




技术领域technical field
本发明涉及海洋工程与技术领域,涉及到海底缆线系统的检测及维护领域,更具体的为,一种无人艇走航式海底缆线无源电磁探测系统及定位方法。The invention relates to the fields of marine engineering and technology, to the field of detection and maintenance of a submarine cable system, and more particularly to a passive electromagnetic detection system and a positioning method of an unmanned boat traveling submarine cable.
背景技术Background technique
海底缆线主要包括海底电缆、海底光缆及海底光电复合缆。海底光缆通信由于其大容量、高质量、低价格等优势成为国际间最主要的通信手段,占据了全球95%以上的国际间数据通信量。随着5G、云业务等互联网相关业务的迅速发展对数据通信的爆炸式增长需求,对海底光缆带宽及数量的需求迅速增加。海底电缆在海洋风力发电、岛屿间电力传输等电能传输领域发挥着巨大作用。海底缆线经常受到地震、抛锚等自然和人为因素的干扰,而经常处于损伤、断裂、悬置等非正常运行工况,因此需要实时更新海缆的路由位置信息,以为海缆维护作业提供依据。目前工程实践中多采用水面船舶作为探测平台、手持电磁探测器的形式,以往复走航式的方式对海缆路由点进行探测;基于探测人员观察电磁异常的反馈,并结合无人船的GPS经纬度信号反馈,从而大致确定海缆路由点的大致经纬度信息。该种传统探测方法通过水面船舶由探测人员进行探测作业,因此该种作业方法存在探测精度低、人员依赖度高、不能确定海缆路由点的埋设或暴露状态等问题。Submarine cables mainly include submarine cables, submarine optical cables and submarine optoelectronic composite cables. Due to its advantages of large capacity, high quality and low price, submarine optical cable communication has become the most important means of international communication, accounting for more than 95% of the world's international data traffic. With the rapid development of Internet-related services such as 5G and cloud services, the demand for data communication has exploded, and the demand for bandwidth and quantity of submarine optical cables has increased rapidly. Submarine cables play a huge role in power transmission fields such as ocean wind power generation and power transmission between islands. Submarine cables are often disturbed by natural and human factors such as earthquakes and anchoring, and are often in abnormal operating conditions such as damage, fracture, and suspension. Therefore, it is necessary to update the routing location information of submarine cables in real time to provide a basis for submarine cable maintenance operations. . At present, in engineering practice, surface ships are mostly used as detection platforms and handheld electromagnetic detectors to detect submarine cable routing points in a reciprocating way; based on the feedback of detector personnel observing electromagnetic anomalies, combined with the GPS Longitude and latitude signal feedback, so as to roughly determine the approximate longitude and latitude information of the routing point of the submarine cable. This traditional detection method is carried out by the detection personnel through the surface ship, so this operation method has problems such as low detection accuracy, high personnel dependence, and the inability to determine the buried or exposed state of the submarine cable routing point.
论文“海缆埋设深度检测技术的研究”(《电线电缆》,2005,3(3):38-42)、论文“海底光缆路由跟踪系统设计与实现”(学位论文,华中科技大学)论文“基于磁信号引导的水下机器人海缆自动跟踪技术研究”(学位论文,华中科技大学)公开了一种海缆路由近距离跟踪覆盖式路由定位方法。所公开探测系统主要包括两个同构的三轴电磁探测传感器。所述对比文件基于不同的前提假设,推导了一种基于相同传感器配置方案的海缆路由定位算法,主要包括偏航角度、横向偏距、垂向偏距定位算法。然而该种海缆探测和定位算法基于理想的海缆电磁信号,而电磁探测平台和水下复杂电磁环境所带来局部电磁噪声难以避免,因此所公开的海缆探测和定位算法在工程实践中多出现海缆定位结果漂移不稳定、探测平台跟踪丢失等问题。因此,走航式探测方法基于一系列多点位的电磁探测序列组对一个海缆路由点进行定位,具有较强的容错性和鲁棒性,是目前工程实践中常用的海缆探测及定位方法。Paper "Research on Submarine Cable Buried Depth Detection Technology" ("Wire and Cable", 2005, 3(3): 38-42), paper "Design and Implementation of Submarine Optical Cable Routing and Tracking System" (Dissertation, Huazhong University of Science and Technology) Paper " "Research on Automatic Tracking Technology of Underwater Robots Submarine Cable Based on Magnetic Signal Guidance" (Dissertation, Huazhong University of Science and Technology) discloses a short-range tracking and overlay routing and positioning method for submarine cable routing. The disclosed detection system mainly includes two isomorphic three-axis electromagnetic detection sensors. Based on different assumptions, the comparison document deduces a submarine cable routing positioning algorithm based on the same sensor configuration scheme, which mainly includes yaw angle, lateral offset, and vertical offset positioning algorithms. However, this kind of submarine cable detection and positioning algorithm is based on the ideal submarine cable electromagnetic signal, and the local electromagnetic noise caused by the electromagnetic detection platform and the underwater complex electromagnetic environment is unavoidable. Therefore, the disclosed submarine cable detection and positioning algorithm is used in engineering practice. There are many problems such as unstable drift of submarine cable positioning results and loss of tracking of detection platforms. Therefore, the navigation detection method is based on a series of multi-point electromagnetic detection sequence groups to locate a submarine cable routing point, which has strong fault tolerance and robustness, and is a commonly used submarine cable detection and positioning in current engineering practice. method.
发明内容SUMMARY OF THE INVENTION
本发明针对现有工程实践中走航式海缆路由探测和定位中存在的不足和缺陷,设计了一套基于电磁探测传感器的无人艇海缆智能探测及定位方法,以提高海缆探测和定位精度,提高探测工作效率,减小人力等资源消耗。本发明设计包含了对海缆探测的硬件配置方案、探测流程设计、智能定位算法。本发明为海缆运行维护作业提供了一套符合海洋工程实践、无人化的自主探测系统,旨在准确探明海底缆线的路由点经纬度信息和埋设深度。Aiming at the deficiencies and defects existing in the route detection and positioning of the traveling submarine cable in the existing engineering practice, the present invention designs a set of intelligent detection and positioning method for the submarine cable of the unmanned boat based on the electromagnetic detection sensor, so as to improve the detection and positioning of the submarine cable. Positioning accuracy, improve detection efficiency, and reduce resource consumption such as manpower. The design of the invention includes a hardware configuration scheme for submarine cable detection, a detection process design, and an intelligent positioning algorithm. The invention provides a set of unmanned autonomous detection system conforming to marine engineering practice for submarine cable operation and maintenance, aiming to accurately ascertain the longitude and latitude information and buried depth of the routing point of the submarine cable.
本发明所解决的技术问题主要包括走航式海缆(海底缆线)电磁探测传感配置方案设计、规划与探测一体化流程设计、海缆路由智能定位算法设计。本发明所采用的技术方案:The technical problems solved by the invention mainly include the design of the electromagnetic detection and sensing configuration scheme of the traveling submarine cable (submarine cable), the design of the integrated process of planning and detection, and the design of the intelligent positioning algorithm of the submarine cable routing. The technical scheme adopted in the present invention:
1、走航式海缆(海底缆线)无源电磁探测系统,系统传感配置方案灵活可选,该套探测系统的标准配置主要包括一个三轴正交电磁探测器或两个单轴电磁探测传感器、一个对底探测高度计、导航系统(导航系统用于确定无人艇探测平台在大地坐标系下的绝对位置,即经/纬度信息,并将绝对位置与电磁探测信息、高度计信息按照时间戳一一对应;针对水面无人航行器,导航系统为GPS或北斗定位系统;针对水下无人艇体,导航系统指组合导航系统,具体包括多普勒计程仪、惯性导航单元等传感器,用于给出探测平台在水下航行的实时位置和姿态)。1. The passive electromagnetic detection system of traveling submarine cable (submarine cable), the system sensing configuration scheme is flexible and optional. The standard configuration of this detection system mainly includes a three-axis orthogonal electromagnetic detector or two single-axis electromagnetic detectors. Detection sensor, a bottom detection altimeter, navigation system (the navigation system is used to determine the absolute position of the unmanned boat detection platform in the geodetic coordinate system, that is, the latitude/longitude information, and the absolute position and electromagnetic detection information, altimeter information according to time. Poke one-to-one correspondence; for surface unmanned vehicles, the navigation system is GPS or Beidou positioning system; for underwater unmanned hulls, the navigation system refers to the integrated navigation system, including sensors such as Doppler log, inertial navigation unit, etc. , which is used to give the real-time position and attitude of the detection platform in underwater navigation).
2、走航式海缆电磁探测系统传感器的标准配置方案,三轴正交电磁探测器和单轴电磁探测传感器为可互换配置。当选用三轴正交电磁探测传感器时,其三轴与探测平台本体的三轴互相平行,且其作用中心点与探测平台的XOZ平面共面;当选用两个单轴电磁探测传感器时,其中一轴与探测平台艏向X轴平行,其中一轴与探测平台Z轴平行,两个传感器作用中心点连线与探测平台Y轴平行。2. The standard configuration scheme of the sensor of the traveling submarine cable electromagnetic detection system, the three-axis orthogonal electromagnetic detector and the single-axis electromagnetic detection sensor are interchangeable configurations. When a three-axis orthogonal electromagnetic detection sensor is selected, its three axes are parallel to the three axes of the detection platform body, and its action center point is coplanar with the XOZ plane of the detection platform; when two single-axis electromagnetic detection sensors are selected, among them One axis is parallel to the heading X axis of the detection platform, one axis is parallel to the Z axis of the detection platform, and the line connecting the action centers of the two sensors is parallel to the Y axis of the detection platform.
3、探测平台导航系统,导航系统主要用于确定海缆路由点的经纬度信息。当探测平台为水下航行器时,导航系统可选为水下组合导航系统;当探测平台为水面无人船时,导航系统可选为GPS导航定位系统。3. The navigation system of the detection platform, the navigation system is mainly used to determine the longitude and latitude information of the routing point of the submarine cable. When the detection platform is an underwater vehicle, the navigation system can be selected as an underwater integrated navigation system; when the detection platform is an unmanned surface ship, the navigation system can be selected as a GPS navigation and positioning system.
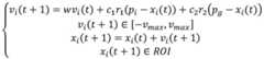
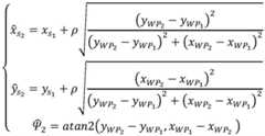
4、走航式电磁探测规划方法及流程设计,海缆路由定位方法主要包括海缆路由点定位优化算法、海缆路由点预测算法、走航式航路点规划算法。初始阶段为海缆搜索阶段,根据海缆维护日志所记录的海缆路由大致位置,在海缆路由两侧设定两个初始航路点,并使两航路点间直线航路与海缆路由呈接近垂直状态;指定的两个初始航路点及后续设计航路点均在同一二维水平面内,针对水面无人船,所设计航路点及探测航路均位于水面,针对水下探测平台,所设计航路点及探测航路处于指定深度(指定深度视该区域水深而定,需保证指定深度距海床有一定安全航行距离,如距海床表面3-10米);当探测平台处于直线航线探测阶段,基于电磁信号采集序列判定满足海缆定位算法启动条件时,启动海缆路由定位算法,并基于算法输出直线航线上的海缆路由点位置(其计算过程给定如以下第5点所示的海缆路由智能定位算法);基于已探明的海缆路由点预测下一个海缆路由点的大致位置(其计算过程给定如以下第6点所示海缆路有点预测算法),并基于预测海缆路由点计算关键航路点,关键航路点即走航式直线航路的两端点(其计算过程给定如以下第7点所示关键航路点规划算法)。4. Navigation-type electromagnetic detection planning method and process design. The submarine cable routing and positioning method mainly includes the submarine cable routing point positioning optimization algorithm, the submarine cable routing point prediction algorithm, and the navigation-type waypoint planning algorithm. The initial stage is the submarine cable search stage. According to the approximate position of the submarine cable route recorded in the submarine cable maintenance log, two initial waypoints are set on both sides of the submarine cable route, and the straight line between the two waypoints is close to the submarine cable route. Vertical state; the two designated initial waypoints and subsequent design waypoints are in the same two-dimensional horizontal plane. For surface unmanned ships, the designed waypoints and detection routes are located on the water surface. For underwater detection platforms, the designed route The point and the detection route are at the specified depth (the specified depth depends on the water depth of the area, and it is necessary to ensure that the specified depth has a certain safe navigation distance from the seabed, such as 3-10 meters from the seabed surface); when the detection platform is in the detection stage of the straight route, When it is determined based on the electromagnetic signal acquisition sequence that the starting conditions of the submarine cable positioning algorithm are met, the submarine cable routing positioning algorithm is started, and the position of the submarine cable routing point on the straight line is output based on the algorithm (the calculation process is given as the sea cable shown in point 5 below). Cable routing intelligent positioning algorithm); predict the approximate location of the next submarine cable routing point based on the proven submarine cable routing point (the calculation process is given as the submarine cable routing point prediction algorithm shown in point 6 below), and based on the prediction The submarine cable routing point calculates the key waypoint, which is the two ends of the straight-line route (the calculation process is given as the key waypoint planning algorithm shown in point 7 below).
5、所述海缆路由智能定位算法,海缆路由定位算法的核心即循环优化算法给定如下:5. In the intelligent positioning algorithm of submarine cable routing, the core of the submarine cable routing positioning algorithm, that is, the loop optimization algorithm, is given as follows:
6、所述海缆路由点预测算法,针对和第二个海缆路由点及第二个之后的海缆路由点预测算法分别给定如下:6. The submarine cable routing point prediction algorithm is given as follows for the second submarine cable routing point and the second and subsequent submarine cable routing point prediction algorithms:
7、所述关键航路点规划算法,关键航路点的规划算法给定如下:7. In the key waypoint planning algorithm, the planning algorithm of the key waypoint is given as follows:
总体而言,通过本发明所构思的以上技术方案与现有技术相比,能够取得下列有益效果:In general, compared with the prior art, the above technical solutions conceived by the present invention can achieve the following beneficial effects:
1、本发明所设计海底缆线被动电磁探测方法与传统海缆探测方法相比,实现了海缆探测无人化,减小了人力、物力资源消耗,可显著提高探测精度、探测效率。1. Compared with the traditional submarine cable detection method, the passive electromagnetic detection method of the submarine cable designed by the present invention realizes the unmanned detection of the submarine cable, reduces the consumption of human and material resources, and can significantly improve the detection accuracy and detection efficiency.
2、本发明所设计海底缆线被动电磁探测配置方案及定位方法可通用于自主水下机器人、混合式水下机器人、自主无人船、适用于水面无人船、遥控水下机器人等多种不同形式的海洋航行器或探测平台。2. The passive electromagnetic detection configuration scheme and positioning method of submarine cables designed by the present invention can be generally used in autonomous underwater robots, hybrid underwater robots, autonomous unmanned ships, surface unmanned ships, remote-controlled underwater robots, etc. Different forms of marine vehicles or exploration platforms.
3、本发明所设计海底缆线被动电磁探测传感器配置方案简单可行,仅需在海洋航行器平台上固定安装一个三轴电磁探测传感器,相较于对比文件中的跟踪探测方法相比,减小了传感器的数量、简化了电磁探测传感器的安装形式;而高度计、组合导航系统为常规航行器的标准传感配置。3. The configuration scheme of the passive electromagnetic detection sensor of the submarine cable designed in the present invention is simple and feasible, and only one three-axis electromagnetic detection sensor needs to be fixedly installed on the marine vehicle platform. It reduces the number of sensors and simplifies the installation form of electromagnetic detection sensors; while altimeter and integrated navigation system are standard sensing configurations of conventional aircraft.
4、本发明所设计海底缆线路由定位算法相较于对比文件中的跟踪探测方法相比,海缆路由定位算法与航行器运动规划算法仅通过确定的路由点进行桥接,并与航行的跟踪控制过程相剥离,从而可保证航行器探测过程中具有稳定的航行性能,因此所设计海缆路由定位方法具有更强的容错性和鲁棒性。4. Compared with the tracking and detection method in the comparison document, the submarine cable routing algorithm designed by the present invention, the submarine cable routing algorithm and the aircraft motion planning algorithm are only bridged through the determined routing points, and are connected with the tracking of the navigation. The control process is separated, so as to ensure stable navigation performance during the detection process of the vehicle, so the designed submarine cable routing method has stronger fault tolerance and robustness.
5、本发明所设计海底缆线路由定位算法相较于对比文件中的海缆跟踪探测相比,由于单个的海缆路由点基于直线航路上采集的一系列电磁信号组进行定位和优化,降低了局部异常电磁噪声对定位结果的影响,因此所设计海缆路由定位方法具有更强的信号容错性。5. Compared with the submarine cable tracking and detection in the comparison document, the submarine cable routing algorithm designed in the present invention is based on the positioning and optimization of a single submarine cable routing point based on a series of electromagnetic signal groups collected on a straight route, reducing the cost of The influence of local anomalous electromagnetic noise on the positioning results is considered, so the designed submarine cable routing positioning method has stronger signal fault tolerance.
6、本发明所设计海缆探测及路由定位方法中,探测平台仅需航行在一定深度的水平面进行航行探测,即定深航行,从而降低近海底航行时航行器操纵性不足带来的触底等风险,因此所设计海缆探测及定位方法可提升无人艇探测平台的航行安全。6. In the submarine cable detection and routing positioning method designed by the present invention, the detection platform only needs to sail on a certain depth level for navigation detection, that is, fixed-depth navigation, thereby reducing bottoming caused by insufficient maneuverability of the aircraft when navigating near the seabed. Therefore, the designed submarine cable detection and positioning method can improve the navigation safety of the unmanned boat detection platform.
附图说明Description of drawings
图1无人艇走航式海缆无源探测及定位过程;Figure 1 The passive detection and positioning process of the unmanned submarine submarine cable;
图2为本发明走航式海缆无源探测系统配置及定位系统框架;Fig. 2 is the configuration and positioning system frame of the passive detection system of the traveling submarine cable of the present invention;
图3为电磁探测传感器在无人艇探测平台上的搭载配置方案(以无人船为例),其中:(a)三轴正交电磁探测器搭载方案、(b)双单轴电磁探测器搭载方案;Figure 3 shows the configuration scheme of electromagnetic detection sensors on the unmanned boat detection platform (taking the unmanned boat as an example), in which: (a) three-axis orthogonal electromagnetic detector mounting scheme, (b) dual single-axis electromagnetic detectors carrying scheme;
图4为本发明海缆定位与规划算法流程图;4 is a flowchart of a submarine cable positioning and planning algorithm of the present invention;
图5为本发明海缆路由点定位算法框架(以粒子群算法为例)。FIG. 5 is a framework of an algorithm for positioning a routing point of a submarine cable according to the present invention (taking the particle swarm algorithm as an example).
实施方式Implementation
为了使本发明的目的、技术方案及优点更加明晰,以下结合附图及实施例,对本发明进行进一步详细解释说明。应当理解,此处所描述的具体实施例仅仅用以解释本发明,并不用于限定发明。In order to make the objectives, technical solutions and advantages of the present invention clearer, the present invention will be further explained in detail below with reference to the accompanying drawings and embodiments. It should be understood that the specific embodiments described herein are only used to explain the present invention, but not to limit the invention.
图1是本发明无人艇走航式海缆无源探测及定位过程,图2是按照本发明的优选实施例所构建的走航式海缆无源探测系统软件、硬件配置及各模块之间的信息交互示意图。如图2所示,本发明探测传感配置即组合测量系统,主要用于采集环境电磁信号、对底高度信息,包括电磁探测传感器、对底高度计、探测平台导航系统;本发明海缆定位及规划算法主要用于定位海缆路由点位置和规划海缆探测航路,包括群体智能定位算法和在线航路规划算法。各单元之间的关系如下:由组合测量系统按照固定周期反馈添加地址戳的电磁探测信号序列组、对底高度信号;海缆路由智能定位算法根据上述信息进行海缆路由点定位;在线航路规划算法基于海缆路由定位结果进行探测航路规划,并规划生成关键路径点;航行器导航与控制基于关键路径点的指引进行航行器跟踪控制,从而进行海缆路由的重复探测和定位,进而形成“探测-定位-规划-跟踪-探测”的闭环。Fig. 1 is the passive detection and positioning process of the unmanned boat traveling submarine cable of the present invention, and Fig. 2 is the software, hardware configuration and various modules of the passive detection system for the traveling submarine cable constructed according to the preferred embodiment of the present invention. Schematic diagram of the information exchange between them. As shown in Figure 2, the detection and sensing configuration of the present invention is a combined measurement system, which is mainly used to collect environmental electromagnetic signals and bottom-to-bottom height information, including electromagnetic detection sensors, bottom-to-bottom altimeters, and detection platform navigation systems; The planning algorithm is mainly used to locate the position of the submarine cable routing point and plan the submarine cable detection route, including the group intelligent positioning algorithm and the online route planning algorithm. The relationship between each unit is as follows: the combined measurement system feeds back the electromagnetic detection signal sequence group with address stamps and the bottom-to-bottom height signal according to a fixed period; the submarine cable routing intelligent positioning algorithm locates the submarine cable routing point according to the above information; online route planning The algorithm plans the detection route based on the positioning results of the submarine cable routing, and plans to generate key waypoints; the navigation and control of the aircraft is based on the guidance of the key waypoints to carry out the vehicle tracking control, so as to repeat the detection and positioning of the submarine cable route, and then form a " The closed loop of detection-location-planning-tracking-detection.
电磁探测传感器和高度的安装方式设定如下。当选用一个三轴电磁探测传感器时,应保证互相正交的两轴分别于探测平台的艏向和侧向互相垂直,且传感器作用中心点位于探测平台左右对称平面内;当选用两个单轴电磁探测传感器时,应保证两个电磁探测传感器的中心轴线正交,且分别与探测平台的艏向和侧向保持平行,两个电磁探测传感器的作用中心距离尽量减小。The installation method of electromagnetic detection sensor and height is set as follows. When selecting a three-axis electromagnetic detection sensor, it should be ensured that the two mutually orthogonal axes are perpendicular to each other in the heading and lateral directions of the detection platform, and the sensor's center of action is located in the left-right symmetry plane of the detection platform; When using electromagnetic detection sensors, it should be ensured that the central axes of the two electromagnetic detection sensors are orthogonal and parallel to the heading and lateral directions of the detection platform respectively, and the distance between the action centers of the two electromagnetic detection sensors should be minimized.
图4是针对海缆定位与规划算法的流程图。在探测初始阶段,根据海缆维护日志在海缆路由两侧指定两个航路点,使两航路点连线与海缆路由基本垂直;在无人艇探测平台航行过程中同步进行环境电磁信号采集和对底高度信号采集;根据电磁信号周期性判断是否满足海缆定位算法启动条件,当不满足定位算法启动条件时,继续进行航行器跟踪控制和电磁信号探测,当满足算法启动条件时,执行海缆路由定位算法,并由算法输出海缆路由点位置和路由点的埋设深度;然后基于已海缆路由位置预测和规划下一个海缆路由点的位置、关键航路点,基于规划航路点的指引继续进行航行器跟踪控制和电磁信号采集;在每个控制周期检测艇载剩余能源,当剩余能量不足时停止执行海缆跟踪探测。Figure 4 is a flow chart of an algorithm for submarine cable positioning and planning. In the initial stage of detection, two waypoints are designated on both sides of the submarine cable route according to the submarine cable maintenance log, so that the line connecting the two waypoints is basically perpendicular to the submarine cable route; during the navigation of the unmanned boat detection platform, the environmental electromagnetic signal collection is performed synchronously. and bottom-to-bottom height signal acquisition; according to the electromagnetic signal, it is periodically judged whether the start condition of the submarine cable positioning algorithm is met. When the start condition of the positioning algorithm is not met, the vehicle tracking control and electromagnetic signal detection are continued. The submarine cable routing positioning algorithm, and the algorithm outputs the position of the submarine cable routing point and the buried depth of the routing point; then predicts and plans the position and key waypoint of the next submarine cable routing point based on the existing submarine cable routing position. The guidance continues to carry out the vehicle tracking control and electromagnetic signal acquisition; the remaining energy on board is detected in each control cycle, and the submarine cable tracking detection is stopped when the remaining energy is insufficient.
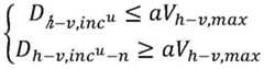
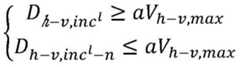
所述海缆路由定位算法启动条件,指电磁探测传感器所感应到的海缆辐射电磁信号衰减到一定极限时,即启动基于群体智能的海缆路由定位算法。所谓电磁信号的衰减程度是利用电磁探测传感器水平轴和垂直轴方向上的信号分量差值进行衡量。海缆路由定位算法启动条件具体包括可用于电磁定位算法的有效电磁噪声序列的上界和下界。The starting condition of the submarine cable routing and positioning algorithm means that when the electromagnetic signal radiated by the submarine cable sensed by the electromagnetic detection sensor attenuates to a certain limit, the submarine cable routing and positioning algorithm based on swarm intelligence is started. The so-called attenuation degree of the electromagnetic signal is measured by the difference between the signal components in the horizontal axis and the vertical axis direction of the electromagnetic detection sensor. The starting conditions of the submarine cable routing positioning algorithm specifically include the upper and lower bounds of the effective electromagnetic noise sequence that can be used for the electromagnetic positioning algorithm.
由于电磁探测传感器采集的电磁序列中有电磁噪声的干扰,且可用于海缆定位算法的实际有用信号量有限,因此确定实际可用于海缆定位的电磁序列下界算法如下:Since the electromagnetic sequence collected by the electromagnetic detection sensor has electromagnetic noise interference, and the actual useful signal quantity that can be used for the submarine cable positioning algorithm is limited, the lower bound algorithm of the electromagnetic sequence that can actually be used for submarine cable positioning is determined as follows:
类似地,确定实际可用于海缆定位的电磁序列信号的上界,算法如下:Similarly, to determine the upper bound of the electromagnetic sequence signal that can actually be used for submarine cable positioning, the algorithm is as follows:
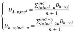
其中,incl和incu分别为用于海缆定位算法的电磁信号序列值,和和分别为供有效电磁信号序列下界和上界判断的滑动滤波值,给定如下:Among them, incl and incu are the electromagnetic signal sequence values used for the submarine cable positioning algorithm, respectively, and and are the sliding filter values for judging the lower and upper bounds of the effective electromagnetic signal sequence, respectively, given as follows:
其中,Dh-v,i=Vh,i-Vv,i为i时刻水平轴和垂直轴方向上电磁信号的差值,Vh,i和Vh,i分别为i时刻水平轴和垂直轴方向上的信号值;Vh-v,max为水平、垂直两个轴方向上电磁序列信号差的最大值,具有如下表达式:Vh-v,max=max(Vh-Vv),Vh为水平轴方向上采集到的电磁信号序列,Vv为垂直轴方向上采集到的电磁信号序列;a、n为正常数,(n+1)为用于平滑滤波的电磁信号序列长度。Among them, Dhv,i =Vh,i -Vv,i is the difference between the electromagnetic signals on the horizontal axis and the vertical axis at time i, Vh,i and Vh,i are the horizontal axis and vertical axis at time i, respectively The signal value in the direction; Vhv,max is the maximum value of the electromagnetic sequence signal difference in the horizontal and vertical axis directions, with the following expression: Vhv,max =max(Vh -Vv ), Vh is the horizontal The electromagnetic signal sequence collected in the axial direction, Vv is the electromagnetic signal sequence collected in the vertical axis direction; a and n are positive numbers, and (n+1) is the length of the electromagnetic signal sequence used for smoothing filtering.
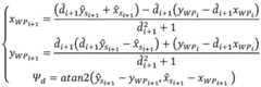
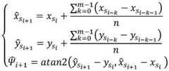
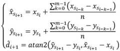
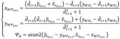
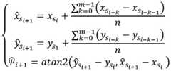
所述海缆路由点预测算法如下。海缆路由点预测算法如下:The submarine cable routing point prediction algorithm is as follows. Cable routing point The prediction algorithm is as follows:
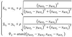
其中,和分别已确定的前2个海缆路由点的位置坐标;ρ为常数,表示测线之间的距离;为第一个海缆路由点到第二个预测海缆路由点向量的航向角,用于规划第二条直线探测航路上的关键路径点,即直线航路的两个端点。in, and The position coordinates of the first two submarine cable routing points that have been determined respectively; ρ is a constant, indicating the distance between the survey lines; The heading angle of the vector from the first submarine cable routing point to the second predicted submarine cable routing point is used to plan the critical path points on the second straight line detection route, that is, the two endpoints of the straight route.
特别地,当第一个海缆路由点确定后,针对第二个海缆路由点,预测算法如下:In particular, when the first submarine cable routing point is determined, for the second submarine cable routing point, the prediction algorithm is as follows:
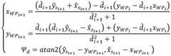
所述关键路径点规划算法如下。为下一个关键路径点,为已探明海缆路由点到下一预测海缆路由点向量的航向角,关键路径点即直线探测航路的两个端点的规划算法如下:The critical path point planning algorithm is as follows. is the next critical path point, For the heading angle from the proven submarine cable routing point to the next predicted submarine cable routing point vector, the planning algorithm for the critical path point, that is, the two endpoints of the straight line detection route, is as follows:
为已探明海缆路由点到下一预测海缆路由点所连直线在大地坐标系下的斜率。 It is the slope of the line connecting the proven submarine cable routing point to the next predicted submarine cable routing point in the geodetic coordinate system.
所述海缆路由点定位算法流程如图5所示,算法流程描述如下:The algorithm flow of the submarine cable routing point location is shown in Figure 5, and the algorithm flow is described as follows:
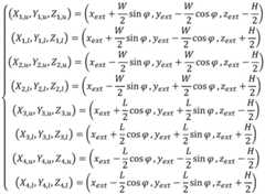
(1)选定兴趣区域(ROI),限定海缆路由点的大致控制位置,兴趣区域是以测线上以电磁信号序列最大值点(xext,yext,zext)为中心的长方体,zext为高度计探测到的该点的高度值,其宽度为W,长度为L,高度为H,兴趣区域的8个顶点如下:(1) Select a region of interest (ROI) to define the approximate control position of the submarine cable routing point. The region of interest is a cuboid centered on the maximum point (xext , yext , zext ) of the electromagnetic signal sequence on the survey line, zext is the height value of the point detected by the altimeter, its width is W, its length is L, and its height is H. The 8 vertices of the area of interest are as follows:
其中,为当前测线的航向;(X1,u,Y1,u,Z1,u)、(X1,l,Y1,l,Z1,l)、(X2,u,Y2,u,Z2,u)、(X2,l,Y2,l,Z2,l)、(X3,u,Y3,u,Z3,u)、(X3,l,Y3,l,Z3,l)、(X4,u,Y4,u,Z4,u)和(X4,l,Y4,l,Z4,l)分别为长方体的八个顶点坐标。in, is the heading of the current survey line; (X1,u ,Y1,u ,Z1,u ),(X1,l ,Y1,l ,Z1,l ),(X2,u ,Y2, u ,Z2,u ),(X2,l ,Y2,l ,Z2,l ),(X3,u ,Y3,u ,Z3,u ),(X3,l ,Y3 ,l ,Z3,l ), (X4,u ,Y4,u ,Z4,u ) and (X4,l ,Y4,l ,Z4,l ) are the coordinates of the eight vertices of the cuboid respectively .
(2)以粒子群算法为例,确定粒子群的规模(如m个粒子),初始化每个粒子i(i=1…m)的空间位置向量(xi,yi,zi)和飞行速度向量(vxi,vyi,vzi),使得所有粒子均匀分散在兴趣区域内。(2) Take the particle swarm algorithm as an example, determine the size of the particle swarm (such as m particles), initialize the spatial position vector (xi , yi , zi ) of each particle i (i=1...m) and fly Velocity vector (vxi , vyi , vzi ) such that all particles are uniformly dispersed in the region of interest.
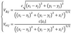
(3)针对每个粒子i,基于电磁探测传感器信号序列评估其适应度F(xi,t),F(xi,t)表示粒子i在第t个优化循环周期内的适应度,适应度计算方法如下:(3) For each particle i, evaluate its fitness F(xi,t ) based on the signal sequence of the electromagnetic detection sensor, where F(xi,t ) represents the fitness of particle i in the t-th optimization cycle. The degree calculation method is as follows:
其中,Vhj和Vvj分别为j号位置水平轴和垂直轴方向上的电磁探测信号,Vhiij和Vvij分别为i号粒子在j号位置水平轴和垂直轴方向上计算得到的虚拟电磁信号,m为群体总数,Vhiij和Vvij的计算方法如下:Among them, Vhj and Vvj are the electromagnetic detection signals in the horizontal and vertical axis directions of the j position, respectively, and Vhiij and Vvij are the virtual electromagnetic signals calculated by the i particle in the horizontal and vertical axis directions of the j position, respectively. signal, m is the total number of groups, Vhiij and Vvij are calculated as follows:
其中,(xj,yj)为航行器在j号探测点的位置坐标,(xi,yi,zi)为群体中i号个体的坐标位置,c为常数。Among them, (xj , yj ) are the position coordinates of the vehicle at the detection point j, (xi , yi , zi ) are the coordinates of the individual number i in the group, and c is a constant.
(4)将第1次循环时将1号粒子作为全局最优粒子,其适应度为全局最优适应度F(g),全局最优粒子所对应的空间位置坐标记为pg;将所有粒子第1次循环所计算的适应度作为每个粒子的个人历史最优适应度F(pi),每个粒子的个人历史最佳适应度所对应的位置记为pi。(4) In the first cycle, the No. 1 particle is regarded as the global optimal particle, its fitness is the global optimal fitness F(g), and the spatial position coordinates corresponding to the global optimal particle are marked as pg ; The fitness calculated by the particle in the first cycle is taken as the personal historical optimal fitness F(pi ) of each particle, and the position corresponding to the personal historical optimal fitness of each particle is recorded aspi .
(5)将所有粒子的适应度函数分别与全局最优适应度F(g)及每个粒子的个人历史最优适应度F(pi)作比较。当粒子i的适应度大于F(g)时,将其更新为全局最优适应度F(g),当粒子i的适应度大于其个人历史最优适应度F(pi)时,将其更新为个人历史最优适应度F(pi)。(5) Compare the fitness functions of all particles with the global optimal fitness F(g ) and the individual historical optimal fitness F(pi) of each particle respectively. When the fitness of particle i is greater than F(g), it is updated to the global optimal fitness F(g). When the fitness of particlei is larger than its personal historical optimal fitness F(pi), it is updated to Update to personal history optimal fitness F(pi ).
(6)当循环比较结束后,分别更新粒子的空间速度向量和空间位置向量,更新算法如下:(6) When the loop comparison is over, update the space velocity vector and space position vector of the particle respectively. The update algorithm is as follows:
其中,vi(t)和xi(t)分别为粒子i当前周期的速度向量和位置向量;xi(t+1)和vi(t+1)分别为粒子i下一循环周期的位置向量和速度向量;vmax为所设定的粒子最大飞行速度;c1和c2分别为个体和群体学习因子;r1和r2分别为更新粒子的随机参数;Among them, vi (t) andxi( t) are the velocity vector and position vector of particle i in the current cycle, respectively;xi (t+1) and vi (t+1) are the next cycle of particlei , respectively. position vector and velocity vector; vmax is the set maximum flying speed of the particle; c1 and c2 are the individual and group learning factors respectively; r1 and r2 are the random parameters for updating the particle;
(7)在每个循环结束后,检测是否达到所允许的最大循环次数,当达到所允许的最大循环次数时,结束粒子群算法,并输出全局最优粒子的坐标pg;检测全局最优粒子所对应的适应度函数是否达到了预先所设定的阈值,当大于阈值时结束粒子群算法,输出全局最优粒子的坐标pg。(7) After the end of each cycle, check whether the maximum number of cycles allowed is reached, when the maximum number of cycles allowed is reached, end the particle swarm algorithm, and output the coordinates pg of the global optimal particle; detect the global optimal Whether the fitness function corresponding to the particle has reached the preset threshold, when it is greater than the threshold, the particle swarm algorithm ends, and the coordinates pg of the global optimal particle are output.
(8)结束海缆路由定位算法,输出并保存全局最优粒子坐标pg,将其作为海缆路由位置定位的最终结果。(zg-dg)即为海缆埋设深度的定位结果,其中zg为全局最优粒子的z坐标,dg为距离全局最优粒子最近的采样点的高度计反馈值。(8) End the submarine cable routing positioning algorithm, output and save the global optimal particle coordinate pg , and use it as the final result of the submarine cable routing position positioning. (zg -dg ) is the positioning result of the buried depth of the submarine cable, where zg is the z-coordinate of the global optimal particle, and dg is the altimeter feedback value of the sampling point closest to the global optimal particle.
以上显示和描述了本发明的基本原理和主要特征和本发明的优点。本行业的技术人员应该了解,本发明不受上述实施例的限制,上述实施例和说明书中描述的只是说明本发明的原理,在不脱离本发明精神和范围的前提下,本发明还会有各种类似的变化和改进,这些变化和改进都落入要求保护的本发明范围内,本发明要求保护范围由所附的权利要求书及其等效物界定。The basic principles and main features of the present invention and the advantages of the present invention have been shown and described above. It should be understood by those skilled in the art that the present invention is not limited by the above-described embodiments, and the descriptions in the above-described embodiments and the description are only to illustrate the principles of the present invention. Without departing from the spirit and scope of the present invention, the present invention will also have Various similar changes and improvements fall within the scope of the claimed invention, which is defined by the appended claims and their equivalents.
| Application Number | Priority Date | Filing Date | Title |
|---|---|---|---|
| CN202011366516.XACN112560207A (en) | 2020-11-30 | 2020-11-30 | Unmanned ship sailing type submarine cable passive electromagnetic detection system and positioning method |
| Application Number | Priority Date | Filing Date | Title |
|---|---|---|---|
| CN202011366516.XACN112560207A (en) | 2020-11-30 | 2020-11-30 | Unmanned ship sailing type submarine cable passive electromagnetic detection system and positioning method |
| Publication Number | Publication Date |
|---|---|
| CN112560207Atrue CN112560207A (en) | 2021-03-26 |
| Application Number | Title | Priority Date | Filing Date |
|---|---|---|---|
| CN202011366516.XAPendingCN112560207A (en) | 2020-11-30 | 2020-11-30 | Unmanned ship sailing type submarine cable passive electromagnetic detection system and positioning method |
| Country | Link |
|---|---|
| CN (1) | CN112560207A (en) |
| Publication number | Priority date | Publication date | Assignee | Title |
|---|---|---|---|---|
| CN113447988A (en)* | 2021-06-12 | 2021-09-28 | 华中科技大学 | Electromagnetic search-positioning-tracking integrated detection method for submarine cable |
| CN113594972A (en)* | 2021-08-24 | 2021-11-02 | 广州南方卫星导航仪器有限公司 | Offshore cable laying cooperative operation method and system based on multi-ship linkage |
| CN114371510A (en)* | 2021-11-30 | 2022-04-19 | 中国电波传播研究所(中国电子科技集团公司第二十二研究所) | A method of using magnetic antenna and inertial navigation to jointly detect the buried depth of submarine optical cable |
| CN114818225A (en)* | 2022-06-07 | 2022-07-29 | 中国电建集团福建省电力勘测设计院有限公司 | A survey line layout method for full coverage scanning survey of submarine cable routing |
| CN116027335A (en)* | 2022-12-31 | 2023-04-28 | 浙江大学 | A square array electromagnetic detection and routing positioning method for submarine cables |
| Publication number | Priority date | Publication date | Assignee | Title |
|---|---|---|---|---|
| US5764061A (en)* | 1995-10-26 | 1998-06-09 | Kokusai Denshin Denwa Kabushiki Kaisha | Maritime apparatus for locating a buried submarine cable |
| CN108564202A (en)* | 2018-03-18 | 2018-09-21 | 哈尔滨工程大学 | A kind of unmanned boat Route optimization method based on environmental forecasting information |
| CN209938902U (en)* | 2019-04-11 | 2020-01-14 | 中国舰船研究设计中心 | Sound/light/magnetism comprehensive detection type unmanned underwater vehicle |
| CN111522067A (en)* | 2020-05-25 | 2020-08-11 | 加泰科(深圳)科技有限公司 | Marine aeromagnetic detection system based on vertical take-off and landing fixed wing unmanned aerial vehicle |
| Publication number | Priority date | Publication date | Assignee | Title |
|---|---|---|---|---|
| US5764061A (en)* | 1995-10-26 | 1998-06-09 | Kokusai Denshin Denwa Kabushiki Kaisha | Maritime apparatus for locating a buried submarine cable |
| CN108564202A (en)* | 2018-03-18 | 2018-09-21 | 哈尔滨工程大学 | A kind of unmanned boat Route optimization method based on environmental forecasting information |
| CN209938902U (en)* | 2019-04-11 | 2020-01-14 | 中国舰船研究设计中心 | Sound/light/magnetism comprehensive detection type unmanned underwater vehicle |
| CN111522067A (en)* | 2020-05-25 | 2020-08-11 | 加泰科(深圳)科技有限公司 | Marine aeromagnetic detection system based on vertical take-off and landing fixed wing unmanned aerial vehicle |
| Title |
|---|
| 苏义鑫;石兵华;张华军;: "水面无人艇航迹规划算法设计与仿真", 武汉理工大学学报, no. 06, 30 June 2016 (2016-06-30)* |
| Publication number | Priority date | Publication date | Assignee | Title |
|---|---|---|---|---|
| CN113447988A (en)* | 2021-06-12 | 2021-09-28 | 华中科技大学 | Electromagnetic search-positioning-tracking integrated detection method for submarine cable |
| CN113447988B (en)* | 2021-06-12 | 2022-07-29 | 华中科技大学 | Electromagnetic search-positioning-tracking integrated detection method for submarine cable |
| US11977201B2 (en) | 2021-06-12 | 2024-05-07 | Huazhong University Of Science And Technology | Integrated detection method of electromagnetic searching, locating and tracking for subsea cables |
| CN113594972A (en)* | 2021-08-24 | 2021-11-02 | 广州南方卫星导航仪器有限公司 | Offshore cable laying cooperative operation method and system based on multi-ship linkage |
| CN114371510A (en)* | 2021-11-30 | 2022-04-19 | 中国电波传播研究所(中国电子科技集团公司第二十二研究所) | A method of using magnetic antenna and inertial navigation to jointly detect the buried depth of submarine optical cable |
| CN114818225A (en)* | 2022-06-07 | 2022-07-29 | 中国电建集团福建省电力勘测设计院有限公司 | A survey line layout method for full coverage scanning survey of submarine cable routing |
| CN116027335A (en)* | 2022-12-31 | 2023-04-28 | 浙江大学 | A square array electromagnetic detection and routing positioning method for submarine cables |
| CN116027335B (en)* | 2022-12-31 | 2025-10-03 | 浙江大学 | A square array electromagnetic detection and routing positioning method for submarine cables |
| Publication | Publication Date | Title |
|---|---|---|
| CN112560207A (en) | Unmanned ship sailing type submarine cable passive electromagnetic detection system and positioning method | |
| Chutia et al. | A review of underwater robotics, navigation, sensing techniques and applications | |
| CN109856638B (en) | Method for automatically searching and positioning specific underwater target | |
| CN109239709A (en) | A kind of autonomous construction method of local environment map of unmanned boat | |
| CN101576384A (en) | Indoor movable robot real-time navigation method based on visual information correction | |
| US10520631B2 (en) | Magnetic field measurement via streamer cables | |
| CN109901205A (en) | A method of multi-sensor fusion and motion trajectory prediction for underwater robot | |
| US11977201B2 (en) | Integrated detection method of electromagnetic searching, locating and tracking for subsea cables | |
| CN116295511B (en) | Robust initial alignment method and system for pipeline submerged robot | |
| CN116295426A (en) | UAV autonomous exploration method and device based on 3D reconstruction quality feedback | |
| CN110672075A (en) | A remote water detection system and method based on three-dimensional stereo imaging | |
| TWI838007B (en) | A watercrafts environment risk real-time control and navigation system and its operation method | |
| CN116954225A (en) | System and method for avoiding obstacle of submarine in urban pipeline environment based on multi-beam sonar | |
| CN111947655A (en) | Precise determination method and underwater positioning system of underwater monitoring robot based on autonomous snorkeling | |
| Xu et al. | A low-cost visual inertial odometry system for underwater vehicles | |
| Ma et al. | AUV bathymetric simultaneous localisation and mapping using graph method | |
| CN110412583B (en) | Underwater unidentified moving target detection system based on multi-ROV cooperation | |
| CN117889852B (en) | Underwater robot positioning method based on RSM | |
| CN113219492A (en) | Method and system for positioning and navigating river course ship driving | |
| Liu et al. | Search and rescue system for maritime distressed persons based on uav | |
| Kondo et al. | Detailed object observation by autonomous underwater vehicle with localization involving uncertainty of magnetic bearings | |
| Pfingsthorn et al. | Full 3D navigation correction using low frequency visual tracking with a stereo camera | |
| y Alvarado et al. | A coastal distributed autonomous sensor network | |
| KR20230086369A (en) | Apparatus and method for controlling USV(Unmanned Surface Vehicle) for structural monitoring of offshore power plants | |
| CN114236568A (en) | High-precision land planning and mapping method |
| Date | Code | Title | Description |
|---|---|---|---|
| PB01 | Publication | ||
| PB01 | Publication | ||
| SE01 | Entry into force of request for substantive examination | ||
| SE01 | Entry into force of request for substantive examination |