


技术领域technical field
本发明涉及道路监测领域,具体涉及一种大数据分析与机理模型协同的道路积水深度监测方法及系统。The invention relates to the field of road monitoring, in particular to a method and system for monitoring the depth of road water accumulation in which big data analysis and mechanism models are coordinated.
背景技术Background technique
随着我国城市化建设的不断推进,城市气候和地表下垫面条件均发生明显的变化。在城市排水管网系统的建设滞后和排水系统规划不够合理的影响下,一旦遭遇台风、暴雨等恶劣天气,就会导致城市道路形成积水,严重影响了城市居民出行。With the continuous advancement of urbanization in my country, the urban climate and the underlying surface conditions have undergone significant changes. Under the influence of the lag in the construction of the urban drainage network system and the unreasonable planning of the drainage system, once encountering severe weather such as typhoons and rainstorms, it will lead to the formation of water on urban roads, which seriously affects the travel of urban residents.
现有的城市道路积水的监测方式,主要分为设备监测和数据挖掘分析两类。其中,设备监测通过部署水位传感器对道路积水进行监测;而数据挖掘分析通过对城市道路形成的原因以及过程进行处理,并结合城市道路地表高程数据、道路排水管网等信息来判断道路积水产生的可能性以及道路积水深度等。The existing monitoring methods of urban road water accumulation are mainly divided into two categories: equipment monitoring and data mining analysis. Among them, equipment monitoring monitors road water accumulation by deploying water level sensors; data mining analysis processes the causes and processes of urban road formation, and combines urban road surface elevation data, road drainage pipe network and other information to determine road water accumulation The possibility of occurrence and the depth of road water accumulation, etc.
但设备监测的方式只能对传感器测量处的积水深度进行测量,难于准确地测量城市道路积水区域的最大深度或有效深度,容易产生误报、错报。而数据挖掘分析需要城市道路的全部高精度数字高程数据、城市排水管网等信息,存在数据不好获取、数据不全、数据复杂、数据不好更新以及识别精度不够的问题。However, the method of equipment monitoring can only measure the depth of water at the location measured by the sensor, and it is difficult to accurately measure the maximum depth or effective depth of the water accumulation area on urban roads, which is prone to false alarms and false alarms. However, data mining analysis requires all high-precision digital elevation data of urban roads, urban drainage pipe network and other information. There are problems such as difficult data acquisition, incomplete data, complex data, difficult data updating and insufficient identification accuracy.
发明内容SUMMARY OF THE INVENTION
有鉴于此,本发明的目的是克服现有技术中的缺陷,提供大数据分析与机理模型协同的道路积水深度监测方法及系统,能够准确地计算出城市道路积水区域的最大深度以及预测最大深度,有效地防止出现道路积水深度误报、错报的情况,弥补了其他道路积水监测方式的不足,为道路排水建设提供了有力的参考。In view of this, the purpose of the present invention is to overcome the defects in the prior art, to provide a method and system for monitoring the depth of road water accumulation in coordination with big data analysis and a mechanism model, which can accurately calculate the maximum depth and prediction of urban road water accumulation areas. The maximum depth can effectively prevent the misreporting and misreporting of road water depth, make up for the deficiencies of other road water monitoring methods, and provide a powerful reference for road drainage construction.
本发明的大数据分析与机理模型协同的道路积水深度监测方法,包括如下步骤:The method for monitoring the depth of road water accumulation in collaboration with big data analysis and mechanism model of the present invention includes the following steps:
S1.采集道路积水信息;所述道路积水信息包括降雨量、道路单点积水深度以及道路积水区域图像;S1. Collect road water accumulation information; the road water accumulation information includes rainfall, water accumulation depth at a single point on the road, and images of the road accumulation area;
S2.对所述道路积水区域图像进行识别,得到道路积水区域实际面积,并对所述降雨量、所述道路单点积水深度以及所述道路积水区域实际面积进行处理,得到道路积水深度;所述道路积水深度包括道路积水区域的最大深度以及最大预测深度;S2. Identify the image of the road water accumulation area to obtain the actual area of the road water accumulation area, and process the rainfall, the single point water accumulation depth of the road and the actual area of the road water accumulation area to obtain the road water accumulation area. Water accumulation depth; the road water accumulation depth includes the maximum depth of the road water accumulation area and the maximum predicted depth;
S3.输出所述道路积水深度。S3. Output the water depth of the road.
进一步,步骤S2中,对所述道路积水区域图像进行识别,得到道路积水区域实际面积,具体包括:Further, in step S2, the image of the road water accumulation area is identified to obtain the actual area of the road water accumulation area, which specifically includes:
获取道路积水区域样本,并对所述道路积水区域样本进行特征标记处理,得到处理后的道路积水区域样本;Acquiring a road water accumulation area sample, and performing feature marking processing on the road water accumulation area sample to obtain a processed road water accumulation area sample;
将所述处理后的道路积水区域样本输入至向量机进行训练学习,得到道路积水识别模型;Inputting the processed road water area samples into a vector machine for training and learning to obtain a road water identification model;
使用道路积水识别模型对道路积水区域图像进行识别处理,得到道路积水区域实际面积。Using the road water identification model to identify the road water area image, the actual area of the road water area is obtained.
进一步,根据如下公式确定道路积水区域实际面积S:Further, the actual area S of the road water accumulation area is determined according to the following formula:
S=k·S像素;S=k·Spixels ;
其中,k为道路积水区域实际面积的换算系数;S像素为道路积水区域在图像中的像素面积;所述道路积水区域实际面积的换算系数S参考物为1m×1m的参考物在图像中的像素面积。Among them, k is the conversion factor of the actual area of the road water accumulation area; Spixel is the pixel area of the road water accumulation area in the image; the conversion coefficient of the actual area of the road water accumulation area The Sreference is the pixel area of the 1m × 1m reference in the image.
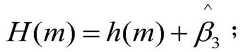
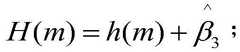
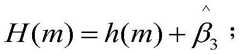
进一步,步骤S2中,根据如下公式确定所述道路积水区域的最大深度:Further, in step S2, the maximum depth of the road water accumulation area is determined according to the following formula:
其中,H(m)为第m分钟的道路积水区域的最大深度;h(m)为第m分钟的道路单点积水深度;为辅助参数;Among them, H(m) is the maximum depth of the road water accumulation area in the mth minute; h(m) is the single point water accumulation depth of the road in the mth minute; is an auxiliary parameter;
根据如下公式确定所述道路积水区域的最大预测深度:The maximum predicted depth of the road water area is determined according to the following formula:
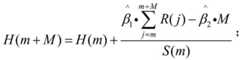
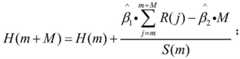
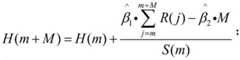
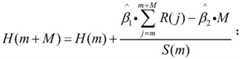
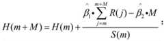
其中,H(m+M)为第m分钟时M分钟后的道路积水区域的最大预测深度;以及均为辅助参数;R(j)为第j分钟的降雨量;S(m)为第m分钟的道路积水区域实际面积;Among them, H(m+M) is the maximum predicted depth of the road water area after M minutes at the mth minute; as well as are auxiliary parameters; R(j) is the rainfall in the jth minute; S(m) is the actual area of the road water accumulation area in the mth minute;
根据如下式子确定所述辅助参数以及The auxiliary parameter is determined according to the following formula as well as
其中,x1i为第i次在降雨开始后累计测量得到的降雨量;x2i为第i次计算得到的降雨开始时间与当前时间的差值;x3i为第i次计算得到的道路积水区域实际面积的负值;yi为第i次计算得到的道路积水区域实际面积与道路单点积水深度的乘积;n为测量或计算的总次数;i=1,2,…,n。Among them, x1i is the accumulated rainfall measured after the i-th rain; x2i is the difference between the rain start time and the current time calculated in the i-th time; x3i is the road water accumulated in the i-th calculation. Negative value of the actual area of the area; yi is the product of the actual area of the road water accumulation area obtained by the i-th calculation and the water accumulation depth at a single point of the road; n is the total number of measurements or calculations; i=1,2,…,n .
一种大数据分析与机理模型协同的道路积水深度监测系统,包括参数采集模块、数据处理模块以及输出模块;A road water depth monitoring system in which big data analysis and mechanism model are coordinated, comprising a parameter acquisition module, a data processing module and an output module;
所述参数采集模块,用于采集道路积水信息;所述道路积水信息包括降雨量、道路单点积水深度以及道路积水区域图像;The parameter collection module is used to collect road water accumulation information; the road water accumulation information includes rainfall, water accumulation depth at a single point on the road and images of the road accumulation area;
所述数据处理模块,用于处理所述道路积水信息,得到道路积水深度;所述道路积水深度包括道路积水区域的最大深度以及最大预测深度;The data processing module is configured to process the road water accumulation information to obtain the road water accumulation depth; the road accumulation depth includes the maximum depth and the maximum predicted depth of the road water accumulation area;
所述输出模块,用于输出所述道路积水深度。The output module is used for outputting the road water depth.
进一步,所述参数采集模块包括翻斗式雨量传感器、摄像头以及压力液位传感器;Further, the parameter acquisition module includes a tipping bucket rain sensor, a camera and a pressure level sensor;
所述翻斗式雨量传感器,用于测量降雨量;The tipping bucket rain sensor is used for measuring rainfall;
所述摄像头,用于拍摄道路积水区域图像;The camera is used for capturing images of road water accumulation areas;
所述压力液位传感器,用于测量道路单点积水深度。The pressure liquid level sensor is used to measure the water depth of a single point on the road.
进一步,所述数据处理模块包括嵌入式处理模块以及与所述嵌入式处理模块通信连接的远程数据传输模块;Further, the data processing module includes an embedded processing module and a remote data transmission module communicatively connected to the embedded processing module;
所述嵌入式处理模块,用于对所述道路积水区域图像进行识别,得到道路积水区域实际面积,并对所述降雨量、所述道路单点积水深度以及所述道路积水区域实际面积进行处理,得到道路积水深度;The embedded processing module is used to identify the image of the road water accumulation area, obtain the actual area of the road water accumulation area, and analyze the rainfall, the road water accumulation depth at a single point and the road accumulation area. The actual area is processed to obtain the road water depth;
所述远程数据传输模块,用于接收所述道路积水深度,并发送降雨预报信息至所述嵌入式处理模块。The remote data transmission module is used for receiving the road water depth and sending rainfall forecast information to the embedded processing module.
进一步,所述嵌入式处理模块通过NB-IoT通信模组与所述远程数据传输模块进行通信。Further, the embedded processing module communicates with the remote data transmission module through an NB-IoT communication module.
进一步,所述嵌入式处理模块通过如下方法确定所述道路积水区域的最大深度:Further, the embedded processing module determines the maximum depth of the road water accumulation area by the following method:
其中,H(m)为第m分钟的道路积水区域的最大深度;h(m)为第m分钟的道路单点积水深度;为辅助参数;Among them, H(m) is the maximum depth of the road water accumulation area in the mth minute; h(m) is the single point water accumulation depth of the road in the mth minute; is an auxiliary parameter;
所述嵌入式处理模块通过如下方法确定所述道路积水区域的最大预测深度:The embedded processing module determines the maximum predicted depth of the road water accumulation area by the following method:
其中,H(m+M)为第m分钟时M分钟后的道路积水区域的最大预测深度;以及均为辅助参数;R(j)为第j分钟的降雨量;S(m)为第m分钟的道路积水区域实际面积;Among them, H(m+M) is the maximum predicted depth of the road water area after M minutes at the mth minute; as well as are auxiliary parameters; R(j) is the rainfall in the jth minute; S(m) is the actual area of the road water accumulation area in the mth minute;
所述嵌入式处理模块通过如下方法确定所述辅助参数以及The embedded processing module determines the auxiliary parameter by the following method as well as
其中,x1i为第i次在降雨开始后累计测量得到的降雨量;x2i为第i次计算得到的降雨开始时间与当前时间的差值;x3i为第i次计算得到的道路积水区域实际面积的负值;yi为第i次计算得到的道路积水区域实际面积与道路单点积水深度的乘积;n为测量或计算的总次数;i=1,2,…,n。Among them, x1i is the accumulated rainfall measured after the i-th rain; x2i is the difference between the rain start time and the current time calculated in the i-th time; x3i is the road water accumulated in the i-th calculation. Negative value of the actual area of the area; yi is the product of the actual area of the road water accumulation area obtained by the i-th calculation and the water accumulation depth at a single point of the road; n is the total number of measurements or calculations; i=1,2,…,n .
进一步,根据如下公式确定第m分钟的道路积水区域实际面积S(m):Further, the actual area S(m) of the road water accumulation area in the mth minute is determined according to the following formula:
S(m)=k·S像素(m);S(m)=k·Spixel (m);
其中,k为道路积水区域实际面积的换算系数;S像素(m)为第m分钟的道路积水区域在图像中的像素面积;所述道路积水区域实际面积的换算系数S参考物为1m×1m的参考物在图像中的像素面积。Among them, k is the conversion factor of the actual area of the road water accumulation area; Spixel (m) is the pixel area of the road water accumulation area in the image in the mth minute; the conversion factor of the actual area of the road water accumulation area The Sreference is the pixel area of the 1m × 1m reference in the image.
本发明的有益效果是:本发明公开的一种大数据分析与机理模型协同的道路积水深度监测方法及系统,通过机器学习对采集的道路积水区域图像进行大数据分析,保证了获取的道路积水区域实际面积的可靠性,通过严谨科学的机理模型对道路积水区域实际面积、降雨量、道路单点积水深度进行处理,进而准确地计算出道路积水区域的积水最大深度以及预测最大深度,有效地防止出现道路积水深度误报、错报的情况,弥补了其他道路积水监测方式的不足,为道路排水建设提供了有力的参考。The beneficial effects of the present invention are as follows: the method and system for monitoring the depth of road water accumulation in collaboration with big data analysis and mechanism models disclosed in the present invention perform big data analysis on the collected road water accumulation area images through machine learning, ensuring that the acquired The reliability of the actual area of the road water accumulation area is processed through a rigorous and scientific mechanism model to process the actual area of the road water accumulation area, rainfall, and the depth of the single point water accumulation on the road, and then accurately calculate the maximum water accumulation depth of the road water accumulation area. As well as predicting the maximum depth, it can effectively prevent the misreporting and misreporting of road water depth, make up for the deficiencies of other road water monitoring methods, and provide a powerful reference for road drainage construction.
附图说明Description of drawings
下面结合附图和实施例对本发明作进一步描述:Below in conjunction with accompanying drawing and embodiment, the present invention is further described:
图1为本发明的方法流程示意图;Fig. 1 is the method flow schematic diagram of the present invention;
图2为本发明的系统结构示意图;Fig. 2 is the system structure schematic diagram of the present invention;
图3为本发明的道路积水监测终端结构示意图;3 is a schematic structural diagram of the road water monitoring terminal of the present invention;
其中,1-支撑灯杆;2-翻斗式雨量传感器;3-道路积水监测终端;4-摄像头;5-积水信息显示屏;6-压力液位传感器。Among them, 1- support light pole; 2- tipping bucket rain sensor; 3- road water monitoring terminal; 4- camera; 5- water information display screen; 6- pressure level sensor.
具体实施方式Detailed ways
以下结合说明书附图对本发明做出进一步的说明,如图所示:The present invention is further described below in conjunction with the accompanying drawings of the description, as shown in the figure:
本发明的大数据分析与机理模型协同的道路积水深度监测方法,如图1所示,包括如下步骤:The method for monitoring the depth of road water accumulation in which big data analysis and mechanism model are coordinated, as shown in FIG. 1 , includes the following steps:
S1.采集道路积水信息;所述道路积水信息包括降雨量、道路单点积水深度以及道路积水区域图像;S1. Collect road water accumulation information; the road water accumulation information includes rainfall, water accumulation depth at a single point on the road, and images of the road accumulation area;
S2.对所述道路积水区域图像进行识别,得到道路积水区域实际面积,并对所述降雨量、所述道路单点积水深度以及所述道路积水区域实际面积进行处理,得到道路积水深度;所述道路积水深度包括道路积水区域的最大深度以及最大预测深度;S2. Identify the image of the road water accumulation area to obtain the actual area of the road water accumulation area, and process the rainfall, the single point water accumulation depth of the road and the actual area of the road water accumulation area to obtain the road water accumulation area. Water accumulation depth; the road water accumulation depth includes the maximum depth of the road water accumulation area and the maximum predicted depth;
S3.输出所述道路积水深度。S3. Output the water depth of the road.
本发明通过对采集的道路积水信息数据进行大数据分析处理,得到分析处理后的数据;并使用机理模型对分析处理后的数据进行计算,进而得到道路积水区域的最大深度以及最大预测深度。其中,所述大数据包括结构化数据以及非机构化数据,所述结构化数据包括降雨量以及道路单点积水深度;所述非机构化数据包括道路积水区域图像;所述机理模型包括所述道路积水区域的最大深度的计算公式以及所述道路积水区域的最大预测深度的计算公式。The present invention obtains the analyzed and processed data by performing big data analysis and processing on the collected road water accumulation information data; and uses the mechanism model to calculate the analyzed and processed data, thereby obtaining the maximum depth and the maximum predicted depth of the road water accumulation area . Wherein, the big data includes structured data and non-institutionalized data, the structured data includes rainfall and the depth of water accumulation at a single point on the road; the non-institutionalized data includes images of road water accumulation areas; the mechanism model includes The calculation formula of the maximum depth of the road water accumulation area and the calculation formula of the maximum predicted depth of the road water accumulation area.
本实施例中,步骤S2中,对所述道路积水区域图像进行识别,得到道路积水区域实际面积,具体包括:In this embodiment, in step S2, the image of the road water accumulation area is identified to obtain the actual area of the road water accumulation area, which specifically includes:
获取道路积水区域的图像,进而得到大量的正样本(道路积水区域)、负样本(道路非积水区域),其中,正样本与负样本在颜色特征、纹理特征上有明显的不同,对所述道路积水区域的正、负样本分别进行颜色特征与纹理特征的标记处理,得到处理后的道路积水正、负区域样本;Obtain the image of the road water area, and then obtain a large number of positive samples (road water area) and negative samples (road non-water area). Among them, the positive samples and negative samples are obviously different in color features and texture features. Marking processing of color features and texture features is performed on the positive and negative samples of the road water accumulation area, respectively, to obtain processed road water accumulation positive and negative area samples;
采用HSV颜色空间识别和SVM纹理特征识别相结合的方式对所述处理后的道路积水区域正、负样本进行识别,得到道路积水识别模型;所述HSV颜色空间识别以及所述SVM纹理特征识别采用现有技术,在此不再赘述;The positive and negative samples of the processed road water area are identified by a combination of HSV color space recognition and SVM texture feature recognition to obtain a road water recognition model; the HSV color space recognition and the SVM texture feature The identification adopts the prior art, which will not be repeated here;
使用道路积水识别模型对道路积水区域图像进行识别处理,得到道路积水区域实际面积,进而实现了基于道路积水区域图像的大数据分析。The road water accumulation recognition model is used to identify and process the road water accumulation area image, and the actual area of the road accumulation area is obtained, and then the big data analysis based on the road accumulation area image is realized.
本实施例中,根据如下公式确定道路积水区域实际面积S:In this embodiment, the actual area S of the road water accumulation area is determined according to the following formula:
S=k·S像素;S=k·Spixels ;
其中,k为道路积水区域实际面积的换算系数;S像素为道路积水区域在图像中的像素面积;所述道路积水区域实际面积的换算系数S参考物为1m×1m大小的正方形参考物在图像中的像素面积。Among them, k is the conversion factor of the actual area of the road water accumulation area; Spixel is the pixel area of the road water accumulation area in the image; the conversion coefficient of the actual area of the road water accumulation area The Sreference is the pixel area of the 1m × 1m square reference in the image.
本实施例中,步骤S2中,根据如下公式确定所述道路积水区域的最大深度:In this embodiment, in step S2, the maximum depth of the road water accumulation area is determined according to the following formula:
其中,H(m)为第m分钟的道路积水区域的最大深度;h(m)为第m分钟的道路单点积水深度;为辅助参数;Among them, H(m) is the maximum depth of the road water accumulation area in the mth minute; h(m) is the single point water accumulation depth of the road in the mth minute; is an auxiliary parameter;
根据如下公式确定所述道路积水区域的最大预测深度:The maximum predicted depth of the road water area is determined according to the following formula:
其中,H(m+M)为第m分钟时M分钟后的道路积水区域的最大预测深度;以及均为辅助参数;R(j)为第j分钟的降雨量,其中,第m分钟到第m+M分钟之间某个时刻的降雨量为降雨预报提供的预测降雨量;S(m)为第m分钟的道路积水区域实际面积;所述第m分钟的道路积水区域实际面积S(m)为在第m分钟时测量得到的道路积水区域实际面积S。Among them, H(m+M) is the maximum predicted depth of the road water area after M minutes at the mth minute; as well as are auxiliary parameters; R(j) is the rainfall in the jth minute, where the rainfall at a certain moment between the mth minute and the m+Mth minute is the predicted rainfall provided by the rainfall forecast; S(m) is the The actual area of the road water accumulation area in the mth minute; the actual area S(m) of the road water accumulation area in the mth minute is the actual area S of the road water accumulation area measured at the mth minute.
根据如下式子确定所述辅助参数以及The auxiliary parameter is determined according to the following formula as well as
其中,x1i为第i次在降雨开始后累计测量得到的降雨量,所述降雨开始后累计测量得到的降雨量为t0为降雨开始时间,tc为当前时间;x2i为第i次计算得到的降雨开始时间与当前时间的差值,所述降雨开始时间与当前时间的差值为t0-tc;x3i为第i次计算得到的当前时间的道路积水区域实际面积的负值,所述当前时间的道路积水区域实际面积为S(tc),其对应的负值为-S(tc),所述S(tc)为在tc时刻测量得到的道路积水区域实际面积S;yi为第i次计算得到的当前时间的道路积水区域实际面积与道路单点积水深度的乘积,所述当前时间的道路积水区域实际面积与道路单点积水深度的乘积为S(tc)·h(tc),h(tc)为当前时间的道路单点积水深度;n为测量或计算的总次数;i=1,2,…,n;为了保证测量或计算的有效性及准确性,n的取值不小于4。Among them, x1i is the accumulated rainfall measured after the i-th rain starts, and the accumulated rainfall after the rainfall starts is: t0 is the rain start time, tc is the current time; x2i is the difference between the rain start time calculated for the i-th time and the current time, and the difference between the rain start time and the current time is t0 -tc ; x3i is the negative value of the actual area of the road stagnant area at the current time calculated for the i-th time, the actual area of the road stagnant area at the current time is S(tc ), and its corresponding negative value is -S(tc ), the S(tc ) is the actual area S of the road water accumulation area measured at time tc ; yi is the actual area of the road water accumulation area at the current time calculated for the i-th time and the road water accumulation at a single point The product of the depth, the product of the actual area of the road water accumulation area at the current time and the road single point water accumulation depth is S(tc ) h(tc ), and h(tc ) is the road single point product at the current time. Water depth; n is the total number of measurements or calculations; i=1,2,...,n; in order to ensure the validity and accuracy of the measurement or calculation, the value of n is not less than 4.
一种大数据分析与机理模型协同的道路积水深度监测系统,包括参数采集模块、数据处理模块以及输出模块;A road water depth monitoring system in which big data analysis and mechanism model are coordinated, comprising a parameter acquisition module, a data processing module and an output module;
所述参数采集模块,用于采集道路积水信息;所述道路积水信息包括降雨量、道路单点积水深度以及道路积水区域图像;The parameter collection module is used to collect road water accumulation information; the road water accumulation information includes rainfall, water accumulation depth at a single point on the road and images of the road accumulation area;
所述数据处理模块,用于处理所述道路积水信息,得到道路积水深度;所述道路积水深度包括道路积水区域的最大深度以及最大预测深度;The data processing module is configured to process the road water accumulation information to obtain the road water accumulation depth; the road accumulation depth includes the maximum depth and the maximum predicted depth of the road water accumulation area;
所述输出模块,用于输出所述道路积水深度;本实施例中,如图2所示,所述输出模块为积水信息显示屏5,所述积水信息显示屏5为一种LED显示屏,其显示的信息有5行,内容由上至下依次为:积水提示信息、道路单点积水深度、道路积水区域的最大深度、道路积水区域的预测最大深度以及本地实时时间。The output module is used to output the depth of the road water accumulation; in this embodiment, as shown in FIG. 2 , the output module is the water accumulation
本实施例中,如图2所示,所述参数采集模块包括翻斗式雨量传感器2、摄像头4以及压力液位传感器6;其中,所述翻斗式雨量传感器2以及所述摄像头4分别安装在支撑灯杆1的第一悬臂以及第二悬臂上,所述第一悬臂以及第二悬臂的长度均为1米;所述压力液位传感器6布置在道路路面上;所述支撑灯杆1为道路照明常用设备,所述支撑灯杆1的高度在8~12米范围内,其安装在道路一侧。In this embodiment, as shown in FIG. 2 , the parameter collection module includes a tipping
所述翻斗式雨量传感器2为脉冲型雨量传感器,与所述数据处理模块连接,用于测量道路积水路段的降雨量,并将降雨量输入所述数据处理模块;The tipping bucket
所述摄像头4,与所述数据处理模块连接,用于对道路积水区域进行监控并周期性地录制道路积水区域视频或拍摄道路积水区域图像,并将道路积水区域图像输入所述数据处理模块;所述摄像头4的像素为500万,可扩展至800万及以上;其中,所述录制的道路积水区域视频可以分割成多张静态的图像,进而实现对图像的处理;The camera 4, connected to the data processing module, is used to monitor the road water area and periodically record the road water area video or shoot the road water area image, and input the road water area image into the a data processing module; the pixels of the camera 4 are 5 million, which can be expanded to 8 million and above; wherein, the recorded video of the road stagnant area can be divided into multiple static images, thereby realizing image processing;
所述压力液位传感器6,与所述数据处理模块连接,用于测量道路单点积水深度,并将道路单点积水深度输入所述数据处理模块。The pressure
本实施例中,所述数据处理模块包括嵌入式处理模块以及与所述嵌入式处理模块通信连接的远程数据传输模块;In this embodiment, the data processing module includes an embedded processing module and a remote data transmission module communicatively connected to the embedded processing module;
如图2、3所示,所述嵌入式处理模块为道路积水监测终端3,所述道路积水监测终端3包括嵌入式微控制器以及设置于嵌入式微控制器上的若干个通信接口;所述若干个通信接口包括显示屏接口、供电电源接口、翻斗式雨量传感器接口、压力液位传感器接口、摄像头接口以及USART串行接口;所述嵌入式微控制器具有图像处理功能,所述嵌入式微控制器可为树莓派3b、3b+、4b或4b+。As shown in Figures 2 and 3, the embedded processing module is a road
所述道路积水监测终端3通过翻斗式雨量传感器接口接收翻斗式雨量传感器2输入的降雨量;所述道路积水监测终端3通过摄像头接口接收摄像头4输入的道路积水区域图像;所述道路积水监测终端3通过压力液位传感器接口接收压力液位传感器6输入的道路单点积水深度。The road
所述道路积水监测终端3通过所述供电电源接口接收外部电源的供电,所述外部电源为市电220V交流电源;所述道路积水监测终端3通过所述显示屏接口将道路积水深度输入积水信息显示屏5。The road
所述道路积水监测终端3用于对所述道路积水区域图像进行识别,得到道路积水区域实际面积,并对所述降雨量、所述道路单点积水深度以及所述道路积水区域实际面积进行处理,得到道路积水深度;The road
所述远程数据传输模块为云服务平台,所述云服务平台用于接收所述道路积水监测终端3输入的道路积水深度,并发送降雨预报信息至所述道路积水监测终端3;所述降雨预报信息包括道路积水区域所在地的降雨量;所述云服务平台采用现有技术,在此不再赘述。The remote data transmission module is a cloud service platform, and the cloud service platform is used to receive the road water depth input by the road
所述道路积水监测终端3以及所述积水信息显示屏5均安装在支撑灯杆1上。The road water
本实施例中,所述道路积水监测终端3通过NB-IoT通信模组与所述云服务平台进行通信。所述NB-IoT通信模组通过USART串行接口接入到所述道路积水监测终端3;所述NB-IoT通信模组为窄带物联网(Narrow Band Internet of Things,NB-IoT),其支持接入的设备更多,功能损耗更低,信号覆盖能力更强,从而保证了道路积水监测终端3与云服务平台之间信息传递的稳定与可靠。所述NB-IoT通信模组采用现有技术,在此不再赘述。In this embodiment, the road
本实施例中,所述道路积水监测终端3通过如下方法确定所述道路积水区域的最大深度:In this embodiment, the road
其中,H(m)为第m分钟的道路积水区域的最大深度;h(m)为第m分钟的道路单点积水深度;为辅助参数;Among them, H(m) is the maximum depth of the road water accumulation area in the mth minute; h(m) is the single point water accumulation depth of the road in the mth minute; is an auxiliary parameter;
所述道路积水监测终端3通过如下方法确定所述道路积水区域的最大预测深度:The road
其中,H(m+M)为第m分钟时M分钟后的道路积水区域的最大预测深度;以及均为辅助参数;R(j)为第j分钟的降雨量,其中,第m分钟到第m+M分钟之间某个时刻的降雨量为降雨预报提供的预测降雨量;S(m)为第m分钟的道路积水区域实际面积;Among them, H(m+M) is the maximum predicted depth of the road water area after M minutes at the mth minute; as well as are auxiliary parameters; R(j) is the rainfall in the jth minute, where the rainfall at a certain moment between the mth minute and the m+Mth minute is the predicted rainfall provided by the rainfall forecast; S(m) is the The actual area of the road water accumulation area in the mth minute;
所述道路积水监测终端3通过如下方法确定所述辅助参数以及The road
其中,x1i为第i次在降雨开始后累计测量得到的降雨量,所述降雨开始后累计测量得到的降雨量为t0为降雨开始时间,tc为当前时间,所述降雨量由翻斗式雨量传感器2测量得到;x2i为第i次计算得到的降雨开始时间与当前时间的差值,所述降雨开始时间与当前时间的差值为t0-tc;x3i为第i次计算得到的当前时间的道路积水区域实际面积的负值,所述当前时间的道路积水区域实际面积为S(tc),其对应的负值为-S(tc),所述S(tc)为在tc时刻测量得到的道路积水区域实际面积S;yi为第i次计算得到的当前时间的道路积水区域实际面积与道路单点积水深度的乘积,所述当前时间的道路积水区域实际面积与道路单点积水深度的乘积为S(tc)·h(tc),h(tc)为当前时间的道路单点积水深度,所述h(tc)为在tc时刻由压力液位传感器6测量得到;n为测量或计算的总次数;i=1,2,…,n;为了保证测量或计算的有效性及准确性,n的取值不小于4。Among them, x1i is the accumulated rainfall measured after the i-th rain starts, and the accumulated rainfall after the rainfall starts is: t0 is the rain start time, tc is the current time, and the rainfall is measured by the tipping
本实施例中,根据如下公式确定第m分钟的道路积水区域实际面积S(m):In this embodiment, the actual area S(m) of the road water accumulation area in the mth minute is determined according to the following formula:
S(m)=k·S像素(m);S(m)=k·Spixel (m);
其中,k为道路积水区域实际面积的换算系数;S像素(m)为第m分钟的道路积水区域在图像中的像素面积;所述道路积水区域实际面积的换算系数S参考物为1m×1m大小的正方形参考物在图像中的像素面积。Among them, k is the conversion factor of the actual area of the road water accumulation area; Spixel (m) is the pixel area of the road water accumulation area in the image in the mth minute; the conversion factor of the actual area of the road water accumulation area The Sreference is the pixel area of the 1m × 1m square reference in the image.
最后说明的是,以上实施例仅用以说明本发明的技术方案而非限制,尽管参照较佳实施例对本发明进行了详细说明,本领域的普通技术人员应当理解,可以对本发明的技术方案进行修改或者等同替换,而不脱离本发明技术方案的宗旨和范围,其均应涵盖在本发明的权利要求范围当中。Finally, it should be noted that the above embodiments are only used to illustrate the technical solutions of the present invention and not to limit them. Although the present invention has been described in detail with reference to the preferred embodiments, those of ordinary skill in the art should understand that the technical solutions of the present invention can be Modifications or equivalent substitutions without departing from the spirit and scope of the technical solutions of the present invention should be included in the scope of the claims of the present invention.
| Application Number | Priority Date | Filing Date | Title |
|---|---|---|---|
| CN202011179110.0ACN112329582B (en) | 2020-10-29 | 2020-10-29 | Method and system for road water depth monitoring based on big data analysis and mechanism model |
| Application Number | Priority Date | Filing Date | Title |
|---|---|---|---|
| CN202011179110.0ACN112329582B (en) | 2020-10-29 | 2020-10-29 | Method and system for road water depth monitoring based on big data analysis and mechanism model |
| Publication Number | Publication Date |
|---|---|
| CN112329582A CN112329582A (en) | 2021-02-05 |
| CN112329582Btrue CN112329582B (en) | 2022-08-02 |
| Application Number | Title | Priority Date | Filing Date |
|---|---|---|---|
| CN202011179110.0AActiveCN112329582B (en) | 2020-10-29 | 2020-10-29 | Method and system for road water depth monitoring based on big data analysis and mechanism model |
| Country | Link |
|---|---|
| CN (1) | CN112329582B (en) |
| Publication number | Priority date | Publication date | Assignee | Title |
|---|---|---|---|---|
| CN113342877B (en)* | 2021-06-16 | 2022-11-15 | 上海领路人科技股份有限公司 | Urban municipal road operation safety monitoring method based on big data analysis and cloud computing and cloud monitoring platform |
| CN114332487A (en)* | 2021-12-31 | 2022-04-12 | 北京精英路通科技有限公司 | Image-based accumulated water early warning method, device, equipment, storage medium and product |
| CN114202573B (en)* | 2022-02-18 | 2022-04-29 | 南京路健通工程技术有限公司 | Prompting method and device for roads in tourist area |
| CN114782517A (en)* | 2022-06-16 | 2022-07-22 | 江苏新晖测控科技有限公司 | Emergency state water level monitoring and alarming system and method based on cloud computing |
| CN115019260B (en)* | 2022-07-12 | 2024-10-15 | 长沙海信智能系统研究院有限公司 | Road snow state identification method and device and electronic equipment |
| CN115690705A (en)* | 2022-09-27 | 2023-02-03 | 国网浙江省电力有限公司嘉兴供电公司 | Accumulated water detection method and system based on image recognition |
| Publication number | Priority date | Publication date | Assignee | Title |
|---|---|---|---|---|
| CN102902893A (en)* | 2012-10-29 | 2013-01-30 | 南京信息工程大学 | Method for calculating rainfall ponding depth of catchment area based on DEM (digital elevation model) |
| CN104457551A (en)* | 2015-01-07 | 2015-03-25 | 西南大学 | Railway subgrade subsidence monitoring system and method |
| CN104658285A (en)* | 2015-02-06 | 2015-05-27 | 天津大学 | Intelligent traffic smoothing method in urban inland inundation |
| CN104729622A (en)* | 2013-12-23 | 2015-06-24 | 上海市政工程设计研究总院(集团)有限公司 | City road waterlogging depth monitoring method |
| WO2018058856A1 (en)* | 2016-09-28 | 2018-04-05 | 深圳市元征科技股份有限公司 | Road-surface ponding detection method and device |
| CN109670404A (en)* | 2018-11-23 | 2019-04-23 | 江苏理工学院 | A kind of road ponding image detection method for early warning based on mixed model |
| CN208984162U (en)* | 2018-10-19 | 2019-06-14 | 石家庄雷威电子科技有限公司 | A monitoring system for water accumulation in expressway culverts |
| Publication number | Priority date | Publication date | Assignee | Title |
|---|---|---|---|---|
| CN102902893A (en)* | 2012-10-29 | 2013-01-30 | 南京信息工程大学 | Method for calculating rainfall ponding depth of catchment area based on DEM (digital elevation model) |
| CN104729622A (en)* | 2013-12-23 | 2015-06-24 | 上海市政工程设计研究总院(集团)有限公司 | City road waterlogging depth monitoring method |
| CN104457551A (en)* | 2015-01-07 | 2015-03-25 | 西南大学 | Railway subgrade subsidence monitoring system and method |
| CN104658285A (en)* | 2015-02-06 | 2015-05-27 | 天津大学 | Intelligent traffic smoothing method in urban inland inundation |
| WO2018058856A1 (en)* | 2016-09-28 | 2018-04-05 | 深圳市元征科技股份有限公司 | Road-surface ponding detection method and device |
| CN208984162U (en)* | 2018-10-19 | 2019-06-14 | 石家庄雷威电子科技有限公司 | A monitoring system for water accumulation in expressway culverts |
| CN109670404A (en)* | 2018-11-23 | 2019-04-23 | 江苏理工学院 | A kind of road ponding image detection method for early warning based on mixed model |
| Publication number | Publication date |
|---|---|
| CN112329582A (en) | 2021-02-05 |
| Publication | Publication Date | Title |
|---|---|---|
| CN112329582B (en) | Method and system for road water depth monitoring based on big data analysis and mechanism model | |
| CN104655030B (en) | A kind of powerline ice-covering detection and prior-warning device | |
| CN113823088B (en) | Urban road ponding depth prediction and early warning method based on visual recognition technology | |
| CN102288254B (en) | Water level measuring method based on digital image processing | |
| CN103345815A (en) | Urban storm flood monitoring and traffic controlling and guiding system and method | |
| CN106683089A (en) | Pole tower deformation detection method with constraint registration | |
| CN102279081A (en) | Method and device for detecting water seepage of tunnel | |
| CN101441802A (en) | Safe monitoring early-warning system of ore tailings warehouse | |
| CN107833203A (en) | A kind of horizontal plane identification and water level method for real-time measurement based on image procossing | |
| CN109801327A (en) | A kind of urban waterlogging depth of accumulated water information extracting method based on video data | |
| CN205595689U (en) | A handheld terminating set for distribution lines patrols and examines | |
| CN109186706A (en) | A method of for the early warning of Urban Storm Flood flooding area | |
| KR101461184B1 (en) | Wether condition data extraction system using cctv image | |
| CN115755228A (en) | Accumulated water road section prediction method | |
| CN113593191A (en) | Visual urban waterlogging monitoring and early warning system based on big data | |
| CN107631782A (en) | A kind of level testing methods based on Harris Corner Detections | |
| CN110750516A (en) | Rainfall Analysis Model Construction Method, Construction System and Analysis Method Based on Radar Chart | |
| CN103322918B (en) | The equipment of measuring vehicle height and measuring method thereof | |
| CN114639064A (en) | Water level identification method and device | |
| LU102459B1 (en) | Method for predicting building height using satellite image | |
| CN118247251A (en) | Method and system for predicting dust accumulation degree of photovoltaic modules using visible light images | |
| CN115345854B (en) | Water level identification method based on multi-region search | |
| CN120408523A (en) | A method for identifying the corrosion status of sound barriers by fusing images and multi-sensor data | |
| CN111798529A (en) | Pipe network free outflow flow online monitoring method based on image recognition | |
| CN111829614A (en) | Forecasting system based on 4G water level video identification |
| Date | Code | Title | Description |
|---|---|---|---|
| PB01 | Publication | ||
| PB01 | Publication | ||
| SE01 | Entry into force of request for substantive examination | ||
| SE01 | Entry into force of request for substantive examination | ||
| GR01 | Patent grant | ||
| GR01 | Patent grant |