+1 (j) whose distance from each sensor vector modulo component of the sequence Xm+1 (i) is less than or equal to racc , rgyro ; w is the set time window size; w>m +1;
Xm(i)为所述动作传感器向量模数据组成的序列{x(n)}中从第i点开始的m个连续值的子序列;Xm(j)为所述动作传感器向量模数据组成的序列{x(n)}中从第j点开始的m个连续值的子序列;Xm+1(i)为所述动作传感器向量模数据组成的序列{x(n)}中从第i点开始的m+1个连续值的子序列;Xm+1(j)为所述动作传感器向量模数据组成的序列{x(n)}中从第j点开始的m+1个连续值的子序列。Xm (i) is the subsequence of m consecutive values from the ith point in the sequence {x(n)} composed of the motion sensor vector modulo data; Xm (j) is the motion sensor vector modulo data The subsequence of m consecutive values from the jth point in the sequence {x(n)}; Xm+1 (i) is the sequence {x(n)} composed of the motion sensor vector modulo data from A subsequence of m+1 consecutive values starting from the ith point; Xm+1 (j) is the m+1 number starting from the jth point in the sequence {x(n)} composed of the motion sensor vector modulo data A subsequence of consecutive values.
在一种实施方式中,所述序列Xm(i)与序列Xm(j)的距离:In one embodiment, the distance between the sequence Xm (i) and the sequence Xm (j):
所述序列Xm+1(i)与序列Xm+1(j)的距离:The distance between the sequence Xm+1 (i) and the sequence Xm+1 (j):
其中,k为大于等于0的增量。Among them, k is an increment greater than or equal to 0.
在一种实施方式中,动作传感器向量模数据组成的序列{x(n)}为:In one embodiment, the sequence {x(n)} composed of motion sensor vector modulo data is:
其中,ax,t、ay,t和az,t分别表示t时刻x、y和z三个方向上的加速度大小,ωx,t、ωy,t和ωz,t分别表示t时刻x、y和z三个方向上的角速度大小,t时刻w个采样点的动作传感器数据组成的序列ST为:in, ax,t , ay,t and az,t represent the accelerations in the three directions of x, y and z at time t, respectively, and ωx,t , ωy,t and ωz,t respectively represent x at time t The magnitude of the angular velocity in the three directions of , y and z, and the sequence ST composed of the motion sensor data of w sampling points at time t is:
本申请的发明人在发明过程中发现:并不是所有时刻的动作传感器数据都能用于识别所述用户的BMI,因此,本申请实施例通过运动信息熵(MotionEn)定义筛选满足运动信息熵预设阈值的部分传感器数据做为训练数据,得到了准确度更高的BMI识别模型。During the invention process, the inventor of the present application found that not all motion sensor data at all times can be used to identify the BMI of the user. Therefore, in the embodiment of the present application, the motion information entropy (MotionEn) definition is used to screen and satisfy the motion information entropy prediction. Part of the sensor data with a threshold is used as training data, and a BMI recognition model with higher accuracy is obtained.
在一种实施方式中,所述动作识别模型的建立过程,包括:In one embodiment, the establishment process of the action recognition model includes:
采集若干分别在不同预设动作状态下预设时长的动作传感器数据,得到若干组数据序列;所述数据序列带有对应的动作状态标签;Collecting a plurality of motion sensor data with preset durations in different preset action states, to obtain several groups of data sequences; the data sequences have corresponding action state labels;
将所述数据序列重采样为同一采样率后按照预设的滑动窗口生成动作传感器数据的多维数组;After resampling the data sequence to the same sampling rate, a multi-dimensional array of motion sensor data is generated according to a preset sliding window;
将所述动作传感器数据的多维数组分别作为输入向量输入至初始深度卷积神经网络,经多次迭代训练得到动作识别模型。The multi-dimensional arrays of the motion sensor data are respectively input to the initial deep convolutional neural network as input vectors, and an action recognition model is obtained after multiple iterations of training.
具体实施时,假设预设动作状态包括跑步、慢走、骑行、静止等,本申请实施例可以预先设定各种动作状态的具体属性,例如在速度多少的情况下视为跑步、在速度多少的情况下视为慢走等,具体属性值可以根据实际需要设置,本申请实施例只需要将不同的动作状态进行区分即可。In specific implementation, it is assumed that the preset action states include running, slow walking, cycling, stationary, etc., the embodiments of the present application can preset specific attributes of various action states, In some cases, it is regarded as walking slowly, etc. The specific attribute value can be set according to actual needs, and in this embodiment of the present application, it is only necessary to distinguish different action states.
采集数据时不同动作状态下的时长可以不同,例如:跑步状态下采集2分钟的动作传感器数据,慢走状态下采集2分钟或4分钟的动作传感器数据等。When collecting data, the duration of different motion states can be different. For example, motion sensor data is collected for 2 minutes in the running state, and motion sensor data is collected for 2 minutes or 4 minutes in the slow walking state.
对于不同的用户(或者称为动作传感器的携带者)可以采集到若干上述数据,具体动作传感器数据可以如下表所示:For different users (or carriers of motion sensors), several of the above data can be collected, and the specific motion sensor data can be shown in the following table:
可以看出,每个用户每个动作状态下的动作传感器数据为6组时间序列值,每组时间序列值包括若干按照时间先后排列的数值。It can be seen that the motion sensor data in each action state of each user are 6 groups of time series values, and each group of time series values includes several values arranged in chronological order.
将这些动作传感器数据进行预处理后输入到深度卷积神经网络进行迭代训练,最终得到动作识别模型。These action sensor data are preprocessed and then input to the deep convolutional neural network for iterative training, and finally the action recognition model is obtained.
在一种实施方式中,所述BMI识别模型的建立过程,包括:In one embodiment, the process of establishing the BMI identification model includes:
采集若干在预设动作状态下预设时长的动作传感器数据,得到若干组数据序列;所述数据序列带有对应的动作状态标签和BMI标签;Collect a number of motion sensor data with a preset duration in a preset motion state, and obtain several groups of data sequences; the data sequences have corresponding motion state labels and BMI labels;
将所述数据序列重采样为同一采样率后按照预设的滑动窗口生成动作传感器数据的多维数组;After resampling the data sequence to the same sampling rate, a multi-dimensional array of motion sensor data is generated according to a preset sliding window;
将所述动作传感器数据的多维数组分别作为输入向量输入至初始深度残差神经网络,经多次迭代训练得到BMI识别模型。The multi-dimensional arrays of the motion sensor data are respectively input to the initial deep residual neural network as input vectors, and the BMI recognition model is obtained after multiple iterations of training.
本申请实施例中将动作传感器数据视为多个“图片”,从多维时间序列中生成多个通道,每个通道中分别执行卷积和子采样等操作,最后的特征标识通过组合来自各个通道的信息获取得到。In the embodiment of the present application, the motion sensor data is regarded as multiple "pictures", and multiple channels are generated from a multi-dimensional time series, and operations such as convolution and sub-sampling are performed in each channel, and the final feature identification is obtained by combining the Information is obtained.
以用户a跑步时的数据为例,具体动作传感器数据可以如下表所示:Taking the data of user a running as an example, the specific motion sensor data can be shown in the following table:
具体实施时,在模型初始化时可以预先设置模型各个参数的值,通过后续不断的迭代、优化,调整各个参数的值,最终得到训练后的模型。During specific implementation, the value of each parameter of the model can be preset when the model is initialized, and the trained model is finally obtained by adjusting the value of each parameter through subsequent continuous iteration and optimization.
具体的,模型的参数可以包括学习速率、周期数、丢失率、批量大小等,具体参数优化过程以及参数的具体数值可以参考现有技术,本申请在此不做赘述。Specifically, the parameters of the model may include the learning rate, the number of cycles, the loss rate, the batch size, etc. The specific parameter optimization process and the specific values of the parameters can refer to the prior art, which will not be repeated in this application.
在一种实施方式中,迭代训练过程,包括:In one embodiment, the iterative training process includes:
利用下式进行卷积层的计算:The calculation of the convolutional layer is performed using the following formula:
其中,为第l卷积层带有第i个特征映射的输出,n为实例索引,为激活函数,m为内核或过滤器的大小,为带有第i个特征图和第m个过滤器索引的权重向量,sm+n-1为运动传感器数据,bi为第i个特征映射的偏差项;in, is the output of the lth convolutional layer with the ith feature map, n is the instance index, is the activation function, m is the size of the kernel or filter, is the weight vector with the ith feature map and the mth filter index, sm+n-1 is the motion sensor data, and bi is the bias term of the ith feature map;
将卷积区域划分为若干子区域,通过子采样确定滑动窗口邻域内的最大输出,利用下式进行池化层的计算:Divide the convolution area into several sub-areas, determine the maximum output in the sliding window neighborhood by sub-sampling, and use the following formula to calculate the pooling layer:
其中,γ为池的步长;where γ is the step size of the pool;
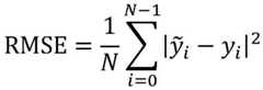
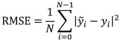
将池化层的输出输入到全连接层,利用下述损失函数编译网络:The output of the pooling layer is fed into the fully connected layer, and the network is compiled with the following loss function:
其中,RMSE为样本标准差,为预测值,yi为实际数据值。where RMSE is the sample standard deviation, is the predicted value, and yi is the actual data value.
具体实施时,本申请实施例在模型训练时的输入为一系列滑动窗口大小的6维数据(三轴加速度和三轴角速度的数值),经过多个卷积层、池化层的特征学习得到特征图,输入至全连接层进行回归,输出模型的最终预测结果。In the specific implementation, the input of the model training in the embodiment of the present application is a series of 6-dimensional data with a sliding window size (values of three-axis acceleration and three-axis angular velocity), which are obtained through feature learning of multiple convolutional layers and pooling layers. The feature map is input to the fully connected layer for regression, and the final prediction result of the model is output.
在一种实施方式中,所述获取用户的动作传感器数据包括获取预设时长的三轴加速度传感器数据和三轴角速度传感器数据,所述动作传感器数据为若干组6维数据序列;所述动作状态为慢跑、步行、骑行、上楼、下楼、站立、或坐姿。In one embodiment, the acquiring the user's motion sensor data includes acquiring tri-axial acceleration sensor data and tri-axial angular velocity sensor data for a preset duration, the motion sensor data being several groups of 6-dimensional data sequences; the motion state For jogging, walking, cycling, going upstairs, going downstairs, standing, or sitting.
在具体实施时,本申请的发明人考虑到在某些特定场景下可以大概率的确定用户当前具体处于何种动作状态,因此,本申请实施例还可以采用如下方式实施。During specific implementation, the inventor of the present application considers that in some specific scenarios, it is possible to determine, with a high probability, which action state the user is currently in. Therefore, the embodiments of the present application may also be implemented in the following manner.
在一种实施方式中,所述获取用户当前动作状态下的动作传感器数据,包括:In one embodiment, the acquiring motion sensor data of the user's current motion state includes:
监控到用户终端上的应用程序的运行情况;Monitor the operation of the application on the user terminal;
根据应用程序的运行情况以及所述应用程序的类别确定触发获取用户当前动作状态下的动作传感器数据。According to the running situation of the application and the category of the application, it is determined to trigger the acquisition of the motion sensor data in the current motion state of the user.
具体实施时,本申请实施例可以监控用户终端上的应用程序的运行情况,根据应用程序的运行情况以及应用程序的类别确定用户当前可能大概率的在执行什么动作,此时,触发获取用户的动作传感器数据,仍然可以确保动作传感器与动作状态之间的关系是比较准确的,进而确保后续BMI预测是准确的。During specific implementation, this embodiment of the present application can monitor the running status of the application program on the user terminal, and determine what action the user is currently performing with a high probability according to the running status of the application program and the category of the application program. The motion sensor data can still ensure that the relationship between the motion sensor and the motion state is relatively accurate, thereby ensuring that the subsequent BMI prediction is accurate.
在一种实施方式中,所述根据应用程序的运行情况以及所述应用程序的类别确定触发获取用户当前运动状态下的动作传感器数据,包括在监测到以下任意一种场景时确定触发获取用户预设时间段内的动作传感器数据:In an implementation manner, the determining and triggering acquisition of motion sensor data in the current motion state of the user according to the running status of the application and the category of the application includes determining to trigger acquisition of the user's pre-defined motion when any one of the following scenarios is monitored. Set the motion sensor data in the time period:
共享交通工具类应用程序开始计时;Start timing for shared transportation applications;
共享交通工具类应用程序计时结束;Time-out for shared transportation applications;
共享交通工具类应用程序调用支付应用程序完成支付操作;The shared vehicle application calls the payment application to complete the payment operation;
餐饮类应用程序完成支付操作;The catering application completes the payment operation;
支付类应用程序完成向餐饮类商家支付操作。The payment application completes the payment operation to the catering merchant.
具体实施时,本申请实施例为了更准确的获取运动传感器数据,可以结合某些特定场景下使用特定类型APP的情况来触发获取未来一段时间内的动作传感器数据。例如:在监测到用户使用共享交通工具APP开始骑行和结束骑行的一段时间内,可以采集较为准确的骑行数据和步行数据;或者,在使用线下支付软件完成线下支付操作后一段时间,可以采集较为准确的步行数据;或者,用户使用餐饮类应用程序进行支付操作后可以确定用户接下来的动作可能为步行;或者,用户使用支付类应用程序完成向餐饮类商家支付操作后,可以基本确定用户接下来的动作可能为步行等。During specific implementation, in order to acquire motion sensor data more accurately, the embodiments of the present application may trigger acquisition of motion sensor data in a future period of time in combination with the use of a specific type of APP in some specific scenarios. For example: within a period of time when the user starts and ends the ride using the shared transportation APP, more accurate cycling data and walking data can be collected; or, a period after the offline payment operation is completed using the offline payment software time, more accurate walking data can be collected; or, after the user uses the catering application to make a payment operation, it can be determined that the user's next action may be walking; or, after the user uses the payment application to complete the payment operation to the catering merchant, It can be basically determined that the user's next action may be walking or the like.
实施例二
基于同一发明构思,本申请实施例提供了一种BMI预测装置,该装置解决技术问题的原理与一种BMI预测方法相似,重复之处不再赘述。Based on the same inventive concept, an embodiment of the present application provides a BMI prediction device, and the principle of the device for solving technical problems is similar to a BMI prediction method, and repeated details will not be repeated.
图2示出了本申请实施例二中BMI预测装置的结构示意图。FIG. 2 shows a schematic structural diagram of a BMI prediction apparatus in
如图所示,所述BMI预测装置包括:As shown in the figure, the BMI prediction device includes:
数据获取模块201,用于获取用户当前运动状态下的动作传感器数据;The
BMI预测模块202,用于根据所述动作传感器数据以及预先建立的与所述动作状态对应的BMI识别模型,预测所述用户的BMI。The BMI prediction module 202 is configured to predict the BMI of the user according to the motion sensor data and a pre-established BMI identification model corresponding to the motion state.
采用本申请实施例中提供的BMI预测装置,本申请实施例将用户的身高体重比值(BMI)直接作为预测目标,将BMI作为一个独立的健康指标,相比现有技术中单独预测身高和体重后再换算成BMI对的准确度更高、更精准。Using the BMI prediction device provided in the embodiment of the present application, the embodiment of the present application takes the user's height-to-weight ratio (BMI) directly as the prediction target, and uses the BMI as an independent health indicator, compared with the separate prediction of height and weight in the prior art Then, it is more accurate and accurate to convert into BMI pairs.
在一种实施方式中,所述数据获取模块,包括:In one embodiment, the data acquisition module includes:
获取单元,用于获取用户当前的动作传感器数据;an acquisition unit, used to acquire the current motion sensor data of the user;
动作状态确定单元,用于根据所述动作传感器数据以及预先建立的动作识别模型,确定所述用户当前的动作状态。An action state determination unit, configured to determine the current action state of the user according to the motion sensor data and a pre-established action recognition model.
采用本申请实施例中提供的BMI预测装置,可以在用户动作状态未知的情况下使用,更符合日常生活的设定。The BMI prediction device provided in the embodiment of the present application can be used when the user's action state is unknown, which is more in line with the setting of daily life.
在一种实施方式中,所述数据获取模块,进一步包括:In one embodiment, the data acquisition module further includes:
重采样单元,用于在所述获取用户的动作传感器数据之后、根据所述动作传感器数据以及预先建立的动作识别模型确定所述用户的动作状态之前,根据预先设定的采样率φ对所述动作传感器数据进行重采样,得到与所述预先设定的采样率φ相同的动作传感器数据;The resampling unit is configured to, after acquiring the motion sensor data of the user and before determining the motion state of the user according to the motion sensor data and the pre-established motion recognition model, perform a sampling rate φ for the user Resampling the motion sensor data to obtain motion sensor data that is the same as the preset sampling rate φ;
窗口划分单元,用于对所述与所述预先设定的采样率相同的动作传感器数据按照预先设定的时间窗口w和交叠θ进行滑动窗口划分;a window dividing unit, configured to perform sliding window division on the motion sensor data with the same sampling rate as the preset sampling rate according to the preset time window w and overlap θ;
标准化单元,用于在滑动窗口划分后对所述动作传感器数据进行标准化,生成若干子序列。The normalization unit is used for normalizing the motion sensor data after the sliding window is divided to generate several subsequences.
在一种实施方式中,所述数据获取模块,进一步包括:In one embodiment, the data acquisition module further includes:
数据过滤单元,用于在所述根据动作传感器数据以及预先建立的动作识别模型确定所述用户的动作状态之后、根据所述动作传感器数据以及预先建立的与所述动作状态对应的BMI识别模型,预测所述用户的BMI之前,计算所述动作传感器数据的运动信息熵(MotionEn),将所述动作传感器数据中低于与所述动作状态对应的预设运动信息熵(MotionEn)阈值的数据删除。a data filtering unit, configured to determine the user's motion state according to the motion sensor data and the pre-established motion recognition model, and based on the motion sensor data and the pre-established BMI recognition model corresponding to the motion state, Before predicting the BMI of the user, calculate the motion information entropy (MotionEn) of the motion sensor data, and delete data in the motion sensor data that is lower than a preset motion information entropy (MotionEn) threshold corresponding to the motion state .
在一种实施方式中,所述数据过滤单元具体利用下式计算所述子序列的运动信息熵(MotionEn),具体利用下式计算:In one embodiment, the data filtering unit specifically uses the following formula to calculate the motion information entropy (MotionEn) of the subsequence, and specifically uses the following formula to calculate:
以三轴加速度传感器和三轴角速度传感器构成的动作传感器数据为例,其子序列ST可以表示为:Taking the motion sensor data composed of a three-axis acceleration sensor and a three-axis angular velocity sensor as an example, its subsequence ST can be expressed as:
其中:子序列ST起始时刻为t,一共w个采样点;Among them: the starting time of the subsequence ST is t, and there are a total of w sampling points;
分别对所述子序列各种动作传感器采集的数据分别求向量模;respectively calculating the vector modulo of the data collected by various motion sensors of the subsequence;
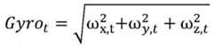
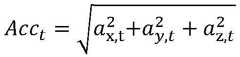
其中:ax,t、ay,t和az,t分别表示t时刻x、y和z三个方向上的加速度大小,而Acct表示t时刻加速度各种分量的向量模;Among them: ax,t , ay,t and az,t represent the acceleration in the three directions of x, y and z at time t, respectively, and Acct represents the vector modulus of various components of acceleration at time t;
其中:ωx,t、ωy,t和ωz,t分别表示t时刻x、y和z三个方向上的角速度大小,而Gyrot表示t时刻角速度各种分量的向量模;Among them: ωx,t , ωy,t and ωz,t represent the angular velocity in the three directions of x, y and z at time t, respectively, and Gyrot represents the vector modulus of various components of the angular velocity at time t;
子序列ST转换为向量模序列XT=[x(n)],可以表示为:The subsequence ST is converted into a vector modulo sequence XT =[x(n)], which can be expressed as:
所述运动信息熵(MotionEn)的公式可以表示为:The formula of the motion information entropy (MotionEn) can be expressed as:
其中,racc,rgyro分别是Acct(n)和Gyrot(n)对应的相似容限;Among them, racc , rgyro are the similar tolerances corresponding to Acct (n) and Gyrot (n), respectively;
Bm(racc,rgyro)为子序列Xm(i)和子序列Xm(j)在相似容限racc,rgyro下匹配m个点的概率,Am(racc,rgyro)为子序列Xm+1(i)和子序列Xm+1(j)在相似容限racc,rgyro下匹配m+1个点的概率;Bm (racc ,rgyro ) is the probability that the subsequence Xm (i) and the subsequence Xm (j) match m points under the similarity tolerance racc ,rgyro , Am (racc ,rgyro ) is the probability of matching m+1 points for the subsequence Xm+1 (i) and the subsequence Xm+1 (j) under the similarity tolerance racc ,rgyro ;
所述,Xm(i)为所述动作传感器向量模数据组成的序列x(n)中的子序列,表示从第i点开始的m个连续值;Xm(j)为所述动作传感器向量模数据组成的序列x(n)中的子序列,表示从第j点开始的m个连续值;Xm+1(i)为所述动作传感器数据向量模数据组成的序列x(n)中的子序列,表示从第i点开始的m+1个连续值;Xm+1(j)为所述动作传感器数据组成的序列x(n)中的子序列,表示从第j点开始的m+1个连续值;Said, Xm (i) is a subsequence in the sequence x (n) composed of the motion sensor vector modulo data, representing m continuous values starting from the i-th point; Xm (j) is the motion sensor A subsequence in the sequence x(n) composed of vector modulo data, representing m consecutive values starting from the jth point; Xm+1 (i) is the sequence x(n) composed of the motion sensor data vector modulo data The subsequence in , represents m+1 consecutive values starting from the ith point; Xm+1 (j) is the subsequence in the sequence x(n) composed of the motion sensor data, representing starting from the jth point m+1 consecutive values of ;
Bi为与子序列Xm(i)的的各传感器向量模分量间距离小于等于racc,rgyro的Xm(j)的数量,满足w>m+1; Bi is the number of Xm (j) whose distance from each sensor vector modulo component of the subsequence Xm (i) is less than or equal to racc , rgyro , satisfying w>m+1;
Ai为与子序列Xm+1(i)的各传感器向量模分量间距离小于等于racc,rgyro的Xm+1(j)的数量,满足w>m+1; Ai is the number of X m+1 (j) whose distance from each sensor vector modulo component of the subsequence Xm+1 (i) is less than or equal to racc , rgyro , satisfying w>m+1;
具体实施时,w为设定的时间窗口大小;w为有限值。During specific implementation, w is the set time window size; w is a finite value.
在一种实施方式中,所述序列Xm(i)与序列Xm(j)的距离:In one embodiment, the distance between the sequence Xm (i) and the sequence Xm (j):
所述序列Xm+1(i)与序列Xm+1(j)的距离:The distance between the sequence Xm+1 (i) and the sequence Xm+1 (j):
其中,k为大于等于0的增量。Among them, k is an increment greater than or equal to 0.
在一种实施方式中,所述装置进一步包括:In one embodiment, the apparatus further comprises:
动作识别模型建立模块,用于采集若干分别在不同预设动作状态下预设时长的动作传感器数据,得到若干组数据序列;所述数据序列带有对应的动作状态标签;将所述数据序列重采样为同一采样率后按照预设的滑动窗口生成动作传感器数据的多维数组;将所述动作传感器数据的多维数组分别作为输入向量输入至初始深度卷积神经网络,经多次迭代训练得到动作识别模型。The action recognition model building module is used to collect a number of motion sensor data with preset durations in different preset action states, and obtain several groups of data sequences; the data sequences have corresponding action state labels; the data sequences are repeated After sampling at the same sampling rate, a multi-dimensional array of motion sensor data is generated according to a preset sliding window; the multi-dimensional array of the motion sensor data is input to the initial deep convolutional neural network as input vectors, and motion recognition is obtained after multiple iterations of training. Model.
在一种实施方式中,所述装置进一步包括:In one embodiment, the apparatus further comprises:
BMI识别模型建立模块,用于采集若干在预设动作状态下预设时长的动作传感器数据,得到若干组数据序列;所述数据序列带有对应的动作状态标签和BMI标签;将所述数据序列重采样为同一采样率后按照预设的滑动窗口生成动作传感器数据的多维数组;将所述动作传感器数据的多维数组分别作为输入向量输入至初始深度残差神经网络,经多次迭代训练得到BMI识别模型。The BMI recognition model building module is used to collect a number of motion sensor data with a preset duration in a preset action state to obtain several groups of data sequences; the data sequences have corresponding action state labels and BMI labels; After resampling to the same sampling rate, a multi-dimensional array of motion sensor data is generated according to a preset sliding window; the multi-dimensional array of the motion sensor data is input to the initial deep residual neural network as input vectors, and the BMI is obtained after multiple iterations of training. Identify the model.
在一种实施方式中,迭代训练过程,包括:In one embodiment, the iterative training process includes:
利用下式进行卷积层的计算:The calculation of the convolutional layer is performed using the following formula:
其中,为第l卷积层带有第i个特征映射的输出,n为实例索引,为激活函数,m为内核或过滤器的大小,为带有第i个特征图和第m个过滤器索引的权重向量,sm+n-1为运动传感器数据,bi为第i个特征映射的偏差项;in, is the output of the lth convolutional layer with the ith feature map, n is the instance index, is the activation function, m is the size of the kernel or filter, is the weight vector with the ith feature map and the mth filter index, sm+n-1 is the motion sensor data, and bi is the bias term of the ith feature map;
将卷积区域划分为若干子区域,通过子采样确定滑动窗口邻域内的最大输出,利用下式进行池化层的计算:Divide the convolution area into several sub-areas, determine the maximum output in the sliding window neighborhood by sub-sampling, and use the following formula to calculate the pooling layer:
其中,γ为池的步长;where γ is the step size of the pool;
将池化层的输出输入到全连接层,利用下述损失函数编译网络:The output of the pooling layer is fed into the fully connected layer, and the network is compiled with the following loss function:
其中,RMSE为样本标准差,为预测值,yi为实际数据值。where RMSE is the sample standard deviation, is the predicted value, and yi is the actual data value.
在一种实施方式中,所述数据获取模块用于获取用户的三轴加速度传感器数据和三轴角速度传感器数据,所述三轴加速度传感器数据和三轴角速度传感器数据构成若干组6维数据序列;所述动作状态为慢跑、步行、骑行、上楼、下楼、站立、或坐姿。In one embodiment, the data acquisition module is configured to acquire the user's triaxial acceleration sensor data and triaxial angular velocity sensor data, and the triaxial acceleration sensor data and triaxial angular velocity sensor data constitute several groups of 6-dimensional data sequences; The action state is jogging, walking, cycling, going upstairs, going downstairs, standing, or sitting.
在一种实施方式中,所述数据获取模块,进一步包括:In one embodiment, the data acquisition module further includes:
监控单元,用于监控到用户终端上的应用程序的运行情况;a monitoring unit, used to monitor the running status of the application program on the user terminal;
触发单元,用于根据应用程序的运行情况以及所述应用程序的类别确定触发获取用户当前运动状态下的动作传感器数据。The triggering unit is configured to determine and trigger the acquisition of motion sensor data in the current motion state of the user according to the running condition of the application and the category of the application.
在一种实施方式中,所述触发单元用于在以下任意一种场景下触发获取用户预设时间段内的动作传感器数据:In one embodiment, the triggering unit is configured to trigger acquisition of motion sensor data within a preset time period of the user in any of the following scenarios:
共享交通工具类应用程序开始计时;Start timing for shared transportation applications;
共享交通工具类应用程序计时结束;Time-out for shared transportation applications;
共享交通工具类应用程序调用支付应用程序完成支付操作;The shared vehicle application calls the payment application to complete the payment operation;
餐饮类应用程序完成支付操作;The catering application completes the payment operation;
支付类应用程序完成向餐饮类商家支付操作。The payment application completes the payment operation to the catering merchant.
实施例三
基于同一发明构思,本申请实施例还提供一种计算机存储介质,下面进行说明。Based on the same inventive concept, an embodiment of the present application further provides a computer storage medium, which will be described below.
所述计算机存储介质,其上存储有计算机程序,所述计算机程序被处理器执行时实现如实施例一所述BMI预测方法的步骤。The computer storage medium stores a computer program thereon, and when the computer program is executed by the processor, implements the steps of the BMI prediction method according to the first embodiment.
采用本申请实施例中提供的计算机存储介质,本申请实施例将用户的身高体重比值(BMI)直接作为预测目标,将BMI作为一个独立的健康指标,相比现有技术中单独预测身高和体重后再换算成BMI对的准确度更高、更精准。Using the computer storage medium provided in the embodiment of the present application, the embodiment of the present application uses the user's height-to-weight ratio (BMI) directly as the prediction target, and uses the BMI as an independent health indicator, which is compared with the separate prediction of height and weight in the prior art. Then, it is more accurate and accurate to convert into BMI pairs.
实施例四
基于同一发明构思,本申请实施例还提供一种电子设备,下面进行说明。Based on the same inventive concept, an embodiment of the present application further provides an electronic device, which will be described below.
图3示出了本申请实施例四中电子设备的结构示意图。FIG. 3 shows a schematic structural diagram of an electronic device in
如图所示,所述电子设备包括存储器301、以及一个或多个处理器302,所述存储器用于存储一个或多个程序;所述一个或多个程序被所述一个或多个处理器执行时,实现如实施例一所述的BMI预测方法。As shown in the figure, the electronic device includes a
采用本申请实施例中提供的电子设备,本申请实施例将用户的身高体重比值(BMI)直接作为预测目标,将BMI作为一个独立的健康指标,相比现有技术中单独预测身高和体重后再换算成BMI对的准确度更高、更精准。Using the electronic device provided in the embodiment of the present application, the embodiment of the present application takes the user's height-to-weight ratio (BMI) directly as the prediction target, and uses the BMI as an independent health indicator. It is more accurate and accurate to convert into BMI pairs.
实施例五Embodiment 5
基于同一发明构思,本申请实施例还提供一种BMI预测系统,下面进行说明。Based on the same inventive concept, an embodiment of the present application further provides a BMI prediction system, which will be described below.
图4示出了本申请实施例五中BMI预测系统的结构示意图。FIG. 4 shows a schematic structural diagram of the BMI prediction system in the fifth embodiment of the present application.
如图所示,所述BMI预测系统,包括:移动终端401、以及包括如实施例二所述的BMI预测装置的服务器402;所述移动终端,包括:As shown in the figure, the BMI prediction system includes: a mobile terminal 401, and a server 402 including the BMI prediction device according to the second embodiment; the mobile terminal includes:
动作传感器,用于采集用户动作时的动作传感器数据;The motion sensor is used to collect the motion sensor data when the user moves;
数据通信模块,用于将所述动作传感器数据发送至所述服务器,并接收所述服务器反馈的BMI。A data communication module, configured to send the motion sensor data to the server, and receive the BMI fed back by the server.
采用本申请实施例中提供的BMI预测系统,本申请实施例将用户的身高体重比值(BMI)直接作为预测目标,将BMI作为一个独立的健康指标,相比现有技术中单独预测身高和体重后再换算成BMI对的准确度更高、更精准。Using the BMI prediction system provided in the embodiment of the present application, the embodiment of the present application uses the user's height-to-weight ratio (BMI) directly as the prediction target, and uses the BMI as an independent health indicator, compared with the separate prediction of height and weight in the prior art Then, it is more accurate and accurate to convert into BMI pairs.
在一种实施方式中,所述动作传感器包括加速度传感器、以及角速度传感器等。In one embodiment, the motion sensor includes an acceleration sensor, an angular velocity sensor, and the like.
在一种实施方式中,所述移动终端为手持式通信设备(例如:智能手机等)或者可穿戴设备。In an implementation manner, the mobile terminal is a handheld communication device (eg, a smart phone, etc.) or a wearable device.
具体实施时,移动终端可以采集人体的动作传感器数据,并进行预处理,将预处理后的动作传感器数据发送给服务器,服务器对移动终端发送来的数据依次进行动作识别、显著性筛选和BMI识别,并将结果反馈,移动终端向携带者反馈服务器回传的BMI。In specific implementation, the mobile terminal can collect the motion sensor data of the human body, and preprocess it, and send the preprocessed motion sensor data to the server. The server performs motion recognition, salience screening and BMI recognition on the data sent by the mobile terminal in sequence , and feed back the result, and the mobile terminal feeds back the BMI returned by the server to the carrier.
实施例六Embodiment 6
为了便于本申请的实施,本申请实施例以一智能手机为具体实例进行说明。In order to facilitate the implementation of the present application, the embodiments of the present application are described by taking a smartphone as a specific example.
一、训练模型1. Training the model
本申请实施例首先进行模型训练,具体包括如下步骤:The embodiment of the present application first performs model training, which specifically includes the following steps:
1、训练数据采集1. Training data collection
(1)记录个体a的基本属性,包括身高、体重,换算成具体BMI值。(1) Record the basic attributes of individual a, including height and weight, and convert them into specific BMI values.
(2)获取个体a在执行以下动作时的动作传感器数据,包括:(2) Obtain motion sensor data when individual a performs the following actions, including:
慢跑t时长的动作传感器数据、步行t时长的动作传感器数据、上楼t时长的动作传感器数据、下楼t时长的动作传感器数据、站立t时长的动作传感器数据和自然坐姿t时长的动作传感器数据;其中,t≥1min。Motion sensor data for jogging time t, motion sensor data for walking t time, motion sensor data for going upstairs t time, motion sensor data for going downstairs t time, motion sensor data for standing t time, and motion sensor data for natural sitting time t ; Among them, t≥1min.
具体实施时,不同动作采集的时长t可以不同。During specific implementation, the duration t of different actions collection may be different.
(3)采集N个个体(N≥100)的上述步骤1和2的数据。(3) Collect the data of the
(4)以智能手机最常见的三轴加速度传感器和三轴角速度传感器为例,获取数据为若干组6维时间序列,图5仅显示了部分6维时间序列作为示例,如图5所示,1、2、3行可以为三轴加速度传感器数据值,4、5、6行可以为三轴角速度传感器数据值;为了便于观察,本申请实施例采用波形图方式展示该时间序列,如图6所示,横坐标为时间、纵坐标为数值,ACC表示三轴加速度传感器数据、GYRO表示三轴角速度传感器数据。(4) Taking the most common triaxial acceleration sensor and triaxial angular velocity sensor in smartphones as an example, the acquired data are several groups of 6-dimensional time series. Figure 5 only shows some 6-dimensional time series as an example, as shown in Figure 5.
2、动作传感器数据进行预处理2. Motion sensor data for preprocessing
(1)预先设定统一的传感器数据采样率,对那些与预设采样率不同的动作传感器数据进行重采样处理。(1) Pre-set a unified sensor data sampling rate, and perform resampling processing on those motion sensor data that are different from the preset sampling rate.
以100Hz为例,对于原始采样率高于100Hz的动作传感器进行降采样,原始采样率低于100Hz的动作传感器进行升采样,最终保证所有输入的传感器数据在相同时间周期内拥有相同数量的采样点。Taking 100Hz as an example, down-sampling for motion sensors with an original sampling rate higher than 100Hz, and up-sampling for motion sensors with an original sampling rate lower than 100Hz, ultimately ensuring that all input sensor data have the same number of sampling points in the same time period. .
具体的,假设手机A的采样率为100Hz,手机B的采样率为120Hz,手机C的采样率为80Hz,预设采样率为100Hz,那么手机A的传感器数据可以不作处理,对手机B的传感器数据进行抽值得到降采样后的数据,对手机C的传感器数据进行插值得到升采样后的数据。Specifically, assuming that the sampling rate of mobile phone A is 100 Hz, the sampling rate of mobile phone B is 120 Hz, the sampling rate of mobile phone C is 80 Hz, and the preset sampling rate is 100 Hz, then the sensor data of mobile phone A may not be processed, and the sensor data of mobile phone B may not be processed. The data is sampled to obtain the down-sampled data, and the sensor data of the mobile phone C is interpolated to obtain the up-sampled data.
具体抽值和插值技术可以采用现有技术实现,本申请对此不做赘述。The specific decimation and interpolation techniques can be implemented by using the prior art, which will not be described in detail in this application.
(2)对完成重采样处理的动作传感器数据进行滑动窗口划分(sliding windows),按照固定大小的时间窗口(w)和交叠(θ)进行划分,得到可供动作识别模型和BMI识别模型训练和验证的数据样例,如图7所示,假设时间窗口w=90s、交叠θ=50s(滑动窗口的移动是有交叠的),将数据划分为多个小矩形(即滑动窗口),那么,90*6的滑动窗口的数据样例可以依次送到模型中进行训练。(2) Divide the motion sensor data that has completed the resampling process by sliding windows, and divide it according to the time window (w) and overlap (θ) of a fixed size, so as to obtain an action recognition model and a BMI recognition model for training. and the verified data sample, as shown in Figure 7, assuming that the time window w=90s, the overlap θ=50s (the movement of the sliding window is overlapping), the data is divided into multiple small rectangles (that is, the sliding window) , then, the data samples of the 90*6 sliding window can be sent to the model for training in turn.
(3)对数据样例进行标准化(3) Standardize the data samples
3、将数据样例转换为训练模型的数据3. Convert the data samples into data for training the model
每个个体经过上述预处理所得到的全部数据样例为一组m*6的二维数组,其中,m为每个样例的采样点个数,6为每个采样点对应的三轴加速度传感器数据(ax,ay,az)和三轴角速度传感器数据(gx,gy,gz),将样例Iia(表示个体a的第i个数据样例)转换为具有动作和BMI值两个标签的二维数组。All data samples obtained by each individual through the above preprocessing are a set of m*6 two-dimensional arrays, where m is the number of sampling points for each sample, and 6 is the three-axis acceleration corresponding to each sampling point sensor data (ax, ay, az) and triaxial angular velocity sensor data (gx, gy, gz), convert sample Iia (representing the ith data sample of individual a) to have both motion and BMI values A 2D array of labels.
4、训练动作识别模型4. Train the action recognition model
(1)每次随机选取N-1个个体,将这N-1个个体所有对应的二维数组附带对应的动作标签送入一个p层的深度卷积神经网络;具体实施时,还可以采用反向传播算法和随机梯度下降法减小该二维数组与对应的人标注比较得到的分类误差以训练该深度卷积神经网络,经过多次迭代训练得到用于动作识别模型,并将模型复制保存。(1) N-1 individuals are randomly selected each time, and all the corresponding two-dimensional arrays of these N-1 individuals are sent to a p-layer deep convolutional neural network with corresponding action labels; The back-propagation algorithm and the stochastic gradient descent method reduce the classification error obtained by comparing the two-dimensional array with the corresponding person annotation to train the deep convolutional neural network. After several iterations of training, a model for action recognition is obtained, and the model is copied save.
具体的,本申请实施例在训练深度卷积神经网络时,与现有技术的区别还包括:现有技术中深度卷积神经网络的数据都是图像,即一个个的正方形,因此,现有技术中卷积神经网络的卷积核也是正方形(例如3*3、5*5等);然而,本申请实施例的滑动窗口是矩形,卷积核为较大的长方比(例如9*6)。Specifically, when training the deep convolutional neural network in the embodiment of the present application, the difference from the prior art further includes: in the prior art, the data of the deep convolutional neural network are all images, that is, one by one square. Therefore, the existing The convolution kernel of the convolutional neural network in the technology is also a square (for example, 3*3, 5*5, etc.); however, the sliding window of the embodiment of the present application is a rectangle, and the convolution kernel is a larger aspect ratio (for example, 9* 6).
(2)测试时,选取没有送入训练步骤的个体的二维数组连同对应的动作标签送入云连号的动作识别模型,在所述的soft-max分类器得到最大响应所在的动作标签类别(比如:慢跑、步行、上楼梯、下楼梯、站立和坐姿),作为个体动作状态的分类结果。(2) During the test, select the two-dimensional array of individuals not sent into the training step together with the corresponding action label and send it to the action recognition model of Yunlianhao, and obtain the action label category where the maximum response is located in the soft-max classifier. (eg: jogging, walking, going up stairs, going down stairs, standing and sitting), as the classification results of individual action states.
5、训练BMI预测模型5. Train a BMI prediction model
(1)每次随机选取N-1个个体,将这N-1个个体所有筛选后的二维数组附带对应的BMI标签送入一个q层的深度残差神经网络;具体实施时,可以采用反向传播算法和随机梯度下降法减小该二维矩阵与对应的人标注比较得到的预测误差以训练该深度残差神经网络,经过多次迭代训练得到用于BMI预测模型,并将模型复制保存,模型的具体训练过程如图8所示,输入90*6的数据序列,然后进行多个卷积层、池化层的特征学习,最后进行全连接层的回归,输出模型预测值。具体的,在池化层与全连接层之间可能还需要压平层flattenlayer将多维的数据一维化。(1) N-1 individuals are randomly selected each time, and all the screened two-dimensional arrays of these N-1 individuals are sent to a q-layer deep residual neural network with the corresponding BMI label; The back-propagation algorithm and stochastic gradient descent method reduce the prediction error obtained by comparing the two-dimensional matrix with the corresponding human annotation to train the deep residual neural network. After multiple iterations of training, a BMI prediction model is obtained, and the model is copied Save, the specific training process of the model is shown in Figure 8, input a data sequence of 90*6, then perform feature learning of multiple convolutional layers and pooling layers, and finally perform the regression of the fully connected layer to output the model prediction value. Specifically, between the pooling layer and the fully connected layer, a flatten layer may also be required to make the multi-dimensional data one-dimensional.
(2)测试时,可以选取没有送入上述训练步骤的个体的二维数组连同对应的BMI标签送入训练好的所述BMI预测模型中,在所述的soft-max分类器得到最大响应所在的BMI值,作为个体BMI值的预测结果。(2) During the test, the two-dimensional array of the individuals not sent into the above-mentioned training steps can be selected and sent to the trained BMI prediction model together with the corresponding BMI label, and the maximum response is obtained in the soft-max classifier. BMI value as a predictor of individual BMI value.
在具体实施时,为了进一步减少计算量、提高预测效率,还可以采用如下方式对每个个体的数据样例进行筛选。During specific implementation, in order to further reduce the amount of calculation and improve the prediction efficiency, the following methods can also be used to screen the data samples of each individual.
计算每个个体的二维数组的运动信息熵,将低于对应动作的运动信息熵标准要求的所有二维数组删除。Calculate the motion information entropy of the two-dimensional array of each individual, and delete all two-dimensional arrays that are lower than the motion information entropy standard of the corresponding action.
对于由w个数据组成的向量模序列x(n)={x(1),x(2),...,x(w)},有如下产生过程和运动信息熵计算过程:For the vector modulo sequence x(n)={x(1), x(2),...,x(w)} composed of w data, there are the following generation process and motion information entropy calculation process:
所述向量模序列的产生过程如下:The generation process of the vector modulo sequence is as follows:
以三轴加速度传感器和三轴角速度传感器构成的动作传感器数据为例,其子序列ST可以表示为:Taking the motion sensor data composed of a three-axis acceleration sensor and a three-axis angular velocity sensor as an example, its subsequence ST can be expressed as:
其中:子序列ST起始时刻为t,一共w个采样点;Among them: the starting time of the subsequence ST is t, and there are a total of w sampling points;
分别对所述子序列各种动作传感器采集的数据分别求向量模;respectively calculating the vector modulo of the data collected by various motion sensors of the subsequence;
其中:ax,t、ay,t和az,t分别表示t时刻x、y和z三个方向上的加速度大小,而Acct表示t时刻加速度各种分量的向量模;Among them: ax,t , ay,t and az,t represent the acceleration in the three directions of x, y and z at time t, respectively, and Acct represents the vector modulus of various components of acceleration at time t;
其中:ωx,t、ωy,t和ωz,t分别表示t时刻x、y和z三个方向上的角速度大小,而Gyrot表示t时刻角速度各种分量的向量模;Among them: ωx,t , ωy,t and ωz,t represent the angular velocity in the three directions of x, y and z at time t, respectively, and Gyrot represents the vector modulus of various components of the angular velocity at time t;
子序列ST转换为向量模序列XT=[x(n)],可以表示为:The subsequence ST is converted into a vector modulo sequence XT =[x(n)], which can be expressed as:
所述运动信息熵的具体计算过程如下:The specific calculation process of the motion information entropy is as follows:
其中,racc,rgyro分别是Acct(n)和Gyrot(n)对应的相似容限;Among them, racc , rgyro are the similar tolerances corresponding to Acct (n) and Gyrot (n), respectively;
Bm(racc,rgyro)为子序列Xm(i)和子序列Xm(j)在相似容限racc,rgyro下匹配m个点的概率,Am(racc,rgyro)为子序列Xm+1(i)和子序列Xm+1(j)在相似容限racc,rgyro下匹配m+1个点的概率;Bm (racc ,rgyro ) is the probability that the subsequence Xm (i) and the subsequence Xm (j) match m points under the similarity tolerance racc ,rgyro , Am (racc ,rgyro ) is the probability of matching m+1 points for the subsequence Xm+1 (i) and the subsequence Xm+1 (j) under the similarity tolerance racc ,rgyro ;
所述,Xm(i)为所述动作传感器向量模数据组成的序列x(n)中的子序列,表示从第i点开始的m个连续值;Xm(j)为所述动作传感器向量模数据组成的序列x(n)中的子序列,表示从第j点开始的m个连续值;Xm+1(i)为所述动作传感器数据向量模数据组成的序列x(n)中的子序列,表示从第i点开始的m+1个连续值;Xm+1(j)为所述动作传感器数据组成的序列x(n)中的子序列,表示从第j点开始的m+1个连续值;Said, Xm (i) is a subsequence in the sequence x (n) composed of the motion sensor vector modulo data, representing m continuous values starting from the i-th point; Xm (j) is the motion sensor A subsequence in the sequence x(n) composed of vector modulo data, representing m consecutive values starting from the jth point; Xm+1 (i) is the sequence x(n) composed of the motion sensor data vector modulo data The subsequence in , represents m+1 consecutive values starting from the ith point; Xm+1 (j) is the subsequence in the sequence x(n) composed of the motion sensor data, representing starting from the jth point m+1 consecutive values of ;
Bi为与子序列Xm(i)的的各传感器向量模分量间距离小于等于racc,rgyro的Xm(j)的数量,满足w>m+1;Bi is the number of Xm (j) whose distance from each sensor vector modulo component of the subsequence Xm (i) is less than or equal to racc , rgyro , satisfying w>m+1;
Ai为与子序列Xm+1(i)的各传感器向量模分量间距离小于等于racc,rgyro的Xm+1(j)的数量,满足w>m+1; Ai is the number of X m+1 (j) whose distance from each sensor vector modulo component of the subsequence Xm+1 (i) is less than or equal to racc , rgyro , satisfying w>m+1;
具体实施时,w为设定的时间窗口大小;w为有限值。During specific implementation, w is the set time window size; w is a finite value.
在一种实施方式中,所述序列Xm(i)与序列Xm(j)的距离:In one embodiment, the distance between the sequence Xm (i) and the sequence Xm (j):
所述序列Xm+1(i)与序列Xm+1(j)的距离:The distance between the sequence Xm+1 (i) and the sequence Xm+1 (j):
其中,k为大于等于0的增量。Among them, k is an increment greater than or equal to 0.
本申请实施例提出运动信息熵作为衡量样例信息量大小的指标,可以不依赖数据长度,且具有更好的一致性。This embodiment of the present application proposes motion information entropy as an indicator for measuring the amount of sample information, which may not depend on the data length and has better consistency.
实施例七
为了更清楚的展示本申请的使用场景,本申请实施例以一具体实例进行说明。In order to show the usage scenarios of the present application more clearly, the embodiments of the present application are described with a specific example.
假设小王出了地铁之后想要骑共享单车回家,此时,小王可能会进行如下操作:Suppose Xiao Wang wants to ride a shared bicycle home after getting out of the subway. At this time, Xiao Wang may do the following:
打开手机上的共享单车APP,共享单车APP启动;Open the shared bicycle APP on the mobile phone, and the shared bicycle APP starts;
小王通过扫描共享单车上的二维码等方式解锁共享单车,此时共享单车APP开始计时。Xiao Wang unlocks the shared bicycle by scanning the QR code on the shared bicycle, and the shared bicycle APP starts timing.
本申请实施例可以在监测到共享单车开始计时,认为用户已开始骑行动作,可以在2分钟后,开始获取用户一段时间内的动作传感器数据。In the embodiment of the present application, when the shared bicycle is monitored to start timing, it is considered that the user has started the riding action, and the motion sensor data of the user for a period of time can be obtained after 2 minutes.
本申请实施例将这段时间的动作传感器数据进行BMI预测,由于数据为用户骑行时数据的概率非常大,因此,动作状态识别更为准确、特征不明显的无效数据更少,预测准确度更高。In this embodiment of the present application, the motion sensor data during this period is used for BMI prediction. Since the probability of the data being the user’s riding data is very high, the motion state recognition is more accurate, the invalid data with less obvious features is less, and the prediction accuracy is high. higher.
当小王到了小区门口时,下车锁定共享单车后,通过点击手机上的共享单车APP,结束行程,或者,进一步的通过支付APP完成这段骑行的费用支付。此时,本申请实施例监测到共享单车APP结束计时(或者调用支付APP进行了支付操作),认为用户已经由骑行转为步行,1分钟后开始获取一段时间内用户手机的动作传感器数据。When Xiao Wang arrives at the gate of the community, after getting off the car and locking the shared bicycle, he ends the trip by clicking the shared bicycle APP on his mobile phone, or further pays the cost of this ride through the payment APP. At this time, the embodiment of the present application monitors the end of the shared bicycle APP timing (or calls the payment APP to perform a payment operation), considers that the user has changed from cycling to walking, and starts to acquire motion sensor data of the user's mobile phone for a period of time after 1 minute.
本申请实施例将这段时间的动作传感器数据进行BMI预测,由于数据为用户步行时数据的概率非常大,因此,动作状态识别更为准确、特征不明显的无效数据更少,预测准确度更高。In this embodiment of the present application, the motion sensor data during this period is used for BMI prediction. Since the probability of the data being the user's walking data is very high, the motion state recognition is more accurate, the invalid data with less obvious features is less, and the prediction accuracy is higher. high.
实施例八
为了更清楚的展示本申请的使用场景,本申请实施例以一具体实例进行说明。In order to show the usage scenarios of the present application more clearly, the embodiments of the present application are described with a specific example.
假设小明在上班的路上,路过咖啡店买了一杯咖啡,此时,小明可能会进行如下操作:Assuming that Xiaoming is on his way to work, he stops by a coffee shop and buys a cup of coffee. At this time, Xiaoming may do the following:
打开手机上的该品牌咖啡APP,选择想要购买的咖啡后或者直接口头表达想要购买的咖啡后,利用该品牌咖啡APP向店员扫码支付咖啡的费用;Open the coffee APP of the brand on your mobile phone, select the coffee you want to buy or directly express the coffee you want to buy, and use the coffee APP of the brand to scan the code to pay for the coffee to the clerk;
或者,or,
口头表达想要购买的咖啡后,向店员以其他支付类APP支付咖啡的费用。After verbally expressing the coffee you want to buy, pay for the coffee to the clerk through other payment apps.
此时,本申请实施例监控到小明手机上该品牌咖啡APP完成了支付操作、或者小明手机上某支付类APP向该品牌咖啡商家支付了咖啡的费用,在这种情况下,基本可以确定在此后的一段时间内小明是手里端着咖啡、处于步行状态的,因此,可以触发获取小明手机上三轴加速度传感器和三轴角速度传感器的数据。At this time, the embodiment of the present application monitors that the coffee APP of the brand on Xiaoming's mobile phone has completed the payment operation, or that a certain payment APP on Xiaoming's mobile phone has paid the coffee price of the coffee brand of the brand. For a period of time after that, Xiao Ming was walking with coffee in his hand. Therefore, it was possible to trigger the acquisition of data from the triaxial acceleration sensor and triaxial angular velocity sensor on Xiaoming's mobile phone.
本申请实施例将这段时间的动作传感器数据进行BMI预测,由于数据为用户步行时数据的概率非常大,因此,动作状态识别更为准确、特征不明显的无效数据更少,预测准确度更高。In this embodiment of the present application, the motion sensor data during this period is used for BMI prediction. Since the probability of the data being the user's walking data is very high, the motion state recognition is more accurate, the invalid data with less obvious features is less, and the prediction accuracy is higher. high.
本领域内的技术人员应明白,本申请的实施例可提供为方法、系统、或计算机程序产品。因此,本申请可采用完全硬件实施例、完全软件实施例、或结合软件和硬件方面的实施例的形式。而且,本申请可采用在一个或多个其中包含有计算机可用程序代码的计算机可用存储介质(包括但不限于磁盘存储器、CD-ROM、光学存储器等)上实施的计算机程序产品的形式。As will be appreciated by those skilled in the art, the embodiments of the present application may be provided as a method, a system, or a computer program product. Accordingly, the present application may take the form of an entirely hardware embodiment, an entirely software embodiment, or an embodiment combining software and hardware aspects. Furthermore, the present application may take the form of a computer program product embodied on one or more computer-usable storage media (including, but not limited to, disk storage, CD-ROM, optical storage, etc.) having computer-usable program code embodied therein.
本申请是参照根据本申请实施例的方法、设备(系统)、和计算机程序产品的流程图和/或方框图来描述的。应理解可由计算机程序指令实现流程图和/或方框图中的每一流程和/或方框、以及流程图和/或方框图中的流程和/或方框的结合。可提供这些计算机程序指令到通用计算机、专用计算机、嵌入式处理机或其他可编程数据处理设备的处理器以产生一个机器,使得通过计算机或其他可编程数据处理设备的处理器执行的指令产生用于实现在流程图一个流程或多个流程和/或方框图一个方框或多个方框中指定的功能的装置。The present application is described with reference to flowchart illustrations and/or block diagrams of methods, apparatus (systems), and computer program products according to embodiments of the present application. It will be understood that each flow and/or block in the flowchart illustrations and/or block diagrams, and combinations of flows and/or blocks in the flowchart illustrations and/or block diagrams, can be implemented by computer program instructions. These computer program instructions may be provided to the processor of a general purpose computer, special purpose computer, embedded processor or other programmable data processing device to produce a machine such that the instructions executed by the processor of the computer or other programmable data processing device produce Means for implementing the functions specified in a flow or flow of a flowchart and/or a block or blocks of a block diagram.
这些计算机程序指令也可存储在能引导计算机或其他可编程数据处理设备以特定方式工作的计算机可读存储器中,使得存储在该计算机可读存储器中的指令产生包括指令装置的制造品,该指令装置实现在流程图一个流程或多个流程和/或方框图一个方框或多个方框中指定的功能。These computer program instructions may also be stored in a computer-readable memory capable of directing a computer or other programmable data processing apparatus to function in a particular manner, such that the instructions stored in the computer-readable memory result in an article of manufacture comprising instruction means, the instructions The apparatus implements the functions specified in the flow or flow of the flowcharts and/or the block or blocks of the block diagrams.
这些计算机程序指令也可装载到计算机或其他可编程数据处理设备上,使得在计算机或其他可编程设备上执行一系列操作步骤以产生计算机实现的处理,从而在计算机或其他可编程设备上执行的指令提供用于实现在流程图一个流程或多个流程和/或方框图一个方框或多个方框中指定的功能的步骤。These computer program instructions can also be loaded on a computer or other programmable data processing device to cause a series of operational steps to be performed on the computer or other programmable device to produce a computer-implemented process such that The instructions provide steps for implementing the functions specified in the flow or blocks of the flowcharts and/or the block or blocks of the block diagrams.
尽管已描述了本申请的优选实施例,但本领域内的技术人员一旦得知了基本创造性概念,则可对这些实施例作出另外的变更和修改。所以,所附权利要求意欲解释为包括优选实施例以及落入本申请范围的所有变更和修改。While the preferred embodiments of the present application have been described, additional changes and modifications to these embodiments may occur to those skilled in the art once the basic inventive concepts are known. Therefore, the appended claims are intended to be construed to include the preferred embodiment and all changes and modifications that fall within the scope of this application.
显然,本领域的技术人员可以对本申请进行各种改动和变型而不脱离本申请的精神和范围。这样,倘若本申请的这些修改和变型属于本申请权利要求及其等同技术的范围之内,则本申请也意图包含这些改动和变型在内。Obviously, those skilled in the art can make various changes and modifications to the present application without departing from the spirit and scope of the present application. Thus, if these modifications and variations of the present application fall within the scope of the claims of the present application and their equivalents, the present application is also intended to include these modifications and variations.
| Application Number | Priority Date | Filing Date | Title |
|---|---|---|---|
| CN201910942098.5ACN112582063A (en) | 2019-09-30 | 2019-09-30 | BMI prediction method, device, system, computer storage medium, and electronic apparatus |
| Application Number | Priority Date | Filing Date | Title |
|---|---|---|---|
| CN201910942098.5ACN112582063A (en) | 2019-09-30 | 2019-09-30 | BMI prediction method, device, system, computer storage medium, and electronic apparatus |
| Publication Number | Publication Date |
|---|---|
| CN112582063Atrue CN112582063A (en) | 2021-03-30 |
| Application Number | Title | Priority Date | Filing Date |
|---|---|---|---|
| CN201910942098.5APendingCN112582063A (en) | 2019-09-30 | 2019-09-30 | BMI prediction method, device, system, computer storage medium, and electronic apparatus |
| Country | Link |
|---|---|
| CN (1) | CN112582063A (en) |
| Publication number | Priority date | Publication date | Assignee | Title |
|---|---|---|---|---|
| CN114496263A (en)* | 2022-04-13 | 2022-05-13 | 杭州研极微电子有限公司 | Neural network model establishing method for weight estimation and readable storage medium |
| Publication number | Priority date | Publication date | Assignee | Title |
|---|---|---|---|---|
| CN101853510A (en)* | 2010-04-20 | 2010-10-06 | 上海大学 | Motion Perception Model Extraction Method Based on Time and Space Domain |
| WO2012018535A2 (en)* | 2010-07-26 | 2012-02-09 | Wellness Indicators, Inc. | Wellness panel |
| JP2013514850A (en)* | 2009-12-21 | 2013-05-02 | コーニンクレッカ フィリップス エレクトロニクス エヌ ヴィ | BODE index measurement |
| KR20140034666A (en)* | 2012-09-12 | 2014-03-20 | 전남대학교산학협력단 | Control device based on non-motion signal and motion signal, and device control method thereof |
| CN103785157A (en)* | 2012-10-30 | 2014-05-14 | 莫凌飞 | Human body motion type identification accuracy improving method |
| CN104662487A (en)* | 2012-09-20 | 2015-05-27 | 苹果公司 | Predicting user intent and future interaction from application activities |
| CN104679382A (en)* | 2013-11-29 | 2015-06-03 | 华为技术有限公司 | Application program display method and device |
| CN104702950A (en)* | 2011-04-01 | 2015-06-10 | 苗太平洋控股有限公司 | Method of decoding moving pictures in intra prediction |
| GB2524730A (en)* | 2014-03-30 | 2015-10-07 | Robert Faulkner | Predicting application user behaviour and interests in real-time using predictive analytics as a service |
| KR20150117070A (en)* | 2014-04-09 | 2015-10-19 | (주)메이벨솔루션 | Apparatus and service method to promote character based on health care |
| CN105260093A (en)* | 2015-09-15 | 2016-01-20 | 广东欧珀移动通信有限公司 | Method and device for intelligently setting screen rotation and mobile terminal |
| DE112014005880T5 (en)* | 2013-12-24 | 2016-09-08 | Huaqin Telecom Technology Co., Ltd | A wristwatch and a procedure for running their application programs |
| JP2016220174A (en)* | 2015-05-26 | 2016-12-22 | 株式会社東芝 | Home appliance control method and home appliance control device |
| US20160378942A1 (en)* | 2015-06-29 | 2016-12-29 | Srinivas Neela | System and method to estimate reduction of lifetime healthcare costs based on body mass index |
| WO2017007707A1 (en)* | 2015-07-03 | 2017-01-12 | Vid Scale, Inc. | Methods, apparatus and systems for predicting user traits using non-camera sensors in a mobile device |
| CN106897562A (en)* | 2017-02-28 | 2017-06-27 | 镇江市高等专科学校 | A kind of method of work of personal health terminal of travelling |
| US9721066B1 (en)* | 2016-04-29 | 2017-08-01 | Centene Corporation | Smart fitness tracker |
| CN107122767A (en)* | 2017-05-27 | 2017-09-01 | 辽宁大学 | A kind of physical activity end-point detecting method based on comentropy |
| US20170311883A1 (en)* | 2014-11-14 | 2017-11-02 | Koninklijke Philips N.V. | Cardio-respiratory fitness assessment |
| CN107438088A (en)* | 2016-05-29 | 2017-12-05 | 姚昱旻 | The exceptional state alarm method and system of lung ventilator cloud platform |
| CN107438398A (en)* | 2015-01-06 | 2017-12-05 | 大卫·伯顿 | Mobile Wearable Monitoring System |
| CN107464363A (en)* | 2017-08-01 | 2017-12-12 | 杭州大众自行车租赁有限公司 | Shared bicycle is returned the car parking management method and system |
| US9839376B1 (en)* | 2015-04-20 | 2017-12-12 | Massachusetts Mutual Life Insurance | Systems and methods for automated body mass index calculation to determine value |
| CN107665093A (en)* | 2016-07-29 | 2018-02-06 | 深圳市深信服电子科技有限公司 | Date storage method and device |
| CA3040972A1 (en)* | 2016-10-20 | 2018-04-26 | Datapult, Inc. | Sickness prediction application system |
| CA2984267A1 (en)* | 2016-11-01 | 2018-05-01 | Medarchon, Inc. | Patient handoff device, system and predictive method |
| CN107990901A (en)* | 2017-11-28 | 2018-05-04 | 元力云网络有限公司 | A kind of sensor-based user direction localization method |
| CN108064004A (en)* | 2018-01-08 | 2018-05-22 | 南宁市浩发科技有限公司 | A kind of mouse track intelligent sound box tuning and its control method |
| CN108392208A (en)* | 2018-02-23 | 2018-08-14 | 大同公元三九八智慧养老服务有限公司 | A kind of tumble judgment method based on multiphase confinement |
| KR101899129B1 (en)* | 2017-11-07 | 2018-10-31 | 전자부품연구원 | Apparatus and method for analysis of exercising posture using textile sensor |
| CN109054841A (en)* | 2018-08-10 | 2018-12-21 | 长沙昱旻信息科技有限公司 | A kind of pH responsive type agricultural microbial inoculum |
| CN109308545A (en)* | 2018-08-21 | 2019-02-05 | 中国平安人寿保险股份有限公司 | The method, apparatus, computer equipment and storage medium of diabetes probability are suffered from prediction |
| CN109637664A (en)* | 2018-11-20 | 2019-04-16 | 平安科技(深圳)有限公司 | A kind of BMI evaluating method, device and computer readable storage medium |
| CN109993118A (en)* | 2019-03-30 | 2019-07-09 | 骞一凡 | An action recognition method and recognition system thereof |
| CN110084286A (en)* | 2019-04-10 | 2019-08-02 | 武汉理工大学 | A kind of human motion recognition method of sensor-based ECOC technology |
| CN209448412U (en)* | 2019-04-11 | 2019-09-27 | 倪二宝 | One kind being applied to motor multifunctional intelligent remote monitoring and protects system |
| US20210004705A1 (en)* | 2019-07-01 | 2021-01-07 | Lg Electronics Inc. | User behavior predicting method and device for executing predicted user behavior |
| Publication number | Priority date | Publication date | Assignee | Title |
|---|---|---|---|---|
| JP2013514850A (en)* | 2009-12-21 | 2013-05-02 | コーニンクレッカ フィリップス エレクトロニクス エヌ ヴィ | BODE index measurement |
| CN101853510A (en)* | 2010-04-20 | 2010-10-06 | 上海大学 | Motion Perception Model Extraction Method Based on Time and Space Domain |
| WO2012018535A2 (en)* | 2010-07-26 | 2012-02-09 | Wellness Indicators, Inc. | Wellness panel |
| CN104702950A (en)* | 2011-04-01 | 2015-06-10 | 苗太平洋控股有限公司 | Method of decoding moving pictures in intra prediction |
| KR20140034666A (en)* | 2012-09-12 | 2014-03-20 | 전남대학교산학협력단 | Control device based on non-motion signal and motion signal, and device control method thereof |
| CN104662487A (en)* | 2012-09-20 | 2015-05-27 | 苹果公司 | Predicting user intent and future interaction from application activities |
| CN103785157A (en)* | 2012-10-30 | 2014-05-14 | 莫凌飞 | Human body motion type identification accuracy improving method |
| CN104679382A (en)* | 2013-11-29 | 2015-06-03 | 华为技术有限公司 | Application program display method and device |
| DE112014005880T5 (en)* | 2013-12-24 | 2016-09-08 | Huaqin Telecom Technology Co., Ltd | A wristwatch and a procedure for running their application programs |
| GB2524730A (en)* | 2014-03-30 | 2015-10-07 | Robert Faulkner | Predicting application user behaviour and interests in real-time using predictive analytics as a service |
| KR20150117070A (en)* | 2014-04-09 | 2015-10-19 | (주)메이벨솔루션 | Apparatus and service method to promote character based on health care |
| US20170311883A1 (en)* | 2014-11-14 | 2017-11-02 | Koninklijke Philips N.V. | Cardio-respiratory fitness assessment |
| CN107438398A (en)* | 2015-01-06 | 2017-12-05 | 大卫·伯顿 | Mobile Wearable Monitoring System |
| US9839376B1 (en)* | 2015-04-20 | 2017-12-12 | Massachusetts Mutual Life Insurance | Systems and methods for automated body mass index calculation to determine value |
| JP2016220174A (en)* | 2015-05-26 | 2016-12-22 | 株式会社東芝 | Home appliance control method and home appliance control device |
| US20160378942A1 (en)* | 2015-06-29 | 2016-12-29 | Srinivas Neela | System and method to estimate reduction of lifetime healthcare costs based on body mass index |
| WO2017007707A1 (en)* | 2015-07-03 | 2017-01-12 | Vid Scale, Inc. | Methods, apparatus and systems for predicting user traits using non-camera sensors in a mobile device |
| CN105260093A (en)* | 2015-09-15 | 2016-01-20 | 广东欧珀移动通信有限公司 | Method and device for intelligently setting screen rotation and mobile terminal |
| US9721066B1 (en)* | 2016-04-29 | 2017-08-01 | Centene Corporation | Smart fitness tracker |
| CN107438088A (en)* | 2016-05-29 | 2017-12-05 | 姚昱旻 | The exceptional state alarm method and system of lung ventilator cloud platform |
| CN107665093A (en)* | 2016-07-29 | 2018-02-06 | 深圳市深信服电子科技有限公司 | Date storage method and device |
| CA3040972A1 (en)* | 2016-10-20 | 2018-04-26 | Datapult, Inc. | Sickness prediction application system |
| CA2984267A1 (en)* | 2016-11-01 | 2018-05-01 | Medarchon, Inc. | Patient handoff device, system and predictive method |
| CN106897562A (en)* | 2017-02-28 | 2017-06-27 | 镇江市高等专科学校 | A kind of method of work of personal health terminal of travelling |
| CN107122767A (en)* | 2017-05-27 | 2017-09-01 | 辽宁大学 | A kind of physical activity end-point detecting method based on comentropy |
| CN107464363A (en)* | 2017-08-01 | 2017-12-12 | 杭州大众自行车租赁有限公司 | Shared bicycle is returned the car parking management method and system |
| KR101899129B1 (en)* | 2017-11-07 | 2018-10-31 | 전자부품연구원 | Apparatus and method for analysis of exercising posture using textile sensor |
| CN107990901A (en)* | 2017-11-28 | 2018-05-04 | 元力云网络有限公司 | A kind of sensor-based user direction localization method |
| CN108064004A (en)* | 2018-01-08 | 2018-05-22 | 南宁市浩发科技有限公司 | A kind of mouse track intelligent sound box tuning and its control method |
| CN108392208A (en)* | 2018-02-23 | 2018-08-14 | 大同公元三九八智慧养老服务有限公司 | A kind of tumble judgment method based on multiphase confinement |
| CN109054841A (en)* | 2018-08-10 | 2018-12-21 | 长沙昱旻信息科技有限公司 | A kind of pH responsive type agricultural microbial inoculum |
| CN109308545A (en)* | 2018-08-21 | 2019-02-05 | 中国平安人寿保险股份有限公司 | The method, apparatus, computer equipment and storage medium of diabetes probability are suffered from prediction |
| CN109637664A (en)* | 2018-11-20 | 2019-04-16 | 平安科技(深圳)有限公司 | A kind of BMI evaluating method, device and computer readable storage medium |
| CN109993118A (en)* | 2019-03-30 | 2019-07-09 | 骞一凡 | An action recognition method and recognition system thereof |
| CN110084286A (en)* | 2019-04-10 | 2019-08-02 | 武汉理工大学 | A kind of human motion recognition method of sensor-based ECOC technology |
| CN209448412U (en)* | 2019-04-11 | 2019-09-27 | 倪二宝 | One kind being applied to motor multifunctional intelligent remote monitoring and protects system |
| US20210004705A1 (en)* | 2019-07-01 | 2021-01-07 | Lg Electronics Inc. | User behavior predicting method and device for executing predicted user behavior |
| Publication number | Priority date | Publication date | Assignee | Title |
|---|---|---|---|---|
| CN114496263A (en)* | 2022-04-13 | 2022-05-13 | 杭州研极微电子有限公司 | Neural network model establishing method for weight estimation and readable storage medium |
| Publication | Publication Date | Title |
|---|---|---|
| Xu et al. | Channel attention for sensor-based activity recognition: Embedding features into all frequencies in DCT domain | |
| Yao et al. | Deepsense: A unified deep learning framework for time-series mobile sensing data processing | |
| CN106846729B (en) | Tumble detection method and system based on convolutional neural network | |
| CN111797858A (en) | Model training method, behavior prediction method, device, storage medium and device | |
| WO2019147918A1 (en) | Method for training fraudulent transaction detection model, detection method, and corresponding apparatus | |
| CA3028630A1 (en) | Systems and methods for identifying risky driving behavior | |
| CN111353467B (en) | Driving state identification method, device, terminal and storage medium | |
| El-Adawi et al. | Wireless body area sensor networks based human activity recognition using deep learning | |
| CN113642432B (en) | Method for recognizing human body posture by convolutional neural network based on covariance matrix transformation | |
| CN112883227B (en) | Video abstract generation method and device based on multi-scale time sequence characteristics | |
| CN110674875A (en) | A Pedestrian Motion Pattern Recognition Method Based on Deep Hybrid Model | |
| CN113269612A (en) | Article recommendation method and device, electronic equipment and storage medium | |
| CN111931616A (en) | Emotion recognition method and system based on mobile intelligent terminal sensor equipment | |
| Sarveshwaran et al. | Investigation on human activity recognition using deep learning | |
| Kim et al. | Activity recognition using fully convolutional network from smartphone accelerometer | |
| CN107609501A (en) | The close action identification method of human body and device, storage medium, electronic equipment | |
| Chen et al. | Vision-based elderly fall detection algorithm for mobile robot | |
| CN118072281A (en) | Target object detection method, device, computer equipment and storage medium | |
| Tarekegn et al. | Efficient human gait activity recognition based on sensor fusion and intelligent stacking framework | |
| CN112070022A (en) | Face image recognition method and device, electronic equipment and computer readable medium | |
| CN112582063A (en) | BMI prediction method, device, system, computer storage medium, and electronic apparatus | |
| CN112966248B (en) | Continuous identity authentication method of mobile equipment in uncontrolled walking scene | |
| Lu et al. | Temporal convolutional network with wavelet transform for fall detection | |
| Syed | Stacked lstm deep neural networks for accurate recognition of prayer activities with smartphone sensors | |
| CN108965585B (en) | User identity recognition method based on smart phone sensor |
| Date | Code | Title | Description |
|---|---|---|---|
| PB01 | Publication | ||
| PB01 | Publication | ||
| SE01 | Entry into force of request for substantive examination | ||
| SE01 | Entry into force of request for substantive examination | ||
| RJ01 | Rejection of invention patent application after publication | ||
| RJ01 | Rejection of invention patent application after publication | Application publication date:20210330 |