Movatterモバイル変換


[0]ホーム

URL:


CN112318107A - A depth camera-based automatic assembly alignment measurement method for large parts and shafts - Google Patents

A depth camera-based automatic assembly alignment measurement method for large parts and shafts
Download PDF

Info

Publication number
CN112318107A
CN112318107ACN202011141968.8ACN202011141968ACN112318107ACN 112318107 ACN112318107 ACN 112318107ACN 202011141968 ACN202011141968 ACN 202011141968ACN 112318107 ACN112318107 ACN 112318107A
Authority
CN
China
Prior art keywords
axis
depth camera
hole
point cloud
shaft
Prior art date
Legal status (The legal status is an assumption and is not a legal conclusion. Google has not performed a legal analysis and makes no representation as to the accuracy of the status listed.)
Pending
Application number
CN202011141968.8A
Other languages
Chinese (zh)
Inventor
程云勇
冶文广
窦浩
范欣欣
蔺田苗
林昇
其他发明人请求不公开姓名
Current Assignee (The listed assignees may be inaccurate. Google has not performed a legal analysis and makes no representation or warranty as to the accuracy of the list.)
Northwestern Polytechnical University
Original Assignee
Northwestern Polytechnical University
Priority date (The priority date is an assumption and is not a legal conclusion. Google has not performed a legal analysis and makes no representation as to the accuracy of the date listed.)
Filing date
Publication date
Application filed by Northwestern Polytechnical UniversityfiledCriticalNorthwestern Polytechnical University
Priority to CN202011141968.8ApriorityCriticalpatent/CN112318107A/en
Publication of CN112318107ApublicationCriticalpatent/CN112318107A/en
Pendinglegal-statusCriticalCurrent

Links

Images

Classifications

Landscapes

Abstract

The invention discloses a depth camera-based automatic assembly centering measurement method for a large-scale part hole shaft, which can obtain the relative pose of the part hole shaft through non-contact measurement and adjust the pose so as to solve the problems of assembly precision, efficiency and stability in the assembly process of the large-scale part. The invention can realize automatic acquisition of depth images, processing, assembly and centering under the assistance of a depth camera, can avoid interference of human factors, shortens the assembly period and realizes industrial high-precision and high-efficiency assembly.

Description

Large-scale part hole shaft automatic assembly centering measurement method based on depth camera
Technical Field
The invention belongs to the field of automatic assembly of large parts, and particularly relates to a depth camera-based automatic assembly centering measurement method for a hole shaft of a large part.
Background
The core task of the automatic shaft hole assembly system for the mechanical parts is to realize the coincidence of shaft axes of shaft hole parts to be assembled. The mechanical part automatic shaft hole assembly system is divided into 3 types according to different part detection strategies, namely an F/T (force/torque) based mechanical part automatic shaft hole assembly system, a machine vision based mechanical part automatic shaft hole assembly system and a hybrid mechanical part automatic shaft hole assembly system.
The machine vision detection mode belongs to non-contact detection, has the characteristics of high resolution, high timeliness and the like, can effectively improve the assembly precision of shaft hole assembly, and reduces the damage of detection to parts to be assembled. The automatic shaft hole assembly system based on machine vision improves the assembly precision of shaft hole assembly, and meanwhile, the risk of damage to mechanical parts to be assembled is reduced by a non-contact detection mode. However, the machine vision detection resolution and sensitivity are very high, which causes various noises in the environment to have certain influence on the detection performance, so the machine vision detection equipment has certain requirements on the environment.
At present, most of digital assembly attitude adjusting technologies are more applied to assembly of large components such as airplane fuselages and wings, and are less applied to a high-precision assembly centering process of large component hole shafts. Meanwhile, advanced measuring equipment and automatic positioning equipment are often used in the assembling process, so that the cost is high, and the occupied operating space is large.
Disclosure of Invention
The invention aims to provide a depth camera-based automatic assembly centering measurement method for a hole shaft of a large part, so as to solve the problems of stability, precision, efficiency and cost of the traditional assembly of the hole shaft of the large part.
The technical scheme adopted by the invention is as follows: a method for automatically assembling a hole shaft of a large part based on a depth camera comprises the following steps:
step a: thehole part 1 is fixed, thecalibration rod 4 is installed in the inner hole of thehole part 1, the axis of thecalibration rod 4 is coaxial with the axis of thehole part 1, thedepth camera 3 is fixed above thehole part 1, and the positions of thehole part 1 and thedepth camera 3 are kept unchanged in the assembling process. Adjusting the position of adepth camera 3 to enable thedepth camera 3 to acquire a stripe image irradiated on acalibration rod 4 by a structured light projector on the depth camera, performing image processing on the depth image to obtain a three-dimensional point cloud on the upper surface of thecalibration rod 4, and then performing point cloud fitting to obtain an axis OZ of thecalibration rod 4, wherein the axis is the axis of thehole part 1, and the step is to finish the axis calibration of thehole part 1;
step b: taking down thecalibration rod 4 on thehole part 1, keeping the relative positions of thehole part 1 and thedepth camera 3 unchanged, moving the shaft part 6 to be assembled to thehole part 1 with the axis calibrated, collecting stripe images emitted to the upper surface of the shaft part by the structured light projector on the shaft part through thedepth camera 3, processing the depth images and performing point cloud fitting calculation to obtain the axis O1O2 of the shaft part, and completing the axis calculation of the shaft part to be assembled;
step c: calculating the deviation amount between the shaft part axis O1O2 ratio and the hole part axis OZ by taking the hole part axis OZ as a reference, and adjusting the position and the posture of the shaft-provided part according to the deviation amount;
step d: and (c) repeating the step (b) and the step (c) until the axis of the shaft part is coaxial with the axis of the hole part, and finishing the automatic assembly centering measurement of the large-size hole shaft part.
Further, the specific process of obtaining the axis OZ of the perforated part in the step a is as follows:
structured light is projected on the surface of the calibration rod in the assembly system using a structuredlight projector 3b, and a map of the external surface data information of the calibration rod is captured with adepth camera 3a. And converting the information graph data into a point cloud graph according to the camera model. And performing drying and sampling pretreatment on the point cloud picture, and performing cylinder fitting on the pretreated point cloud to obtain axis coordinate information of the fitted cylinder in a depth camera coordinate system.
Further, the step of fitting the point cloud to solve the axis of the calibration rod is as follows:
1) and fitting the cylindrical surface. In order to reduce the influence of noise points on the fitting result, the point cloud is firstly subjected to drying treatment, and then a cylindrical surface fitting algorithm based on a consistency algorithm and a least square method is adopted.
2) And (6) obtaining the axis of the cylinder. And optimizing linear parameters by using a particle swarm algorithm, so that the variance of the distance is as small as possible and the distance is continuously close to the axis.
Further, the specific method for processing the depth image collected by the depth camera into point cloud data comprises the following steps:
and solving the three-dimensional coordinates of any point on the stripes by adopting a line-surface model, and further obtaining point clouds according to a plurality of groups of data or reconstructing the point clouds of the space coordinates by a five-step phase-shifting method.
The invention has the beneficial effects that:
1. the device provided by the invention can be used for measuring the relative pose of the shaft hole to be assembled under the non-contact condition.
2. The depth camera in the device can acquire point cloud data of the inner surface and the outer surface of the large hole shaft part assembly part, and can obtain the relative pose of the hole shaft through the point cloud data.
3. This automatic assembly centering measurement system will effectively improve assembly precision, assembly efficiency and assembly stability among the large-scale spare part hole axle assembling process, avoids the interference of artificial factor in the traditional assembly, shortens assembly cycle, realizes high accuracy, high efficiency automatic assembly centering process between the large-scale spare part hole axle, practices thrift a large amount of human labor and promotes the assembly quality. The present invention will be described in detail below with reference to the accompanying drawings and specific embodiments.
Drawings
FIG. 1 is a schematic diagram of the automatic assembling, centering and measuring system for the hole axis of the large-scale component based on the depth camera;
FIG. 2 is a schematic view of the axis calibration of the hole feature;
FIG. 3 is a schematic axial measurement of a shaft part;
FIG. 4 is a schematic view of a depth camera measurement axis;
FIG. 5 illustrates the principle of axis calculation by point cloud;
fig. 6 is a principle of posture adjustment of the shaft part.
The system comprises ahole part 1, a holepart fixing frame 2, adepth camera 3, anindustrial camera 3a, astructural light emitter 3b, acalibration rod 4, an axis part posture adjustingplatform 5 and an axis part 6
Detailed Description
The present invention will be described in detail below with reference to the accompanying drawings and specific embodiments.
The invention provides a depth camera-based automatic assembly centering measurement method for a hole shaft of a large part, which aims to solve the problems of stability, precision, efficiency and cost of the traditional assembly of the hole shaft of the large part.
The invention adopts the following technical scheme: the automatic assembling method for the hole shaft of the large-scale part comprises the following steps:
step a: thehole part 1 is fixed, thecalibration rod 4 is installed in the inner hole of thehole part 1, the axis of thecalibration rod 4 is coaxial with the axis of thehole part 1, thedepth camera 3 is fixed above thehole part 1, and the positions of thehole part 1 and thedepth camera 3 are kept unchanged in the assembling process. Adjusting the position of adepth camera 3 to enable thedepth camera 3 to acquire a stripe image irradiated on acalibration rod 4 by a structured light sensor on the depth camera, reconstructing a three-dimensional point cloud on the upper surface of thecalibration rod 4 by processing the depth image, and then obtaining an axis OZ of thecalibration rod 4 by point cloud fitting, wherein the axis is the axis of thehole part 1, and the step is to finish the axis calibration of thehole part 1;
step b: taking down the calibration rod on the hole part, keeping the positions of thehole part 1 and thedepth camera 3 unchanged, moving the shaft part to be assembled to the hole part with the calibrated axis, collecting the stripe image emitted to the upper surface of the shaft part by thestructured light sensor 3b on the shaft part through thedepth camera 3a, and processing the depth image to obtain the axis O of the shaft part1O2Completing the axis calculation of the shaft part to be assembled;
step c: calculating the axis O of the shaft part by taking the axis OZ of the hole part as a reference1O2Comparing the deviation with the axis OZ of the hole part, and adjusting the position and the posture of the shaft part according to the deviation;
step d: and (c) repeating the step (b) and the step (c) until the axis of the shaft part is coaxial with the axis of the hole part, and finishing the automatic assembly centering measurement of the large-size hole shaft part.
Further, the specific process of obtaining the axis OZ of the perforated part in the step a is as follows:
example 1
The parts of the assembly system are shown in figure 1 with thedepth camera 3 above theapertured part 1 and thecamera 3 lens towards the front of theapertured part 1 to mark the position of the axis of therod 4. Thecalibration rod 4 is coaxial with the part with thehole 1, and the outer surface of thecalibration rod 4 is tightly attached to the inner surface of the part with thehole 1. A structured light projector is used in the assembly system to project striped light onto the surface of the calibration rod, and a depth camera is used to capture deformed stripes generated by the interaction of the light stripes with the outer surface of the calibration rod, as shown in FIG. 2. And converting the stripe image data into a point cloud image according to the camera model.
The point cloud image is preprocessed to reduce the number of point clouds and improve the processing speed:
1. performing straight-through filtering on the point cloud according to a preset range;
2. sampling the point cloud reduction density according to the point cloud density;
3. deleting outliers
And performing cylinder fitting on the preprocessed point cloud, and projecting the gravity center of the point cloud to the axis of the cylinder to obtain the pose of the column part.
The steps of fitting the point cloud to solve the axis of the calibration rod are as follows:
1) and fitting the cylindrical surface. Noise exists in point cloud data obtained by the depth camera, although partial noise can be removed through the previous outlier removing treatment, some noise is inevitably remained, and in order to reduce the influence of the noise on the fitting result, a cylindrical surface fitting algorithm based on a consistency algorithm and a least square method is adopted.
2) And (6) obtaining the axis of the cylinder. The segmented point cloud data of the cylinder is mainly concentrated on a semi-cylinder close to the camera, the other part of the point cloud data is shielded, and because the variance of the distance from each scattered point to the straight line can reach the minimum value only when the straight line is taken as the axis, the particle swarm algorithm is used for optimizing the parameters of the straight line, so that the variance of the distance is as small as possible, and the point cloud data can continuously approach the axis, and the schematic diagram is shown in fig. 5. The method has the advantages of higher precision and no requirement on whether the scatter point projection has a regular shape.
Example 2
In the automatic assembly centering measurement, the axis pose is measured based on machine vision. The specific implementation steps are as follows:
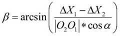
the acquired data is processed to obtain the circle centers of the front end and the rear end of the partial cylindrical surface of the part 6 with the shaft, and the principle diagram of the invention is shown in figure 6 by taking thepart 1 with the hole as a coordinate system. O is1(ΔX1,ΔY1) And O2(ΔX2,ΔY2) Respectively are the projected coordinates of the centers of the front and rear end surfaces of the point cloud in an XOY plane,
Figure BDA0002738540980000071
translating a coordinate system O-XYZ of thehole part 1 in the axial direction of the shaft-provided part 6 to enable the central point of the rear end face of the point cloud to be located on a Z ' shaft after translation to obtain a translated coordinate system O ' -X ' Y ' Z ', and enabling | O2O1I is decomposed in the coordinate system O '-X' Y 'Z', O2A | is | O2O1Projection of | in the X ' O ' Z ' plane, | O2B | is | O2Projection of A | in the Y ' O ' Z ' plane. Alpha and beta are respectively a pitch angle and a horizontal swing angle of the axis of the shaft part 6 relative to the axis of theperforated part 1, and the calculation processes of the rotating angles alpha and beta of the shaft part 6 are as follows:
Figure BDA0002738540980000072
Figure BDA0002738540980000073
from the pose parameter Δ X2、ΔY2The pose of the alpha and beta adjusting part with the hole is coaxial with the shaft part.
Example 3
In the automatic assembly centering measurement, if the structured light is a collimated light beam, moire fringes are formed by the grating. The specific implementation steps for obtaining the spatial point cloud are as follows:
1) carrying out distortion correction on the depth camera, and carrying out depth calibration to obtain a magnification calibration coefficient along the depth direction;
2) projecting moire fringes on a curved surface to be measured;
3) capturing deformation Moire fringes on a measuring curved surface;
4) carrying out five-step phase shift, and recording a moire fringe image of each phase shift step;
5) the moire fringe image is subjected to image processing and phase unwrapping by an algorithm, wherein noise can be removed by a low-pass filter, and the phase unwrapping can use a branch cut method. And reconstructing a three-dimensional point cloud outline of the curved surface according to the obtained phase information.

Claims (4)

Translated fromChinese
1.一种基于深度相机的大型零部件孔轴自动装配对中测量方法,其特征在于,包括以下步骤:1. a large-scale component hole shaft automatic assembly centering measurement method based on a depth camera, is characterized in that, comprises the following steps:步骤a:将孔零件1固定,在孔零件1的内孔中安装标定杆4,使标定杆4轴线与孔零件1轴线同轴,在孔零件1上方固定深度相机3,在装配过程中保持孔零件1与深度相机3的位置不变。调整深度相机3位置,使深度相机3可以采集到深度相机上结构光投射器照射在标定杆4上的条纹图像,通过对深度图像进行图像处理,得到标定杆4上表面的三维点云,然后通过点云拟合得出标定杆4的轴线OZ,该轴线即为孔零件1的轴线,此步骤完成孔零件1的轴线标定;Step a: Fix the hole part 1, install the calibration rod 4 in the inner hole of the hole part 1, make the axis of the calibration rod 4 coaxial with the axis of the hole part 1, fix the depth camera 3 above the hole part 1, and keep it during the assembly process. The positions of hole part 1 and depth camera 3 remain unchanged. Adjust the position of the depth camera 3 so that the depth camera 3 can capture the fringe image that the structured light projector on the depth camera illuminates on the calibration rod 4, and by performing image processing on the depth image, the three-dimensional point cloud on the upper surface of the calibration rod 4 is obtained, and then The axis OZ of the calibration rod 4 is obtained by point cloud fitting, which is the axis of the hole part 1, and this step completes the axis calibration of the hole part 1;步骤b:取下孔零件1上的标定杆4,保持孔零件1和深度相机3的相对位置不变,将待装配的轴零件6向标定好轴线的孔零件1移动,通过深度相机3采集其上结构光投射器发射到轴零件上表面的条纹图像,对深度图像进行处理以及点云拟合计算,得到轴零件的轴线O1O2,该步骤完成待装配轴零件的轴线计算;Step b: Remove the calibration rod 4 on the hole part 1, keep the relative position of the hole part 1 and the depth camera 3 unchanged, move the shaft part 6 to be assembled to the hole part 1 with the calibrated axis, and collect the data through the depth camera 3 The streak image emitted by the structured light projector on the upper surface of the shaft part, the depth image is processed and the point cloud fitting calculation is performed to obtain the axis O1O2 of the shaft part, and this step completes the axis calculation of the shaft part to be assembled;步骤c:以孔零件轴线OZ为基准,计算轴零件轴线O1O2比与孔零件轴线OZ的偏差量,根据该偏差量调整带轴零件的位置和姿态;Step c: Taking the axis OZ of the hole part as the benchmark, calculate the deviation between the O1O2 ratio of the axis of the shaft part and the axis OZ of the hole part, and adjust the position and posture of the part with the shaft according to the deviation;步骤d:重复步骤b和步骤c,直至轴零件6的轴线和孔零件1的轴线同轴,即可完成大型孔轴零件的自动装配对中测量。Step d: Repeat steps b and c until the axis of the shaft part 6 and the axis of the hole part 1 are coaxial, and the automatic assembly alignment measurement of the large hole and shaft parts can be completed.2.如权利要求1所述的一种基于深度相机的大型零部件孔轴自动装配对中测量方法,其特征在于,步骤a中获取孔零件轴线OZ的具体过程如下:2. a kind of automatic assembly centering measurement method based on the depth camera of a large component hole axis as claimed in claim 1, is characterized in that, in step a, the concrete process that obtains hole component axis OZ is as follows:在装配系统中使用结构光投射器3b在标定杆表面投射结构光,用深度相机3a捕捉标定杆外表面数据信息图。根据相机模型将信息图数据转化为点云图。对点云图进行去燥和采样预处理,对预处理后的点云进行圆柱体拟合,从而得到拟合后圆柱体在深度相机坐标系下的轴线坐标信息。In the assembly system, the structured light projector 3b is used to project structured light on the surface of the calibration rod, and the depth camera 3a is used to capture the data information map of the outer surface of the calibration rod. Convert infographic data into point clouds based on the camera model. De-drying and sampling preprocessing is performed on the point cloud image, and cylinder fitting is performed on the preprocessed point cloud, so as to obtain the axis coordinate information of the fitted cylinder in the depth camera coordinate system.3.如权利要求1和2所述的一种基于深度相机的大型零部件孔轴自动装配对中测量方法,其特征在于,所述步骤a中拟合点云求取标定杆轴线的步骤如下:3. a kind of depth camera-based automatic assembly centering measurement method for large component holes and shafts as claimed in claim 1 and 2, is characterized in that, in the described step a, the step of fitting the point cloud to obtain the axis of the calibration rod is as follows :步骤a1:圆柱面的拟合。为了减少噪点对拟合结果的影响,首先对点云进行去燥处理,然后采用基于一致性算法和最小二乘法的圆柱面拟合算法;Step a1: Fitting of the cylindrical surface. In order to reduce the influence of noise on the fitting results, the point cloud is first de-dried, and then the cylindrical surface fitting algorithm based on the consistency algorithm and the least squares method is used;步骤a2:圆柱轴心的获取。用粒子群算法来优化直线参数,使距离的方差尽可能的小,不断逼近轴线。Step a2: Obtaining the axis of the cylinder. Particle swarm optimization is used to optimize the parameters of the straight line, so that the variance of the distance is as small as possible, and the axis is continuously approached.4.如权利要求2所述的一种基于深度相机的大型零部件孔轴自动装配对中测量方法,其特征在于,将深度相机采集的深度图像处理成点云数据的具体方法为:4. a kind of automatic assembly centering measurement method based on the depth camera of a large component hole shaft as claimed in claim 2, is characterized in that, the concrete method that the depth image that the depth camera is collected is processed into point cloud data is:采用线面模型求出条纹上任意点的三维坐标,进而根据多组数据得出点云,或者通过五步移相法重构出空间坐标点云。The three-dimensional coordinates of any point on the stripe are obtained by using the line-surface model, and then the point cloud is obtained according to multiple sets of data, or the spatial coordinate point cloud is reconstructed by the five-step phase shifting method.
CN202011141968.8A2020-10-232020-10-23 A depth camera-based automatic assembly alignment measurement method for large parts and shaftsPendingCN112318107A (en)

Priority Applications (1)

Application NumberPriority DateFiling DateTitle
CN202011141968.8ACN112318107A (en)2020-10-232020-10-23 A depth camera-based automatic assembly alignment measurement method for large parts and shafts

Applications Claiming Priority (1)

Application NumberPriority DateFiling DateTitle
CN202011141968.8ACN112318107A (en)2020-10-232020-10-23 A depth camera-based automatic assembly alignment measurement method for large parts and shafts

Publications (1)

Publication NumberPublication Date
CN112318107Atrue CN112318107A (en)2021-02-05

Family

ID=74311453

Family Applications (1)

Application NumberTitlePriority DateFiling Date
CN202011141968.8APendingCN112318107A (en)2020-10-232020-10-23 A depth camera-based automatic assembly alignment measurement method for large parts and shafts

Country Status (1)

CountryLink
CN (1)CN112318107A (en)

Cited By (6)

* Cited by examiner, † Cited by third party
Publication numberPriority datePublication dateAssigneeTitle
CN112548654A (en)*2021-02-262021-03-26杭州蓝芯科技有限公司Cylindrical material butt joint method and device based on 3D camera
CN113091628A (en)*2021-04-072021-07-09中国工程物理研究院机械制造工艺研究所Visual measurement calibration device and method for small-size shaft hole gap
CN113618390A (en)*2021-08-202021-11-09西北工业大学 An aero-engine vertical automatic assembly centering device and its use method
CN114166152A (en)*2021-11-112022-03-11西北工业大学 A kind of aero-engine automatic assembly alignment measuring device and its use method
CN118089598A (en)*2024-04-172024-05-28四川吉埃智能科技有限公司Pipeline lengthening method, device, equipment and medium based on three-dimensional detection
CN118977088A (en)*2024-10-162024-11-19大连华泰臣科技服务有限公司 An engine assembly auxiliary device based on depth camera

Citations (9)

* Cited by examiner, † Cited by third party
Publication numberPriority datePublication dateAssigneeTitle
GB2108658A (en)*1981-10-301983-05-18Westinghouse Electric CorpOptical perpendicularity measuring instrument
CN103471531A (en)*2013-09-272013-12-25吉林大学On-line non-contact measurement method for straightness of axis parts
US20160259038A1 (en)*2015-03-052016-09-08Facet Technology Corp.Methods and Apparatus for Increased Precision and Improved Range in a Multiple Detector LiDAR Array
CN107588741A (en)*2017-09-192018-01-16深圳大学 A method and system for measuring camera depth change based on Moiré fringes
CN109093376A (en)*2018-08-172018-12-28清华大学A kind of multiaxis hole automation alignment methods based on laser tracker
CN109373894A (en)*2018-09-272019-02-22南京航空航天大学 An automatic positioning method for the connection intersection point hole system of aircraft components based on distributed monocular vision
CN109658352A (en)*2018-12-142019-04-19深圳市商汤科技有限公司Optimization method and device, electronic equipment and the storage medium of image information
CN109903241A (en)*2019-01-312019-06-18武汉市聚芯微电子有限责任公司A kind of the depth image calibration method and system of TOF camera system
CN210835244U (en)*2019-04-302020-06-23深圳市光鉴科技有限公司3D imaging device and electronic equipment based on synchronous ToF discrete point cloud

Patent Citations (9)

* Cited by examiner, † Cited by third party
Publication numberPriority datePublication dateAssigneeTitle
GB2108658A (en)*1981-10-301983-05-18Westinghouse Electric CorpOptical perpendicularity measuring instrument
CN103471531A (en)*2013-09-272013-12-25吉林大学On-line non-contact measurement method for straightness of axis parts
US20160259038A1 (en)*2015-03-052016-09-08Facet Technology Corp.Methods and Apparatus for Increased Precision and Improved Range in a Multiple Detector LiDAR Array
CN107588741A (en)*2017-09-192018-01-16深圳大学 A method and system for measuring camera depth change based on Moiré fringes
CN109093376A (en)*2018-08-172018-12-28清华大学A kind of multiaxis hole automation alignment methods based on laser tracker
CN109373894A (en)*2018-09-272019-02-22南京航空航天大学 An automatic positioning method for the connection intersection point hole system of aircraft components based on distributed monocular vision
CN109658352A (en)*2018-12-142019-04-19深圳市商汤科技有限公司Optimization method and device, electronic equipment and the storage medium of image information
CN109903241A (en)*2019-01-312019-06-18武汉市聚芯微电子有限责任公司A kind of the depth image calibration method and system of TOF camera system
CN210835244U (en)*2019-04-302020-06-23深圳市光鉴科技有限公司3D imaging device and electronic equipment based on synchronous ToF discrete point cloud

Non-Patent Citations (1)

* Cited by examiner, † Cited by third party
Title
刘江 王飞 等: "免疫投影基准光强变化的五步移相算法在条纹投影偏折法中的应用", 《中国激光》*

Cited By (9)

* Cited by examiner, † Cited by third party
Publication numberPriority datePublication dateAssigneeTitle
CN112548654A (en)*2021-02-262021-03-26杭州蓝芯科技有限公司Cylindrical material butt joint method and device based on 3D camera
CN113091628A (en)*2021-04-072021-07-09中国工程物理研究院机械制造工艺研究所Visual measurement calibration device and method for small-size shaft hole gap
CN113091628B (en)*2021-04-072023-03-10中国工程物理研究院机械制造工艺研究所Visual measurement calibration device and method for small-size shaft hole gap
CN113618390A (en)*2021-08-202021-11-09西北工业大学 An aero-engine vertical automatic assembly centering device and its use method
CN114166152A (en)*2021-11-112022-03-11西北工业大学 A kind of aero-engine automatic assembly alignment measuring device and its use method
CN114166152B (en)*2021-11-112024-04-26西北工业大学Automatic assembly centering measuring device for aero-engine and using method thereof
CN118089598A (en)*2024-04-172024-05-28四川吉埃智能科技有限公司Pipeline lengthening method, device, equipment and medium based on three-dimensional detection
CN118977088A (en)*2024-10-162024-11-19大连华泰臣科技服务有限公司 An engine assembly auxiliary device based on depth camera
CN118977088B (en)*2024-10-162024-12-27大连华泰臣科技服务有限公司Engine assembly auxiliary device based on depth camera

Similar Documents

PublicationPublication DateTitle
CN112318107A (en) A depth camera-based automatic assembly alignment measurement method for large parts and shafts
CN111145236B (en)Product quasi-physical assembly model generation method based on digital twinning and implementation framework
CN112581605B (en) A structured light three-dimensional reconstruction correction method and device
CN109870111B (en) Measurement method of cumulative error of involute cylindrical gear pitch based on machine vision
CN108981604A (en)A kind of precision component three-dimensional overall picture measurement method based on line laser
WO2020147397A1 (en)Machine vision system for use in curved surface inspection and inspection method
CN114283203B (en)Calibration method and system of multi-camera system
Li et al.Light plane calibration and accuracy analysis for multi-line structured light vision measurement system
CN113375594B (en)Aircraft skin profile digital detection method
CN105783775A (en)Device and method of measuring surface topographies of mirror and mirror-like objects
CN105335941A (en)Optical axis verticality adjustment apparatus and adjustment method adopting same
Kumar et al.3D scanner integration with product development
CN116428982A (en)Fiber ring skeleton non-contact measurement system and method based on line structured light
CN116242277A (en)Automatic measurement method for size of power supply cabinet structural member based on full-field three-dimensional vision
CN120313486B (en) Three-coordinate structured light rapid measurement system for casting workpieces
CN113409395B (en)High-precision detection and positioning method for catheter end
CN118729988A (en) Precision measurement method of workpiece based on binocular structured light
Zhang et al.Improved camera calibration method and accuracy analysis for binocular vision
CN114459384B (en) A phase-shift profilometry method based on multi-angle sinusoidal fringe light field fusion
CN105678847B (en)Line laser is used for the small nanoscale object surface reconstruction method of SLM microscopic stereovisions
CN114565720A (en) An active three-dimensional reconstruction system and method based on line structured light rotational scanning
CN116817796B (en) Accuracy parameter measurement method and device for curved surface workpieces based on bi-telecentric lens
CN107941147A (en)Large scale system three-dimensional coordinate non-contact forecasting method
CN117824502A (en)Laser three-dimensional scanning-based non-contact detection method for assembling complex assembled workpiece
Hinz et al.A 3d measuring endoscope for use in sheet-bulk metal forming: Design, algorithms, applications and results

Legal Events

DateCodeTitleDescription
PB01Publication
PB01Publication
SE01Entry into force of request for substantive examination
SE01Entry into force of request for substantive examination
WD01Invention patent application deemed withdrawn after publication

Application publication date:20210205

WD01Invention patent application deemed withdrawn after publication

[8]ページ先頭

©2009-2025 Movatter.jp