Movatterモバイル変換


[0]ホーム

URL:


CN112329232A - Fracture-cavity type oil reservoir production dynamic characterization method, device, equipment and storage medium - Google Patents

Fracture-cavity type oil reservoir production dynamic characterization method, device, equipment and storage medium
Download PDF

Info

Publication number
CN112329232A
CN112329232ACN202011214880.4ACN202011214880ACN112329232ACN 112329232 ACN112329232 ACN 112329232ACN 202011214880 ACN202011214880 ACN 202011214880ACN 112329232 ACN112329232 ACN 112329232A
Authority
CN
China
Prior art keywords
fracture
oil
cavity
water injection
objective function
Prior art date
Legal status (The legal status is an assumption and is not a legal conclusion. Google has not performed a legal analysis and makes no representation as to the accuracy of the status listed.)
Granted
Application number
CN202011214880.4A
Other languages
Chinese (zh)
Other versions
CN112329232B (en
Inventor
王代刚
宋考平
李勇
李保柱
王�琦
魏晨吉
赵宽志
蔡泉
Current Assignee (The listed assignees may be inaccurate. Google has not performed a legal analysis and makes no representation or warranty as to the accuracy of the list.)
China University of Petroleum Beijing
Original Assignee
China University of Petroleum Beijing
Priority date (The priority date is an assumption and is not a legal conclusion. Google has not performed a legal analysis and makes no representation as to the accuracy of the date listed.)
Filing date
Publication date
Application filed by China University of Petroleum BeijingfiledCriticalChina University of Petroleum Beijing
Priority to CN202011214880.4ApriorityCriticalpatent/CN112329232B/en
Publication of CN112329232ApublicationCriticalpatent/CN112329232A/en
Application grantedgrantedCritical
Publication of CN112329232BpublicationCriticalpatent/CN112329232B/en
Activelegal-statusCriticalCurrent
Anticipated expirationlegal-statusCritical

Links

Images

Classifications

Landscapes

Abstract

The embodiment of the specification provides a fracture-cavity type oil reservoir production dynamic characterization method, a device, equipment and a storage medium, wherein the method comprises the following steps: determining the type of a fracture-cavity unit to which the target single well belongs; establishing a relation model of the periodic comprehensive water content and the periodic enhanced oil recovery amplitude of the target single well under multiple rounds of water injection and oil replacement according to the generalized Darcy's law; constructing a minimized objective function according to the relation model; solving the minimized objective function by taking the observed value of the periodic comprehensive water content of the target single well as input to obtain a determined relation model; and taking the relation curve corresponding to the determined relation model as a production dynamic rule of the oil well corresponding to the type of the fracture-cavity unit under the condition of multiple times of water injection for oil replacement. The embodiment of the specification can improve the accuracy of dynamic representation of the fracture-cavity oil reservoir by performing multiple rounds of water injection instead of oil production.

Description

Fracture-cavity type oil reservoir production dynamic characterization method, device, equipment and storage medium
Technical Field
The specification relates to the technical field of fracture-cavity carbonate reservoir (hereinafter referred to as fracture-cavity reservoir) development, in particular to a method, a device, equipment and a storage medium for dynamic characterization of fracture-cavity reservoir production.
Background
Fracture-cavity reservoirs are generally special types of reservoirs with large karst caves and fractures as the main reservoir spaces. The fracture-cavity oil reservoir has various reservoir space types, large difference of single well control reserves, serious heterogeneity and abnormal and complex oil-water relationship.
The front-stage exploitation of the fracture-cavity oil reservoir mainly depends on elastic energy and natural water flooding development. Aiming at the problems of rapid yield decrease and low recovery rate amplitude caused by insufficient energy and rising water content of part of fracture-vug reservoirs, the prior art forms a later-stage exploitation technology mainly using multiple rounds of water injection for replacing oil so as to improve the recovery rate of crude oil. However, due to the different adaptability to different types of fracture-cavity reservoirs, the water injection and oil increase effects are gradually deteriorated with the increase of water injection amount, the number of failure wells is obviously increased, and a large amount of residual oil is still remained at the positions around the wells and is not used. Research shows that the dynamic law of oil replacement production by multiple rounds of water injection is accurately represented, and the method has important significance for making reasonable optimization adjustment strategies subsequently, restoring the productivity of oil wells and fully excavating used geological reserves. However, the lack of a quantitative representation of the dynamic law of oil replacement by water injection for multiple rounds has become an urgent technical scheme at present, so that the accurate representation of the dynamic law of oil replacement by water injection for multiple rounds is difficult.
Disclosure of Invention
The embodiment of the specification aims to provide a fracture-cavity oil reservoir production dynamic representation method, device, equipment and storage medium, so as to improve the accuracy of the fracture-cavity oil reservoir production dynamic representation by multiple rounds of water injection for oil replacement.
In order to achieve the above object, in one aspect, the present specification provides a fracture-cavity reservoir production dynamic characterization method, including:
determining the type of a fracture-cavity unit to which the target single well belongs;
establishing a relation model of the periodic comprehensive water content and the periodic enhanced oil recovery amplitude of the target single well under multiple rounds of water injection and oil replacement according to the generalized Darcy's law;
constructing a minimized objective function according to the relation model;
solving the minimized objective function by taking the observed value of the periodic comprehensive water content of the target single well as input to obtain a determined relation model;
and taking the relation curve corresponding to the determined relation model as a production dynamic rule of the oil well corresponding to the type of the fracture-cavity unit under the condition of multiple times of water injection for oil replacement.
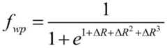
In one method embodiment of the present specification, the relational model is expressed as
Figure BDA0002760026000000021
Wherein f iswpThe water content is periodically integrated, delta R is the period enhanced recovery ratio amplitude, a, b, c and d are parameters to be solved, and e is a natural number.
In one method embodiment of the present specification, the minimization objective function is expressed as
Figure BDA0002760026000000022
Wherein J represents an objective function; u represents a control parameter vector to be solved;
Figure BDA0002760026000000023
respectively represents t in j-th water injection oil replacementkThe predicted value and the observed value of the water content are synthesized in the period of time; n is a radical oftRepresenting the water injection oil replacement turns.
In one embodiment of the method of the present specification, wherein the ith component u of uiIs shown as
Figure BDA0002760026000000024
Wherein v isiRepresents uiThe value of the control parameter variable after the logarithmic transformation,
Figure BDA0002760026000000025
respectively represents uiMinimum and maximum values of (d), uiSatisfy the requirement of
Figure BDA0002760026000000026
i=1,2,…,Nu,NuRepresenting the dimension of u.
In another aspect, an embodiment of the present specification further provides a fracture-cavity reservoir production dynamic characterization device, including:
the type determining module is used for determining the type of the fracture-cavity unit to which the target single well belongs;
the model establishing module is used for establishing a relation model of the periodic comprehensive water content and the periodic enhanced oil recovery amplitude of the target single well under multiple rounds of water injection and oil replacement according to the generalized Darcy's law;
the function building module is used for building a minimized objective function according to the relation model;
the function solving module is used for solving the minimum objective function by taking the observed value of the periodic comprehensive water content of the target single well as input to obtain a determined relation model;
and the rule determining module is used for taking the relation curve corresponding to the determined relation model as a dynamic production rule of the oil well corresponding to the type of the fracture-cavity unit under the condition of replacing oil by multiple times of water injection.
In one embodiment of the apparatus of the present specification, the relational model is expressed as
Figure BDA0002760026000000027
Wherein f iswpThe water content is periodically integrated, delta R is the period enhanced recovery ratio amplitude, a, b, c and d are parameters to be solved, and e is a natural number.
In one embodiment of the apparatus of the present specification, the minimization objective function is expressed as
Figure BDA0002760026000000031
Wherein J represents an objective function; u represents a control parameter vector to be solved;
Figure BDA0002760026000000032
respectively represents t in j-th water injection oil replacementkThe predicted value and the observed value of the water content are synthesized in the period of time; n is a radical oftRepresenting the water injection oil replacement turns.
In an embodiment of the present specification, wherein the ith component u of uiIs shown as
Figure BDA0002760026000000033
Wherein v isiRepresents uiThe value of the control parameter variable after the logarithmic transformation,
Figure BDA0002760026000000034
respectively represents uiMinimum and maximum values of (d), uiSatisfy the requirement of
Figure BDA0002760026000000035
i=1,2,…,Nu,NuRepresenting the dimension of u.
In another aspect, the embodiments of the present specification further provide a computer device, which includes a memory, a processor, and a computer program stored on the memory, and when the computer program is executed by the processor, the computer program executes the instructions of the above method.
In another aspect, the present specification further provides a computer storage medium, on which a computer program is stored, and the computer program is executed by a processor to execute the instructions of the method.
It can be seen from the technical solutions provided in the embodiments of the present specification that, in the embodiments of the present specification, the relationship curve reflects a quantitative relationship between the periodic comprehensive water content and the periodic enhanced oil recovery rate amplitude, and the quantitative relationship between the periodic comprehensive water content and the periodic enhanced oil recovery rate amplitude quantitatively represents a dynamic production rule of an oil well corresponding to the type of the fracture-cavity unit under oil replacement by multiple times of water injection, and subsequently, for any oil well in the later stage of exploitation in the fracture-cavity oil reservoir, when the type of the fracture-cavity unit is the same as the type of the fracture-cavity unit to which the target single well belongs, the dynamic production rule of the oil well corresponding to the target single well under oil replacement by multiple times of water injection can be represented by the relationship curve corresponding to the target single well. Therefore, for the fracture-cavity oil reservoir, quantitative evaluation of the production dynamic rule of the oil well corresponding to each type of fracture-cavity unit under the condition of multiple times of water injection for oil replacement can be realized by adopting the embodiment of the specification, so that the accuracy of the multiple times of water injection for oil replacement production dynamic representation of the fracture-cavity oil reservoir is improved. And then, applying the quantitative evaluation result to field practice, and guiding the multi-round water injection oil replacement differential comprehensive treatment of different types of fracture-cavity units and the formulation of measures for improving the recovery ratio, so that the potential of residual development is exploited to the maximum extent, and the crude oil recovery ratio of the fracture-cavity oil reservoir is improved.
Drawings
In order to more clearly illustrate the embodiments of the present specification or the technical solutions in the prior art, the drawings needed to be used in the description of the embodiments or the prior art will be briefly introduced below, it is obvious that the drawings in the following description are only some embodiments described in the present specification, and for those skilled in the art, other drawings can be obtained according to the drawings without any creative effort. In the drawings:
FIG. 1 is a flow diagram of a method for dynamic characterization of fracture-cavity reservoir production in some embodiments of the present description;
FIG. 2 is a schematic diagram illustrating the production dynamics of a cave-type slot cell in an exemplary embodiment of the present disclosure;
FIG. 3 is a schematic diagram illustrating the dynamic behavior of hole-cavity slot-hole unit production in an exemplary embodiment of the present disclosure;
FIG. 4 is a schematic diagram illustrating the dynamic behavior of hole-cavity slot-hole unit production in another exemplary embodiment of the present disclosure;
FIG. 5 is a schematic diagram illustrating the production dynamics of a fracture-hole type fracture-hole unit in an exemplary embodiment of the present disclosure;
FIG. 6 is a block diagram of a fracture-cavity reservoir production dynamic characterization apparatus in some embodiments of the present description;
FIG. 7 is a block diagram of a computer device in some embodiments of the present description.
[ description of reference ]
61. A type determination module;
62. a model building module;
63. a function building module;
64. a function solving module;
65. a law determination module;
702. a computer device;
704. a processor;
706. a memory;
708. a drive mechanism;
710. an input/output module;
712. an input device;
714. an output device;
716. a presentation device;
718. a graphical user interface;
720. a network interface;
722. a communication link;
724. a communication bus.
Detailed Description
In order to make those skilled in the art better understand the technical solutions in the present specification, the technical solutions in the embodiments of the present specification will be clearly and completely described below with reference to the drawings in the embodiments of the present specification, and it is obvious that the described embodiments are only a part of the embodiments of the present specification, and not all of the embodiments. All other embodiments obtained by a person skilled in the art based on the embodiments in the present specification without any inventive step should fall within the scope of protection of the present specification.
Referring to fig. 1, a fracture-cavity reservoir production dynamic characterization method of some embodiments of the present description may include the following steps:
s101, determining the type of a fracture-cavity unit to which the target single well belongs.
For fracture-cavity oil reservoirs, the water drive production dynamic rules of different types of fracture-cavity units are obviously different. Therefore, in order to be beneficial to accurately characterizing the production dynamics of the fracture-cavity type oil reservoir, the fracture-cavity unit type of each single well needs to be determined so as to characterize the corresponding reservoir body type.
In some embodiments of the present disclosure, the fracture-cavity unit types (e.g., cavity type, hole-cavity type, fracture-hole type, etc.) may be classified and evaluated according to dynamic and static data of multiple rounds of water injection replacement wells in the fracture-cavity oil reservoir. Static data may include, for example, log response, seismic reflection, well test interpretation, production instability analysis, and depleted production data, among others. The dynamic data can comprise dynamic data such as the cycle exploitation time, daily oil production, peak water content, cumulative oil production, cumulative water production, dynamic geological reserve and water body size of different types of fracture-cave units during multiple rounds of water injection for oil replacement. For example, in one embodiment, the slot cell type division criteria shown in table 1 below may be formed according to the dynamic and static data.
TABLE 1
Figure BDA0002760026000000051
Figure BDA0002760026000000061
In the embodiment of the specification, the target single well is a multi-round water injection replacement oil well in the fracture-cavity oil reservoir, namely the target single well is an oil well in the fracture-cavity oil reservoir in the later exploitation stage. After the slot and hole units of different types are divided according to the dynamic data, the comprehensive water content f of the period can be calculated according to the dynamic datawpAnd a periodic enhanced recovery margin Δ R. And successively recurrently, determining the types of the fracture-cavity units to which all the oil wells in the later mining period in the working area belong, and determining the corresponding periodic comprehensive water content fwpAnd periodic enhanced recovery amplitude Δ R data.
S102, establishing a relation model of the periodic comprehensive water content and the periodic enhanced oil recovery amplitude of the target single well under multiple rounds of water injection and oil replacement according to the generalized Darcy' S law.
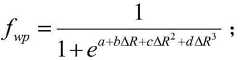
In some embodiments of the description, an improved Craft empirical model can be used for describing the functional relationship between the oil-water relative permeability ratio and the water saturation of the water flooding oil reservoir (the core of the improved Craft empirical model is that the logarithm of the ratio of the oil-water relative permeability can be approximated by a cubic polynomial function of the water saturation), and the generalized Darcy's law and the physical meaning of the flow split (the flow split is equivalent to the water content, and the physical meaning is the percentage of the water yield in the water yield) are combined to respectively deduce the periodic comprehensive water content f of the fracture-cavity oil reservoir multi-round water flooding oil wellwpAnd the calculation expression of the periodic enhanced recovery factor amplitude delta R can be specifically described as follows:
Figure BDA0002760026000000062
Figure BDA0002760026000000063
Figure BDA0002760026000000064
in the formula, Qwp、QopRespectively, the periodic water yield and the periodic oil yield, Kro、KrwRelative permeability of oil phase and water phase respectively; mu.so、μwOil phase and water phase viscosity respectively; vpIs the pore volume; rhooIs the crude oil density; n is dynamic geological reserves; b isoIs the volume coefficient of crude oil under the formation condition; sw0Water saturation before oil is replaced by single well water injection; swAnd (5) the water saturation of the single well after water injection and oil replacement.
Research shows that the periodic enhanced recovery ratio range delta R and the water saturation change Sw-Sw0The positive correlation is formed, for a specific slot hole unit, the physical parameters of other reservoirs are fixed and unchanged, and the comprehensive water content f of a multi-cycle water injection oil replacement cycle is established according to the fixed and unchanged physical parameterswpAnd (3) a relation model of the periodic enhanced oil recovery amplitude delta R, wherein the expression is as follows:
Figure BDA0002760026000000071
wherein f iswpThe water content is periodically integrated, delta R is the period enhanced recovery ratio amplitude, a, b, c and d are parameters to be solved, and e is a natural number.
As will be understood by those skilled in the art, the cycle integrated moisture content refers to: average moisture content in the current period; the periodic enhanced recovery ratio amplitude is as follows: the magnitude of change in recovery from the current cycle relative to the recovery from the previous cycle. In some embodiments of the present disclosure, the period may be a day, in which case the periodic enhanced recovery rate is the percentage increase of the recovery rate of the day relative to the recovery rate of the day before. The periodic comprehensive water content is the average water content of the day. Of course, in other embodiments of the present disclosure, the period may also be any other suitable time period (e.g., week, month, etc.).
S103, constructing a minimized objective function according to the relation model.
In order to realize quantitative evaluation of the dynamic rule of oil replacement production by multiple rounds of water injection of a fracture-cavity oil reservoir, in some embodiments of the present description, a minimum objective function reflecting the sum of squares of errors between a predicted value and an observed value under the influence of hybrid constraints can be established according to a least square theory that a predicted value of dynamic data is matched with an observed value (i.e., an actual measured value), and an expression of the minimum objective function is as follows:
Figure BDA0002760026000000072
and the constraint conditions are satisfied:
Figure BDA0002760026000000073
i=1,2,…,Nu
wherein J represents an objective function; u represents a control parameter vector to be solved;
Figure BDA0002760026000000074
respectively represents t in j-th water injection oil replacementkThe predicted value and the observed value of the water content are synthesized in the period of time (the observed value is the actually observed value); n is a radical oftRepresenting the water injection oil replacement turn; u. ofiThe ith component of u;
Figure BDA0002760026000000075
respectively represents uiMinimum and maximum values of; n is a radical ofuDenotes the dimension of u, when u is [ a, b, c, d ]]When N is presentu=4。
It should be understood that the above-mentioned minimization objective function is only an example, and in other embodiments of the present disclosure, the minimization objective function may be used to reflect the difference between the predicted value and the observed value. The specification is not limited to this, and may be selected as needed.
In other embodiments of the present disclosure, the above-mentioned minimization objective function may further introduce a logarithmic transformation to eliminate the boundary constraint of the control parameter vector, so that the hybrid constraint optimization problem may be converted into an unconstrained optimization problem. The method of logarithmic transformation may be as follows:
Figure BDA0002760026000000081
in the formula, viRepresents uiAnd (4) carrying out logarithmic transformation on the control parameter variable values.
And S104, solving the minimized objective function by taking the observed value of the periodic comprehensive water content of the target single well as input to obtain a determined relation model.
Any suitable optimization algorithm may be used in some embodiments of the present description to solve the minimized objective function to fit the determined relational model.
For example, in an embodiment, a random Approximate Gradient (StoSAG) optimization algorithm may be used to perform automatic history fitting on dynamic data of oil replacement production by multiple rounds of water injection, to obtain a control parameter vector to be solved, that is, values of a, b, c, and d in the relationship model are determined by fitting, and when a, b, c, and d in the relationship model are determined, the relationship model also forms a determined relationship curve. Compared with a gradient algorithm, the StoSAG algorithm has unique advantages in the aspects of time consumption in calculation, avoidance of trapping in a local optimal solution, processing of constraint conditions and the like. When the StoSAG optimization solution is carried out, judging whether a convergence condition is met or not in real time, and if yes, terminating the circulation; otherwise, updating the control parameters and continuing the next iteration. The optimal control vector expression of the StoSAG iterative computation is as follows:
Figure BDA0002760026000000082
in the formula uk、uk+1Respectively representing the optimal control vectors of the kth iteration and the kth +1 th iteration; a iskIs a linear search step length; | d |k||Is the infinite norm of the vector; dkFor controlling the parameter vector ukAnd the objective function J (u)k) For approximating the gradient of the objective functionThe value is obtained.
And S105, taking the relation curve corresponding to the determined relation model as a dynamic production rule of the oil well corresponding to the type of the fracture-cavity unit under the condition of replacing oil by multiple times of water injection.
It has been clarified above that when a, b, c and d are determined in the relation model, the relation model also forms a determined relation curve. For example, when a is 1, b is 1, c is 1, and d is 4, the relationship can be obtained as:
Figure BDA0002760026000000083
it is obvious that the relation reflects fwpAnd Δ R, and fwpAnd the quantitative relation between the delta R and the delta R is that the production dynamic law of the oil well corresponding to the fracture-cavity unit type under the condition of multiple rounds of water injection oil replacement is quantitatively represented, and then for any oil well in the fracture-cavity oil deposit at the later stage of exploitation, when the fracture-cavity unit type of the oil well is the same as the fracture-cavity unit type of the target single well, the production dynamic law of the oil well corresponding to the target single well under the condition of multiple rounds of water injection oil replacement can be represented by using a relation curve corresponding to the target single well. Therefore, for the fracture-cavity oil reservoir, quantitative evaluation of the production dynamic rule of the oil well corresponding to each type of fracture-cavity unit under the condition of multiple times of water injection for oil replacement can be realized by adopting the embodiment of the specification, so that the accuracy of the multiple times of water injection for oil replacement production dynamic representation of the fracture-cavity oil reservoir is improved.
And then, applying the quantitative evaluation result to field practice, and guiding the multi-round water injection oil replacement differential comprehensive treatment of different types of fracture-cavity units and the formulation of measures for improving the recovery ratio, so that the potential of residual development is exploited to the maximum extent, and the crude oil recovery ratio of the fracture-cavity oil reservoir is improved.
For ease of understanding, an application example of the fracture-cavity reservoir production dynamic characterization method of the present specification is described below.
The main effective storage space of the M-fracture-cavity carbonate rock oil reservoir of the Tarim basin comprises large-scale caves, secondary corrosion caves, cracks and the like, and the oil reservoir belongs to unsaturated oilThe pressure difference of the reservoir and the earth saturation is large (approximately 35 MPa-66 MPa), the average pressure is 50.5MPa, the stratum crude oil is mainly light crude oil with low viscosity, low sulfur, middle-content colloid asphaltene and high wax content, and the density is 0.82-1.10 g/cm3The volume coefficient is 1.04-1.66, the average formation pressure is 73.3MPa, the average formation temperature is 154.4 ℃, and the system is a normal temperature-pressure system. According to the dynamic and static data of 30 oil wells with the number of times of oil replacement by water injection of the M-fracture-cavity type oil reservoir being more than 5, on the basis of accurately dividing the type of a reservoir space (namely the type of a fracture-cavity unit), as shown in the table 1, the dynamic law of production by water injection for oil replacement for multiple times of different types of fracture-cavity units can be described by applying the production dynamic quantitative characterization method (for example, as shown in fig. 2 to 5).
As shown in fig. 2, for cavernous reservoirs (i.e., cavernous slotted cells), fwpThe relation curve between delta R and delta R is mostly characterized as a concave characteristic, so a reasonable working system is formulated to prolong the anhydrous oil extraction period as much as possible; once water is broken through, the development effect of water injection for oil replacement is rapidly deteriorated. And at the later stage, nitrogen gas is injected into the top of the container to huff and puff and displace attic oil so as to further improve the oil recovery rate.
For cavern-cavern reservoirs (i.e. cavern-cavern slot cells), fwpThe Δ R curve is characterized as either an "S" type (as shown in FIG. 3) or a "step up" (as shown in FIG. 4). For such reservoirs, a long anhydrous oil production period exists, and a large amount of residual oil is produced after water breakthrough; the residual development potential is fully excavated by combining measures such as drainage oil extraction, well closing and cone pressing and the like and by technologies such as multiple rounds of water injection oil replacement, nitrogen injection huff and puff and the like.
When f iswpWhen the relation curve of the delta R and the delta R is expressed as a hole-cave type reservoir body (namely a hole-cave type slot hole unit) with an S-shaped characteristic, for the reservoir body, the waterless oil production period is longer, and a large amount of residual oil is produced after the water content is broken through; therefore, the residual development potential is fully excavated by combining measures such as drainage oil extraction, well closing and cone pressing and the like through technologies such as multiple times of water injection oil replacement, nitrogen gas injection huff and puff and the like, so that the crude oil recovery rate is improved.
When f is shown in FIG. 5wpThe curve relating Δ R to the "downward convex" characteristic of the crackWhen the oil is stored in a seam-hole type reservoir (namely a seam-hole type seam-hole unit), the period of waterless oil production is short, the effect of improving the recovery ratio is poor, and the development effect is improved by considering such potential excavation measures as repeated acidification, upward returning to a modified layer, hydraulic expansion, gas injection huff and puff and the like, so that the crude oil recovery ratio is improved.
According to the application of the method to each large fracture-cavity carbonate rock oil and gas field in the Tarim basin, the evaluation result of the dynamic characterization method for the fracture-cavity oil reservoir production in the embodiment of the specification is high in reliability, and theoretical basis can be provided for making different comprehensive treatment and recovery rate improvement countermeasures for different types of fracture-cavity units by means of multi-turn water injection replacement oil wells.
While the process flows described above include operations that occur in a particular order, it should be appreciated that the processes may include more or less operations that are performed sequentially or in parallel (e.g., using parallel processors or a multi-threaded environment).
Corresponding to the fracture-cavity oil reservoir production dynamic characterization method, the specification also provides an embodiment of a fracture-cavity oil reservoir production dynamic characterization device. Referring to fig. 6, in some embodiments of the present disclosure, a fracture-cavity reservoir production dynamic characterization apparatus may include:
thetype determining module 61 may be configured to determine a type of a fracture-cavity unit to which the target single well belongs.
The model establishing module 62 may be configured to establish a relation model between the periodic comprehensive water content and the periodic enhanced oil recovery rate amplitude of the target single well under multiple rounds of water injection and oil replacement according to the generalized darcy law.
Afunction building module 63, which may be configured to build a minimization objective function according to the relational model.
And thefunction solving module 64 may be configured to solve the minimized objective function by using the observed value of the periodic comprehensive water content of the target single well as an input, so as to obtain a determined relationship model.
Therule determining module 65 may be configured to use the relationship curve corresponding to the determined relationship model as a dynamic rule for production of the oil well corresponding to the type of the fracture-cavity unit under the condition of oil replacement by multiple rounds of water injection.
In the dynamic characterization device for fracture-cavity reservoir production of some embodiments of the present specification, the relationship model is expressed as
Figure BDA0002760026000000101
Wherein f iswpThe water content is periodically integrated, delta R is the period enhanced recovery ratio amplitude, a, b, c and d are parameters to be solved, and e is a natural number.
In the dynamic characterization device for fracture-cavity reservoir production of some embodiments of the present specification, the minimization objective function is expressed as
Figure BDA0002760026000000102
Wherein J represents an objective function; u represents a control parameter vector to be solved;
Figure BDA0002760026000000103
respectively represents t in j-th water injection oil replacementkThe predicted value and the observed value of the water content are synthesized in the period of time; n is a radical oftRepresenting the water injection oil replacement turns.
In the fracture-cavity reservoir production dynamic characterization device of some embodiments of the present specification, wherein the ith component u of uiIs shown as
Figure BDA0002760026000000111
Wherein v isiRepresents uiThe value of the control parameter variable after the logarithmic transformation,
Figure BDA0002760026000000112
respectively represents uiMinimum and maximum values of (d), uiSatisfy the requirement of
Figure BDA0002760026000000113
i=1,2,…,Nu,NuRepresenting the dimension of u.
For convenience of description, the above devices are described as being divided into various units by function, and are described separately. Of course, the functions of the various elements may be implemented in the same one or more software and/or hardware implementations of the present description.
While the process flows described above include operations that occur in a particular order, it should be appreciated that the processes may include more or less operations that are performed sequentially or in parallel (e.g., using parallel processors or a multi-threaded environment).
Corresponding to the fracture-cavity oil reservoir production dynamic characterization method, the specification also provides computer equipment. As shown in fig. 7, thecomputer device 702 may include one ormore processors 704, such as one or more Central Processing Units (CPUs) or Graphics Processors (GPUs), each of which may implement one or more hardware threads. Thecomputer device 702 may also include anymemory 706 for storing any kind of information, such as code, settings, data, etc., and in a particular embodiment, a computer program on thememory 706 and executable on theprocessor 704, which computer program when executed by theprocessor 704 may perform instructions according to the above-described method. For example, and without limitation, thememory 706 can include any one or more of the following in combination: any type of RAM, any type of ROM, flash memory devices, hard disks, optical disks, etc. More generally, any memory may use any technology to store information. Further, any memory may provide volatile or non-volatile retention of information. Further, any memory may represent fixed or removable components ofcomputer device 702. In one case, when theprocessor 704 executes associated instructions that are stored in any memory or combination of memories, thecomputer device 702 can perform any of the operations of the associated instructions. Thecomputer device 702 also includes one ormore drive mechanisms 708, such as a hard disk drive mechanism, an optical disk drive mechanism, or the like, for interacting with any memory.
Computer device 702 can also include an input/output module 710(I/O) for receiving various inputs (via input device 712) and for providing various outputs (via output device 714). One particular output mechanism may include apresentation device 716 and an associated graphical user interface 718 (GUI). In other embodiments, input/output module 710(I/O),input device 712, and output device 714 may also not be included, as only one computer device in a network.Computer device 702 can also include one ormore network interfaces 720 for exchanging data with other devices via one or more communication links 722. One ormore communication buses 724 couple the above-described components together.
Communication link 722 may be implemented in any manner, such as over a local area network, a wide area network (e.g., the Internet), a point-to-point connection, etc., or any combination thereof.Communication link 722 may include any combination of hardwired links, wireless links, routers, gateway functions, name servers, etc., governed by any protocol or combination of protocols.
The present application is described with reference to flowchart illustrations and/or block diagrams of methods, apparatus (systems), and computer program products according to embodiments of the specification. It will be understood that each flow and/or block of the flow diagrams and/or block diagrams, and combinations of flows and/or blocks in the flow diagrams and/or block diagrams, can be implemented by computer program instructions. These computer program instructions may be provided to a processor of a general purpose computer, special purpose computer, embedded processor, or other programmable data processing apparatus to produce a machine, such that the instructions, which execute via the processor of the computer or other programmable data processing apparatus, create means for implementing the functions specified in the flowchart flow or flows and/or block diagram block or blocks.
These computer program instructions may also be stored in a computer-readable memory that can direct a computer or other programmable data processing apparatus to function in a particular manner, such that the instructions stored in the computer-readable memory produce an article of manufacture including instruction means which implement the function specified in the flowchart flow or flows and/or block diagram block or blocks.
These computer program instructions may also be loaded onto a computer or other programmable data processing apparatus to cause a series of operational steps to be performed on the computer or other programmable apparatus to produce a computer implemented process such that the instructions which execute on the computer or other programmable apparatus provide steps for implementing the functions specified in the flowchart flow or flows and/or block diagram block or blocks.
In a typical configuration, a computing device includes one or more processors (CPUs), input/output interfaces, network interfaces, and memory.
The memory may include forms of volatile memory in a computer readable medium, Random Access Memory (RAM) and/or non-volatile memory, such as Read Only Memory (ROM) or flash memory (flash RAM). Memory is an example of a computer-readable medium.
Computer-readable media, including both non-transitory and non-transitory, removable and non-removable media, may implement information storage by any method or technology. The information may be computer readable instructions, data structures, modules of a program, or other data. Examples of computer storage media include, but are not limited to, phase change memory (PRAM), Static Random Access Memory (SRAM), Dynamic Random Access Memory (DRAM), other types of Random Access Memory (RAM), Read Only Memory (ROM), Electrically Erasable Programmable Read Only Memory (EEPROM), flash memory or other memory technology, compact disc read only memory (CD-ROM), Digital Versatile Discs (DVD) or other optical storage, magnetic cassettes, magnetic tape magnetic disk storage or other magnetic storage devices, or any other non-transmission medium that can be used to store information that can be accessed by a computing device. As defined herein, a computer readable medium does not include a transitory computer readable medium such as a modulated data signal and a carrier wave.
As will be appreciated by one skilled in the art, embodiments of the present description may be provided as a method, system, or computer program product. Accordingly, embodiments of the present description may take the form of an entirely hardware embodiment, an entirely software embodiment or an embodiment combining software and hardware aspects. Furthermore, embodiments of the present description may take the form of a computer program product embodied on one or more computer-usable storage media (including, but not limited to, disk storage, CD-ROM, optical storage, and so forth) having computer-usable program code embodied therein.
The embodiments of this specification may be described in the general context of computer-executable instructions, such as program modules, being executed by a computer. Generally, program modules include routines, programs, objects, components, data structures, etc. that perform particular tasks or implement particular abstract data types. The described embodiments may also be practiced in distributed computing environments where tasks are performed by remote processing devices that are linked through a communications network. In a distributed computing environment, program modules may be located in both local and remote computer storage media including memory storage devices.
The embodiments in the present specification are described in a progressive manner, and the same and similar parts among the embodiments are referred to each other, and each embodiment focuses on the differences from the other embodiments. In particular, for the system embodiment, since it is substantially similar to the method embodiment, the description is simple, and for the relevant points, reference may be made to the partial description of the method embodiment. In the description herein, references to the description of the term "one embodiment," "some embodiments," "an example," "a specific example," or "some examples," etc., mean that a particular feature, structure, material, or characteristic described in connection with the embodiment or example is included in at least one embodiment or example of an embodiment of the specification. In this specification, the schematic representations of the terms used above are not necessarily intended to refer to the same embodiment or example. Furthermore, the particular features, structures, materials, or characteristics described may be combined in any suitable manner in any one or more embodiments or examples. Furthermore, various embodiments or examples and features of different embodiments or examples described in this specification can be combined and combined by one skilled in the art without contradiction.
The above description is only an example of the present application and is not intended to limit the present application. Various modifications and changes may occur to those skilled in the art. Any modification, equivalent replacement, improvement, etc. made within the spirit and principle of the present application should be included in the scope of the claims of the present application.

Claims (10)

1. A fracture-cavity oil reservoir production dynamic characterization method is characterized by comprising the following steps:
determining the type of a fracture-cavity unit to which the target single well belongs;
establishing a relation model of the periodic comprehensive water content and the periodic enhanced oil recovery amplitude of the target single well under multiple rounds of water injection and oil replacement according to the generalized Darcy's law;
constructing a minimized objective function according to the relation model;
solving the minimized objective function by taking the observed value of the periodic comprehensive water content of the target single well as input to obtain a determined relation model;
and taking the relation curve corresponding to the determined relation model as a production dynamic rule of the oil well corresponding to the type of the fracture-cavity unit under the condition of multiple times of water injection for oil replacement.
2. The fracture-cavity reservoir production dynamic characterization method of claim 1 wherein the relational model is represented as
Figure FDA0002760025990000011
Wherein f iswpThe water content is periodically integrated, delta R is the period enhanced recovery ratio amplitude, a, b, c and d are parameters to be solved, and e is a natural number.
3. The fracture-cavity reservoir production dynamic characterization method of claim 1 wherein the minimization objective function is expressed as
Figure FDA0002760025990000012
Wherein J represents an objective function; u represents a control parameter vector to be solved;
Figure FDA0002760025990000013
respectively represents t in j-th water injection oil replacementkThe predicted value and the observed value of the water content are synthesized in the period of time; n is a radical oftRepresenting the water injection oil replacement turns.
4. The fracture-cavity reservoir production dynamic characterization method of claim 3, wherein the ith component u of u, uiIs shown as
Figure FDA0002760025990000014
Wherein v isiRepresents uiThe value of the control parameter variable after the logarithmic transformation,
Figure FDA0002760025990000015
respectively represents uiMinimum and maximum values of (d), uiSatisfy the requirement of
Figure FDA0002760025990000016
i=1,2,…,Nu,NuRepresenting the dimension of u.
5. A fracture-cavity type oil reservoir production dynamic characterization device is characterized by comprising:
the type determining module is used for determining the type of the fracture-cavity unit to which the target single well belongs;
the model establishing module is used for establishing a relation model of the periodic comprehensive water content and the periodic enhanced oil recovery amplitude of the target single well under multiple rounds of water injection and oil replacement according to the generalized Darcy's law;
the function building module is used for building a minimized objective function according to the relation model;
the function solving module is used for solving the minimum objective function by taking the observed value of the periodic comprehensive water content of the target single well as input to obtain a determined relation model;
and the rule determining module is used for taking the relation curve corresponding to the determined relation model as a dynamic production rule of the oil well corresponding to the type of the fracture-cavity unit under the condition of replacing oil by multiple times of water injection.
6. The fracture-cavity reservoir production dynamic characterization device of claim 5 wherein the relational model is represented as
Figure FDA0002760025990000021
Wherein f iswpThe water content is periodically integrated, delta R is the period enhanced recovery ratio amplitude, a, b, c and d are parameters to be solved, and e is a natural number.
7. The fracture-cavity reservoir production dynamics characterization apparatus of claim 5, wherein the minimization objective function is expressed as
Figure FDA0002760025990000022
Wherein J represents an objective function; u represents a control parameter vector to be solved;
Figure FDA0002760025990000023
respectively represents t in j-th water injection oil replacementkThe predicted value and the observed value of the water content are synthesized in the period of time; n is a radical oftRepresenting the water injection oil replacement turns.
8. The fracture-cavity reservoir production dynamic characterization device of claim 7 wherein the ith component u of u, uiIs shown as
Figure FDA0002760025990000024
Wherein v isiRepresents uiThe value of the control parameter variable after the logarithmic transformation,
Figure FDA0002760025990000025
respectively represents uiMinimum and maximum values of (d), uiSatisfy the requirement of
Figure FDA0002760025990000026
i=1,2,…,Nu,NuRepresenting the dimension of u.
9. A computer device comprising a memory, a processor, and a computer program stored on the memory, wherein the computer program when executed by the processor performs the instructions of the method of any one of claims 1 to 4.
10. A computer storage medium on which a computer program is stored, characterized in that the computer program, when being executed by a processor, executes instructions of a method according to any one of claims 1 to 4.
CN202011214880.4A2020-11-042020-11-04 Production performance characterization method, device, equipment and storage medium of fracture-cavity reservoirActiveCN112329232B (en)

Priority Applications (1)

Application NumberPriority DateFiling DateTitle
CN202011214880.4ACN112329232B (en)2020-11-042020-11-04 Production performance characterization method, device, equipment and storage medium of fracture-cavity reservoir

Applications Claiming Priority (1)

Application NumberPriority DateFiling DateTitle
CN202011214880.4ACN112329232B (en)2020-11-042020-11-04 Production performance characterization method, device, equipment and storage medium of fracture-cavity reservoir

Publications (2)

Publication NumberPublication Date
CN112329232Atrue CN112329232A (en)2021-02-05
CN112329232B CN112329232B (en)2022-09-20

Family

ID=74323599

Family Applications (1)

Application NumberTitlePriority DateFiling Date
CN202011214880.4AActiveCN112329232B (en)2020-11-042020-11-04 Production performance characterization method, device, equipment and storage medium of fracture-cavity reservoir

Country Status (1)

CountryLink
CN (1)CN112329232B (en)

Cited By (3)

* Cited by examiner, † Cited by third party
Publication numberPriority datePublication dateAssigneeTitle
CN115130393A (en)*2021-03-262022-09-30中国石油化工股份有限公司 Method, device, equipment and medium for predicting water injection rounds in fractured-cavity reservoir units
CN115577562A (en)*2022-11-092023-01-06中国石油大学(华东) A Well Location Optimization Method for Fractured Reservoirs
CN118094832A (en)*2024-02-022024-05-28中国石油大学(北京) Data-driven reservoir development evaluation method, equipment and storage medium

Citations (3)

* Cited by examiner, † Cited by third party
Publication numberPriority datePublication dateAssigneeTitle
CN104747180A (en)*2014-02-262015-07-01中国石油化工股份有限公司Fracture-cavity type oil deposit analyzing method for water-flooding development and application thereof
CN105626009A (en)*2015-12-172016-06-01中国石油天然气股份有限公司Quantitative evaluation method for single-well water injection oil replacement effect of fracture-cave carbonate reservoir
CN105719097A (en)*2016-01-272016-06-29中国石油化工股份有限公司Dynamic analysis and waterflooding management system of fractured-vuggy type reservoir

Patent Citations (3)

* Cited by examiner, † Cited by third party
Publication numberPriority datePublication dateAssigneeTitle
CN104747180A (en)*2014-02-262015-07-01中国石油化工股份有限公司Fracture-cavity type oil deposit analyzing method for water-flooding development and application thereof
CN105626009A (en)*2015-12-172016-06-01中国石油天然气股份有限公司Quantitative evaluation method for single-well water injection oil replacement effect of fracture-cave carbonate reservoir
CN105719097A (en)*2016-01-272016-06-29中国石油化工股份有限公司Dynamic analysis and waterflooding management system of fractured-vuggy type reservoir

Non-Patent Citations (1)

* Cited by examiner, † Cited by third party
Title
王代刚等: "缝洞型碳酸盐岩油藏衰竭开采特征综合聚类评价", 《新疆石油地质》*

Cited By (6)

* Cited by examiner, † Cited by third party
Publication numberPriority datePublication dateAssigneeTitle
CN115130393A (en)*2021-03-262022-09-30中国石油化工股份有限公司 Method, device, equipment and medium for predicting water injection rounds in fractured-cavity reservoir units
CN115130393B (en)*2021-03-262024-12-20中国石油化工股份有限公司 Method, device, equipment and medium for predicting water injection cycles of fracture-cavity reservoir units
CN115577562A (en)*2022-11-092023-01-06中国石油大学(华东) A Well Location Optimization Method for Fractured Reservoirs
CN118094832A (en)*2024-02-022024-05-28中国石油大学(北京) Data-driven reservoir development evaluation method, equipment and storage medium
CN118094832B (en)*2024-02-022024-11-26中国石油大学(北京) Data-driven fracture-cavity reservoir development evaluation method, equipment and storage medium
US12429626B2 (en)2024-02-022025-09-30China University of Petroleum—BeijingMethod and device for data-driven fracture-cavity reservoir development and evaluation, and storage medium

Also Published As

Publication numberPublication date
CN112329232B (en)2022-09-20

Similar Documents

PublicationPublication DateTitle
CN110334431B (en) A single well controlled reserve calculation and residual gas analysis method for low permeability tight gas reservoirs
CN112329232A (en)Fracture-cavity type oil reservoir production dynamic characterization method, device, equipment and storage medium
CN109034447B (en)Method and device for predicting water-drive reservoir water-cut rate-of-rise change
WO2024046086A1 (en)Automatic history matching method and apparatus based on ru-net and lstm neural network models
Chen et al.Automatic fracture optimization for shale gas reservoirs based on gradient descent method and reservoir simulation
US11501043B2 (en)Graph network fluid flow modeling
CN110593863A (en) Identification method and identification system of water-consuming zone in high water-cut reservoir
CN104680244A (en)Oil and gas field productivity prediction method and device
CN108804382A (en)A kind of automatic reverse method of parameter and device
CA3003701A1 (en)Automated upscaling of relative permeability using fractional flow in systems comprising disparate rock types
CN111401595A (en)Low-viscosity crude oil reservoir water flooding wave and coefficient prediction method
CN112926805B (en)Intelligent interpretation method and device for vertical well test based on deep reinforcement learning
CN111677486A (en) Tight oil carbon dioxide huff and puff simulation method, device and storage medium
CN106014365B (en)Method for predicting yield reduction rate of water-flooding developed oil field
Zheng et al.A deep learning-based surrogate model for rapid assessment of geomechanical risks in geologic CO2 storage
CN114818514A (en)Method and processor for determining the reservoir capacity of a gas reservoir
WO2022025806A1 (en)Method and system for modeling oil and gas formation dynamics
CN113392372B (en)Gas well full life cycle non-blocking flow determination method and system
Omagbon et al.Experiences in developing a dual porosity model of the Leyte geothermal production field
CN115130268A (en) Reservoir injection-production scheme design method, system, storage medium and electronic equipment
CN113010501B (en)Recovery ratio prediction model acquisition method, recovery ratio prediction method and product
CN112052631B (en)Method and device for determining initial unobstructed flow parameters of target well section of new drilled well
Zhou et al.Multiobjective Operation Optimization of Depleted Gas Storage Based on a Reference Vector–Guided Evolutionary Algorithm
CN109063228B (en)Method and device for determining water-drive reservoir water-containing rate-of-rise change
CN108593877B (en)Physical simulation experiment method for step-by-step depressurization exploitation mode of gas reservoir

Legal Events

DateCodeTitleDescription
PB01Publication
PB01Publication
SE01Entry into force of request for substantive examination
SE01Entry into force of request for substantive examination
GR01Patent grant
GR01Patent grant

[8]ページ先頭

©2009-2025 Movatter.jp