Movatterモバイル変換


[0]ホーム

URL:


CN112423304A - Multi-unmanned aerial vehicle scheduling communication frequency band allocation method and system - Google Patents

Multi-unmanned aerial vehicle scheduling communication frequency band allocation method and system
Download PDF

Info

Publication number
CN112423304A
CN112423304ACN202011228026.3ACN202011228026ACN112423304ACN 112423304 ACN112423304 ACN 112423304ACN 202011228026 ACN202011228026 ACN 202011228026ACN 112423304 ACN112423304 ACN 112423304A
Authority
CN
China
Prior art keywords
unmanned aerial
aerial vehicle
task
frequency band
executed
Prior art date
Legal status (The legal status is an assumption and is not a legal conclusion. Google has not performed a legal analysis and makes no representation as to the accuracy of the status listed.)
Granted
Application number
CN202011228026.3A
Other languages
Chinese (zh)
Other versions
CN112423304B (en
Inventor
苑贵全
骞一凡
Current Assignee (The listed assignees may be inaccurate. Google has not performed a legal analysis and makes no representation or warranty as to the accuracy of the list.)
Wuhu Chuanglian Aviation Equipment Industry Research Institute Co.,Ltd.
Original Assignee
Beijing Longpu Intelligent Technology Co ltd
Priority date (The priority date is an assumption and is not a legal conclusion. Google has not performed a legal analysis and makes no representation as to the accuracy of the date listed.)
Filing date
Publication date
Application filed by Beijing Longpu Intelligent Technology Co ltdfiledCriticalBeijing Longpu Intelligent Technology Co ltd
Priority to CN202011228026.3ApriorityCriticalpatent/CN112423304B/en
Publication of CN112423304ApublicationCriticalpatent/CN112423304A/en
Application grantedgrantedCritical
Publication of CN112423304BpublicationCriticalpatent/CN112423304B/en
Activelegal-statusCriticalCurrent
Anticipated expirationlegal-statusCritical

Links

Images

Classifications

Landscapes

Abstract

The application provides a method and a system for distributing scheduling communication frequency bands of multiple unmanned aerial vehicles, wherein the method comprises the following steps: acquiring characteristic parameters of an unmanned aerial vehicle and characteristic parameters of a task to be executed; calculating a task execution index of the unmanned aerial vehicle according to the characteristic parameters of the unmanned aerial vehicle and the characteristic parameters of the task to be executed; distributing the task to be executed to the unmanned aerial vehicle with the highest task execution index; and dividing the communication frequency spectrum resource of the scheduling server into a plurality of frequency bands, and setting a communication frequency band for acquiring the task to be executed for the unmanned aerial vehicle after the unmanned aerial vehicle passes the identity verification. The method and the device improve the efficiency and the reliability of task execution of the unmanned aerial vehicle, and improve the communication efficiency between the unmanned aerial vehicle and the scheduling server.

Description

Multi-unmanned aerial vehicle scheduling communication frequency band allocation method and system
Technical Field
The application relates to the technical field of communication, in particular to a method and a system for allocating communication frequency bands for dispatching of multiple unmanned aerial vehicles.
Background
With the increasing maturity of unmanned aerial vehicle technology, its usage is also more and more extensive, especially plays very important effect in the rescue and relief work process unmanned aerial vehicle, has irreplaceability, and this makes unmanned aerial vehicle obtain the application in various rescue and relief work occasions, becomes the indispensable important equipment in the work of information-based rescue.
In the prior art, the following defects exist in the scheduling process of the unmanned aerial vehicle: the efficiency and reliability of task execution of the unmanned aerial vehicle are low; the communication between the unmanned aerial vehicle and the scheduling server is easy to conflict or block, and the communication efficiency is low.
Disclosure of Invention
The application aims to provide a method and a system for allocating scheduling communication frequency bands of multiple unmanned aerial vehicles, and the method improves the task execution efficiency and reliability of the unmanned aerial vehicles and improves the communication efficiency between the unmanned aerial vehicles and a scheduling server.
In order to achieve the above object, the present application provides a method for allocating communication frequency bands for scheduling multiple unmanned aerial vehicles, including the following steps: acquiring characteristic parameters of an unmanned aerial vehicle and characteristic parameters of a task to be executed; calculating a task execution index of the unmanned aerial vehicle according to the characteristic parameters of the unmanned aerial vehicle and the characteristic parameters of the task to be executed; distributing the task to be executed to the unmanned aerial vehicle with the highest task execution index; and dividing the communication frequency spectrum resource of the scheduling server into a plurality of frequency bands, and setting a communication frequency band for acquiring the task to be executed for the unmanned aerial vehicle after the unmanned aerial vehicle passes the identity verification.
As above, obtaining the characteristic parameter of the task to be executed includes obtaining the target position coordinate of the task to be executed and an angle between the target position and the positive horizontal direction of the scheduling center point.
As above, wherein, obtain unmanned aerial vehicle's characteristic parameter includes: and acquiring a preset space threshold limit range of the unmanned aerial vehicle and the flying start point coordinates of the unmanned aerial vehicle.
As above, wherein, the formula for calculating the task performance index of the drone is:
Figure BDA0002764237470000021
wherein T represents a task execution index of the unmanned aerial vehicle; schIndicating to be performedThe target position of the task is located in a position index of the space threshold limit range of the unmanned aerial vehicle; (x1, y1) represents target position coordinates corresponding to performing the task; (x2, y2) represents the takeoff coordinates of the drone; theta 1 represents an included angle between the unmanned aerial vehicle and the horizontal positive direction of the scheduling central point, andtheta 2 represents an included angle between a target position corresponding to the executed task and the horizontal positive direction of the scheduling central point; | represents an absolute value symbol; pxrIndicating that the drone is compliant with the performance requirement value for performing the task.
As above, wherein the target location of the task to be performed is located at the location index S of the spatial threshold range of the dronechThe calculation formula of (2) is as follows:
Figure BDA0002764237470000022
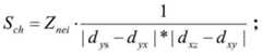
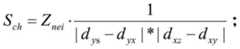
wherein, if the target position is located in the space threshold limit range of the unmanned aerial vehicle, the parameter ZneiHas a value of 1; if the target position is outside the space threshold limit range of the unmanned aerial vehicle, ZneiIs 0; dysDistance in the Y-axis direction from the uppermost boundary of the drone space threshold range, d, representing the target locationyxA distance in the Y-axis direction from a lowermost boundary of the drone space threshold limit range representing a target location; dxzA distance in the X-axis direction from a leftmost boundary of the drone space threshold range representing a target location; dxyA distance in the X-axis direction from a rightmost boundary of the drone space threshold range representing the target location.
As above, wherein the drone complies with the performance requirement value P for performing the taskxrThe calculation formula of (a) is as follows:
Figure BDA0002764237470000023
wherein J represents the number of performance items required to complete the execution task; j represents the j-th performance required for completing the execution task; w is ajIndicating j-th performance required for completing execution task as total required performanceA weight; XWjA value representing a jth capability of the drone; XR (X ray diffraction)jA value representing the j-th performance required to complete the execution of the task.
As above, the method for verifying the identity of the unmanned aerial vehicle comprises the following steps: in response to the instruction for acquiring the data packet, the scheduling server acquires a second tag of the unmanned aerial vehicle, verifies the second tag, judges whether the second tag is matched with a corresponding tag in a second authorization list stored in the scheduling server, and if the second tag is matched with the corresponding tag, the verification is passed; otherwise, the verification is not passed.
As above, the method for setting the communication frequency band for acquiring the task to be executed for the drone includes: responding to a communication request signal sent by the unmanned aerial vehicle, and acquiring a second label of the unmanned aerial vehicle; and detecting whether the preset optimal frequency band of the second tag is an idle frequency band, if so, authorizing the optimal frequency band corresponding to the second tag to the unmanned aerial vehicle for communication connection, and otherwise, selecting the second-best idle frequency band to authorize the unmanned aerial vehicle for communication connection.
As above, wherein, the method for presetting the optimal frequency band for the unmanned aerial vehicle is as follows: starting different frequency bands, and receiving the unmanned aerial vehicle signals after filtering; respectively calculating the total energy of the unmanned aerial vehicle signals in the sensing time in different frequency bands; the frequency band with the maximum total energy of the single unmanned aerial vehicle is used as an optimal frequency band, the second large frequency band is used as a second optimal frequency band, and the excellent degree of the frequency band is determined for the single unmanned aerial vehicle in sequence according to the same principle; and establishing a corresponding relation between the second label of the unmanned aerial vehicle and the corresponding optimal frequency band.
The application also provides a many unmanned aerial vehicle dispatch communication frequency channel distribution system, and this system includes:
the acquisition module is used for acquiring the characteristic parameters of the unmanned aerial vehicle and the characteristic parameters of the task to be executed;
the calculation module is used for calculating a task execution index of the unmanned aerial vehicle according to the characteristic parameters of the unmanned aerial vehicle and the characteristic parameters of the task to be executed;
the task allocation module is used for allocating the tasks to be executed to the unmanned aerial vehicle with the highest task execution index;
and the communication frequency band setting module is used for dividing the communication frequency spectrum resources of the scheduling server into a plurality of frequency bands, and setting the communication frequency band for acquiring the task to be executed for the unmanned aerial vehicle after the unmanned aerial vehicle passes the identity verification.
The beneficial effect that this application realized is as follows:
(1) this application is a plurality of unmanned aerial vehicle preset space domain limit scope to make unmanned aerial vehicle have the flight range of injecing, and carry out the task at the within range of injecing, do benefit to and manage unmanned aerial vehicle, according to the geographical position of carrying out the task and the space threshold limit scope that unmanned aerial vehicle set for, calculate unmanned aerial vehicle's task performance index, with the task allocation to the biggest unmanned aerial vehicle of task performance index, thereby the efficiency and the reliability of task execution have been improved.
(2) This application divides the communication frequency spectrum resource of dispatch server into a plurality of frequency channels, sets for the best frequency channel of communication for unmanned aerial vehicle for a plurality of unmanned aerial vehicle homoenergetic obtain the best matching frequency channel, and prevent the communication conflict or block between unmanned aerial vehicle and the dispatch server, improve communication efficiency.
Drawings
In order to more clearly illustrate the embodiments of the present application or the technical solutions in the prior art, the drawings needed to be used in the description of the embodiments or the prior art will be briefly described below, it is obvious that the drawings in the following description are only some embodiments described in the present application, and other drawings can be obtained by those skilled in the art according to the drawings.
Fig. 1 is a flowchart of a method for allocating communication frequency bands for scheduling multiple unmanned aerial vehicles according to an embodiment of the present application.
Fig. 2 is a flowchart of a method for setting a communication frequency band for acquiring a task to be executed for an unmanned aerial vehicle according to an embodiment of the present application.
Fig. 3 is a schematic structural diagram of a multi-drone scheduling communication frequency band allocation system according to an embodiment of the present application.
Reference numerals: 10-an acquisition module; 20-a calculation module; 30-a task allocation module; 40-a communication frequency band setting module; 100-communication frequency band distribution system.
Detailed Description
The technical solutions in the embodiments of the present application are clearly and completely described below with reference to the drawings in the embodiments of the present application, and it is obvious that the described embodiments are some, but not all, embodiments of the present application. All other embodiments, which can be derived by a person skilled in the art from the embodiments given herein without making any creative effort, shall fall within the protection scope of the present application.
Example one
As shown in fig. 1, the present application provides a method for allocating communication frequency bands for scheduling multiple drones, including the following steps:
and step S1, acquiring the characteristic parameters of the unmanned aerial vehicle and the characteristic parameters of the task to be executed.
Wherein, step S1 includes the following steps:
and step S110, acquiring a preset space threshold limit range of the unmanned aerial vehicle and the flying start point coordinates of the unmanned aerial vehicle. Wherein, the space domain limits the space range that unmanned aerial vehicle can detect.
And step S120, acquiring the target position coordinates of the task to be executed.
And step S2, calculating the task execution index of the unmanned aerial vehicle according to the characteristic parameters of the unmanned aerial vehicle and the characteristic parameters of the task to be executed.
Specifically, the formula for calculating the task execution index of the unmanned aerial vehicle is as follows:
Figure BDA0002764237470000051
wherein T represents a task execution index of the unmanned aerial vehicle; schA position index indicating that a target position of a task to be executed is within a spatial threshold range of the unmanned aerial vehicle; (x1, y1) represents target position coordinates corresponding to performing the task; (x2, y2) represents the takeoff coordinates of the drone; theta 1 represents an included angle between the unmanned aerial vehicle and the horizontal positive direction of the scheduling central point, andtheta 2 represents water of a target position corresponding to the execution task and the scheduling central pointAn included angle between the normal directions; | represents an absolute value symbol; pxrIndicating that the drone is compliant with the performance requirement value for performing the task.
Wherein, the target position of the task to be executed is positioned at the position index S of the space threshold limit range of the unmanned aerial vehiclechThe calculation formula of (2) is as follows:
Figure BDA0002764237470000052
wherein, if the target position is located in the space threshold limit range of the unmanned aerial vehicle, the parameter ZneiHas a value of 1; if the target position is outside the space threshold limit range of the unmanned aerial vehicle, ZneiIs 0; dysDistance in the Y-axis direction from the uppermost boundary of the drone space threshold range, d, representing the target locationyxA distance in the Y-axis direction from a lowermost boundary of the drone space threshold limit range representing a target location; dxzA distance in the X-axis direction from a leftmost boundary of the drone space threshold range representing a target location; dxyA distance in the X-axis direction from a rightmost boundary of the drone space threshold range representing the target location.
Wherein, an X-axis and a Y-axis coordinate system are established at the target position.
Specifically, the unmanned aerial vehicle conforms to the performance requirement value P of the executive taskxrThe calculation formula of (a) is as follows:
Figure BDA0002764237470000061
wherein J represents the number of performance items required to complete the execution task; j represents the j-th performance required for completing the execution task; w is ajRepresenting the weight of the j item performance required for completing the execution task to the total required performance; XWjA value representing a jth capability of the drone; XR (X ray diffraction)jA value representing the j-th performance required to complete the execution of the task.
And step S3, distributing the task to be executed to the unmanned aerial vehicle with the highest task execution index.
Specifically, the unmanned aerial vehicle corresponding to the maximum execution index is selected, and the task to be executed is distributed to the unmanned aerial vehicle.
And packaging the tasks to be executed into a data packet, and distributing the data packet to the unmanned aerial vehicle based on the negotiated distribution protocol.
The unmanned aerial vehicles are in communication connection in a star topology mode and are uniformly commanded and controlled by the scheduling server.
And when receiving the data packet containing the execution task, the unmanned aerial vehicle needs to verify the data packet sent by the scheduling server. The unmanned aerial vehicle obtains a first label in a data packet sent by the scheduling server, verifies the first label, judges whether the first label is matched with a corresponding label in a first authorization list stored in the unmanned aerial vehicle, receives the data packet sent by the scheduling server if the first label is matched with the corresponding label in the first authorization list, and does not receive the data packet sent by the scheduling server if the first label is not matched with the corresponding label in the first authorization list.
And step S4, dividing the communication frequency spectrum resource of the scheduling server into a plurality of frequency bands, and setting a communication frequency band for acquiring the task to be executed for the unmanned aerial vehicle after the unmanned aerial vehicle passes the identity verification.
The scheduling server sets a first label for the data packet, the unmanned aerial vehicle is set with a second label, a second label list of the unmanned aerial vehicle scheduled by the scheduling server is arranged in the scheduling server, and a first label list of the scheduling server of the task received by the unmanned aerial vehicle is set in the unmanned aerial vehicle. Wherein, the data packet is encrypted by the first key.
The method for verifying the identity of the unmanned aerial vehicle comprises the following steps: in response to the instruction for acquiring the data packet, the scheduling server acquires a second tag of the unmanned aerial vehicle, verifies the second tag, judges whether the second tag is matched with a corresponding tag in a second authorization list stored in the scheduling server, if the second tag is matched with the corresponding tag, the verification is passed, the data packet is sent to the unmanned aerial vehicle, and a decryption key corresponding to the first key is sent to the unmanned aerial vehicle; otherwise, the verification is not passed, and the data packet is forbidden to be sent to the unmanned aerial vehicle.
The communication spectrum resources of the scheduling server are distributed to the unmanned aerial vehicles in a collision-free mode, and the communication efficiency of the unmanned aerial vehicles and the scheduling server and the utilization rate of the communication spectrum resources are improved.
As shown in fig. 2, the method for setting the communication band for acquiring the task to be executed for the drone in step S4 includes the following sub-steps:
and step S410, responding to the request communication signal sent by the unmanned aerial vehicle, and acquiring a second label of the unmanned aerial vehicle.
Step S420, detecting whether the preset optimal frequency band of the second tag is an idle frequency band, if so, authorizing the optimal frequency band corresponding to the second tag to the unmanned aerial vehicle for communication connection, otherwise, selecting a second best idle frequency band to authorize the unmanned aerial vehicle for communication connection.
The method for presetting the optimal frequency band for the unmanned aerial vehicle comprises the following steps:
and step S421, starting different frequency bands, and receiving the unmanned aerial vehicle signals after filtering processing.
Step S422, respectively calculating the total energy of the unmanned aerial vehicle signals in different frequency bands within preset sensing time.
The total energy is calculated by the formula:
Figure BDA0002764237470000071
wherein Y represents the total energy; t represents a duration; w represents a bandwidth; w is aiRepresenting the energy of the received drone signal.
Step S423, determining the frequency band with the largest total energy of the single unmanned aerial vehicle as the optimal frequency band, and determining the good degree of the frequency band for the single unmanned aerial vehicle in sequence according to the same principle, with the frequency band with the largest total energy of the single unmanned aerial vehicle as the second optimal frequency band and the second largest frequency band as the second optimal frequency band.
Step S424, a corresponding relationship between the second tag of the drone and the corresponding optimal frequency band is established. Namely, the optimal frequency band can be found according to the second label through the corresponding relation.
Step S430, after the unmanned aerial vehicle completes data interaction with the scheduling server through the frequency band, the frequency band is set as an idle frequency band.
The method further comprises the step of calculating the utilization rate of the frequency band, wherein a formula for calculating the utilization rate of the qth frequency band is as follows:
Figure BDA0002764237470000072
Pqwangkouindicating frequency band utilization; u represents a data packet total receiving and sending queue; u represents the u-th transceiving queue; t1 represents time; t2 represents time; t2 is greater than t 1;
Figure BDA0002764237470000073
the data packet quantity in the u-th transceiving queue which is received through the q-th frequency band at the time t is represented;
Figure BDA0002764237470000081
the number of data packets in the u-th transceiving queue sent out through the q-th frequency band at the time t is represented; Δ Γ represents a time difference between time t1 andtime t 2.
Example two
As shown in fig. 3, the present application provides asystem 100 for allocating communication frequency bands for scheduling multiple drones, which includes:
the acquiringmodule 10 is configured to acquire characteristic parameters of the unmanned aerial vehicle and characteristic parameters of a task to be executed.
And the calculatingmodule 20 is configured to calculate a task execution index of the unmanned aerial vehicle according to the characteristic parameters of the unmanned aerial vehicle and the characteristic parameters of the task to be executed.
And thetask allocation module 30 is configured to allocate the task to be executed to the unmanned aerial vehicle with the highest task execution index.
And the communication frequencyband setting module 40 is used for dividing the communication frequency spectrum resources of the scheduling server into a plurality of frequency bands, and setting a communication frequency band for acquiring the task to be executed for the unmanned aerial vehicle after the unmanned aerial vehicle passes the identity verification.
The beneficial effect that this application realized is as follows:
(1) this application is a plurality of unmanned aerial vehicle preset space domain limit scope to make unmanned aerial vehicle have the flight range of injecing, and carry out the task at the within range of injecing, do benefit to and manage unmanned aerial vehicle, according to the geographical position of carrying out the task and the space threshold limit scope that unmanned aerial vehicle set for, calculate unmanned aerial vehicle's task performance index, with the task allocation to the biggest unmanned aerial vehicle of task performance index, thereby the efficiency and the reliability of task execution have been improved.
(2) This application divides the communication frequency spectrum resource of dispatch server into a plurality of frequency channels, sets for the best frequency channel of communication for unmanned aerial vehicle for a plurality of unmanned aerial vehicle homoenergetic obtain the best matching frequency channel, and prevent the communication conflict or block between unmanned aerial vehicle and the dispatch server, improve communication efficiency.
The above description is only an embodiment of the present invention, and is not intended to limit the present invention. Various modifications and alterations to this invention will become apparent to those skilled in the art. Any modification, equivalent replacement, improvement, etc. made within the spirit and principle of the present invention should be included in the scope of the claims of the present invention.

Claims (10)

1. A method for allocating communication frequency bands for scheduling multiple unmanned aerial vehicles is characterized by comprising the following steps:
acquiring characteristic parameters of an unmanned aerial vehicle and characteristic parameters of a task to be executed;
calculating a task execution index of the unmanned aerial vehicle according to the characteristic parameters of the unmanned aerial vehicle and the characteristic parameters of the task to be executed;
distributing the task to be executed to the unmanned aerial vehicle with the highest task execution index;
and dividing the communication frequency spectrum resource of the scheduling server into a plurality of frequency bands, and setting a communication frequency band for acquiring the task to be executed for the unmanned aerial vehicle after the unmanned aerial vehicle passes the identity verification.
2. The method of claim 1, wherein the obtaining of the characteristic parameters of the task to be executed comprises obtaining coordinates of a target location of the task to be executed and an angle between the target location and a horizontal positive direction of a scheduling center point.
3. The method of claim 1, wherein the obtaining characteristic parameters of the drones comprises: and acquiring a preset space threshold limit range of the unmanned aerial vehicle and the flying start point coordinates of the unmanned aerial vehicle.
4. The method for allocating the communication frequency bands for scheduling of multiple unmanned aerial vehicles according to claim 1, wherein the formula for calculating the task performance index of the unmanned aerial vehicle is as follows:
Figure FDA0002764237460000011
wherein T represents a task execution index of the unmanned aerial vehicle; schA position index indicating that a target position of a task to be executed is within a spatial threshold range of the unmanned aerial vehicle; (x1, y1) represents target position coordinates corresponding to performing the task; (x2, y2) represents the takeoff coordinates of the drone; theta 1 represents an included angle between the unmanned aerial vehicle and the horizontal positive direction of the scheduling central point, and theta 2 represents an included angle between a target position corresponding to the executed task and the horizontal positive direction of the scheduling central point; | represents an absolute value symbol; pxrIndicating that the drone is compliant with the performance requirement value for performing the task.
5. The method of claim 4, wherein the target location of the task to be executed is at a location index S of the spatial threshold range of the UAVschThe calculation formula of (2) is as follows:
Figure FDA0002764237460000021
wherein, if the target position is located in the space threshold limit range of the unmanned aerial vehicle, the parameter ZneiHas a value of 1; if the target position is outside the space threshold limit range of the unmanned aerial vehicle, ZneiIs 0; dysDistance in the Y-axis direction from the uppermost boundary of the drone space threshold range representing the target locationFrom, dyxA distance in the Y-axis direction from a lowermost boundary of the drone space threshold limit range representing a target location; dxzA distance in the X-axis direction from a leftmost boundary of the drone space threshold range representing a target location; dxyA distance in the X-axis direction from a rightmost boundary of the drone space threshold range representing the target location.
6. The method as claimed in claim 4, wherein the UAV meets the performance requirement P of the taskxrThe calculation formula of (a) is as follows:
Figure FDA0002764237460000022
wherein J represents the number of performance items required to complete the execution task; j represents the j-th performance required for completing the execution task; w is ajRepresenting the weight of the j item performance required for completing the execution task to the total required performance; XWjA value representing a jth capability of the drone; XR (X ray diffraction)jA value representing the j-th performance required to complete the execution of the task.
7. The method for allocating the communication frequency bands for scheduling of multiple unmanned aerial vehicles according to claim 4, wherein the method for verifying the identity of the unmanned aerial vehicle comprises the following steps: in response to the instruction for acquiring the data packet, the scheduling server acquires a second tag of the unmanned aerial vehicle, verifies the second tag, judges whether the second tag is matched with a corresponding tag in a second authorization list stored in the scheduling server, and if the second tag is matched with the corresponding tag, the verification is passed; otherwise, the verification is not passed.
8. The method for allocating the communication frequency bands for scheduling of multiple unmanned aerial vehicles according to claim 1, wherein the method for setting the communication frequency band for acquiring the task to be executed for the unmanned aerial vehicle comprises:
responding to a communication request signal sent by the unmanned aerial vehicle, and acquiring a second label of the unmanned aerial vehicle;
and detecting whether the preset optimal frequency band of the second tag is an idle frequency band, if so, authorizing the optimal frequency band corresponding to the second tag to the unmanned aerial vehicle for communication connection, and otherwise, selecting the second-best idle frequency band to authorize the unmanned aerial vehicle for communication connection.
9. The method of claim 8, wherein the method for pre-setting the optimal frequency band for the drones is as follows:
starting different frequency bands, and receiving the unmanned aerial vehicle signals after filtering;
respectively calculating the total energy of the unmanned aerial vehicle signals in the sensing time in different frequency bands;
the frequency band with the maximum total energy of the single unmanned aerial vehicle is used as an optimal frequency band, the second large frequency band is used as a second optimal frequency band, and the excellent degree of the frequency band is determined for the single unmanned aerial vehicle in sequence according to the same principle;
and establishing a corresponding relation between the second label of the unmanned aerial vehicle and the corresponding optimal frequency band.
10. The utility model provides a many unmanned aerial vehicle dispatch communication frequency channel distribution system which characterized in that, this system includes:
the acquisition module is used for acquiring the characteristic parameters of the unmanned aerial vehicle and the characteristic parameters of the task to be executed;
the calculation module is used for calculating a task execution index of the unmanned aerial vehicle according to the characteristic parameters of the unmanned aerial vehicle and the characteristic parameters of the task to be executed;
the task allocation module is used for allocating the tasks to be executed to the unmanned aerial vehicle with the highest task execution index;
and the communication frequency band setting module is used for dividing the communication frequency spectrum resources of the scheduling server into a plurality of frequency bands, and setting the communication frequency band for acquiring the task to be executed for the unmanned aerial vehicle after the unmanned aerial vehicle passes the identity verification.
CN202011228026.3A2020-11-062020-11-06Multi-unmanned aerial vehicle scheduling communication frequency band allocation method and systemActiveCN112423304B (en)

Priority Applications (1)

Application NumberPriority DateFiling DateTitle
CN202011228026.3ACN112423304B (en)2020-11-062020-11-06Multi-unmanned aerial vehicle scheduling communication frequency band allocation method and system

Applications Claiming Priority (1)

Application NumberPriority DateFiling DateTitle
CN202011228026.3ACN112423304B (en)2020-11-062020-11-06Multi-unmanned aerial vehicle scheduling communication frequency band allocation method and system

Publications (2)

Publication NumberPublication Date
CN112423304Atrue CN112423304A (en)2021-02-26
CN112423304B CN112423304B (en)2021-11-16

Family

ID=74827979

Family Applications (1)

Application NumberTitlePriority DateFiling Date
CN202011228026.3AActiveCN112423304B (en)2020-11-062020-11-06Multi-unmanned aerial vehicle scheduling communication frequency band allocation method and system

Country Status (1)

CountryLink
CN (1)CN112423304B (en)

Citations (7)

* Cited by examiner, † Cited by third party
Publication numberPriority datePublication dateAssigneeTitle
CN104867357A (en)*2015-01-212015-08-26中南大学Multi-unmanned aerial vehicle scheduling and task planning method for earthquake emergency response
CN108171315A (en)*2017-12-272018-06-15南京邮电大学Multiple no-manned plane method for allocating tasks based on SMC particle cluster algorithms
US20180375568A1 (en)*2017-06-222018-12-27At&T Intellectual Property I, L.P.Maintaining network connectivity of aerial devices during unmanned flight
CN110300417A (en)*2019-05-092019-10-01清华大学The energy efficiency optimization method and device of Communication Network for UAVS
CN110766254A (en)*2018-07-272020-02-07深圳市白麓嵩天科技有限责任公司Multi-unmanned aerial vehicle cooperative task allocation method based on improved genetic algorithm
CN111127956A (en)*2019-12-312020-05-08长江空间信息技术工程有限公司(武汉) A flood disaster UAV emergency response scheduling method
CN111884740A (en)*2020-06-082020-11-03江苏方天电力技术有限公司Unmanned aerial vehicle channel optimal allocation method and system based on frequency spectrum cognition

Patent Citations (7)

* Cited by examiner, † Cited by third party
Publication numberPriority datePublication dateAssigneeTitle
CN104867357A (en)*2015-01-212015-08-26中南大学Multi-unmanned aerial vehicle scheduling and task planning method for earthquake emergency response
US20180375568A1 (en)*2017-06-222018-12-27At&T Intellectual Property I, L.P.Maintaining network connectivity of aerial devices during unmanned flight
CN108171315A (en)*2017-12-272018-06-15南京邮电大学Multiple no-manned plane method for allocating tasks based on SMC particle cluster algorithms
CN110766254A (en)*2018-07-272020-02-07深圳市白麓嵩天科技有限责任公司Multi-unmanned aerial vehicle cooperative task allocation method based on improved genetic algorithm
CN110300417A (en)*2019-05-092019-10-01清华大学The energy efficiency optimization method and device of Communication Network for UAVS
CN111127956A (en)*2019-12-312020-05-08长江空间信息技术工程有限公司(武汉) A flood disaster UAV emergency response scheduling method
CN111884740A (en)*2020-06-082020-11-03江苏方天电力技术有限公司Unmanned aerial vehicle channel optimal allocation method and system based on frequency spectrum cognition

Also Published As

Publication numberPublication date
CN112423304B (en)2021-11-16

Similar Documents

PublicationPublication DateTitle
US10104708B2 (en)Methods for initial channel setting and connection establishment in unmanned aircraft systems (UAS) control and non-payload communication (CNPC)
US20180131482A1 (en)Cross-subband or cross-carrier scheduling method, base station and user equipment
US10116397B2 (en)Test sequences using universal testing system
CN107911866B (en)Unmanned aerial vehicle communication TDMA networking method, system, equipment and storage medium
Balakrishnan et al.Resource management and fairness for federated learning over wireless edge networks
US11917027B2 (en)Method and system for providing time-critical services
FI3694286T3 (en)Trigger frames adapted to packet-based policies in an 802.11 network
US9237556B2 (en)Method of operating access point and wireless communication system using access point
CN108174358B (en)Flight cluster communication method, device and system
CN107968692A (en) Communication method, communication device and drone for unmanned aerial vehicle
US11595314B2 (en)Systems and methods for automatic priority assignment for virtual links
CN112953616B (en)Resource allocation method, device, equipment and storage medium
CN109040178A (en)Configuration information transmitting method and device
CN114779813A (en) Multi-UAV dynamic task assignment method based on improved contract net algorithm
CN112423304B (en)Multi-unmanned aerial vehicle scheduling communication frequency band allocation method and system
CN112272232B (en)Millimeter wave Internet of vehicles resource scheduling method and device, electronic equipment and storage medium
CN112104410B (en)Method and system for distributing scheduling communication ports of multiple unmanned aerial vehicles
CN107172139B (en)Wireless protocol stack and implementation method thereof
CN102387535B (en)Allow to send CTS answering method and system
CN116438546B (en)Method for model distillation training, related device and equipment, and readable storage medium
CN116449865B (en) A method and system for clustering UAV swarm task decomposition based on state awareness
CN111083121A (en) A panoramic video multicast method and device in a satellite-ground fusion network
US12137393B2 (en)Method for the transmission of a frame by an access point of a wireless local area network
KR20230036536A (en)System and method for resource block determination for multicast and broadcast transmissions
CN108462995B (en) A kind of networking method and device

Legal Events

DateCodeTitleDescription
PB01Publication
PB01Publication
SE01Entry into force of request for substantive examination
SE01Entry into force of request for substantive examination
GR01Patent grant
GR01Patent grant
TR01Transfer of patent right
TR01Transfer of patent right

Effective date of registration:20211202

Address after:241000 Building 5, Wuhu TONGHANG Innovation Park, Beihang, Xinwu Avenue, Wanyi District, Wuhu City, Anhui Province

Patentee after:Wuhu Chuanglian Aviation Equipment Industry Research Institute Co.,Ltd.

Address before:101300 Beijing Shunyi District Airport Street, No. 1 Anhua Street, 1st Building, 1st Floor, No. 2159

Patentee before:BEIJING LONGPU INTELLIGENT TECHNOLOGY Co.,Ltd.


[8]ページ先頭

©2009-2025 Movatter.jp