Movatterモバイル変換


[0]ホーム

URL:


CN112509648B - Hydrophilic interface for holding biological tissue - Google Patents

Hydrophilic interface for holding biological tissue
Download PDF

Info

Publication number
CN112509648B
CN112509648BCN202011359359.XACN202011359359ACN112509648BCN 112509648 BCN112509648 BCN 112509648BCN 202011359359 ACN202011359359 ACN 202011359359ACN 112509648 BCN112509648 BCN 112509648B
Authority
CN
China
Prior art keywords
gap
width
tissue
biological tissue
circumscribed circle
Prior art date
Legal status (The legal status is an assumption and is not a legal conclusion. Google has not performed a legal analysis and makes no representation as to the accuracy of the status listed.)
Active
Application number
CN202011359359.XA
Other languages
Chinese (zh)
Other versions
CN112509648A (en
Inventor
易波
Current Assignee (The listed assignees may be inaccurate. Google has not performed a legal analysis and makes no representation or warranty as to the accuracy of the list.)
Individual
Original Assignee
Individual
Priority date (The priority date is an assumption and is not a legal conclusion. Google has not performed a legal analysis and makes no representation as to the accuracy of the date listed.)
Filing date
Publication date
Application filed by IndividualfiledCriticalIndividual
Priority to CN202011359359.XApriorityCriticalpatent/CN112509648B/en
Publication of CN112509648ApublicationCriticalpatent/CN112509648A/en
Application grantedgrantedCritical
Publication of CN112509648BpublicationCriticalpatent/CN112509648B/en
Activelegal-statusCriticalCurrent
Anticipated expirationlegal-statusCritical

Links

Images

Classifications

Landscapes

Abstract

The invention discloses a hydrophilic interface for sucking biological tissues, which is composed of a plurality of nano particles, and the liquid film tension calculated by the structural parameters of the hydrophilic interface satisfies the following requirements: greater than a maximum slippage force holding the biological tissue and less than a minimum trauma force holding the biological tissue; according to the invention, through accurately designing the structural parameters of the hydrophilic interface, the liquid film tension of the manufactured hydrophilic interface is accurately controlled between the maximum slippage force and the minimum damage force, so that the liquid film tension generated by the hydrophilic interface realizes stable and nondestructive clamping and traction of the interface and human tissues, and the technical problem that the tissue is easily damaged and slipped when the existing surgical instrument clamps biological tissues is solved.

Description

Hydrophilic interface for holding biological tissue
Technical Field
The invention relates to the field of manufacturing of hydrophilic interfaces of surgical instruments, in particular to a hydrophilic interface for holding biological tissues.
Background
Different from open surgery and traditional endoscopic surgery, the surgical robot finishes surgical operation through mapping action of a mechanical device, a surgeon cannot directly contact tissues, cannot feed back force load borne by a tissue hydrophilic interface in the surgery in real time through a limb receptor, judges the stress condition of the tissues only through visual feedback and the operation experience of the surgeon, has force feedback deficiency, cannot timely and accurately regulate and control force load output, and is easy to cause irreversible injuries such as tissue tearing, bleeding and the like. Therefore, how to eliminate abnormal mechanical contact of an instrument-tissue hydrophilic interface under the condition of force feedback deficiency, avoid tissue injury and slippage, fully embody the minimally invasive treatment advantages of the robot operation, and become a practical problem to be solved urgently in clinical work.
Disclosure of Invention
The invention provides a hydrophilic interface for sucking biological tissues, which is used for solving the technical problem that the tissue is easy to damage and slip when the existing surgical instrument clamps the biological tissues.
In order to solve the technical problems, the technical scheme provided by the invention is as follows:
a hydrophilic interface for holding biological tissue, the hydrophilic interface being formed from a plurality of nanoparticles, the hydrophilic interface having structural parameters that calculate a liquid film tension that satisfies: greater than a maximum slippage force holding the biological tissue and less than a minimum trauma force holding the biological tissue.
Preferably, the shape of the nanoparticle is regular hexagon, the plurality of nanoparticles of the hydrophilic interface are arranged in a honeycomb shape, and the structural parameters include the radius of the circumscribed circle of the nanoparticles and the width of the gap between adjacent nanoparticles.
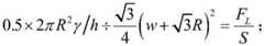
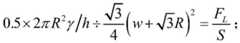
Preferably, the structural parameter of the hydrophilic interface calculates the liquid film tension by the following formula:
Figure BDA0002803550050000011
wherein R is the radius of the circumscribed circle of the nanoparticles, h is the thickness of the liquid film, gamma is the surface tension of the liquid film, w is the width of the gap between adjacent nanoparticles, and FL S is the surface area of the hydrophilic interface for creating the liquid film tension to hold the biological tissue.
Preferably, the biological tissue is any one of human small intestine tissue, human colon tissue, human liver tissue, human stomach tissue and human blood vessel tissue.
Preferably, when the biological tissue is human small intestine tissue, the structural parameter is any one of the following:
the first method comprises the following steps: the width of the gap is 16um, and the radius of the circumscribed circle is 25-70 um;
and the second method comprises the following steps: the width of the gap is 30um, and the radius of the circumscribed circle is 50-130 um;
and the third is that: the width of the gap is 50um, and the radius of the circumscribed circle is 80-220 um;
when the biological tissue is human colon tissue, the structural parameter is any one of the following:
the first method comprises the following steps: the width of the gap is 16um, and the diameter of the circumscribed circle is 40-200 um;
and the second method comprises the following steps: the width of the gap is 30um, and the diameter of the circumscribed circle is 75-200 um;
and the third is that: the width of the gap is 50um, and the diameter of the circumscribed circle is 120-330 um;
when the biological tissue is human liver tissue, the structural parameter is any one of the following:
the first method comprises the following steps: the width of the gap is 20um, and the diameter of the circumscribed circle is 16-50 um;
and the second method comprises the following steps: the width of the gap is 30um, and the diameter of the circumscribed circle is 25-80 um;
and the third is that: the width of the gap is 50um, and the diameter of the circumscribed circle is 40-120 um;
when the biological tissue is human stomach tissue, the structural parameter is any one of the following:
the first method comprises the following steps: the width of the gap is 16um, and the diameter of the circumscribed circle is 50-550 um;
and the second method comprises the following steps: the width of the gap is 30um, and the diameter of the circumscribed circle is 100-1000 um;
and the third is that: the width of the gap is 50um, and the diameter of the circumscribed circle is 170-1800 um;
when the biological tissue is human vascular tissue, the structural parameter is any one of the following:
the first method comprises the following steps: the width of the gap is 16um, and the diameter of the circumscribed circle is 35-100 um;
and the second method comprises the following steps: the width of the gap is 30um, and the diameter of the circumscribed circle is 60-180 um;
and the third is that: the width of the gap is 50um, and the diameter of the circumscribed circle is 100-300 um.
Preferably, the hydrophilic interface includes a substrate and a plurality of adsorption portions, the adsorption portions are arranged in a row on the surface of the substrate, a groove portion is arranged between the adsorption portions, and the adsorption portions are formed by the nanoparticles.
Preferably, the shape of the plurality of adsorption parts is any one or a combination of several of strip, wave, lattice and grid.
Preferably, the adsorption part includes a plurality of adsorption units made of nanoparticles, and a gap is provided between adjacent adsorption units.
Preferably, the plurality of adsorption units are arranged in a honeycomb shape.
The invention has the following beneficial effects:
1. according to the hydrophilic interface for sucking the biological tissue, the structural parameters of the hydrophilic interface are accurately designed, so that the liquid film tension of the manufactured hydrophilic interface is accurately controlled between the maximum slippage force and the minimum injury force, the stable and nondestructive clamping and traction of the interface and the human tissue are realized by the liquid film tension generated by the hydrophilic interface, and the technical problem that the tissue is easily damaged and slipped when the biological tissue is clamped by the conventional surgical instrument is solved.
In addition to the above-described objects, features and advantages, the present invention has other objects, features and advantages. The present invention will be described in further detail below with reference to the accompanying drawings.
Drawings
The accompanying drawings, which are incorporated in and constitute a part of this application, illustrate embodiments of the invention and, together with the description, serve to explain the invention and not to limit the invention. In the drawings:
FIG. 1 is a flow chart of a method of making a hydrophilic interface for holding biological tissue in accordance with a preferred embodiment of the present invention;
FIG. 2 is a partial block diagram of a hydrophilic interface in a preferred embodiment of the present invention;
FIG. 3 is a first block diagram of a hydrophilic interface in a preferred embodiment of the present invention;
FIG. 4 is a second block diagram of a hydrophilic interface in a preferred embodiment of the invention.
Detailed Description
The embodiments of the invention will be described in detail below with reference to the drawings, but the invention can be implemented in many different ways as defined and covered by the claims.
The first embodiment is as follows:
in the present invention, the maximum slip-out force is defined as the minimum holding force capable of holding the biological tissue in the vertical direction of the tissue surface and preventing the tissue from slipping out of the forceps, and the minimum damage force is defined as the minimum holding force capable of holding the biological tissue in the vertical direction of the tissue surface and causing the tissue damage; since the maximum slippage force and the minimum injury force are related to the magnitude of the clamping force, the magnitude of the clamping force is defined as the force with which the tissue is pulled or unfolded horizontally.
The holding force of the hydrophilic interface is derived from liquid film tension, viscosity-dependent hydrodynamic pressure and intermolecular force (van der waals force), wherein the liquid film tension plays a main role and is influenced by the structure of the hydrophilic interface, so that the prepared hydrophilic interface has the liquid film tension between the maximum slipping force and the minimum damage force of the biological tissue by adjusting the structural parameters of the hydrophilic interface, and the hydrophilic interface capable of stably clamping without damaging the biological tissue is manufactured.
Therefore, in the invention, aiming at the clinical problem that tissues are easy to damage in the operation process due to the lack of surgical force feedback of a surgical robot, the salamander and wood frog sole microstructures are referred to, and the multi-dimensional wettability modification is carried out on the micro surfaces of the clamping instruments on the basis of the low-damage appearance of the instrument interface by adopting the photoetching-laminating technology and the sputtering-etching technology on the basis of the boundary liquid film regulation mechanism, the boundary strong friction mechanism and the directional friction mechanism to construct the interface hydrophilic micro-nano structure, so that a hydrophilic interface is formed, and the boundary liquid film tension and the boundary friction force of the instrument interface are increased.
The invention discloses a hydrophilic interface for sucking biological tissues, which is composed of a plurality of nano particles, and the liquid film tension calculated by the structural parameters of the hydrophilic interface satisfies the following requirements: greater than a maximum slippage force holding the biological tissue and less than a minimum trauma force holding the biological tissue.
According to the hydrophilic interface for sucking the biological tissue, the structural parameters of the hydrophilic interface are accurately designed, so that the liquid film tension of the manufactured hydrophilic interface is accurately controlled between the maximum slippage force and the minimum injury force, the stable and nondestructive clamping and traction of the interface and the human tissue are realized by the liquid film tension generated by the hydrophilic interface, and the technical problem that the tissue is easily damaged and slipped when the biological tissue is clamped by the conventional surgical instrument is solved.
Example two:
the second embodiment is an expanded embodiment of the first embodiment, and is different from the first embodiment in that a method for manufacturing a hydrophilic interface for holding a biological tissue is introduced and a hydrophilic interface for holding a biological tissue is refined, where the method for manufacturing a hydrophilic interface for holding a biological tissue specifically includes the following steps, as shown in fig. 1:
(1) obtaining a maximum slippage force and a minimum trauma force holding the biological tissue:
step 1: clamping the biological tissue by using a clamping force (such as 1N) with initial force along the vertical direction of the surface of the biological tissue by using a binding clip, and observing whether the biological tissue can be clamped by the binding clip under the initial force;
1A, if the biological tissue can not be clamped (namely, when the forceps head and the tissue are moved by naked eyes), f is gradually increased on the basis of the initial forceα (e.g., 0.5N) with each increment fα The clamping force holds the biological tissue until f is increasedα The later clamping force clamps the biological tissue, and f is gradually reduced on the basis of the current clamping forceμ (e.g., 0.1N) and decrease f each timeμ The clamping force holds the biological tissue until f is reducedμ The back clamping force can not clamp the biological tissue, and then the current clamping force + fμ I.e. the maximum slip force;
1B if the biological tissue can be clamped (i.e. the forceps head and the tissue move with naked eyes), f is gradually reduced on the basis of the initial forceα With each reduction of fα The latter clamping force clamps the biological tissue until f is reducedα The later clamping force can not clamp the biological tissue, and f is gradually increased on the basis of the current forceμ With each increase of fμ The latter clamping force clamps the biological tissue until the increased fμ The clamping force can clamp the biological tissue, and the current force is the maximum slipping force;
step 2: increasing f gradually on the basis of maximum slipping forceα With each increment of fα The latter clamping force clamps the biological tissue until f is increasedα When the biological tissue is clamped by the later clamping force, macroscopic damage is caused, and f is gradually reduced on the basis of the current forceμ With each decrease of fμ The clamping force holds the biological tissue until f is reducedμ Clamping the biological tissue by the later clamping force without causing macroscopic damage, and then, clamping the biological tissue by the current force + fμ The maximum force of injury is the maximum force of injury.
(2) Selecting a force value which is greater than the maximum slippage force and less than the minimum damage force as the optimized liquid film tension:
since the maximum slip force and the minimum damage force may be measured with a certain error in an actual test, an intermediate value between the two values of the maximum slip force and the minimum damage force is preferably used as the optimum liquid film tension.
(3) Determining an optimized structural parameter value corresponding to the optimized liquid film tension according to the relationship between the structural parameter of the hydrophilic interface and the liquid film tension:
determining the shape of the nano particles used for preparing the hydrophilic interface, and constructing an objective function model between the structural parameters of the hydrophilic interface and the liquid film tension according to the shape of the nano particles; the objective function model takes the structure parameter as an independent variable and takes the liquid film tension as a dependent variable;
and bringing the optimized liquid film tension into the objective function model, and solving a structural parameter corresponding to the optimal solution of the objective function model.
In this embodiment, the shape of the nanoparticle is a regular hexagon, the structural parameters include the radius of the circumscribed circle of the nanoparticle and the width of the gap between adjacent nanoparticles, and in order to achieve the purpose of "clamping without slipping, holding without damaging", the micro-nano structural parameters must be made: the circumscribed radius of the nano particles and the width of the gap between adjacent nano particles are kept within a certain range, so that the liquid film tension is within the range of a safety domain of the biological tissue, wherein the range of the safety domain is [ maximum slipping force, minimum damage force ].
As shown in fig. 2, the nanoparticles may generate liquid film tension, and the gap portions between adjacent nanoparticles are free of liquid film tension. Therefore, for the whole hydrophilic interface, the average liquid film tension is equivalent to that generated by three blue areas of the upper graph and is evenly distributed in an area formed by a triangle with the side length being L, namely, the liquid film tensions generated by 1/2 hexagons are evenly distributed in the triangular area, and therefore, the liquid film tension is calculated by adopting the following objective function model:
Figure BDA0002803550050000051
wherein R is the circumscribed radius of the nanoparticles, h is the thickness of the liquid film, γ is the surface tension of the liquid film, w is the gap width between adjacent nanoparticles, and FL For liquid film tension, S is the surface area of the hydrophilic interface that is used to create the liquid film tension to hold the biological tissue, set by the size of the gripping device of the instrument being used.
In this embodiment, the surface tension γ of the liquid film can be obtained by using an empirical formula of Harkins (hagus): gamma 75.796-0.145T-0.00024T2 T is in degrees Celsius and gamma is in mN/m, the empirical formula is applicable at temperatures of 10-60 ℃ and gamma is 70.427mN/m at 35 ℃.
According to practical experience, when the thickness of the liquid film is less than 200nm, the liquid film on the surface of the nano particles deforms and is in adhesive contact with biological tissues, so that the effect of adsorbing the biological tissues by the nano particles is achieved, and when the thickness of the liquid film is further reduced, the surface tension gamma of the liquid film is difficult to further maintain deformation, so that the surfaces of the nano particles are quickly separated from the biological tissues, and residual liquid is left between the nano particles. Therefore, the liquid film thickness was temporarily set to 200 nm.
Wherein, since the interface is practically applied to the clamping device of the surgical robot, according to the size of the contact surface between the clamping device and the biological tissue, in the embodiment, the dimension of the hydrophilic interface is defined as 20mm long and 5mm wide, i.e. the surface area of the hydrophilic interface is 100 × 106 um2
After determining the thickness of the liquid film, the surface area of the hydrophilic interface, the surface tension of the liquid film and the optimized liquid film tension, substituting the thickness of the liquid film, the surface area of the hydrophilic interface, the surface tension of the liquid film and the optimized liquid film tension into the objective function model, and solving the optimal solution of the objective function model by taking the circumscribed circle radius threshold value and the gap width threshold value of the selected nano particles as constraint conditions, namely R is greater than 0 and less than 50nm, wherein the types of the nano particles selected by the circumscribed circle radius threshold value and the gap width threshold value of the nano particles, the selected preparation process and the selected equipment are determined.
The hydrophilic interface manufactured according to the circumscribed radius and the gap width of the nano particles corresponding to the optimal solution of the nano particles can be prepared by a photoetching-film coating method and a 3D printing method.
Wherein, the first hydrophilic interface is constructed as shown in fig. 3, the left drawing of fig. 3 is a macroscopic top view of the first clear water interface in the invention, the black part in fig. 3 represents a micro-nano structure, namely an adsorption part, and the white part is a groove part; the middle diagram in fig. 3 is an enlargement of the interface of the left diagram part, the upper diagram in fig. 3 is an enlargement of the black part (i.e., the absorption part) of the left diagram, the black part (i.e., the absorption part) of the left diagram is composed of gray hexagonal parts alternate with grooves, the gray area is the contact part with the tissue, the black part is a small groove, and the white part is a large groove. Fig. 3 right is a macroscopic side view of the entire interface: the gray columns represent the hexagons of the middle graph, and the white areas between the two gray columns represent the small trenches of the middle graph; the white area between the two black columns (i.e., the substrate) represents the large trench of the middle image;
in fig. 3, the macroscopic structure of the interface is a white groove part and a black contact area, the purpose of clamping is achieved through occlusion deformation of tissues from a macroscopic view, a large number of hexagonal bionic structures are arranged in the black contact area after further amplification, the structures can clamp the tissues through the generated liquid film tension, the characteristics of the traditional tissue forceps are kept by the hydrophilic interface in fig. 3, and the advantages of the novel bionic tissue forceps are integrated.
The constructed second hydrophilic interface is shown in fig. 4, and the left diagram of fig. 4 is a macroscopic top view of the second interface, wherein a black part represents a micro-nano structure, namely an adsorption part, and a white part is a groove part; the middle diagram of fig. 4 is an enlarged view of the interface of the left diagram part, wherein the upper part is an enlargement of the black part (i.e. the adsorption part) of the left diagram, and it can be seen that the black part (i.e. the adsorption part) of the left diagram of fig. 4 is composed of hexagonal parts with grooves at intervals, wherein the hexagonal parts are composed of cylinders with more tiny gray dots. Wherein the gray area is the contact part with the tissue, the black part is the small groove, and the white part is the large groove. The right image of fig. 4 is a macroscopic side view of the entire interface: the gray columns represent the columns of the middle graph, and the white areas between the two gray columns represent the small grooves of the middle graph; the white area between the two black columns (i.e., the substrate) represents the large trench of the middle figure. The hexagonal structure of the second hydrophilic interface in fig. 4 is more tiny than fig. 3, can regard as being the cellular secondary structure at the structural increase of fig. 3, and this interface has the hexagonal structure to have more meticulous secondary structure on the hexagonal structure, more accord with wood frog, newt sole micro-nano structure.
In this embodiment, the shape of the plurality of adsorption parts is any one or a combination of several of a strip shape, a wave shape, a lattice shape and a grid shape.
In this embodiment, the biological tissue may be either human tissue or animal tissue, wherein the biological tissue may be stomach, small intestine, colon, rectum, liver, gallbladder, blood vessel, omentum, etc.
The interface manufactured in the embodiment can be used for a clamping device of a surgical robot, can also be used for other medical instruments, such as a laparoscope, surgical forceps, surgical tweezers and the like, and can also be used for other biomedical instruments.
The method for manufacturing the hydrophilic interface for sucking the biological tissue can be particularly applied to constructing the hydrophilic micro-nano structure interface of the surgical robot instrument, and accurately designing the structural parameters of the hydrophilic micro-nano structure, so that the tension of the boundary liquid film of the interface and the boundary friction force are increased, the interface and the human tissue are stably clamped and drawn only through the boundary friction force generated by the tension of the boundary liquid film of the instrument interface, and no tissue deformation damage exists. Meanwhile, according to the damage force load range of different human tissues (such as stomach, small intestine, colon, rectum, liver, gallbladder, blood vessel, omentum and the like), the microstructure parameters of the hydrophilic interface corresponding to the damage force load range are determined, the maximum liquid film tension of the interface is designed to be less than the minimum damage force, and the interface can be separated from the tissue when the tissue is about to be damaged. Research and manufacture non-invasive robot instrument interfaces suitable for different tissues of human bodies.
According to the steps, the optimal hydrophilic interface of the following biological tissues is obtained through experimental calculation:
small intestine: the measurement result of the security domain of the rabbit intestines of the team is as follows: the minimum injury force is 5.6-8.56N (smooth forceps head), and in view of this, the safety domain of human intestinal tissues is estimated to be about 7-12N. Meanwhile, due to the limitation of the preparation process, the minimum morphology of the prepared micro-nano structure is 16 um. Therefore, aiming at small intestinal tissues, a hexagonal bionic interface with the gap width of 16um and the diameter of the circumscribed circle of the nano particles of 25-70um can be prepared; or the width of the gap is 30um, the diameter of the circumscribed circle of the nano particles is 50-130um, or the width of the gap is 50um, the diameter of the circumscribed circle of the nano particles is 80-220um, and so on.
Colon: the safety threshold of the pig cecum is 22-37N under 5N tension by using a 16 mm-8 mm plane clamp. Considering that the pulling force in human surgery is less than 5N, the safety domain estimation value of human colon is 10-18N. Therefore, aiming at small intestinal tissues, a hexagonal bionic interface with the gap width of 16um and the diameter of the circumscribed circle of the nano particles of 40-200um can be prepared; or the width of the gap is 30um, the diameter of the circumscribed circle of the nanoparticles is 75-200um, or the width of the gap is 50um, and the diameter of the circumscribed circle of the nanoparticles is 120-330 um.
Liver: under the condition of no tension, the thickness of the material is 24.0mm2 The tooth-shaped forceps clamp the fresh pork liver, and the tissue damage force is 5N. Therefore, the safety domain estimation value of human liver tissue is 6-10N. Therefore, aiming at small intestinal tissues, a hexagonal bionic interface with the gap width of 20um and the diameter of the circumscribed circle of the nano particles of 16-50um can be prepared; or betweenThe width of the gap is 30um, the diameter of the circumscribed circle of the nano particles is 25-80um, or the width of the gap is 50um, and the diameter of the circumscribed circle of the nano particles is 40-120 um.
Stomach: considering that the stomach wall tissue is thick, the muscle layer and the submucosa layer are rich, and the pressure resistance is strong, the value of the safety domain of the stomach tissue is estimated to be 12-20N. Therefore, aiming at small intestinal tissues, a hexagonal bionic interface with the groove width of 16um and the hexagonal diameter of 50-550um can be prepared; or the width of the groove is 30um, the diameter of the hexagon is 100-.
Blood vessel: the vascular wall contains abundant elastic fibers, but the vascular intima is fragile and easy to be damaged by force, and the value of the vascular safety domain is estimated to be 9-15N. Therefore, aiming at small intestinal tissues, a hexagonal bionic interface with the groove width of 16um and the hexagonal diameter of 35-100um can be prepared; or the width of the groove is 30um, the diameter of the hexagon is 60-180um, or the width of the groove is 50um, and the diameter of the hexagon is 100-300 um.
In summary, the method and system for manufacturing a hydrophilic interface for holding biological tissues in the present invention study the relationship between the damage force load range (i.e., the safety domain composed of the difference between the minimum damage force and the maximum slippage force in the vertical direction) of different human tissues (e.g., stomach, small intestine, colon, rectum, liver, gallbladder, blood vessel, omentum, etc.), the physiological anatomical features of different human tissues and the micro-nano structure parameters of different types of hydrophilic interfaces, explore the damage force load range of different tissues, and the maximum boundary friction force generated by different hydrophilic micro-nano structures; by accurately controlling the interface micro-nano structure parameters, the maximum liquid film tension of the interface is less than the minimum tissue damage force, the interface is automatically separated from the tissue before the tissue is damaged, and the mechanical damage of the instrument and the tissue is avoided, so that the function is not possessed by the existing laparoscopic surgical instrument and the existing imported surgical robot instrument.
The above description is only for the purpose of illustrating preferred embodiments of the present invention and is not to be construed as limiting the present invention, and it will be apparent to those skilled in the art that various modifications and variations can be made in the present invention. Any modification, equivalent replacement, or improvement made within the spirit and principle of the present invention should be included in the protection scope of the present invention.

Claims (7)

1. A hydrophilic interface for holding biological tissue, wherein the hydrophilic interface is formed from a plurality of nanoparticles, and the structural parameters of the hydrophilic interface calculate a liquid film tension that satisfies: greater than a maximum slippage force holding the biological tissue and less than a minimum trauma force holding the biological tissue;
the shape of the nano particles is regular hexagon, a plurality of nano particles of the hydrophilic interface are arranged in a honeycomb shape, and the structural parameters comprise the radius of a circumscribed circle of the nano particles and the width of a gap between adjacent nano particles;
the structural parameters of the hydrophilic interface calculate the liquid film tension by the following formula:
Figure FDA0003718169200000011
wherein R is the radius of the circumscribed circle of the nanoparticles, h is the thickness of the liquid film, gamma is the surface tension of the liquid film, w is the width of the gap between adjacent nanoparticles, and FL S is the surface area of the hydrophilic interface for creating the liquid film tension to hold the biological tissue.
2. The hydrophilic interface for holding biological tissue according to claim 1, wherein the biological tissue is any one of human small intestine tissue, human colon tissue, human liver tissue, human stomach tissue, and human blood vessel tissue.
3. The hydrophilic interface for holding biological tissue according to claim 2, wherein when the biological tissue is human small intestine tissue, the structural parameter is any one of:
the first method comprises the following steps: the width of the gap is 16um, and the radius of the circumscribed circle is 25-70 um;
and the second method comprises the following steps: the width of the gap is 30um, and the radius of the circumscribed circle is 50-130 um;
and the third is that: the width of the gap is 50um, and the radius of the circumscribed circle is 80-220 um;
when the biological tissue is human colon tissue, the structural parameter is any one of the following:
the first method comprises the following steps: the width of the gap is 16um, and the diameter of the circumscribed circle is 40-200 um;
and the second method comprises the following steps: the width of the gap is 30um, and the diameter of the circumscribed circle is 75-200 um;
and the third is that: the width of the gap is 50um, and the diameter of the circumscribed circle is 120-330 um;
when the biological tissue is human liver tissue, the structural parameter is any one of the following:
the first method comprises the following steps: the width of the gap is 20um, and the diameter of the circumscribed circle is 16-50 um;
and the second method comprises the following steps: the width of the gap is 30um, and the diameter of the circumscribed circle is 25-80 um;
and the third is that: the width of the gap is 50um, and the diameter of the circumscribed circle is 40-120 um;
when the biological tissue is human stomach tissue, the structural parameter is any one of the following:
the first method comprises the following steps: the width of the gap is 16um, and the diameter of the circumscribed circle is 50-550 um;
and the second method comprises the following steps: the width of the gap is 30um, and the diameter of the circumscribed circle is 100-1000 um;
and the third is that: the width of the gap is 50um, and the diameter of the circumscribed circle is 170-1800 um;
when the biological tissue is human vascular tissue, the structural parameter is any one of the following:
the first method comprises the following steps: the width of the gap is 16um, and the diameter of the circumscribed circle is 35-100 um;
and the second method comprises the following steps: the width of the gap is 30um, and the diameter of the circumscribed circle is 60-180 um;
and the third is that: the width of the gap is 50um, and the diameter of the circumscribed circle is 100-300 um.
4. The hydrophilic interface for holding biological tissue as claimed in any one of claims 1 to 3, wherein the hydrophilic interface comprises a substrate and a plurality of adsorption portions, the plurality of adsorption portions are arranged in a row on the surface of the substrate, and a groove portion is arranged between the plurality of adsorption portions, and the plurality of adsorption portions are composed of the plurality of nano particles.
5. The hydrophilic interface for holding biological tissue as claimed in claim 4, wherein the shape of the plurality of adsorption portions is any one or a combination of strips, waves, lattices and grids.
6. The hydrophilic interface for holding biological tissue according to claim 5, wherein the adsorption portion comprises a plurality of adsorption units made of nanoparticles, and a gap is provided between adjacent adsorption units.
7. The hydrophilic interface for holding biological tissue according to claim 6, wherein a plurality of the adsorption units are arranged in a honeycomb shape.
CN202011359359.XA2020-11-272020-11-27Hydrophilic interface for holding biological tissueActiveCN112509648B (en)

Priority Applications (1)

Application NumberPriority DateFiling DateTitle
CN202011359359.XACN112509648B (en)2020-11-272020-11-27Hydrophilic interface for holding biological tissue

Applications Claiming Priority (1)

Application NumberPriority DateFiling DateTitle
CN202011359359.XACN112509648B (en)2020-11-272020-11-27Hydrophilic interface for holding biological tissue

Publications (2)

Publication NumberPublication Date
CN112509648A CN112509648A (en)2021-03-16
CN112509648Btrue CN112509648B (en)2022-09-09

Family

ID=74967013

Family Applications (1)

Application NumberTitlePriority DateFiling Date
CN202011359359.XAActiveCN112509648B (en)2020-11-272020-11-27Hydrophilic interface for holding biological tissue

Country Status (1)

CountryLink
CN (1)CN112509648B (en)

Citations (5)

* Cited by examiner, † Cited by third party
Publication numberPriority datePublication dateAssigneeTitle
CN101149538A (en)*2002-03-262008-03-26积水化学工业株式会社Spacer particle dispersion liquid
CN103889562A (en)*2011-05-272014-06-25康奈尔大学 Nanoparticle-functionalized membranes and methods for their preparation and use
WO2017171198A1 (en)*2016-03-312017-10-05주식회사 지유디이에스Method for producing nanomaterial to implement superhydrophobicity by means of surface tension maximization
CN107774142A (en)*2017-11-222018-03-09中国科学院成都生物研究所湖州生物资源利用与开发创新中心A kind of preparation method of hydrophilic polyfluortetraethylemicroporous microporous membrane
CN108113997A (en)*2016-11-282018-06-05深圳深见医药科技有限公司 Application of gold clusters or substances containing gold clusters in the preparation of drugs for preventing and/or treating glaucoma

Family Cites Families (3)

* Cited by examiner, † Cited by third party
Publication numberPriority datePublication dateAssigneeTitle
WO2005037070A2 (en)*2003-10-112005-04-28The Regents Of The University Of CaliforniaMethod and system for nerve repair, nanoknife, mems platform and uses thereof
KR101313812B1 (en)*2007-09-072013-09-30삼성전자주식회사Method of fabrication of liquid film, method of arranging nano paticles and substrate to have liquid thin film manufactured by using the same
US9214393B2 (en)*2012-04-022015-12-15Taiwan Semiconductor Manufacturing Co., Ltd.Surface tension modification using silane with hydrophobic functional group for thin film deposition

Patent Citations (5)

* Cited by examiner, † Cited by third party
Publication numberPriority datePublication dateAssigneeTitle
CN101149538A (en)*2002-03-262008-03-26积水化学工业株式会社Spacer particle dispersion liquid
CN103889562A (en)*2011-05-272014-06-25康奈尔大学 Nanoparticle-functionalized membranes and methods for their preparation and use
WO2017171198A1 (en)*2016-03-312017-10-05주식회사 지유디이에스Method for producing nanomaterial to implement superhydrophobicity by means of surface tension maximization
CN108113997A (en)*2016-11-282018-06-05深圳深见医药科技有限公司 Application of gold clusters or substances containing gold clusters in the preparation of drugs for preventing and/or treating glaucoma
CN107774142A (en)*2017-11-222018-03-09中国科学院成都生物研究所湖州生物资源利用与开发创新中心A kind of preparation method of hydrophilic polyfluortetraethylemicroporous microporous membrane

Non-Patent Citations (3)

* Cited by examiner, † Cited by third party
Title
"Chinese surgical robot micro hand S: A consecutive case series in general surgery";Yuanbing Yao.et al;《ELSEVIER》;20200331;第75卷;全文*
"Solid surface tension measured by a liquid drop under a solid film";Nichole Nadermann.et al;《www.pnas.org/cgi/doi/10.1073/pnas.1304587110》;20130625;第110卷(第26期);全文*
"界面张力对低渗亲水储层自发渗吸的影响";李爱芬等;《中国石油大学学报(自然科学版)》;20180831;第42卷(第4期);全文*

Also Published As

Publication numberPublication date
CN112509648A (en)2021-03-16

Similar Documents

PublicationPublication DateTitle
ES2920776T3 (en) Surgical Instrument with Edge State Optimized for Bonding
CN111938869B (en) Tissue clamp and valve clamping device
US10207299B2 (en)Systems and methods for active biofouling control
US20050059988A1 (en)Surgical clamp inserts with hooked traction elements
US9253975B2 (en)Tool for transferring membranous tissue, kit and method for transferring membranous tissue
CN104116528A (en)Endoscopic surgery instrument outer sheath based on soft continuum mechanism
WO2004066846A1 (en)Surgical clamp inserts with micro-tractive surfaces
WO2003032844A1 (en)Manipulation of an organ
CN104083190B (en)A kind of medical operating instrument is engaged position surface texture
JP2022055090A (en)Medical device having curved shape for transferring implant piece
Vallet et al.Analysis of suction-based gripping strategies in wildlife towards future evolutions of the obstetrical suction cup
CN112509648B (en)Hydrophilic interface for holding biological tissue
CN112509646A (en)Hydrophilic interface manufacturing method and system for holding biological tissue
CN112509647A (en)Hydrophilic interface selection system and method for holding biological tissue
JP2012157445A (en)Gel film for treating corneal endothelial cell defects
CN214805945U (en)Adjustable eyelid closure assistor without stitching
CN114869370A (en)Liver suspension device under peritoneoscope
CN112635022A (en)Method and system for evaluating hydrophilic interface for holding biological tissue
CN203042372U (en)Pincers special for laparoscope tumor operation
US10213269B2 (en)Depth limiter for suturing devices and methods thereof
US20110301434A1 (en)Implantable Device and Surgical Implantation Technique
CN220069807U (en)Forceps head of surgical forceps for laparoscopic minimally invasive surgery
CN114469224A (en)Dura mater clip
BRPI0414468B1 (en) insert for attachment to a claw type surgical instrument adapted to grasp or occlude a vessel
Mukhina et al.In vivo estimation of skin elasticity: would you choose US Shear Wave Elastography or a custom-made aspiration device?

Legal Events

DateCodeTitleDescription
PB01Publication
PB01Publication
SE01Entry into force of request for substantive examination
SE01Entry into force of request for substantive examination
GR01Patent grant
GR01Patent grant

[8]ページ先頭

©2009-2025 Movatter.jp