Movatterモバイル変換


[0]ホーム

URL:


CN112542957A - Average value equivalence-based IGCT-MMC loss analysis method - Google Patents

Average value equivalence-based IGCT-MMC loss analysis method
Download PDF

Info

Publication number
CN112542957A
CN112542957ACN202011252010.6ACN202011252010ACN112542957ACN 112542957 ACN112542957 ACN 112542957ACN 202011252010 ACN202011252010 ACN 202011252010ACN 112542957 ACN112542957 ACN 112542957A
Authority
CN
China
Prior art keywords
igct
loss
mmc
current
average value
Prior art date
Legal status (The legal status is an assumption and is not a legal conclusion. Google has not performed a legal analysis and makes no representation as to the accuracy of the status listed.)
Granted
Application number
CN202011252010.6A
Other languages
Chinese (zh)
Other versions
CN112542957B (en
Inventor
曾嵘
孙长平
赵彪
郭明珠
白睿航
唐博进
余占清
周兴达
宋强
翟冬玲
屈鲁
Current Assignee (The listed assignees may be inaccurate. Google has not performed a legal analysis and makes no representation or warranty as to the accuracy of the list.)
Tsinghua University
China Three Gorges Corp
Original Assignee
Tsinghua University
China Three Gorges Corp
Priority date (The priority date is an assumption and is not a legal conclusion. Google has not performed a legal analysis and makes no representation as to the accuracy of the date listed.)
Filing date
Publication date
Application filed by Tsinghua University, China Three Gorges CorpfiledCriticalTsinghua University
Priority to CN202011252010.6ApriorityCriticalpatent/CN112542957B/en
Publication of CN112542957ApublicationCriticalpatent/CN112542957A/en
Application grantedgrantedCritical
Publication of CN112542957BpublicationCriticalpatent/CN112542957B/en
Activelegal-statusCriticalCurrent
Anticipated expirationlegal-statusCritical

Links

Images

Classifications

Landscapes

Abstract

Translated fromChinese

本发明提出一种基于平均值等效的IGCT‑MMC损耗分析方法,包括以下步骤:步骤a、确定基于集成门极换流晶闸管(IGCT)器件的模块化多电平变换器(MMC)子模块拓扑结构;步骤b、建立平均值等效模型;步骤c、基于平均值等效模型对IGCT‑MMC运行过程中子模块IGCT器件损耗、缓冲电路损耗、取能电源损耗进行评估;步骤d、基于步骤c中对子模块的评估得到IGCT‑MMC整机损耗分析结果。本发明对基于平均值等效模型,对IGCT‑MMC运行过程中子模块IGCT器件、缓冲电路、取能电源等损耗进行了评估,并与同等级IGBT‑MMC方案损耗进行了比较。

Figure 202011252010

The present invention proposes an IGCT-MMC loss analysis method based on the average value equivalent, comprising the following steps: step a, determining a modular multilevel converter (MMC) sub-module based on an integrated gate commutated thyristor (IGCT) device topology structure; step b, establishing an average value equivalent model; step c, evaluating the sub-module IGCT device loss, snubber circuit loss, and energy power loss during the operation of the IGCT-MMC based on the average value equivalent model; step d, based on The evaluation of the sub-module in step c obtains the loss analysis result of the IGCT‑MMC whole machine. The invention evaluates the losses of sub-module IGCT devices, buffer circuits, energy-receiving power supplies, etc. in the operation process of IGCT-MMC based on the average value equivalent model, and compares the losses with the same-level IGBT-MMC scheme.

Figure 202011252010

Description

Average value equivalence-based IGCT-MMC loss analysis method
Technical Field
The invention belongs to the technical field of loss evaluation of modular multilevel converters, and particularly relates to an average value equivalence-based IGCT-MMC loss analysis method.
Background
Renewable energy utilization is a great trend for the development of the future energy field. It is predicted that by 2050, renewable energy in china will account for more than 50% of energy consumption. A High Voltage Direct Current Source converter (HVDC-VSC) is widely used for renewable energy grid connection due to its advantages of flexible regulation, low harmonic, High efficiency, and the like. A Modular Multilevel Converter (MMC) is one of the commonly used topologies of HVDC-VSC technology. At present, Insulated Gate Bipolar Transistor (IGBT) is widely used in MMC due to its advantages of high voltage resistance, high current, high switching frequency, low switching loss, and acceptable on-state loss.
An Integrated Gate-Commutated Thyristor (IGCT) is a high-power fully-controlled power electronic device developed from a Gate Turn-off Thyristor (GTO), and was first developed successfully in 1996 by ABB. Compared with an IGBT, the IGCT device has the advantages of stronger through-current capacity, higher blocking voltage, lower on-state voltage drop and the like of a current control device, and has further development potential. MMC adopts the modularized design, relies on high module quantity rather than high modulation frequency to realize low harmonic voltage output, and this has evaded the not enough of IGCT switching frequency low. Therefore, IGCT is more suitable for MMC applications. In addition, the IGCT provides a new possible solution for fault ride-through of the half-bridge MMC due to its high surge current endurance capability.
Meanwhile, the application of the IGCT in the field of flexible direct current transmission is expected in the prior art. The topology, the circuit characteristics and the like of an IGCT-MMC half-bridge submodule are analyzed, simulation is built for loss analysis, and an opposite impact platform is built for experiments. And the loss of the IGCT-MMC is also analyzed in a simulation building mode. In fact, because the number of modules in the high-voltage large-capacity MMC is usually hundreds, the number of the submodules is huge, the switching process of each submodule is simulated through simulation calculation, and then the method for calculating the loss of the device through the actual current waveform of the device needs a large amount of calculation, particularly when the circuit parameters need to be frequently optimized and the loss of the submodules needs to be estimated, the required calculation time is long, and the loss is complicated through simulation analysis. A method for calculating currents of all devices of a submodule and analyzing loss in an average value equivalent mode is provided, loss and junction temperature of an MMC device based on the IGBT are analyzed, and verification is carried out through experiments.
Disclosure of Invention
Aiming at the problems, the invention provides an average value equivalence-based IGCT-MMC loss analysis method, which comprises the following steps:
step a, determining a sub-module topological structure of a Modular Multilevel Converter (MMC) based on an Integrated Gate Commutated Thyristor (IGCT) device;
b, establishing an average value equivalent model;
step c, evaluating the loss of a sub-module IGCT device, the loss of a buffer circuit and the loss of an energy taking power supply in the running process of the IGCT-MMC based on the average value equivalent model;
and d, obtaining the complete machine loss analysis result of the IGCT-MMC based on the evaluation of the sub-module in the step c.
Further, the step c of estimating the loss of the IGCT device based on the average equivalent model comprises the following steps:
step c11, analyzing the on-state loss of the IGCT device;
and c12, analyzing the switching loss of the IGCT device, wherein the switching loss comprises IGCT turn-on loss, IGCT turn-off loss and diode reverse recovery loss.
Further, average power P of IGCT device on-state lossXExpressed as:
Figure BDA0002771890040000031
wherein v isX0Representing the threshold voltage, I, of the IGCT deviceXmeanRepresents the average current, r, of the IGCT deviceXRepresenting the slope resistance, I, of the IGCT deviceXrmsRepresenting the root mean square current of the IGCT device.
Further, the IGCT device has a switching loss PTbExpressed as:
Figure BDA0002771890040000032
wherein, VSMRepresenting the rated voltage, I, of the sub-moduleTmeanRepresenting the average value of the current through the IGCT device, EbNIndicating nominal IGCT single pulse on/off behavior loss energy, V, of the data sheetbNVoltage, I, corresponding to the energy loss of the nominal IGCT single-pulse on/off behavior of the data sheetbNCurrent, f, corresponding to the energy loss of the nominal IGCT single-pulse on/off behavior of the data sheetSMAnd representing the switching frequency of the MMC sub-module.
Further, the evaluation of the loss of the sub-module buffer circuit based on the average equivalent model in step c comprises the following steps:
step c21, direct resistance loss P to anode reactanceLCarrying out analysis;
PL=ILrms2RLwherein R isLDenotes the anode reactance DC resistance, ILrmsRepresents the anode reactanceSquare root current;
step c22, action loss P for the clamping circuitclCarrying out analysis;
Figure BDA0002771890040000033
wherein L isaDenotes the value of the anode reactance inductance, ISMrmsRepresenting the effective value of the current flowing through the submodule, and f representing the switching frequency.
Further, the evaluation of the sub-module power-taking power loss based on the average equivalent model in the step c comprises the following steps:
step c31, analyzing the gate drive power consumption of the IGCT device;
step c32, driving the gate of the IGCT device with constant currentGCalculating;
step c33, calculating the gate driving power of the IGCT device under the MMC working condition;
and c34, adding the driving power of the two IGCT gate poles in the IGCT-MMC sub-module, and considering the power of the control board card and the efficiency of the energy taking power supply to obtain the loss of the energy taking power supply.
Further, the IGCT device gate drive power consumption in step c31 includes: in static power consumption and an opening behavior, in power consumption of injecting pulse current to a gate pole, in power consumption of injecting steady-state current to the gate pole and in a closing behavior, power consumption generated by capacitor extraction of the gate pole current, loss generated by opening a capacitor charging circuit, closing the capacitor charging circuit and inputting a voltage stabilizing circuit.
Further, the gate driving power P of the IGCT device in step c32GExpressed as:
PG=k1+k2f+k3Ioff+k4fIoffwherein f represents the switching frequency, IoffDenotes the off current, k1、k2、k3、k4A predetermined value.
Further, when the gate driving power of the IGCT device is calculated in the MMC working condition in step c33, in the formula of step c32, the switching frequency is replaced by the switching frequency of the sub-module, and the off-current is replaced by the average current of the IGCT corresponding device pair.
The method is based on an average value equivalent model, evaluates the losses of a sub-module IGCT device, a buffer circuit, an energy-taking power supply and the like in the IGCT-MMC operation process, and compares the losses with the losses of a same-level IGBT-MMC scheme. Due to the advantage of low-pass loss of the IGCT, although additional loss is caused by adding an auxiliary circuit due to the requirement of device characteristics, the total loss of the IGCT-MMC sub-module is still 16% lower than that of the IGBT-MMC scheme. Meanwhile, the average equivalent current calculation method adopted by the invention has the advantages of small operand, high accuracy and the like, and provides a more simple, convenient and accurate mode for IGCT-MMC submodule design and complete machine loss evaluation. Due to the lower loss of the IGCT and the potential of further development of the through-current and voltage resistance of the IGCT, the IGCT has a larger development prospect in the field of high-voltage large-capacity MMC.
Additional features and advantages of the invention will be set forth in the description which follows, and in part will be obvious from the description, or may be learned by practice of the invention. The objectives and other advantages of the invention will be realized and attained by the structure particularly pointed out in the written description and claims hereof as well as the appended drawings.
Drawings
In order to more clearly illustrate the embodiments of the present invention or the technical solutions in the prior art, the drawings used in the description of the embodiments or the prior art will be briefly described below, and it is obvious that the drawings in the following description are some embodiments of the present invention, and those skilled in the art can also obtain other drawings according to the drawings without creative efforts.
FIG. 1 is a schematic flow chart of an IGCT-MMC loss analysis method based on mean value equivalence in an embodiment of the present invention;
FIG. 2 is a schematic diagram illustrating the topological structure of IGCT-based MMC sub-modules in the embodiment of the present invention;
FIG. 3 is a schematic diagram illustrating the gate drive principle of the IGCT in an embodiment of the present invention;
FIG. 4 is a schematic diagram illustrating an IGCT gate drive power-off current linear configuration in accordance with an embodiment of the present invention;
FIG. 5 is a schematic diagram showing the linear structure of IGCT gate drive power-switching frequency in an embodiment of the present invention.
Detailed Description
In order to make the objects, technical solutions and advantages of the embodiments of the present invention clearer, the technical solutions in the embodiments of the present invention will be clearly and completely described below with reference to the drawings in the embodiments of the present invention, and it is obvious that the described embodiments are some, but not all, embodiments of the present invention. All other embodiments, which can be derived by a person skilled in the art from the embodiments given herein without making any creative effort, shall fall within the protection scope of the present invention.
The Integrated Gate Commutated Thyristor (IGCT) has the advantages of low on-state loss, strong current capacity and the like, still has the potential of further development, and is suitable for the application occasions of Modular Multilevel Converters (MMC). The invention describes a loss evaluation principle and a calculation method of an MMC based on an IGCT device by using an average value equivalent method. In particular, detailed analysis is given for partial losses of an IGCT device, a buffer circuit, an energy-taking power supply and the like. On the basis, compared with the loss of the equivalent IGBT-MMC scheme, the efficiency advantage of the IGCT-MMC scheme is verified.
Aiming at the current research situation, the invention analyzes the calculation principle of loss of each part of an IGCT-MMC main circuit power device, a buffer circuit, an energy-taking power supply and the like based on an average value equivalent method and provides a calculation method. And (3) combining specific engineering parameters, giving an example through MATLAB programming, and comparing the example with the loss of the IGBT-MMC.
Fig. 1 shows a schematic flow chart of an IGCT-MMC loss analysis method based on mean value equivalence in an embodiment of the present invention, and in fig. 1, the method includes the following steps:
step a, determining a sub-module topological structure of a Modular Multilevel Converter (MMC) based on an Integrated Gate Commutated Thyristor (IGCT) device;
b, establishing an average value equivalent model;
step c, evaluating the loss of a sub-module IGCT device, the loss of a buffer circuit and the loss of an energy taking power supply in the running process of the IGCT-MMC based on the average value equivalent model;
and d, obtaining the complete machine loss analysis result of the IGCT-MMC based on the evaluation of the sub-module in the step c.
Specifically, an IGCT-based MMC sub-module is determined, the IGCT and the IGBT are both full-control power semiconductor devices, and the IGCT-MMC sub-module and the IGBT-MMC sub-module are the same in main circuit topology. The IGBT is a voltage-controlled device, and the turn-on rate can be controlled by controlling the rising gradient of a grid trigger signal. In contrast, the IGCT turns on similarly to a thyristor, which is a positive feedback process, and the turn-on rate of the IGCT cannot be controlled by the gate driving circuit, so that a large di/dt is generated in the power semiconductor device when the IGCT is turned on.
Although modern fast recovery diodes and new IGCT devices have good di/dt tolerance, excessive di/dt can still cause damage, thus requiring an anode reactance in the commutation loop to limit the rate of current change. The anode reactance causes oscillations during switching transients which may cause overvoltage breakdown of the device, and a clamp circuit is provided to protect the device. The anode reactance and the clamp circuit are collectively called a buffer circuit.
FIG. 2 shows a schematic diagram of the topological structure of IGCT-based MMC sub-modules in the embodiment of the present invention. C, C in FIG. 2sRepresents the capacitance, LsRepresents a reactor, RsRepresents resistance, D1、D2、DsIndicating diode, T1、T2An IGCT device is shown.
In addition, current needs to be continuously injected into a gate pole in an on state of the IGCT, and thousands of amperes of current needs to be drawn out of the gate pole when the IGCT is turned off, so that the driving power of the gate pole can reach dozens of watts or even hundreds of watts, which is larger than that of the IGBT.
Specifically, an average value equivalent model is established, and when the current direction and the switching state of the sub-modules are different, bridge arm currents can flow through different power semiconductor devices, so that device losses are different. To calculate the loss data, the current flowing through each device must be analyzed. The direction of the bridge arm current determines the power device pair through which the current flows, and the switching state further determines the through-current device. The details are shown in Table 1. And selecting the current inflow submodule as the reference direction of the bridge arm current.
TABLE 1 Power device with Current flowing in different states
Figure BDA0002771890040000071
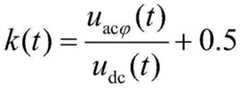
Taking the following bridge arm as an example (the upper bridge arm is similar), defining the instantaneous modulation ratio k as the ratio of the current number of the input modules of the bridge arm calculated according to the reference voltage to the total number of the modules of the bridge arm,
Figure BDA0002771890040000072
wherein u isdcRepresents the value of the direct-current side bus voltage of the MMC,
Figure BDA0002771890040000073
and represents the instantaneous value of the phase voltage on the MMC alternating side.
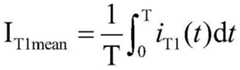
The mean equivalent model is considered as: in one leg, all submodules are thrown or thrown out equally at each time. On the premise, at any moment, the current of a certain submodule does not flow through one device according to the rule of table 1, but flows through a power device pair determined by the current direction after being weighted according to the switching probability. If the bridge arm current is iarmDefining sgn (x) as a sign function when x>0 is 1, otherwise 0, abs (x) is a function of absolute value, and the average equivalent meaning of the current through device pair D1/T2, the current through device D1, the average current through device D1, and the rms current can be calculated as follows.
iT1-D2=abs{sgn[-iarm(t)]×iarm}
iT1(t)=k(t)iT1-D2(t)
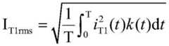
Figure BDA0002771890040000081
Figure BDA0002771890040000082
Wherein iarmIndicated as bridge arm current and T as a fundamental period, the current flowing through other power devices can also be obtained by using the method. Similarly, the rms value of the current flowing through the anode reactance can also be obtained:
Figure BDA0002771890040000083
the average equivalent model also ignores sub-module capacitance voltage fluctuations. Because the fluctuation of the sub-module capacitor voltage is usually required to be not more than 10% in engineering, and the sub-module capacitor voltage does not have fixed bias but fluctuates around a rated voltage along with the charge and discharge of a capacitor, the simplification can not bring overlarge errors to analysis.
Because the number of modules in the high-voltage large-capacity MMC is usually hundreds, the switching process of each sub-module is simulated by simulation calculation, and then the method for calculating the loss of the MMC through the actual current waveform of a device needs a large amount of calculation, and particularly when circuit parameters need to be frequently optimized and the loss of the sub-module needs to be estimated, the required calculation time is long. The average equivalent model can obtain the loss power of each device only by calculating the single submodule, and is suitable for evaluating the loss in the design and optimization stage of the current converter. In addition, the average value equivalent model can provide the current waveform flowing through the device in the average value sense, so that the reason of the loss difference of the device can be visually seen.
Specifically, the IGCT device loss analysis in step c includes two steps: and analyzing the on-state loss of the IGCT device and analyzing the switching loss of the IGCT device.
Specifically, during on-state loss analysis, similar to the on-state loss analysis of the IGBT device, a voltage drop exists on the turned-on IGCT device, and the voltage drop and the IGCT through-current have a nonlinear relationship, and can be performed in a linear-in-relation mannerFitting, i.e. the device conduction voltage drop vX1Divided into threshold voltages vX0And a slope resistance rXMultiplied by the through-current iXTwo parts, X represents any IGCT device: v. ofX1=vX0+rXiX
And then obtaining a calculation formula of the on-state loss power of the device:
Figure BDA0002771890040000091
the first part can be equivalently charged by current to a constant voltage source, and the second part can be regarded as a resistor with fixed resistance value when the current flows through the resistor. Therefore, the average current of the device can be used to replace the primary current term of the above formula, and the root mean square current can be used to replace the secondary current term, so as to obtain the average power of the IGCT on-state loss:
Figure BDA0002771890040000092
wherein v isX0Expressed as the threshold voltage, I, of the IGCT deviceXmeanRepresents the average current, r, of the IGCT deviceXRepresenting the slope resistance, I, of the IGCT deviceXrmsRepresenting the root mean square current of the IGCT device.
Specifically, during switching loss analysis, the transient process of the IGCT switch is not ideal, and there is a time zone where the voltage and the current coincide, which may cause switching loss. Switching losses include IGCT turn-on losses, IGCT turn-off losses, and diode reverse recovery losses. Generally, switching loss data under specific voltage and current are given in a device data manual, and need to be converted into actual working conditions during analysis:
Figure BDA0002771890040000093
wherein b represents the actions of IGCT switching on, switching off, diode reverse recovery and the like, vbTo turn on the pre/post-turn off device voltage, ibThe magnitude of the current turned on/off when switching action takes place, EbNIndicating data sheet nominal single pulse on/off behavior loss energy, VbNIndicating the electricity corresponding to the nominal single pulse on/off behavior loss energy of the data sheetPressure, IbNAnd (3) indicating the current corresponding to the loss energy of the nominal single-pulse on/off behavior of the data manual, and accumulating the switching loss of the device in unit time to obtain the switching loss power of the device.
For the MMC sub-module, vb is the rated voltage V of the sub-moduleSM. Under the average equivalent model, taking the negative current direction as an example, cutting off the input sub-module, the process will turn off T1 and the current will be transferred to D2. Because the switching time is random, the magnitude of the T1 turn-off current can be regarded as one-time random sampling of the current flowing through the T1-D2 device, and statistically, the magnitude of the T1 turn-off current is the average current of the T1-D2 device in the current flowing time. Since the device averages the entire fundamental cycle period rather than the device-to-current period when calculating the average current, and within a single fundamental cycle, statistically:
Figure BDA0002771890040000101
wherein f isT1 switchRepresenting the actual switching frequency, f, of the T1 tubeSMThe submodule switching frequency is represented, so in the average value model, the switching frequency of T1 is considered to be the submodule switching frequency rather than the actual switching frequency, so that:
Figure BDA0002771890040000102
VSMrepresenting the rated voltage, I, of the sub-moduleT1meanRepresents the average value of the current flowing through the T1 device, EbNIndicating nominal IGCT single pulse on/off behavior loss energy, V, of the data sheetbNVoltage, I, corresponding to the energy loss of the nominal IGCT single-pulse on/off behavior of the data sheetbNCurrent, f, corresponding to the energy loss of the nominal IGCT single-pulse on/off behavior of the data sheetSMAnd representing the switching frequency of the MMC sub-module.
Specifically, the evaluation of the loss of the sub-module buffer circuit based on the average equivalent model in step c includes the following steps: direct resistance loss P to anode reactanceLCarrying out analysis; for the action loss P of the clamping circuitclAnd (6) carrying out analysis.
Direct resistance loss P to anode reactanceLAnalysis ofIn the time, since the anode reactance has a direct current resistance, when the MMC operates, a current flowing through the anode reactance causes a loss due to a joule effect. The loss calculation formula is:
Figure BDA0002771890040000103
wherein T represents the fundamental period, RLRepresenting the anode reactance DC resistance, iLRepresenting the anode reactive current. In the average value model, the anode reactance current root mean square value can be substituted for calculation: pL=ILrms2RL,ILrmsRepresenting the anode reactance rms current.
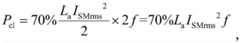
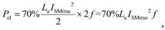
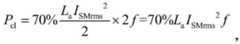
For the action loss P of the clamping circuitclDuring analysis, the clamping circuit only acts in the transient process of switching of the sub-module, and both the joule effect of the clamping resistor and the reverse recovery of the clamping diode can cause energy loss. In a single action of the clamp, 70% of the anode reactive energy is dissipated in the clamp. The clamp circuit loses energy in a single action:
Figure BDA0002771890040000104
wherein L isaDenotes the value of the anode reactance inductance, ILRepresenting the pre-cut/post-plunge anodic reactance current.
Each switching transient causes the clamp circuit to act. Therefore, the action frequency of the clamping circuit is 2 times of the switching frequency of the submodule. In the average equivalent model, the current variation of the anode reactance in a single action of the clamp circuit is a random sampling of the current of the sub-module, and the current in a single loss is a quadratic term, so the loss of the clamp circuit can be calculated by the following formula:
Figure BDA0002771890040000111
wherein L isaDenotes the value of the anode reactance inductance, ISMrmsAnd f represents the effective value of the sub-module current (namely the effective value of the bridge arm current), and f represents the switching frequency.
And c, evaluating the loss of the sub-module energy taking power supply based on the average value equivalent model, wherein the power consumed by the energy taking power supply depends on the output power of the energy taking power supply. In the IGCT-MMC submodule, the output power of the driving power supply is mostly used for IGCT gate driving. Therefore, there is a need for an accurate estimation of gate drive power for IGCT in MMC operating conditions, comprising the steps of:
step c31, analyzing the gate drive power consumption of the IGCT device;
step c32, driving the gate of the IGCT device with constant currentGCalculating;
step c33, calculating the gate driving power of the IGCT device under the MMC working condition;
and c34, adding the driving power of the two IGCT gate poles in the IGCT-MMC sub-module, and considering the power of the control board card and the efficiency of the energy taking power supply to obtain the loss of the energy taking power supply.
Specifically, the gate drive principle and power consumption analysis of the IGCT gate drive mainly include a turn-on module, a turn-off module, and auxiliary circuits such as control protection and power supply. To ensure reliable and rapid turn-on of the IGCT, a pulse current needs to be injected into the gate during turn-on. In the on state, in order to avoid natural turn-off when the current crosses zero, a stable holding current needs to be injected. In the turn-off process, the turn-off module applies back pressure between the cathodes of the gate, so that the working current of the cathodes is pumped to the gate pole to complete turn-off. FIG. 3 is a schematic diagram showing the gate driving principle of the IGCT according to the embodiment of the present invention, in FIG. 3, A represents an IGCT anode, K represents an IGCT cathode, G represents an IGCT gate, and Q represents1、Q2MOS transistor, Q, showing controlled turn-on behaviorGMOS transistor for controlling turn-off, S current source of turn-on module in IGCT drive, V voltage source of turn-off module in IGCT drive, and COFFRepresenting the IGCT off capacitance.
According to principle analysis, the gate drive power consumption of the IGCT mainly comprises the following five parts:
1) static power consumption, namely power consumption of circuits such as control, detection, protection and the like, is relatively fixed;
2) in the opening action, the power consumption of injecting pulse current to the gate pole is positively correlated with the switching frequency;
3) in the on state, the power consumption of injecting steady-state current to the gate pole is positively correlated with the duty ratio;
4) in the turn-off action, the power consumption generated by the gate current drawn by the capacitor is positively correlated with the switching frequency and the turn-off current.
5) Losses generated by turning on the capacitor charging circuit, turning off the capacitor charging circuit, inputting the voltage stabilizing circuit and the like are related to the above four items.
Therefore, when the duty factor is ignored, the gate driving power of the IGCT device has a linear relationship with the turn-off current and the switching frequency.
Specifically, the gate drive power PG of the IGCT device during constant through-current is calculated, and the sub-module is an IGCT-Plus device which is produced by Zhongzhui semiconductor Limited and has the power-loss blocking capability and the high surge tolerance capability. Given different switching frequencies in the device data manual, fig. 4 shows a schematic diagram of a linear structure of the gate drive power-off current of the IGCT in an embodiment of the present invention. In fig. 4, the gate drive power of the IGCT device is approximately linear with the off current for a given frequency.
From the data of fig. 4, it is also possible to make the relationship between the gate drive power PG and the switching frequency f at a given off current, as shown in fig. 5, and in fig. 5, the relationship between the gate drive power PG and the switching frequency at a fixed off current is also linear, which is consistent with theoretical analysis.
IGCT gate drive power P under constant currentGAnd turn-off current IoffThe curved surface formed by the switching frequency f in the space rectangular coordinate system is a ruled surface, and the analytic formula is as follows: pG=k1+k2f+k3Ioff+k4fIoffWherein f represents the switching frequency, IoffDenotes the off current, k1、k2、k3、k4A predetermined value.
In order to improve the fitting precision, four data points with long phase distance are taken and are substituted into a formula, and a linear equation set is solved, so that the values of four constants can be obtained. The final fit-derived gate drive power calculation formula is: pG=7.51+0.0633f-0.005Ioff+0.0867fIoffIn the formula, the frequency unit Hz, the off-current unit kA, and the driving power unit W.
Specifically, when the gate driving power of the IGCT device is calculated in the MMC working condition in step c33, in the formula of step c32, the switching frequency is replaced by the switching frequency of the sub-module, and the off-current is replaced by the average current of the device pair corresponding to the IGCT, so as to calculate the gate driving power of the device. The power consumption of the energy taking power supply can be obtained by adding the driving powers of the two IGCT gate poles and considering the power of the control board card and the efficiency of the energy taking power supply.
The embodiment of the invention also provides an IGCT-MMC loss analysis example, which firstly describes the loss analysis basis and carries out analysis based on the data shown in the table 2:
TABLE 2 certain DC Back-to-Back project parameters
Figure BDA0002771890040000131
The selected IGCT device is CAC5000-45Plus, the anti-parallel diode is D2700U, and relevant parameters are shown in tables 3 and 4 respectively.
TABLE 3 characteristic parameters of IGCT
Figure BDA0002771890040000132
TABLE 4 characteristic parameters of the diodes
Figure BDA0002771890040000133
Figure BDA0002771890040000141
In order to fully protect the power semiconductor device, 0.8uH inductance value of anode reactance is selected to reduce di/dt of IGCT turn-on process to be below 3kA/us, and the reactance direct current resistance is 60 momega. In the calculation, the power of the control board card is 10W, and the conversion efficiency of the energy-taking power supply is 60%.
And obtaining a loss analysis result, calculating the loss of the IGCT-MMC submodule by using MATLAB programming by adopting an average value equivalent method, and obtaining a calculation result shown in a table 5. The table also attaches the loss data of the IGBT-MMC sub-module under the same working condition calculated by the same method as reference. The IGBT device is 4500V 3000A level crimping type device 5SNA 3000K452300 produced by ABB company, and the device is provided with an anti-parallel diode. The driving power of the single IGBT is calculated by 5W.
TABLE 5 Total loss calculation and comparison
Figure BDA0002771890040000142
According to the calculation result, although the IGCT-MMC scheme has losses such as anode reactance and a clamping circuit and the power consumption of the power-taking power supply is higher, the module pair loss of the IGCT-MMC scheme is reduced by 16% compared with that of the IGBT scheme due to the advantage of low loss of the device, and the IGCT scheme has obvious efficiency advantage.
In order to verify the reliability of the loss analysis method based on the average value equivalence, table 6 takes the rectification working condition as an example, compares the average value equivalence calculation with the device loss result obtained by the simulation calculation, and calculates the relative error based on the simulation calculation result. From the result, the errors are within 3%, and the average equivalent model has good accuracy.
TABLE 6 comparison of loss calculations for different algorithms
Figure BDA0002771890040000151
The invention evaluates the losses of a sub-module IGCT device, a buffer circuit, an energy-taking power supply and the like in the running process of the IGCT-MMC based on an average value equivalent model, and compares the losses with the loss of a same-level IGBT-MMC scheme. Due to the advantage of low-pass loss of the IGCT, although additional loss is caused by adding an auxiliary circuit due to the requirement of device characteristics, the total loss of the IGCT-MMC sub-module is still 16% lower than that of the IGBT-MMC scheme. Meanwhile, the average equivalent current calculation method adopted by the invention has the advantages of small operand, high accuracy and the like, and provides a more simple, convenient and accurate mode for IGCT-MMC submodule design and complete machine loss evaluation. Due to the lower loss of the IGCT and the potential of further development of the through-current and voltage resistance of the IGCT, the IGCT has a larger development prospect in the field of high-voltage large-capacity MMC.
Although the present invention has been described in detail with reference to the foregoing embodiments, it will be understood by those of ordinary skill in the art that: the technical solutions described in the foregoing embodiments may still be modified, or some technical features may be equivalently replaced; and such modifications or substitutions do not depart from the spirit and scope of the corresponding technical solutions of the embodiments of the present invention.

Claims (9)

Translated fromChinese
1.一种基于平均值等效的IGCT-MMC损耗分析方法,其特征在于,所述方法包括以下步骤:1. an equivalent IGCT-MMC loss analysis method based on mean value, is characterized in that, described method comprises the following steps:步骤a、确定基于集成门极换流晶闸管(IGCT)器件的模块化多电平变换器(MMC)子模块;Step a, determining a modular multilevel converter (MMC) sub-module based on an integrated gate commutated thyristor (IGCT) device;步骤b、建立平均值等效模型;Step b, establishing an average value equivalent model;步骤c、基于所述平均值等效模型对IGCT-MMC运行过程中子模块IGCT器件损耗、缓冲电路损耗、取能电源损耗进行评估;Step c: Evaluate the sub-module IGCT device loss, buffer circuit loss, and energy-fetching power loss during the operation of the IGCT-MMC based on the average value equivalent model;步骤d、基于步骤c中对所述子模块的评估得到所述IGCT-MMC整机损耗分析结果。In step d, the loss analysis result of the IGCT-MMC whole machine is obtained based on the evaluation of the sub-module in step c.2.根据权利要求1所述的基于平均值等效的IGCT-MMC损耗分析方法,其特征在于,步骤c中基于所述平均值等效模型对所述IGCT器件损耗评估包括以下步骤:2. The IGCT-MMC loss analysis method based on the average value equivalent according to claim 1, wherein in step c, the loss evaluation of the IGCT device based on the average value equivalent model comprises the following steps:步骤c11、对所述IGCT器件通态损耗进行分析;Step c11, analyzing the on-state loss of the IGCT device;步骤c12、对所述IGCT器件开关损耗进行分析,所述开关损耗包括IGCT开通损耗、IGCT关断损耗和二极管反向恢复损耗。Step c12, analyze the switching loss of the IGCT device, where the switching loss includes the IGCT turn-on loss, the IGCT turn-off loss and the diode reverse recovery loss.3.根据权利要求2所述的基于平均值等效的IGCT-MMC损耗分析方法,其特征在于,所述IGCT器件通态损耗平均功率PX表示为:
Figure FDA0002771890030000011
其中,vX0表示所述IGCT器件的门槛电压,IXmean表示所述IGCT器件的平均电流,rX表示所述IGCT器件的斜率电阻,IXrms表示所述IGCT器件的均方根电流。3. the IGCT-MMC loss analysis method based on average value equivalent according to claim 2, is characterized in that, described IGCT device on-state loss average power PX is expressed as:
Figure FDA0002771890030000011
Wherein, vX0 represents the threshold voltage of the IGCT device, IXmean represents the average current of the IGCT device, rX represents the slope resistance of the IGCT device, and IXrms represents the root mean square current of the IGCT device.4.根据权利要求2所述的基于平均值等效的IGCT-MMC损耗分析方法,其特征在于,所述IGCT器件开关损耗PTb表示为:4. IGCT-MMC loss analysis method based on average value equivalent according to claim 2, is characterized in that, described IGCT device switching loss PTb is expressed as:
Figure FDA0002771890030000012
其中,VSM表示所述子模块额定电压,ITmean表示流经IGCT器件的电流平均值,EbN表示数据手册标称IGCT单脉冲开/关行为损耗能量,VbN表示数据手册标称IGCT单脉冲开/关行为损耗能量所对应的电压,IbN表示数据手册标称IGCT单脉冲开/关行为损耗能量所对应的电流,fSM表示MMC子模块投切频率。
Figure FDA0002771890030000012
Where, VSM represents the rated voltage of the sub-module, ITmean represents the average value of the current flowing through the IGCT device, EbN represents the data sheet nominal IGCT single-pulse on/off energy loss, and VbN represents the data sheet nominal IGCT single pulse The voltage corresponding to the energy loss in the pulse on/off behavior, IbN represents the current corresponding to the energy loss in the nominal IGCT single-pulse on/off behavior in the data sheet, andfSM represents the switching frequency of the MMC sub-module.
5.根据权利要求1所述的基于平均值等效的IGCT-MMC损耗分析方法,其特征在于,步骤c中基于所述平均值等效模型对所述子模块缓冲电路损耗评估包括以下步骤:5. The IGCT-MMC loss analysis method based on the average value equivalent according to claim 1, wherein in step c, the evaluation of the loss of the sub-module snubber circuit based on the average value equivalent model comprises the following steps:步骤c21、对阳极电抗直阻损耗PL进行分析;Step c21, analyzing the anode reactance direct resistance lossPL ;PL=ILrms2RL,其中,RL表示阳极电抗直流电阻,ILrms表示阳极电抗均方根电流;PL =ILrms2RL , whereRL represents the DC resistance of the anode reactance, andILrms represents the root mean square current of the anodic reactance;步骤c22、对箝位电路动作损耗Pcl进行分析;Step c22, analyzing the action loss Pcl of the clamp circuit;
Figure FDA0002771890030000021
其中,La表示阳极电抗感值,ISMrms表示流经子模块的电流有效值,f表示开关频率。
Figure FDA0002771890030000021
Among them, La represents the inductive value of anode reactance, ISMrms represents the effective value of the current flowing through the sub-module, and f represents the switching frequency.
6.根据权利要求1所述的基于平均值等效的IGCT-MMC损耗分析方法,其特征在于,步骤c中基于所述平均值等效模型对所述子模块取能电源损耗评估包括以下步骤:6. The IGCT-MMC loss analysis method based on the average value equivalent according to claim 1, wherein in step c, the power loss evaluation of the sub-module energy taking power supply based on the average value equivalent model comprises the following steps :步骤c31、对所述IGCT器件门极驱动功耗进行分析;Step c31, analyze the gate drive power consumption of the IGCT device;步骤c32、对恒定通流时所述IGCT器件门极驱动功率PG进行计算;Step c32, calculating the gate drive powerPG of the IGCT device during constant current flow;步骤c33、对MMC工况中所述IGCT器件门极驱动功率进行计算;Step c33, calculating the gate drive power of the IGCT device described in the MMC working condition;步骤c34、将所述IGCT-MMC子模块中的两IGCT门极驱动功率相加,并考虑控制板卡功率、取能电源效率,得到取能电源损耗。Step c34 , adding the gate driving powers of the two IGCTs in the IGCT-MMC sub-module, and taking into account the power of the control board and the efficiency of the power supply, to obtain the power loss of the power supply.7.根据权利要求6所述的基于平均值等效的IGCT-MMC损耗分析方法,其特征在于,步骤c31中所述IGCT器件门极驱动功耗包括:静态功耗、开通行为中,向门极注入脉冲电流的功耗、导通状态下,向门极注入稳态电流的功耗、关断行为中,电容抽取门极电流产生的功耗、开通电容充电电路、关断电容充电电路、输入稳压电路产生的损耗。7. The IGCT-MMC loss analysis method based on average value equivalent according to claim 6, wherein the IGCT device gate drive power consumption described in step c31 comprises: static power consumption, turn-on behavior, to gate The power consumption of the pulsed current injected into the gate, the power consumption of the steady-state current injected into the gate in the on state, the power consumption of the gate current drawn by the capacitor during the turn-off behavior, the opening of the capacitor charging circuit, the closing of the capacitor charging circuit, Losses due to input voltage regulator circuits.8.根据权利要求6所述的基于平均值等效的IGCT-MMC损耗分析方法,其特征在于,步骤c32中所述IGCT器件门极驱动功率PG表示为:8. IGCT-MMC loss analysis method based on average value equivalent according to claim 6, is characterized in that, described in step c32, IGCT device gate drive powerPG is expressed as:PG=k1+k2f+k3Ioff+k4fIoff,其中,f表示开关频率,Ioff表示关断电流,k1、k2、k3、k4预定值。PG =k1 +k2 f+k3 Ioff +k4 fIoff , where f represents the switching frequency, Ioff represents the off current, and k1 , k2 , k3 , and k4 are predetermined values.9.根据权利要求8所述的基于平均值等效的IGCT-MMC损耗分析方法,其特征在于,步骤c33中对MMC工况中所述IGCT器件门极驱动功率进行计算时,步骤c32公式中,所述开关频率替换为所述子模块投切频率,所述关断电流替换为所述IGCT对应器件对的平均电流。9. The IGCT-MMC loss analysis method based on the mean value equivalent according to claim 8, wherein in step c33, when the gate drive power of the IGCT device described in the MMC working condition is calculated, in the step c32 formula , the switching frequency is replaced by the switching frequency of the sub-module, and the turn-off current is replaced by the average current of the device pair corresponding to the IGCT.
CN202011252010.6A2020-11-112020-11-11Average value equivalence-based IGCT-MMC loss analysis methodActiveCN112542957B (en)

Priority Applications (1)

Application NumberPriority DateFiling DateTitle
CN202011252010.6ACN112542957B (en)2020-11-112020-11-11Average value equivalence-based IGCT-MMC loss analysis method

Applications Claiming Priority (1)

Application NumberPriority DateFiling DateTitle
CN202011252010.6ACN112542957B (en)2020-11-112020-11-11Average value equivalence-based IGCT-MMC loss analysis method

Publications (2)

Publication NumberPublication Date
CN112542957Atrue CN112542957A (en)2021-03-23
CN112542957B CN112542957B (en)2022-04-08

Family

ID=75014032

Family Applications (1)

Application NumberTitlePriority DateFiling Date
CN202011252010.6AActiveCN112542957B (en)2020-11-112020-11-11Average value equivalence-based IGCT-MMC loss analysis method

Country Status (1)

CountryLink
CN (1)CN112542957B (en)

Cited By (2)

* Cited by examiner, † Cited by third party
Publication numberPriority datePublication dateAssigneeTitle
CN114189237A (en)*2022-02-142022-03-15西安石油大学 A kind of IGCT circuit model, hard drive circuit model and modeling method
CN115864515A (en)*2022-12-272023-03-28山东大学MMC valve group loss determination method and system based on average value model

Citations (7)

* Cited by examiner, † Cited by third party
Publication numberPriority datePublication dateAssigneeTitle
CN204119015U (en)*2014-11-142015-01-21厉无咎The gate drive circuit of mesohigh power semiconductor convertor equipment
CN106156379A (en)*2015-03-312016-11-23国家电网公司A kind of coupled thermomechanics IGBT module transient Model method for building up
CN106887942A (en)*2015-12-112017-06-23南车株洲电力机车研究所有限公司Current transformer phase module loss computing method, device and current transformer loss computing method
CN207753633U (en)*2018-01-022018-08-21清华大学A kind of high-voltage large-capacity modularization multi-level converter based on IGCT
CN207753632U (en)*2018-01-022018-08-21清华大学A kind of intersection clamp modularization multi-level converter based on IGCT
EP3491730A1 (en)*2016-07-282019-06-05ABB Schweiz AGHeat balancing in a power converter
CN110829499A (en)*2019-12-102020-02-21中南大学 Method of grid-connected current measurement and DC component suppression of single-phase photovoltaic grid-connected power generation system

Patent Citations (7)

* Cited by examiner, † Cited by third party
Publication numberPriority datePublication dateAssigneeTitle
CN204119015U (en)*2014-11-142015-01-21厉无咎The gate drive circuit of mesohigh power semiconductor convertor equipment
CN106156379A (en)*2015-03-312016-11-23国家电网公司A kind of coupled thermomechanics IGBT module transient Model method for building up
CN106887942A (en)*2015-12-112017-06-23南车株洲电力机车研究所有限公司Current transformer phase module loss computing method, device and current transformer loss computing method
EP3491730A1 (en)*2016-07-282019-06-05ABB Schweiz AGHeat balancing in a power converter
CN207753633U (en)*2018-01-022018-08-21清华大学A kind of high-voltage large-capacity modularization multi-level converter based on IGCT
CN207753632U (en)*2018-01-022018-08-21清华大学A kind of intersection clamp modularization multi-level converter based on IGCT
CN110829499A (en)*2019-12-102020-02-21中南大学 Method of grid-connected current measurement and DC component suppression of single-phase photovoltaic grid-connected power generation system

Non-Patent Citations (2)

* Cited by examiner, † Cited by third party
Title
李强等: "模块化多电平换流器损耗与结温的解析计算方法", 《电力系统自动化》*
赵彪等: "基于IGCT的高压大容量模块化多电平变换器", 《中国电机工程学报》*

Cited By (3)

* Cited by examiner, † Cited by third party
Publication numberPriority datePublication dateAssigneeTitle
CN114189237A (en)*2022-02-142022-03-15西安石油大学 A kind of IGCT circuit model, hard drive circuit model and modeling method
CN115864515A (en)*2022-12-272023-03-28山东大学MMC valve group loss determination method and system based on average value model
CN115864515B (en)*2022-12-272023-07-14山东大学MMC valve bank loss determination method and system based on average value model

Also Published As

Publication numberPublication date
CN112542957B (en)2022-04-08

Similar Documents

PublicationPublication DateTitle
Turpin et al.Fault management of multicell converters
Liu et al.Modeling and design of series voltage compensator for reduction of DC-link capacitance in grid-tie solar inverter
Meynard et al.Multicell converters: Derived topologies
Mao et al.A hysteresis current controller for single-phase three-level voltage source inverters
Tashakor et al.Modular multilevel converter with sensorless diode-clamped balancing through level-adjusted phase-shifted modulation
CN100590958C (en) Control Method of Multiphase Converter with Distributed Energy Storage
Kim et al.A generalized undeland snubber for flying capacitor multilevel inverter and converter
CN102055364A (en)Operation of a three level converter
Hillers et al.Systematic comparison of modular multilevel converter topologies for battery energy storage systems based on split batteries
Ertürk et al.A detailed power loss analysis of modular multilevel converter
AU2012343352A1 (en)Inverter circuit and control method for inverter circuit
CN112542957B (en)Average value equivalence-based IGCT-MMC loss analysis method
Zhou et al.Current oscillation phenomenon of MMC based on IGCT and fast recovery diode with high surge current capability for HVDC application
Haddadi et al.An isolated bidirectional single-stage inverter without electrolytic capacitor for energy storage systems
Briff et al.Turn-off delay compensation of series-connected IGBTs for HVDC applications
Kikuchi et al.Performance improvement of half controlled three phase PWM boost rectifier
Zhang et al.System-level power loss evaluation of modular multilevel converters
CN117856576A (en)Control method and system for frequency converter based on high ripple capacitor voltage
Wang et al.H5+ converter: A bidirectional AC–DC converter with DC-fault-blocking and self-pre-charge capabilities
Han et al.Static reactive-power compensator using soft-switching current-source inverter
Aalami et al.Trans Z‐source‐based half‐bridge inverter: A method for achieving high voltage gain
CN106887942A (en)Current transformer phase module loss computing method, device and current transformer loss computing method
Nguyen et al.Voltage Injection Based MPDPC Technique for Individual Phase Loss Reduction in Active Front-End Rectifier
Xia et al.Investigation of Hybrid Three-Level Hybrid Device (Hybrid 2) Active Neutral-Point-Clamped Converter
SinghIGCT transient analysis and clamp circuit design for VSC valves

Legal Events

DateCodeTitleDescription
PB01Publication
PB01Publication
SE01Entry into force of request for substantive examination
SE01Entry into force of request for substantive examination
GR01Patent grant
GR01Patent grant

[8]ページ先頭

©2009-2025 Movatter.jp