



技术领域technical field
本发明属于无线通信技术领域,具体的说是涉及一种基于环境反向散射的定位系统。The invention belongs to the technical field of wireless communication, and in particular relates to a positioning system based on environment backscattering.
背景技术Background technique
随着5G时代的到来,物联网将迎来飞速发展的阶段,未来通信网络将会随着物联网设备的急速增长而带来巨大的流量和巨大的连接数。在当前5G时代乃至于未来6G新愿景下,高效利用频谱资源是解决物联网巨流量巨连接挑战的有效手段之一。,环境反向散射技术将传统反向散射通信系统的专用射频源替换成环境射频源,可以减少部署专用射频源的成本,提升了频谱资源的利用率,具有实现高频谱效率、低能耗的定位系统的潜力。With the advent of the 5G era, the Internet of Things will usher in a stage of rapid development. The future communication network will bring huge traffic and a huge number of connections with the rapid growth of IoT devices. In the current 5G era and even the new vision of 6G in the future, efficient use of spectrum resources is one of the effective means to solve the challenges of huge traffic and huge connections in the Internet of Things. , the ambient backscatter technology replaces the dedicated radio frequency source of the traditional backscatter communication system with an ambient radio frequency source, which can reduce the cost of deploying a dedicated radio frequency source, improve the utilization of spectrum resources, and have the positioning of achieving high spectrum efficiency and low energy consumption system potential.
在现实应用场景中,射频源信号和环境反向散射信号通常都来自不同的方向,利用这个特点,可以在空域中区分射频源信号和环境反向散射信号,进而可以得到相应的信号到达方向。在一些应用场景中,可以实现对反向散射体的信号方向进行准确的估计,进而实现对反向散射体的定位。In practical application scenarios, the RF source signal and the ambient backscatter signal usually come from different directions. Using this feature, the RF source signal and the ambient backscatter signal can be distinguished in the airspace, and then the corresponding signal arrival direction can be obtained. In some application scenarios, it is possible to accurately estimate the signal direction of the backscatterer, and then realize the positioning of the backscatterer.
发明内容Contents of the invention
本发明的主要内容是提出一种基于环境反向散射技术的定位系统设计,实现了对环境反向散射体的定位。The main content of the present invention is to propose a positioning system design based on environment backscattering technology, which realizes the positioning of environment backscattering objects.
本发明使用接收机接收信号,接收到的信号通常包含来自环境射频源的直射链路信号和经过反向散射体反向散射的环境信号,接收机通过空域信号处理技术计算信号的到达角度,计算结果通常包含了两个角度,即直射链路信号和反向散射信号的到达角度。本发明利用反向散射信号相比较于直射链路信号会经历两次衰落的特性,可以区分直射链路和反向散射信号的到达角度,得到反向散射信号的到达角度后,通过系统方案低成本高效率地解算出反向散射体的坐标。The present invention uses a receiver to receive signals, and the received signals usually include direct link signals from environmental radio frequency sources and environmental signals backscattered by backscatterers, and the receiver calculates the angle of arrival of the signals through the air domain signal processing technology, and calculates The results usually include two angles, the angle of arrival of the direct link signal and the backscattered signal. Compared with the direct link signal, the present invention uses the characteristic that the backscatter signal will experience two fadings, and can distinguish the angle of arrival of the direct link and the backscatter signal. After obtaining the angle of arrival of the backscatter signal, the system scheme can reduce Cost-effectively solve for the coordinates of backscatterers.
本发明的技术方案是:Technical scheme of the present invention is:
一种基于环境反向散射的定位系统,包括射频源、多个有M根天线的接收机、反向散射装置,M≥3;接收机接收直接链路信号和经过反向散射装置反向散射的环境信号,接收机分别获得直射链路信号和反向散射信号的到达角度,根据反向散射信号的到达角度和已知的多个接收机的位置坐标,获得反向散射装置的坐标。A positioning system based on environmental backscattering, including a radio frequency source, multiple receivers with M antennas, and a backscattering device, M≥3; the receiver receives direct link signals and backscatters them through the backscattering device The receiver obtains the angle of arrival of the direct link signal and the backscatter signal respectively, and obtains the coordinates of the backscatter device according to the angle of arrival of the backscatter signal and the known position coordinates of multiple receivers.
所述接收机分别获得直射链路信号和反向散射信号的到达角度的具体方法为:The specific method for the receiver to respectively obtain the angle of arrival of the direct link signal and the backscatter signal is as follows:
假设接收机接收到的信号为:Suppose the signal received by the receiver is:
y(t)=yd(t)+yb(t)+ω(t)y (t )=yd(t)+yb(t)+ω(t)
其中,yd(t)为接收到的直接链路信号,yb(t)为接收到的反向散射信号,ω(t)是服从循环对称高斯分布的噪声;通过DOA估计算法分别获得直射链路信号和反向散射信号的到达角度,再根据反向散射信号相比较于直射链路信号会经历两次衰落的特性,区分出直射链路和反向散射信号的到达角度。Among them, yd (t) is the received direct link signal, yb (t) is the received backscatter signal, ω(t) is the noise obeying the circular symmetric Gaussian distribution; the direct link is obtained by DOA estimation algorithm respectively The angle of arrival of the link signal and the backscatter signal, and then according to the characteristics that the backscatter signal will experience two fading compared with the direct link signal, distinguish the angle of arrival of the direct link and the backscatter signal.
所述获得反向散射装置的坐标的具体方法为:The specific method for obtaining the coordinates of the backscattering device is:
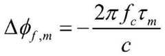
假设位置坐标为(x0,y0)的接收机获得的到达角度为θ0,在位置坐标为(x1,y1)的接收机获得的到达角度为θ1,则获得反向散射装置的坐标为:Suppose the angle of arrival obtained by the receiver at position coordinates (x0 , y0 ) is θ0 , and the angle of arrival obtained by the receiver at position coordinates (x1 , y1 ) is θ1 , then the backscatter device coordinate of for:
上述方案为针对采用多个接收机的情况,对于采用一个接收机的情况,根据接收机在不同位置坐标获得的反向散射信号的到达角度,来计算反向散射装置的坐标即可,具体为:The above scheme is for the case of using multiple receivers. For the case of using one receiver, the coordinates of the backscatter device can be calculated according to the angle of arrival of the backscatter signal obtained by the receiver at different position coordinates, specifically :
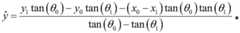
假设接收机在位置坐标(x0,y0)处获得的到达角度为θ0,将接收机移动到位置坐标(x1,y1)处获得的到达角度为θ1,则获得反向散射装置的坐标为:Suppose the angle of arrival obtained by the receiver at the position coordinate (x0 , y0 ) is θ0 , and the angle of arrival obtained by moving the receiver to the position coordinate (x1 , y1 ) is θ1 , then the backscatter device coordinates for:
本发明的有益效果是:通过利用环境反向散射通信系统中射频源信号和反射信号通常不会以相同角度到达接收机的特性,单独估计出反射信号的到达角度,进而估计出反向散射体的具体位置。该方案适用于物流仓库等室内平面定位场景,方案实施简单,具有很强的应用价值。The beneficial effect of the present invention is: by using the characteristic that the radio frequency source signal and the reflected signal in the environmental backscatter communication system usually do not arrive at the receiver at the same angle, the arrival angle of the reflected signal is estimated separately, and then the backscattering body is estimated specific location. This solution is suitable for indoor plane positioning scenarios such as logistics warehouses. The solution is simple to implement and has strong application value.
附图说明Description of drawings
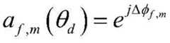
图1为本发明的系统结构示意图;Fig. 1 is a schematic diagram of the system structure of the present invention;
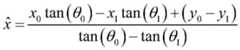
图2为本发明的实施流程示意图;Fig. 2 is the implementation flow schematic diagram of the present invention;
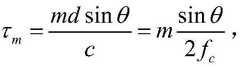
图3为仿真中反向散射链路到达角估计准确率与反向散射链路信噪比关系示意图;Figure 3 is a schematic diagram of the relationship between the backscatter link angle of arrival estimation accuracy and the backscatter link signal-to-noise ratio in the simulation;
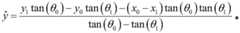
图4为定位仿真蒙特卡罗实验结果示意图。Figure 4 is a schematic diagram of the results of the positioning simulation Monte Carlo experiment.
具体实施方式Detailed ways
下面结合附图和仿真示例对本发明进行详细的描述。The present invention will be described in detail below in conjunction with the accompanying drawings and simulation examples.
如图1所示,本发明的定位系统,包括环境射频源、一台或多台部署有M(M≥3)根天线的接收机、反向散射体。其中,环境射频源不需要单独部署,可以以附近的基站,WiFi热点作为射频信号源。反向散射体上可以部署单天线,也可以部署多天线。每台接收机设备部署M根接收天线,如果使用两台及以上接收机进行接收,则通过将接收机部署在不同的已知位置,同时计算出反向散射信号的多个到达角,进而解算出反向散射体的坐标。如果使用一台接收机进行接收,则可以通过将接收机按照固定的规律移动到已知位置,通过移动过程模拟多接收机接收信号,进而解算出反向散射体的坐标。As shown in FIG. 1 , the positioning system of the present invention includes an ambient radio frequency source, one or more receivers equipped with M (M≥3) antennas, and a backscatterer. Among them, the environmental radio frequency source does not need to be deployed separately, and nearby base stations and WiFi hotspots can be used as radio frequency signal sources. A single antenna or multiple antennas can be deployed on a backscatterer. Each receiver device deploys M receiving antennas. If two or more receivers are used for reception, the receivers are deployed at different known positions and multiple arrival angles of the backscattered signals are calculated at the same time to solve the problem of Calculate the coordinates of the backscatterer. If a receiver is used for reception, the receiver can be moved to a known position according to a fixed rule, and the reception of signals by multiple receivers can be simulated through the moving process, and then the coordinates of the backscatterer can be calculated.
图中h代表环境射频源到反向散射体的信道参数,f代表环境射频源到接收机的信道参数,g代表反向散射体到接收机的信道参数。In the figure, h represents the channel parameter from the ambient radio frequency source to the backscatterer, f represents the channel parameter from the ambient radio frequency source to the receiver, and g represents the channel parameter from the backscatterer to the receiver.
本发明中:In the present invention:
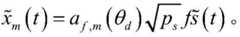
环境射频源发射射频源信号其中s(t)是环境射频源基带信号,发射功率为ps,fc是环境射频源信号的载波频率。Environmental RF source emits RF source signal Where s(t) is the baseband signal of the ambient RF source, the transmit power is ps , and fc is the carrier frequency of the ambient RF source signal.
设接收机编号为0的阵元接收到的环境射频源信号的带通形式为:Let the band-pass form of the ambient RF source signal received by the array element whose receiver number is 0 be:
其中,f代表环境射频源到接收机之间信道的信道参数,其数字下标代表接收机对应编号的天线。Among them, f represents the channel parameter of the channel between the environmental radio frequency source and the receiver, and its numerical subscript represents the corresponding numbered antenna of the receiver.
以均匀线性阵列为例说明接收过程:编号为m的阵元相对于编号为0的阵元的传播时延为其中c是光速,d是阵元间隔,θ为信号到达方向同阵元朝向之间的平面夹角,即信号入射角度,τ为编号为1的阵元相对编号为0的阵元的传播时延Taking a uniform linear array as an example to illustrate the receiving process: the propagation delay of the array element numbered m relative to the array element numbered 0 is Where c is the speed of light, d is the distance between array elements, θ is the plane angle between the signal arrival direction and the orientation of the array element, that is, the signal incident angle, and τ is the propagation time of the array element numbered 1 relative to the array element numbered 0 extend
接收机编号为m阵元接收到的环境射频源信号的带通形式为:The band-pass form of the ambient RF source signal received by the receiver number m is:
根据实际应用场景,可以做出如下的假设:According to the actual application scenario, the following assumptions can be made:
1.环境射频源与接收机相隔较远,入射波为平面波,阵元间隔小。因此信道参数fm对于所有的m∈[0,M-1]相同。1. The ambient radio frequency source is far away from the receiver, the incident wave is a plane wave, and the array element spacing is small. Hence the channel parameter fm is the same for all m ∈ [0,M-1].
2.s(t)的带宽远小于载波频率,因此阵元间的时延相较于符号间隔可以忽略不计。因此对于所有接收阵元,在同一时刻s(t)相同,即s(t)≈s(t-τm)2. The bandwidth of s(t) is much smaller than the carrier frequency, so the delay between array elements is negligible compared to the symbol interval. Therefore, for all receiving array elements, s(t) is the same at the same time, that is, s(t)≈s(t-τm )
因此,到达接收机每个阵元的环境射频源的信号,可以写为:Therefore, the signal of the ambient RF source reaching each array element of the receiver can be written as:
由于时延的原因,到达每个阵元的信号仅仅在相位上有所不同。编号为m的阵元与编号为0的阵元对于接收到的环境射频源信号相位差为Due to the time delay, the signal arriving at each element differs only in phase. The phase difference between the array element numbered m and the array element numbered 0 for the received ambient RF source signal is
其中,fc是环境射频源信号的载波频率,τm为编号为m的阵元相对编号为0的阵元的传播时延.Among them, fc is the carrier frequency of the ambient radio frequency source signal, and τm is the propagation delay of the array element numbered m relative to the array element numbered 0.
阵元阵列间隔d设定为载波的半波长,即λ为载波波长,信号到达的方向是θ,则因此令代表编号为m的阵元接收到的直射信号相对于编号为0的阵元的直射信号相位偏移,则其中θd是环境射频源信号(直射信号)的入射方向。定义方向矢量为af(θd)=[1,af,1(θd),...,af,M-1(θd)]T,则所有阵元接收到的来自直射链路的环境射频源信号为:The element array spacing d is set to be the half wavelength of the carrier, that is, λ is the carrier wavelength, and the direction of signal arrival is θ, then therefore make It represents the phase shift of the direct signal received by the array element numbered m relative to the direct signal signal of the array element numbered 0, then Where θd is the incident direction of the ambient RF source signal (direct signal). Define the direction vector as af (θd )=[1,af,1 (θd ),...,af,M-1 (θd )]T , then all array elements receive The environmental RF source signal of the road is:
环境射频源的信号经过反向散射体进行反射后,会到达接收机。反向散射体接收到的环境射频源信号为:Signals from ambient RF sources reach the receiver after being reflected by backscatterers. The ambient RF source signal received by the backscatterer is:
其中h代表环境射频源到反向散射体之间的信道参数。where h represents the channel parameter between the ambient RF source and the backscatterer.
反向散射体会将自身基带信号c(t)调制到上并反射,设反射系数为α,因此反向散射体向接收机发射的反射信号为:The backscatterer modulates its own baseband signal c(t) to and reflection, set the reflection coefficient as α, so the reflection signal transmitted by the backscatterer to the receiver is:
接收机均匀线性阵列对于反射信号的接收,和对于环境射频源信号接收的推导一样,信道参数gm对于所有的m∈[0,M-1]相同。不同阵元接收到的反射信号由于信号到达方向的不同存在相位差。接收机编号为m的阵元接收到的反射信号为:Receiver Uniform Linear Array For the reception of the reflected signal, the derivation for the reception of the ambient RF source signal is the same, and the channel parameter gm is the same for all m∈[0,M-1]. The reflected signals received by different array elements have phase differences due to the different arrival directions of the signals. The reflected signal received by the array element with receiver number m is:
其中h代表环境射频源到反向散射体之间的信道参数,g代表反向散射体和接收机之间的信道参数,其下标代表接收机对应编号的天线。代表编号为m的阵元接收到的反射信号相对于编号为0的阵元的反射信号相位偏移,θb是反射信号的到达角。定义方向矢量为ag(θb)=[1,ag,1(θb),...,ag,M-1(θb)]T,所有阵元接收到的反向散射信号为:Where h represents the channel parameter between the ambient radio frequency source and the backscatterer, g represents the channel parameter between the backscatterer and the receiver, and its subscript represents the corresponding numbered antenna of the receiver. Represents the phase shift of the reflected signal received by the array element numbered m relative to the reflected signal of the array element numbered 0, and θb is the angle of arrival of the reflected signal. Define the direction vector as ag (θb )=[1,ag,1 (θb ),...,ag,M-1 (θb )]T , the backscatter signals received by all array elements for:
接收机接收到的信号为:The signal received by the receiver is:
y(t)=yd(t)+yb(t)+ω(t)y (t )=yd(t)+yb(t)+ω(t)
其中,ω(t)是服从循环对称高斯分布的噪声。Among them, ω(t) is the noise that obeys the circular symmetric Gaussian distribution.
接收机通过对接收到的信号进行数字信号处理,得到接收到信号各个分量的到达角度的可靠估计,通过设计具体接收方案来得到关于反向散射体反射信号的多个角度,进而计算得到反向散射体的二维坐标数据。The receiver obtains a reliable estimate of the angle of arrival of each component of the received signal by performing digital signal processing on the received signal, and obtains multiple angles of the reflected signal of the backscatter by designing a specific receiving scheme, and then calculates the backscatter Two-dimensional coordinate data of scatterers.
对于通过接收信号估计DOA的算法较多,下面例举一种:There are many algorithms for estimating DOA by receiving signals, the following is an example:
已知接收机接收到的信号带通形式如下:The bandpass form of the signal received by the known receiver is as follows:
y(t)=yd(t)+yb(t)+ω(t)y (t )=yd(t)+yb(t)+ω(t)
其中,ω(t)是服从循环对称高斯分布的噪声,方差为σ2。af(θd)=[1,af,1(θd),...,af,M-1(θd)]T,ag(θb)=[1,ag,1(θb),...,ag,M-1(θb)]T是方向矢量,in, ω(t) is the noise that obeys the circular symmetric Gaussian distribution, and the variance is σ2 . af (θd )=[1,af,1 (θd ),...,af,M-1 (θd )]T , ag (θb )=[1,ag,1 (θb ),...,ag,M-1 (θb )]T is the direction vector,
接收机进行相干接收、采样和数字信号处理后得到的数字信号为The digital signal obtained by the receiver after coherent reception, sampling and digital signal processing is
s(n)代表环境射频源信号对应的符号,c(n)代表反向散射体本身产生的符号。接收处理后的数字信号去掉了载波,但是不同阵元接收信号之间的相位偏移依然存在。s(n) represents the symbol corresponding to the ambient RF source signal, and c(n) represents the symbol generated by the backscatter itself. After receiving the processed digital signal, the carrier is removed, but the phase offset between the received signals of different array elements still exists.
接下来对y(n)进行处理,可以得到y(n)中两个信号分量的DOA信息。Next, y(n) is processed to obtain the DOA information of the two signal components in y(n).
具体DOA估计算法实施如下:The specific DOA estimation algorithm is implemented as follows:
1.根据设定的采样数目N,进行N次采样获得样本序列y(n),其中1. According to the set number of samples N, perform N times of sampling to obtain the sample sequence y(n), where
2.计算y(n)自相关矩阵R,R=E{y(n)yH(n)},这里可以用时间平均代替统计平均,即2. Calculate the y(n) autocorrelation matrix R, R=E{y(n)yH (n)}, where the time average can be used instead of the statistical average, namely
3.对R进行特征值分解,由于目标信号数目只有2个,因此得到最小的M-2个特征值对应的归一化特征向量ui,其中i=3,4…,M。3. Perform eigenvalue decomposition on R. Since there are only 2 target signals, a normalized eigenvector ui corresponding to the smallest M-2 eigenvalues is obtained, where i=3,4...,M.
ui=[ui0,ui1,...ui(m-1)]Tui =[ui0 , ui1 ,...ui(m-1) ]T
4.构造向量a(z),a(z)=[1,z-1,...,z-(M-1)]T。4. Construct the vector a(z), a(z)=[1, z−1 , . . . , z−(M−1) ]T .
构造如下函数:乘以自身共轭转置,得到fi(z)=aH(z)uiuiHa(z)=|aH(z)ui|2,i=3,4,...,M。Construct the following function: Multiply by self-conjugate transpose, get fi (z)=aH (z)ui uiH a(z)=|aH (z)ui |2 ,i=3,4,... ,M.
5.定义多项式5. Define polynomials
令其为0,解方程。求得z的值。Let it be 0 and solve the equation. Find the value of z.
6.目标信号数目为2个,对z值求模减去1后再取绝对值从小到大进行排序。这样会找到4个最接近模为1的根(会出现重根)。由于反向散射体反射的信号经历了两次衰减,其信号强度远远小于直射信号。因此第一个根,即模最接近1的根代表的角度为直射信号到达角,第4个根代表的角度为反向散射体反射的信号到达角。6. The number of target signals is 2, and the z value is modulo
7.由于z=ejφ,φ是空间角频率,φ=-π sin θ。因此7. Since z=ejφ , φ is the spatial angular frequency, φ=-π sin θ. therefore
计算得到信号到达方向估计。The estimated direction of arrival of the signal is obtained through calculation.
获得反向散射信号的到达角度后,即可计算反向散射装置的坐标,完整的流程如图2所示,由于环境射频源是环境中已经存在的信号源不需做其他设置,以一台接收机的接收为例:After obtaining the angle of arrival of the backscatter signal, the coordinates of the backscatter device can be calculated. The complete process is shown in Figure 2. Since the environmental radio frequency source is an existing signal source in the environment, no other settings are required. Receiver reception as an example:
1.启动反向散射体,内部电路激活,反向散射体的符号c(n)控制反向散射体内部阻抗切换状态,对环境射频信号进行反射。1. Start the backscatter, activate the internal circuit, and the symbol c(n) of the backscatter controls the switching state of the internal impedance of the backscatter to reflect the ambient radio frequency signal.
2.在已知坐标点启动接收机,该已知坐标点设为(x0,y0)。2. Start the receiver at a known coordinate point, which is set as (x0 ,y0 ).
3.接收机接收信号,采集N个样点进行一次反向散射体信号的到达方向估计。3. The receiver receives the signal and collects N sample points to estimate the direction of arrival of the backscatter signal.
4.接收机移动到另一个已知坐标点,该已知坐标点设为(x1,y1)。接收机天线朝向不变。4. The receiver moves to another known coordinate point, which is set as (x1 ,y1 ). The orientation of the receiver antenna remains unchanged.
5.接收机接收信号,采集N个样点进行一次反向散射体信号的到达方向估计。5. The receiver receives the signal and collects N sample points to estimate the direction of arrival of the backscatter signal.
6.根据两次测量结果计算出反向散射体坐标。6. Calculate the coordinates of the backscattering body based on the two measurements.
根据三角原理,假设天线朝向为y轴正方向,从左侧入射的信号为正角度,从右侧入射的信号为负角度,估计到的信号到达角范围为θ∈[-90°,90°],当Tag的位置为时,设接收机在(x0,y0)估计到的角度为θ0,在(x1,y1)估计到的角度为θ1。那么有:According to the triangular principle, assuming that the antenna is facing the positive direction of the y-axis, the signal incident from the left is a positive angle, and the signal incident from the right is a negative angle. The estimated range of the signal arrival angle is θ∈[-90°,90° ], when the position of Tag is , let the angle estimated by the receiver at (x0 , y0 ) be θ0 , and the angle estimated at (x1 , y1 ) be θ1 . Then there are:
上述是针对一台接收机提出一种系统方案,此外可以使用两台接收机来代替接收机的移动操作,以获得两次测量结果以计算反向散射体坐标。The above is a system solution for one receiver. In addition, two receivers can be used instead of the mobile operation of the receiver to obtain two measurement results to calculate the backscattering body coordinates.
如图3所示,为性能仿真结果,设定角度估计偏差值不超过1°作为一次有效的估计,通过若干次蒙特卡罗实验计算在不同条件下进行有效估计的概率。设定反向散射体反射信号与噪声的信噪比范围在-10dB到-28dB之间,而直射链路信噪比与反射链路信噪比之比固定为10dB。因此,直射链路信噪比范围在0dB到-18dB之间。环境信号设置成服从高斯分布的信号,信道参数为块衰落的服从瑞利分布的信道参数,反射符号周期设定为环境信号符号周期的8倍,设定每一次计算采集了10000个样本点,接收机阵元数目为8。As shown in Figure 3, for the performance simulation results, the angle estimation deviation value is set to no more than 1° as an effective estimation, and the probability of effective estimation under different conditions is calculated through several Monte Carlo experiments. Set the signal-to-noise ratio range of the backscatter body reflection signal to noise between -10dB and -28dB, and the ratio of the direct link signal-to-noise ratio to the reflection link signal-to-noise ratio is fixed at 10dB. Therefore, the direct link SNR ranges from 0dB to -18dB. The environmental signal is set to obey the Gaussian distribution, the channel parameters are block fading channel parameters that obey the Rayleigh distribution, the reflected symbol period is set to be 8 times the symbol period of the environmental signal, and 10,000 sample points are collected for each calculation. The number of receiver array elements is 8.
由仿真结果可知,信噪比在-18dB以上时可以得到较为准确的估计(准确率在95%以上),而信噪比低于这个值时,估计性能会严重恶化。It can be seen from the simulation results that when the SNR is above -18dB, a relatively accurate estimate can be obtained (the accuracy rate is above 95%), and when the SNR is lower than this value, the estimation performance will seriously deteriorate.
| Application Number | Priority Date | Filing Date | Title |
|---|---|---|---|
| CN202011425053.XACN112505624B (en) | 2020-12-09 | 2020-12-09 | A Positioning System Based on Environmental Backscatter |
| Application Number | Priority Date | Filing Date | Title |
|---|---|---|---|
| CN202011425053.XACN112505624B (en) | 2020-12-09 | 2020-12-09 | A Positioning System Based on Environmental Backscatter |
| Publication Number | Publication Date |
|---|---|
| CN112505624A CN112505624A (en) | 2021-03-16 |
| CN112505624Btrue CN112505624B (en) | 2023-01-24 |
| Application Number | Title | Priority Date | Filing Date |
|---|---|---|---|
| CN202011425053.XAActiveCN112505624B (en) | 2020-12-09 | 2020-12-09 | A Positioning System Based on Environmental Backscatter |
| Country | Link |
|---|---|
| CN (1) | CN112505624B (en) |
| Publication number | Priority date | Publication date | Assignee | Title |
|---|---|---|---|---|
| WO2022200673A1 (en)* | 2021-03-22 | 2022-09-29 | Nokia Technologies Oy | Use of sidelink communications for backscatter node positioning within wireless networks |
| CN119001724B (en)* | 2024-08-14 | 2025-06-06 | 河南思软电子科技有限公司 | Underground roadway CS positioning and deformation monitoring method based on millimeter wave perception assistance |
| Publication number | Priority date | Publication date | Assignee | Title |
|---|---|---|---|---|
| US3960449A (en)* | 1975-06-05 | 1976-06-01 | The Board Of Trustees Of Leland Stanford Junior University | Measurement of angular dependence of scattered light in a flowing stream |
| US5729640A (en)* | 1992-11-30 | 1998-03-17 | Breault Research Organization | Process of acquiring with an X=Y scannable array camera light emanted from a subject |
| CN101986756A (en)* | 2010-10-25 | 2011-03-16 | 电子科技大学 | Time-reversal signal-based wireless positioning scheme |
| KR101622536B1 (en)* | 2015-04-21 | 2016-05-19 | 경희대학교 산학협력단 | Wireless communication apparatus, method of localization using the same and wireless communication system including the same |
| CN106549692A (en)* | 2016-12-12 | 2017-03-29 | 电子科技大学 | A kind of signal acceptance method for backscatter communication system |
| CN106793087A (en)* | 2017-03-16 | 2017-05-31 | 天津大学 | A kind of array antenna indoor positioning algorithms based on AOA and PDOA |
| CN109738851A (en)* | 2019-01-22 | 2019-05-10 | 西安电子科技大学 | A method of carrier phase measurement based on UHF radio frequency identification positioning system |
| CN110290491A (en)* | 2019-05-17 | 2019-09-27 | 重庆邮电大学 | A method for indoor target localization based on multipath assistance |
| CN110441732A (en)* | 2019-08-15 | 2019-11-12 | 电子科技大学 | A kind of single station multi-target orientation method in strange scattering environments |
| CN110784248A (en)* | 2019-11-01 | 2020-02-11 | 电子科技大学 | Frequency control array environment backscattering communication self-adaptive detection method based on double thresholds |
| CN110933626A (en)* | 2019-11-05 | 2020-03-27 | 东南大学 | High-precision self-organizing network type indoor positioning method |
| KR102097229B1 (en)* | 2019-01-31 | 2020-04-03 | 한국산업기술대학교산학협력단 | System for ambient backscatter communication system using artificial noise-aided scheduling for improving physical layer security |
| CN111398894A (en)* | 2020-04-03 | 2020-07-10 | 中国电子科技集团公司第二十八研究所 | Low-slow small target detection tracking system and method based on mobile communication network |
| Publication number | Priority date | Publication date | Assignee | Title |
|---|---|---|---|---|
| BE750257A (en)* | 1969-05-19 | 1970-10-16 | Inst Francais Du Petrole | METHOD OF COMPOSITION OF RECORDINGS AND DEVICES FOR SAMISE IN WORK |
| US6989750B2 (en)* | 2001-02-12 | 2006-01-24 | Symbol Technologies, Inc. | Radio frequency identification architecture |
| CN100588130C (en)* | 2007-05-08 | 2010-02-03 | 电子科技大学 | A communication method and system based on distributed multi-antenna focusing signals |
| IL203015A (en)* | 2009-12-29 | 2013-07-31 | Israel Aerospace Ind Ltd | System and method for detecting concealed explosives and weapons |
| US9973367B2 (en)* | 2014-02-11 | 2018-05-15 | University Of Washington | Apparatuses, systems, and methods for communicating using MIMO and spread spectrum coding in backscatter of ambient signals |
| US10448211B1 (en)* | 2018-11-07 | 2019-10-15 | Adero, Inc. | Organizing groups of physical objects using wireless tags |
| CN110224965B (en)* | 2019-06-17 | 2021-02-12 | 电子科技大学 | Semi-blind receiver design method based on OFDM backscattering communication system |
| Publication number | Priority date | Publication date | Assignee | Title |
|---|---|---|---|---|
| US3960449A (en)* | 1975-06-05 | 1976-06-01 | The Board Of Trustees Of Leland Stanford Junior University | Measurement of angular dependence of scattered light in a flowing stream |
| US5729640A (en)* | 1992-11-30 | 1998-03-17 | Breault Research Organization | Process of acquiring with an X=Y scannable array camera light emanted from a subject |
| CN101986756A (en)* | 2010-10-25 | 2011-03-16 | 电子科技大学 | Time-reversal signal-based wireless positioning scheme |
| KR101622536B1 (en)* | 2015-04-21 | 2016-05-19 | 경희대학교 산학협력단 | Wireless communication apparatus, method of localization using the same and wireless communication system including the same |
| CN106549692A (en)* | 2016-12-12 | 2017-03-29 | 电子科技大学 | A kind of signal acceptance method for backscatter communication system |
| CN106793087A (en)* | 2017-03-16 | 2017-05-31 | 天津大学 | A kind of array antenna indoor positioning algorithms based on AOA and PDOA |
| CN109738851A (en)* | 2019-01-22 | 2019-05-10 | 西安电子科技大学 | A method of carrier phase measurement based on UHF radio frequency identification positioning system |
| KR102097229B1 (en)* | 2019-01-31 | 2020-04-03 | 한국산업기술대학교산학협력단 | System for ambient backscatter communication system using artificial noise-aided scheduling for improving physical layer security |
| CN110290491A (en)* | 2019-05-17 | 2019-09-27 | 重庆邮电大学 | A method for indoor target localization based on multipath assistance |
| CN110441732A (en)* | 2019-08-15 | 2019-11-12 | 电子科技大学 | A kind of single station multi-target orientation method in strange scattering environments |
| CN110784248A (en)* | 2019-11-01 | 2020-02-11 | 电子科技大学 | Frequency control array environment backscattering communication self-adaptive detection method based on double thresholds |
| CN110933626A (en)* | 2019-11-05 | 2020-03-27 | 东南大学 | High-precision self-organizing network type indoor positioning method |
| CN111398894A (en)* | 2020-04-03 | 2020-07-10 | 中国电子科技集团公司第二十八研究所 | Low-slow small target detection tracking system and method based on mobile communication network |
| Publication number | Publication date |
|---|---|
| CN112505624A (en) | 2021-03-16 |
| Publication | Publication Date | Title |
|---|---|---|
| CN106909779B (en) | Calculation method of Cramero bound for MIMO radar based on distributed processing | |
| El-Sayed et al. | Evaluation of localization methods in millimeter-wave wireless systems | |
| KR101234177B1 (en) | Method for estimating position of user device | |
| HajiAkhondi-Meybodi et al. | Bluetooth low energy and CNN-based angle of arrival localization in presence of Rayleigh fading | |
| CN106054165B (en) | A method of realizing distributed passive radar target detection | |
| CN112986905A (en) | Multi-reflection equipment positioning method based on environmental backscattering | |
| CN112505624B (en) | A Positioning System Based on Environmental Backscatter | |
| Colpaert et al. | 3D non-stationary channel measurement and analysis for MaMIMO-UAV communications | |
| CN112954792A (en) | Multi-reflection device joint positioning and communication method based on environment backscattering | |
| Zhou et al. | Path loss model based on cluster at 28 GHz in the indoor and outdoor environments | |
| Tsai et al. | Beam AoD-based indoor positioning for 60 GHz mmWave system | |
| Bogdani et al. | Localization error modeling of hybrid fingerprint-based techniques for indoor ultra-wideband systems | |
| Kumar et al. | Phase-based angle estimation approach in indoor localization system using Bluetooth low energy | |
| Garg et al. | Sirius: A self-localization system for resource-constrained iot sensors | |
| JP7282385B2 (en) | Radio wave monitoring device and radio wave monitoring method | |
| Liu et al. | Multi-scene Doppler power spectrum modeling of LEO satellite channel based on atlas fingerprint method | |
| Lu et al. | Device-free CSI-based wireless localization for high precision drone landing applications | |
| Kwakkernaat et al. | High-resolution angle-of-arrival measurements on physically-nonstationary mobile radio channels | |
| WO2024140796A1 (en) | Transmission processing method and apparatus, and terminal and network-side device | |
| CN105589063A (en) | Impulse radio 60 GHz ranging method based on skewness | |
| Shaikh | Location based services for remote education and health institutes using sum-difference signal patterns | |
| Hua et al. | Joint TDOA-DOA localization scheme for passive coherent location systems | |
| Zhang et al. | Net-Zero Integrated Sensing and Communication in Backscatter Systems | |
| Zhou et al. | A spatial spectrum estimation algorithm for 3D localization and mapping in ISAC | |
| Chen et al. | A beamforming method based on image tracking and positioning in the LOS scenario |
| Date | Code | Title | Description |
|---|---|---|---|
| PB01 | Publication | ||
| PB01 | Publication | ||
| SE01 | Entry into force of request for substantive examination | ||
| SE01 | Entry into force of request for substantive examination | ||
| GR01 | Patent grant | ||
| GR01 | Patent grant |