Movatterモバイル変換


[0]ホーム

URL:


CN112406901B - Binocular distance measuring method for vehicle blind area detection alarm device - Google Patents

Binocular distance measuring method for vehicle blind area detection alarm device
Download PDF

Info

Publication number
CN112406901B
CN112406901BCN202011405478.4ACN202011405478ACN112406901BCN 112406901 BCN112406901 BCN 112406901BCN 202011405478 ACN202011405478 ACN 202011405478ACN 112406901 BCN112406901 BCN 112406901B
Authority
CN
China
Prior art keywords
target
distance
binocular
binocular camera
blind area
Prior art date
Legal status (The legal status is an assumption and is not a legal conclusion. Google has not performed a legal analysis and makes no representation as to the accuracy of the status listed.)
Active
Application number
CN202011405478.4A
Other languages
Chinese (zh)
Other versions
CN112406901A (en
Inventor
王汉超
徐绍凯
陈明木
袁嘉言
贾宝芝
何一凡
Current Assignee (The listed assignees may be inaccurate. Google has not performed a legal analysis and makes no representation or warranty as to the accuracy of the list.)
Shenzhen Ruiwei Intelligent Technology Co ltd
Original Assignee
Shenzhen Ruiwei Intelligent Technology Co ltd
Priority date (The priority date is an assumption and is not a legal conclusion. Google has not performed a legal analysis and makes no representation as to the accuracy of the date listed.)
Filing date
Publication date
Application filed by Shenzhen Ruiwei Intelligent Technology Co ltdfiledCriticalShenzhen Ruiwei Intelligent Technology Co ltd
Priority to CN202011405478.4ApriorityCriticalpatent/CN112406901B/en
Publication of CN112406901ApublicationCriticalpatent/CN112406901A/en
Application grantedgrantedCritical
Publication of CN112406901BpublicationCriticalpatent/CN112406901B/en
Activelegal-statusCriticalCurrent
Anticipated expirationlegal-statusCritical

Links

Images

Classifications

Landscapes

Abstract

The invention provides a binocular distance measurement method for a vehicle blind area detection alarm device, which comprises the steps of calibrating parameters of a binocular camera; measuring a specific numerical value of a rotation angle of the binocular camera relative to the side face of the vehicle body; inputting the image acquired by the binocular camera into a target detection algorithm, outputting a target by the target detection algorithm, and determining the position information of the target in the image; calling a binocular stereo matching algorithm to determine the parallax of the target in the two frames of images; determining a first distance from a projection point of a target on a plane where a connecting line between an optical axis and lenses is located to a perpendicular point of the connecting line between the lenses based on the focal length, the parallax and the distance between the lenses; obtaining the vertical distance from the target to the vehicle body based on the rotation angle and the roll angle, the coordinate of the target in the image coordinate system, the coordinate of the optical center, the focal length and the first distance of the target; the vertical distance from the target to the vehicle is the shortest distance between the target and the vehicle, and the probability of occurrence of traffic accidents can be effectively reduced by applying the system to the blind area early warning system.

Description

Binocular distance measuring method for vehicle blind area detection alarm device
Technical Field
The invention relates to the technical field of auxiliary equipment for safe driving of automobiles, in particular to a binocular distance measuring method for a vehicle blind area detection alarm device.
Background
The blind area of the vehicle, namely the sight dead angle, is usually at the positions of a rearview mirror, an A column and the like, the existence of the blind area can not lead a driver to know the condition in the blind area, once an accident happens, a traffic accident is very easy to happen, a vehicle blind area detection system is designed for coping with the vision blind area by people,
the existing vehicle blind area detection systems use a sensor for detection, and use a plurality of monocular cameras for detection, the sensor cannot distinguish people or objects for detection, false detection is easy to occur, only the distance from the sensor to a target can be detected, but the vertical distance from a vehicle to the target cannot be obtained, larger errors are easy to occur, and if good detection precision is obtained, the number of devices to be installed is large, and the cost is high;
the other scheme needs to manually calibrate a detection area given by a blind area in advance, however, the scheme still cannot give accurate distance information, only can give a linear distance from a camera to a target, and obtains the distance from an object to a plane where a lens connecting line is located, but not the vertical distance from the object to a vehicle.
Because the vertical distance from the target to the vehicle is the shortest distance between the target and the vehicle, how to obtain the shortest distance is very important for detecting the blind area of the vehicle, the detection precision of the blind area early warning system has a remarkable effect on avoiding traffic accidents, but the existing vehicle blind area detection systems cannot detect the vertical distance from the target to the vehicle.
Disclosure of Invention
In view of the above-mentioned shortcomings in the prior art, the present invention provides a binocular distance measuring method for a vehicle blind area detection alarm device.
In order to achieve the purpose, the invention adopts the following technical scheme:
a binocular distance measuring method for a vehicle blind area detection alarm device comprises the following steps:
A. calibrating a binocular camera and determining parameters of the binocular camera, wherein the parameters comprise a focal length, coordinates of optical centers and a distance between lenses, the coordinates of the optical centers are coordinates of optical center imaging of the binocular camera, and the distance between the lenses is the distance between the optical centers of two lenses of the binocular camera;
B. installing a binocular camera on the side face of a vehicle body, wherein a rotation angle and a rolling angle are formed between the side face of the binocular camera and the side face of the vehicle body, and measuring to obtain specific numerical values of the rotation angle and the rolling angle, wherein the rotation angle and the rolling angle are angles generated when the binocular camera rotates relative to the side face of the vehicle body;
C. inputting the image into a target detection algorithm based on the image of the vehicle blind area collected in the coverage range of the binocular camera, outputting a target in the blind area by the target detection algorithm, wherein the target comprises pedestrians, vehicles and obstacles in the vehicle blind area, and determining the position information of the target in the coverage range of the binocular camera in the image, the position information comprises a transverse coordinate and a longitudinal coordinate of the target in an image coordinate system, the transverse coordinate is an abscissa of target imaging, and the longitudinal coordinate is an ordinate of the target imaging;
D. based on two frames of images respectively acquired by a binocular camera at the same time, calling a binocular stereo matching algorithm, and determining the parallax of a target in the two frames of images of the binocular camera, wherein the parallax is the parallax of any point in space in the vertical direction of the two frames of images of the binocular camera;
E. determining a first distance from a projection point of a target on a plane where a connecting line between an optical axis and lenses is located to a perpendicular point of the connecting line between the lenses based on the focal length, the parallax and the distance between the lenses;
F. determining a vertical distance from the target to the vehicle body based on the rotation angle and the roll angle, the horizontal coordinate and the vertical coordinate of the target in the image coordinate system, the coordinate of the optical center, the focal length and the first distance; the vertical distance is the shortest distance from a target to a vehicle, and the vertical distance obtained by the binocular ranging method is applied to a blind area detection alarm device based on the size of the vertical distance, so that early warning can be performed in advance, and the probability of occurrence of blind area accidents can be early warned.
Further, the binocular camera is upper and lower binocular camera, two cameras of binocular camera are vertically installed in the automobile body side according to the mode of one on top of the other.
Further, the distance between the lenses is the vertical distance between the optical centers of the two lenses of the upper and lower binocular cameras.
Further, the coordinates of the optical center are imaging coordinates of the optical center of the lens in an image coordinate system.
Further, the position information of the target is coordinates of a circumscribed rectangular frame of the target in the image.
By adopting the scheme, the invention has the beneficial effects that: (1) the binocular ranging method is applied to a blind area detection system of a vehicle, the pure vision scheme solves the accurate ranging of a specific target in a vehicle blind area range, the cost is lower compared with a radar scheme, and the type of the target, namely a person, a vehicle or other obstacles, can be more accurately distinguished.
(2) Based on the existing left and right binocular distance measurement method, the distance measurement of the upper and lower binocular cameras is realized, specific objects in the longitudinal range of left and right blind areas can be effectively covered, and the actual product requirements are met; simultaneously, the upper binocular camera and the lower binocular camera are narrower than the left binocular equipment and the right binocular equipment, can be more attached to the side face of the vehicle body, and cannot cause any influence on the driving.
(3) According to the invention, the accurate value of the vertical distance from the object to the vehicle can be obtained by calibrating the parameters of the binocular camera, and the influence of the pitch angle, the rotation angle and the roll angle of equipment installation on distance calculation is considered, so that the accurate vertical distance from the object to the vehicle can be obtained, and the radar and the like can not accurately give the vertical distance from the target to the vehicle, so that the defects of the existing distance measurement early warning method are avoided, and the occurrence rate of blind area accidents can be effectively reduced.
Drawings
Fig. 1 is a schematic view of the imaging principle of a target P in an up-down binocular camera according to an embodiment of the present invention;
FIG. 2 is a schematic diagram illustrating the principle of the target and the distance measurement when the upper and lower binocular cameras of the embodiment of the invention are mounted closely to the side of the vehicle body;
FIG. 3 is a schematic diagram illustrating the principle of the target and the distance measurement when the upper and lower binocular cameras of the embodiment of the present invention are installed with a rotation angle relative to the side of the vehicle body;
fig. 4 is a schematic perspective view of the vertical distance between the target and the side of the vehicle body when the upper and lower binocular cameras of the embodiment of the present invention are installed on the side of the vehicle body;
FIG. 5 is a schematic top view of the structure of FIG. 4;
FIG. 6 is a schematic diagram of the front view effect of the structure shown in FIG. 4;
fig. 7 is a flowchart of an upper and lower binocular distance measuring method applied to a vehicle blind area detection alarm device according to an embodiment of the present invention.
Detailed Description
The embodiments of the invention will be described in detail below with reference to the drawings, but the invention can be implemented in many different ways as defined and covered by the claims.
As shown in fig. 1 to 7, a binocular ranging method for a vehicle blind area detection alarm device includes:
A. calibrating a binocular camera and determining parameters of the binocular camera, wherein the parameters comprise a focal length, coordinates of optical centers and a distance between lenses, the coordinates of the optical centers are coordinates of optical center imaging of the binocular camera, and the distance between the lenses is the distance between the optical centers of two lenses of the binocular camera;
B. installing a binocular camera on the side face of a vehicle body, wherein a rotation angle and a rolling angle are formed between the side face of the binocular camera and the side face of the vehicle body, and measuring to obtain specific numerical values of the rotation angle and the rolling angle, wherein the rotation angle and the rolling angle are angles generated when the binocular camera rotates relative to the side face of the vehicle body;
C. inputting the image into a target detection algorithm based on the image of the vehicle blind area collected in the coverage range of the binocular camera, outputting a target in the blind area by the target detection algorithm, wherein the target comprises pedestrians, vehicles and obstacles in the vehicle blind area, and determining the position information of the target in the coverage range of the binocular camera in the image, the position information comprises a transverse coordinate and a longitudinal coordinate of the target in an image coordinate system, the transverse coordinate is an abscissa of target imaging, and the longitudinal coordinate is an ordinate of the target imaging;
D. based on two frames of images respectively acquired by a binocular camera at the same time, calling a binocular stereo matching algorithm, and determining the parallax of a target in the two frames of images of the binocular camera, wherein the parallax is the parallax of any point in space in the vertical direction of the two frames of images of the binocular camera;
E. determining a first distance from a projection point of a target on a plane where a connecting line between an optical axis and lenses is located to a perpendicular point of the connecting line between the lenses based on the focal length, the parallax and the distance between the lenses;
F. determining a vertical distance from the target to the vehicle body based on the rotation angle and the roll angle, the horizontal coordinate and the vertical coordinate of the target in the image coordinate system, the coordinate of the optical center, the focal length and the first distance; the vertical distance is the shortest distance from a target to a vehicle, and the vertical distance obtained by the binocular ranging method is applied to a blind area detection alarm device based on the size of the vertical distance, so that early warning can be performed in advance, and the probability of occurrence of blind area accidents can be early warned.
The binocular camera is two mesh cameras from top to bottom, two cameras of two mesh cameras are vertically installed on the side face of the automobile body in a one-on-one mode.
The distance between the lenses is the vertical distance between the optical centers of the two lenses of the upper binocular camera and the lower binocular camera.
The coordinates of the optical center are imaging coordinates of the optical center of the lens in an image coordinate system.
The position information of the target is the coordinates of the circumscribed rectangular frame of the target in the image.
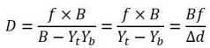
As shown in fig. 1, it is assumed that optical centers of two lenses of the upper and lower binocular cameras are Ot and Ob, respectively, and a vertical distance between the binocular lenses is B; the direction pointed by the horizontal right arrow in fig. 1 is the direction of the optical axis, and the image plane is perpendicular to the optical axis; the two vertical lines are projection lines of the image plane in the horizontal direction, and the distance from the optical center of the lens to the image plane is a focal length f; any point P (namely a target P) in a real space is imaged as a point Yt and a point Yb in an upper lens and a lower lens respectively, H is the height of an image acquired by the lens, and according to the similarity relation of a triangle, the following steps are provided:
Figure DEST_PATH_IMAGE002
it can be deduced that:
Figure DEST_PATH_IMAGE004
to obtain
Figure DEST_PATH_IMAGE006
Figure DEST_PATH_IMAGE008
According to a formula, the vertical distance B of two cameras, the focal length f of the cameras and the vertical direction parallax Delta D of any point P in space on two images can be used for calculating the distance D from the point in space to the horizontal connecting line of the two lenses along the optical axis direction (namely, the distance D from any point P in space to the connecting line of the two lenses along the reverse direction of the optical axis), which is the basic principle of upper and lower binocular distance measurement and is based on the focal length f and the parallax
Figure DEST_PATH_IMAGE010
And the distance between the lenses B, a first distance D to the target P may be determined.
As shown in fig. 2 and 3, the upper and lower binocular cameras are vertically installed on the side of the vehicle body:
in fig. 2, the upper and lower binocular cameras are mounted close to the side of the vehicle body, that is, the upper and lower binocular cameras have no rotation angle α (or the rotation angle α is zero) with the side of the vehicle body, and the optical axis of the lens is parallel to the side of the vehicle body;
in fig. 3, the rotation angle α exists between the upper and lower binocular cameras and the side of the vehicle body, an arbitrary point P (i.e., a target P) in the space, the estimated binocular distance is D is the length of P1P2, which is not the vertical distance to the vehicle body, and the vertical distance from the target P to the side of the vehicle body is x in the figure, which is the shortest distance from the target P to the vehicle body, and this distance is 0 when the target P collides with the vehicle. By obtaining the accurate value of the distance x, the actual distance (i.e., the vertical distance) between the moving target P around the vehicle and the side of the vehicle body can be known, and whether there is a risk and probability of collision can be determined.
As shown in fig. 4, assuming that the upper and lower binocular cameras have a fixed rotation angle α with the side of the vehicle body, the projection from any point P (i.e. the target P) in the space to the plane formed by the connecting line of the optical axis and the optical centers of the upper and lower binocular lenses is P1, and the foot from the projection point to the connecting line of the upper and lower binocular lenses is P2, then the distance P1P2 can be calculated according to the formula of binocular distance measurement: P1P2 = Bf/. DELTA.d, and in fig. 4, the length of P1P2 is denoted by d.
In order to calculate the vertical distance from the point P to the vehicle body, a triangle P' VO exactly equal to the triangle P1P2 needs to be constructed: by translating the triangle P P1P2 upwards along the line connecting the binocular lenses as a whole, the point P2 is coincident with the point O, the point P1 is coincident with the point V, and the point P is coincident with the point P ', because P P' is parallel to the lens connecting line P2O, the vertical distance x from the point P to the vehicle body is equal to the vertical distance x from the point P 'to the vehicle body, and therefore the vertical distance from the target point P to the side face of the vehicle body can be converted into the vertical distance x from the point P' to the side face of the vehicle body. X is indicated by a dashed line in fig. 4.
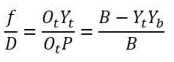
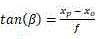
If the length of OP' is known, and the angles of α and β are known, then x and y can be found from the relationship of the right triangles, as shown in fig. 4. Alpha is the horizontal rotation angle alpha of the binocular camera and the side face of the vehicle body, and the installation relation can be obtained through measurement, so that only the beta angle needs to be calculated. To calculate the β angle, assume that the leftmost yellow plane in fig. 4 is an image plane, which is perpendicular to the optical axis, the image of the point V is an optical center point O ', the image of the point P is a point Q ', the image of the point P ' is a point Q ', the length of OO ' is the focal length f, and the length of O ' Q ' is known, and the β angle can be obtained by the relationship of a right triangle.
As shown in fig. 5, when fig. 4 is viewed from the top, a top view 5 thereof can be obtained: assuming that P 'is a point where the target P moves vertically upward along the binocular connecting line, O is an upper camera, a black line (a line where O' and Q 'are located) is a projection of an image plane on a horizontal plane, representing the image plane, xp is an abscissa of an image formed by the point P, f is a focal length, xo is an abscissa of a lens centroid image, OP' =, OV = d (binocular distance) = Bf/. DELTA.d, which is a vertical distance x of the target P from the vehicle body, the formula is derived as follows:
Figure DEST_PATH_IMAGE012
(1)
Figure DEST_PATH_IMAGE014
(2)
Figure DEST_PATH_IMAGE016
derived to obtain
Figure DEST_PATH_IMAGE018
Figure DEST_PATH_IMAGE020
Figure DEST_PATH_IMAGE022
=
Figure DEST_PATH_IMAGE024
Figure DEST_PATH_IMAGE026
As shown in fig. 6, the camera rotation angle α (yaw), the pitch angle (pitch), and the roll angle (roll) are considered.
On the basis of the formula, the pitch angle of the binocular equipment has no influence on the distance from the target P to the vehicle body, and can be ignored during calculation; if the roll angle of the binocular device is gamma, the length of P' is delta, yp is the ordinate of P-point imaging, yo is the ordinate of lens optical center imaging, and the actual distance between the target P and the vehicle body is set as follows:
Figure DEST_PATH_IMAGE028
wherein,
Figure DEST_PATH_IMAGE030
the above description is only a preferred embodiment of the present invention, and not intended to limit the scope of the present invention, and all modifications of equivalent structures and equivalent processes, which are made by using the contents of the present specification and the accompanying drawings, or directly or indirectly applied to other related technical fields, are included in the scope of the present invention.

Claims (5)

1. A binocular distance measuring method for a vehicle blind area detection alarm device is characterized by comprising the following steps:
A. calibrating a binocular camera and determining parameters of the binocular camera, wherein the parameters comprise a focal length, coordinates of optical centers and a distance between lenses, the coordinates of the optical centers are coordinates of optical center imaging of the binocular camera, and the distance between the lenses is the distance between the optical centers of two lenses of the binocular camera;
B. installing a binocular camera on the side face of a vehicle body, wherein a rotation angle and a rolling angle are formed between the side face of the binocular camera and the side face of the vehicle body, and measuring to obtain specific numerical values of the rotation angle and the rolling angle, wherein the rotation angle and the rolling angle are angles generated when the binocular camera rotates relative to the side face of the vehicle body;
C. inputting the image into a target detection algorithm based on the image of the vehicle blind area collected in the coverage range of the binocular camera, outputting a target in the blind area by the target detection algorithm, wherein the target comprises pedestrians, vehicles and obstacles in the vehicle blind area, and determining the position information of the target in the coverage range of the binocular camera in the image, the position information comprises a transverse coordinate and a longitudinal coordinate of the target in an image coordinate system, the transverse coordinate is an abscissa of target imaging, and the longitudinal coordinate is an ordinate of the target imaging;
D. based on two frames of images respectively acquired by a binocular camera at the same time, calling a binocular stereo matching algorithm, and determining the parallax of a target in the two frames of images of the binocular camera, wherein the parallax is the parallax of any point in space in the vertical direction of the two frames of images of the binocular camera;
E. determining a first distance from a projection point of a target on a plane where a connecting line between an optical axis and lenses is located to a perpendicular point of the connecting line between the lenses based on the focal length, the parallax and the distance between the lenses;
F. determining a vertical distance from the target to the vehicle body based on the rotation angle and the roll angle, the horizontal coordinate and the vertical coordinate of the target in the image coordinate system, the coordinate of the optical center, the focal length and the first distance; the vertical distance is the shortest distance from a target to a vehicle, and the vertical distance obtained by the binocular ranging method is applied to a blind area detection alarm device based on the size of the vertical distance, so that early warning can be performed in advance, and the probability of occurrence of blind area accidents can be early warned.
2. The binocular distance measuring method for the vehicle blind area detecting and alarming device of claim 1, wherein: the binocular camera is two mesh cameras from top to bottom, two cameras of two mesh cameras from top to bottom are vertically installed on the side face of the automobile body in a one-on-one mode.
3. The binocular distance measuring method for the vehicle blind area detecting and alarming device of claim 2, wherein: the distance between the lenses is the vertical distance between the optical centers of the two lenses of the upper binocular camera and the lower binocular camera.
4. The binocular distance measuring method for the vehicle blind area detecting and alarming device of claim 2, wherein: the coordinates of the optical center are imaging coordinates of the optical center of the lens in an image coordinate system.
5. The binocular distance measuring method for the vehicle blind area detecting and alarming device of claim 1, wherein: the position information of the target is the coordinates of the circumscribed rectangular frame of the target in the image.
CN202011405478.4A2020-12-052020-12-05Binocular distance measuring method for vehicle blind area detection alarm deviceActiveCN112406901B (en)

Priority Applications (1)

Application NumberPriority DateFiling DateTitle
CN202011405478.4ACN112406901B (en)2020-12-052020-12-05Binocular distance measuring method for vehicle blind area detection alarm device

Applications Claiming Priority (1)

Application NumberPriority DateFiling DateTitle
CN202011405478.4ACN112406901B (en)2020-12-052020-12-05Binocular distance measuring method for vehicle blind area detection alarm device

Publications (2)

Publication NumberPublication Date
CN112406901A CN112406901A (en)2021-02-26
CN112406901Btrue CN112406901B (en)2022-03-29

Family

ID=74830206

Family Applications (1)

Application NumberTitlePriority DateFiling Date
CN202011405478.4AActiveCN112406901B (en)2020-12-052020-12-05Binocular distance measuring method for vehicle blind area detection alarm device

Country Status (1)

CountryLink
CN (1)CN112406901B (en)

Families Citing this family (6)

* Cited by examiner, † Cited by third party
Publication numberPriority datePublication dateAssigneeTitle
CN113191238B (en)*2021-04-222025-03-28开易(北京)科技有限公司 Blind spot detection method, system and storage medium based on binocular camera
CN113221739B (en)*2021-05-122023-04-14中国科学技术大学 Vehicle distance measurement method based on monocular vision
CN113561964A (en)*2021-08-032021-10-29东风汽车集团股份有限公司Parking control method and system
CN113959735B (en)*2021-10-202024-04-02江苏徐工工程机械研究院有限公司 A portable visual field measurement device and measurement method
CN114359865A (en)*2021-12-302022-04-15广州赛特智能科技有限公司Obstacle detection method and related device
CN117053757A (en)*2023-07-182023-11-14中车唐山机车车辆有限公司Intelligent rail train binocular distance measuring method and system based on multi-information fusion

Citations (5)

* Cited by examiner, † Cited by third party
Publication numberPriority datePublication dateAssigneeTitle
CN106643518A (en)*2016-11-092017-05-10乐视控股(北京)有限公司Methods and apparatuses for measuring distance and size by using binocular image pickup device
CN107472127A (en)*2016-06-072017-12-15重庆工程职业技术学院Automobile side image detecting method and system based on binocular ranging
CN108645375A (en)*2018-06-052018-10-12浙江零跑科技有限公司One kind being used for vehicle-mounted biocular systems rapid vehicle distance measurement optimization method
CN109218587A (en)*2018-10-292019-01-15咪付(广西)网络技术有限公司A kind of image-pickup method and system based on binocular camera
CN110231013A (en)*2019-05-082019-09-13哈尔滨理工大学A kind of Chinese herbaceous peony pedestrian detection based on binocular vision and people's vehicle are apart from acquisition methods

Family Cites Families (1)

* Cited by examiner, † Cited by third party
Publication numberPriority datePublication dateAssigneeTitle
US10681257B2 (en)*2015-08-262020-06-09Zhejiang Dahua Technology Co., Ltd.Methods and systems for traffic monitoring

Patent Citations (5)

* Cited by examiner, † Cited by third party
Publication numberPriority datePublication dateAssigneeTitle
CN107472127A (en)*2016-06-072017-12-15重庆工程职业技术学院Automobile side image detecting method and system based on binocular ranging
CN106643518A (en)*2016-11-092017-05-10乐视控股(北京)有限公司Methods and apparatuses for measuring distance and size by using binocular image pickup device
CN108645375A (en)*2018-06-052018-10-12浙江零跑科技有限公司One kind being used for vehicle-mounted biocular systems rapid vehicle distance measurement optimization method
CN109218587A (en)*2018-10-292019-01-15咪付(广西)网络技术有限公司A kind of image-pickup method and system based on binocular camera
CN110231013A (en)*2019-05-082019-09-13哈尔滨理工大学A kind of Chinese herbaceous peony pedestrian detection based on binocular vision and people's vehicle are apart from acquisition methods

Also Published As

Publication numberPublication date
CN112406901A (en)2021-02-26

Similar Documents

PublicationPublication DateTitle
CN112406901B (en)Binocular distance measuring method for vehicle blind area detection alarm device
US11348266B2 (en)Estimating distance to an object using a sequence of images recorded by a monocular camera
EP3792660B1 (en)Method, apparatus and system for measuring distance
KR100941271B1 (en) Lane departure prevention method for automobile
US6765480B2 (en)Monocular computer vision aided road vehicle driving for safety
US10909395B2 (en)Object detection apparatus
JP3895238B2 (en) Obstacle detection apparatus and method
JP3263699B2 (en) Driving environment monitoring device
JP6019646B2 (en) Misalignment detection apparatus, vehicle, and misalignment detection method
JP5982298B2 (en) Obstacle detection device and obstacle detection method
CN109263637B (en)Collision prediction method and device
EP3505865B1 (en)On-vehicle camera, method for adjusting on-vehicle camera, and on-vehicle camera system
CN109827516B (en)Method for measuring distance through wheel
US11030761B2 (en)Information processing device, imaging device, apparatus control system, movable body, information processing method, and computer program product
CN106289159A (en)The vehicle odometry method and device compensated based on range finding
US20160207473A1 (en)Method of calibrating an image detecting device for an automated vehicle
CN113465572A (en)Monocular distance measurement method and system based on camera imaging geometric relation
CN112776777A (en)Vehicle and height-limiting anti-collision control method thereof
US7885430B2 (en)Automotive environment monitoring device, vehicle with the automotive environment monitoring device, and automotive environment monitoring program
CN211166716U (en)Vehicle and integrated camera module thereof
CN108629328A (en)Intelligent vehicle collision-proof method based on monocular vision and device
JP3612821B2 (en) In-vehicle distance measuring device
JP3586938B2 (en) In-vehicle distance measuring device
US10776942B2 (en)Method of determining the roll angle of a vehicle mounted camera
CN115164827A (en)Monocular distance measurement method based on self-adaptive target detection network and license plate detection

Legal Events

DateCodeTitleDescription
PB01Publication
PB01Publication
SE01Entry into force of request for substantive examination
SE01Entry into force of request for substantive examination
CB03Change of inventor or designer information
CB03Change of inventor or designer information

Inventor after:Wang Hanchao

Inventor after:Xu Shaokai

Inventor after:Chen Mingmu

Inventor after:Yuan Jiayan

Inventor after:Jia Baozhi

Inventor after:He Yifan

Inventor before:Wang Hanchao

GR01Patent grant
GR01Patent grant

[8]ページ先頭

©2009-2025 Movatter.jp