Movatterモバイル変換


[0]ホーム

URL:


CN112362048A - Practical magnetic gradient tensor high-precision single-point positioning method - Google Patents

Practical magnetic gradient tensor high-precision single-point positioning method
Download PDF

Info

Publication number
CN112362048A
CN112362048ACN202011257425.2ACN202011257425ACN112362048ACN 112362048 ACN112362048 ACN 112362048ACN 202011257425 ACN202011257425 ACN 202011257425ACN 112362048 ACN112362048 ACN 112362048A
Authority
CN
China
Prior art keywords
magnetic
gradient tensor
magnetic gradient
magnetometer
positioning method
Prior art date
Legal status (The legal status is an assumption and is not a legal conclusion. Google has not performed a legal analysis and makes no representation as to the accuracy of the status listed.)
Pending
Application number
CN202011257425.2A
Other languages
Chinese (zh)
Inventor
李光
钟华森
修春晓
周瑜
Current Assignee (The listed assignees may be inaccurate. Google has not performed a legal analysis and makes no representation or warranty as to the accuracy of the list.)
Third Research Institute Of China Electronics Technology Group Corp
Original Assignee
Third Research Institute Of China Electronics Technology Group Corp
Priority date (The priority date is an assumption and is not a legal conclusion. Google has not performed a legal analysis and makes no representation as to the accuracy of the date listed.)
Filing date
Publication date
Application filed by Third Research Institute Of China Electronics Technology Group CorpfiledCriticalThird Research Institute Of China Electronics Technology Group Corp
Priority to CN202011257425.2ApriorityCriticalpatent/CN112362048A/en
Publication of CN112362048ApublicationCriticalpatent/CN112362048A/en
Pendinglegal-statusCriticalCurrent

Links

Images

Classifications

Landscapes

Abstract

The invention relates to a practical magnetic gradient tensor high-precision single-point positioning method, which comprises the following steps: s100: measuring vector values of magnetic fields at eight vertexes of a cube through a cube array consisting of eight three-component magnetometers; s200: obtaining a magnetic gradient tensor matrix G on six surfaces of a cube through calculationmM ═ x, -x, + y, -y, + z, -z; s300: by calculating the invariants of each surface
Figure DDA0002773514490000011
m ═ x, -x, + y, -y, + z, -z; calculating the values of a, b and c, wherein a ═ I1+x/I1‑x|,b=|I1+y/I1‑y|,c=|I1+z/I1‑zL, |; s500, judging the values of a, b and c, if any value exceeds the upper and lower limit thresholdsAnd (4) determining that the magnetic anomaly exists, and positioning the magnetic anomaly by using an optimization algorithm by using 12 positioning equations in the formula (12). The invention makes the invariants at the central points of six surfaces of the cubic array
Figure DDA0002773514490000012
As a basis for judging whether the magnetic anomaly exists, the practicability of the magnetic gradient tensor single-point positioning method is greatly improved.

Description

Practical magnetic gradient tensor high-precision single-point positioning method
Technical Field
The invention belongs to the field of magnetic detection, and particularly relates to a practical magnetic gradient tensor high-precision single-point positioning method.
Background
Magnetic gradient tensor detection is a new geophysical observation means and gradually becomes a research hotspot of magnetic measurement technology, has many advantages which are not possessed by traditional magnetic total field and magnetic vector detection methods, has extremely rich magnetic target body information quantity presented by magnetic gradient tensor data in different directions, can describe characteristics of a geologic body more accurately, and is currently applied to identification and positioning of magnetic target bodies, such as hidden geologic body exploration, UXO detection, anti-latency and the like, and has wide application prospects in military, environment, resource exploration and other aspects (2008. wu wealth, liu Tian you. magnetic gradient tensor measurement and application). Conventionally, a magnetic gradient tensor detection method (2006.Nara T, Suzuki S, Ando S, a closed-form for magnetic gradient localization by means of magnetic field and spatial gradients) that uses magnetic field vectors and magnetic gradient tensor data only needs single-point observation to achieve the purpose of target localization, can reduce non-uniqueness of solutions, and does not need to increase more observation quantities.
As shown in FIG. 1, three components of the magnetic field (B)x,By,Bz) The derivatives in three directions in space xyz constitute the magnetic gradient tensor, which comprises a total of nine elements, denoted G, as follows:
Figure BDA0002773514470000011
in actual measurement, differentiation is often replaced by difference:
Figure BDA0002773514470000012
from Maxwell's equation, the divergence and rotation of the B field (magnetic field) are zero, i.e. the tensor matrix has an intangible property and symmetry, and is obtained as follows:
Figure BDA0002773514470000021
as can be seen from equation (3), only five of the nine elements in the magnetic gradient tensor matrix are independent. The magnetic gradient tensor matrix also has three invariants, namely rotation invariants, which are not influenced by the rotation of the three-dimensional coordinate system around the coordinate origin and are respectively expressed as
Figure BDA0002773514470000022
The linear relation between the magnetic dipole position information and the magnetic field vector and magnetic gradient tensor matrix of the position is deduced by Nara et al, namely, the following relation is established in the conventional single-point positioning algorithm based on the magnetic field vector and the magnetic gradient tensor:
Figure BDA0002773514470000023
three-component magnetic field value (B) at known magnetic gradient tensor matrix and corresponding magnetic dipolex,By,Bz) The position information of the magnetic dipole can be obtained:
Figure BDA0002773514470000024
but due to the magnetic field vector (B)x,By,Bz) For the magnetic field vector generated by the magnetic dipole at a certain point, it is difficult to obtain the measurement value in the presence of the earth magnetic field, and the method is usually applied to the field vector which is generated by the magnetic dipole at a certain pointKnowing the scene of the geomagnetic background field greatly limits the application range of the algorithm.
Since the gradient values of the geomagnetic field are typically much smaller than those of the magnetic extraordinary field, about 20nT/km (vertical direction) and 5nT/km (horizontal direction), they can be ignored from the measured magnetic gradient tensor. Based on the characteristic of a geomagnetic field, aiming at the defects of a conventional magnetic gradient tensor single-point positioning algorithm, Wiegert and the like (2008.R Wiegert, K Lee, Oeschager J.Improved magnetic STAR Methods for real-time, point-by-point localization of unknown and buried mines) of the U.S. naval water surface operation center, a cube array MagSTAR system comprising eight three-component flux gates is developed, and a STAR positioning method is provided, wherein the method is not influenced by a geomagnetic background field, has the advantages of good real-time performance, single-point positioning and the like, but has an elliptic coefficient, so that a positioning result has an obvious non-spherical error and cannot realize high-precision positioning; based on the same array structure, a magnetic gradient tensor positioning method based on difference is provided by the Tao et al (2014, Luwei, Liheng, Zymuo, a target positioning improvement method based on magnetic gradient tensor), and three new positioning equations are obtained by respectively solving partial differentiation on z on two sides of an equation (5):
Figure BDA0002773514470000031
wherein,
Figure BDA0002773514470000032
it can be seen that, in the equation (7), the magnetic field vector term on the right side of the equation (5) is converted into the difference of the magnetic field vectors by using a difference method, which eliminates the influence of the geomagnetic background field and other common-mode interferences to a great extent, and can realize real-time and high-precision single-point positioning. However, this method still faces two major problems in practical use: the method has the advantages that firstly, the practicability problem is solved, and under the condition that no magnetic anomaly exists or a magnetic anomaly signal is weak, due to the fact that no proper magnetic anomaly judgment standard exists, when the formula (7) is directly adopted for positioning, the square matrix of the formula (8) is a singular matrix or is close to the singular matrix, and an error positioning result is caused; secondly, the application range is limited, and the square matrix of the formula (8) only adopts the differential of the magnetic gradient tensor matrix in the z-axis direction, but does not adopt the differential of the x-axis direction and the y-axis direction, so that the magnetic anomaly of some axial magnetic moments cannot be effectively positioned.
The invention is especially provided for solving the problems of large influence by a geomagnetic background field, poor positioning precision, poor practicability, limited application range and the like of the existing magnetic gradient tensor single-point positioning algorithm.
Disclosure of Invention
The invention aims to provide a practical magnetic gradient tensor high-precision single-point positioning method which can solve the problems that the existing magnetic gradient tensor single-point positioning algorithm is greatly influenced by a geomagnetic background field, is poor in positioning precision, is poor in practicability and is limited in application range.
The technical scheme of the invention is as follows: a practical magnetic gradient tensor high-precision single-point positioning method comprises the following steps:
s100: measuring vector values of magnetic fields at eight vertexes of a cube through a cube array consisting of eight three-component magnetometers;
s200: obtaining a magnetic gradient tensor matrix G on six surfaces of a cube through calculationm
m=+x,-x,+y,-y,+z,-z;
S300: by calculating the invariants of each surface
Figure BDA0002773514470000041
m=+x,-x,+y,-y,+z,-z;
Calculating the values of a, b and c, wherein a ═ I1+x/I1-x|,b=|I1+y/I1-y|,c=|I1+z/I1-z|;
S500, judging the values of a, b and c, if any value exceeds the upper and lower limit threshold values, determining that magnetic anomaly exists, adopting 12 positioning equations in the formula (12) at the moment, and realizing the positioning of the magnetic anomaly through an optimization algorithm
Figure BDA0002773514470000042
Further, the magnetic gradient tensor matrix G in the step S200+zAnd G-zObtained from the following equations (9) and (10),
Figure BDA0002773514470000043
Figure BDA0002773514470000044
respectively solving G in the same way-x,G+x,G-y,G+yNine tensor elements.
Further, the invariant on each plane in the step S300
Figure BDA0002773514470000045
m ═ x, -x, + y, -y, + z, and-z, as determined by formula (4),
Figure BDA0002773514470000051
further, in step S500, if none of the values a, b, and c exceeds the upper and lower threshold values, it is determined that there is no magnetic anomaly or the magnetic anomaly is far away from the threshold values, and the magnetic anomaly cannot be located.
Further, the upper and lower threshold values in step S500 are respectively: the upper threshold range is 1.05-1.50, and the lower threshold range is 0.50-0.95.
Optionally, the three-component magnetometer is a vector magnetic sensor such as a fluxgate sensor, a GMR sensor, or a TMR sensor.
Further, the cube array composed of eight three-component magnetometers is composed of magnetometers with the numbers of 1-8, the side length of the cube is d, and eight components are arrangedThe measurement value of the three-component magnetometer is represented as
Figure BDA0002773514470000052
Further, the magnetic gradient tensor matrix G in the six faces of the cubic arraymM ═ x, -x, + y, -y, + z, -z, is determined from measurements made by a three-component magnetometer, where G is+xDetermined by 1458 magnetometer, G-xFound by 2367 magnetometer, G+yDetermined by 3478 magnetometer, G-yDetermined by a 1256 magnetometer, G+zDetermined by 1234 magnetometer, G-zDetermined by 5678 magnetometer.
The advantages of the present invention over the prior art are as follows.
1. Under the condition of the existence of the geomagnetic field, the influence of the geomagnetic field can be effectively inhibited by adopting a magnetic gradient tensor matrix difference method, and the high-precision single-point positioning of magnetic anomaly is realized.
2. The invention makes the invariants at the central points of six surfaces of the cubic array
Figure BDA0002773514470000053
The m ═ x, -x, + y, -y, + z, -z are used as the basis for judging whether the magnetic anomaly exists, the problem that the magnetic anomaly exists and the positioning is carried out is effectively solved, and the practicability of the magnetic gradient tensor single-point positioning method is greatly improved.
3. The method solves partial differentiation of x, y and z by the conventional magnetic gradient tensor positioning equation to obtain 12 positioning equations, and then solves 3 position variables by the optimization algorithm.
Drawings
Figure 1 is a schematic diagram of the relationship between total magnetic field strength, magnetic vector field, and magnetic gradient tensor.
FIG. 2 is a schematic diagram of a cubic array of eight three-component magnetometers as used by the invention.
Detailed Description
The practical magnetic gradient tensor high-precision single-point positioning method of the invention is further explained below with reference to the attached drawings. It should be noted that the following examples are only for explaining the technical solution of the present invention and are not to be construed as limiting the present invention.
As shown in FIG. 2, the practical magnetic gradient tensor high-precision single-point positioning method adopts eight three-component magnetometers to form a cube array to obtain magnetic field vector values, wherein the eight three-component magnetometers are respectively 1-8 in reference number, the upper four three-component magnetometers are respectively 1-4 in reference number, the lower four three-component magnetometers are respectively 5-8 in reference number, and the side length of the cube is d. The three-component magnetometer may be one of vector magnetic sensors such as a fluxgate sensor, a GMR sensor, or a TMR sensor.
The measurement values of the eight three-component magnetometers are expressed as
Figure BDA0002773514470000061
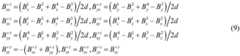
The magnetic gradient tensor matrix G of the six faces of the cubic array can be obtainedmAnd m ═ x, -x, + y, -y, + z, -z. Wherein G is+xCan be determined by 1458 magnetometer, G-xCan be obtained by 2367 magnetometer, G+yCan be determined by 3478 magnetometer, G-yCan be determined by a 1256 magnetometer, G+zCan be determined by 1234 magnetometer, G-zCan be determined by 5678 magnetometer. Here, G is first determined+zNine elements of (c):
Figure BDA0002773514470000062
finding G-zThe nine elements of (a) are:
Figure BDA0002773514470000071
by the same method, G can be obtained-x,G+x,G-y,G+yNine tensor elements. After the magnetic gradient tensor matrix on the six faces of the cube is obtained, the magnetic gradient tensor matrix can be further processedEquation (4) to determine the invariants I on each side1mAnd m ═ x, -x, + y, -y, + z, -z. According to a differential equation, the gradient value of the magnetic gradient tensor at the right center point of the cube can be obtained by replacing differential with differential:
Figure BDA0002773514470000072
in practice, when the partial differential is obtained by the equation (5), the partial differential is obtained for x, y, and z, respectively
Figure BDA0002773514470000073
It can be known that when the above formula i is x, y, z respectively, 12 positioning equations can be obtained, and 3 position variables can be obtained through an optimization algorithm, which is more general and wider in application range than 3 equations obtained through derivation by billows and the like.
This patent is based on the invariant I1The characteristic that the magnetic moment and the position parameter change along with the change of the attitude angle is not used as the basis for judging whether the magnetic anomaly exists or not. When no magnetic anomaly exists, the magnetic field gradient value of the geomagnetic background field is ignored, and the following requirements are met:
Figure BDA0002773514470000074
in actual detection, if the above equation is not satisfied, compensation can be performed in an environment of an approximately zero gradient field. And when the magnetic anomaly exists, the equation is not satisfied, and the following conditions are satisfied:
Figure BDA0002773514470000075
a specific example of high precision single point localization of the magnetic gradient tensor is given here: the eight three-component fluxgate magnetometers form a cubic array, and the fluxgate array respectively measures magnetic field vector values at eight vertexes of the cube, and thenThen, magnetic gradient tensor matrix G on six surfaces of the cube is obtained by respectively calculating through an equation (9) and an equation (10)mM is + x, -x, + y, -y, + z, -z, and then the invariants on six planes are obtained
Figure BDA0002773514470000081
m ═ x, -x, + y, -y, + z, -z; and (3) respectively calculating the values of a, b and c by the formula (14), judging the values, if any value exceeds an upper limit threshold and a lower limit threshold, determining that magnetic anomaly exists, adopting 12 positioning equations in the formula (12) at the moment, and realizing magnetic anomaly positioning through an optimization algorithm, otherwise, determining that the magnetic anomaly does not exist or the magnetic anomaly is far in distance (namely, the magnetic anomaly signal is weak), and failing to realize the magnetic anomaly positioning.
In the invention, the threshold range can be self-defined, the upper threshold range is generally selected to be 1.05-1.50, the lower threshold range is generally selected to be 0.50-0.95, and the numerical value indicates that the abnormal body is larger or closer to the abnormal body during detection.
The embodiments in the above description are only for illustrating the present invention, and do not limit the scope of the present invention. The scope of the present invention is defined only by the appended claims, and any omissions, substitutions, or modifications made based on the embodiments disclosed herein will fall within the scope of the present invention.

Claims (8)

1. A practical magnetic gradient tensor high-precision single-point positioning method is characterized by comprising the following steps:
s100: measuring vector values of magnetic fields at eight vertexes of a cube through a cube array consisting of eight three-component magnetometers;
s200: obtaining a magnetic gradient tensor matrix G on six surfaces of a cube through calculationm
m=+x,-x,+y,-y,+z,-z;
S300: by calculating the invariants of each surface
Figure FDA0002773514460000011
S400, calculating a according to the calculation,b, c, wherein a ═ I1+x/I1-x|,b=|I1+y/I1-y|,c=|I1+z/I1-z|;
S500, judging the values of a, b and c, if any value exceeds the upper and lower limit threshold values, determining that magnetic anomaly exists, adopting 12 positioning equations in the formula (12) at the moment, and realizing the positioning of the magnetic anomaly through an optimization algorithm
Figure FDA0002773514460000012
2. The practical magnetic gradient tensor high-precision single-point positioning method as set forth in claim 1, wherein the magnetic gradient tensor matrix G in the step S200+zAnd G-zObtained from the following equations (9) and (10),
Figure FDA0002773514460000013
Figure FDA0002773514460000014
respectively solving G in the same way-x,G+x,G-y,G+yNine tensor elements.
3. The practical magnetic gradient tensor high-precision single-point positioning method as set forth in claim 1, wherein the invariant on each surface in the step S300
Figure FDA0002773514460000021
The compound is obtained by the following formula (4),
Figure FDA0002773514460000022
4. the practical magnetic gradient tensor high-precision single-point positioning method as set forth in claim 1, wherein in the step S500, if none of the values of a, b and c exceeds the upper and lower threshold values, it is determined that there is no magnetic anomaly or the magnetic anomaly is far away from the threshold values, and the magnetic anomaly positioning cannot be realized.
5. The practical high-precision single-point positioning method of magnetic gradient tensor according to claim 4, wherein the upper and lower threshold values are respectively: the upper threshold range is 1.05-1.50, and the lower threshold range is 0.50-0.95.
6. The method as claimed in claim 1, wherein the three-component magnetometer is a vector magnetic sensor such as a fluxgate sensor, a GMR sensor or a TMR sensor.
7. The practical high-precision single-point positioning method of magnetic gradient tensor as set forth in claim 1, wherein the cubic array consisting of eight three-component magnetometers consists of magnetometers with the numbers 1-8, the side length of the cube is d, and the measurement values of the eight three-component magnetometers are expressed as
Figure FDA0002773514460000023
8. The practical magnetic gradient tensor high-precision single-point positioning method as set forth in claim 7, wherein the magnetic gradient tensor matrix G in the six faces of the cubic arraymM ═ x, -x, + y, -y, + z, -z, is determined from measurements made by a three-component magnetometer, where G is+xDetermined by 1458 magnetometer, G-xFound by 2367 magnetometer, G+yDetermined by 3478 magnetometer, G-yDetermined by a 1256 magnetometer, G+zDetermined by 1234 magnetometer, G-zDetermined by 5678 magnetometer.
CN202011257425.2A2020-11-122020-11-12Practical magnetic gradient tensor high-precision single-point positioning methodPendingCN112362048A (en)

Priority Applications (1)

Application NumberPriority DateFiling DateTitle
CN202011257425.2ACN112362048A (en)2020-11-122020-11-12Practical magnetic gradient tensor high-precision single-point positioning method

Applications Claiming Priority (1)

Application NumberPriority DateFiling DateTitle
CN202011257425.2ACN112362048A (en)2020-11-122020-11-12Practical magnetic gradient tensor high-precision single-point positioning method

Publications (1)

Publication NumberPublication Date
CN112362048Atrue CN112362048A (en)2021-02-12

Family

ID=74514348

Family Applications (1)

Application NumberTitlePriority DateFiling Date
CN202011257425.2APendingCN112362048A (en)2020-11-122020-11-12Practical magnetic gradient tensor high-precision single-point positioning method

Country Status (1)

CountryLink
CN (1)CN112362048A (en)

Cited By (3)

* Cited by examiner, † Cited by third party
Publication numberPriority datePublication dateAssigneeTitle
CN113253162A (en)*2021-06-182021-08-13上海交通大学Micro-electro-mechanical system fluxgate geomagnetic tensor sensing chip
CN114413884A (en)*2022-03-292022-04-29西南民族大学 Positioning method, device and storage medium based on magnetic gradiometer array
CN114739275A (en)*2022-04-292022-07-12中国人民解放军陆军工程大学 A magnetic target localization method and system based on a regular hexahedral magnetic detection device

Citations (6)

* Cited by examiner, † Cited by third party
Publication numberPriority datePublication dateAssigneeTitle
CN105891755A (en)*2016-02-252016-08-24吉林大学Aircraft hanging-type fluxgate magnetic gradient tensor instrument correction method
US20160356873A1 (en)*2014-02-102016-12-08Cr Development AbMethod for quantifying isotropic diffusion and/or anisotropic diffusion in a sample
CN108050999A (en)*2017-11-282018-05-18南京理工大学A kind of infrared and earth magnetism composite rotating body of new breath orthogonality surveys attitude positioning method
CN108333551A (en)*2018-02-142018-07-27中国科学院电子学研究所A kind of bearing calibration of magnetometer
CN109725360A (en)*2019-01-252019-05-07中北大学 Single-point localization method based on magnetic gradient tensor invariant
CN110333536A (en)*2019-07-222019-10-15哈尔滨工程大学 A Range-Measuring Linear Positioning Algorithm

Patent Citations (6)

* Cited by examiner, † Cited by third party
Publication numberPriority datePublication dateAssigneeTitle
US20160356873A1 (en)*2014-02-102016-12-08Cr Development AbMethod for quantifying isotropic diffusion and/or anisotropic diffusion in a sample
CN105891755A (en)*2016-02-252016-08-24吉林大学Aircraft hanging-type fluxgate magnetic gradient tensor instrument correction method
CN108050999A (en)*2017-11-282018-05-18南京理工大学A kind of infrared and earth magnetism composite rotating body of new breath orthogonality surveys attitude positioning method
CN108333551A (en)*2018-02-142018-07-27中国科学院电子学研究所A kind of bearing calibration of magnetometer
CN109725360A (en)*2019-01-252019-05-07中北大学 Single-point localization method based on magnetic gradient tensor invariant
CN110333536A (en)*2019-07-222019-10-15哈尔滨工程大学 A Range-Measuring Linear Positioning Algorithm

Non-Patent Citations (3)

* Cited by examiner, † Cited by third party
Title
JIHAO LIU 等: "A Real-Time Magnetic Dipole Localization Method Based on Cube Magnetometer Array", 《IEEE TRANSACTIONS ON MAGNETICS》*
尹刚 等: "基于磁异常反演的磁航向误差实时补偿方法", 《武汉大学学报》*
段晓倩 等: "基于磁矩梯度张量的单点定位方法", 《兵器装备工程学报》*

Cited By (5)

* Cited by examiner, † Cited by third party
Publication numberPriority datePublication dateAssigneeTitle
CN113253162A (en)*2021-06-182021-08-13上海交通大学Micro-electro-mechanical system fluxgate geomagnetic tensor sensing chip
CN113253162B (en)*2021-06-182022-04-26上海交通大学Micro-electro-mechanical system fluxgate geomagnetic tensor sensing chip
CN114413884A (en)*2022-03-292022-04-29西南民族大学 Positioning method, device and storage medium based on magnetic gradiometer array
CN114413884B (en)*2022-03-292022-07-15西南民族大学 Positioning method, device and storage medium based on magnetic gradiometer array
CN114739275A (en)*2022-04-292022-07-12中国人民解放军陆军工程大学 A magnetic target localization method and system based on a regular hexahedral magnetic detection device

Similar Documents

PublicationPublication DateTitle
CN107272069B (en) Magnetic target tracking method based on magnetic anomalous gradient
CN110095738B (en) Parameter design method of magnetic gradiometer
CN112362048A (en)Practical magnetic gradient tensor high-precision single-point positioning method
CN106546235B (en) A Magnetic Target Location Method Based on Carrier Compensation
US6888353B1 (en)Magnetic anomaly homing system and method using magnetic total field scalars
CN109725361B (en) A Magnetic Target Localization Method Based on Magnetic Gradient Tensor Invariant
CN111399066B (en) A Method for Processing Scalar Magnetic Anomaly Gradient Signals Based on Orthogonal Basis Functions
CN108227005A (en)A kind of target positioning and recognition methods
CN109725360B (en) Single-point localization method based on magnetic gradient tensor invariant
CN108931241A (en)Magnetic target one-point positioning method based on the total field gradient of magnetic and magnetic tensor modulus gradient
CN113886753B (en) Tilt France Aeromagnetic Boundary Detection Method and Device Based on Tensor Eigenvalues
CN115096294B (en)Multi-parameter underwater magnetic target positioning method
Xu et al.Magnetic target linear location method using two-point gradient full tensor
CN110274586A (en)Magnetic air compensation method comprising the compensation of more spectrum atom magnetometer deflection errors
CN113886754B (en) A method and device for detecting the magnetic boundary of the Theta Map based on tensor eigenvalues
CN113917544A (en) A fast delineation method for near-surface target positions based on magnetic gradient tensor eigenvalues
CN109633540B (en) A real-time positioning system and real-time positioning method of a magnetic source
CN112749493A (en)Geologic body boundary detection method and system based on full magnetic gradient tensor eigenvalue
CN115728829A (en)Magnetic target positioning method based on magnetic gradient full tensor
CN116609839B (en) A variable structure underwater ferromagnetic anomaly positioning method based on magnetic gradient tensor
CN112050799A (en) A Ranging and Positioning Method Based on the Ratio of Magnetic Gradient Tensor Condensation
CN108520112A (en) A Compensation Method for Aircraft Disturbance Magnetic Field Based on Tychonoff Regularization
CN117631058A (en)Magnetic target positioning method based on normalized magnetic source intensity
CN109633539B (en)Static positioning device and static positioning method for magnetic source
CN109633541B (en) A magnetic source positioning device and a magnetic source positioning method

Legal Events

DateCodeTitleDescription
PB01Publication
PB01Publication
SE01Entry into force of request for substantive examination
SE01Entry into force of request for substantive examination
RJ01Rejection of invention patent application after publication
RJ01Rejection of invention patent application after publication

Application publication date:20210212


[8]ページ先頭

©2009-2025 Movatter.jp