Movatterモバイル変換


[0]ホーム

URL:


CN112330387A - Virtual broker applied to house-watching software - Google Patents

Virtual broker applied to house-watching software
Download PDF

Info

Publication number
CN112330387A
CN112330387ACN202011050180.6ACN202011050180ACN112330387ACN 112330387 ACN112330387 ACN 112330387ACN 202011050180 ACN202011050180 ACN 202011050180ACN 112330387 ACN112330387 ACN 112330387A
Authority
CN
China
Prior art keywords
information
house
unit
module
client
Prior art date
Legal status (The legal status is an assumption and is not a legal conclusion. Google has not performed a legal analysis and makes no representation as to the accuracy of the status listed.)
Granted
Application number
CN202011050180.6A
Other languages
Chinese (zh)
Other versions
CN112330387B (en
Inventor
李琦
宋卫东
Current Assignee (The listed assignees may be inaccurate. Google has not performed a legal analysis and makes no representation or warranty as to the accuracy of the list.)
Chongqing Ruiyun Technology Co ltd
Original Assignee
Chongqing Ruiyun Technology Co ltd
Priority date (The priority date is an assumption and is not a legal conclusion. Google has not performed a legal analysis and makes no representation as to the accuracy of the date listed.)
Filing date
Publication date
Application filed by Chongqing Ruiyun Technology Co ltdfiledCriticalChongqing Ruiyun Technology Co ltd
Priority to CN202011050180.6ApriorityCriticalpatent/CN112330387B/en
Publication of CN112330387ApublicationCriticalpatent/CN112330387A/en
Application grantedgrantedCritical
Publication of CN112330387BpublicationCriticalpatent/CN112330387B/en
Activelegal-statusCriticalCurrent
Anticipated expirationlegal-statusCritical

Links

Images

Classifications

Landscapes

Abstract

The invention provides a virtual broker applied to house-watching software, which comprises: the system comprises an information receiving module, an information processing module, a storage module, a communication module, a house recommending module, a client recommending module and an intelligent answering module; the system comprises a storage module, a database and a knowledge base, wherein the storage module is internally stored with the resource base and the knowledge base, the resource base is used for storing house source information, house introduction information and customer information, the knowledge base is used for storing an atlas and a question set, the atlas is formed by integrating information in the resource base, and the question set is a historical question-answer set of customers. According to the scheme, the information receiving module and the information processing module follow up the conditions of the clients in real time, and the house recommending module and the client recommending module are used for recommending the house resources to the clients and recommending high-quality clients; and the questions of the client are answered based on the map and the intelligent answering module, so that the client can know the basic conditions and peripheral information of the house more visually, the house can be deeply known without watching the house on site, and the time cost is saved.

Description

Virtual broker applied to house-watching software
Technical Field
The invention relates to the technical field of computer communication, in particular to a virtual broker applied to house-viewing software.
Background
In real estate marketing activities, a traditional house-watching app can only see basic information and house internal profiles, many other information needs to be communicated through a broker, and finally the profiles and the broker reserve the site for house-watching. From the perspective of a customer, the house can directly communicate with a house in real time without communicating with a broker, so that the house can tell the basic situation and the site information of the customer, reservation-free house watching can be realized, a lot of time can be saved, the cost is saved, and the problem of time conflict is solved, so that the house is in line with the fast-paced life.
Disclosure of Invention
In view of the above, it is necessary to provide a virtual broker applied to house-viewing software to address the above technical problems.
A virtual broker applied to house-viewing software, comprising: the system comprises an information receiving module, an information processing module, a storage module, a communication module, a house recommending module, a client recommending module and an intelligent answering module; the system comprises a storage module, a database and a knowledge base, wherein the storage module is internally stored with the resource base and the knowledge base, the resource base is used for storing house source information, house introduction information and customer information, the knowledge base is used for storing an atlas and a question set, the atlas is formed by integrating information in the resource base, and the question set is a historical question-answer set of customers.
In one embodiment, the house source information at least comprises house source house type, house address and surrounding information; the house introduction information at least comprises house official comment information and house official evaluation information; the client information at least comprises client question and answer information, client browsing record information and client house evaluation information.
In one embodiment, the information receiving module is used for receiving various information, wherein the information comprises house source information, house introduction information and customer information.
In one embodiment, the information processing module is configured to integrate information in the repository into maps and problem sets in the repository.
In one embodiment, the house recommendation module comprises: the system comprises a calculation analysis submodule and a house recommendation submodule, wherein the calculation analysis submodule comprises a model establishing unit, a similar calculating unit, a neighbor iteration unit and a grading prediction unit, and the calculation analysis submodule comprises a model establishing unit, a similarity calculating unit, a neighbor iteration unit and a grading prediction unit, wherein: the model establishing unit is used for establishing a preference matrix model of the user about the house source by using the information in the resource library; the similarity calculation unit is used for calculating the similarity among the users by utilizing cosine similarity based on the preference matrix model to obtain a preference similarity matrix; the neighbor iteration unit is used for obtaining a new similarity between users according to the attenuation ratio and the attenuation weight based on the similarity of each user, and iterating the neighbor set to obtain a target neighbor set according to a neighbor set formed by the new similarity; the scoring prediction unit is used for predicting the scoring of the user about the house resources according to the client information based on the target neighbor set; and the house recommending submodule is used for sequencing the scores according to the sizes and selecting the house sources ranked in the first three as target house sources to recommend the target house sources to the client.
In one embodiment, the customer recommendation module comprises: weight setting unit, weight updating unit, quality calculating unit and customer recommending unit, wherein: the weight setting unit is used for respectively setting weights W1 and W2 for the browsing duration T of a client and question consultation, ordering questions and answers in the question set according to the attention degree and setting different weights W; the weight updating unit is used for updating the attention degree of the problem set problem and updating the weight w according to the customer information of the customer; the quality calculating unit is used for calculating the quality of the client according to the weights W1, W2 and W; and the client recommending unit is used for taking the client with the quality larger than the threshold value as a target client according to a preset threshold value and pushing the client to the cloud end through the communication module.
In one embodiment, the customer recommending unit is further configured to push the target customer to the knowledge base to update the graph.
In one embodiment, the intelligent answer module comprises: the question analysis submodule comprises an entity obtaining unit and an objective obtaining unit, wherein: the entity obtaining unit is used for performing word segmentation and entity identification processing on the questions of the client to obtain the entity of the questions; the target obtaining unit is used for carrying out target identification and question classification processing on the customer question and obtaining the target of the question; the information retrieval submodule is used for querying the knowledge base according to the entity and the purpose and obtaining an initial query result; and the answer generation submodule is used for comparing and sequencing the initial query result, selecting an optimal answer, generating the optimal answer into a target answer in a natural sentence form, and feeding the target answer back to the client.
In one embodiment, the intelligent answer module further comprises a natural language generation submodule including a content determination unit, a structure determination unit, and a language generation unit, wherein: the content determining unit is used for taking the entity and the target answer as statement key information; the structure determining unit is used for determining a sentence structure based on the question set and according to the purpose; the language generating unit is used for combining the sentence key information according to the sentence structure so as to obtain a target answer in a natural sentence form.
Above-mentioned virtual broker who is applied to software of seeing room, follow up the customer's condition in real time through information receiving module and information processing module, and recommend the module through the house, customer recommendation module and intelligent answer module realize respectively carrying out the house source recommendation to the customer, and recommend high quality customer to the customer service, can also be based on the map in the knowledge base, answer customer's quiz, the form that the customer can ask for answer, more audio-visual understanding the basic condition and the peripheral information in house, realized need not on-the-spot room of seeing, just can go on deep understanding to the house, thereby the time cost has been practiced thrift.
Drawings
FIG. 1 is a diagram of an application scenario applied to a virtual broker for house-viewing software, in one embodiment;
FIG. 2 is a block diagram of a virtual broker applied to house-viewing software in one embodiment;
FIG. 3 is a block diagram of a house recommendation module in one embodiment;
FIG. 4 is a block diagram that illustrates the architecture of a customer recommendation module in one embodiment;
FIG. 5 is a block diagram of the architecture of an intelligent answer module in one embodiment;
FIG. 6 is a block diagram of the computational analysis submodule in one embodiment;
FIG. 7 is a block diagram of the problem analysis submodule in one embodiment;
FIG. 8 is a block diagram of the natural language generation submodule in one embodiment.
Detailed Description
In order to make the objects, technical solutions and advantages of the present invention more apparent, the present invention is described in further detail below with reference to the accompanying drawings by way of specific embodiments. It should be understood that the specific embodiments described herein are merely illustrative of the invention and are not intended to limit the invention.
The virtual broker applied to house-viewing software provided by the application can be applied to an application environment as shown in fig. 1. The house-watching software is installed on the terminal 1, the virtual broker 11 is applied in the house-watching software, theclient 12 can ask and answer with the virtual broker 11 on the house-watching software, the communication module of the virtual broker 11 is communicated with theserver 2, so that the high-quality client can be uploaded to theserver 2 through the communication module, and theserver 2 can send the high-quality client to a required customer service or store the high-quality client in theserver 2. The terminal 1 may be, but not limited to, various personal computers, notebook computers, smart phones, tablet computers, and portable wearable devices, and theserver 2 may be implemented by an independent server or a server cluster formed by a plurality of servers.
In one embodiment, as shown in fig. 2, a virtual broker 200 applied to house-watching software is provided, and includes aninformation receiving module 210, aninformation processing module 220, astorage module 230, acommunication module 240, ahouse recommendation module 250, acustomer recommendation module 260, and anintelligent answer module 270, where thestorage module 230 stores a resource library and a knowledge library, the resource library stores house source information, house introduction information, and customer information, the knowledge library stores a map and a question set, the map is integrated from information in the resource library, and the question set is a historical question-answer set of a customer. The house source information at least comprises house source house type, house address and peripheral information; the house introduction information at least comprises house official comment information and house official evaluation information; the client information at least comprises client question and answer information, client browsing record information and client house evaluation information. Theinformation receiving module 210 is configured to receive various information, where the information includes house source information, house introduction information, and customer information; theinformation processing module 220 is used for integrating the information in the resource base into a map and a problem set in the knowledge base.
Specifically, the main implementation principle of the virtual broker is as follows: the information retrieval is mainly divided into two modules: creating a knowledge base, and man-machine questions and answers (retrieval). Creating a knowledge base: a knowledge map is established as a knowledge base of the virtual broker by using house source information, peripheral information of house source address positioning, broker explanation, old customer evaluation, browsing records, historical question and answer records and the like. Man-machine question answering: when a customer puts forward a question, the best answer is given through question analysis. APP scene: a floating button arranged on the top layer is arranged in the APP, and the button carries customer information and the current position. After the customer enters the APP, the floating button is clicked to awaken the virtual broker, voice conversation can be conducted like chatting with a house agent in reality, after the customer inquires about house source related information, the broker gives corresponding answers, and the customer's questions are recorded. In addition, whether the system is awakened or not, the virtual broker records the browsing information of the client and updates the information to the knowledge base.
Firstly, an information resource library is established, and the information of the resource library comprises three types, namely house source information, house introduction information and client information. The house source information comprises all house source information under a developer and peripheral information of associated address positioning; the house introduction information comprises explanation and evaluation of the house by the house broker; the customer information is the dialogue between the customer and the virtual broker, the browsing records of the customer and the comments on the house resources.
Then, theinformation processing module 220 is used to integrate the information in the repository into a map and a problem set in the repository, initialize the repository, generate a "map" when a new house source is entered, detect the surrounding information at regular time, and update the repository (corresponding data nodes in the "map") if the information change is detected. Key information is extracted from the obtained information resources, and a map is established for each room source by utilizing entities (room sources, addresses, customers and the like) and attributes (house types, peripheries, evaluation, customer quality and the like). The relation (associated client, intention client, etc.) is used to associate the 'map' of each house source to obtain the knowledge map, and the knowledge map and the question set form the knowledge base together. If a new market is opened around, associating the generated new node to the corresponding house source; for example, the user browses or inquires about the related information of the house source, the association weight of the house source is updated according to the browsing duration of the user or the prediction intention of the consultation problem, and if the user browses or inquires about the related information of the house source, a new connection is established and associated with the house source by the new visiting client.
In the above embodiment, a virtual broker applied to house-watching software is provided, the client conditions are followed up in real time through theinformation receiving module 210 and theinformation processing module 220, thehouse recommendation module 250, theclient recommendation module 260 and theintelligent answer module 270 are used for respectively realizing the house source recommendation for clients, high-quality clients are recommended for customer services, questions of the clients can be answered based on a map in a knowledge base, the clients can ask questions and answer in a mode, the basic conditions and peripheral information of a house can be known more intuitively, the house can be deeply known without on-site house watching, and therefore time cost is saved.
In one embodiment, as shown in fig. 3 and 6, thepremise recommendation module 250 includes: thecalculation analysis submodule 251 and thehouse recommendation submodule 252, thecalculation analysis submodule 251 includes amodel establishing unit 251A, a similarity calculating unit 251B, a neighbor iteration unit 251C and a score prediction unit 251D, where:
themodel establishing unit 251A is configured to establish a preference matrix model of the user about the house source by using information in the resource library;
the similarity calculation unit 251B is configured to calculate similarity between users by using cosine similarity based on the preference matrix model to obtain a preference similarity matrix;
the neighbor iteration unit 251C is configured to, based on the similarity of each user, obtain a new similarity between users according to the attenuation ratio and the attenuation weight, and iterate the neighbor set to obtain a target neighbor set according to a neighbor set formed by the new similarity;
the score prediction unit 251D is configured to predict, based on the target neighbor set, a score of the user about the house source according to the client information;
thehouse recommending submodule 252 is configured to sort the scores according to sizes, and select the house source ranked in the top three as a target house source to recommend to the client.
Specifically, first, a customer preference analysis is performed, and the following sets are established according to the information in the data bank:
set of house resources I ═ { I ═ I1,I2,...,In}
The room source tag set L ═ { L ═ L1,l2,...,lg}
Set of users U ═ U1,U2,...,Um}
Analyzing the evaluation of the client to the house source, converting into a scoring matrix R, and calculating a preference vector Q of the client according to the labels of the house source browsed by the client (implicit) and the house source evaluated by the client (explicit), wherein the preference vector Q of the client is { Q ═ Ql1,Ql2,...,Qlk},QlkThe preference degree of a certain type of house source labels is calculated, and then preference vectors of m users are calculated to obtain a preference matrix model.
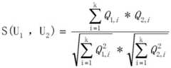
Then, calculation is performed in the similarity calculation unit 251B, and the inter-user similarity S (U) can be calculated using the cosine similarity with respect to the preference matrix1,U2)U1!=U2And obtaining a preference similarity matrix:
Figure BDA0002709300430000061
then, a neighbor iteration unit 251C is used for neighbor iteration recommendation, specifically, the similarity obtained above is sorted, a threshold value h is set, and the neighbor with the similarity larger than h is used as a secondary neighbor; for the absence of the secondary neighbors, calculating similarity values of the secondary neighbors through the neighbor attenuation ratios and the attenuation weights; and for the existence of the secondary neighbors, taking the larger value of the similarity obtained by comparing the actual similarity with the similarity calculated by the attenuation weight as the new similarity, then sequencing the similarity of the candidate neighbors, and selecting the first k neighbors. All the users selected once form a new neighbor set, and iteration can obtain the final neighbor set on the basis. The k value is set according to actual conditions.
Then, a scoring prediction unit 251D is used for scoring prediction, and a house source set I 'with the browsing time length of the user being lower than a threshold value T is taken out and calculated on the basis of a new set U' of the previous k candidate neighbors and the associated users
Scoring (target user U)iFor each room source I in IkDegree of preference) Qi,k
Figure BDA0002709300430000062
V(Qi) Mean preference value representing user i
And finally, sorting the predicted scores obtained in the score prediction unit 251D according to the sizes, and taking the first 3 corresponding house sources as the house source recommendation results.
In one embodiment, as shown in FIG. 4, thecustomer recommendation module 260 includes: aweight setting unit 261, aweight updating unit 262, aquality calculating unit 263, and acustomer recommending unit 264, wherein:
theweight setting unit 261 is configured to set weights W1 and W2 for the browsing duration T of the client and the question consultation, respectively, sort the questions and answers in the question set according to the attention degree, and set different weights W;
theweight updating unit 262 is used for updating the attention degree of the problem in the problem set according to the customer information of the customer and updating the weight w;
thequality calculation unit 263 is used for calculating the quality of the client according to the weights W1, W2 and W;
theclient recommending unit 264 is configured to, according to a preset threshold, take a client with a quality greater than the threshold as a target client, and push the client to the server through the communication module.
Specifically, firstly, weights W1 and W2 are designed for browsing duration T and question consultation of a client, a question set is sorted according to the attention degree, and different weights W are set;
secondly, updating the concerned degree of the problem in the problem set and updating the weight value w from the historical conversation between the client and the virtual broker;
then the mass is calculated:
Figure BDA0002709300430000071
wherein wiThe weight of the effective questions in the conversation, n represents the number of the effective questions;
and finally, designing a threshold, wherein when m is greater than or equal to the threshold, the quality of the client is good, and the client is worth sending to a server for storage or pushing to a customer service for follow-up of the client.
In one embodiment, thecustomer recommending unit 260 is further configured to push the target customer to the knowledge base to update the graph. Specifically, thecustomer recommendation unit 260 may push the target customer to the knowledge base, and update the portion of the graph regarding the quality of the customer accordingly.
In one embodiment, as shown in fig. 5 and 7,intelligent answer module 270 includes: thequestion analysis sub-module 271, theinformation retrieval sub-module 272 and the answer generation sub-module 273, thequestion analysis sub-module 271 includes an entity obtaining unit 271A and anobjective obtaining unit 271B, wherein:
the entity obtaining unit 271A is configured to perform word segmentation and entity identification processing on the question of the client, so as to obtain an entity of the question;
thepurpose obtaining unit 271B is used for performing purpose identification and question classification processing on the customer question and obtaining the purpose of the question;
theinformation retrieval submodule 272 is configured to query the knowledge base according to the entity and the purpose, and obtain an initial query result;
the answer generation sub-module 273 is configured to compare and sort the initial query results, select an optimal answer, generate a target answer in a natural sentence form from the optimal answer, and feed the target answer back to the client.
Specifically, the question is brought into a knowledge base-based question-answer that is prepared in advance and answers the question. Analyzing the natural language question input by the user, inquiring the knowledge spectrogram database to finally obtain the best answer, and then feeding back the best answer to the user in a natural language mode. Or after the voice is input, the voice is required to be converted into text, then the question is analyzed and the answer is predicted, and the predicted answer presented in the natural language is obtained and then converted into the voice to be fed back to the user.
Firstly, the entity obtaining unit 271A is used for performing word segmentation and entity recognition processing on a question of a client to obtain an entity of the question, specifically, a professional dictionary in one field (real estate) needs to be established before word segmentation, then a forward maximum matching algorithm in a word segmentation method based on the dictionary is used for sentence segmentation, finally, an ICTCCLAS word segmentation tool is used for segmenting words and tagging part of speech of unknown words in the dictionary, and a named entity is recognized.
Then, thepurpose obtaining unit 271B performs purpose identification and question classification processing on the customer question, and obtains the purpose of the question, specifically, before performing purpose identification of the question, a domain corpus needs to be established as an initial training set. The virtual broker trains according to the training set to obtain a certain degree of identification capability. The training is mainly to extract feature values from a corpus, use the frequency of occurrence of word segmentation as a weight, obtain a group of word segmentation as a feature vector of a certain problem category according to the weight, and use the weight as a value of the feature vector. When the user proposes a new question, the question is updated to the corpus. And meanwhile, predicting the problem to which the problem belongs to obtain a weight sequence, and taking the maximum weight as the most possible purpose of the user.
Furthermore, after theinformation retrieval sub-module 272 is used for retrieving to obtain the entity and the destination, the relationship between the entity and the destination is predicted by the entity obtaining unit 271A and thedestination obtaining unit 271B, at this time, a triple (Subject-Predict-Object) may be established to query the knowledge base, and the initial query result is obtained.
And finally, the initial query results are compared and ranked by theanswer generation submodule 273, the best answer is selected, the best answer is generated into a target answer in a natural sentence form, and the target answer is fed back to the client.
In one embodiment, as shown in fig. 8, theintelligent answer module 270 further comprises a natural language generation submodule comprising acontent determination unit 274A, a structure determination unit 274B, and alanguage generation unit 274C, wherein:
thecontent determining unit 274A is configured to use the entity and the target answer as the sentence key information;
the structure determining unit 274B is configured to determine a sentence structure based on the question set and according to the purpose;
thelanguage generating unit 274C is configured to combine the sentence key information according to the sentence structure, thereby obtaining the target answer in the form of a natural sentence.
Specifically, first, the key content is determined: namely, named entities identified in the question classification and answers obtained from information retrieval are used as statement key information; secondly, determining a sentence structure: obtaining the problem which the most probable intention of the user corresponds to in the problem classification, and further taking the sentence structure model from the corpus; and finally, implementing natural language: the phrases determined in thecontent determination unit 274A are combined into well-formatted sentences according to the model in the structure determination unit 274B.
It will be apparent to those skilled in the art that the modules or steps of the invention described above may be implemented in a general purpose computing device, they may be centralized on a single computing device or distributed across a network of computing devices, and optionally they may be implemented in program code executable by a computing device, such that they may be stored on a computer storage medium (ROM/RAM, magnetic disks, optical disks) and executed by a computing device, and in some cases, the steps shown or described may be performed in an order different than that described herein, or they may be separately fabricated into individual integrated circuit modules, or multiple ones of them may be fabricated into a single integrated circuit module. Thus, the present invention is not limited to any specific combination of hardware and software.
The foregoing is a more detailed description of the present invention that is presented in conjunction with specific embodiments, and the practice of the invention is not to be considered limited to those descriptions. For those skilled in the art to which the invention pertains, several simple deductions or substitutions can be made without departing from the spirit of the invention, and all shall be considered as belonging to the protection scope of the invention.

Claims (9)

1. A virtual broker for house-viewing software, comprising: the system comprises an information receiving module, an information processing module, a storage module, a communication module, a house recommending module, a client recommending module and an intelligent answering module;
the system comprises a storage module, a database and a knowledge base, wherein the storage module is internally stored with the resource base and the knowledge base, the resource base is used for storing house source information, house introduction information and customer information, the knowledge base is used for storing an atlas and a question set, the atlas is formed by integrating information in the resource base, and the question set is a historical question-answer set of customers.
2. The virtual broker as recited in claim 1, wherein the house information comprises at least house type, house address and perimeter information; the house introduction information at least comprises house official comment information and house official evaluation information; the client information at least comprises client question and answer information, client browsing record information and client house evaluation information.
3. The virtual broker as recited in claim 1, wherein the information receiving module is configured to receive various information, the information including house source information, house introduction information and customer information.
4. The virtual broker as recited in claim 1, wherein the information processing module is configured to integrate information in the repository into maps and problem sets in the repository.
5. The virtual broker as recited in claim 1, wherein the house recommendation module comprises: the system comprises a calculation analysis submodule and a house recommendation submodule, wherein the calculation analysis submodule comprises a model establishing unit, a similar calculating unit, a neighbor iteration unit and a grading prediction unit, and the calculation analysis submodule comprises a model establishing unit, a similarity calculating unit, a neighbor iteration unit and a grading prediction unit, wherein:
the model establishing unit is used for establishing a preference matrix model of the user about the house source by using the information in the resource library;
the similarity calculation unit is used for calculating the similarity among the users by utilizing cosine similarity based on the preference matrix model to obtain a preference similarity matrix;
the neighbor iteration unit is used for obtaining a new similarity between users according to the attenuation ratio and the attenuation weight based on the similarity of each user, and iterating the neighbor set to obtain a target neighbor set according to a neighbor set formed by the new similarity;
the scoring prediction unit is used for predicting the scoring of the user about the house resources according to the client information based on the target neighbor set;
and the house recommending submodule is used for sequencing the scores according to the sizes and selecting the house sources ranked in the first three as target house sources to recommend the target house sources to the client.
6. The virtual broker as recited in claim 1, wherein the customer recommendation module comprises: weight setting unit, weight updating unit, quality calculating unit and customer recommending unit, wherein:
the weight setting unit is used for respectively setting weights W1 and W2 for the browsing duration T of a client and question consultation, ordering questions and answers in the question set according to the attention degree and setting different weights W;
the weight updating unit is used for updating the attention degree of the problem set problem and updating the weight w according to the customer information of the customer;
the quality calculating unit is used for calculating the quality of the client according to the weights W1, W2 and W;
and the client recommending unit is used for taking the client with the quality larger than the threshold value as a target client according to a preset threshold value and pushing the client to the server through the communication module.
7. The virtual broker as recited in claim 6, wherein the customer recommendation unit is further configured to push the target customer into the knowledge base to update the graph.
8. The virtual broker as recited in claim 1, wherein the intelligent answer module comprises: the question analysis submodule comprises an entity obtaining unit and an objective obtaining unit, wherein:
the entity obtaining unit is used for performing word segmentation and entity identification processing on the questions of the client to obtain the entity of the questions;
the target obtaining unit is used for carrying out target identification and question classification processing on the customer question and obtaining the target of the question;
the information retrieval submodule is used for querying the knowledge base according to the entity and the purpose and obtaining an initial query result;
and the answer generation submodule is used for comparing and sequencing the initial query result, selecting an optimal answer, generating the optimal answer into a target answer in a natural sentence form, and feeding the target answer back to the client.
9. The virtual broker as recited in claim 8, wherein the intelligent answer module further comprises a natural language generation sub-module, the natural language generation sub-module comprising a content determination unit, a structure determination unit and a language generation unit, wherein:
the content determining unit is used for taking the entity and the target answer as statement key information;
the structure determining unit is used for determining a sentence structure based on the question set and according to the purpose;
the language generating unit is used for combining the sentence key information according to the sentence structure so as to obtain a target answer in a natural sentence form.
CN202011050180.6A2020-09-292020-09-29Virtual broker applied to house watching softwareActiveCN112330387B (en)

Priority Applications (1)

Application NumberPriority DateFiling DateTitle
CN202011050180.6ACN112330387B (en)2020-09-292020-09-29Virtual broker applied to house watching software

Applications Claiming Priority (1)

Application NumberPriority DateFiling DateTitle
CN202011050180.6ACN112330387B (en)2020-09-292020-09-29Virtual broker applied to house watching software

Publications (2)

Publication NumberPublication Date
CN112330387Atrue CN112330387A (en)2021-02-05
CN112330387B CN112330387B (en)2023-07-18

Family

ID=74313720

Family Applications (1)

Application NumberTitlePriority DateFiling Date
CN202011050180.6AActiveCN112330387B (en)2020-09-292020-09-29Virtual broker applied to house watching software

Country Status (1)

CountryLink
CN (1)CN112330387B (en)

Cited By (3)

* Cited by examiner, † Cited by third party
Publication numberPriority datePublication dateAssigneeTitle
CN113779210A (en)*2021-07-302021-12-10深圳市思为软件技术有限公司Information introduction method, related device and computer readable storage medium
CN115309307A (en)*2022-08-292022-11-08北京房多多信息技术有限公司 Information interaction method, device, electronic device and storage medium
CN119441431A (en)*2024-10-252025-02-14北京房多多信息技术有限公司 Data processing method, device, electronic device and storage medium

Citations (24)

* Cited by examiner, † Cited by third party
Publication numberPriority datePublication dateAssigneeTitle
US20020052814A1 (en)*2000-07-102002-05-02Ketterer Robert M.Virtual real estate brokage system
US20030036944A1 (en)*2000-10-112003-02-20Lesandrini Jay WilliamExtensible business method with advertisement research as an example
US20030220807A1 (en)*2002-05-232003-11-27Kevin HoffmanAutomated method and system for managing and/or transferring real estate information
US20070050256A1 (en)*2000-06-302007-03-01Jay WalkerMethod and apparatus for compensating participation in marketing research
JP2010182287A (en)*2008-07-172010-08-19Steven C KaysIntelligent adaptive design
CN103700003A (en)*2013-12-302014-04-02陶鹏House online direct renting method and system based on wish conformity matching
CN104182919A (en)*2014-07-212014-12-03安徽华贞信息科技有限公司Smart living informational service platform
US20160019666A1 (en)*2014-07-162016-01-21Parkland Center For Clinical InnovationClient management tool system and method
CN205507888U (en)*2016-04-112016-08-24东北石油大学Intelligent management system of house intermediary
CN108230051A (en)*2018-02-122018-06-29昆山数泰数据技术有限公司A kind of user based on label Weight algorithm is to the determining method of commodity attention rate
US20180253780A1 (en)*2017-05-052018-09-06James WangSmart matching for real estate transactions
CN108804529A (en)*2018-05-022018-11-13深圳智能思创科技有限公司A kind of question answering system implementation method based on Web
CN109658192A (en)*2018-12-202019-04-19重庆锐云科技有限公司A kind of source of houses recommended method and server
CN109670113A (en)*2018-12-202019-04-23重庆锐云科技有限公司A kind of source of houses recommended method, device and server
WO2019153613A1 (en)*2018-02-092019-08-15平安科技(深圳)有限公司Chat response method, electronic device and storage medium
CN110298637A (en)*2019-07-042019-10-01北京芒果铭天科技有限公司A kind of client management system
CN110298465A (en)*2019-07-042019-10-01北京芒果铭天科技有限公司Houseclearing management system
CA3010392A1 (en)*2018-07-042020-01-04Quitchet, LlcSocial network application for real estate
CN110689457A (en)*2019-10-092020-01-14重庆锐云科技有限公司Intelligent reception method for online clients in real estate industry, server and storage medium
CN110716979A (en)*2019-10-182020-01-21重庆锐云科技有限公司House buying intention client mining method, device and server
US20200043087A1 (en)*2018-08-012020-02-06Dynasty Marketplace, Inc.Artificial intelligence based digital leasing assistant
CN110837604A (en)*2019-10-162020-02-25贝壳技术有限公司Data analysis method and device based on housing monitoring platform
US20200242642A1 (en)*2019-01-242020-07-30Qualtrics, LlcDigital survey creation by providing optimized suggested content
CN111639988A (en)*2020-05-222020-09-08贝壳技术有限公司Broker recommendation method, device, electronic equipment and storage medium

Patent Citations (24)

* Cited by examiner, † Cited by third party
Publication numberPriority datePublication dateAssigneeTitle
US20070050256A1 (en)*2000-06-302007-03-01Jay WalkerMethod and apparatus for compensating participation in marketing research
US20020052814A1 (en)*2000-07-102002-05-02Ketterer Robert M.Virtual real estate brokage system
US20030036944A1 (en)*2000-10-112003-02-20Lesandrini Jay WilliamExtensible business method with advertisement research as an example
US20030220807A1 (en)*2002-05-232003-11-27Kevin HoffmanAutomated method and system for managing and/or transferring real estate information
JP2010182287A (en)*2008-07-172010-08-19Steven C KaysIntelligent adaptive design
CN103700003A (en)*2013-12-302014-04-02陶鹏House online direct renting method and system based on wish conformity matching
US20160019666A1 (en)*2014-07-162016-01-21Parkland Center For Clinical InnovationClient management tool system and method
CN104182919A (en)*2014-07-212014-12-03安徽华贞信息科技有限公司Smart living informational service platform
CN205507888U (en)*2016-04-112016-08-24东北石油大学Intelligent management system of house intermediary
US20180253780A1 (en)*2017-05-052018-09-06James WangSmart matching for real estate transactions
WO2019153613A1 (en)*2018-02-092019-08-15平安科技(深圳)有限公司Chat response method, electronic device and storage medium
CN108230051A (en)*2018-02-122018-06-29昆山数泰数据技术有限公司A kind of user based on label Weight algorithm is to the determining method of commodity attention rate
CN108804529A (en)*2018-05-022018-11-13深圳智能思创科技有限公司A kind of question answering system implementation method based on Web
CA3010392A1 (en)*2018-07-042020-01-04Quitchet, LlcSocial network application for real estate
US20200043087A1 (en)*2018-08-012020-02-06Dynasty Marketplace, Inc.Artificial intelligence based digital leasing assistant
CN109658192A (en)*2018-12-202019-04-19重庆锐云科技有限公司A kind of source of houses recommended method and server
CN109670113A (en)*2018-12-202019-04-23重庆锐云科技有限公司A kind of source of houses recommended method, device and server
US20200242642A1 (en)*2019-01-242020-07-30Qualtrics, LlcDigital survey creation by providing optimized suggested content
CN110298465A (en)*2019-07-042019-10-01北京芒果铭天科技有限公司Houseclearing management system
CN110298637A (en)*2019-07-042019-10-01北京芒果铭天科技有限公司A kind of client management system
CN110689457A (en)*2019-10-092020-01-14重庆锐云科技有限公司Intelligent reception method for online clients in real estate industry, server and storage medium
CN110837604A (en)*2019-10-162020-02-25贝壳技术有限公司Data analysis method and device based on housing monitoring platform
CN110716979A (en)*2019-10-182020-01-21重庆锐云科技有限公司House buying intention client mining method, device and server
CN111639988A (en)*2020-05-222020-09-08贝壳技术有限公司Broker recommendation method, device, electronic equipment and storage medium

Non-Patent Citations (2)

* Cited by examiner, † Cited by third party
Title
刘旭;李玲娟;: "基于项目聚类和时间衰减的动态协同过滤算法", 计算机技术与发展*
陈诚;袁圆;余法红;蒋涛;周伟;潘海涛;滕泽伟;元丹;: "融合社区划分的个性化美食推荐算法", 福建电脑*

Cited By (3)

* Cited by examiner, † Cited by third party
Publication numberPriority datePublication dateAssigneeTitle
CN113779210A (en)*2021-07-302021-12-10深圳市思为软件技术有限公司Information introduction method, related device and computer readable storage medium
CN115309307A (en)*2022-08-292022-11-08北京房多多信息技术有限公司 Information interaction method, device, electronic device and storage medium
CN119441431A (en)*2024-10-252025-02-14北京房多多信息技术有限公司 Data processing method, device, electronic device and storage medium

Also Published As

Publication numberPublication date
CN112330387B (en)2023-07-18

Similar Documents

PublicationPublication DateTitle
CN111444428B (en)Information recommendation method and device based on artificial intelligence, electronic equipment and storage medium
CN109284357B (en)Man-machine conversation method, device, electronic equipment and computer readable medium
US20240346059A1 (en)System for determining and optimizing for relevance in match-making systems
KR102288249B1 (en) Information processing method, terminal, and computer storage medium
CN113505204B (en)Recall model training method, search recall device and computer equipment
CN110597962B (en)Search result display method and device, medium and electronic equipment
WO2021159632A1 (en)Intelligent questioning and answering method and apparatus, computer device, and computer storage medium
CN111797214A (en) Question screening method, device, computer equipment and medium based on FAQ database
CN109902152B (en)Method and apparatus for retrieving information
CN109947902A (en)A kind of data query method, apparatus and readable medium
CN108228567B (en)Method and device for extracting short names of organizations
CN112330387B (en)Virtual broker applied to house watching software
CN111078835A (en) Resume evaluation method, device, computer equipment and storage medium
CN117972160B (en)Multi-mode information processing method and device
CN116610784A (en)Insurance business scene question-answer recommendation method and related equipment thereof
CN118260396A (en)Bank system question and answer method, device, equipment, medium and program product
CN111581326B (en) A method for extracting answer information based on heterogeneous external knowledge source graph structure
CN118113858A (en)Educational resource recommendation method and device, electronic equipment and storage medium
CN115617944A (en)Content recommendation method and device, storage medium and electronic equipment
CN114860883A (en)Intelligent question and answer method and system
CN118503539A (en)Data processing method, device, electronic equipment and storage medium
CN116415047B (en) A resource screening method and system based on national image resource recommendation
CN115630996A (en)User crowd spreading method and related equipment
CN113051934A (en)User question and sentence mixing system for processing semantic similarity and word order similarity
JiDevelopment and Implementation of English Learning Resource Recommendation System based on Text Mining

Legal Events

DateCodeTitleDescription
PB01Publication
PB01Publication
SE01Entry into force of request for substantive examination
SE01Entry into force of request for substantive examination
GR01Patent grant
GR01Patent grant

[8]ページ先頭

©2009-2025 Movatter.jp