Movatterモバイル変換


[0]ホーム

URL:


CN112379450A - Signal-to-noise ratio obtaining method and device for time-frequency electromagnetic square wave signal - Google Patents

Signal-to-noise ratio obtaining method and device for time-frequency electromagnetic square wave signal
Download PDF

Info

Publication number
CN112379450A
CN112379450ACN202011197887.XACN202011197887ACN112379450ACN 112379450 ACN112379450 ACN 112379450ACN 202011197887 ACN202011197887 ACN 202011197887ACN 112379450 ACN112379450 ACN 112379450A
Authority
CN
China
Prior art keywords
signal
square wave
obtaining
noise ratio
frequency electromagnetic
Prior art date
Legal status (The legal status is an assumption and is not a legal conclusion. Google has not performed a legal analysis and makes no representation as to the accuracy of the status listed.)
Granted
Application number
CN202011197887.XA
Other languages
Chinese (zh)
Other versions
CN112379450B (en
Inventor
陶德强
刘雪军
王志刚
邓国军
胡文涛
张嵘鑫
Current Assignee (The listed assignees may be inaccurate. Google has not performed a legal analysis and makes no representation or warranty as to the accuracy of the list.)
China National Petroleum Corp
BGP Inc
Original Assignee
China National Petroleum Corp
BGP Inc
Priority date (The priority date is an assumption and is not a legal conclusion. Google has not performed a legal analysis and makes no representation as to the accuracy of the date listed.)
Filing date
Publication date
Application filed by China National Petroleum Corp, BGP IncfiledCriticalChina National Petroleum Corp
Priority to CN202011197887.XApriorityCriticalpatent/CN112379450B/en
Publication of CN112379450ApublicationCriticalpatent/CN112379450A/en
Application grantedgrantedCritical
Publication of CN112379450BpublicationCriticalpatent/CN112379450B/en
Activelegal-statusCriticalCurrent
Anticipated expirationlegal-statusCritical

Links

Images

Classifications

Landscapes

Abstract

The application provides a method and a device for acquiring a signal-to-noise ratio of a time-frequency electromagnetic square wave signal, wherein the method comprises the following steps: acquiring target time-frequency electromagnetic square wave signals with target frequencies corresponding to a plurality of periods, wherein the target time-frequency electromagnetic square wave signals are square wave signals obtained by applying a time-frequency electromagnetic method; obtaining a single-period superposed signal based on the target time-frequency electromagnetic square wave signal; and obtaining a total signal-to-noise ratio corresponding to the target frequency according to the superposed signals, the number of the periods, and the number and the position of preset monocycle signal data. The method and the device can improve the accuracy and the convenience degree of signal to noise ratio acquisition, and further can improve the reliability of judging the data quality.

Description

Signal-to-noise ratio obtaining method and device for time-frequency electromagnetic square wave signal
Technical Field
The application relates to the technical field of geophysical exploration, in particular to a method and a device for acquiring a signal-to-noise ratio of a time-frequency electromagnetic square wave signal.
Background
The Signal-to-Noise ratio (SNR) is the ratio of the Power of the useful Signal (Power of Signal) to the Power of the Noise (Power of Noise), measured in decibels (dB). In time-frequency electromagnetic exploration, electromagnetic wave data acquired by a receiver also consists of useful signals and noise, the useful signals and the noise need to be separated respectively in data processing, and then the signal-to-noise ratio is calculated, the quality of data is closely related to the level of the signal-to-noise ratio, and the level of the signal-to-noise ratio is an important index for judging the acquisition quality.
Useful signals and noise of square wave signals obtained by applying a time-frequency electromagnetic method are mixed together and are difficult to separate, and common signal-to-noise ratio methods are an energy superposition method, a frequency spectrum estimation method, a power spectrum estimation method, a correlation method and a characteristic value method, but the methods are large in calculation amount and complex, the square wave signals obtained by the time-frequency electromagnetic method are poor in adaptability, and the estimated signal-to-noise ratio cannot accurately reflect the actual signal-to-noise ratio of electromagnetic wave data acquired by the time-frequency electromagnetic method.
Disclosure of Invention
Aiming at the problems in the prior art, the application provides a method and a device for acquiring the signal-to-noise ratio of a time-frequency electromagnetic square wave signal, which can improve the accuracy and convenience degree of acquiring the signal-to-noise ratio and further improve the reliability of judging the data quality.
In order to solve the technical problem, the present application provides the following technical solutions:
in a first aspect, the present application provides a method for acquiring a signal-to-noise ratio of a time-frequency electromagnetic square wave signal, including:
acquiring target time-frequency electromagnetic square wave signals with target frequencies corresponding to a plurality of periods, wherein the target time-frequency electromagnetic square wave signals are square wave signals obtained by applying a time-frequency electromagnetic method;
obtaining a single-period superposed signal based on the target time-frequency electromagnetic square wave signal;
and obtaining a total signal-to-noise ratio corresponding to the target frequency according to the superposed signals, the number of the periods, and the number and the position of preset monocycle signal data.
Further, after obtaining the total signal-to-noise ratio corresponding to the target frequency according to the superposition signal, the number of the periods, and the number and position of the preset monocycle signal data, the method further includes:
marking the current target frequency as a processed frequency;
correspondingly, before the obtaining of the target time-frequency electromagnetic square wave signal with the target frequency corresponding to multiple periods, the target time-frequency electromagnetic square wave signal being a square wave signal obtained by applying a time-frequency electromagnetic method, the method further includes:
and selecting the frequency which is not marked as the processed frequency from the preset frequencies as the current target frequency.
Further, the obtaining a single-period superimposed signal based on the target time-frequency electromagnetic square wave signal includes:
superposing the target time-frequency electromagnetic square wave signal on square wave sub-signals corresponding to each period to obtain a superposed signal of a single period;
and each square wave sub-signal forms the target time-frequency electromagnetic square wave signal.
Further, the obtaining a total signal-to-noise ratio corresponding to the target frequency according to the superposition signal, the number of the periods, and the number and the position of the preset monocycle signal data includes:
obtaining noise and useful signals of a half period according to the superposed signals, the number of the periods and the number of preset monocycle signal data;
and obtaining the total signal-to-noise ratio of the target frequency according to the noise, the useful signal and the number of preset single-period signal data.
Further, the obtaining of the noise and useful signals of a half period according to the superimposed signal, the number of the periods and the number of the preset monocycle signal data includes:
obtaining an average superposed signal of a single period according to the superposed signals and the number of the periods;
obtaining a total average value of the superposed signals based on the average superposed signals and the number of preset monocycle signal data;
applying the average superposed signal, the total average value of the superposed signals, and the number and the position of the preset monocycle signal data to obtain the noise of the half cycle;
and obtaining the useful signal of the half period according to the average superposed signal, the number and the position of the preset monocycle signal data.
Further, the obtaining a total signal-to-noise ratio of the target frequency according to the noise, the useful signal and the preset number of monocycle signal data includes:
obtaining a signal-to-noise ratio corresponding to the half period according to the noise and the useful signal;
and obtaining the total signal-to-noise ratio of the target frequency according to the signal-to-noise ratio and the number of preset single-period signal data.
In a second aspect, the present application provides an apparatus for obtaining a signal-to-noise ratio of a time-frequency electromagnetic square wave signal, including:
the acquisition module is used for acquiring target time-frequency electromagnetic square wave signals with target frequencies corresponding to a plurality of periods, and the target time-frequency electromagnetic square wave signals are square wave signals obtained by applying a time-frequency electromagnetic method;
the superposition module is used for obtaining a superposition signal of a single period based on the target time-frequency electromagnetic square wave signal;
and the signal-to-noise ratio obtaining module is used for obtaining a total signal-to-noise ratio corresponding to the target frequency according to the superposed signals, the number of the periods, and the number and the position of preset monocycle signal data.
Further, the device for acquiring the signal-to-noise ratio of the time-frequency electromagnetic square wave signal further comprises:
the marking module is used for marking the current target frequency as a processed frequency;
and the selection module is used for selecting the frequency which is not marked as the processed frequency from the preset frequencies as the current target frequency.
Further, the superposition module includes:
the superposition unit is used for superposing the square wave sub-signals of the target time-frequency electromagnetic square wave signal in each period correspondingly to obtain a superposed signal of a single period;
and each square wave sub-signal forms the target time-frequency electromagnetic square wave signal.
Further, the acquiring a signal-to-noise ratio module includes:
the first signal-to-noise ratio acquisition unit is used for acquiring noise and useful signals of a half period according to the superposed signals, the number of the periods and the number of preset monocycle signal data;
and the second signal-to-noise ratio acquisition unit is used for acquiring the total signal-to-noise ratio of the target frequency according to the noise, the useful signal and the number of preset single-period signal data.
Further, the first acquiring snr unit includes:
a noise and useful signal acquisition subunit for performing the following:
obtaining an average superposed signal of a single period according to the superposed signals and the number of the periods;
obtaining a total average value of the superposed signals based on the average superposed signals and the number of preset monocycle signal data;
applying the average superposed signal, the total average value of the superposed signals, and the number and the position of the preset monocycle signal data to obtain the noise of the half cycle;
and obtaining the useful signal of the half period according to the average superposed signal, the number and the position of the preset monocycle signal data.
Further, the second acquiring snr unit includes:
an obtain total snr subunit configured to perform the following:
obtaining a signal-to-noise ratio corresponding to the half period according to the noise and the useful signal;
and obtaining the total signal-to-noise ratio of the target frequency according to the signal-to-noise ratio and the number of preset single-period signal data.
In a third aspect, the present application provides an electronic device, which includes a memory, a processor, and a computer program stored in the memory and executable on the processor, where the processor implements the method for obtaining the signal-to-noise ratio of the time-frequency electromagnetic square wave signal when executing the program.
In a fourth aspect, the present application provides a computer-readable storage medium, on which computer instructions are stored, and when the instructions are executed, the method for acquiring the signal-to-noise ratio of the time-frequency electromagnetic square wave signal is implemented.
According to the technical scheme, the method and the device for acquiring the signal-to-noise ratio of the time-frequency electromagnetic square wave signal are provided. Wherein, the method comprises the following steps: acquiring target time-frequency electromagnetic square wave signals with target frequencies corresponding to a plurality of periods, wherein the target time-frequency electromagnetic square wave signals are square wave signals obtained by applying a time-frequency electromagnetic method; obtaining a single-period superposed signal based on the target time-frequency electromagnetic square wave signal; according to the superposed signals, the number of the periods, and the number and the positions of the preset monocycle signal data, the total signal-to-noise ratio corresponding to the target frequency is obtained, so that the accuracy and the convenience degree of obtaining the signal-to-noise ratio can be improved, and the reliability of judging the data quality can be further improved; specifically, the accuracy of the result can be improved, the noise level of an actual data acquisition site can be reflected, the data quality can be judged according to the signal-to-noise ratio, and meanwhile, the method has the advantages of high calculation speed, easiness in implementation, high efficiency and the like, is suitable for popularization and use in time-frequency electromagnetic data processing, and has obvious economic and technical values.
Drawings
In order to more clearly illustrate the embodiments of the present application or the technical solutions in the prior art, the drawings used in the description of the embodiments or the prior art will be briefly described below, it is obvious that the drawings in the following description are only some embodiments of the present application, and for those skilled in the art, other drawings can be obtained according to the drawings without creative efforts.
FIG. 1 is a schematic diagram of a first process of a method for obtaining a signal-to-noise ratio of a time-frequency electromagnetic square wave signal according to an embodiment of the present disclosure;
FIG. 2 is a second flowchart of a method for obtaining a signal-to-noise ratio of a time-frequency electromagnetic square wave signal according to an embodiment of the present disclosure;
FIG. 3 is a third flowchart of a method for obtaining a signal-to-noise ratio of a time-frequency electromagnetic square wave signal according to an embodiment of the present disclosure;
FIG. 4 is a fourth flowchart illustrating a signal-to-noise ratio obtaining method for a time-frequency electromagnetic square wave signal according to an embodiment of the present disclosure;
FIG. 5 is a fifth flowchart illustrating a method for obtaining a signal-to-noise ratio of a time-frequency electromagnetic square wave signal according to an embodiment of the present disclosure;
FIG. 6 is a graph illustrating a time-frequency electromagnetic square wave signal of a single frequency and a single period in one example of the present application;
FIG. 7 is a graph illustrating a time-frequency electromagnetic square wave signal of a single frequency and a single period according to another example of the present application;
FIG. 8 is a bar graph of signal-to-noise ratios for all frequencies in one example of the present application;
FIG. 9 is a schematic structural diagram of an apparatus for acquiring a signal-to-noise ratio of a time-frequency electromagnetic square wave signal according to an embodiment of the present disclosure;
fig. 10 is a schematic block diagram of a system configuration of an electronic device according to an embodiment of the present application.
Detailed Description
In order to make those skilled in the art better understand the technical solutions in the present specification, the technical solutions in the embodiments of the present application will be clearly and completely described below with reference to the drawings in the embodiments of the present application, and it is obvious that the described embodiments are only a part of the embodiments of the present application, and not all of the embodiments. All other embodiments, which can be derived by a person skilled in the art from the embodiments given herein without making any creative effort, shall fall within the protection scope of the present application.
Based on this, in order to improve accuracy of acquiring a signal-to-noise ratio and further improve reliability of judging data quality, an embodiment of the present application provides a signal-to-noise ratio acquiring apparatus for a time-frequency electromagnetic square wave signal, where the apparatus may be a server or a client device, and the client device may include a smart phone, a tablet electronic device, a network set-top box, a portable computer, a desktop computer, a Personal Digital Assistant (PDA), a vehicle-mounted device, an intelligent wearable device, and the like. Wherein, intelligence wearing equipment can include intelligent glasses, intelligent wrist-watch and intelligent bracelet etc..
In practical applications, the portion for performing the signal-to-noise ratio acquisition of the time-frequency electromagnetic square wave signal may be performed at the server side as described above, or all operations may be completed in the client device. The selection may be specifically performed according to the processing capability of the client device, the limitation of the user usage scenario, and the like. This is not a limitation of the present application. The client device may further include a processor if all operations are performed in the client device.
The client device may have a communication module (i.e., a communication unit), and may be communicatively connected to a remote server to implement data transmission with the server. The server may include a server on the task scheduling center side, and in other implementation scenarios, the server may also include a server on an intermediate platform, for example, a server on a third-party server platform that is communicatively linked to the task scheduling center server. The server may include a single computer device, or may include a server cluster formed by a plurality of servers, or a server structure of a distributed apparatus.
The server and the client device may communicate using any suitable network protocol, including network protocols not yet developed at the filing date of this application. The network protocol may include, for example, a TCP/IP protocol, a UDP/IP protocol, an HTTP protocol, an HTTPS protocol, or the like. Of course, the network Protocol may also include, for example, an RPC Protocol (Remote Procedure Call Protocol), a REST Protocol (Representational State Transfer Protocol), and the like used above the above Protocol.
The following examples are intended to illustrate the details.
In order to improve the accuracy of acquiring the signal-to-noise ratio and further improve the reliability of determining the data quality, the embodiment provides a method for acquiring the signal-to-noise ratio of a time-frequency electromagnetic square wave signal, in which the signal-to-noise ratio acquiring apparatus for executing the time-frequency electromagnetic square wave signal is a device for acquiring the signal-to-noise ratio of the time-frequency electromagnetic square wave signal, the device for acquiring the signal-to-noise ratio of the time-frequency electromagnetic square wave signal includes but is not:
step 101: and acquiring target time-frequency electromagnetic square wave signals with target frequencies corresponding to a plurality of periods, wherein the target time-frequency electromagnetic square wave signals are square wave signals obtained by applying a time-frequency electromagnetic method.
Specifically, the corresponding period may be determined according to the target frequency; the number of cycles corresponding to the target frequency can be set according to actual conditions, and the number is not limited in the application; the time-frequency electromagnetic method is a method in the field of petroleum exploration and can obtain time domain and frequency domain signals; the target time-frequency electromagnetic square wave signal does not zero; the time-frequency electromagnetic square wave signal consists of a useful signal and noise.
Step 102: and obtaining a single-period superposed signal based on the target time-frequency electromagnetic square wave signal.
Specifically, the square wave sub-signals of the target time-frequency electromagnetic square wave signal in each period may be superimposed to obtain a superimposed signal of a single period, and each square wave sub-signal constitutes the target time-frequency electromagnetic square wave signal; each square wave sub-signal corresponds to one period respectively; that is, the signal data at the same position in each period may be accumulated to obtain the superimposed signal data corresponding to each position.
Step 103: and obtaining a total signal-to-noise ratio corresponding to the target frequency according to the superposed signals, the number of the periods, and the number and the position of preset monocycle signal data.
Specifically, the number and the position of the preset single-period signal data refer to the number of the preset signal data in a single period and the position of each signal data in the single period; the number and the position of the signal data in each period are the same, the number of the signal data in each period is an even number, the position of each signal data can be determined at the same time interval, and the amplitude corresponding to each position can be used as the signal data at the current moment; furthermore, continuous data point serial numbers can be set in a single period according to the same time interval, the same position in each period can indicate that the data point serial numbers are the same, the number and the position of the preset single-period signal data can be specifically set according to actual needs, and the application is not limited to this; the total signal-to-noise ratio may be a signal-to-noise ratio of any time-frequency electromagnetic square wave signal corresponding to the target frequency.
In order to improve the accuracy of acquiring the snr of a plurality of frequencies, referring to fig. 2, in an embodiment of the present application, afterstep 103, the method further includes:
step 201: marking the current target frequency as a processed frequency; correspondingly, beforestep 101, the method further includes:
step 202: and selecting the frequency which is not marked as the processed frequency from the preset frequencies as the current target frequency.
Specifically, the preset frequency may be set according to actual conditions, which is not limited in this application.
To further improve the accuracy and efficiency of the snr acquisition, referring to fig. 3, in an embodiment of the present application,step 103 includes:
step 301: and obtaining the noise and useful signals of a half period according to the superposed signals, the number of the periods and the number of preset monocycle signal data.
Step 302: and obtaining the total signal-to-noise ratio of the target frequency according to the noise, the useful signal and the number of preset single-period signal data.
To further improve the accuracy and efficiency of the snr acquisition, referring to fig. 4, in an embodiment of the present application,step 301 includes:
step 401: and obtaining an average superposed signal of a single period according to the superposed signals and the number of the periods.
Specifically, each of the superimposed signal data may be divided by the number of periods, so as to obtain a superimposed signal average value corresponding to each position.
Step 402: and obtaining the total average value of the superposed signals based on the average superposed signals and the preset number of the monocycle signal data.
Specifically, the total average value of the superimposed signals may be obtained by dividing the sum of the average values of the superimposed signals by the number of the preset monocycle signal data.
Step 403: and obtaining the noise of the half period by applying the average superposed signal, the total average value of the superposed signals, and the number and the position of the preset monocycle signal data.
Step 404: and obtaining the useful signal of the half period according to the average superposed signal, the number and the position of the preset monocycle signal data.
To further improve the accuracy and efficiency of the snr acquisition, referring to fig. 5, in an embodiment of the present application,step 302 includes:
step 501: and obtaining the signal-to-noise ratio corresponding to the half period according to the noise and the useful signal.
Step 502: and obtaining the total signal-to-noise ratio of the target frequency according to the signal-to-noise ratio and the number of preset single-period signal data.
In order to further explain the scheme, the application example of the method for acquiring the signal-to-noise ratio of the time-frequency electromagnetic square wave signal is provided, and in the application example, the signal-to-noise ratio of the time-frequency electromagnetic data of a certain region in the east of China can be acquired, wherein the data of the region has 13 frequencies.
The time-frequency electromagnetic square wave signal in the application example is time-frequency electromagnetic data, and may be a square wave signal with mv as a unit, and specifically, the time-frequency electromagnetic square wave signal is composed of a series of square wave signals with multiple frequencies, multiple cycles for each frequency, an even number of signal data in each cycle, and no zero crossing, that is, the complete time-frequency electromagnetic data has num _ f frequencies, num _ c cycles for each frequency, num _ p data in each cycle, num _ c and num _ p of each frequency are different from each other, and num _ p is an even number.
Signal data at each time is DijkThe signal data may be the amplitude of the signal at the present moment, the signal being composed of the useful signal and the noise, from which D is knownijk=Sijk+NijkWherein S isijkThe useful signal data may be the amplitude of the useful signal at the current time, NijkThe data is noise data, which can be the amplitude of noise at the current moment, i is a frequency serial number, i is more than or equal to 1 and less than or equal to num _ f, j is a cycle serial number, j is more than or equal to 1 and less than or equal to num _ c, k is a data point serial number in a single cycle, and k is more than or equal to 1 and less than or equal to num _ p; for example, a single frequency single period time-frequency electromagnetic square wave signal, as shown in fig. 6; a single frequency single period time-frequency electromagnetic square wave signal with a frequency of 0.6667Hz may be as shown in fig. 7.
The signal-to-noise ratio obtaining method provided by the application example specifically comprises the following steps:
step 100: superposing the signals of all periods of the ith frequency to obtain a superposed signal of one period; the signal data with the same data point serial number in each period can be accumulated to obtain the superposed signal data sum (D) corresponding to each data point serial numberik),
Figure BDA0002754510670000081
Wherein k is more than or equal to 1 and less than or equal to num _ p.
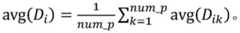
Step 200: averaging the superposed signals of one period obtained in thestep 100 to obtain an average superposed signal of one period; the data of each superposed signal can be respectively averaged to obtain the average value avg (D) of the superposed signal corresponding to each data point serial numberik),avg(Dik)=sum(Dik) And/num _ c, wherein k is more than or equal to 1 and less than or equal to num _ p.
Step 300: calculating the total average value of the average superposed signals of one period obtained in thestep 200; the overall average avg (D) may be averaged over all of the superimposed signalsi),
Figure BDA0002754510670000082
Step 400: according to the average superposed signal of one period obtained in thestep 200, the average values of the superposed signals corresponding to the serial numbers of the data points in the first half period and the second half period are added and then averaged, then the total average value is subtracted and the absolute value is calculated, so that the noise N of the half period is obtainedikI.e. by
Figure BDA0002754510670000083
Wherein k is more than or equal to 1 and less than or equal to num _ p/2, and m is k + num _ p/2.
Step 500: according to the average superposed signal of one period obtained in thestep 200, subtracting the average value of the superposed signals corresponding to the data point serial numbers in the first half period and the second half period, then averaging, and then calculating the absolute value of the average superposed signal to obtain the useful signal S of the half periodikI.e. by
Figure BDA0002754510670000092
Wherein k is more than or equal to 1 and less than or equal to num _ p/2, and m is k + num _ p/2.
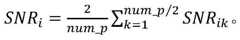
Step 600: according to thesteps 400 and 500, calculating the SNR corresponding to each data point sequence number in the half-cycle signalik,SNRik=20×log10(Sik/Nik) Wherein k is more than or equal to 1 and less than or equal to num _ p/2.
Step 700: calculate the total signal-to-noise ratio NSR for this frequencyi
Figure BDA0002754510670000091
Step 800: calculating the signal-to-noise ratio of all other frequencies in the time-frequency electromagnetic data according to the steps from 100 to 700; in one example, the resulting signal-to-noise ratios for all frequencies can be as shown in fig. 8.
In terms of software, in order to improve the accuracy of acquiring the signal-to-noise ratio and further improve the reliability of determining the data quality, the present application provides an embodiment of an apparatus for acquiring the signal-to-noise ratio of a time-frequency electromagnetic square wave signal, which is used for implementing all or part of the contents in the method for acquiring the signal-to-noise ratio of a time-frequency electromagnetic square wave signal, and the apparatus for acquiring the signal-to-noise ratio of a time-frequency electromagnetic square wave signal specifically includes the following contents, referring to fig. 9:
theacquisition module 10 is configured to acquire a target time-frequency electromagnetic square wave signal of which the target frequency corresponds to multiple periods, where the target time-frequency electromagnetic square wave signal is a square wave signal obtained by applying a time-frequency electromagnetic method.
And thesuperposition module 20 is configured to obtain a superposition signal of a single period based on the target time-frequency electromagnetic square wave signal.
And the signal-to-noiseratio obtaining module 30 is configured to obtain a total signal-to-noise ratio corresponding to the target frequency according to the superimposed signal, the number of periods, and the number and position of preset monocycle signal data.
In an embodiment of the present application, the apparatus for obtaining a signal-to-noise ratio of a time-frequency electromagnetic square wave signal further includes:
and the marking module is used for marking the current target frequency as the processed frequency.
And the selection module is used for selecting the frequency which is not marked as the processed frequency from the preset frequencies as the current target frequency.
In an embodiment of the present application, the overlay module includes:
and the superposition unit is used for superposing the square wave sub-signals of the target time-frequency electromagnetic square wave signal in each period correspondingly to obtain a superposed signal of a single period.
And each square wave sub-signal forms the target time-frequency electromagnetic square wave signal.
In an embodiment of the present application, the signal-to-noise ratio obtaining module includes.
And the first signal-to-noise ratio acquisition unit is used for acquiring noise and useful signals of a half period according to the superposed signals, the number of the periods and the number of preset monocycle signal data.
And the second signal-to-noise ratio acquisition unit is used for acquiring the total signal-to-noise ratio of the target frequency according to the noise, the useful signal and the number of preset single-period signal data.
In an embodiment of the present application, the first acquiring snr unit includes:
a noise and useful signal acquisition subunit for performing the following:
obtaining an average superposed signal of a single period according to the superposed signals and the number of the periods;
obtaining a total average value of the superposed signals based on the average superposed signals and the number of preset monocycle signal data;
applying the average superposed signal, the total average value of the superposed signals, and the number and the position of the preset monocycle signal data to obtain the noise of the half cycle;
and obtaining the useful signal of the half period according to the average superposed signal, the number and the position of the preset monocycle signal data.
In an embodiment of the present application, the second acquiring snr unit includes:
an obtain total snr subunit configured to perform the following:
obtaining a signal-to-noise ratio corresponding to the half period according to the noise and the useful signal;
and obtaining the total signal-to-noise ratio of the target frequency according to the signal-to-noise ratio and the number of preset single-period signal data.
The embodiments of the apparatus for acquiring a signal-to-noise ratio of a time-frequency electromagnetic square wave signal provided in this specification may be specifically used for executing the processing procedure of the embodiment of the method for acquiring a signal-to-noise ratio of a time-frequency electromagnetic square wave signal, and the functions of the apparatus are not described herein again, and reference may be made to the detailed description of the embodiment of the method for acquiring a signal-to-noise ratio of a time-frequency electromagnetic square wave signal.
According to the description, the signal-to-noise ratio obtaining method and the signal-to-noise ratio obtaining device for the time-frequency electromagnetic square wave signal can improve the accuracy and convenience degree of obtaining the signal-to-noise ratio, and further can improve the reliability of judging the data quality; specifically, the accuracy of the result can be improved, the noise level of an actual data acquisition site can be reflected, the data quality can be judged according to the signal-to-noise ratio, and meanwhile, the method has the advantages of high calculation speed, easiness in implementation, high efficiency and the like, is suitable for popularization and use in time-frequency electromagnetic data processing, and has obvious economic and technical values.
In terms of hardware, in order to improve accuracy and convenience of acquiring the signal-to-noise ratio and further improve reliability of determining data quality, the present application provides an embodiment of an electronic device for implementing all or part of contents in the method for acquiring the signal-to-noise ratio of the time-frequency electromagnetic square wave signal, where the electronic device specifically includes the following contents:
a processor (processor), a memory (memory), a communication Interface (Communications Interface), and a bus; the processor, the memory and the communication interface complete mutual communication through the bus; the communication interface is used for realizing information transmission between the signal-to-noise ratio acquisition device of the time-frequency electromagnetic square wave signal and related equipment such as a user terminal; the electronic device may be a desktop computer, a tablet computer, a mobile terminal, and the like, but the embodiment is not limited thereto. In this embodiment, the electronic device may be implemented with reference to the embodiment of the method for implementing the signal-to-noise ratio acquisition of the time-frequency electromagnetic square wave signal and the embodiment of the device for implementing the signal-to-noise ratio acquisition of the time-frequency electromagnetic square wave signal in the embodiment, and the contents thereof are incorporated herein, and repeated details are not repeated here.
Fig. 10 is a schematic block diagram of a system configuration of anelectronic device 9600 according to an embodiment of the present application. As shown in fig. 10, theelectronic device 9600 can include acentral processor 9100 and amemory 9140; thememory 9140 is coupled to thecentral processor 9100. Notably, this fig. 10 is exemplary; other types of structures may also be used in addition to or in place of the structure to implement telecommunications or other functions.
In one or more embodiments of the present application, the signal-to-noise ratio obtaining function of the time-frequency electromagnetic square wave signal may be integrated into thecentral processor 9100. Thecentral processor 9100 may be configured to control as follows:
step 101: and acquiring target time-frequency electromagnetic square wave signals with target frequencies corresponding to a plurality of periods, wherein the target time-frequency electromagnetic square wave signals are square wave signals obtained by applying a time-frequency electromagnetic method.
Step 102: and obtaining a single-period superposed signal based on the target time-frequency electromagnetic square wave signal.
Step 103: and obtaining a total signal-to-noise ratio corresponding to the target frequency according to the superposed signals, the number of the periods, and the number and the position of preset monocycle signal data.
From the above description, the electronic device provided in the embodiment of the application can improve accuracy and convenience of signal-to-noise ratio acquisition, and further improve reliability of data quality judgment.
In another embodiment, the signal-to-noise ratio obtaining device of the time-frequency electromagnetic square wave signal may be configured separately from thecentral processor 9100, for example, the signal-to-noise ratio obtaining device of the time-frequency electromagnetic square wave signal may be configured as a chip connected to thecentral processor 9100, and the signal-to-noise ratio obtaining function of the time-frequency electromagnetic square wave signal is realized by the control of the central processor.
As shown in fig. 10, theelectronic device 9600 may further include: acommunication module 9110, aninput unit 9120, anaudio processor 9130, adisplay 9160, and apower supply 9170. It is noted that theelectronic device 9600 also does not necessarily include all of the components shown in fig. 10; in addition, theelectronic device 9600 may further include components not shown in fig. 10, which can be referred to in the prior art.
As shown in fig. 10, acentral processor 9100, sometimes referred to as a controller or operational control, can include a microprocessor or other processor device and/or logic device, whichcentral processor 9100 receives input and controls the operation of the various components of theelectronic device 9600.
Thememory 9140 can be, for example, one or more of a buffer, a flash memory, a hard drive, a removable media, a volatile memory, a non-volatile memory, or other suitable device. The information relating to the failure may be stored, and a program for executing the information may be stored. And thecentral processing unit 9100 can execute the program stored in thememory 9140 to realize information storage or processing, or the like.
Theinput unit 9120 provides input to thecentral processor 9100. Theinput unit 9120 is, for example, a key or a touch input device.Power supply 9170 is used to provide power toelectronic device 9600. Thedisplay 9160 is used for displaying display objects such as images and characters. The display may be, for example, an LCD display, but is not limited thereto.
Thememory 9140 can be a solid state memory, e.g., Read Only Memory (ROM), Random Access Memory (RAM), a SIM card, or the like. There may also be a memory that holds information even when power is off, can be selectively erased, and is provided with more data, an example of which is sometimes called an EPROM or the like. Thememory 9140 could also be some other type of device.Memory 9140 includes a buffer memory 9141 (sometimes referred to as a buffer). Thememory 9140 may include an application/function storage portion 9142, the application/function storage portion 9142 being used for storing application programs and function programs or for executing a flow of operations of theelectronic device 9600 by thecentral processor 9100.
Thememory 9140 can also include adata store 9143, thedata store 9143 being used to store data, such as contacts, digital data, pictures, sounds, and/or any other data used by an electronic device. Thedriver storage portion 9144 of thememory 9140 may include various drivers for the electronic device for communication functions and/or for performing other functions of the electronic device (e.g., messaging applications, contact book applications, etc.).
Thecommunication module 9110 is a transmitter/receiver 9110 that transmits and receives signals via anantenna 9111. The communication module (transmitter/receiver) 9110 is coupled to thecentral processor 9100 to provide input signals and receive output signals, which may be the same as in the case of a conventional mobile communication terminal.
Based on different communication technologies, a plurality ofcommunication modules 9110, such as a cellular network module, a bluetooth module, and/or a wireless local area network module, may be provided in the same electronic device. The communication module (transmitter/receiver) 9110 is also coupled to aspeaker 9131 and amicrophone 9132 via anaudio processor 9130 to provide audio output via thespeaker 9131 and receive audio input from themicrophone 9132, thereby implementing ordinary telecommunications functions. Theaudio processor 9130 may include any suitable buffers, decoders, amplifiers and so forth. In addition, theaudio processor 9130 is also coupled to thecentral processor 9100, thereby enabling recording locally through themicrophone 9132 and enabling locally stored sounds to be played through thespeaker 9131.
According to the description, the electronic equipment provided by the embodiment of the application can improve the accuracy and convenience degree of signal-to-noise ratio acquisition, and further improve the reliability of judging the data quality.
An embodiment of the present application further provides a computer-readable storage medium capable of implementing all steps in the method for acquiring a signal-to-noise ratio of a time-frequency electromagnetic square wave signal in the foregoing embodiment, where the computer-readable storage medium stores a computer program, and the computer program, when executed by a processor, implements all steps of the method for acquiring a signal-to-noise ratio of a time-frequency electromagnetic square wave signal in the foregoing embodiment, for example, when the processor executes the computer program, the processor implements the following steps:
step 101: and acquiring target time-frequency electromagnetic square wave signals with target frequencies corresponding to a plurality of periods, wherein the target time-frequency electromagnetic square wave signals are square wave signals obtained by applying a time-frequency electromagnetic method.
Step 102: and obtaining a single-period superposed signal based on the target time-frequency electromagnetic square wave signal.
Step 103: and obtaining a total signal-to-noise ratio corresponding to the target frequency according to the superposed signals, the number of the periods, and the number and the position of preset monocycle signal data.
As can be seen from the above description, the computer-readable storage medium provided in the embodiments of the present application can improve accuracy and convenience of acquiring the signal-to-noise ratio, and further improve reliability of determining data quality.
In the present application, each embodiment of the method is described in a progressive manner, and the same and similar parts among the embodiments are referred to each other, and each embodiment focuses on the differences from the other embodiments. Reference is made to the description of the method embodiments.
As will be appreciated by one skilled in the art, embodiments of the present application may be provided as a method, system, or computer program product. Accordingly, the present application may take the form of an entirely hardware embodiment, an entirely software embodiment or an embodiment combining software and hardware aspects. Furthermore, the present application may take the form of a computer program product embodied on one or more computer-usable storage media (including, but not limited to, disk storage, CD-ROM, optical storage, and the like) having computer-usable program code embodied therein.
The present application is described with reference to flowchart illustrations and/or block diagrams of methods, apparatus (systems), and computer program products according to embodiments of the application. It will be understood that each flow and/or block of the flow diagrams and/or block diagrams, and combinations of flows and/or blocks in the flow diagrams and/or block diagrams, can be implemented by computer program instructions. These computer program instructions may be provided to a processor of a general purpose computer, special purpose computer, embedded processor, or other programmable data processing apparatus to produce a machine, such that the instructions, which execute via the processor of the computer or other programmable data processing apparatus, create means for implementing the functions specified in the flowchart flow or flows and/or block diagram block or blocks.
These computer program instructions may also be stored in a computer-readable memory that can direct a computer or other programmable data processing apparatus to function in a particular manner, such that the instructions stored in the computer-readable memory produce an article of manufacture including instruction means which implement the function specified in the flowchart flow or flows and/or block diagram block or blocks.
These computer program instructions may also be loaded onto a computer or other programmable data processing apparatus to cause a series of operational steps to be performed on the computer or other programmable apparatus to produce a computer implemented process such that the instructions which execute on the computer or other programmable apparatus provide steps for implementing the functions specified in the flowchart flow or flows and/or block diagram block or blocks.
The principle and the implementation mode of the present application are explained by applying specific embodiments in the present application, and the description of the above embodiments is only used to help understanding the method and the core idea of the present application; meanwhile, for a person skilled in the art, according to the idea of the present application, there may be variations in the specific embodiments and the application scope, and in summary, the content of the present specification should not be construed as a limitation to the present application.

Claims (14)

1. A signal-to-noise ratio obtaining method of a time-frequency electromagnetic square wave signal is characterized by comprising the following steps:
acquiring target time-frequency electromagnetic square wave signals with target frequencies corresponding to a plurality of periods, wherein the target time-frequency electromagnetic square wave signals are square wave signals obtained by applying a time-frequency electromagnetic method;
obtaining a single-period superposed signal based on the target time-frequency electromagnetic square wave signal;
and obtaining a total signal-to-noise ratio corresponding to the target frequency according to the superposed signals, the number of the periods, and the number and the position of preset monocycle signal data.
2. The method for obtaining the signal-to-noise ratio of the time-frequency electromagnetic square wave signal according to claim 1, wherein after obtaining the total signal-to-noise ratio corresponding to the target frequency according to the superposition signal, the number of the periods, and the number and the position of the preset monocycle signal data, the method further comprises:
marking the current target frequency as a processed frequency;
correspondingly, before the obtaining of the target time-frequency electromagnetic square wave signal with the target frequency corresponding to multiple periods, the target time-frequency electromagnetic square wave signal being a square wave signal obtained by applying a time-frequency electromagnetic method, the method further includes:
and selecting the frequency which is not marked as the processed frequency from the preset frequencies as the current target frequency.
3. The method for obtaining signal-to-noise ratio of a time-frequency electromagnetic square wave signal according to claim 1, wherein obtaining a single-period superimposed signal based on the target time-frequency electromagnetic square wave signal comprises:
superposing the target time-frequency electromagnetic square wave signal on square wave sub-signals corresponding to each period to obtain a superposed signal of a single period;
and each square wave sub-signal forms the target time-frequency electromagnetic square wave signal.
4. The method for obtaining the signal-to-noise ratio of the time-frequency electromagnetic square wave signal according to claim 1, wherein the obtaining the total signal-to-noise ratio corresponding to the target frequency according to the superposition signal, the number of the periods, and the number and the position of the preset monocycle signal data comprises:
obtaining noise and useful signals of a half period according to the superposed signals, the number of the periods and the number of preset monocycle signal data;
and obtaining the total signal-to-noise ratio of the target frequency according to the noise, the useful signal and the number of preset single-period signal data.
5. The method for obtaining the signal-to-noise ratio of the time-frequency electromagnetic square wave signal according to claim 4, wherein the obtaining of the noise and the useful signal of a half period according to the superposition signal, the number of the periods and the number of the preset monocycle signal data comprises:
obtaining an average superposed signal of a single period according to the superposed signals and the number of the periods;
obtaining a total average value of the superposed signals based on the average superposed signals and the number of preset monocycle signal data;
applying the average superposed signal, the total average value of the superposed signals, and the number and the position of the preset monocycle signal data to obtain the noise of the half cycle;
and obtaining the useful signal of the half period according to the average superposed signal, the number and the position of the preset monocycle signal data.
6. The method for obtaining the signal-to-noise ratio of the time-frequency electromagnetic square wave signal according to claim 4, wherein the obtaining the total signal-to-noise ratio of the target frequency according to the noise, the useful signal and the number of the preset monocycle signal data comprises:
obtaining a signal-to-noise ratio corresponding to the half period according to the noise and the useful signal;
and obtaining the total signal-to-noise ratio of the target frequency according to the signal-to-noise ratio and the number of preset single-period signal data.
7. The utility model provides a signal-to-noise ratio acquisition device of time frequency electromagnetism square wave signal which characterized in that includes:
the acquisition module is used for acquiring target time-frequency electromagnetic square wave signals with target frequencies corresponding to a plurality of periods, and the target time-frequency electromagnetic square wave signals are square wave signals obtained by applying a time-frequency electromagnetic method;
the superposition module is used for obtaining a superposition signal of a single period based on the target time-frequency electromagnetic square wave signal;
and the signal-to-noise ratio obtaining module is used for obtaining a total signal-to-noise ratio corresponding to the target frequency according to the superposed signals, the number of the periods, and the number and the position of preset monocycle signal data.
8. The apparatus for obtaining signal-to-noise ratio of time-frequency electromagnetic square wave signal according to claim 7, further comprising:
the marking module is used for marking the current target frequency as a processed frequency;
and the selection module is used for selecting the frequency which is not marked as the processed frequency from the preset frequencies as the current target frequency.
9. The apparatus for obtaining snr of time-frequency electromagnetic square wave signal according to claim 7, wherein the superposition module comprises:
the superposition unit is used for superposing the square wave sub-signals of the target time-frequency electromagnetic square wave signal in each period correspondingly to obtain a superposed signal of a single period;
and each square wave sub-signal forms the target time-frequency electromagnetic square wave signal.
10. The apparatus for obtaining signal-to-noise ratio of time-frequency electromagnetic square wave signal according to claim 7, wherein the means for obtaining signal-to-noise ratio comprises:
the first signal-to-noise ratio acquisition unit is used for acquiring noise and useful signals of a half period according to the superposed signals, the number of the periods and the number of preset monocycle signal data;
and the second signal-to-noise ratio acquisition unit is used for acquiring the total signal-to-noise ratio of the target frequency according to the noise, the useful signal and the number of preset single-period signal data.
11. The apparatus for acquiring snr of a time-frequency electromagnetic square wave signal according to claim 10, wherein the first acquiring snr unit comprises:
a noise and useful signal acquisition subunit for performing the following:
obtaining an average superposed signal of a single period according to the superposed signals and the number of the periods;
obtaining a total average value of the superposed signals based on the average superposed signals and the number of preset monocycle signal data;
applying the average superposed signal, the total average value of the superposed signals, and the number and the position of the preset monocycle signal data to obtain the noise of the half cycle;
and obtaining the useful signal of the half period according to the average superposed signal, the number and the position of the preset monocycle signal data.
12. The apparatus for acquiring snr of a time-frequency electromagnetic square wave signal according to claim 11, wherein the second acquiring snr unit comprises:
an obtain total snr subunit configured to perform the following:
obtaining a signal-to-noise ratio corresponding to the half period according to the noise and the useful signal;
and obtaining the total signal-to-noise ratio of the target frequency according to the signal-to-noise ratio and the number of preset single-period signal data.
13. An electronic device comprising a memory, a processor and a computer program stored on the memory and executable on the processor, wherein the processor implements the method for obtaining a signal-to-noise ratio of a time-frequency electromagnetic square wave signal according to any of claims 1 to 6 when executing the program.
14. A computer readable storage medium having stored thereon computer instructions, characterized in that said instructions when executed implement the method for signal-to-noise ratio acquisition of a time-frequency electromagnetic square wave signal according to any of claims 1 to 6.
CN202011197887.XA2020-10-302020-10-30Signal-to-noise ratio acquisition method and device for time-frequency electromagnetic square wave signalActiveCN112379450B (en)

Priority Applications (1)

Application NumberPriority DateFiling DateTitle
CN202011197887.XACN112379450B (en)2020-10-302020-10-30Signal-to-noise ratio acquisition method and device for time-frequency electromagnetic square wave signal

Applications Claiming Priority (1)

Application NumberPriority DateFiling DateTitle
CN202011197887.XACN112379450B (en)2020-10-302020-10-30Signal-to-noise ratio acquisition method and device for time-frequency electromagnetic square wave signal

Publications (2)

Publication NumberPublication Date
CN112379450Atrue CN112379450A (en)2021-02-19
CN112379450B CN112379450B (en)2024-07-26

Family

ID=74576485

Family Applications (1)

Application NumberTitlePriority DateFiling Date
CN202011197887.XAActiveCN112379450B (en)2020-10-302020-10-30Signal-to-noise ratio acquisition method and device for time-frequency electromagnetic square wave signal

Country Status (1)

CountryLink
CN (1)CN112379450B (en)

Cited By (2)

* Cited by examiner, † Cited by third party
Publication numberPriority datePublication dateAssigneeTitle
CN114841189A (en)*2021-04-212022-08-02深圳大学Method and device for processing micro-drill axial force signal for printed circuit board
CN117470204A (en)*2023-12-282024-01-30苏州路之遥智能装备有限公司Method, system, device and medium for distributing overlapping time of square wave composite signal

Citations (16)

* Cited by examiner, † Cited by third party
Publication numberPriority datePublication dateAssigneeTitle
SU1474564A1 (en)*1987-04-061989-04-23Научно-Производственное Объединение По Рудной Геофизике "Рудгеофизика"Signal-to-noise ratio measuring method
US5388465A (en)*1992-11-171995-02-14Yamatake-Honeywell Co., Ltd.Electromagnetic flowmeter
US20070017671A1 (en)*2005-07-052007-01-25Schlumberger Technology CorporationWellbore telemetry system and method
WO2007141943A1 (en)*2006-06-082007-12-13Mitsubishi Electric CorporationSerial data transmission device
CN103888704A (en)*2014-03-112014-06-25中国科学院信息工程研究所Interference signal coding method and device
CN103973380A (en)*2014-05-192014-08-06重庆邮电大学Feedback stack energy detection method solving user random arrival
CN104375197A (en)*2014-11-272015-02-25中国石油天然气集团公司Electromagnetic detection method and device
CN104950168A (en)*2015-06-012015-09-30三峡大学Quadratic average based high-accuracy frequency measurement method for sinusoidal signal low in signal to noise ratio
CN108152855A (en)*2017-12-142018-06-12西南石油大学A kind of earthquake fluid recognition methods based on EEMD-SVD
CN108692805A (en)*2018-05-292018-10-23中国航发湖南动力机械研究所The processing method and system of vibration signal
US10338118B1 (en)*2018-04-122019-07-02Aurora Insight Inc.System and methods for detecting and characterizing electromagnetic emissions
CN110149286A (en)*2015-05-112019-08-20蒋华丽The signal processing method of the raising signal-to-noise ratio of digital communication under additive noise environment
CN110208866A (en)*2019-07-102019-09-06中油奥博(成都)科技有限公司Ground well arrayed optical fiber time-frequency electromagnetic data acquisition device and its collecting method
CN111126231A (en)*2019-12-182020-05-08中国地质科学院地球物理地球化学勘查研究所Filtering method, device and equipment for aviation electromagnetic data and storage medium
CN111580170A (en)*2020-06-172020-08-25中油奥博(成都)科技有限公司Time-frequency electromagnetic data acquisition device and method based on extremely-low-frequency electromagnetic source
CN111751892A (en)*2020-06-192020-10-09重庆大学 Mine transient electromagnetic detection method based on 100% duty cycle bipolar current

Patent Citations (16)

* Cited by examiner, † Cited by third party
Publication numberPriority datePublication dateAssigneeTitle
SU1474564A1 (en)*1987-04-061989-04-23Научно-Производственное Объединение По Рудной Геофизике "Рудгеофизика"Signal-to-noise ratio measuring method
US5388465A (en)*1992-11-171995-02-14Yamatake-Honeywell Co., Ltd.Electromagnetic flowmeter
US20070017671A1 (en)*2005-07-052007-01-25Schlumberger Technology CorporationWellbore telemetry system and method
WO2007141943A1 (en)*2006-06-082007-12-13Mitsubishi Electric CorporationSerial data transmission device
CN103888704A (en)*2014-03-112014-06-25中国科学院信息工程研究所Interference signal coding method and device
CN103973380A (en)*2014-05-192014-08-06重庆邮电大学Feedback stack energy detection method solving user random arrival
CN104375197A (en)*2014-11-272015-02-25中国石油天然气集团公司Electromagnetic detection method and device
CN110149286A (en)*2015-05-112019-08-20蒋华丽The signal processing method of the raising signal-to-noise ratio of digital communication under additive noise environment
CN104950168A (en)*2015-06-012015-09-30三峡大学Quadratic average based high-accuracy frequency measurement method for sinusoidal signal low in signal to noise ratio
CN108152855A (en)*2017-12-142018-06-12西南石油大学A kind of earthquake fluid recognition methods based on EEMD-SVD
US10338118B1 (en)*2018-04-122019-07-02Aurora Insight Inc.System and methods for detecting and characterizing electromagnetic emissions
CN108692805A (en)*2018-05-292018-10-23中国航发湖南动力机械研究所The processing method and system of vibration signal
CN110208866A (en)*2019-07-102019-09-06中油奥博(成都)科技有限公司Ground well arrayed optical fiber time-frequency electromagnetic data acquisition device and its collecting method
CN111126231A (en)*2019-12-182020-05-08中国地质科学院地球物理地球化学勘查研究所Filtering method, device and equipment for aviation electromagnetic data and storage medium
CN111580170A (en)*2020-06-172020-08-25中油奥博(成都)科技有限公司Time-frequency electromagnetic data acquisition device and method based on extremely-low-frequency electromagnetic source
CN111751892A (en)*2020-06-192020-10-09重庆大学 Mine transient electromagnetic detection method based on 100% duty cycle bipolar current

Non-Patent Citations (10)

* Cited by examiner, † Cited by third party
Title
ROMINA A. S. GEHRMANN ET AL: "《Trans-dimensional Bayesian inversion of controlled-source electromagnetic data in the German North Sea》", GEOPHYSICAL PROSPECTING, 31 December 2015 (2015-12-31), pages 1314 - 1333*
刘华芹等: "《硬限幅接收机中周期识别方法讨论》", 舰船电子工程, vol. 28, no. 1, 31 January 2008 (2008-01-31), pages 63 - 64*
刘孟孟等: "《基于最大范数准则与矩阵特征分解的PN码估计方法》", 电子设计工程, vol. 21, no. 2, 31 January 2013 (2013-01-31), pages 80 - 82*
刘高辉等: "《一种基于分时发射技术的双线性间断调频准连续波雷达的研究》", 电子学报, vol. 38, no. 3, 31 March 2010 (2010-03-31), pages 695 - 699*
廖水平等: "《ATEM-4瞬变电磁测量系统》", 地质装备, vol. 12, no. 3, 30 June 2011 (2011-06-30), pages 26 - 29*
张怀等: "《基于FPGA的消噪同步叠加平均算法仿真分析及实现》", 测控技术, vol. 32, no. 12, 31 December 2013 (2013-12-31), pages 13 - 16*
李燕丽等: "《时频电磁法在冀中坳陷潜山及潜山内幕油气预测中的应用》", 石油地球物理勘探, vol. 51, 31 December 2016 (2016-12-31), pages 139 - 141*
梁爽: "《瞬变电磁法仪器研制中的噪声抑制问题》", 煤田地质与勘探, vol. 32, no. 1, 29 February 2004 (2004-02-29), pages 51 - 54*
程德福等: "《瞬变电磁法弱信号检测技术研究》", 吉林大学学报(信息科学版), vol. 20, no. 2, 30 June 2002 (2002-06-30), pages 1 - 5*
赵军等: "《多约束实数权的直接数据域算法在空时自适应处理中的应用》", 南京航空航天大学学报, vol. 38, no. 6, 31 December 2006 (2006-12-31), pages 687 - 691*

Cited By (3)

* Cited by examiner, † Cited by third party
Publication numberPriority datePublication dateAssigneeTitle
CN114841189A (en)*2021-04-212022-08-02深圳大学Method and device for processing micro-drill axial force signal for printed circuit board
CN117470204A (en)*2023-12-282024-01-30苏州路之遥智能装备有限公司Method, system, device and medium for distributing overlapping time of square wave composite signal
CN117470204B (en)*2023-12-282024-03-08苏州路之遥智能装备有限公司Method, system, device and medium for distributing overlapping time of square wave composite signal

Also Published As

Publication numberPublication date
CN112379450B (en)2024-07-26

Similar Documents

PublicationPublication DateTitle
CN111768231B (en)Product information recommendation method and device
CN103874019B (en)Voice interactive method and device
CN111353892A (en)Transaction risk monitoring method and device
CN110908875B (en)Inspection method and device based on operation terminal
CN110990228A (en)Data interface monitoring method and device
CN102624535B (en) Method and device for calling terminal to join conference
CN112379450B (en)Signal-to-noise ratio acquisition method and device for time-frequency electromagnetic square wave signal
CN104679627A (en)Testing method and device
CN113079139B (en)Block chain-based consensus group master node determination method, device and system
CN104216630A (en)Interface sharing method and interface sharing device
CN104683104B (en)The method, apparatus and system of authentication
CN112163532A (en)Oscillation mode identification method and device of power system
CN114050586A (en) Test method and device for power control performance of flexible and straight new energy station
CN115134639A (en) Video gear determination method, device, server, storage medium and system
CN105472271A (en)Video interaction method, device and system
CN112734545A (en)Block chain data sharing method, device and system
CN107316652A (en)Sidetone removing method and device
CN106484417A (en)A kind of the application list methods of exhibiting and device
CN104010074A (en)Information processing method and device
CN111858564B (en)Data processing method, service processing method, device, terminal and storage medium
CN112055348B (en)Bluetooth channel selection method, device, equipment and readable storage medium
CN112597200A (en)Batch and streaming combined data processing method and device
CN110600022A (en)Audio processing method and device and computer storage medium
CN112463775B (en)Heavy magnetic and electric exploration data processing method and device
CN110619537A (en)Method and apparatus for generating information

Legal Events

DateCodeTitleDescription
PB01Publication
PB01Publication
SE01Entry into force of request for substantive examination
SE01Entry into force of request for substantive examination
GR01Patent grant
GR01Patent grant

[8]ページ先頭

©2009-2025 Movatter.jp