Movatterモバイル変換


[0]ホーム

URL:


CN112363347A - Liquid crystal display panel and display device - Google Patents

Liquid crystal display panel and display device
Download PDF

Info

Publication number
CN112363347A
CN112363347ACN202011376945.5ACN202011376945ACN112363347ACN 112363347 ACN112363347 ACN 112363347ACN 202011376945 ACN202011376945 ACN 202011376945ACN 112363347 ACN112363347 ACN 112363347A
Authority
CN
China
Prior art keywords
retarder
retardation
equal
liquid crystal
retardation plate
Prior art date
Legal status (The legal status is an assumption and is not a legal conclusion. Google has not performed a legal analysis and makes no representation as to the accuracy of the status listed.)
Granted
Application number
CN202011376945.5A
Other languages
Chinese (zh)
Other versions
CN112363347B (en
Inventor
白婷婷
郭凯
张致远
Current Assignee (The listed assignees may be inaccurate. Google has not performed a legal analysis and makes no representation or warranty as to the accuracy of the list.)
Xiamen Tianma Microelectronics Co Ltd
Original Assignee
Xiamen Tianma Microelectronics Co Ltd
Priority date (The priority date is an assumption and is not a legal conclusion. Google has not performed a legal analysis and makes no representation as to the accuracy of the date listed.)
Filing date
Publication date
Application filed by Xiamen Tianma Microelectronics Co LtdfiledCriticalXiamen Tianma Microelectronics Co Ltd
Priority to CN202011376945.5ApriorityCriticalpatent/CN112363347B/en
Publication of CN112363347ApublicationCriticalpatent/CN112363347A/en
Application grantedgrantedCritical
Publication of CN112363347BpublicationCriticalpatent/CN112363347B/en
Activelegal-statusCriticalCurrent
Anticipated expirationlegal-statusCritical

Links

Images

Classifications

Landscapes

Abstract

The invention relates to a liquid crystal display panel and a display device, the liquid crystal display panel comprises: the liquid crystal layer is arranged between the array substrate and the color film substrate; the first polarizer is arranged on one side of the color film substrate, which is far away from the array substrate; the second polarizer is arranged on one side of the array substrate, which is far away from the color film substrate; the first optical compensation film group is arranged between the first polarizer and the color film substrate and comprises at least one first retarder; the second optical compensation module is arranged between the second polarizer and the array substrate and comprises at least one second retarder; the first retarder and the second retarder satisfy: ny equals Nz, Nx is not equal to Ny, and Nx, Ny, Nz are the refractive index of first retarder and second retarder along X direction, Y direction and Z direction respectively. The liquid crystal display panel can improve the problem of viewing angle contrast.

Description

Liquid crystal display panel and display device
Technical Field
The invention relates to the technical field of display, in particular to a liquid crystal display panel and a display device.
Background
Liquid crystal display devices have advantages of no radiation, light weight, and power saving, and are widely used in various information, communication, and consumer electronics products. In a conventional liquid crystal display device, In an FFS (Fringe Field Switching) mode or an IPS (In-Plane Switching) mode, when a display panel is observed from an oblique direction, especially from oblique viewing angles of 45 °, 135 °, 225 °, 315 °, and the like, due to a change In birefringence of liquid crystal molecules In a liquid crystal layer along with a change In an observation angle, a corresponding picture contrast and a picture definition are continuously reduced, and a black light leakage phenomenon generally occurs In the liquid crystal display panel, so that the oblique viewing angle contrast is deteriorated, and a display effect of the display device is affected.
Therefore, a liquid crystal display panel and a display device are needed to solve the above technical problems.
Disclosure of Invention
The invention aims to provide a liquid crystal display panel and a display device, which are used for avoiding black-state light leakage of the liquid crystal display panel and the display device.
In a first aspect, an embodiment of the present invention provides a liquid crystal display panel, including:
the liquid crystal display panel comprises an array substrate, a color film substrate and a liquid crystal layer, wherein the liquid crystal layer is arranged between the array substrate and the color film substrate;
the first polarizer is arranged on one side of the color film substrate, which is far away from the array substrate;
the second polarizer is arranged on one side of the array substrate, which is far away from the color film substrate;
the first optical compensation film group is arranged between the first polarizer and the color film substrate and comprises at least one first retarder;
the second optical compensation film group is arranged between the second polarizer and the array substrate and comprises at least one second retarder;
wherein the first retarder and the second retarder satisfy: ny is not equal to Ny, and Nx, Ny, Nz are refractive indexes of the first retarder and the second retarder along an X direction, a Y direction and a Z direction respectively, and the retarders comprise the first retarder and the second retarder.
In a second aspect, the present invention further provides a display device, including the liquid crystal display panel and a backlight module, where the backlight module is located on a side of the second polarizer, which is far away from the array substrate.
The liquid crystal display panel provided by the embodiment of the invention comprises at least one first retarder and at least one second retarder, wherein the first retarder is positioned between the first polarizer and the color film substrate, the second retarders are both positioned between the second polarizer and the array substrate, and the first retarder and the second retarder are both A films. Under an oblique viewing angle, the first retarder and the second retarder can mutually compensate the double refraction effect of the liquid crystal layer, so that the polarization state of the light projected to the first polarizer is close to the polarization state corresponding to the absorption axis of the first polarizer, the light emitted by the backlight module can be almost absorbed by the first polarizer in a black state, the black state light leakage of the liquid crystal display panel is avoided, and the display effect of the display panel is improved.
Drawings
Features, advantages and technical effects of exemplary embodiments of the present invention will be described below with reference to the accompanying drawings. The figures are not drawn to scale.
FIG. 1 shows a schematic contrast diagram of a liquid crystal display panel in a prior art design;
FIG. 2 is a schematic diagram of a Poincar sphere of the LCD panel of FIG. 1;
fig. 3 is a schematic cross-sectional view illustrating an lcd panel according to an embodiment of the invention;
FIG. 4 is a schematic perspective view of a retardation plate according to an embodiment of the invention;
FIG. 5 is a schematic diagram of a Poincar sphere of the LCD panel of FIG. 3;
FIG. 6 is a schematic diagram showing a contrast ratio of the LCD panel of FIG. 3;
FIG. 7 is a schematic cross-sectional view of another LCD panel according to an embodiment of the present invention;
FIG. 8 is a schematic diagram of a Poincar sphere of the LCD panel of FIG. 7;
FIG. 9 is a schematic diagram showing a contrast ratio of the liquid crystal display panel of FIG. 7;
FIG. 10 is a schematic cross-sectional view of another LCD panel according to an embodiment of the present invention;
FIG. 11 is a schematic diagram of a Ponga ball of the LCD panel in FIG. 10
FIG. 12 is a schematic diagram showing the contrast ratio of the LCD panel of FIG. 10
Detailed Description
Features and exemplary embodiments of various aspects of the present invention will be described in detail below. In the following detailed description, numerous specific details are set forth in order to provide a thorough understanding of the present invention. It will be apparent, however, to one skilled in the art that the present invention may be practiced without some of these specific details. The following description of the embodiments is merely intended to provide a better understanding of the present invention by illustrating examples of the present invention. In the drawings and the following description, at least some well-known structures and techniques have not been shown in detail in order to avoid unnecessarily obscuring the present invention; also, the dimensions of some of the structures may be exaggerated for clarity. Furthermore, the described features, structures, or characteristics may be combined in any suitable manner in one or more embodiments.
The following description is given with reference to the orientation words as shown in the drawings, and is not intended to limit the specific structure of the present invention. In the description of the present invention, it should also be noted that, unless otherwise explicitly specified or limited, the terms "mounted" and "connected" are to be interpreted broadly, e.g., as being either fixedly connected, detachably connected, or integrally connected; can be directly connected or indirectly connected. The specific meaning of the above terms in the present invention can be understood as appropriate to those of ordinary skill in the art.
In the low-reflection lcd panel, in order to realize normal display of the lcd panel, an upper polarizer and a lower polarizer are generally disposed vertically. The research shows that the upper and lower polarizers are orthogonal (i.e. perpendicular to each other) under the observation in the vertical direction, but the upper and lower polarizers are non-orthogonal (the included angle is greater than 90 °) especially for the observation points with the inclination angles of 45 °, 135 °, 225 °, and 315 °, which causes the black state light leakage of the liquid crystal display panel and affects the display effect of the display device.
Fig. 1 is a schematic diagram of a contrast ratio of a liquid crystal display panel in the conventional design, and as shown in fig. 1, black-state light leakage of the liquid crystal display panel in the conventional design is relatively serious, and especially for viewing points with an azimuth angle of 45 °, an azimuth angle of 135 °, an azimuth angle of 225 °, and an azimuth angle of 315 °, the contrast ratio is relatively poor, and the black-state light leakage is relatively serious.
FIG. 2 is a schematic diagram of a Ponga ball of the LCD panel shown in FIG. 1. As shown in FIG. 2, a point on the Poincar sphere represents one polarization state. Atvisual angle 45 °, whenazimuth 135 °, the liquid crystal display panel is observed to the squint angle, light that backlight unit sent during the black state is behindsecond polaroid 50, thepoint 1 position of polarization state on the nation adds the ball, when not addingfirst retarder 60 andsecond retarder 70, afterliquid crystal layer 30,reach point 2, namely the polarization state that is about to pass throughfirst polaroid 40, at this moment,point 2 is still very far away from the position ofpoint 4, some light can leak, lead to the liquid crystal display panel to appear black state light leakage problem.
Fig. 3 is a schematic cross-sectional structure diagram of a liquid crystal display panel according to an embodiment of the present invention, and fig. 4 is a schematic perspective structure diagram of a retarder according to an embodiment of the present invention, as shown in fig. 3 and fig. 4, the liquidcrystal display panel 100 includes anarray substrate 10, acolor filter substrate 20, and aliquid crystal layer 30, and theliquid crystal layer 30 is disposed between thearray substrate 10 and thecolor filter substrate 20. Optionally, thearray substrate 10 may be a flexible substrate or a rigid substrate, and the color filter substrate may be a flexible substrate or a rigid substrate. Alternatively, theliquid crystal layer 30 may include a plurality of liquid crystal molecules, wherein the liquid crystal molecules may be positive liquid crystal molecules or negative liquid crystal molecules. The liquidcrystal display panel 100 further includes afirst polarizer 40, asecond polarizer 50, a first optical compensation module, and a second optical compensation module. Thefirst polarizer 40 is disposed on a side of thecolor filter substrate 20 away from thearray substrate 10. Thesecond polarizer 50 is disposed on a side of thearray substrate 10 away from thecolor filter substrate 20. The first optical compensation film group is disposed between thefirst polarizer 40 and thecolor film substrate 20, and includes at least onefirst retardation film 60. The second optical compensation module is disposed between thesecond polarizer 50 and thearray substrate 10, and includes at least onesecond retardation plate 70. Thefirst retarder 40 and the second retarder 50 satisfy: ny is Nz, and Nx is not equal to Ny, that is, thefirst retardation plate 60 and thesecond retardation plate 70 are both a films. Where Nx, Ny, Nz are refractive indices of the retardation plate in the X direction, the Y direction, and the Z direction, respectively, and the retardation plate includes afirst retardation plate 60 and asecond retardation plate 70. Alternatively, the X direction and the Y direction may be parallel to the plane of thearray substrate 10, and the Z direction may be perpendicular to the plane of thearray substrate 10.
Fig. 5 is a schematic diagram of the bonding ball of the liquid crystal display panel in fig. 3, and after thefirst retarder 60 and thesecond retarder 70 are added, the process of the polarization state of the light emitted by the backlight module in the black state passing through the liquid crystal display panel on the bonding ball is as follows: after thesecond polarizer 50, the polarization state is located at thepoint 1 position of the Poincare sphere, and then after thesecond retarder 70, the polarization state is located at thepoint 2 position of the Poincare sphere, and after thesecond polarizer 30, the polarization state is located at thepoint 3 position of the Poincare sphere, and then after thefirst retarder 60, the polarization state is located at thepoint 4 position of the Poincare sphere, and after thefirst polarizer 40, the polarization state is located at the point 4 'position of the Poincare sphere, and the point 4' coincides with thepoint 1 position, so that the emergent light can be absorbed by thefirst polarizer 40, thereby avoiding the black light leakage, and improving the contrast under the visual angle.
Fig. 6 is a schematic diagram showing the contrast ratio of the liquid crystal display panel in fig. 3, and as shown in fig. 6, the liquid crystal display panel according to the embodiment of the present invention has improved black-state light leakage, and particularly, the contrast ratio is increased and the black-state light leakage is improved at viewing angles ofazimuth angle 45 °,azimuth angle 135 °,azimuth angle 225 ° andazimuth angle 315 °. The black state light leakage is low at various viewing angles (0-90 °) under azimuth angles of 45 °, 135 °, 225 °, and 315 °.
The liquid crystal display panel provided in the embodiment of the present invention includes at least onefirst retarder 60 and at least onesecond retarder 70, where thefirst retarder 60 is located between thefirst polarizer 40 and thecolor filter substrate 20, thesecond retarders 70 are both located between thesecond polarizer 40 and thearray substrate 10, and both thefirst retarder 60 and thesecond retarder 70 are a films. Under an oblique viewing angle, because thefirst retarder 60 and thesecond retarder 70 can compensate the birefringence effect of the liquid crystal layer with each other, the polarization state of the light projected to thefirst polarizer 40 is close to the polarization state corresponding to the absorption axis of thefirst polarizer 40, so that the light emitted by the backlight module can be almost absorbed by thefirst polarizer 40 in a black state, the black state light leakage of the liquid crystal display panel is avoided, and the display effect of the display panel is further improved.
Optionally, as shown in fig. 3, thefirst retarder 60 and thesecond retarder 70 further satisfy: nx > Ny, and the first andsecond retarders 60 and 70 are positive retarders, i.e., positive a films. In the embodiment of the invention, the positivefirst retardation plate 60 and the positivesecond retardation plate 70 are adopted to avoid the black state light leakage of the liquid crystal display panel and reduce the manufacturing difficulty of thefirst retardation plate 60 and thesecond retardation plate 70.
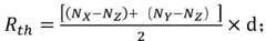
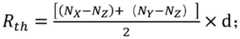
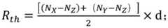
Alternatively, as shown in fig. 3 to 5, the in-plane retardation Re of the retardation plate satisfies:
Re=(NX-NY)×d;
the thickness direction retardation Rth of the retardation sheet satisfies:
Figure BDA0002808434000000051
wherein d is the thickness of the retardation plate along the Z direction, NX、NY、NZThe retardation plate includes afirst retardation plate 60 and asecond retardation plate 70, respectively, a refractive index in the X direction, a refractive index in the Y direction, and a refractive index in the Z direction. The in-plane retardation of thefirst retardation plate 60 is 94.4nm or more and 134.4nm or less. The retardation of thefirst retardation plate 60 in the thickness direction is not less than-77.2 nm and not more than-37.2 nm. That is, thefirst retardation plate 60 satisfies: re is more than or equal to 94.4nm and less than or equal to 134.4nm, Rth is more than or equal to 77.2nm and less than or equal to-37.2 nm. In the conventional design, only the retardation amount of the retardation plate at the front viewing angle is concerned, but the applicant has studied that the retardation amount at the front viewing angle is applicable only to the case of the front viewing angle, but the retardation amount at the front viewing angle varies particularly in the oblique viewing angle directions such as 45 °, 135 °, 225 °, and 315 ° when the liquid crystal display panel is viewed from the oblique direction. Based onAccordingly, the embodiment of the invention provides the retardation Rth at an oblique viewing angle to be better suitable for viewing the liquid crystal display panel in an oblique direction. Further, thefirst retardation plate 60 satisfies: re is 114.4nm and Rth is-57.2 nm, and the in-plane retardation and the thickness direction retardation of thefirst retardation plate 60 are further limited to prevent the black state light leakage of the liquid crystal display panel, so that the liquid crystal display panel has a good display effect.
Illustratively, thefirst retarder 60 satisfies at various wavelengths: re is more than or equal to 94.4nm and less than or equal to 134.4nm, Rth is more than or equal to 77.2nm and less than or equal to-37.2 nm. For example, thefirst retardation plate 60 satisfies, under illumination with wavelengths of 450nm, 550nm, and 650 nm: re is more than or equal to 94.4nm and less than or equal to 134.4nm, Rth is more than or equal to 77.2nm and less than or equal to-37.2 nm.
Optionally, the in-plane retardation of thesecond retardation plate 70 is greater than or equal to 112.6nm and less than or equal to 152.6 nm; the retardation of thesecond retardation plate 70 in the thickness direction is not less than-68.3 nm and not more than-46.3 nm. That is, thesecond retardation plate 70 satisfies: re is more than or equal to 112.6nm and less than or equal to 152.6nm, Rth is more than or equal to 68.3nm and less than or equal to-46.3 nm. Further, thesecond retardation plate 70 satisfies: re 132.6nm and Rth 66.3 nm. The in-plane retardation and the thickness direction retardation of thesecond retardation plate 70 are further limited to avoid the black light leakage of the liquid crystal display panel, so that the liquid crystal display panel has a better display effect.
Illustratively, thesecond retarder 70 satisfies at various wavelengths: re is more than or equal to 112.6nm and less than or equal to 152.6nm, Rth is more than or equal to 68.3nm and less than or equal to-46.3 nm. For example, thesecond retardation plate 70 satisfies, under illumination with wavelengths of 450nm, 550nm, and 650 nm: re is more than or equal to 112.6nm and less than or equal to 152.6nm, Rth is more than or equal to 68.3nm and less than or equal to-46.3 nm.
The embodiment of the invention also provides other liquidcrystal display panels 100 with different structures to improve the problem of black-state light leakage, which will be described below.
Fig. 7 is a schematic cross-sectional structure view of another liquid crystal display panel according to an embodiment of the present invention, as shown in fig. 7, the first optical compensation film group further includes athird retardation plate 80, an included angle between a slow axis of thethird retardation plate 80 and a slow axis of thefirst retardation plate 60 is 90 °, and when light passes through thefirst retardation plate 60 and thethird retardation plate 80, two phase retardations can occur, so that a black-state light leakage problem at an oblique angle can be improved, and a contrast ratio at the oblique angle can be improved.
Fig. 8 is a schematic diagram of the bonding ball of the liquid crystal display panel in fig. 7, and as shown in fig. 8, the process of the polarization state of the light emitted by the backlight module in the black state passing through the liquid crystal display panel on the bonding ball is as follows: after passing through thesecond polarizer 50, the polarization state is located at thepoint 1 of the Poincare sphere, and then passing through thesecond retarder 70, the polarization state is located at thepoint 2 of the Poincare sphere, and then passing through theliquid crystal layer 30, the polarization state is located at thepoint 3 of the Poincare sphere, and then passing through thethird retarder 80, the polarization state is located at thepoint 4 of the Poincare sphere, and then passing through thefirst retarder 60, the polarization state is located at thepoint 5 of the Poincare sphere, and then passing through thefirst polarizer 40, the polarization state is located at the point 5 'of the Poincare sphere, and the point 5' coincides with thepoint 1, so that the emergent light can be absorbed by thefirst polarizer 40, thereby avoiding the occurrence of black light leakage and improving the contrast at the viewing angle.
Fig. 9 is a schematic diagram showing the contrast ratio of the lcd panel in fig. 7, and as shown in fig. 9, the lcd panel according to the embodiment of the present invention has improved black state light leakage, and especially has improved contrast ratio and improved black state light leakage for viewing angles with an azimuth angle of 45 °, an azimuth angle of 135 °, an azimuth angle of 225 ° and an azimuth angle of 315 °. The black state light leakage is low at various viewing angles (0-90 °) under azimuth angles of 45 °, 135 °, 225 °, and 315 °.
Optionally, thefirst retarder 60 further satisfies: nx > Ny, thefirst retardation plate 60 is a positive retardation film, i.e., a positive a film. Thesecond retarder 70 and thethird retarder 80 also satisfy: nx < Ny, thesecond retarder 70 and thethird retarder 80 are negative retarders, i.e., negative a films, to prevent light leakage in a black state of the liquid crystal display panel.
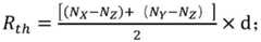
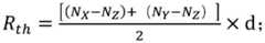
Alternatively, referring to fig. 4, 7, and 8, the in-plane retardation amount Re of the retardation plate satisfies:
Re=(NX-NY)×d;
the thickness direction retardation Rth of the retardation sheet satisfies:
Figure BDA0002808434000000071
wherein d is the thickness of the retardation plate along the Z direction, NX、NY、NZThe retardation plates include afirst retardation plate 60, asecond retardation plate 70, and athird retardation plate 80, respectively, a refractive index in the X direction, a refractive index in the Y direction, and a refractive index in the Z direction. The in-plane retardation of thefirst retardation plate 60 is 203.6nm or more and 243.6nm or less. The retardation of thefirst retardation plate 60 in the thickness direction is at least-131.8 nm and at most-91.8 nm. That is, thefirst retardation plate 60 satisfies: re is more than or equal to 203.6nm and less than or equal to 243.6nm, Rth is more than or equal to 131.8nm and less than or equal to-91.8 nm, so that black light leakage of the liquid crystal display panel is avoided. Further, thefirst retardation plate 60 satisfies: re 114.4nm and Rth-57.2 nm. The in-plane retardation and the thickness direction retardation of thefirst retardation plate 60 are further limited to avoid light leakage of the liquid crystal display panel in a black state, so that the liquid crystal display panel has a good display effect.
Illustratively, thefirst retarder 60 satisfies at various wavelengths: re is more than or equal to 203.6nm and less than or equal to 243.6nm, Rth is more than or equal to 131.8nm and less than or equal to-91.8 nm. For example, thefirst retardation plate 60 satisfies, under illumination with wavelengths of 450nm, 550nm, and 650 nm: re is more than or equal to 203.6nm and less than or equal to 243.6nm, Rth is more than or equal to 131.8nm and less than or equal to-91.8 nm.
Optionally, the in-plane retardation of thesecond retardation plate 70 is greater than or equal to-113.6 nm and less than or equal to-73.6 nm; the retardation of thesecond retardation plate 70 in the thickness direction is 26.8nm or more and 66.8nm or less. That is, thesecond retardation plate 70 satisfies: re is more than or equal to-113.6 nm and less than or equal to-73.6 nm, and Rth is more than or equal to 26.8nm and less than or equal to 66.8 nm. Further, thesecond retardation plate 70 satisfies: re-93.6 nm and Rth-46.8 nm. The in-plane retardation and the thickness direction retardation of thesecond retardation plate 70 are further limited to avoid the black light leakage of the liquid crystal display panel, so that the liquid crystal display panel has a better display effect.
Illustratively, thesecond retarder 70 satisfies at various wavelengths: re is more than or equal to-113.6 nm and less than or equal to-73.6 nm, and Rth is more than or equal to 26.8nm and less than or equal to 66.8 nm. For example, thesecond retardation plate 70 satisfies, under illumination with wavelengths of 450nm, 550nm, and 650 nm: re is more than or equal to-113.6 nm and less than or equal to-73.6 nm, and Rth is more than or equal to 26.8nm and less than or equal to 66.8 nm.
Optionally, the in-plane retardation of thethird retardation plate 80 is greater than or equal to-64.2 nm and less than or equal to-24.2 nm; the retardation of thethird retardation plate 80 in the thickness direction is not less than 2.1nm and not more than 42.1 nm. That is, thethird retardation plate 80 satisfies: re is more than or equal to 64.2nm and less than or equal to 24.2nm, and Rth is more than or equal to 2.1nm and less than or equal to 42.1 nm. Further, thesecond retardation plate 70 satisfies: re-44.2 nm and Rth-22.1 nm. The black state light leakage of the liquid crystal display panel is avoided by further limiting the in-plane retardation and the thickness direction retardation of thethird retardation plate 80, so that the liquid crystal display panel has a better display effect.
Illustratively, thethird retarder 80 satisfies at various wavelengths: re is more than or equal to 64.2nm and less than or equal to 24.2nm, and Rth is more than or equal to 2.1nm and less than or equal to 42.1 nm. For example, thesecond retardation plate 70 satisfies, under illumination with wavelengths of 450nm, 550nm, and 650 nm: re is more than or equal to 64.2nm and less than or equal to 24.2nm, and Rth is more than or equal to 2.1nm and less than or equal to 42.1 nm.
Fig. 10 is a schematic cross-sectional view of another liquid crystal display panel according to an embodiment of the present invention, and thethird retardation plate 80 further satisfies: nx > Ny, thethird retardation plate 80 is a positive retardation plate, i.e., a positive a film, and thefirst retardation plate 60 and thesecond retardation plate 70 further satisfy: nx < Ny, thefirst retardation plate 60 and thesecond retardation plate 70 are negative retardation plates, i.e., negative a films.
Fig. 11 is a schematic diagram of the bonding ball of the liquidcrystal display panel 100 in fig. 10, and as shown in fig. 11, a process of the polarization state of the light emitted by the backlight module in the black state passing through the liquidcrystal display panel 100 on the bonding ball is as follows: after passing through thesecond polarizer 50, the polarization state is located at thepoint 1 of the Poincare sphere, and then passing through thesecond retarder 70, the polarization state is located at thepoint 2 of the Poincare sphere, and then passing through theliquid crystal layer 30, the polarization state is located at thepoint 3 of the Poincare sphere, and then passing through thethird retarder 80, the polarization state is located at thepoint 4 of the Poincare sphere, and then passing through thefirst retarder 60, the polarization state is located at thepoint 5 of the Poincare sphere, and then passing through thefirst polarizer 40, the polarization state is located at the point 5 'of the Poincare sphere, and the point 5' coincides with thepoint 1, so that the emergent light can be absorbed by thefirst polarizer 40, thereby avoiding the occurrence of black light leakage and improving the contrast at the viewing angle.
Fig. 12 is a schematic diagram illustrating the contrast ratio of the liquid crystal display panel of fig. 10, and as shown in fig. 12, the liquidcrystal display panel 100 according to the embodiment of the present invention has improved black-state light leakage, and especially, the contrast ratio is increased and the black-state light leakage is improved for viewing angles with an azimuth angle of 45 °, an azimuth angle of 135 °, an azimuth angle of 225 ° and an azimuth angle of 315 °. The black state light leakage is low at various viewing angles (0-90 °) under azimuth angles of 45 °, 135 °, 225 °, and 315 °.
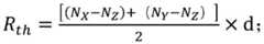
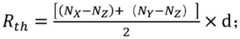
Alternatively, as shown in fig. 4, 10, and 11, the in-plane retardation amount Re of the retardation plate satisfies:
Re=(NX-NY)×d;
the thickness direction retardation Rth of the retardation sheet satisfies:
Figure BDA0002808434000000091
wherein d is the thickness of the retardation plate along the Z direction, NX、NY、NZThe retardation plates include afirst retardation plate 60, asecond retardation plate 70, and athird retardation plate 80, respectively, a refractive index in the X direction, a refractive index in the Y direction, and a refractive index in the Z direction. The in-plane retardation of thefirst retardation plate 60 is equal to or more than-231.12 nm and equal to or less than-191.12 nm. The retardation of thefirst retardation plate 60 in the thickness direction is 85.56nm or more and 125.56nm or less. That is, thefirst retardation plate 60 satisfies: re is more than or equal to-231.12 nm and less than or equal to-191.12 nm, Rth is more than or equal to 85.56nm and less than or equal to 125.56nm, so that black light leakage of the liquid crystal display panel is avoided. Further, thefirst retardation plate 60 satisfies: re-211.12 nm and Rth-105.56 nm. The in-plane retardation and the thickness direction retardation of thefirst retardation plate 60 are further limited to avoid the black state light leakage of the liquid crystal display panel, so that the liquid crystal display panel has a better display effect.
Illustratively, thefirst retarder 60 satisfies at various wavelengths: re is more than or equal to-231.12 nm and less than or equal to-191.12 nm, Rth is more than or equal to 85.56nm and less than or equal to 125.56 nm. For example, thefirst retardation plate 60 satisfies, under illumination with wavelengths of 450nm, 550nm, and 650 nm: re is more than or equal to-231.12 nm and less than or equal to-191.12 nm, Rth is more than or equal to 85.56nm and less than or equal to 125.56 nm.
Optionally, the in-plane retardation of thesecond retardation plate 70 is greater than or equal to-113.6 nm and less than or equal to-73.6 nm; thesecond retardation plate 70 has a retardation in the thickness direction of 26.8 to 66.8nm inclusive. That is, thesecond retardation plate 70 satisfies: re is more than or equal to-113.6 nm and less than or equal to-73.6 nm, and Rth is more than or equal to 26.8nm and less than or equal to 66.8 nm. Further, thesecond retardation plate 70 satisfies: re-93.6 nm and Rth-46.8 nm. The in-plane retardation and the thickness direction retardation of thesecond retardation plate 70 are further limited to avoid the black light leakage of the liquid crystal display panel, so that the liquid crystal display panel has a better display effect.
Illustratively, thesecond retarder 70 satisfies at various wavelengths: re is more than or equal to-113.6 nm and less than or equal to-73.6 nm, and Rth is more than or equal to 26.8nm and less than or equal to 66.8 nm. For example, thesecond retardation plate 70 satisfies, under illumination with wavelengths of 450nm, 550nm, and 650 nm: re is more than or equal to-113.6 nm and less than or equal to-73.6 nm, and Rth is more than or equal to 26.8nm and less than or equal to 66.8 nm.
Optionally, the in-plane retardation of thethird retardation plate 80 is greater than or equal to-6.48 nm and less than or equal to 33.52 nm; the retardation of thethird retardation plate 80 in the thickness direction is not less than-26.76 nm and not more than 13.24 nm. That is, thethird retardation plate 80 satisfies: re is more than or equal to 6.48 and less than or equal to 33.52nm, Rth is more than or equal to 26.76nm and less than or equal to 13.24 nm. Further, thesecond retardation plate 70 satisfies: re 13.52nm and Rth-6.76 nm. The in-plane retardation and the thickness direction retardation of thethird retardation plate 80 are further limited to avoid the black light leakage of the liquid crystal display panel, so that the liquid crystal display panel has a better display effect.
Illustratively, thethird retarder 80 satisfies at various wavelengths: re is more than or equal to 6.48 and less than or equal to 33.52nm, Rth is more than or equal to 26.76nm and less than or equal to 13.24 nm. For example, thethird retardation plate 80 satisfies, under illumination with wavelengths of 450nm, 550nm, and 650 nm: re is more than or equal to 6.48 and less than or equal to 33.52nm, Rth is more than or equal to 26.76nm and less than or equal to 13.24 nm.
Alternatively, as shown in fig. 7 and 10, thethird retarder 80 is disposed between thefirst polarizer 40 and thefirst retarder 60. The light emitted from the backlight module first passes through thethird retarder 80 and then passes through thefirst retarder 60. The light can have two phase retardations when passing through thefirst retarder 60 and thethird retarder 80, so that the black-state light leakage problem under the oblique viewing angle can be improved, and the contrast under the oblique viewing angle is improved.
Optionally, an included angle between the slow axis of thefirst retardation plate 60 and the slow axis of thesecond retardation plate 70 is 90 °, an included angle between the slow axis of thesecond retardation plate 70 and the slow axis of theliquid crystal layer 30 is 90 °, and the slow axis of thefirst retardation plate 60 is parallel to the X direction, so as to avoid black-state light leakage of the liquid crystal display panel.
Optionally, an included angle between the slow axis of thefirst polarizer 40 and the slow axis of thesecond polarizer 50 is 90 °, the slow axis of thefirst polarizer 40 is perpendicular to the X direction, and thefirst polarizer 40, thesecond polarizer 50 and the retardation plate form an angle fit by limiting an angle between thefirst polarizer 40 and thesecond polarizer 50, so as to avoid black-state light leakage of the liquid crystal display panel.
In addition, the embodiment of the invention also provides a display device which comprises any one of the liquid crystal display panels. The display device may be, but is not limited to, a cell phone, a tablet, a wearable device, etc.
While the invention has been described with reference to a preferred embodiment, various modifications may be made and equivalents may be substituted for elements thereof without departing from the scope of the invention. In particular, the technical features mentioned in the embodiments can be combined in any way as long as there is no structural conflict. It is intended that the invention not be limited to the particular embodiments disclosed, but that the invention will include all embodiments falling within the scope of the appended claims.

Claims (17)

1. A liquid crystal display panel, comprising:
the liquid crystal display panel comprises an array substrate, a color film substrate and a liquid crystal layer, wherein the liquid crystal layer is arranged between the array substrate and the color film substrate;
the first polarizer is arranged on one side of the color film substrate, which is far away from the array substrate;
the second polarizer is arranged on one side of the array substrate, which is far away from the color film substrate;
the first optical compensation film group is arranged between the first polarizer and the color film substrate and comprises at least one first retarder;
the second optical compensation film group is arranged between the second polarizer and the array substrate and comprises at least one second retarder;
wherein the first retarder and the second retarder satisfy: n is a radical ofy=Nz,NxIs not equal to Ny,Nx、Ny、NzThe refractive indexes of the first retarder and the second retarder along the X direction, the Y direction and the Z direction respectively.
2. The liquid crystal display panel according to claim 1, wherein the first retardation plate and the second retardation plate further satisfy: n is a radical ofx>Ny
3. The liquid crystal display panel according to claim 2, wherein the first retardation plate in-plane retardation Re satisfies:
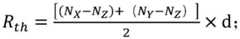
Re=(NX-NY)×d;
the first retardation plate thickness direction retardation Rth satisfies:
Figure FDA0002808433990000011
wherein d is the thickness of the first retardation plate along the Z direction;
the in-plane retardation of the first retardation plate is greater than or equal to 94.4nm and less than or equal to 134.4 nm;
the first retarder has a retardation in a thickness direction of-77.2 nm or more and-37.2 nm or less.
4. The liquid crystal display panel according to claim 2, wherein the second retarder in-plane retardation Re satisfies:
Re=(NX-NY)×d;
the second retardation plate thickness direction retardation Rth satisfies:
Figure FDA0002808433990000021
wherein d is the thickness of the second retardation plate along the Z direction;
the in-plane retardation of the second retarder is greater than or equal to 112.6nm and less than or equal to 152.6 nm;
the retardation of the second retarder in the thickness direction is greater than or equal to-68.3 nm and less than or equal to-46.3 nm.
5. The liquid crystal display panel of claim 1, wherein the first optical compensation film group further comprises a third retarder, and an included angle between a slow axis of the third retarder and a slow axis of the first retarder is 90 °.
6. The liquid crystal display panel according to claim 5, wherein the first retardation plate further satisfies: n is a radical ofx>NyThe second retarder and the third retarder further satisfy: n is a radical ofx<Ny
7. The liquid crystal display panel according to claim 6, wherein the first retardation plate in-plane retardation Re satisfies:
Re=(NX-NY)×d;
the first retardation plate thickness direction retardation Rth satisfies:
Figure FDA0002808433990000022
wherein d is the thickness of the first retardation plate along the Z direction;
the in-plane retardation of the first retarder is greater than or equal to 203.6nm and less than or equal to 243.6 nm;
the retardation of the first retarder in the thickness direction is more than or equal to-131.8 nm and less than or equal to-91.8 nm.
8. The liquid crystal display panel according to claim 6, wherein the second retarder in-plane retardation Re satisfies:
Re=(NX-NY)×d;
the second retardation plate thickness direction retardation Rth satisfies:
Figure FDA0002808433990000023
wherein d is the thickness of the second retardation plate along the Z direction;
the in-plane retardation of the second retarder is greater than or equal to-113.6 nm and less than or equal to-73.6 nm;
the retardation of the second retarder in the thickness direction is greater than or equal to 26.8nm and less than or equal to 66.8 nm.
9. The liquid crystal display panel according to claim 6, wherein the third retarder in-plane retardation Re satisfies:
Re=(NX-NY)×d;
the third retardation plate thickness direction retardation Rth satisfies:
Figure FDA0002808433990000031
wherein d is the thickness of the third retardation plate in the Z direction;
the in-plane retardation of the third retarder is greater than or equal to-64.2 nm and less than or equal to-24.2 nm;
the third retarder has a retardation in the thickness direction of 2.1nm or more and 42.1nm or less.
10. The liquid crystal display panel according to claim 5, wherein the third retardation plate further satisfies: n is a radical ofx>NyThe first and second retarders further satisfy: n is a radical ofx<Ny
11. The liquid crystal display panel according to claim 10, wherein the first retardation plate in-plane retardation Re satisfies:
Re=(NX-NY)×d;
the first retardation plate thickness direction retardation Rth satisfies:
Figure FDA0002808433990000032
wherein d is the thickness of the first retardation plate along the Z direction;
the in-plane retardation of the first retardation plate is greater than or equal to-231.12 nm and less than or equal to-191.12 nm;
the first retarder has a retardation in the thickness direction of 85.56nm or more and 125.56nm or less.
12. The liquid crystal display panel according to claim 10, wherein the second retarder in-plane retardation Re satisfies:
Re=(NX-NY)×d;
the second retardation plate thickness direction retardation Rth satisfies:
Figure FDA0002808433990000041
wherein d is the thickness of the second retardation plate along the Z direction;
the in-plane retardation of the second retarder is greater than or equal to-113.6 nm and less than or equal to-73.6 nm;
the second retardation plate has a retardation in the thickness direction of 26.8 to 66.8 nm.
13. The liquid crystal display panel according to claim 10, wherein the third retarder in-plane retardation Re satisfies:
Re=(NX-NY)×d;
the third retardation plate thickness direction retardation Rth satisfies:
Figure FDA0002808433990000042
wherein d is the thickness of the third retardation plate in the Z direction;
the in-plane retardation of the third retardation plate is greater than or equal to-6.48 nm and less than or equal to 33.52 nm;
the third retardation plate has a retardation in the thickness direction of not less than-26.76 nm and not more than 13.24 nm.
14. The liquid crystal display panel according to claim 5, wherein the third retarder is disposed between the first polarizer and the first retarder.
15. The LCD panel of claim 1, wherein the slow axis of the first retarder is at 90 ° to the slow axis of the second retarder, the slow axis of the second retarder is at 90 ° to the slow axis of the liquid crystal layer, and the slow axis of the first retarder is parallel to the X-direction.
16. The liquid crystal display panel according to claim 1, wherein an included angle between the slow axis of the first polarizer and the slow axis of the second polarizer is 90 °, and the slow axis of the first polarizer is perpendicular to the X direction.
17. A display device comprising the liquid crystal display panel according to any one of claims 1 to 16 and a backlight module, wherein the backlight module is located on a side of the second polarizer away from the array substrate.
CN202011376945.5A2020-11-302020-11-30Liquid crystal display panel and display deviceActiveCN112363347B (en)

Priority Applications (1)

Application NumberPriority DateFiling DateTitle
CN202011376945.5ACN112363347B (en)2020-11-302020-11-30Liquid crystal display panel and display device

Applications Claiming Priority (1)

Application NumberPriority DateFiling DateTitle
CN202011376945.5ACN112363347B (en)2020-11-302020-11-30Liquid crystal display panel and display device

Publications (2)

Publication NumberPublication Date
CN112363347Atrue CN112363347A (en)2021-02-12
CN112363347B CN112363347B (en)2022-10-04

Family

ID=74535662

Family Applications (1)

Application NumberTitlePriority DateFiling Date
CN202011376945.5AActiveCN112363347B (en)2020-11-302020-11-30Liquid crystal display panel and display device

Country Status (1)

CountryLink
CN (1)CN112363347B (en)

Cited By (3)

* Cited by examiner, † Cited by third party
Publication numberPriority datePublication dateAssigneeTitle
CN114280859A (en)*2021-12-212022-04-05Tcl华星光电技术有限公司Display panel and display device thereof
WO2022188223A1 (en)*2021-03-122022-09-15武汉华星光电技术有限公司Polarizing sheet and manufacturing method therefor, and display device
CN116165822A (en)*2023-03-222023-05-26北京京东方显示技术有限公司Display panel, preparation method thereof and display device

Citations (8)

* Cited by examiner, † Cited by third party
Publication numberPriority datePublication dateAssigneeTitle
JP2008241994A (en)*2007-03-272008-10-09Fujifilm Corp Optical compensation film, manufacturing method thereof, polarizing plate using the same, and liquid crystal display device
CN202275246U (en)*2011-09-052012-06-13天马微电子股份有限公司Liquid crystal display device
CN102681248A (en)*2012-05-102012-09-19京东方科技集团股份有限公司Liquid crystal display
CN202600308U (en)*2012-05-182012-12-12京东方科技集团股份有限公司Liquid crystal panel and display device
CN202677027U (en)*2012-05-072013-01-16京东方科技集团股份有限公司Liquid crystal panel and display device thereof
CN103018962A (en)*2012-12-142013-04-03京东方科技集团股份有限公司Liquid crystal display screen and display equipment
WO2013172364A1 (en)*2012-05-162013-11-21富士フイルム株式会社Liquid-crystal display device
CN103605233A (en)*2013-11-222014-02-26深圳市华星光电技术有限公司Optical compensating film for liquid crystal display and liquid crystal display comprising optical compensating film

Patent Citations (8)

* Cited by examiner, † Cited by third party
Publication numberPriority datePublication dateAssigneeTitle
JP2008241994A (en)*2007-03-272008-10-09Fujifilm Corp Optical compensation film, manufacturing method thereof, polarizing plate using the same, and liquid crystal display device
CN202275246U (en)*2011-09-052012-06-13天马微电子股份有限公司Liquid crystal display device
CN202677027U (en)*2012-05-072013-01-16京东方科技集团股份有限公司Liquid crystal panel and display device thereof
CN102681248A (en)*2012-05-102012-09-19京东方科技集团股份有限公司Liquid crystal display
WO2013172364A1 (en)*2012-05-162013-11-21富士フイルム株式会社Liquid-crystal display device
CN202600308U (en)*2012-05-182012-12-12京东方科技集团股份有限公司Liquid crystal panel and display device
CN103018962A (en)*2012-12-142013-04-03京东方科技集团股份有限公司Liquid crystal display screen and display equipment
CN103605233A (en)*2013-11-222014-02-26深圳市华星光电技术有限公司Optical compensating film for liquid crystal display and liquid crystal display comprising optical compensating film

Cited By (4)

* Cited by examiner, † Cited by third party
Publication numberPriority datePublication dateAssigneeTitle
WO2022188223A1 (en)*2021-03-122022-09-15武汉华星光电技术有限公司Polarizing sheet and manufacturing method therefor, and display device
US11852915B2 (en)2021-03-122023-12-26Wuhan China Star Optoelectronics Technology Co., Ltd.Polarizer, manufacturing method thereof, and display device
CN114280859A (en)*2021-12-212022-04-05Tcl华星光电技术有限公司Display panel and display device thereof
CN116165822A (en)*2023-03-222023-05-26北京京东方显示技术有限公司Display panel, preparation method thereof and display device

Also Published As

Publication numberPublication date
CN112363347B (en)2022-10-04

Similar Documents

PublicationPublication DateTitle
US8174650B2 (en)Liquid crystal display device having first and second birefringent layers and first and second quarter-wave plates
US9019451B2 (en)Liquid-crystal display device
JP3926072B2 (en) Liquid crystal display
EP2437106B1 (en)Liquid crystal display device
CN102246091B (en) Liquid crystal display device
US8179508B2 (en)Liquid crystal display device having first and second polarizers and first and second birefringent layers
US9651819B2 (en)Polarising plate for a planar-switch mode LCD, and a planar-switch mode LCD comprising the same
US8994914B2 (en)Integrated wide viewing film
CN112363347B (en)Liquid crystal display panel and display device
US9104037B2 (en)Liquid crystal display device
CN100456107C (en) Liquid crystal display device
US20110051062A1 (en)Method for producing liquid crystal display device, and liquid crystal display device
US9651827B2 (en)Display device
TW201428361A (en)Polarizing plate and liquid crystal display apparatus including the same
WO2012070808A2 (en)Anti-reflective polarizing plate and image display apparatus including same
US9158157B2 (en)Liquid crystal display
CN102650761A (en)View angle compensating LCD (liquid crystal display) monitor
CN110928054B (en)Reflection type liquid crystal display device
WO2015149379A1 (en)Single-layer biaxial compensation architecture for liquid crystal panel, and liquid crystal display device
TW200523631A (en)Liquid crystal display device
KR20100069964A (en)Liquid crystal display device using vertical field including optical retardation film
US20060055855A1 (en)Retarder film, polarizer with built-in retarder, and LCD device having the polarizer
JP2003090913A (en) Elliptical polarizing plate and liquid crystal display device using the same

Legal Events

DateCodeTitleDescription
PB01Publication
PB01Publication
SE01Entry into force of request for substantive examination
SE01Entry into force of request for substantive examination
GR01Patent grant
GR01Patent grant

[8]ページ先頭

©2009-2025 Movatter.jp