Movatterモバイル変換


[0]ホーム

URL:


CN112449178B - Screen observation equipment machine position calibration method and system - Google Patents

Screen observation equipment machine position calibration method and system
Download PDF

Info

Publication number
CN112449178B
CN112449178BCN202011302028.2ACN202011302028ACN112449178BCN 112449178 BCN112449178 BCN 112449178BCN 202011302028 ACN202011302028 ACN 202011302028ACN 112449178 BCN112449178 BCN 112449178B
Authority
CN
China
Prior art keywords
observation
point
screen
parameter
pixel
Prior art date
Legal status (The legal status is an assumption and is not a legal conclusion. Google has not performed a legal analysis and makes no representation as to the accuracy of the status listed.)
Active
Application number
CN202011302028.2A
Other languages
Chinese (zh)
Other versions
CN112449178A (en
Inventor
曾奎
陈普华
李焰
张力
蒋金龙
苏茂
张培喜
张帆
杨登峰
陈兴福
崔跃军
余先伟
罗伟
贾昆
Current Assignee (The listed assignees may be inaccurate. Google has not performed a legal analysis and makes no representation or warranty as to the accuracy of the list.)
General Designing Institute of Hubei Space Technology Academy
Original Assignee
General Designing Institute of Hubei Space Technology Academy
Priority date (The priority date is an assumption and is not a legal conclusion. Google has not performed a legal analysis and makes no representation as to the accuracy of the date listed.)
Filing date
Publication date
Application filed by General Designing Institute of Hubei Space Technology AcademyfiledCriticalGeneral Designing Institute of Hubei Space Technology Academy
Priority to CN202011302028.2ApriorityCriticalpatent/CN112449178B/en
Publication of CN112449178ApublicationCriticalpatent/CN112449178A/en
Application grantedgrantedCritical
Publication of CN112449178BpublicationCriticalpatent/CN112449178B/en
Activelegal-statusCriticalCurrent
Anticipated expirationlegal-statusCritical

Links

Images

Classifications

Landscapes

Abstract

The invention relates to the technical field of television tracking system simulation, in particular to a zero calibration method and a zero calibration system for screen observation equipment, wherein the method comprises the following steps: generating a plurality of observation points on a screen, establishing a screen coordinate system by taking a selected point on the screen as an origin, and determining the pixel position of each observation point in the screen coordinate system and the observation angle parameter of each observation point observed by observation equipment; establishing an observation matrix equation of the observation point pixel position and the observation angle parameter of each observation point relative to the position parameter to be calibrated of the observation equipment; and determining the position parameter to be calibrated of the observation equipment according to the observation matrix equation of the observation point. The scheme can solve the problems that in the prior art, the operation process is very complicated and the precision is low due to the mode that the center point of the screen observation equipment is manually adjusted to coincide with the center point of the screen.

Description

Screen observation equipment machine position calibration method and system
Technical Field
The invention relates to the technical field of television tracking system simulation, in particular to a zero calibration method and a zero calibration system for screen observation equipment.
Background
For a television tracking semi-physical simulation test based on television observation equipment, the simplest method for simulating the motion of a target is to generate a virtual observation target through a projection screen, and capture the target through the television equipment and observe the motion of the target. In the experiment, the accuracy of observation data output is directly influenced by the relative relationship between the television observation equipment and the projection screen, so the relative relationship needs to be calibrated before the simulation experiment. On the other hand, however, the imaging focus of a television viewing device is not explicitly visible, and the measurement of the distance of the focus relative to the screen and the projection position in the screen thereof clearly greatly increases the measurement difficulty. In addition, because simulation tests need to be carried out for multiple times in different development stages, and the distance between the television observation device and the screen inevitably changes to a certain extent in the test process, it is very urgent to find a simple and rapid method for acquiring the relative relationship between the television observation device and the projection screen.
The traditional television tracking simulation test mainly adopts a manual measurement mode to obtain the relative relation between the television observation equipment and the projection screen before the test, namely, firstly, the relative distance between the television observation equipment and the screen is calculated according to the field characteristics of the television observation equipment, then, the television observation equipment and the screen are placed according to the pre-calculated size, and then, the central point of the television observation equipment is coincided with the central point of the screen in a manual repeated adjustment mode. The operation process is not only very complicated, but also has low precision, and a great deal of time and energy are needed before the test.
Disclosure of Invention
Aiming at the defects in the prior art, the invention aims to provide a zero calibration method and a zero calibration system for screen observation equipment, which can solve the problems of very complicated operation process and low precision in the prior art by manually adjusting the mode that the central point of the screen observation equipment is overlapped with the central point of a screen.
In order to achieve the above purposes, the technical scheme adopted by the invention is as follows:
on one hand, the invention provides a method for calibrating the machine position of screen observation equipment, which is characterized by comprising the following steps:
generating a plurality of observation points on a screen, establishing a screen coordinate system by taking a selected point on the screen as an origin, and determining the pixel position of each observation point in the screen coordinate system and the observation angle parameter of each observation point observed by observation equipment;
establishing an observation matrix equation of the observation point pixel position and the observation angle parameter of each observation point relative to the position parameter to be calibrated of the observation equipment;
and determining the position parameter to be calibrated of the observation equipment according to the observation matrix equation of the observation point.
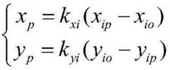
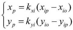
In some optional embodiments, the establishing an observation matrix equation of the observation point pixel position and the observation angle parameter of each observation point with respect to the to-be-calibrated position parameter of the observation device includes the following steps:
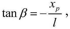
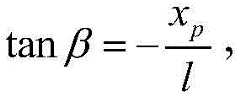
determining the distance x from the observation point P to the central point of the observation equipment in the horizontal direction relative to the observation angle parameter according to the observation angle parameterpAnd a distance y to the center point of the observation device in the vertical directionpThe relational expression of (1);
determining a pixel factor k in a horizontal direction of a screenxiAnd a pixel factor k in the vertical directionyiAnd according to kxi、kyiAnd observation point pixel location determination xpAnd ypThe expression of (1);
according to xpAnd ypAnd xpAnd ypAnd establishing an observation matrix equation of the pixel position and the observation parameter relative to the position parameter to be calibrated.
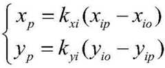
In some alternative embodiments, x ispAnd ypThe relation formula of the observation angle parameter is
Figure BDA0002787199370000031
And
Figure BDA0002787199370000032
wherein alpha is the elevation angle of the observation point observed by the observation equipment, beta is the azimuth angle of the observation point observed by the observation equipment, and l is the distance from the observation equipment to the screen.
In some optional embodiments, the pixel factor k for determining the horizontal direction of the screen is describedxiAnd a pixel factor k in the vertical directionyiAnd according to kxi、kyiAnd observation point pixel location determination xpAnd ypThe expression (2) specifically includes:
according to the formula
Figure BDA0002787199370000033
Determining a pixel factor k in a horizontal direction of a screenxiAnd a pixel factor k in the vertical directionyiWherein x isimaxResolution in the horizontal direction, yimaxThe resolution in the vertical direction is L, the length of the screen and W, the width of the screen;
according to kxi、kyiAnd the observation point pixel position, determining xpAnd ypWith respect to kxi、kyiAnd expression of observation point pixel position
Figure BDA0002787199370000034
Wherein x isioThe position of the observation center pixel of the center point of the observation device in the horizontal direction of the screen, yioThe pixel position of the observation central point of the observation equipment central point in the vertical direction of the screen, xipThe observation point pixel position, y, of the observation point P in the horizontal direction of the screenipThe pixel position of the observation point P in the vertical direction of the screen is taken as the observation point.
In some alternative embodiments, said is according to xpAnd ypAnd xpAnd ypThe expression of (2) establishing an observation matrix equation of the pixel position and the observation parameter with respect to the position parameter to be calibrated, comprising:
simultaneous formula relation
Figure BDA0002787199370000035
And expression
Figure BDA0002787199370000036
Observation equation set for obtaining observation point pixel position and observation angle parameter relative to-be-calibrated position parameter of observation equipment
Figure BDA0002787199370000037
Observing the system of equations
Figure BDA0002787199370000041
The obtained observation matrix equation y is Cx, wherein the position parameter matrix to be calibrated
Figure BDA0002787199370000042
Matrix of observation point pixel locations
Figure BDA0002787199370000043
Observation angle parameter matrix
Figure BDA0002787199370000044
In some optional embodiments, the position parameter to be calibrated of the observation device is determined based on a recursive least square method or a general least square method.
In some optional embodiments, the determining the to-be-calibrated position parameter of the observation device by using a recursive least square method includes the following steps:
an observation value matrix z of a k-th group observation point pixel position matrix y in consideration of an observation error of an observation point pixel positionkIs zk=Ckxkk(k=1,2,...,n),νkObservation error of k and observation point;
based on the least square method, according to zk=Ckxkk(k ═ 1, 2.., n), estimate calibration parameter matrix xnRecursion formula of
Figure BDA0002787199370000045
Wherein x iskVariance P ofk=Var(xk),νkVariance R ofk=Var(νk),
Figure BDA0002787199370000046
l0Is a set initial value of l;
the observation point pixel positions (x) of the k observation point are sequentially substitutedipk,yipk) And observation angle parameter (alpha)kk) Obtaining an estimated value calibration parameter matrix x related to the pixel position of the observation central point and the distance l between the observation equipment and the screen through iteration for setting the iteration times n times to a recurrence formulan
In some optional embodiments, the determining the position parameter to be calibrated of the observation device by using a general least square method includes the following steps:
with the center of the screen as the origin and the inner diameter r1Outer diameter of r2Randomly generating n observation points in the circular ring;
obtaining a correction equation according to an observation matrix equation y of n observation points
Figure BDA0002787199370000051
Wherein the observation point corrects the position matrix
Figure BDA0002787199370000052
Observation angle correction matrix
Figure BDA0002787199370000053
Solving for
Figure BDA0002787199370000054
Obtaining a corrected calibration parameter matrix related to the pixel position of the observation central point and the distance l from the observation equipment to the screen
Figure BDA0002787199370000055
On the other hand, the invention provides a system for calibrating the position of a screen observation device, which comprises:
the input module is used for randomly generating a plurality of observation points on the screen, establishing a screen coordinate system by taking a selected point on the screen as an original point, and determining the pixel position of each observation point in the screen coordinate system and the observation angle parameter of each observation point observed by the observation equipment;
the analysis module is used for establishing an observation matrix equation of the observation point pixel position and the observation angle parameter of each observation point relative to the position parameter to be calibrated of the observation equipment; and determining the position parameters to be calibrated of the observation equipment according to the observation matrix equation of the plurality of observation points.
In some optional embodiments, the analysis module comprises:
a first positioning unit for determining the distance x from the observation point P to the center point of the observation device in the horizontal direction according to the observation angle parameterpAnd a distance y to the center point of the observation device in the vertical directionpThe relational expression of (1);
a second positioning unit for determining a pixel factor k in a horizontal direction of the screenxiAnd a pixel factor k in the vertical directionyiAnd according to kxi、kyiAnd observation point pixel location determination xpAnd ypThe expression of (1);
an analysis unit for analyzing according to xpAnd ypAnd xpAnd ypAnd establishing an observation matrix equation of the pixel position and the observation parameter relative to the position parameter to be calibrated.
Compared with the prior art, the invention has the advantages that: firstly, establishing an observation matrix equation of a position parameter to be calibrated of observation equipment according to an observation point pixel position and an observation angle parameter of each observation point; the observation matrix equation passing through a plurality of observation points can be solved in a mathematical mode, so that the position parameter to be calibrated of the observation equipment can be determined. The distance between the focal point of the television equipment and the projection screen does not need to be obtained through measurement, the central point of the observation equipment, namely the position of the focal point projected in the screen, can be quickly and accurately positioned, and the calibration work of the observation equipment is greatly simplified.
Drawings
In order to more clearly illustrate the technical solutions in the embodiments of the present application, the drawings needed to be used in the description of the embodiments are briefly introduced below, and it is obvious that the drawings in the following description are only some embodiments of the present application, and it is obvious for those skilled in the art to obtain other drawings based on these drawings without creative efforts.
FIG. 1 is a flowchart of a method for calibrating a machine position of a screen observation device according to an embodiment of the present invention;
FIG. 2 is a diagram illustrating the relationship between the observation device and the screen according to an embodiment of the present invention;
FIG. 3 is a block diagram of a recursive least squares configuration in an embodiment of the invention;
FIG. 4 is a diagram illustrating the generation of observation points with random distribution according to an embodiment of the present invention.
Detailed Description
In order to make the objects, technical solutions and advantages of the embodiments of the present application clearer, the technical solutions in the embodiments of the present application will be clearly and completely described below with reference to the drawings in the embodiments of the present application, and it is obvious that the described embodiments are some embodiments of the present application, but not all embodiments. All other embodiments, which can be derived by a person skilled in the art from the embodiments given herein without making any creative effort, shall fall within the protection scope of the present application.
Embodiments of the present invention will be described in further detail below with reference to the accompanying drawings. As shown in fig. 1-2:
the invention provides a method for calibrating a machine position of screen observation equipment, which comprises the following steps:
s1: generating a plurality of observation points on a screen, establishing a screen coordinate system by taking a selected point on the screen as an origin, and determining the pixel position of each observation point in the screen coordinate system and the observation angle parameter of each observation point observed by an observation device.
As shown in FIG. 2, an observation apparatus is providedThe central point, i.e. the focal point projected on the screen, is OcThe intersection point of the axis of the observation device and the screen is O, and the distance from the observation device to the screen is l. And establishing a plane coordinate system Oxy on the screen by taking the point O as a coordinate origin, and setting P as an observation point, wherein projection sub-tables of the observation point on Ox and Oy are N and M. The television viewing device outputs a high and low angle alpha and an azimuth angle beta. Defining low angle alpha ═ MOcO, azimuth angle beta ═ NOcAnd O, dividing the projection screen into four quadrants by a coordinate system Oxy, wherein the elevation angle in the quadrant I, II is positive, and the azimuth angles in the quadrants II and III are positive.
S2: and establishing an observation matrix equation of the observation point pixel position and the observation angle parameter of each observation point relative to the position parameter to be calibrated of the observation equipment.
Step S2 specifically includes:
s21: determining the distance x from the observation point P to the central point of the observation equipment in the horizontal direction relative to the observation angle parameter according to the observation angle parameterpAnd a distance y to the center point of the observation device in the vertical directionpThe relational expression (c) of (c).
Preferably, xpAnd ypThe relation formula of the observation angle parameter is
Figure BDA0002787199370000071
And
Figure BDA0002787199370000081
wherein alpha is the elevation angle of the observation point observed by the observation equipment, beta is the azimuth angle of the observation point observed by the observation equipment, and l is the distance from the observation equipment to the screen.
S22: determining a pixel factor k in a horizontal direction of a screenxiAnd a pixel factor k in the vertical directionyiAnd according to kxi、kyiAnd observation point pixel location determination xpAnd ypIs described in (1).
Preferably according to a formula
Figure BDA0002787199370000082
Determining a pixel factor k in a horizontal direction of a screenxiI.e. the length of a single pixel, anPixel factor k in vertical directionyiI.e. the width of a pixel, where ximaxResolution in the horizontal direction, yimaxIn the vertical direction, L is the length of the screen and W is the width of the screen.
According to kxi、kyiAnd observing point pixel position, determining xpAnd ypWith respect to kxi、kyiAnd expression of observation point pixel position
Figure BDA0002787199370000083
Wherein x isioThe position of the observation center pixel of the center point of the observation device in the horizontal direction of the screen, yioThe pixel position of the observation central point of the observation equipment central point in the vertical direction of the screen, xipThe observation point pixel position, y, of the observation point P in the horizontal direction of the screenipThe pixel position of the observation point P in the vertical direction of the screen is taken as the observation point.
S23: according to xpAnd ypAnd xpAnd ypAnd establishing an observation matrix equation of the pixel position and the observation parameter relative to the position parameter to be calibrated.
Preferably, the simultaneous formula relation
Figure BDA0002787199370000084
And expression
Figure BDA0002787199370000085
Observation equation set for obtaining observation point pixel position and observation angle parameter relative to-be-calibrated position parameter of observation equipment
Figure BDA0002787199370000086
Observing the system of equations
Figure BDA0002787199370000091
The obtained observation matrix equation y is Cx, wherein the position parameter matrix to be calibrated
Figure BDA0002787199370000092
Matrix of observation point pixel locations
Figure BDA0002787199370000093
Observation angle parameter matrix
Figure BDA0002787199370000094
In this embodiment, there is no precedence order between steps S21 and S22.
S3: and determining the position parameter to be calibrated of the observation equipment according to the observation matrix equation of the observation point.
Preferably, the position parameter to be calibrated of the observation device is determined based on a recursive least square method or a general least square method.
As shown in fig. 3, when the recursive least square method is adopted to determine the position parameter to be calibrated of the observation device, the method preferably includes the following steps:
an observation value matrix z of a k-th group observation point pixel position matrix y in consideration of an observation error of an observation point pixel positionkIs zk=Ckxkk(k=1,2,...,n),νkObservation error of k and observation point;
based on the least square method, according to zk=Ckxkk(k ═ 1, 2.., n), estimate calibration parameter matrix xnRecursion formula of
Figure BDA0002787199370000095
Wherein x iskVariance P ofk=Var(xk),νkVariance R ofk=Var(νk),
Figure BDA0002787199370000101
l0Is a set initial value of l;
the observation point pixel positions (x) of the k observation point are sequentially substitutedipk,yipk) And observation angle parameter (alpha)kk) To a recurrence formula, passingSetting iteration times n times to obtain an estimated value calibration parameter matrix x related to the pixel position of the observation central point and the distance l between the observation equipment and the screenn
In solving for
Figure BDA0002787199370000102
When the initial value is brought into the above formula, the initial value can be arranged into
Figure BDA0002787199370000103
Observation point pixel position (x) with k-th observation pointipk,yipk) And observation angle parameter (alpha)kk) Then, then
Figure BDA0002787199370000104
Figure BDA0002787199370000105
xk+1=xk+Kk+1(zk+1-Ck+1xk)
Pk=(I3×3-KkCk)Pk-1
Wherein I is an identity matrix, Kk+1An intermediate quantity in the middle abbreviation.
Obtaining an estimated value calibration parameter matrix x related to the pixel position of the observation central point and the distance l between the observation equipment and the screen through iteration of the set iteration times n timesn
As shown in fig. 4, preferably, when a general least square method is used to determine the position parameter of the observation device to be calibrated, the method includes the following steps:
with the center of the screen as the origin and the inner diameter r1Outer diameter of r2Randomly generating n observation points in the circular ring.
Obtaining a correction equation according to an observation matrix equation y of n observation points
Figure BDA0002787199370000111
Wherein the observation point corrects the position matrix
Figure BDA0002787199370000112
Observation angle correction matrix
Figure BDA0002787199370000113
Solving for
Figure BDA0002787199370000114
Obtaining a corrected calibration parameter matrix related to the pixel position of the observation central point and the distance l from the observation equipment to the screen
Figure BDA0002787199370000115
In the present embodiment, the observation point position is generated as follows:
{(xipk,yipk)|xipk=[r1+rand(n)·(r2-r1)]cos(rand(n)·2π),yipk=[r1+rand(n)·(r2-r1)]sin(rand(n)·2π)},
i.e. with the center of the screen as the origin and the inner diameter r1Outer diameter of r2Randomly generating n observation points in the circular ring. Wherein rand (n) represents random n times.
Wherein,
Figure BDA0002787199370000116
on the other hand, the invention also provides a system for calibrating the machine position of the screen observation equipment, which comprises the following components:
the input module is used for randomly generating a plurality of observation points on the screen, establishing a screen coordinate system by taking a selected point on the screen as an original point, and determining the pixel position of each observation point in the screen coordinate system and the observation angle parameter of each observation point observed by the observation equipment; the system comprises an observation device, an analysis module and a calibration module, wherein the observation device comprises an observation device, a calibration module and a calibration module, wherein the observation device comprises an observation device, the calibration module is used for calibrating the observation device, and the calibration module is used for establishing an observation matrix equation of an observation point pixel position and an observation angle parameter of each observation point relative to a to-be-calibrated position parameter of the observation device; and determining the position parameters to be calibrated of the observation equipment according to the observation matrix equation of the plurality of observation points.
In some optional embodiments, the analysis module comprises: a first positioning unit for determining the distance x from the observation point P to the center point of the observation device in the horizontal direction according to the observation angle parameterpAnd a distance y to the center point of the observation device in the vertical directionpThe relational expression of (1); also included is a second positioning unit for determining a pixel factor k in the horizontal direction of the screenxiAnd a pixel factor k in the vertical directionyiAnd according to kxi、kyiAnd observation point pixel location determination xpAnd ypThe expression of (1); further comprising an analysis unit for analyzing according to xpAnd ypAnd xpAnd ypAnd establishing an observation matrix equation of the pixel position and the observation parameter relative to the position parameter to be calibrated.
In the above embodiment, the observation points are generated pseudo-randomly. The observation points which are distributed randomly accord with the requirement of the least square method for the distribution of the observation errors, the randomness of the distribution of the observation points can be ensured, the situation that the relative error of small-angle measurement close to the circle center is large is avoided, and the estimation precision is ensured.
In summary, the method and the system firstly establish an observation matrix equation of the position parameter to be calibrated of the observation equipment according to the observation point pixel position and the observation angle parameter of each observation point; the observation matrix equation passing through a plurality of observation points can be solved in a mathematical mode, so that the position parameter to be calibrated of the observation equipment can be determined. The distance between the focal point of the television equipment and the projection screen does not need to be obtained through measurement, the central point of the observation equipment, namely the position of the focal point projected in the screen, can be quickly and accurately positioned, and the calibration work of the observation equipment is greatly simplified.
In the description of the present application, it should be noted that the terms "upper", "lower", and the like indicate orientations or positional relationships based on the orientations or positional relationships shown in the drawings, which are only for convenience in describing the present application and simplifying the description, and do not indicate or imply that the referred device or element must have a specific orientation, be constructed in a specific orientation, and operate, and thus, should not be construed as limiting the present application. Unless expressly stated or limited otherwise, the terms "mounted," "connected," and "connected" are intended to be inclusive and mean, for example, that they may be fixedly connected, detachably connected, or integrally connected; can be mechanically or electrically connected; they may be connected directly or indirectly through intervening media, or they may be interconnected between two elements. The specific meaning of the above terms in the present application can be understood by those of ordinary skill in the art as appropriate.
It is noted that, in the present application, relational terms such as "first" and "second", and the like, are used solely to distinguish one entity or action from another entity or action without necessarily requiring or implying any actual such relationship or order between such entities or actions. Also, the terms "comprises," "comprising," or any other variation thereof, are intended to cover a non-exclusive inclusion, such that a process, method, article, or apparatus that comprises a list of elements does not include only those elements but may include other elements not expressly listed or inherent to such process, method, article, or apparatus. Without further limitation, an element defined by the phrase "comprising an … …" does not exclude the presence of other identical elements in a process, method, article, or apparatus that comprises the element.
The above description is merely exemplary of the present application and is presented to enable those skilled in the art to understand and practice the present application. Various modifications to these embodiments will be readily apparent to those skilled in the art, and the generic principles defined herein may be applied to other embodiments without departing from the spirit or scope of the application. Thus, the present application is not intended to be limited to the embodiments shown herein but is to be accorded the widest scope consistent with the principles and novel features disclosed herein.

Claims (5)

1. A method for calibrating the position of a screen observation device is characterized by comprising the following steps:
generating a plurality of observation points on a screen, establishing a screen coordinate system by taking a selected point on the screen as an origin, and determining the pixel position of each observation point in the screen coordinate system and the observation angle parameter of each observation point observed by observation equipment;
establishing an observation matrix equation of the observation point pixel position and the observation angle parameter of each observation point relative to the position parameter to be calibrated of the observation equipment, wherein the observation matrix equation comprises the following steps:
determining the distance x from the observation point P to the central point of the observation equipment in the horizontal direction relative to the observation angle parameter according to the observation angle parameterpAnd a distance y to the center point of the observation device in the vertical directionpIn relation to (b), said xpAnd ypThe relation formula of the observation angle parameter is
Figure FDA0003661781990000011
And
Figure FDA0003661781990000012
wherein alpha is a height angle of an observation point observed by the observation equipment, beta is an azimuth angle of the observation point observed by the observation equipment, and l is a distance from the observation equipment to the screen;
determining a pixel factor k in a horizontal direction of a screenxiAnd a pixel factor k in the vertical directionyiAnd according to kxi、kyiAnd observation point pixel location determination xpAnd ypThe expression of (2);
according to the formula
Figure FDA0003661781990000013
Determining a pixel factor k in a horizontal direction of a screenxiAnd a pixel factor k in the vertical directionyiWherein x isimaxResolution in the horizontal direction, yimaxThe resolution in the vertical direction is L, the length of the screen and W, the width of the screen;
according to kxi、kyiAnd the observation point pixel position, determining xpAnd ypWith respect to kxi、kyiAnd expression of observation point pixel location
Figure FDA0003661781990000014
Wherein x isioThe observation center pixel position of the central point of the observation device in the horizontal direction of the screen, yioThe pixel position of the observation central point of the observation equipment central point in the vertical direction of the screen, xipThe observation point pixel position, y, of the observation point P in the horizontal direction of the screenipThe pixel position of an observation point P in the vertical direction of the screen is taken as the observation point;
according to xpAnd ypAnd xpAnd ypEstablishing an observation matrix equation of the pixel position and the observation parameter relative to the position parameter to be calibrated;
simultaneous formula relation
Figure FDA0003661781990000021
And expression
Figure FDA0003661781990000022
Observation equation set for obtaining observation point pixel position and observation angle parameter relative to-be-calibrated position parameter of observation equipment
Figure FDA0003661781990000023
Observing the system of equations
Figure FDA0003661781990000024
The obtained observation matrix equation y is Cx, wherein the position parameter matrix to be calibrated
Figure FDA0003661781990000025
Matrix of observation point pixel locations
Figure FDA0003661781990000026
Observation angle parameter matrix
Figure FDA0003661781990000027
And determining the position parameter to be calibrated of the observation equipment based on a recursive least square method or a general least square method according to an observation matrix equation of the observation point.
2. The method for calibrating the machine position of the screen observation device as claimed in claim 1, wherein the method for determining the position parameter to be calibrated of the observation device by using the recursive least square method comprises the following steps:
an observation value matrix z of a k-th group of observation point pixel position matrices y in consideration of an observation error of an observation point pixel positionkIs zk=Ckxkk(k=1,2,...,n),νkObservation error of k and observation point;
based on the least square method, according to zk=Ckxkk(k ═ 1, 2.., n), estimate calibration parameter matrix xnRecursion formula of
Figure FDA0003661781990000031
Wherein x iskVariance P ofk=Var(xk),νkVariance R ofk=Var(νk),
Figure FDA0003661781990000032
l0Is a set initial value of l;
the observation point pixel positions (x) of the k observation point are sequentially substitutedipk,yipk) And observation angle parameter (alpha)kk) Obtaining an estimated value calibration parameter matrix x related to the pixel position of the observation central point and the distance l between the observation equipment and the screen through iteration for setting the iteration times n times to a recurrence formulan
3. The method for calibrating the machine position of the screen observation device as claimed in claim 1, wherein the parameters of the position to be calibrated of the observation device are determined by a general least square method, comprising the following steps:
with the center of the screen as the origin and the inner diameter r1Outer diameter of r2Randomly generating n observation points in the circular ring;
obtaining a correction equation according to an observation matrix equation y of n observation points
Figure FDA0003661781990000033
Wherein the observation point corrects the position matrix
Figure FDA0003661781990000034
Observation angle correction matrix
Figure FDA0003661781990000035
Solving for
Figure FDA0003661781990000036
Obtaining a corrected calibration parameter matrix related to the pixel position of the observation central point and the distance l from the observation equipment to the screen
Figure FDA0003661781990000037
4. A system for implementing the method for calibrating the machine position of the screen observation apparatus according to claim 1, comprising:
the input module is used for randomly generating a plurality of observation points on the screen, establishing a screen coordinate system by taking a selected point on the screen as an original point, and determining the pixel position of each observation point in the screen coordinate system and the observation angle parameter of each observation point observed by the observation equipment;
the analysis module is used for establishing an observation matrix equation of the observation point pixel position and the observation angle parameter of each observation point relative to the position parameter to be calibrated of the observation equipment; and determining the position parameters to be calibrated of the observation equipment according to the observation matrix equation of the plurality of observation points.
5. The system of claim 4, wherein the analysis module comprises:
a first positioning unit for determining the distance x from the observation point P to the central point of the observation device in the horizontal direction according to the observation angle parameterpAnd a distance y to the center point of the observation device in the vertical directionpThe relational expression of (1);
a second positioning unit for determining a pixel factor k in a horizontal direction of the screenxiAnd a pixel factor k in the vertical directionyiAnd according to kxi、kyiAnd observation point pixel location determination xpAnd ypThe expression of (1);
an analysis unit for analyzing according to xpAnd ypAnd xpAnd ypAnd establishing an observation matrix equation of the pixel position and the observation parameter relative to the position parameter to be calibrated.
CN202011302028.2A2020-11-192020-11-19Screen observation equipment machine position calibration method and systemActiveCN112449178B (en)

Priority Applications (1)

Application NumberPriority DateFiling DateTitle
CN202011302028.2ACN112449178B (en)2020-11-192020-11-19Screen observation equipment machine position calibration method and system

Applications Claiming Priority (1)

Application NumberPriority DateFiling DateTitle
CN202011302028.2ACN112449178B (en)2020-11-192020-11-19Screen observation equipment machine position calibration method and system

Publications (2)

Publication NumberPublication Date
CN112449178A CN112449178A (en)2021-03-05
CN112449178Btrue CN112449178B (en)2022-07-01

Family

ID=74737592

Family Applications (1)

Application NumberTitlePriority DateFiling Date
CN202011302028.2AActiveCN112449178B (en)2020-11-192020-11-19Screen observation equipment machine position calibration method and system

Country Status (1)

CountryLink
CN (1)CN112449178B (en)

Citations (6)

* Cited by examiner, † Cited by third party
Publication numberPriority datePublication dateAssigneeTitle
RU2005118668A (en)*2005-06-162006-12-27Федеральное Государственное Унитарное Предпри тие"Научно-Исследовательский Институт Промышленного Телевидени "РАСТР (ФГУП "НИИ ПТ "РАСТР") (RU) DEVICE FOR ADJUSTING THE DIRECTION OF THE VISIOR AXIS OF THE TWO-CHAMBER TV SYSTEM
CN101458169A (en)*2007-12-142009-06-17中国科学院沈阳自动化研究所 Tracking Speed Measurement Method for Real-time Image Tracking System
CN105025284A (en)*2014-04-182015-11-04北京三星通信技术研究有限公司 Method and device for calibrating display error of integrated imaging display device
CN105096324A (en)*2015-07-312015-11-25深圳市大疆创新科技有限公司Camera device and calibration method thereof
CN109598763A (en)*2018-11-302019-04-09Oppo广东移动通信有限公司Camera calibration method, device, electronic equipment and computer readable storage medium
CN111462248A (en)*2020-03-132020-07-28中天智领(北京)科技有限公司Calibration method and device for cursor position calibration parameters in screen interaction

Family Cites Families (3)

* Cited by examiner, † Cited by third party
Publication numberPriority datePublication dateAssigneeTitle
US8022990B2 (en)*2006-08-182011-09-20General Electric CompanySystems and methods for on-line marker-less camera calibration using a position tracking system
CN109272557B (en)*2018-11-052019-10-22北京科技大学 A calibration method for eyeball parameters of a single-camera and single-light source eye-tracking system
CN110428471B (en)*2019-07-052021-12-07复旦大学Accurate self-positioning method for optical free-form surface sub-aperture deflection measurement

Patent Citations (6)

* Cited by examiner, † Cited by third party
Publication numberPriority datePublication dateAssigneeTitle
RU2005118668A (en)*2005-06-162006-12-27Федеральное Государственное Унитарное Предпри тие"Научно-Исследовательский Институт Промышленного Телевидени "РАСТР (ФГУП "НИИ ПТ "РАСТР") (RU) DEVICE FOR ADJUSTING THE DIRECTION OF THE VISIOR AXIS OF THE TWO-CHAMBER TV SYSTEM
CN101458169A (en)*2007-12-142009-06-17中国科学院沈阳自动化研究所 Tracking Speed Measurement Method for Real-time Image Tracking System
CN105025284A (en)*2014-04-182015-11-04北京三星通信技术研究有限公司 Method and device for calibrating display error of integrated imaging display device
CN105096324A (en)*2015-07-312015-11-25深圳市大疆创新科技有限公司Camera device and calibration method thereof
CN109598763A (en)*2018-11-302019-04-09Oppo广东移动通信有限公司Camera calibration method, device, electronic equipment and computer readable storage medium
CN111462248A (en)*2020-03-132020-07-28中天智领(北京)科技有限公司Calibration method and device for cursor position calibration parameters in screen interaction

Also Published As

Publication numberPublication date
CN112449178A (en)2021-03-05

Similar Documents

PublicationPublication DateTitle
CN107564069B (en)Method and device for determining calibration parameters and computer readable storage medium
CN110099267A (en)Trapezoidal correcting system, method and projector
CN115267745A (en)Laser radar calibration device and method
CN109712201B (en)Positioning capability calibration device and calibration method for wide-area camera
CN109272555B (en) A method of obtaining and calibrating external parameters of RGB-D camera
CN113205591B (en)Method and device for acquiring three-dimensional reconstruction training data and electronic equipment
JPWO2016117104A1 (en) Pattern measuring device and defect inspection device
WO2020199439A1 (en)Single- and dual-camera hybrid measurement-based three-dimensional point cloud computing method
CN110940312A (en)Monocular camera ranging method and system combined with laser equipment
CN111833401B (en)Rapid ranging method and system based on double-sided point cloud information
CN112229323A (en) Six degrees of freedom measurement method of checkerboard cooperation target based on monocular vision of mobile phone and its application
Yuan et al.A precise calibration method for line scan cameras
CN112465917B (en)Distortion calibration method, system, equipment and storage medium of lens module
CN119146857B (en)On-orbit calibration method for vision and laser fused space target pose measurement system
CN110068313B (en) An Orientation Method of Digital Zenithmeter Based on Projection Transformation
CN112449178B (en)Screen observation equipment machine position calibration method and system
CN115290008A (en) An Angle Calibration Algorithm for Image Measurement Collimator
CN112465914A (en)Camera array calibration method based on non-common view field
JPWO2020158325A1 (en) Optical member position adjustment support device, optical member position adjustment support method, optical member position adjustment support program, lens device manufacturing method
CN114370866B (en)Star sensor principal point and principal distance measuring system and method
CN112614194B (en)Data processing method, system and device of image acquisition equipment
CN106247972B (en)The calibration system and scaling method of image deformation in a kind of interferometry
Yuan et al.Laboratory geometric calibration of non-metric digital camera
CN108286960A (en)Focusing light pipe array apparatus and photography detection method
JP2017215255A (en) Position measuring device

Legal Events

DateCodeTitleDescription
PB01Publication
PB01Publication
SE01Entry into force of request for substantive examination
SE01Entry into force of request for substantive examination
GR01Patent grant
GR01Patent grant

[8]ページ先頭

©2009-2025 Movatter.jp