Movatterモバイル変換


[0]ホーム

URL:


CN112347583B - Method for calculating limit internal pressure of double-defect-contained bent pipe of booster station - Google Patents

Method for calculating limit internal pressure of double-defect-contained bent pipe of booster station
Download PDF

Info

Publication number
CN112347583B
CN112347583BCN202011234963.XACN202011234963ACN112347583BCN 112347583 BCN112347583 BCN 112347583BCN 202011234963 ACN202011234963 ACN 202011234963ACN 112347583 BCN112347583 BCN 112347583B
Authority
CN
China
Prior art keywords
defect
defects
internal pressure
bent pipe
double
Prior art date
Legal status (The legal status is an assumption and is not a legal conclusion. Google has not performed a legal analysis and makes no representation as to the accuracy of the status listed.)
Expired - Fee Related
Application number
CN202011234963.XA
Other languages
Chinese (zh)
Other versions
CN112347583A (en
Inventor
孔令圳
刘慧�
黄坤
周夏伊
何雨珂
Current Assignee (The listed assignees may be inaccurate. Google has not performed a legal analysis and makes no representation or warranty as to the accuracy of the list.)
Southwest Petroleum University
Original Assignee
Southwest Petroleum University
Priority date (The priority date is an assumption and is not a legal conclusion. Google has not performed a legal analysis and makes no representation as to the accuracy of the date listed.)
Filing date
Publication date
Application filed by Southwest Petroleum UniversityfiledCriticalSouthwest Petroleum University
Priority to CN202011234963.XApriorityCriticalpatent/CN112347583B/en
Publication of CN112347583ApublicationCriticalpatent/CN112347583A/en
Application grantedgrantedCritical
Publication of CN112347583BpublicationCriticalpatent/CN112347583B/en
Expired - Fee Relatedlegal-statusCriticalCurrent
Anticipated expirationlegal-statusCritical

Links

Images

Classifications

Landscapes

Abstract

Translated fromChinese

本发明公开了一种增压站含双缺陷弯管极限内压的计算方法,包括以下步骤:首先根据增压站弯管的资料,确定弯管、弯管缺陷的基础数据,然后根据轴向和环向相互作用极限距离的判定条件,判断缺陷之间是否存在相互影响,如果缺陷之间相互影响很小,则可以按照单个缺陷计算方法来处理,如果缺陷间的相互影响不可忽略,则弯管极限内压必须考虑缺陷之间的相互影响;本发明揭示了双缺陷间相互影响对弯管极限载荷的影响,并确定了双缺陷间发生相互影响的临界距离,提出了适用于增压站内双缺陷弯管极限载荷的预测公式,对于保障管道安全运行及减少经济损失意义重大。

Figure 202011234963

The invention discloses a method for calculating the ultimate internal pressure of a double-defect elbow in a booster station, comprising the following steps: first, according to the elbow data of the booster station, determine the basic data of elbow and elbow defects, and then according to the axial direction and the judgment condition of the hoop interaction limit distance, to judge whether there is mutual influence between the defects. If the mutual influence between the defects is small, it can be processed according to the calculation method of a single defect. If the mutual influence between the defects is not negligible, the bending The ultimate internal pressure of the pipe must consider the interaction between the defects; the invention discloses the influence of the interaction between the double defects on the ultimate load of the elbow, and determines the critical distance for the interaction between the double defects. The prediction formula of the ultimate load of double-defect elbows is of great significance to ensure the safe operation of pipelines and reduce economic losses.

Figure 202011234963

Description

Method for calculating limit internal pressure of double-defect-contained bent pipe of booster station
Technical Field
The invention relates to a method for calculating the limit internal pressure of a bent pipe with defects in a pressurizing station, in particular to a method for calculating the limit internal pressure of a bent pipe with double defects.
Background
At present, domestic and foreign researchers generally have two analysis methods aiming at the research of the limit load of the bent pipe with the defect: the first method is a calculation method for the limit internal pressure of the elbow pipe with the defects based on a straight pipe formula, and the second method is a calculation formula for the limit internal pressure which is fitted according to finite element results; however, the influence of the single defect on the limit load of the bent pipe is mainly considered, the defects caused by corrosion, erosion and the like of the actual pipeline often appear in the form of double defects and multiple defects, and adjacent defects may have mutual influence under the conditions of the double defects and the multiple defects, so that the calculation is inaccurate according to the single-defect bent pipe limit internal pressure formula. The interaction criterion of the corrosion defects proposed by the current scholars at home and abroad is mostly established on the basis of the axial or annular double-point corrosion defects of the straight pipe, and whether the influence of the change of the distance between the double-point corrosion defects of the bent pipe on the extreme pressure is still consistent with the influence rule of the double-point corrosion defects of the straight pipe is to be further researched.
Disclosure of Invention
Aiming at the problems in the prior art, the invention provides a method for calculating the limit internal pressure of a double-defect bent pipe of a booster station, which comprises the following steps:
the method comprises the following steps: according to the related data of the bent pipe of the booster station, the outer diameter D, the wall thickness t, the bending radius R and the tensile strength sigma of the bent pipe are determinedbDefect length L, depth d, width w, axial spacing SlAnnular spacing Sc
Step two: when the double defects are mutually influenced, the following two conditions are simultaneously met:
Figure BDA0002766499660000011
(1) when the positions of the two defects cannot meet the conditions at the same time, the mutual influence between the two defects can be ignored, the limit internal pressure of the bent pipe when the two single defects exist can be respectively calculated, then the smaller value of the limit internal pressure is taken as the limit internal pressure of the bent pipe with the double defects, and the axial length coefficient, the circumferential width coefficient and the depth coefficient of the defects meet the following conditions:
Figure BDA0002766499660000021
l is the single defect axial length;
b is w/pi D, w is the single defect annular width;
d is the single defect depth;
(2) when two adjacent defects simultaneously satisfy the above conditions, it is indicated that mutual influence occurs between the two defects, and the lengths of the two defects are respectively L1And L2Defect widths are w respectively1And w2The depth of the defect is d1And d2Axial spacing of defect SlDistance S in circumferential directioncThen, there are:
equivalent length of defect: l iseq=L1+Sl+L2
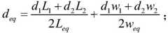
Equivalent width of defect: w is aeq=w1+Sc+w2
Equivalent depth of defect:
Figure BDA0002766499660000022
at the moment, the axial length coefficient, the circumferential width coefficient and the depth coefficient of the defect meet the following conditions:
Figure BDA0002766499660000023
Leqis the equivalent length of the defect;
b=weq/πD,weqis the equivalent width of the defect;
c=deq/t,deqis the equivalent depth of the defect;
step three: and (3) substituting the parameters into the following extreme internal pressure calculation formula, and finally calculating the extreme internal pressure of the double-defect bent pipe:
Figure BDA0002766499660000024
in the formula, P is the limit internal pressure of the defect bent pipe, MPa;
P0-defect free bend limit internal pressure, MPa;
σf-the flow stress, taken here is the tensile strength of the bend, MPa;
t is the wall thickness of the bent pipe, mm;
r-bend radius, mm;
r is the bending radius of the bent pipe, mm;
a-defect length coefficient;
b-defect width factor;
c-defect depth coefficient.
The invention has the advantages and positive effects that:
the invention provides a method for calculating the limit internal pressure of a double-defect bent pipe of a booster station, which is based on a single-defect bent pipe limit internal pressure calculation formula, considers the influence of the interaction between adjacent defects on the limit internal pressure of the bent pipe, combines the judgment conditions of axial and circumferential interaction limit distances, provides a method for calculating the limit internal pressure of the double-defect bent pipe, and perfects the method for calculating the limit internal pressure of the defective bent pipe. Compared with the ABAQUS software numerical simulation result, the method has the advantages of small error and good applicability, and can provide suggestions for timely maintenance and replacement of the pipeline.
Drawings
FIG. 1 is a flow chart of a method for calculating the limit internal pressure of a double-defect-containing elbow of a booster station provided by the invention.
Detailed Description
In order to make the objects, technical solutions and advantages of the present invention more apparent, the present invention is further described in detail with reference to the following embodiments. It should be understood that the specific embodiments described herein are merely illustrative of the invention and are not intended to limit the invention.
The application of the principles of the present invention will now be further described with reference to specific examples.
Example (c): the gas transmission elbow pipe in a certain pressurizing station is made of X60 steel, the pipe diameter is 508mm, the wall thickness is 22.23mm, the working pressure is 8Mpa, and the inner wall of the elbow pipe is eroded by scouring of the transmission medium.
The first step is as follows: the basic data for determining the elbow based on the elbow related data of the booster station are shown in the following table 1.
TABLE 1 supercharging station bend basic data
Figure BDA0002766499660000031
Two adjacent defects are assumed to be defects with the same size, and the sizes, the axial spacing and the circumferential spacing of the defects are shown in table 2.
TABLE 2 Dual Defect size and location data
Figure BDA0002766499660000041
The second step is that: according to the judgment condition of the axial and circumferential interaction limit distance, judging that the double defects of the bent pipe in 9 calculation examples have mutual influence, wherein the related parameters of the calculated defects are shown in the following table 3:
TABLE 3 Defect-related parameters
Figure BDA0002766499660000042
According to the coefficient formula, the results of calculating the axial length coefficient, the circumferential width coefficient and the depth coefficient of the defect are shown in the following table 4.
Figure BDA0002766499660000043
LeqIs the equivalent length of the defect;
b=weq/πD,weqis the equivalent width of the defect;
c=deq/t,deqis the equivalent depth of the defect;
TABLE 4 Defect correlation coefficients
Figure BDA0002766499660000044
Figure BDA0002766499660000051
The third step: and (3) substituting the parameters into the following extreme internal pressure calculation formula, and finally calculating the extreme internal pressure of the double-defect bent pipe:
Figure BDA0002766499660000052
the ultimate pressure of the composite double-defect bent pipe in the table is calculated according to the method, and the result obtained by formula calculation is compared with the finite element result for verification, as shown in table 4.
TABLE 4 comparison of ABAQUS analog values with formula calculation results
Figure BDA0002766499660000053
The comparison of formula calculation values and finite element simulation results in the table shows that the calculation results of the two methods are relatively close, the maximum error is 8.1%, the minimum error is 1.0%, and the average error is 5.1%. The method can be used for calculating the limit internal pressure of the elbow containing the double defects.
The above description is only for the purpose of illustrating the preferred embodiments of the present invention and is not to be construed as limiting the invention, and any modifications, equivalents and improvements made within the spirit and principle of the present invention are intended to be included within the scope of the present invention.

Claims (1)

1. A method for calculating the limit internal pressure of a double-defect bent pipe of a pressurizing station comprises the following steps:
the method comprises the following steps: according to the related data of the bent pipe of the booster station, the outer diameter D, the wall thickness t, the bending radius R and the tensile strength sigma of the bent pipe are determinedbDefect length L, depth d, width w, axial spacing SlAnnular spacing Sc
Step two: when the double defects are mutually influenced, the following two conditions are simultaneously met:
Figure FDA0002766499650000011
(1) when the positions of the two defects cannot meet the conditions at the same time, the mutual influence between the two defects can be ignored, the limit internal pressure of the bent pipe when the two single defects exist can be respectively calculated, then the smaller value of the limit internal pressure is taken as the limit internal pressure of the composite double-defect bent pipe, and the axial length coefficient, the circumferential width coefficient and the depth coefficient of the defects meet the following conditions:
Figure FDA0002766499650000012
l is the single defect axial length;
b is w/pi D, w is the single defect annular width;
d is the single defect depth;
(2) when two adjacent defects simultaneously satisfy the above conditions, it is indicated that mutual influence occurs between the two defects, and the lengths of the two defects are respectively L1And L2Defect widths are w respectively1And w2The depth of the defect is d1And d2Axial spacing of defect SlDistance S in circumferential directioncThen, there are:
equivalent length of defect: l iseq=L1+Sl+L2
Equivalent width of defect: w is aeq=w1+Sc+w2
Equivalent depth of defect:
Figure FDA0002766499650000013
at the moment, the axial length coefficient, the circumferential width coefficient and the depth coefficient of the defect meet the following conditions:
Figure FDA0002766499650000014
Leqis the equivalent length of the defect;
b=weq/πD,weqis the equivalent width of the defect;
c=deq/t,deqis the equivalent depth of the defect;
step three: and (3) substituting the parameters into the following extreme internal pressure calculation formula, and finally calculating the extreme internal pressure of the double-defect bent pipe:
Figure FDA0002766499650000015
in the formula, P is the limit internal pressure of the defect bent pipe, MPa;
P0-defect free bend limit internal pressure, MPa;
σf-the flow stress, taken here is the tensile strength of the bend, MPa;
t is the wall thickness of the bent pipe, mm;
r-bend radius, mm;
r is the bending radius of the bent pipe, mm;
a-defect length coefficient;
b-defect width factor;
c-defect depth coefficient.
CN202011234963.XA2020-11-082020-11-08Method for calculating limit internal pressure of double-defect-contained bent pipe of booster stationExpired - Fee RelatedCN112347583B (en)

Priority Applications (1)

Application NumberPriority DateFiling DateTitle
CN202011234963.XACN112347583B (en)2020-11-082020-11-08Method for calculating limit internal pressure of double-defect-contained bent pipe of booster station

Applications Claiming Priority (1)

Application NumberPriority DateFiling DateTitle
CN202011234963.XACN112347583B (en)2020-11-082020-11-08Method for calculating limit internal pressure of double-defect-contained bent pipe of booster station

Publications (2)

Publication NumberPublication Date
CN112347583A CN112347583A (en)2021-02-09
CN112347583Btrue CN112347583B (en)2022-01-28

Family

ID=74429961

Family Applications (1)

Application NumberTitlePriority DateFiling Date
CN202011234963.XAExpired - Fee RelatedCN112347583B (en)2020-11-082020-11-08Method for calculating limit internal pressure of double-defect-contained bent pipe of booster station

Country Status (1)

CountryLink
CN (1)CN112347583B (en)

Families Citing this family (1)

* Cited by examiner, † Cited by third party
Publication numberPriority datePublication dateAssigneeTitle
CN113569455A (en)*2021-08-042021-10-29西南石油大学 A calculation method for ultimate load of pipelines with internal and external double defects

Citations (11)

* Cited by examiner, † Cited by third party
Publication numberPriority datePublication dateAssigneeTitle
CN1724985A (en)*2004-07-242006-01-25陈孙艺Calculating method and calculating formula of equivalent bending moment caused by pressure in bend
CN203989377U (en)*2013-01-162014-12-10瑞思迈有限公司Patient interface, location and rock-steady structure, patient's connected system and buffer component
CN105243228A (en)*2015-10-302016-01-13鹿晓阳Establishment method for internal pressure distribution model of 90-degree curved pipe for crude oil transmission
CN108266289A (en)*2017-01-042018-07-10江南造船(集团)有限责任公司High-pressure gas double-wall pipe
CN108562495A (en)*2018-03-312018-09-21大连理工大学 A Calculation Method of Ultimate Internal Pressure of Intact Steel Pipeline
CN110405331A (en)*2019-07-162019-11-05东莞市金瑞五金股份有限公司A kind of molding liquid storage device manufacturing method of electric resistance welding
CN110695157A (en)*2019-10-222020-01-17浙江申吉钛业股份有限公司Method for bending titanium alloy thin-walled tube sharply
CN110991115A (en)*2019-12-112020-04-10苏州热工研究院有限公司Method for evaluating service life of key pressure-bearing component of thermal power over-service unit
CN111329551A (en)*2016-03-122020-06-26P·K·朗Augmented reality guidance for spinal and joint surgery
CN111486091A (en)*2019-11-212020-08-04山东青耕电气有限公司Single-cylinder rotor type liquid high-frequency reversing device and compressor thereof
CN111859259A (en)*2020-06-302020-10-30中国石油化工股份有限公司 A method and device for predicting the ultimate internal pressure bearing capacity of an intact pipeline

Family Cites Families (1)

* Cited by examiner, † Cited by third party
Publication numberPriority datePublication dateAssigneeTitle
US20060243336A1 (en)*2005-04-132006-11-02Ingenieria Equipos Y Control LtdaAnti-cavitation system in pipelines which avoids that the fluid reaches its vapour pressure at the output of a given contraction using a device that connects the output section of the contraction with its downstream pressure

Patent Citations (11)

* Cited by examiner, † Cited by third party
Publication numberPriority datePublication dateAssigneeTitle
CN1724985A (en)*2004-07-242006-01-25陈孙艺Calculating method and calculating formula of equivalent bending moment caused by pressure in bend
CN203989377U (en)*2013-01-162014-12-10瑞思迈有限公司Patient interface, location and rock-steady structure, patient's connected system and buffer component
CN105243228A (en)*2015-10-302016-01-13鹿晓阳Establishment method for internal pressure distribution model of 90-degree curved pipe for crude oil transmission
CN111329551A (en)*2016-03-122020-06-26P·K·朗Augmented reality guidance for spinal and joint surgery
CN108266289A (en)*2017-01-042018-07-10江南造船(集团)有限责任公司High-pressure gas double-wall pipe
CN108562495A (en)*2018-03-312018-09-21大连理工大学 A Calculation Method of Ultimate Internal Pressure of Intact Steel Pipeline
CN110405331A (en)*2019-07-162019-11-05东莞市金瑞五金股份有限公司A kind of molding liquid storage device manufacturing method of electric resistance welding
CN110695157A (en)*2019-10-222020-01-17浙江申吉钛业股份有限公司Method for bending titanium alloy thin-walled tube sharply
CN111486091A (en)*2019-11-212020-08-04山东青耕电气有限公司Single-cylinder rotor type liquid high-frequency reversing device and compressor thereof
CN110991115A (en)*2019-12-112020-04-10苏州热工研究院有限公司Method for evaluating service life of key pressure-bearing component of thermal power over-service unit
CN111859259A (en)*2020-06-302020-10-30中国石油化工股份有限公司 A method and device for predicting the ultimate internal pressure bearing capacity of an intact pipeline

Non-Patent Citations (1)

* Cited by examiner, † Cited by third party
Title
内压作用下含体积型缺陷弯管极限载荷研究;王佳音 等;《中国安全生产科学技术》;20190930;第15卷(第9期);第158-163页*

Also Published As

Publication numberPublication date
CN112347583A (en)2021-02-09

Similar Documents

PublicationPublication DateTitle
CN110765505B (en)Prediction method for limiting internal pressure of oil-gas pipeline with surface scratch composite depression
CN104607512B (en)Bend forming method of large-angle pipeline with high precision, large pipe diameter and small bending diameter ratio
CN112347583B (en)Method for calculating limit internal pressure of double-defect-contained bent pipe of booster station
CN112347414A (en)Single-defect bent pipe limit internal pressure calculation method
WO2024021415A1 (en)Combined pipe fitting and air conditioning system pipeline
CN104438509B (en)A kind of ultra-thin stainless steel bending tube forming method
CN105975678A (en)Method for predicting residual strength of oil and gas pipeline based on parameterized model
CN111595704A (en)Method for predicting fatigue life of continuous oil pipe
CN110181228B (en) A kind of manufacturing process of bimetal mechanical composite elbow
Korobkov et al.Numerical modeling of a stress-strain state of a gas pipeline with cold bending offsets according to in-line inspection
CN104077470B (en)Supertension tubular type reactor end portion structure magnitude of interference method for designing based on risk
CN101524727B (en)Method for improving smooth finish on inner wall of titanium alloy elbow piece formed by expanding push-bending method
CN112364540A (en)Method for calculating limit internal pressure of concentric reducer pipe with double defects
CN112329317B (en)Accurate pipeline elbow stress calculation method
JP4696893B2 (en) Method for evaluating local buckling performance of steel pipe, material design method for steel pipe, and method for manufacturing steel pipe
CN112257210A (en)Single-defect reducer pipe limit internal pressure calculation method
JP4613524B2 (en) Method for evaluating local buckling performance of steel pipe, steel pipe design method, steel pipe manufacturing method, steel pipe
Collie et al.Modelling and predicting the deformed geometry of thick-walled pipes subjected to induction bending
CN115392064A (en)Method for calculating strength of pipe section
CN205401965U (en)Seamless straight reducer of high pressure thick wall heavy -calibre
CN110883153A (en) A kind of composite flexible bending forming method of pipe material
CN109175059A (en)Risen the method for processing groove inner liner stainless steel elbow using water
KR100570730B1 (en) Optimal pressure drop distribution method in two-stage tube drawing process
Collie et al.An experimental evaluation of induction bending as a method for producing pipe bends with radii≥ 2.5 D
CN114086184A (en) A kind of anti-corrosion tool and anti-corrosion method that can be used for temperature-resistant anode outside oil pipe

Legal Events

DateCodeTitleDescription
PB01Publication
PB01Publication
SE01Entry into force of request for substantive examination
SE01Entry into force of request for substantive examination
GR01Patent grant
GR01Patent grant
CF01Termination of patent right due to non-payment of annual fee

Granted publication date:20220128

CF01Termination of patent right due to non-payment of annual fee

[8]ページ先頭

©2009-2025 Movatter.jp