Movatterモバイル変換


[0]ホーム

URL:


CN112493983A - Method for indirectly analyzing wavefront aberrations of inside and outside human eyes and whole eyes - Google Patents

Method for indirectly analyzing wavefront aberrations of inside and outside human eyes and whole eyes
Download PDF

Info

Publication number
CN112493983A
CN112493983ACN202011388849.2ACN202011388849ACN112493983ACN 112493983 ACN112493983 ACN 112493983ACN 202011388849 ACN202011388849 ACN 202011388849ACN 112493983 ACN112493983 ACN 112493983A
Authority
CN
China
Prior art keywords
light
ray
monitoring
cornea
point
Prior art date
Legal status (The legal status is an assumption and is not a legal conclusion. Google has not performed a legal analysis and makes no representation as to the accuracy of the status listed.)
Granted
Application number
CN202011388849.2A
Other languages
Chinese (zh)
Other versions
CN112493983B (en
Inventor
李慧杰
郭丁华
魏悦
Current Assignee (The listed assignees may be inaccurate. Google has not performed a legal analysis and makes no representation or warranty as to the accuracy of the list.)
Shanghai Mediworks Precision Instrument Co ltd
Original Assignee
Shanghai Mediworks Precision Instrument Co ltd
Priority date (The priority date is an assumption and is not a legal conclusion. Google has not performed a legal analysis and makes no representation as to the accuracy of the date listed.)
Filing date
Publication date
Application filed by Shanghai Mediworks Precision Instrument Co ltdfiledCriticalShanghai Mediworks Precision Instrument Co ltd
Priority to CN202011388849.2ApriorityCriticalpatent/CN112493983B/en
Publication of CN112493983ApublicationCriticalpatent/CN112493983A/en
Application grantedgrantedCritical
Publication of CN112493983BpublicationCriticalpatent/CN112493983B/en
Activelegal-statusCriticalCurrent
Anticipated expirationlegal-statusCritical

Links

Images

Classifications

Landscapes

Abstract

According to the method for indirectly analyzing the wave front aberration inside and outside the human eyes and the whole eye, the wave front aberration of the human eyes is indirectly acquired through the acquired geometrical topological relation of the anterior segment tissue structure of the eyes, the calculation errors caused by the system and the detection illumination environment in the traditional method are effectively made up, and the high-low order wave front aberration inside the eyes, outside the eyes and the whole eye within different pupil field ranges can be automatically realized.

Description

Method for indirectly analyzing wavefront aberrations of inside and outside human eyes and whole eyes
Technical Field
The invention belongs to the technical field of wavefront aberration, and particularly relates to a method for indirectly analyzing wavefront aberrations of human eyes inside and outside and whole eyes.
Background
The human eye is an optical system with aberration, and includes not only conventional low-order aberrations such as defocus and astigmatism, but also high-order aberrations such as spherical aberration and coma. Wavefront aberrations, as an application in modern physics theory and astronomy, are gradually being introduced into the field of evaluation and correction of human eye visual quality, which is one of the most active fields of ophthalmology today. Now, wave front aberration guided personalized laser vision correction surgery has become the mainstream of laser example correction surgery with the best effect, and with the continuous development of higher-grade artificial lenses, the extraocular aberration, intraocular aberration and global aberration are urgently needed in refractive surgery to evaluate cornea and the influence of lens on the whole vision quality.
Conventional wavefront aberration analyzers include an emission type, an optical path tracing type, and a retinal image examination type. The emergent type is based on the Schack-Hartmann aberration theory, and calculates the corresponding wavefront aberration by measuring the deviation of a retinal image of an eyeball reflected by a point light source of the eyeground and the optical axis of a corresponding lens array through a wavefront sensor. The optical path tracking mode calculates corresponding aberration by adopting a point-to-point serial scanning mode through the displacement of a high-sensitivity CCD camera acquisition grating according to an optical path tracking principle. The retinal pattern is based on the Tscherning's phase difference theory and results are obtained by calculating the deviation of the light projected onto the retina. The methods have higher requirements on the precision of key components, the integral debugging consistency of the system and the objective environment, and the precision is limited by the number of sampling points.
Disclosure of Invention
1. Technical problem to be solved by the invention
The invention aims to solve the problems that the traditional wave front aberration analysis needs to adopt complex equipment and has higher requirements on the performance of the equipment.
2. Technical scheme
In order to achieve the purpose, the technical scheme provided by the invention is as follows:
the invention relates to a method for indirectly analyzing wavefront aberrations of human eyes inside and outside and whole eyes, which comprises the following steps:
s1, measuring data of the front and back surfaces of the cornea and the crystalline lens, and measuring to obtain stable eye axis length data;
s2, positioning the theoretical position of the imaging point of the retina according to the length data of the eye axis, establishing a three-dimensional coordinate system by taking the theoretical position of the imaging point as an origin, and fitting the front and back surface data of the cornea and the crystalline lens into the three-dimensional coordinate system;
s3, noise filtering is conducted on three-dimensional discrete point clouds of the front and back surfaces of the cornea and the front and back surfaces of the crystalline lens in the three-dimensional coordinate system, zernike expression fitting is conducted on the surfaces of all tissues respectively, the back surface of the crystalline lens is recorded as Z1(r, theta), the front surface of the crystalline lens is recorded as Z2(r, theta), the back surface of the cornea is recorded as Z3(r, theta), and the front surface of the cornea is recorded as Z4(r, theta) along the light emergent direction;
s4, selecting a retina imaging point O in a three-dimensional coordinate system0The upper vertical emergent ray is a main ray, and other ray distribution modes in a certain pupil range are designed as monitoring ray points;
s5, when the fixed length of the emergent main beam is the reference point, calculating the optical path of the main beam as D0 (whole eye), wherein the optical path is defined as
Figure BDA0002811731460000021
n and d respectively represent the refractive index and the geometric propagation path of the light ray in the medium i, and steps S6, S7, S8, S9, S10 and S11 are performed;
or
When the optical path is calculated by taking the fixed length of the emergent main beam as a reference point, the optical path is recorded as D0 (in the eye), wherein the optical path is defined as
Figure BDA0002811731460000022
n and d respectively represent the refractive index and the geometric propagation path of the light ray in the medium j, and steps S6, S7, S8 and S11 are performed;
s6, calculating the intersection point of all monitoring light point connecting lines projected from the retina imaging point to the lens back surface designed in the S4 and the normal direction of the intersection point;
s7, calculating the refracted ray direction of the monitoring ray passing through the rear surface of the crystalline lens according to the intersection point and the normal direction of the monitoring ray and the rear surface of the crystalline lens obtained according to the snell principle and the S6, wherein the refracted ray direction is used as an incident ray, and the intersection point position and the intersection point normal direction of the monitoring ray and the front surface of the crystalline lens are calculated along the ray propagation direction;
s8 calculating the refraction light direction of the monitoring light passing through the front surface of the crystalline body according to the snell principle and the intersection point and the normal direction of the monitoring light obtained from S7 and the front surface of the crystalline body, wherein the refraction light is used as the incident light, and the intersection point position and the intersection point normal direction of the monitoring light and the back surface of the cornea are calculated along the light propagation direction;
s9, calculating the refraction light direction of the monitoring light passing through the back surface of the cornea according to the intersection point and the normal direction of the monitoring light obtained by the snell principle and the back surface of the cornea and the obtained by the S8, wherein the refraction light is used as an incident light, and the intersection point position and the intersection point normal direction of the monitoring light and the front surface of the cornea are calculated along the light propagation direction;
s10, calculating the refraction light direction of the monitoring light passing through the front surface of the cornea according to the intersection point and the normal direction of the monitoring light obtained by the snell principle and the front surface of the cornea S9, and using the refraction light as emergent light;
s11, calculating the position of a main light ray propagation end point by referring to the main light ray emergence direction and the fixed optical path D0 designed in S4, and marking P0;
s12, calculating aplanatic positions Pi of all the monitoring light rays and the main axis light rays according to the propagation directions and the geometric paths of the monitoring light rays in different media of S6, S7, S8, S9 and S10;
s13, calculating the position difference (wave front aberration) delta i between the main light ray propagation end point position and other monitoring light rays by taking the main light ray propagation end point position as an ideal reference surface;
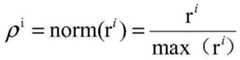
s14, monitoring the light ray position riIs normalized, i.e. pi=norm(ri) A zernike polynomial is defined and wavefront aberrations are calculated.
Preferably, in step S4, the area within the certain pupil range is a circular area with a retina imaging point as a circle and a radius R; and selecting the light monitoring points I with the most light monitoring points in the circular area as the other light distribution modes, namely a radial net distribution mode or a horizontal and vertical net distribution mode.
Preferably, the steps S7-S10 are according to the snell principle n1*sinθ1=n2*sinθ2Wherein n is1,n2Respectively representing the refractive indices of light in two different media, theta1,θ2Respectively representing the incident and emergent angles of the light at the interface of the two media.
Preferably, in step S12, the aplanatic positions Pi of all the monitoring rays and the main axis ray are calculated,
both is
Figure BDA0002811731460000041
Figure BDA0002811731460000042
Figure BDA0002811731460000043
Figure BDA0002811731460000044
Figure BDA0002811731460000045
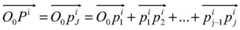
Where i denotes a certain monitoring ray, j denotes a certain propagation medium, O0For retinal image point position, P0Is the end position of the principal ray, PiThe light ray end position of the monitored light ray i is determined.
Preferably, in step S13, the calculation formula for calculating δ i is
Figure BDA0002811731460000046
Wherein theta isiIn order to monitor the included angle between the light direction of the light i after exiting the medium j and the light direction of the main light after exiting the medium j, the following formula is used to implement
Figure BDA0002811731460000047
Preferably, in step S14, normalization processing is performed on each monitoring light ray position r, that is, the normalization processing is performed
Figure BDA0002811731460000048
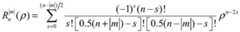
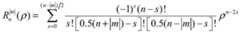
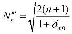
Preferably, in step S14, the zernike polynomial is defined as:
Figure BDA0002811731460000049
wherein n represents the order, m takes the values of-n, -n +2, -n +4, K,
Figure BDA00028117314600000410
is a normalization factor;
Figure BDA00028117314600000411
δm01 when m is 0, δm00 when m ≠ 0
Figure BDA00028117314600000412
Is a radially distributed polynomial
Figure BDA0002811731460000051
The aberration at a certain position can be represented by a weighted Zernike polynomial sum
Figure BDA0002811731460000052
When the order n is determined, the total term number of the aberration Zernike expression is also determined as the total term number Nitm (n + 1)/2;
the wavefront aberration of each discrete ray monitoring point is represented by the polynomial, and all the term coefficients can be calculated according to a matrix solving algorithm
Figure BDA0002811731460000053
3. Advantageous effects
Compared with the prior art, the technical scheme provided by the invention has the following beneficial effects:
according to the method for indirectly analyzing the wave front aberration inside and outside the human eyes and the whole eye, the wave front aberration of the human eyes is indirectly acquired through the acquired geometrical topological relation of the anterior segment tissue structure of the eyes, the calculation errors caused by the system and the detection illumination environment in the traditional method are effectively made up, and the high-low order wave front aberration inside the eyes, outside the eyes and the whole eye within different pupil field ranges can be automatically realized.
Drawings
FIG. 1 is a schematic diagram of a three-dimensional coordinate system of the present invention;
FIG. 2 is a first diagram illustrating a light distribution method according to the present invention;
FIG. 3 is a second schematic diagram illustrating a light distribution mode according to the present invention;
FIG. 4 is a schematic diagram of light propagation and aberration of the present invention;
FIG. 5 is a flowchart illustrating an analysis of human eye aberrations according to the present invention.
Detailed Description
In order to facilitate an understanding of the invention, the invention will now be described more fully hereinafter with reference to the accompanying drawings, in which several embodiments of the invention are shown, but which may be embodied in many different forms and are not limited to the embodiments described herein, but rather are provided for the purpose of providing a more thorough disclosure of the invention.
It will be understood that when an element is referred to as being "secured to" another element, it can be directly on the other element or intervening elements may also be present; when an element is referred to as being "connected" to another element, it can be directly connected to the other element or intervening elements may also be present; the terms "vertical," "horizontal," "left," "right," and the like as used herein are for illustrative purposes only.
Unless defined otherwise, all technical and scientific terms used herein have the same meaning as commonly understood by one of ordinary skill in the art to which this invention belongs; the terminology used herein in the description of the invention is for the purpose of describing particular embodiments only and is not intended to be limiting of the invention; as used herein, the term "and/or" includes any and all combinations of one or more of the associated listed items.
Example 1
Referring to fig. 1 to 5, a method for indirectly analyzing wavefront aberrations of the inside, the outside, and the whole eyes of a human eye according to this embodiment includes the following steps:
s1, measuring data of the front and back surfaces of the cornea and the crystalline lens, and measuring and acquiring stable axial length data of the eye, wherein the data of the front and back surfaces of the cornea and the front and back surfaces of the crystalline lens can be acquired by a Scheimpflug principle or OCT principle three-dimensional imaging device, and the axial length of the eye is acquired by a biological measuring instrument or an A ultrasonic device;
s2, positioning the theoretical position of the imaging point of the retina according to the length data of the eye axis, establishing a three-dimensional coordinate system by taking the theoretical position of the imaging point as an origin, and fitting the front and back surface data of the cornea and the crystalline lens into the three-dimensional coordinate system;
all three-dimensional geometric data required by the invention are unified into a three-dimensional analysis coordinate system in the two steps, so that the data trend can be conveniently quantitatively analyzed and tracked.
S3, noise filtering is conducted on three-dimensional discrete point clouds of the front and back surfaces of the cornea and the front and back surfaces of the crystalline lens in a three-dimensional coordinate system, zernike expression fitting is conducted on the surfaces of all tissues respectively, the back surface of the crystalline lens is recorded as Z1(r, theta), the front surface of the crystalline lens is recorded as Z2(r, theta), the back surface of the cornea is recorded as Z3(r, theta), and the front surface of the corneal is recorded as Z4(r, theta), so that intersection points and light ray directions can be accurately calculated during light ray tracing;
s4, selecting a retina imaging point O in a three-dimensional coordinate system0The upper vertical emergent ray is a main ray, and other ray distribution modes in a certain pupil range are designed as monitoring ray points so as to facilitate effective ray tracking;
s5, when the fixed length of the emergent main beam is the reference point, calculating the optical path of the main beam as D0 (whole eye), wherein the optical path is defined as
Figure BDA0002811731460000071
n and d respectively represent the refractive index and the geometric propagation path of the light ray in the medium i, and steps S6, S7, S8, S9, S10 and S11 are performed;
or
When the optical path is calculated by taking the fixed length of the emergent main beam as a reference point, the optical path is recorded as D0 (in the eye), wherein the optical path is defined as
Figure BDA0002811731460000072
n and d respectively represent the refractive index and the geometric propagation path of the light ray in the medium j, and steps S6, S7, S8 and S11 are performed;
the step effectively defines the geometric position point of the ideal optical path, and the subsequent steps are sequentially executed after the step S11 is executed;
s6, calculating the intersection point of all monitoring light point connecting lines projected from the retina imaging point to the lens back surface designed in the S4 and the normal direction of the intersection point;
s7, calculating the refracted ray direction of the monitoring ray passing through the rear surface of the crystalline lens according to the intersection point and the normal direction of the monitoring ray and the rear surface of the crystalline lens obtained according to the snell principle and the S6, wherein the refracted ray direction is used as an incident ray, and the intersection point position and the intersection point normal direction of the monitoring ray and the front surface of the crystalline lens are calculated along the ray propagation direction;
s8 calculating the refraction light direction of the monitoring light passing through the front surface of the crystalline body according to the snell principle and the intersection point and the normal direction of the monitoring light obtained from S7 and the front surface of the crystalline body, wherein the refraction light is used as the incident light, and the intersection point position and the intersection point normal direction of the monitoring light and the back surface of the cornea are calculated along the light propagation direction;
s9, calculating the refraction light direction of the monitoring light passing through the back surface of the cornea according to the intersection point and the normal direction of the monitoring light obtained by the snell principle and the back surface of the cornea and the obtained by the S6, wherein the refraction light is used as an incident light, and the intersection point position and the intersection point normal direction of the monitoring light and the front surface of the cornea are calculated along the light propagation direction;
s10, calculating the refraction light direction of the monitoring light passing through the front surface of the cornea according to the intersection point and the normal direction of the monitoring light obtained by the snell principle and the front surface of the cornea S9, and using the refraction light as emergent light;
the steps S6-S10 track the path and path of each monitoring ray in the system in detail according to the snell principle.
S11, calculating the position of a main light ray propagation end point by referring to the main light ray emergence direction and the fixed optical path D0 designed in S4, and marking P0;
s12, calculating aplanatic positions Pi of all the monitoring light rays and the main axis light rays according to the propagation directions and the geometric paths of the monitoring light rays in different media of S6, S7, S8, S9 and S10, and calculating the actual falling point positions of all the monitoring light rays respectively;
s13, calculating the position difference (wave front aberration) delta i between the main light ray propagation end point position and the other monitoring light rays by taking the main light ray propagation end point position as an ideal reference surface, and calculating the optical path difference between all the detected light rays and the ideal light rays respectively;
s14, monitoring the light ray position riIs normalized, i.e. pi=norm(ri) A zernike polynomial is defined and a polynomial parameter fit is made to all wavefront aberrations in order to quantify the contribution of each order of aberration to the whole.
Preferably, in step S4, the area within the certain pupil range is a circular area with a retina imaging point as a circle and a radius R; and selecting the light monitoring points I with the most light monitoring points in the circular area as the other light distribution modes, namely a radial net distribution mode or a horizontal and vertical net distribution mode.
Preferably, the steps S7-S10 are according to the snell principle n1*sinθ1=n2*sinθ2Wherein n is1,n2Respectively representing the refractive indices of light in two different media, theta1,θ2Respectively representing the incident and emergent angles of the light at the interface of the two media.
Preferably, in step S12, the aplanatic positions Pi of all the monitoring rays and the main axis ray are calculated,
both is
Figure BDA0002811731460000091
Figure BDA0002811731460000092
Figure BDA0002811731460000093
Figure BDA0002811731460000094
Figure BDA0002811731460000095
Where i denotes a certain monitoring ray, j denotes a certain propagation medium, O0For retinal image point position, P0Is the end position of the principal ray, PiThe light ray end position of the monitored light ray i is determined.
Preferably, in step S13, the calculation formula for calculating δ i is
Figure BDA0002811731460000096
Wherein theta isiIn order to monitor the included angle between the light direction of the light i after exiting the medium j and the light direction of the main light after exiting the medium j, the following formula is used to implement
Figure BDA0002811731460000097
Preferably, in step S14, the light ray position r is monitored for each of the monitor light ray positionsiIs subjected to normalization treatment, i.e.
Figure BDA0002811731460000098
Preferably, in step S14, the zernike polynomial is defined as:
Figure BDA0002811731460000099
wherein n represents the order and m has a value of-n,-n+2,-n+4,K,
Figure BDA00028117314600000910
Is a normalization factor;
Figure BDA00028117314600000911
δm01 when m is 0, δm00 when m ≠ 0
Figure BDA00028117314600000912
Is a radially distributed polynomial
Figure BDA00028117314600000913
The aberration at a certain position can be represented by a weighted Zernike polynomial sum
Figure BDA0002811731460000101
When the order n is determined, the total term number of the aberration Zernike expression is also determined as the total term number Nitm (n + 1)/2;
when the order n is determined, the total number of terms of the aberration Zernike expression is determined
The wavefront aberration of each discrete ray monitoring point is represented by the polynomial, and all the term coefficients can be calculated according to a matrix solving algorithm. . Which describes the weighted RMS component of each order of wavefront aberration (including the position offset term)
Figure BDA0002811731460000102
Tilt term W1-1W1+1Item of defocus
Figure BDA0002811731460000103
Astigmatism term
Figure BDA0002811731460000104
Item of coma
Figure BDA0002811731460000105
Root of clover
Figure BDA0002811731460000106
Spherical aberration term
Figure BDA0002811731460000107
Etc.). The detail degree of the aberration description depends on the order selected in the zernike fitting, and when the order is equal to 5, the second-order coma aberration is continuously resolved
Figure BDA0002811731460000108
When the order equals 6, the second order spherical aberration is continuously resolved
Figure BDA0002811731460000109
In general, all terms with an order of 2 or less are defined as low-order aberrations, and all terms with an order of 3 or more are defined as high-order aberrations, and the choice of order for aberration expression is clinically dependent on the need.
The above-mentioned embodiments only express a certain implementation mode of the present invention, and the description thereof is specific and detailed, but not construed as limiting the scope of the present invention; it should be noted that, for those skilled in the art, without departing from the concept of the present invention, several variations and modifications can be made, which are within the protection scope of the present invention; therefore, the protection scope of the present patent shall be subject to the appended claims.

Claims (7)

1. A method for indirectly analyzing wavefront aberrations of inside and outside human eyes and whole eyes is characterized by comprising the following steps:
s1, measuring data of the front and back surfaces of the cornea and the crystalline lens, and measuring to obtain stable eye axis length data;
s2, positioning the theoretical position of the imaging point of the retina according to the length data of the eye axis, establishing a three-dimensional coordinate system by taking the theoretical position of the imaging point as an origin, and fitting the front and back surface data of the cornea and the crystalline lens into the three-dimensional coordinate system;
s3, noise filtering is conducted on three-dimensional discrete point clouds of the front and back surfaces of the cornea and the front and back surfaces of the crystalline lens in the three-dimensional coordinate system, zernike expression fitting is conducted on the surfaces of all tissues respectively, the back surface of the crystalline lens is recorded as Z1(r, theta), the front surface of the crystalline lens is recorded as Z2(r, theta), the back surface of the cornea is recorded as Z3(r, theta), and the front surface of the cornea is recorded as Z4(r, theta) along the light emergent direction;
s4, selecting a retina imaging point O in a three-dimensional coordinate system0The upper vertical emergent ray is a main ray, and other ray distribution modes in a certain pupil range are designed as monitoring ray points;
s5, when the fixed length of the emergent main beam is the reference point, calculating the optical path of the main beam as D0 (whole eye), wherein the optical path is defined as
Figure FDA0002811731450000011
n and d respectively represent the refractive index and the geometric propagation path of the light ray in the medium i, and steps S6, S7, S8, S9, S10 and S11 are performed;
or
When the optical path is calculated by taking the fixed length of the emergent main beam as a reference point, the optical path is recorded as D0 (in the eye), wherein the optical path is defined as
Figure FDA0002811731450000012
n and d respectively represent the refractive index and the geometric propagation path of the light ray in the medium j, and steps S6, S7, S8 and S11 are performed;
s6, calculating the intersection point of all monitoring light point connecting lines projected from the retina imaging point to the lens back surface designed in the S4 and the normal direction of the intersection point;
s7, calculating the refracted ray direction of the monitoring ray passing through the rear surface of the crystalline lens according to the intersection point and the normal direction of the monitoring ray and the rear surface of the crystalline lens obtained according to the snell principle and the S6, wherein the refracted ray direction is used as an incident ray, and the intersection point position and the intersection point normal direction of the monitoring ray and the front surface of the crystalline lens are calculated along the ray propagation direction;
s8 calculating the refraction light direction of the monitoring light passing through the front surface of the crystalline body according to the snell principle and the intersection point and the normal direction of the monitoring light obtained from S7 and the front surface of the crystalline body, wherein the refraction light is used as the incident light, and the intersection point position and the intersection point normal direction of the monitoring light and the back surface of the cornea are calculated along the light propagation direction;
s9, calculating the refraction light direction of the monitoring light passing through the back surface of the cornea according to the intersection point and the normal direction of the monitoring light obtained by the snell principle and the back surface of the cornea and the obtained by the S8, wherein the refraction light is used as an incident light, and the intersection point position and the intersection point normal direction of the monitoring light and the front surface of the cornea are calculated along the light propagation direction;
s10, calculating the refraction light direction of the monitoring light passing through the front surface of the cornea according to the intersection point and the normal direction of the monitoring light obtained by the snell principle and the front surface of the cornea S9, and using the refraction light as emergent light;
s11, calculating the position of a main light ray propagation end point by referring to the main light ray emergence direction and the fixed optical path D0 designed in S4, and marking P0;
s12, calculating aplanatic positions Pi of all the monitoring light rays and the main axis light rays according to the propagation directions and the geometric paths of the monitoring light rays in different media of S6, S7, S8, S9 and S10;
s13, calculating the position difference (wave front aberration) delta i between the main light ray propagation end point position and other monitoring light rays by taking the main light ray propagation end point position as an ideal reference surface;
s14, monitoring the light ray position riIs normalized, i.e. pi=norm(ri) A zernike polynomial is defined and wavefront aberrations are calculated.
2. The method for indirectly analyzing wavefront aberrations of the inside, the outside and the whole eye of a human eye according to claim 1, wherein: in step S4, a circular area with a retinal imaging point as a circle and a radius R is specifically used within a certain pupil range; and selecting the light monitoring points I with the most light monitoring points in the circular area as the other light distribution modes, namely a radial net distribution mode or a horizontal and vertical net distribution mode.
3. The method for indirectly analyzing wavefront aberrations of the inside, the outside and the whole eye of a human eye according to claim 1, wherein:the steps S7-S10 are according to the snell principle n1*sinθ1=n2*sinθ2Wherein n is1,n2Respectively representing the refractive indices of light in two different media, theta1,θ2Respectively representing the incident and emergent angles of the light at the interface of the two media.
4. The method for indirectly analyzing wavefront aberrations of the inside, the outside and the whole eye of a human eye according to claim 1, wherein: in step S12, the aplanatic positions Pi of all the monitoring rays and the main axis ray are calculated,
both is
Figure FDA0002811731450000031
Figure FDA0002811731450000032
Figure FDA0002811731450000033
Figure FDA0002811731450000034
Figure FDA0002811731450000035
Where i denotes a certain monitoring ray, j denotes a certain propagation medium, O0For retinal image point position, P0Is the end position of the principal ray, PiThe light ray end position of the monitored light ray i is determined.
5. The method for indirectly analyzing wavefront aberrations of the inside, the outside and the whole eye of a human eye according to claim 1, wherein: in step S13, the calculation formula for calculating δ i is
Figure FDA0002811731450000036
Wherein theta isiIn order to monitor the included angle between the light direction of the light i after exiting the medium j and the light direction of the main light after exiting the medium j, the following formula is used to implement
Figure FDA0002811731450000037
6. The method for indirectly analyzing wavefront aberrations of the inside, the outside and the whole eye of a human eye according to claim 1, wherein: in step S14, normalization processing is performed on each monitoring light ray position r, that is, the normalization processing is performed
Figure FDA0002811731450000038
7. The method for indirectly analyzing wavefront aberrations of the inside, outside and whole eyes of human eyes as claimed in claim 1, wherein in the step S14, zernike polynomials are defined as:
Figure FDA0002811731450000041
wherein n represents the order, m takes the values of-n, -n +2, -n +4, K, n
Figure FDA0002811731450000042
Is a normalization factor;
Figure FDA0002811731450000043
δm01 when m is 0, δm00 when m ≠ 0
Figure FDA0002811731450000044
Is a radially distributed polynomial
Figure FDA0002811731450000045
The aberration at a certain position can be represented by a weighted Zernike polynomial sum
Figure FDA0002811731450000046
When the order n is determined, the total term number of the aberration Zernike expression is also determined as the total term number Nitm (n + 1)/2;
the wavefront aberration of each discrete ray monitoring point is represented by the polynomial, and all the term coefficients can be calculated according to a matrix solving algorithm
Figure FDA0002811731450000047
CN202011388849.2A2020-12-022020-12-02Method for indirectly analyzing wavefront aberrations of inside and outside human eyes and whole eyesActiveCN112493983B (en)

Priority Applications (1)

Application NumberPriority DateFiling DateTitle
CN202011388849.2ACN112493983B (en)2020-12-022020-12-02Method for indirectly analyzing wavefront aberrations of inside and outside human eyes and whole eyes

Applications Claiming Priority (1)

Application NumberPriority DateFiling DateTitle
CN202011388849.2ACN112493983B (en)2020-12-022020-12-02Method for indirectly analyzing wavefront aberrations of inside and outside human eyes and whole eyes

Publications (2)

Publication NumberPublication Date
CN112493983Atrue CN112493983A (en)2021-03-16
CN112493983B CN112493983B (en)2022-09-16

Family

ID=74969120

Family Applications (1)

Application NumberTitlePriority DateFiling Date
CN202011388849.2AActiveCN112493983B (en)2020-12-022020-12-02Method for indirectly analyzing wavefront aberrations of inside and outside human eyes and whole eyes

Country Status (1)

CountryLink
CN (1)CN112493983B (en)

Cited By (1)

* Cited by examiner, † Cited by third party
Publication numberPriority datePublication dateAssigneeTitle
CN116296279A (en)*2023-01-182023-06-23中国科学院长春光学精密机械与物理研究所 A method for solving wave aberration of optical system by ray tracing

Citations (19)

* Cited by examiner, † Cited by third party
Publication numberPriority datePublication dateAssigneeTitle
US20020122153A1 (en)*2000-12-222002-09-05Piers Patricia AnnMethods of obtaining ophthalmic lenses providing the eye with reduced aberrations
US20050007551A1 (en)*1998-10-072005-01-13Tracey Technologies, LlcMethod and device for determining refractive components and visual function of the eye for vision correction
US20080033546A1 (en)*2006-05-312008-02-07Junzhong LiangMethods and apparatus for improving vision
CN101229052A (en)*2007-01-232008-07-30南开大学 Correction of Wave Aberration Data in Personalized Vision Correction
CN101427908A (en)*2008-12-092009-05-13南昌航空大学Objective optometry method based on wave-front abberration
US20100130967A1 (en)*2008-11-212010-05-27Mathias GlasmacherMethod and Apparatus for Enhanced Corneal Accommodation
CN101810528A (en)*2010-01-222010-08-25温州医学院Cornea center positioning method for excimer laser cornea refractive surgery
CN101957502A (en)*2010-08-312011-01-26吉林大学Design method of individualized cornea contact lens
US20110105943A1 (en)*2008-04-172011-05-05Vereniging Vu-WindesheimApparatus For Corneal Shape Analysis And Method For Determining A Corneal Thickness
US20110153248A1 (en)*2009-12-232011-06-23Yeming GuOphthalmic quality metric system
CN102467612A (en)*2010-11-182012-05-23沈阳理工大学 Construction method of personalized eye optical model
CN103006177A (en)*2012-12-202013-04-03南京航空航天大学Human eye aberration compensation method based on Zernike conjugated composite pattern
CN104271030A (en)*2012-07-102015-01-07威孚莱有限公司 Method and apparatus for determining optical aberrations of an eye
US20160135681A1 (en)*2012-12-102016-05-19Tracey Technologies, Corp.Methods for Objectively Determining the Visual Axis of the Eye and Measuring Its Refraction
WO2017180914A1 (en)*2016-04-132017-10-19Amo Wavefront Sciences, LlcApparatus, system, and method for intraocular lens power calculation using a regression formula incorporating corneal spherical aberration
EP3355098A1 (en)*2017-01-272018-08-01Rodenstock GmbHAssignment of an eyes model for optimizing eyeglass lenses with measurement data
CN109031684A (en)*2018-08-222018-12-18西南化工研究设计院有限公司A kind of photon screen Aberration Analysis method
CN109512380A (en)*2018-11-022019-03-26爱尔眼科医院集团股份有限公司The method for making full retina dioptric topographic map based on wavefront sensing technique
US20200285071A1 (en)*2017-01-272020-09-10Rodenstock GmbhPopulation of an eye model using measurement data in order to optimize spectacle lenses

Patent Citations (19)

* Cited by examiner, † Cited by third party
Publication numberPriority datePublication dateAssigneeTitle
US20050007551A1 (en)*1998-10-072005-01-13Tracey Technologies, LlcMethod and device for determining refractive components and visual function of the eye for vision correction
US20020122153A1 (en)*2000-12-222002-09-05Piers Patricia AnnMethods of obtaining ophthalmic lenses providing the eye with reduced aberrations
US20080033546A1 (en)*2006-05-312008-02-07Junzhong LiangMethods and apparatus for improving vision
CN101229052A (en)*2007-01-232008-07-30南开大学 Correction of Wave Aberration Data in Personalized Vision Correction
US20110105943A1 (en)*2008-04-172011-05-05Vereniging Vu-WindesheimApparatus For Corneal Shape Analysis And Method For Determining A Corneal Thickness
US20100130967A1 (en)*2008-11-212010-05-27Mathias GlasmacherMethod and Apparatus for Enhanced Corneal Accommodation
CN101427908A (en)*2008-12-092009-05-13南昌航空大学Objective optometry method based on wave-front abberration
US20110153248A1 (en)*2009-12-232011-06-23Yeming GuOphthalmic quality metric system
CN101810528A (en)*2010-01-222010-08-25温州医学院Cornea center positioning method for excimer laser cornea refractive surgery
CN101957502A (en)*2010-08-312011-01-26吉林大学Design method of individualized cornea contact lens
CN102467612A (en)*2010-11-182012-05-23沈阳理工大学 Construction method of personalized eye optical model
CN104271030A (en)*2012-07-102015-01-07威孚莱有限公司 Method and apparatus for determining optical aberrations of an eye
US20160135681A1 (en)*2012-12-102016-05-19Tracey Technologies, Corp.Methods for Objectively Determining the Visual Axis of the Eye and Measuring Its Refraction
CN103006177A (en)*2012-12-202013-04-03南京航空航天大学Human eye aberration compensation method based on Zernike conjugated composite pattern
WO2017180914A1 (en)*2016-04-132017-10-19Amo Wavefront Sciences, LlcApparatus, system, and method for intraocular lens power calculation using a regression formula incorporating corneal spherical aberration
EP3355098A1 (en)*2017-01-272018-08-01Rodenstock GmbHAssignment of an eyes model for optimizing eyeglass lenses with measurement data
US20200285071A1 (en)*2017-01-272020-09-10Rodenstock GmbhPopulation of an eye model using measurement data in order to optimize spectacle lenses
CN109031684A (en)*2018-08-222018-12-18西南化工研究设计院有限公司A kind of photon screen Aberration Analysis method
CN109512380A (en)*2018-11-022019-03-26爱尔眼科医院集团股份有限公司The method for making full retina dioptric topographic map based on wavefront sensing technique

Cited By (1)

* Cited by examiner, † Cited by third party
Publication numberPriority datePublication dateAssigneeTitle
CN116296279A (en)*2023-01-182023-06-23中国科学院长春光学精密机械与物理研究所 A method for solving wave aberration of optical system by ray tracing

Also Published As

Publication numberPublication date
CN112493983B (en)2022-09-16

Similar Documents

PublicationPublication DateTitle
CA2868425C (en)Process and apparatus for determining optical aberrations of an eye
KR100996739B1 (en) Talbot collecting wavefront detector for ophthalmology
Read et al.The topography of the central and peripheral cornea
CA2942213C (en)Intraocular lens that improves overall vision where there is a local loss of retinal function
EP3001945B1 (en)Lensometers and wavefront sensors and methods of measuring aberration
US6659613B2 (en)Methods and systems for measuring local scattering and aberration properties of optical media
ES2373543T3 (en) OBJECTIVE MEASUREMENT OF EYE REFRACTION.
US9603516B2 (en)Objective quality metric for ocular wavefront measurements
US20230135330A1 (en)Population of an eye model using measurement data in order to optimize spectacle lenses
US20050105044A1 (en)Lensometers and wavefront sensors and methods of measuring aberration
US8591032B2 (en)Opthalmic apparatuses, systems and methods
US20180125355A1 (en)Technique for performing ophthalmic measurements on an eye
CA2785282A1 (en)Optical diagnosis using measurement sequence
JP2004507306A (en) Non-contact measurement system for optical imaging quality of the eye
SalmonCorneal contribution to the Wavefront aberration of the eye
WO2014093373A1 (en)Methods for objectively determining the visual axis of the eye and measuring its refraction
CN112493983B (en)Method for indirectly analyzing wavefront aberrations of inside and outside human eyes and whole eyes
KR20020038705A (en)Ocular biometer
CN119446498A (en) An ophthalmic vision examination data collection and analysis system
CN113827178A (en) A method for acquiring incident wavefront aberration of individual human eye with large field of view
SchottnerAlgorithms for the application of Hartmann-Shack wavefront sensors in ophthalmology
CN113331782A (en)Computer optometry unit
Fülep et al.Far-field infrared system for the high-accuracy in-situ measurement of ocular pupil diameter
BerentsenImaging and instrumentation in contact lens practice
Siedlecki et al.New shape of videokeratometric illuminator

Legal Events

DateCodeTitleDescription
PB01Publication
PB01Publication
SE01Entry into force of request for substantive examination
SE01Entry into force of request for substantive examination
GR01Patent grant
GR01Patent grant

[8]ページ先頭

©2009-2025 Movatter.jp