Movatterモバイル変換


[0]ホーム

URL:


CN112529847A - Method, system, device, processor and storage medium for image position deviation compensation processing in alignment assembly of marker lamp and lens - Google Patents

Method, system, device, processor and storage medium for image position deviation compensation processing in alignment assembly of marker lamp and lens
Download PDF

Info

Publication number
CN112529847A
CN112529847ACN202011340710.0ACN202011340710ACN112529847ACN 112529847 ACN112529847 ACN 112529847ACN 202011340710 ACN202011340710 ACN 202011340710ACN 112529847 ACN112529847 ACN 112529847A
Authority
CN
China
Prior art keywords
pattern
value
lens
delta
marker light
Prior art date
Legal status (The legal status is an assumption and is not a legal conclusion. Google has not performed a legal analysis and makes no representation as to the accuracy of the status listed.)
Withdrawn
Application number
CN202011340710.0A
Other languages
Chinese (zh)
Inventor
吴骏
陈钰陆
申钢
Current Assignee (The listed assignees may be inaccurate. Google has not performed a legal analysis and makes no representation or warranty as to the accuracy of the list.)
Magna Mirrors Taicang Automotive Technology Co ltd
Original Assignee
Magna Mirrors Taicang Automotive Technology Co ltd
Priority date (The priority date is an assumption and is not a legal conclusion. Google has not performed a legal analysis and makes no representation as to the accuracy of the date listed.)
Filing date
Publication date
Application filed by Magna Mirrors Taicang Automotive Technology Co ltdfiledCriticalMagna Mirrors Taicang Automotive Technology Co ltd
Priority to CN202011340710.0ApriorityCriticalpatent/CN112529847A/en
Publication of CN112529847ApublicationCriticalpatent/CN112529847A/en
Withdrawnlegal-statusCriticalCurrent

Links

Images

Classifications

Landscapes

Abstract

The invention relates to an image position deviation compensation processing method for realizing alignment assembly of a marker light membrane pattern and a lens pattern, which comprises the steps of leading in data of the marker light pattern and the lens pattern to an image detection system to complete template setting, obtaining corresponding pattern contour information after photographing processing, calculating corresponding gravity coordinate values and deviation values, and taking a coordinate difference compensation quantity and an offset angle difference compensation quantity as a combination difference value of actual patterns to complete combination of the patterns. The invention also relates to a control method, a control system, a control device, a control processor and a computer readable storage medium based on the method. By adopting the corresponding method, the system, the device, the processor and the computer readable storage medium thereof, when the warning lamp module is in a non-lighting state, the image equipment collects the position of the warning lamp module and determines the position of the pattern of the rearview mirror lens by taking a picture for the second time, so that the warning lamp module is prevented from being inclined relative to the pattern of the rearview mirror lens.

Description

Method, system, device, processor and storage medium for image position deviation compensation processing in alignment assembly of marker lamp and lens
Technical Field
The invention relates to the field of vehicle accessories, in particular to a rearview mirror blind area warning lamp, and specifically relates to an image position deviation compensation processing method for realizing alignment assembly of a marker lamp membrane pattern and a lens pattern, a control method, a system, a device, a processor and a computer readable storage medium for assembling a corresponding warning lamp module to a rearview mirror lens.
Background
The vehicle rearview mirror usually has a vision blind area, a driver cannot see vehicles in the blind area, and if overtaking vehicles exist in the blind area, a lane change accident can happen at the moment. In severe environments such as thunderstorm and fog weather and night dim light, a driver is more difficult to see the vehicle behind clearly, and lane changing is more dangerous at the moment. In order to solve the vision blind area of the rearview mirror, a blind spot monitoring system is developed.
The blind spot monitoring system is called a doubling auxiliary system, is called BSM or BLIS for short in English, and has the main function of sweeping the blind zone of the rearview mirror. Through the electronic controller, obstacles or vehicles are in the safety range behind the drivers in the left rearview mirror and the right rearview mirror or in other places. The warning light of the blind spot monitoring system is usually installed in the rearview mirror, and when an obstacle or a vehicle comes in a rear safety range, the warning light is emitted to remind a driver.
The warning light modules of the blind spot monitoring system are usually fitted in an adhesive manner in the respective pattern positions of the mirror lenses. US9769930B2 discloses a positioning and assembling method of a warning light, which realizes accurate alignment between two parts (corresponding patterns of a warning light module and a rearview mirror lens) by technologies such as images and the like. However, in the positioning and assembling process of the warning light module, the actual problems of inaccurate alignment and difference in the light type viewed from the driver direction caused by the defects of the parts can occur. For example, in the process of lighting the module, if light leakage occurs at the edge of the film or in the non-shaped area, the calculation of the alignment will be deviated, resulting in inaccurate actual pasting.
Disclosure of Invention
The invention aims to overcome the defects of the prior art, and provides an image position deviation compensation processing method for realizing alignment assembly of a marker light membrane pattern and a lens pattern, a corresponding control method, a system, a device, a processor and a computer readable storage medium thereof, wherein the image position deviation compensation processing method can realize accurate alignment between two parts, effectively prevent a warning light module from being skewed relative to a rearview mirror lens pattern, has simple and rapid processing and control processes, stable and reliable working performance and wide application range, and the control method, the system, the device, the processor and the computer readable storage medium thereof are used for realizing the alignment assembly of the marker light membrane pattern and the lens pattern.
In order to achieve the above object, the image position deviation compensation processing method for realizing alignment assembly of a marker light membrane pattern and a lens pattern and the corresponding control method, system, device, processor and computer readable storage medium for assembling a warning light module to a rearview mirror lens of the invention are as follows:
the image position deviation compensation processing method for realizing alignment assembly of the marker light membrane pattern and the lens pattern is mainly characterized by comprising the following steps of:
(1) importing the CAD data of the marker light pattern and the CAD data of the lens pattern to an image detection system, establishing a pattern data coordinate system, and finishing the setting of a membrane pattern template and a lens pattern template of the marker light;
(2) photographing an actual marker light diaphragm pattern, acquiring corresponding first pattern contour information, and calculating a corresponding first pattern gravity center coordinate value and a first deviation value according to the first pattern contour information;
(3) photographing the actual lens pattern, acquiring corresponding second pattern profile information, and calculating a corresponding second pattern barycentric coordinate value and a second deviation value according to the second pattern barycentric coordinate value and the second deviation value;
(4) and the image detection system calculates corresponding coordinate difference compensation quantity and offset angle difference compensation quantity according to the first pattern barycentric coordinate value and the first offset value and the second pattern barycentric coordinate value and the second offset value, and takes the coordinate difference compensation quantity and the offset angle difference compensation quantity as the combined difference value of the actual patterns.
Preferably, the step (1) of completing the setting of the membrane pattern template and the lens pattern template of the marker light specifically comprises the following steps:
(1.1) establishing marker light membrane pattern template data and lens pattern template data in the pattern data coordinate system;
(1.2) determining the coordinate positions of the marker light film pattern template data and the lens pattern template data in the pattern data coordinate system, thereby completing the setting of the corresponding pattern template.
Preferably, the step (1.2) is specifically:
calculating a first standard barycentric coordinate value (X) according to the coordinate position of the marker light membrane pattern template in the pattern data coordinate system10,Y10) And a first standard deviation angle R10(ii) a Calculating a second standard barycentric coordinate value (X) according to the coordinate position of the lens pattern template in the pattern data coordinate system20,Y20) And a second standard deviation angle R20
Preferably, the step (2) specifically comprises the following steps:
(2.1) the first camera takes a picture of the actual marker light diaphragm pattern for the first time and completes binarization processing;
(2.2) carrying out edge detection on the marker light membrane pattern to obtain a first pattern outline of the marker light membrane, and calculating a first pattern barycenter coordinate value (X) of the marker light membrane after image processing1,Y1) And the offset angle R of the first pattern1
(2.3) obtaining the first pattern barycentric coordinate value (X)1,Y1) And the offset angle R of the first pattern1Comparing with standard marker lamp diaphragm pattern template data, and offsetting angle R according to a first standard10And a first standard barycentric coordinate value (X)10,Y10) Calculating a first deviation value (Delta _ R) of the actual marker light diaphragm pattern1,Delta_X1,Delta_Y1) Wherein Delta _ R1Is a first deviation angle value, Delta _ X1Is a first deviation value of the abscissa, Delta _ Y1Is a first deviation value of the ordinate.
Preferably, the step (3) specifically includes the following steps:
(3.1) the second camera takes a picture of the actual lens pattern for the second time and completes binarization processing;
(3.2) carrying out edge detection on the lens pattern to obtain a second pattern of the lens patternContour, image processing, and calculating second pattern barycentric coordinate value (X) of said lens pattern2,Y2) And the offset angle R of the second pattern2
(3.3) second pattern barycentric coordinate value (X) to be acquired2,Y2) And the offset angle R of the second pattern2Comparing with standard lens pattern template data, and offsetting the angle according to a second standard20And a second standard barycentric coordinate value (X)20,Y20) Calculating a second deviation value (Delta _ R) of the actual lens pattern2,Delta_X2,Delta_Y2) Wherein Delta _ R2For the second deviation angle value, Delta _ X2Is a second deviation value, Delta _ Y, of the abscissa2Is the second deviation value of the ordinate.
Preferably, the step (4) is specifically:
based on the calculated first deviation value (Delta _ R)1,Delta_X1,Delta_Y1) And a second offset value (Delta _ R)2,Delta_X2,Delta_Y2) And calculating the combined difference value (Delta _ R, Delta _ X and Delta _ Y) of the actual patterns, wherein Delta _ R is the offset angle compensation quantity of the actual patterns, Delta _ X is the horizontal coordinate difference compensation quantity of the actual patterns, and Delta _ Y is the vertical coordinate difference compensation quantity of the actual patterns.
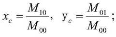
Preferably, the calculating the barycentric coordinate value specifically includes:
the barycentric coordinate value (x) of the pattern is calculated according to the following formulac,yc):
Figure BDA0002798515560000031
Wherein M is00The sum of the x coordinate value of the abscissa and the y coordinate value of the ordinate in the range of the corresponding pattern region is obtained by calculation through the following formula:
Figure BDA0002798515560000032
M10the sum of x coordinate values of the abscissa in the range of the corresponding pattern region is calculated by the following formula:
Figure BDA0002798515560000033
M01the sum of the y coordinate values of the ordinate in the range of the corresponding pattern area is calculated by the following formula:
Figure BDA0002798515560000034
wherein, i, j respectively refer to x, y coordinates corresponding to each pixel in the corresponding pattern region range, and V (i, j) is the gray value of the pixel point of the coordinate (i, j). The control method for realizing the assembly of the warning light module to the rearview mirror lens based on the method is mainly characterized by further comprising the following steps before the step (1):
(0.1) placing the rearview mirror lens module in a first positioning device, and placing the warning lamp module in a second positioning device;
(0.2) moving the warning lamp module to a first photographing position by rotating and pressing the servo mechanism in the R direction;
(0.3) moving the rearview mirror lens module to a second photographing position through the servo mechanisms in the X and Y directions;
the method also comprises the following steps after the step (4):
(5) and sending the calculated combination difference value to an (R, X, Y) servo system, wherein the (R, X, Y) servo system moves to a target value position according to the received combination difference value to perform position compensation before combination, and the combination of the warning lamp diaphragm pattern and the rearview mirror lens pattern is completed.
The system for realizing image position deviation compensation processing of alignment assembly of the marker light membrane pattern and the lens pattern is mainly characterized by comprising the following steps of:
the pattern template setting module is used for importing the marker light pattern CAD data and the lens pattern CAD data to an image detection system, establishing a corresponding pattern data coordinate system and finishing the setting of a marker light diaphragm pattern template and a lens pattern template;
and the pattern parameter calculation module is used for photographing the actual marker lamp membrane pattern and the actual marker lamp lens pattern, acquiring the outline information of the corresponding pattern, calculating the gravity coordinate value and the deviation value of the corresponding pattern according to the outline information, calculating to obtain the corresponding coordinate difference compensation quantity and the corresponding deviation angle difference compensation quantity, and taking the coordinate difference compensation quantity and the deviation angle difference compensation quantity as the combination difference value of the actual pattern.
Preferably, the pattern parameter calculating module includes:
the first pattern information calculation processing unit is used for photographing the actual marker light diaphragm pattern and acquiring corresponding first pattern contour information, and calculating a corresponding first pattern barycentric coordinate value and a first deviation value according to the corresponding first pattern barycentric coordinate value and the first deviation value;
the second pattern information calculation processing unit is used for photographing the actual lens pattern and acquiring corresponding second pattern profile information, and calculating a corresponding second pattern barycentric coordinate value and a corresponding second deviation value according to the second pattern barycentric coordinate value and the second deviation value;
and the actual pattern combination difference value calculation processing unit is used for calculating corresponding coordinate difference value compensation quantity and offset angle difference value compensation quantity according to the first pattern barycentric coordinate value and the first deviation value and the second pattern barycentric coordinate value and the second deviation value, and taking the coordinate difference value compensation quantity and the offset angle difference value compensation quantity as the combination difference value of the actual patterns.
The device for realizing image position deviation compensation processing of alignment assembly of the marker light membrane pattern and the lens pattern is mainly characterized by comprising the following components in parts by weight:
a processor configured to execute computer-executable instructions;
a memory storing one or more computer-executable instructions that, when executed by the processor, perform the steps of the above-described processing method.
The processor for realizing the image position deviation compensation processing of the alignment assembly of the marker light membrane pattern and the lens pattern is mainly characterized in that the processor is configured to execute computer executable instructions, and the computer executable instructions are executed by the processor to realize the steps of the processing method.
The computer-readable storage medium is mainly characterized by having a computer program stored thereon, wherein the computer program can be executed by a processor to realize the steps of the processing method.
By adopting the image position deviation compensation processing method for realizing alignment assembly of the marker light membrane pattern and the lens pattern, the control method, the system, the device, the processor and the computer readable storage medium for assembling the corresponding warning light module to the rearview mirror lens, the image equipment carries out secondary photographing when the warning light module is in a non-lighting state, acquires the position of the warning light module and determines the position of the rearview mirror lens pattern, accurate alignment between two parts can be realized, the warning light module is effectively prevented from being inclined relative to the rearview mirror lens pattern, the processing and control process is simple and rapid, the working performance is stable and reliable, the application range is wide, and the frequency of collision accidents caused by vision blind areas is reduced.
Drawings
Fig. 1 and fig. 2 are overall flow charts of the image position deviation compensation processing method for realizing alignment assembly of the marker light membrane pattern and the lens pattern according to the present invention.
Detailed Description
In order to more clearly describe the technical contents of the present invention, the following further description is given in conjunction with specific embodiments.
Before explaining embodiments in accordance with the present invention in detail, it should be noted that first and second like relational terms are used hereinafter only to distinguish one entity or action from another entity or action without necessarily requiring or implying any actual such relationship or order between such entities or actions. The terms "comprises," "comprising," or any other variation thereof, are intended to cover a non-exclusive inclusion, such that a process, method, article, or apparatus that comprises a list of elements does not include only those elements but may include other elements not expressly listed or inherent to such process, method, article, or apparatus.
Referring to fig. 1 and fig. 2, the image position deviation compensation processing method for implementing alignment assembly of a film pattern and a lens pattern of a marker light of the present invention includes the following specific steps:
(1) importing the CAD data of the marker light pattern and the CAD data of the lens pattern to an image detection system, establishing a pattern data coordinate system, and finishing the setting of a membrane pattern template and a lens pattern template of the marker light;
(2) photographing an actual marker light diaphragm pattern, acquiring corresponding first pattern contour information, and calculating a corresponding first pattern gravity center coordinate value and a first deviation value according to the first pattern contour information;
(3) photographing the actual lens pattern, acquiring corresponding second pattern profile information, and calculating a corresponding second pattern barycentric coordinate value and a second deviation value according to the second pattern barycentric coordinate value and the second deviation value;
(4) and the image detection system calculates corresponding coordinate difference compensation quantity and offset angle difference compensation quantity according to the first pattern barycentric coordinate value and the first offset value and the second pattern barycentric coordinate value and the second offset value, and takes the coordinate difference compensation quantity and the offset angle difference compensation quantity as the combined difference value of the actual patterns.
In a preferred embodiment of the present invention, the step (1) of completing the setting of the membrane pattern template and the lens pattern template of the marker light specifically includes the following steps:
(1.1) establishing marker light membrane pattern template data and lens pattern template data in the pattern data coordinate system;
(1.2) determining the coordinate positions of the marker light film pattern template data and the lens pattern template data in the pattern data coordinate system, thereby completing the setting of the corresponding pattern template.
In a preferred embodiment of the present invention, the step (1.2) is specifically:
according to the diaphragm diagram of the marker lightCalculating a first standard barycentric coordinate value (X) of the pattern template at the coordinate position of the pattern data coordinate system10,Y10) And a first standard deviation angle R10(ii) a Calculating a second standard barycentric coordinate value (X) according to the coordinate position of the lens pattern template in the pattern data coordinate system20,Y20) And a second standard deviation angle R20
In a preferred embodiment of the present invention, the step (2) specifically includes the following steps:
(2.1) the first camera takes a picture of the actual marker light diaphragm pattern for the first time and completes binarization processing;
(2.2) carrying out edge detection on the marker light membrane pattern to obtain a first pattern outline of the marker light membrane, and calculating a first pattern barycenter coordinate value (X) of the marker light membrane after image processing1,Y1) And the offset angle R of the first pattern1
(2.3) obtaining the first pattern barycentric coordinate value (X)1,Y1) And the offset angle R of the first pattern1Comparing with standard marker lamp diaphragm pattern template data, and offsetting angle R according to a first standard10And a first standard barycentric coordinate value (X)10,Y10) Calculating a first deviation value (Delta _ R) of the actual marker light diaphragm pattern1,Delta_X1,Delta_Y1) Wherein Delta _ R1Is a first deviation angle value, Delta _ X1Is a first deviation value of the abscissa, Delta _ Y1Is a first deviation value of the ordinate.
In a preferred embodiment of the present invention, the step (3) specifically includes the following steps:
(3.1) the second camera takes a picture of the actual lens pattern for the second time and completes binarization processing;
(3.2) carrying out edge detection on the lens pattern to obtain a second pattern contour of the lens pattern, and calculating a second pattern barycentric coordinate value (X) of the lens pattern after image processing2,Y2) And the offset angle R of the second pattern2
(3.3) second pattern barycentric coordinate value (X) to be acquired2,Y2) And the offset angle R of the second pattern2Comparing with standard lens pattern template data, and offsetting the angle according to a second standard20And a second standard barycentric coordinate value (X)20,Y20) Calculating a second deviation value (Delta _ R) of the actual lens pattern2,Delta_X2,Delta_Y2) Wherein Delta _ R2For the second deviation angle value, Delta _ X2Is a second deviation value, Delta _ Y, of the abscissa2Is the second deviation value of the ordinate.
In a preferred embodiment of the present invention, the step (4) is specifically:
based on the calculated first deviation value (Delta _ R)1,Delta_X1,Delta_Y1) And a second offset value (Delta _ R)2,Delta_X2,Delta_Y2) And calculating the combined difference value (Delta _ R, Delta _ X and Delta _ Y) of the actual patterns, wherein Delta _ R is the offset angle compensation quantity of the actual patterns, Delta _ X is the horizontal coordinate difference compensation quantity of the actual patterns, and Delta _ Y is the vertical coordinate difference compensation quantity of the actual patterns.
As a preferred embodiment of the present invention, the calculating the barycentric coordinate values specifically includes:
the barycentric coordinate value (x) of the pattern is calculated according to the following formulac,yc):
Figure BDA0002798515560000071
Wherein M is00The calculation is carried out by the following formula:
Figure BDA0002798515560000072
M00the sum of the x coordinate value of the abscissa and the y coordinate value of the ordinate in the range of the corresponding pattern region is obtained by calculation through the following formula:
Figure BDA0002798515560000073
M10the sum of x coordinate values of the abscissa in the range of the corresponding pattern region is calculated by the following formula:
Figure BDA0002798515560000074
M01the sum of the y coordinate values of the ordinate in the range of the corresponding pattern area is calculated by the following formula:
Figure BDA0002798515560000075
wherein, i, j respectively refer to x, y coordinates corresponding to each pixel in the corresponding pattern region range, and V (i, j) is the gray value of the pixel point of the coordinate (i, j).
Where V (i, j) is the gray value of the point (i, j), and the definition is the sum of the gray values of all pixels, but M is 1 for white and 0 for black in the binary image00The result of (2) is the sum of the pixel values of all white areas, which can also be used as the area of the white area;
M10the calculation is carried out by the following formula:
Figure BDA0002798515560000076
M01the calculation is carried out by the following formula:
Figure BDA0002798515560000077
meanwhile, i and j are respectively the x and y coordinates corresponding to each pixel, and the essence of the definition is that the x and y coordinates of all the pixels are respectively andthe product of multiplication of pixel values, and then summing to obtain the value, likewise, M10The result of (2) is the sum of the x-coordinate values of all white area pixels, M01Result of (2) the sum of the y coordinate values of all white area pixels, M00The result of (2) is the sum of the x-coordinate value plus the y-coordinate value of the white area pixel;
as a preferred embodiment of the present invention, the control method for assembling the warning light module to the mirror lens is realized based on the above method, wherein the method further comprises the following steps before the step (1):
(0.1) placing the rearview mirror lens module in a first positioning device, and placing the warning lamp module in a second positioning device;
(0.2) moving the warning lamp module to a first photographing position by rotating and pressing the servo mechanism in the R direction;
(0.3) moving the rearview mirror lens module to a second photographing position through the servo mechanisms in the X and Y directions;
the method also comprises the following steps after the step (4):
(5) and sending the calculated combination difference value to an (R, X, Y) servo system, wherein the (R, X, Y) servo system moves to a target value position according to the received combination difference value to perform position compensation before combination, and the combination of the warning lamp diaphragm pattern and the rearview mirror lens pattern is completed.
The system for realizing image position deviation compensation processing of alignment assembly of a marker light membrane pattern and a lens pattern comprises:
the pattern template setting module is used for importing the marker light pattern CAD data and the lens pattern CAD data to an image detection system, establishing a corresponding pattern data coordinate system and finishing the setting of a marker light diaphragm pattern template and a lens pattern template;
and the pattern parameter calculation module is used for photographing the actual marker lamp membrane pattern and the actual marker lamp lens pattern, acquiring the outline information of the corresponding pattern, calculating the gravity coordinate value and the deviation value of the corresponding pattern according to the outline information, calculating to obtain the corresponding coordinate difference compensation quantity and the corresponding deviation angle difference compensation quantity, and taking the coordinate difference compensation quantity and the deviation angle difference compensation quantity as the combination difference value of the actual pattern.
As a preferred embodiment of the present invention, the pattern parameter calculation module includes:
the first pattern information calculation processing unit is used for photographing the actual marker light diaphragm pattern and acquiring corresponding first pattern contour information, and calculating a corresponding first pattern barycentric coordinate value and a first deviation value according to the corresponding first pattern barycentric coordinate value and the first deviation value;
the second pattern information calculation processing unit is used for photographing the actual lens pattern and acquiring corresponding second pattern profile information, and calculating a corresponding second pattern barycentric coordinate value and a corresponding second deviation value according to the second pattern barycentric coordinate value and the second deviation value;
and the actual pattern combination difference value calculation processing unit is used for calculating corresponding coordinate difference value compensation quantity and offset angle difference value compensation quantity according to the first pattern barycentric coordinate value and the first deviation value and the second pattern barycentric coordinate value and the second deviation value, and taking the coordinate difference value compensation quantity and the offset angle difference value compensation quantity as the combination difference value of the actual patterns.
The device for realizing image position deviation compensation processing of alignment assembly of the marker light membrane pattern and the lens pattern comprises:
a processor configured to execute computer-executable instructions;
a memory storing one or more computer-executable instructions that, when executed by the processor, perform the steps of the above-described processing method.
The processor for realizing the image position deviation compensation processing of the alignment assembly of the marker light membrane pattern and the lens pattern is mainly characterized in that the processor is configured to execute computer executable instructions, and the computer executable instructions are executed by the processor to realize the steps of the processing method.
The computer-readable storage medium is mainly characterized by having a computer program stored thereon, wherein the computer program can be executed by a processor to realize the steps of the processing method.
It should be noted that the terms "first," "second," and the like in the description of the present invention are used for descriptive purposes only and are not to be construed as indicating or implying relative importance. Further, in the description of the present invention, the meaning of "a plurality" means at least two unless otherwise specified.
Any process or method descriptions in flow charts or otherwise described herein may be understood as representing modules, segments, or portions of code which include one or more executable instructions for implementing specific logical functions or steps of the process, and the scope of a preferred embodiment of the present invention includes additional implementations in which functions may be executed out of order from that shown or discussed, including substantially concurrently or with greater sampling coverage, depending on the functionality involved, as would be understood by those reasonably skilled in the art of the present invention.
In addition, functional modules in the embodiments of the present invention may be integrated into one processing module, or each unit may exist alone physically, or two or more modules are integrated into one module. The integrated module can be realized in a hardware mode, and can also be realized in a software functional module mode. The integrated module, if implemented in the form of a software functional module and sold or used as a separate product, may also be stored in a computer readable storage medium.
The storage medium mentioned above may be a read-only memory, a magnetic or optical disk, etc. It should be noted that the terms "first," "second," and the like in the description of the present invention are used for descriptive purposes only and are not to be construed as indicating or implying relative importance. Further, in the description of the present invention, the meaning of "a plurality" means at least two unless otherwise specified.
Any process or method descriptions in flow charts or otherwise described herein may be understood as representing modules, segments, or portions of code which include one or more executable instructions for implementing specific logical functions or steps of the process, and the scope of a preferred embodiment of the present invention includes additional implementations in which functions may be executed out of order from that shown or discussed, including substantially concurrently or with greater sampling coverage, depending on the functionality involved, as would be understood by those reasonably skilled in the art of the present invention.
In addition, functional modules in the embodiments of the present invention may be integrated into one processing module, or each unit may exist alone physically, or two or more modules are integrated into one module. The integrated module can be realized in a hardware mode, and can also be realized in a software functional module mode. The integrated module, if implemented in the form of a software functional module and sold or used as a separate product, may also be stored in a computer readable storage medium.
In the description herein, references to the description of the term "an embodiment," "one embodiment," "some embodiments," "an example," "a specific example," or "some examples" or the like mean that a particular feature, structure, material, or characteristic described in connection with the embodiment or example is included in at least one embodiment or example of the invention. In this specification, the schematic representations of the terms used above do not necessarily refer to the same embodiment or example. Furthermore, the particular features, structures, materials, or characteristics described may be combined in any suitable manner in any one or more embodiments or examples.
Although embodiments of the present invention have been shown and described above, it is understood that the above embodiments are exemplary and should not be construed as limiting the present invention, and that variations, modifications, substitutions and alterations can be made to the above embodiments by those of ordinary skill in the art within the scope of the present invention.
The storage medium mentioned above may be a read-only memory, a magnetic or optical disk, etc.
By adopting the image position deviation compensation processing method for realizing alignment assembly of the marker light membrane pattern and the lens pattern and the corresponding control method, system, device, processor and computer readable storage medium for assembling the warning light module to the rearview mirror lens, the image detection system carries out data acquisition by area calculation and contour calculation, calculates the offset position of the pattern of the rearview mirror lens relative to the warning light module in the direction X, Y and the offset angle of the warning light module relative to the rearview mirror lens in the circumferential direction, feeds back position information in the direction X, Y, R to a servo system after integration, moves by moving the servo mechanism in the X and Y directions, rotating in the R direction and pressing the servo mechanism, presses down to a target position for accurate alignment pasting, lights up the warning light after pasting is finished, and takes a picture again by an image device in the direction of a driver, and checking whether the lighting of the angle of the driver is normal.
Under the state that the warning light module is in the non-lighting state, image equipment carries out the secondary and shoots, gathers warning light module position and confirms rear-view mirror lens pattern position, can realize the accurate counterpoint between two kinds of parts, has effectually prevented that the warning light module is crooked for rear-view mirror lens pattern, handles and control process simple swift, and the working property is reliable and stable, and application scope is comparatively extensive, has reduced because the frequency of the collision accident that the vision blind area caused takes place.
In this specification, the invention has been described with reference to specific embodiments thereof. It will, however, be evident that various modifications and changes may be made thereto without departing from the broader spirit and scope of the invention. The description is thus to be regarded as illustrative instead of limiting.

Claims (13)

1. A method for realizing image position deviation compensation processing of alignment assembly of a marker light membrane pattern and a lens pattern is characterized by comprising the following steps:
(1) importing the CAD data of the marker light pattern and the CAD data of the lens pattern into an image detection system, establishing a corresponding pattern data coordinate system, and finishing the setting of a marker light diaphragm pattern template and a lens pattern template;
(2) photographing an actual marker light diaphragm pattern, acquiring corresponding first pattern contour information, and calculating a corresponding first pattern gravity center coordinate value and a first deviation value according to the first pattern contour information;
(3) photographing the actual lens pattern, acquiring corresponding second pattern profile information, and calculating a corresponding second pattern barycentric coordinate value and a second deviation value according to the second pattern barycentric coordinate value and the second deviation value;
(4) and the image detection system calculates corresponding coordinate difference compensation quantity and offset angle difference compensation quantity according to the first pattern barycentric coordinate value and the first offset value and the second pattern barycentric coordinate value and the second offset value, and takes the coordinate difference compensation quantity and the offset angle difference compensation quantity as the combined difference value of the actual patterns.
2. The method as claimed in claim 1, wherein the step (1) of completing the setting of the membrane pattern template and the lens pattern template of the marker light comprises the following steps:
(1.1) establishing marker light membrane pattern template data and lens pattern template data in the pattern data coordinate system;
(1.2) determining the coordinate positions of the marker light film pattern template data and the lens pattern template data in the pattern data coordinate system, thereby completing the setting of the corresponding pattern template.
3. The method for implementing image position deviation compensation processing of alignment assembly of a marker light membrane pattern and a lens pattern as claimed in claim 2, wherein the step (1.2) is specifically as follows:
calculating a first standard barycentric coordinate value (X) according to the coordinate position of the marker light membrane pattern template in the pattern data coordinate system10,Y10) And a first standard deviation angle R10(ii) a Calculating a second standard barycentric coordinate value (X) according to the coordinate position of the lens pattern template in the pattern data coordinate system20,Y20) And a second standard deviation angle R20
4. The method for implementing image position deviation compensation processing of alignment assembly of a marker light membrane pattern and a lens pattern as claimed in claim 3, wherein said step (2) specifically comprises the following steps:
(2.1) the first camera takes a picture of the actual marker light diaphragm pattern for the first time and completes binarization processing;
(2.2) carrying out edge detection on the marker light membrane pattern to obtain a first pattern outline of the marker light membrane, and calculating a first pattern barycenter coordinate value (X) of the marker light membrane after image processing1,Y1) And the offset angle R of the first pattern1
(2.3) obtaining the first pattern barycentric coordinate value (X)1,Y1) And the offset angle R of the first pattern1Comparing with standard marker lamp diaphragm pattern template data, and offsetting angle R according to a first standard10And a first standard barycentric coordinate value (X)10,Y10) Calculating a first deviation value (Delta _ R) of the actual marker light diaphragm pattern1,Delta_X1,Delta_Y1) Wherein Delta _ R1Is a first deviation angle value, Delta _ X1Is a first deviation value of the abscissa, Delta _ Y1Is a first deviation value of the ordinate.
5. The method for implementing image position deviation compensation processing of alignment assembly of marker light membrane pattern and lens pattern as claimed in claim 4, wherein said step (3) specifically comprises the following steps:
(3.1) the second camera takes a picture of the actual lens pattern for the second time and completes binarization processing;
(3.2) carrying out edge detection on the lens pattern to obtain a second pattern contour of the lens pattern, and calculating a second pattern barycentric coordinate value (X) of the lens pattern after image processing2,Y2) And the offset angle R of the second pattern2
(3.3) second pattern barycentric coordinate value (X) to be acquired2,Y2) And the offset angle R of the second pattern2Comparing with standard lens pattern template data, and offsetting the angle according to a second standard20And a second standard barycentric coordinate value (X)20,Y20) Calculating a second deviation value (Delta _ R) of the actual lens pattern2,Delta_X2,Delta_Y2) Wherein Delta _ R2For the second deviation angle value, Delta _ X2Is a second deviation value, Delta _ Y, of the abscissa2Is the second deviation value of the ordinate.
6. The method for implementing image position deviation compensation processing of alignment assembly of a marker light membrane pattern and a lens pattern as claimed in claim 5, wherein said step (4) is specifically as follows:
based on the calculated first deviation value (Delta _ R)1,Delta_X1,Delta_Y1) And a second offset value (Delta _ R)2,Delta_X2,Delta_Y2) And calculating the combined difference value (Delta _ R, Delta _ X and Delta _ Y) of the actual patterns, wherein Delta _ R is the offset angle compensation quantity of the actual patterns, Delta _ X is the horizontal coordinate difference compensation quantity of the actual patterns, and Delta _ Y is the vertical coordinate difference compensation quantity of the actual patterns.
7. The method for realizing image position deviation compensation processing of alignment assembly of a marker light membrane pattern and a lens pattern as claimed in any one of claims 1 to 6, wherein the calculating of the barycentric coordinate value specifically comprises:
the barycentric coordinate value (x) of the pattern is calculated according to the following formulac,yc):
Figure FDA0002798515550000021
Wherein M is00The sum of the x coordinate value of the abscissa and the y coordinate value of the ordinate in the range of the corresponding pattern region is obtained by calculation through the following formula:
Figure FDA0002798515550000022
M10the sum of x coordinate values of the abscissa in the range of the corresponding pattern region is calculated by the following formula:
Figure FDA0002798515550000023
M01the sum of the y coordinate values of the ordinate in the range of the corresponding pattern area is calculated by the following formula:
Figure FDA0002798515550000031
wherein, i and j are respectively the x and y coordinates corresponding to each pixel in the corresponding pattern area range, and V (i and j) is the gray value of the pixel point of the coordinate (i and j).
8. A control method for realizing the assembly of a warning light module to a rearview mirror lens based on the method of any one of claims 1-6, wherein the method further comprises the following steps before the step (1):
(0.1) placing the rearview mirror lens module in a first positioning device, and placing the warning lamp module in a second positioning device;
(0.2) moving the warning lamp module to a first photographing position by rotating and pressing the servo mechanism in the R direction;
(0.3) moving the rearview mirror lens module to a second photographing position through the servo mechanisms in the X and Y directions;
the method also comprises the following steps after the step (4):
(5) and sending the calculated combination difference value to an (R, X, Y) servo system, wherein the (R, X, Y) servo system moves to a target value position according to the received combination difference value to perform position compensation before combination, and the combination of the warning lamp diaphragm pattern and the rearview mirror lens pattern is completed.
9. A system for implementing image position deviation compensation processing of alignment assembly of a marker light film pattern and a lens pattern, the system comprising:
the pattern template setting module is used for importing the marker light pattern CAD data and the lens pattern CAD data to an image detection system, establishing a corresponding pattern data coordinate system and finishing the setting of a marker light diaphragm pattern template and a lens pattern template;
and the pattern parameter calculation module is used for photographing the actual marker lamp membrane pattern and the actual marker lamp lens pattern, acquiring the outline information of the corresponding pattern, calculating the gravity coordinate value and the deviation value of the corresponding pattern according to the outline information, calculating to obtain the corresponding coordinate difference compensation quantity and the corresponding deviation angle difference compensation quantity, and taking the coordinate difference compensation quantity and the deviation angle difference compensation quantity as the combination difference value of the actual pattern.
10. The system of claim 9, wherein the pattern parameter calculating module comprises:
the first pattern information calculation processing unit is used for photographing the actual marker light diaphragm pattern and acquiring corresponding first pattern contour information, and calculating a corresponding first pattern barycentric coordinate value and a first deviation value according to the corresponding first pattern barycentric coordinate value and the first deviation value;
the second pattern information calculation processing unit is used for photographing the actual lens pattern and acquiring corresponding second pattern profile information, and calculating a corresponding second pattern barycentric coordinate value and a corresponding second deviation value according to the second pattern barycentric coordinate value and the second deviation value;
and the actual pattern combination difference value calculation processing unit is used for calculating corresponding coordinate difference value compensation quantity and offset angle difference value compensation quantity according to the first pattern barycentric coordinate value and the first deviation value and the second pattern barycentric coordinate value and the second deviation value, and taking the coordinate difference value compensation quantity and the offset angle difference value compensation quantity as the combination difference value of the actual patterns.
11. An apparatus for implementing image position deviation compensation processing of alignment assembly of a marker light film pattern and a lens pattern, the apparatus comprising:
a processor configured to execute computer-executable instructions;
a memory storing one or more computer executable instructions which, when executed by the processor, implement the steps of the method for implementing image position deviation compensation processing for alignment assembly of a marker light film pattern and a lens pattern as claimed in any one of claims 1 to 6.
12. A processor for implementing image position deviation compensation processing of alignment assembly of a marker light membrane pattern and a lens pattern, wherein the processor is configured to execute computer executable instructions, and when the computer executable instructions are executed by the processor, the processor implements the steps of the method for implementing image position deviation compensation processing of alignment assembly of a marker light membrane pattern and a lens pattern in any one of claims 1-6.
13. A computer-readable storage medium, having a computer program stored thereon, wherein the computer program is executable by a processor to implement the steps of the method for implementing the image misalignment compensation process for the alignment assembly of a marker light film pattern and a lens pattern as claimed in any one of claims 1 to 6.
CN202011340710.0A2020-11-252020-11-25Method, system, device, processor and storage medium for image position deviation compensation processing in alignment assembly of marker lamp and lensWithdrawnCN112529847A (en)

Priority Applications (1)

Application NumberPriority DateFiling DateTitle
CN202011340710.0ACN112529847A (en)2020-11-252020-11-25Method, system, device, processor and storage medium for image position deviation compensation processing in alignment assembly of marker lamp and lens

Applications Claiming Priority (1)

Application NumberPriority DateFiling DateTitle
CN202011340710.0ACN112529847A (en)2020-11-252020-11-25Method, system, device, processor and storage medium for image position deviation compensation processing in alignment assembly of marker lamp and lens

Publications (1)

Publication NumberPublication Date
CN112529847Atrue CN112529847A (en)2021-03-19

Family

ID=74993358

Family Applications (1)

Application NumberTitlePriority DateFiling Date
CN202011340710.0AWithdrawnCN112529847A (en)2020-11-252020-11-25Method, system, device, processor and storage medium for image position deviation compensation processing in alignment assembly of marker lamp and lens

Country Status (1)

CountryLink
CN (1)CN112529847A (en)

Cited By (2)

* Cited by examiner, † Cited by third party
Publication numberPriority datePublication dateAssigneeTitle
CN115416078A (en)*2022-07-292022-12-02北航歌尔(潍坊)智能机器人有限公司Lens processing control method, control device, lens processing equipment and medium
CN117649564A (en)*2024-01-292024-03-05成都飞机工业(集团)有限责任公司Aircraft cabin assembly deviation recognition device and quantitative evaluation method

Citations (6)

* Cited by examiner, † Cited by third party
Publication numberPriority datePublication dateAssigneeTitle
US5872871A (en)*1995-04-251999-02-16Nippondenso Co., Ltd.Method and device for measuring the position of a pattern
CN103499297A (en)*2013-10-252014-01-08爱科维申科技(天津)有限公司CCD (Charge Coupled Device)-based high-accuracy measuring method
CN107944451A (en)*2017-11-272018-04-20西北民族大学The row cutting method and system of a kind of ancient Tibetan books document
CN110332884A (en)*2019-04-142019-10-15苏州诺博格软件技术有限公司Upper and lower CCD camera is to position guiding method
CN110361092A (en)*2018-04-112019-10-22杭州海康威视数字技术股份有限公司A kind of method for registering images, device and thermal imaging camera
CN111258231A (en)*2020-01-202020-06-09北京航空航天大学Autonomous aerial refueling and docking semi-physical system imitating visual navigation of prey birds and method thereof

Patent Citations (6)

* Cited by examiner, † Cited by third party
Publication numberPriority datePublication dateAssigneeTitle
US5872871A (en)*1995-04-251999-02-16Nippondenso Co., Ltd.Method and device for measuring the position of a pattern
CN103499297A (en)*2013-10-252014-01-08爱科维申科技(天津)有限公司CCD (Charge Coupled Device)-based high-accuracy measuring method
CN107944451A (en)*2017-11-272018-04-20西北民族大学The row cutting method and system of a kind of ancient Tibetan books document
CN110361092A (en)*2018-04-112019-10-22杭州海康威视数字技术股份有限公司A kind of method for registering images, device and thermal imaging camera
CN110332884A (en)*2019-04-142019-10-15苏州诺博格软件技术有限公司Upper and lower CCD camera is to position guiding method
CN111258231A (en)*2020-01-202020-06-09北京航空航天大学Autonomous aerial refueling and docking semi-physical system imitating visual navigation of prey birds and method thereof

Cited By (3)

* Cited by examiner, † Cited by third party
Publication numberPriority datePublication dateAssigneeTitle
CN115416078A (en)*2022-07-292022-12-02北航歌尔(潍坊)智能机器人有限公司Lens processing control method, control device, lens processing equipment and medium
CN117649564A (en)*2024-01-292024-03-05成都飞机工业(集团)有限责任公司Aircraft cabin assembly deviation recognition device and quantitative evaluation method
CN117649564B (en)*2024-01-292024-05-14成都飞机工业(集团)有限责任公司Aircraft cabin assembly deviation recognition device and quantitative evaluation method

Similar Documents

PublicationPublication DateTitle
US11951900B2 (en)Vehicular forward viewing image capture system
US9443154B2 (en)Fusion of far infrared and visible images in enhanced obstacle detection in automotive applications
JP3822515B2 (en) Obstacle detection device and method
CN112233188B (en)Calibration method of data fusion system of laser radar and panoramic camera
JP3125550B2 (en) Vehicle forward recognition device and vehicle travel control device
US8036424B2 (en)Field recognition apparatus, method for field recognition and program for the same
CN113320474A (en)Automatic parking method and device based on panoramic image and human-computer interaction
US20230242132A1 (en)Apparatus for Validating a Position or Orientation of a Sensor of an Autonomous Vehicle
CN112529847A (en)Method, system, device, processor and storage medium for image position deviation compensation processing in alignment assembly of marker lamp and lens
WO2021140863A1 (en)Orientation/position detection system for detector, and orientation/position detection method for detector
JP2018163530A (en)Object detection device, object detection method, and object detection program
TW202019152A (en)Vehicle vision auxiliary system
CN117508002A (en)Vehicle high beam control method, system, medium and equipment
CN119693447A (en) Image processing method, device, equipment and computer readable storage medium
JP2024056563A (en) Display processing device, display processing method, and operation program for display processing device
KR20240103749A (en)Vehicle and control method thereof
CN119261752A (en) Reversing radar ranging warning method and related device for vehicles with external protruding structure at the rear
WO2023112127A1 (en)Image recognition device and image recognition method
WO2024187474A1 (en)Image-based detection method, chip system, and transportation means
CN117274946A (en)Obstacle recognition method based on monocular camera, recognition device and vehicle
Katahira et al.Development of an advanced stereo camera system
CN112172672A (en)Method for assembling warning lamp module to rearview mirror lens
JP2006286010A (en)Obstacle detecting device and its method

Legal Events

DateCodeTitleDescription
PB01Publication
PB01Publication
SE01Entry into force of request for substantive examination
SE01Entry into force of request for substantive examination
WW01Invention patent application withdrawn after publication

Application publication date:20210319

WW01Invention patent application withdrawn after publication

[8]ページ先頭

©2009-2025 Movatter.jp