





技术领域technical field
本发明涉及自然语言处理与深度学习领域,特别是指一种基于图深度学习的EMR信息关联及演化方法。The invention relates to the field of natural language processing and deep learning, in particular to an EMR information association and evolution method based on graph deep learning.
背景技术Background technique
临床文本蕴含着丰富的健康医疗信息,以电子病历(Electronic MedicalRecord,EMR)为代表的临床文本是医疗活动过程中产生的一种重要信息资源。电子病历分为门诊电子病历和住院电子病历,包含有社会人口学信息、主诉、现病史、检查记录、疾病诊断等。可见,电子病历是医疗知识高度密集的多源异构数据集合,包含了丰富的实体,如:症状、疾病、检查等,这些实体之间常常隐藏着某种医学关系。目前,电子病历的有效建模已成为学术界和工业界的一个重要课题。已有研究表明,利用电子病历数据进行机器学习可实现疾病诊断、药物推荐、治疗方案推荐、风险预测等智能化临床应用。但是电子病历大多以非结构化文本的形式存储,导致病历的应用效率低、阻碍医疗信息化程度,临床工作者也无法清晰地获取病人病情的结构化关联信息和医学知识。如何从海量的电子病历数据中发现临床知识是健康医疗领域面临的挑战,也是提高医学科研效率以及寻求临床诊断可靠证据的重要途径。Clinical texts contain a wealth of health and medical information, and clinical texts represented by Electronic Medical Records (EMR) are an important information resource generated during medical activities. Electronic medical records are divided into outpatient electronic medical records and inpatient electronic medical records, including sociodemographic information, chief complaints, history of present illness, examination records, disease diagnosis, etc. It can be seen that electronic medical records are multi-source heterogeneous data collections with highly dense medical knowledge, including rich entities, such as symptoms, diseases, examinations, etc., and some medical relationships are often hidden between these entities. Currently, efficient modeling of electronic medical records has become an important topic in academia and industry. Existing studies have shown that using electronic medical record data for machine learning can realize intelligent clinical applications such as disease diagnosis, drug recommendation, treatment plan recommendation, and risk prediction. However, most electronic medical records are stored in the form of unstructured text, which leads to low application efficiency of medical records, hinders the degree of medical informatization, and clinical workers cannot clearly obtain structured related information and medical knowledge of patients' conditions. How to discover clinical knowledge from massive electronic medical record data is a challenge in the field of health care, and it is also an important way to improve the efficiency of medical research and seek reliable evidence for clinical diagnosis.
发明内容Contents of the invention
本发明的主要目的在于克服现有技术中的上述缺陷,提出一种基于图深度学习的EMR信息关联及其演化方法,采用图深度学习方法对电子病历数据进行建模,利用网络关系图可视化技术展示电子病历结构信息的演化过程,实现知识发现和可解释深度学习。The main purpose of the present invention is to overcome the above-mentioned defects in the prior art, and propose a method for EMR information association and its evolution based on graph deep learning, using graph deep learning method to model electronic medical record data, and using network graph visualization technology Demonstrate the evolution process of electronic medical record structure information, realize knowledge discovery and interpretable deep learning.
本发明采用如下技术方案:The present invention adopts following technical scheme:
一种基于图深度学习的EMR信息关联及演化方法,其特征在于,包括如下步骤:A kind of EMR information association and evolution method based on graph deep learning is characterized in that, comprises the following steps:
EMR数据预处理:获取EMR数据集,对获取的EMR数据进行预处理,得到EMR的实体词典;EMR data preprocessing: obtain the EMR data set, preprocess the obtained EMR data, and obtain the entity dictionary of EMR;
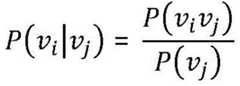
EMR图构建:利用word2vec方法将实体词典中的词转换为向量表示,得到对应EMR数据的EMR图的向量矩阵;选取实体词典的实体词作为EMR图的节点,实体词典中实体词的数量为EMR图节点个数最大值V_num,通过计算任意两个图节点的条件概率,获取EMR图的邻接矩阵并进行归一化,得到EMR图的邻接矩阵;所述EMR图的向量矩阵和EMR图的邻接矩阵构成EMR图;其中,针对EMR图中任意两个节点vi和vj,(i,j=1,2,..,V_num,且i≠j),vj到vi的边权值为P(vi|vj),即vi在vj出现的条件下出现的概率,计算公式为:EMR graph construction: use the word2vec method to convert the words in the entity dictionary into vector representations, and obtain the vector matrix of the EMR graph corresponding to the EMR data; select the entity words in the entity dictionary as the nodes of the EMR graph, and the number of entity words in the entity dictionary is EMR The maximum number of graph nodes V_num, by calculating the conditional probability of any two graph nodes, obtains the adjacency matrix of the EMR graph and normalizes to obtain the adjacency matrix of the EMR graph; the vector matrix of the EMR graph and the adjacency of the EMR graph The matrix constitutes an EMR graph; where, for any two nodes vi and vj in the EMR graph, (i, j=1,2,..,V_num, and i≠j), the edge weights from vj to vi P(vi |vj ), that is, the probability of vi appearing under the condition that vj appears, the calculation formula is:
EMR图深度学习模型构建:根据得到的EMR数据集对应的所有EMR图,构建出EMR图深度学习模型的输入图数据集T={Gi,i=1,2,…,n},其中Gi=(Qi,Ai)为第i份电子病历数据,n为电子病历数据的数量,Qi={q_vecoteri,i=1,2,…,V_num}为EMR图Gi的向量矩阵,V_num为EMR图节点个数最大值,Ai,i=1,2,…,n为EMR图Gi的邻接矩阵;利用图神经网络transformer进行EMR图深度学习,将邻接矩阵Ai作为图神经网络transformer的第一个自注意力模块block1的初始化矩阵M1,即Ai=M1;采用图数据集T作为图神经网络transformer模型的输入数据,将EMR的初步诊断作为图神经网络transformer模型的输出数据,对transformer模型进行训练,从而获得图深度学习模型F;EMR graph deep learning model construction: According to all the EMR graphs corresponding to the obtained EMR data set, construct the input graph data set T={Gi ,i=1,2,…,n} of the EMR graph deep learning model, where Gi =(Qi ,Ai ) is the i-th electronic medical record data, n is the number of electronic medical record data, Qi ={q_vecoteri ,i=1,2,...,V_num} is the vector matrix of EMR graph Gi , V_num is the maximum number of nodes in the EMR graph, Ai , i=1,2,...,n is the adjacency matrix of the EMR graph Gi ; use the graph neural network transformer to carry out deep learning of the EMR graph, and use the adjacency matrix Ai as the graph The initialization matrix M1 of the first self-attention module block1 of the neural network transformer, that is, Ai = M1 ; the graph data set T is used as the input data of the graph neural network transformer model, and the preliminary diagnosis of EMR is used as the graph neural network The output data of the transformer model is used to train the transformer model to obtain the graph deep learning model F;
EMR信息关联及演化:将任意一条EMR图数据,将其喂入图深度学习模型F,通过模型F的第二个及其以上的自注意力模块blocki,(i=2,…,m)中的注意力矩阵来构建一系列的EMR图G的邻接矩阵M2,…,Mm,其中,M2,…,Mm是由基于条件概率的邻接矩阵M1经过图深度学习得到的邻接矩阵的演化;汇集M1,M2,…,Mm构建EMR图的演化序列M={Mi,i=1,2,…,m}。EMR information association and evolution: feed any piece of EMR graph data into the graph deep learning model F, and pass the second and above self-attention module blocki of model F, (i=2,...,m) The attention matrix in is used to construct a series of adjacency matrices M2 ,...,Mm of the EMR graph G, where M2 ,...,Mm is the adjacency obtained from the conditional probability-based adjacency matrix M1 through graph deep learning Evolution of the matrix; gather M1 , M2 ,...,Mm to construct the evolution sequence M={Mi ,i=1,2,...,m} of the EMR graph.
具体地,所述获取EMR数据集,包括社会人口学信息、主诉等医疗文本、体格检查、实验室检查及其结果和疾病诊断。Specifically, the acquisition of EMR data sets includes sociodemographic information, medical texts such as chief complaints, physical examination, laboratory examination and its results, and disease diagnosis.
具体地,所述对获取的EMR数据进行预处理,包括分词、实体抽取。Specifically, the preprocessing of the acquired EMR data includes word segmentation and entity extraction.
由上述对本发明的描述可知,与现有技术相比,本发明具有如下有益效果:As can be seen from the above description of the present invention, compared with the prior art, the present invention has the following beneficial effects:
利用EMR的图结构信息进行表示学习,可以挖掘到电子病历数据所包含的大量的医学知识的关联信息及其演化规律。一方面,图结构的电子病历数据可以产生有价值的信息和知识,为医生提供临床决策支持。另一方面,利用图数据的演化可视化技术可展示电子病历信息的关联变化过程,使深度学习具有可解释性,从而更好地服务于医学人工智能的实际应用。Using the graph structure information of EMR for representation learning can mine the associated information and evolution rules of a large amount of medical knowledge contained in electronic medical record data. On the one hand, graph-structured EMR data can generate valuable information and knowledge to provide clinical decision support for doctors. On the other hand, the evolution visualization technology using graph data can display the associated change process of electronic medical record information, making deep learning interpretable, so as to better serve the practical application of medical artificial intelligence.
附图说明Description of drawings
附图1是本发明基于图深度学习的EMR信息关联及其演化方法流程图;Accompanying
附图2是中文儿科门诊电子病历数据示例图;Accompanying
附图3是EMR图深度学习模型图;Accompanying drawing 3 is EMR diagram deep learning model diagram;
附图4是EMR图结构信息输入的示意图;Accompanying drawing 4 is the schematic diagram of EMR figure structural information input;
附图5是EMR图结构信息演化的示意图;Accompanying drawing 5 is the schematic diagram of evolution of EMR diagram structural information;
附图6是EMR图结构信息输出的示意图。Accompanying drawing 6 is a schematic diagram of the output of EMR chart structure information.
以下结合附图和具体实施例对本发明作进一步详述。The present invention will be described in further detail below in conjunction with the accompanying drawings and specific embodiments.
具体实施方式Detailed ways
下面结合具体实施例,进一步阐述本发明。应理解,这些实施例仅用于说明本发明而不用于限制本发明的范围。此外应理解,在阅读了本发明讲授的内容之后,本领域技术人员可以对本发明作各种改动或修改,这些等价形式同样落于本申请所附权利要求书所限定的范围。Below in conjunction with specific embodiment, further illustrate the present invention. It should be understood that these examples are only used to illustrate the present invention and are not intended to limit the scope of the present invention. In addition, it should be understood that after reading the teachings of the present invention, those skilled in the art can make various changes or modifications to the present invention, and these equivalent forms also fall within the scope defined by the appended claims of the present application.
图是一种自然且直观展示客体关联的表示方法,是我们生产生活中最为常见的一种信息载体和形式。基于图的表示学习研究旨在更好地分析复杂信息网络中的节点间的联系及其演化过程。EMR图的构建可以基于电子病历客观的数据存储的关联信息,或基于多层次多角度的统计信息。基于图表示的方法可以高效地学习到电子病历文本的潜在的结构信息,以及数据富含的语义关系。研究表明,利用电子病历文本数据的图结构信息可以获得高质量的向量表示,显著提高下游任务的性能。基于此,本发明提出了基于图深度学习的EMR信息关联及演化方法。Graph is a natural and intuitive representation method to show the relationship between objects, and it is the most common information carrier and form in our production and life. Research on graph-based representation learning aims to better analyze the connections and evolution process of nodes in complex information networks. The construction of the EMR diagram can be based on the associated information stored in the objective data of the electronic medical record, or on the basis of multi-level and multi-angle statistical information. The method based on graph representation can efficiently learn the latent structural information of electronic medical record text, as well as the semantic relationship rich in data. It is shown that exploiting the graph structure information of electronic medical records text data can obtain high-quality vector representations and significantly improve the performance of downstream tasks. Based on this, the present invention proposes an EMR information association and evolution method based on graph deep learning.
参见图1,本发明的基于图深度学习的EMR信息关联及演化方法,包括以下步骤:(1)EMR数据预处理;(2)EMR图构建;(3)EMR图深度学习模型构建;(4)EMR信息关联及演化。Referring to Fig. 1, the EMR information association and evolution method based on graph deep learning of the present invention comprises the following steps: (1) EMR data preprocessing; (2) EMR graph construction; (3) EMR graph deep learning model construction; (4) ) EMR information association and evolution.
具体为EMR数据预处理:获取EMR数据集,包括社会人口学信息、主诉等医疗文本、体格检查、实验室检查及其结果和疾病诊断;对获取的EMR数据进行预处理,包括分词、实体抽取,得到EMR的实体词典;Specifically, EMR data preprocessing: obtain EMR data sets, including sociodemographic information, medical texts such as chief complaints, physical examination, laboratory examination and its results, and disease diagnosis; preprocess the obtained EMR data, including word segmentation and entity extraction , get the entity dictionary of EMR;
EMR图构建:利用word2vec方法将实体词典中的词转换为向量表示,得到对应EMR数据的EMR图的向量矩阵;选取实体词典的实体词作为EMR图的节点,实体词典中实体词的数量为EMR图节点个数最大值,通过计算任意两个图节点的条件概率,获取EMR图的邻接矩阵并进行归一化,得到EMR图的邻接矩阵;所述EMR图的向量矩阵和EMR图的邻接矩阵构成EMR图;其中,针对EMR图中任意两个节点vi和vj,(i,j=1,2,..,V_num,且i≠j),vj到vi的边权值为P(vi|vj),即vi在vj出现的条件下出现的概率,计算公式为:EMR graph construction: use the word2vec method to convert the words in the entity dictionary into vector representations, and obtain the vector matrix of the EMR graph corresponding to the EMR data; select the entity words in the entity dictionary as the nodes of the EMR graph, and the number of entity words in the entity dictionary is EMR The maximum number of graph nodes, by calculating the conditional probability of any two graph nodes, obtains the adjacency matrix of the EMR graph and normalizes it to obtain the adjacency matrix of the EMR graph; the vector matrix of the EMR graph and the adjacency matrix of the EMR graph Constitute an EMR graph; wherein, for any two nodes vi and vj in the EMR graph, (i, j=1,2,...,V_num, and i≠j), the edge weight from vj to vi is P(vi |vj ), that is, the probability of vi appearing under the condition that vj appears, the calculation formula is:
EMR图深度学习模型构建:根据得到的EMR数据集对应的所有EMR图,构建出EMR图深度学习模型的输入图数据集T={Gi,i=1,2,…,n},其中Gi=(Qi,Ai)为第i份电子病历数据,n为电子病历数据的数量,Qi={q_vecoteri,i=1,2,…,V_num}为EMR图Gi的向量矩阵,V_num为EMR图节点个数最大值Ai,i=1,2,…,n为EMR图Gi的邻接矩阵;利用图神经网络transformer进行EMR图深度学习,将邻接矩阵Ai作为图神经网络transformer的第一个自注意力模块block1的初始化矩阵M1,即Ai=M1;采用图数据集T作为图神经网络transformer模型的输入数据,将EMR的初步诊断作为图神经网络transformer模型的输出数据,对transformer模型进行训练,从而获得图深度学习模型F;EMR graph deep learning model construction: According to all the EMR graphs corresponding to the obtained EMR data set, construct the input graph data set T={Gi ,i=1,2,…,n} of the EMR graph deep learning model, where Gi =(Qi ,Ai ) is the i-th electronic medical record data, n is the number of electronic medical record data, Qi ={q_vecoteri ,i=1,2,...,V_num} is the vector matrix of EMR graph Gi , V_num is the maximum number of nodes in the EMR graph Ai , i=1,2,...,n is the adjacency matrix of the EMR graph Gi ; the graph neural network transformer is used for deep learning of the EMR graph, and the adjacency matrix Ai is used as the graph neural network The initialization matrix M1 of the first self-attention module block1 of the network transformer, that is, Ai = M1 ; the graph data set T is used as the input data of the graph neural network transformer model, and the preliminary diagnosis of EMR is used as the graph neural network transformer The output data of the model is used to train the transformer model to obtain the graph deep learning model F;
EMR信息关联及演化:将任意一条EMR图数据,将其喂入图深度学习模型F,通过模型F的第二个及其以上的自注意力模块blocki,(i=2,…,m)中的注意力矩阵来构建一系列的EMR图G的邻接矩阵M2,…,Mm,其中,M2,…,Mm是由基于条件概率的邻接矩阵M1经过图深度学习得到的邻接矩阵的演化;汇集M1,M2,…,Mm构建EMR图的演化序列M={Mi,i=1,2,…,m}。EMR information association and evolution: feed any piece of EMR graph data into the graph deep learning model F, and pass the second and above self-attention module blocki of model F, (i=2,...,m) The attention matrix in is used to construct a series of adjacency matrices M2 ,...,Mm of the EMR graph G, where M2 ,...,Mm is the adjacency obtained from the conditional probability-based adjacency matrix M1 through graph deep learning Evolution of the matrix; gather M1 , M2 ,...,Mm to construct the evolution sequence M={Mi ,i=1,2,...,m} of the EMR graph.
以来自某三甲医院的电子病历为例,图2为一份真实的中文儿科门诊电子病历数据示例,该病历数据包括患者基本信息、主诉、现病史、既往史、家族史、体格检查、辅助检查结果和初步诊断,且其中存在着大量的医学专业术语。Taking the electronic medical record from a tertiary hospital as an example, Figure 2 is an example of a real Chinese pediatric outpatient electronic medical record data, which includes the patient's basic information, chief complaint, current medical history, past history, family history, physical examination, auxiliary examination Results and initial diagnosis, and there is a lot of medical terminology in it.
本发明实施例的具体步骤如下:The concrete steps of the embodiment of the present invention are as follows:
步骤一:EMR数据预处理。Step 1: EMR data preprocessing.
首先,需要对电子病历数据进行准确的分词,其质量影响文本挖掘的效果。在分词阶段,本发明结合自定义的医学词典采用结巴分词工具对电子病历文本进行分词。在实体抽取阶段,从分词后的结果中进一步抽取有意义的实体,最终将每份非结构化的电子病历数据转换为结构化的实体词列表。通过以上操作可获得所有电子病历数据的词典Dict,规模为12310。进一步利用word2vec方法为每一个实体词q∈Dict生成一个128维的词向量表达q_vector。First of all, it is necessary to accurately segment the electronic medical record data, and its quality affects the effect of text mining. In the word segmentation stage, the present invention combines the self-defined medical dictionary and adopts the stammer word segmentation tool to perform word segmentation on the electronic medical record text. In the entity extraction stage, meaningful entities are further extracted from the word segmentation results, and finally each unstructured electronic medical record data is converted into a structured entity word list. Through the above operations, the dictionary Dict of all electronic medical record data can be obtained, and the size is 12310. Further use the word2vec method to generate a 128-dimensional word vector expression q_vector for each entity word q∈Dict.
步骤二:EMR图构建。Step 2: EMR diagram construction.
选取每份电子病历数据的实体词q∈Dict作为EMR图G的节点v,且电子病历的节点个数最大值V_num为150。计算任意两个图节点vi和vj,(i,j=1,2,..,150,且i≠j)的条件概率,获取EMR图G的邻接矩阵并进行归一化得到A150*150。最终完成EMR图的构建G=(Q,A),其中Q为节点的向量表示,A为节点的邻接矩阵。The entity word q∈Dict of each electronic medical record data is selected as the node v of the EMR graph G, and the maximum number of nodes V_num of the electronic medical record is 150. Calculate the conditional probability of any two graph nodes vi and vj , (i, j=1,2,...,150, and i≠j), obtain the adjacency matrix of the EMR graph G and perform normalization to obtain A150 *150 . Finally, the construction of the EMR graph G=(Q, A) is completed, where Q is the vector representation of the node, and A is the adjacency matrix of the node.
步骤三:EMR图深度学习模型构建。Step 3: EMR graph deep learning model construction.
EMR图深度学习模型图参见图3。首先,将电子病历的图数据,即节点向量Q和邻接矩阵A作为图神经网络transformer模型的输入数据,并且邻接矩阵A作为图神经网络transformer模型自注意力模块block1的初始化矩阵M1。将电子病历的初步诊断作为图神经网络transformer模型的输出数据。本实例使用144,170条真实有效的电子病历图数据集T进行transformer模型的训练获得图深度学习模型F。See Figure 3 for the EMR diagram of the deep learning model diagram. First, the graph data of the electronic medical record, that is, the node vector Q and the adjacency matrix A are used as the input data of the graph neural network transformer model, and the adjacency matrix A is used as the initialization matrix M1 of the self-attention module block1 of the graph neural network transformer model. The preliminary diagnosis of the electronic medical record is used as the output data of the graph neural network transformer model. In this example, 144,170 real and effective electronic medical record graph data sets T are used to train the transformer model to obtain a graph deep learning model F.
步骤四:EMR信息关联及演化。Step 4: EMR information association and evolution.
将任意一条电子病历数据喂入已经训练好的EMR图深度学习模型F,提取模型F的第二个及其以上的自注意力模块blocki,(i=2,…,m)的注意力矩阵来构建一系列的EMR图G的邻接矩阵M2,…,Mm,其中,M2,…,Mm是由基于条件概率的邻接矩阵M1经过图深度学习得到的邻接矩阵的演化。汇集M1,M2,…,Mm构建EMR图G的演化序列M={Mi,i=1,2,…,m}。在本实例中,m=3。图4、图5、图6展示了初步诊断为“普通感冒”的一条EMR数据基于图深度学习的结构化信息关联与演化,其中,图的边权值的展示阈值设置为0.054。Feed any piece of electronic medical record data into the trained EMR deep learning model F, and extract the attention matrix of the second and above self-attention module blocki , (i=2,...,m) of model F To construct a series of adjacency matrices M2 ,...,Mm of the EMR graph G, where M2 ,...,Mm is the evolution of the adjacency matrix obtained from the conditional probability-based adjacency matrix M1 through graph deep learning. Collect M1 , M2 ,...,Mm to construct the evolution sequence M={Mi ,i=1,2,...,m} of the EMR graph G. In this example, m=3. Figure 4, Figure 5, and Figure 6 show the structured information association and evolution of a piece of EMR data initially diagnosed as "common cold" based on graph deep learning, where the display threshold of the edge weight of the graph is set to 0.054.
图4展示的是基于条件概率获得的该条电子病历的图数据,由条件概率计算得到的图数据是全连接的。图5展示的是该电子病历图数据在图深度学习过程中凸显出来的节点,对应着EMR重要信息,包含“主诉”、“发热”、“咳嗽”、“病史”、“男”、“颈部”、“腹部”、“心律”、“平软”等。图6是该电子病历图数据在图深度学习后最终的信息关联及演化结果,展示了这条电子病历的关键信息为:患者“性别”为“男”,具有“糖尿病”、“高热惊厥”病史,且通过“体格检查”、“口腔”、“包块”、“无啰音”、“正常”、“腹部”、“家族史”等判断出患者目前病情状态“一般”,但具有“无肿大-发热”等症状。Figure 4 shows the graph data of the electronic medical record obtained based on the conditional probability. The graph data calculated by the conditional probability is fully connected. Figure 5 shows the highlighted nodes of the electronic medical record graph data in the graph deep learning process, corresponding to the important information of EMR, including "main complaint", "fever", "cough", "medical history", "male", "neck Department”, “Abdomen”, “Heart Rhythm”, “Smoothness” and so on. Figure 6 is the final information association and evolution result of the electronic medical record graph data after graph deep learning, showing the key information of this electronic medical record: the patient's "sex" is "male", with "diabetes" and "febrile convulsions" Medical history, and through "physical examination", "oral cavity", "mass", "no rales", "normal", "abdomen", "family history", etc., it is judged that the patient's current condition is "general", but has " No swelling-fever" and other symptoms.
至此,基于图深度学习的EMR信息关联及其演化方法全部结束。不难发现,本发明通过对非结构化的电子病历数据进行自然语言处理,并基于电子病历数据客观的数据统计信息,构建EMR图数据。通过图深度学习方法实现知识发现和可解释深度学习,为医生提供临床决策支持,从而更好地服务于医学人工智能的实际应用。So far, the EMR information association and its evolution method based on graph deep learning are all over. It is not difficult to find that the present invention constructs EMR graph data by performing natural language processing on unstructured electronic medical record data and based on objective data statistics information of electronic medical record data. Realize knowledge discovery and interpretable deep learning through graph deep learning methods, provide clinical decision support for doctors, and thus better serve the practical application of medical artificial intelligence.
上述仅为本发明的具体实施方式,但本发明的设计构思并不局限于此,凡利用此构思对本发明进行非实质性的改动,均应属于侵犯本发明保护范围的行为。The above is only a specific embodiment of the present invention, but the design concept of the present invention is not limited thereto, and any non-substantial changes made to the present invention by using this concept should be an act of violating the protection scope of the present invention.
| Application Number | Priority Date | Filing Date | Title |
|---|---|---|---|
| CN202011353177.1ACN112466462B (en) | 2020-11-26 | 2020-11-26 | An EMR Information Association and Evolution Method Based on Graph Deep Learning |
| Application Number | Priority Date | Filing Date | Title |
|---|---|---|---|
| CN202011353177.1ACN112466462B (en) | 2020-11-26 | 2020-11-26 | An EMR Information Association and Evolution Method Based on Graph Deep Learning |
| Publication Number | Publication Date |
|---|---|
| CN112466462A CN112466462A (en) | 2021-03-09 |
| CN112466462Btrue CN112466462B (en) | 2023-03-07 |
| Application Number | Title | Priority Date | Filing Date |
|---|---|---|---|
| CN202011353177.1AActiveCN112466462B (en) | 2020-11-26 | 2020-11-26 | An EMR Information Association and Evolution Method Based on Graph Deep Learning |
| Country | Link |
|---|---|
| CN (1) | CN112466462B (en) |
| Publication number | Priority date | Publication date | Assignee | Title |
|---|---|---|---|---|
| CN113313174A (en)* | 2021-06-01 | 2021-08-27 | 北京大数医达科技有限公司 | Information display method and terminal equipment |
| CN113314206B (en)* | 2021-06-08 | 2024-04-26 | 北京大数医达科技有限公司 | Image display method and device and terminal equipment |
| CN114860952B (en)* | 2022-04-29 | 2024-12-20 | 华侨大学 | A graph topology learning method and system based on data statistics and knowledge guidance |
| Publication number | Priority date | Publication date | Assignee | Title |
|---|---|---|---|---|
| CN106484674A (en)* | 2016-09-20 | 2017-03-08 | 北京工业大学 | A kind of Chinese electronic health record concept extraction method based on deep learning |
| EP3221811A1 (en)* | 2014-11-20 | 2017-09-27 | T&W Engineering A/S | Method and system for establishing network connection to a wearable eeg monitoring module |
| CN109243616A (en)* | 2018-06-29 | 2019-01-18 | 东华大学 | Breast electronic medical record combined relation extraction and structuring system based on deep learning |
| EP3511941A1 (en)* | 2018-01-12 | 2019-07-17 | Siemens Healthcare GmbH | Method and system for evaluating medical examination results of a patient, computer program and electronically readable storage medium |
| EP3537448A1 (en)* | 2018-03-06 | 2019-09-11 | Digital Surgery Ltd | Methods and systems for using multiple data structures to process surgical data |
| CN111316281A (en)* | 2017-07-26 | 2020-06-19 | 舒辅医疗 | Semantic classification of numerical data in natural language context based on machine learning |
| CN111737415A (en)* | 2020-06-12 | 2020-10-02 | 清华大学 | Entity relationship extraction method, entity relationship learning model acquisition method and device |
| CN111914562A (en)* | 2020-08-21 | 2020-11-10 | 腾讯科技(深圳)有限公司 | Electronic information analysis method, device, equipment and readable storage medium |
| Publication number | Priority date | Publication date | Assignee | Title |
|---|---|---|---|---|
| US11488714B2 (en)* | 2016-03-23 | 2022-11-01 | HealthPals, Inc. | Machine learning for collaborative medical data metrics |
| CN107193919A (en)* | 2017-05-15 | 2017-09-22 | 清华大学深圳研究生院 | The search method and system of a kind of electronic health record |
| CN107863147B (en)* | 2017-10-24 | 2021-03-16 | 清华大学 | A method for medical diagnosis based on deep convolutional neural network |
| RU2720363C2 (en)* | 2017-12-29 | 2020-04-29 | Общество С Ограниченной Ответственностью "Интеллоджик" | Method for generating mathematical models of a patient using artificial intelligence techniques |
| JP7479805B2 (en)* | 2018-09-06 | 2024-05-09 | キヤノンメディカルシステムズ株式会社 | Medical information processing device, medical information processing method, medical information processing program, and medical information processing system |
| WO2020097401A1 (en)* | 2018-11-08 | 2020-05-14 | Netflix, Inc. | Identifying image aesthetics using region composition graphs |
| US10485489B1 (en)* | 2018-12-11 | 2019-11-26 | Fifth Eye Inc. | System and method for assessing and monitoring the hemodynamic condition of a patient |
| CN110298383B (en)* | 2019-05-28 | 2021-07-13 | 中国科学院计算技术研究所 | Pathological classification method and system based on multimodal deep learning |
| CN110457682B (en)* | 2019-07-11 | 2022-08-09 | 新华三大数据技术有限公司 | Part-of-speech tagging method for electronic medical record, model training method and related device |
| Publication number | Priority date | Publication date | Assignee | Title |
|---|---|---|---|---|
| EP3221811A1 (en)* | 2014-11-20 | 2017-09-27 | T&W Engineering A/S | Method and system for establishing network connection to a wearable eeg monitoring module |
| CN106484674A (en)* | 2016-09-20 | 2017-03-08 | 北京工业大学 | A kind of Chinese electronic health record concept extraction method based on deep learning |
| CN111316281A (en)* | 2017-07-26 | 2020-06-19 | 舒辅医疗 | Semantic classification of numerical data in natural language context based on machine learning |
| EP3511941A1 (en)* | 2018-01-12 | 2019-07-17 | Siemens Healthcare GmbH | Method and system for evaluating medical examination results of a patient, computer program and electronically readable storage medium |
| EP3537448A1 (en)* | 2018-03-06 | 2019-09-11 | Digital Surgery Ltd | Methods and systems for using multiple data structures to process surgical data |
| CN109243616A (en)* | 2018-06-29 | 2019-01-18 | 东华大学 | Breast electronic medical record combined relation extraction and structuring system based on deep learning |
| CN111737415A (en)* | 2020-06-12 | 2020-10-02 | 清华大学 | Entity relationship extraction method, entity relationship learning model acquisition method and device |
| CN111914562A (en)* | 2020-08-21 | 2020-11-10 | 腾讯科技(深圳)有限公司 | Electronic information analysis method, device, equipment and readable storage medium |
| Title |
|---|
| "A Novel Knowledge Base Question Answering Model Based on Knowledge Representation and Recurrent Convolutional Neural Network";Changhao Liu;《IEEE》;20200826;全文* |
| "Generation of Synthetic Electronic Medical Record Text";jia qi Guan etc;《IEEE》;20181206;全文* |
| Publication number | Publication date |
|---|---|
| CN112466462A (en) | 2021-03-09 |
| Publication | Publication Date | Title |
|---|---|---|
| CN113241135B (en) | Disease risk prediction method and system based on multi-modal fusion | |
| CN109460473B (en) | Multi-label classification method of electronic medical records based on symptom extraction and feature representation | |
| JP7464800B2 (en) | METHOD AND SYSTEM FOR RECOGNITION OF MEDICAL EVENTS UNDER SMALL SAMPLE WEAKLY LABELING CONDITIONS - Patent application | |
| CN110838368B (en) | Active inquiry robot based on traditional Chinese medicine clinical knowledge map | |
| WO2023202508A1 (en) | Cognitive graph-based general practice patient personalized diagnosis and treatment scheme recommendation system | |
| CN116682553B (en) | Diagnosis recommendation system integrating knowledge and patient representation | |
| WO2023078025A1 (en) | Task decomposition strategy-based auxiliary differential diagnosis system for fever of unknown origin | |
| CN113015977A (en) | Deep learning based diagnosis and referral of diseases and conditions using natural language processing | |
| CN111949759A (en) | Medical record text similarity retrieval method, system and computer equipment | |
| CN112466462B (en) | An EMR Information Association and Evolution Method Based on Graph Deep Learning | |
| CN109036577B (en) | Diabetic complications analysis method and device | |
| CN116364299A (en) | A method and system for clustering disease diagnosis and treatment paths based on heterogeneous information network | |
| CN111145903B (en) | Method and device for acquiring vertigo inquiry text, electronic equipment and inquiry system | |
| CN117316466A (en) | Clinical decision method, system and equipment based on knowledge graph and natural language processing technology | |
| Gu et al. | Structure-aware siamese graph neural networks for encounter-level patient similarity learning | |
| CN113434700B (en) | Construction method of knowledge map for aquatic animal disease diagnosis and prevention | |
| Pendyala et al. | Automated medical diagnosis from clinical data | |
| CN117954090A (en) | A method and system for predicting mortality rate of patients with multimodal missing data | |
| CN111768828A (en) | System and method for constructing patient's sign portrait based on data inside and outside the hospital | |
| He et al. | Dialmed: A dataset for dialogue-based medication recommendation | |
| CN112349367B (en) | Method, device, electronic equipment and storage medium for generating simulated medical record | |
| CN110299194A (en) | The similar case recommended method with the wide depth model of improvement is indicated based on comprehensive characteristics | |
| CN110060749B (en) | Intelligent diagnosis method of electronic medical record based on SEV-SDG-CNN | |
| CN119964827A (en) | Medical search method and related methods, devices, equipment and storage media | |
| CN118824484A (en) | Doctor diagnosis and treatment ability evaluation method, system, storage medium and electronic device |
| Date | Code | Title | Description |
|---|---|---|---|
| PB01 | Publication | ||
| PB01 | Publication | ||
| SE01 | Entry into force of request for substantive examination | ||
| SE01 | Entry into force of request for substantive examination | ||
| GR01 | Patent grant | ||
| GR01 | Patent grant |