Movatterモバイル変換


[0]ホーム

URL:


CN112308792A - Image output method of preset parameters, terminal, electronic equipment and storage medium - Google Patents

Image output method of preset parameters, terminal, electronic equipment and storage medium
Download PDF

Info

Publication number
CN112308792A
CN112308792ACN202011104806.7ACN202011104806ACN112308792ACN 112308792 ACN112308792 ACN 112308792ACN 202011104806 ACN202011104806 ACN 202011104806ACN 112308792 ACN112308792 ACN 112308792A
Authority
CN
China
Prior art keywords
image
preset
output
preset parameters
parameters
Prior art date
Legal status (The legal status is an assumption and is not a legal conclusion. Google has not performed a legal analysis and makes no representation as to the accuracy of the status listed.)
Pending
Application number
CN202011104806.7A
Other languages
Chinese (zh)
Inventor
江周平
Current Assignee (The listed assignees may be inaccurate. Google has not performed a legal analysis and makes no representation or warranty as to the accuracy of the list.)
Shenzhen Yikuai Interactive Network Technology Co ltd
Original Assignee
Shenzhen Yikuai Interactive Network Technology Co ltd
Priority date (The priority date is an assumption and is not a legal conclusion. Google has not performed a legal analysis and makes no representation as to the accuracy of the date listed.)
Filing date
Publication date
Application filed by Shenzhen Yikuai Interactive Network Technology Co ltdfiledCriticalShenzhen Yikuai Interactive Network Technology Co ltd
Priority to CN202011104806.7ApriorityCriticalpatent/CN112308792A/en
Publication of CN112308792ApublicationCriticalpatent/CN112308792A/en
Pendinglegal-statusCriticalCurrent

Links

Images

Classifications

Landscapes

Abstract

Translated fromChinese

本申请公开了一种预设参数的图像输出方法、终端、电子设备及存储介质。该方法包括:获取单个广角镜头的原始图像;对原始图像进行畸变矫正以获得矫正后的图像;获取预设参数;结合所述预设参数对矫正后的图像进行处理,以获得至少一路预设输出图像,其中,所述输出图像与所述预设参数相对应。本申请实施例的方法,通过对单个广角镜头的原始图像进行畸变矫正,结合预设参数对矫正后的图像进行处理,获得了单个广角镜头的至少一路预设输出图像。用单个广角镜头实现了多个镜头或带云台的镜头的多路输出的效果,既保证了输出的准确性和灵活性,又降低了使用成本。

Figure 202011104806

The present application discloses an image output method with preset parameters, a terminal, an electronic device and a storage medium. The method includes: acquiring an original image of a single wide-angle lens; performing distortion correction on the original image to obtain a corrected image; acquiring preset parameters; and processing the corrected image in combination with the preset parameters to obtain at least one preset output image, wherein the output image corresponds to the preset parameter. In the method of the embodiment of the present application, at least one preset output image of a single wide-angle lens is obtained by performing distortion correction on the original image of a single wide-angle lens, and processing the corrected image in combination with preset parameters. A single wide-angle lens is used to achieve the effect of multiple outputs of multiple lenses or a lens with a gimbal, which not only ensures the accuracy and flexibility of the output, but also reduces the use cost.

Figure 202011104806

Description

Image output method of preset parameters, terminal, electronic equipment and storage medium
Technical Field
The present application relates to the field of image processing technologies, and in particular, to an image output method, a terminal, an electronic device, and a storage medium with preset parameters.
Background
With the rapid development of video conference application and multipoint monitoring, multi-lens application and lens technology with a holder are rapidly developed, great convenience is brought to the life of people, and safety guarantee is provided. But multi-lens applications and lenses with a pan and tilt head also bring about an increase in use costs.
The wide-angle lens technology has important significance in the field of image acquisition, but the wide-angle lens can generate image distortion, and the acquired image distortion is serious, so that the later-stage data processing is inaccurate or cannot be carried out. At present, no feasible application scheme for outputting images by a wide-angle lens exists, so that a single wide-angle lens replaces multiple lenses or a lens with a holder.
Disclosure of Invention
The application aims to provide an image output method, a terminal, an electronic device and a storage medium with preset parameters, wherein at least one path of image output effect is obtained by processing an original image of a wide-angle lens and combining the preset parameters.
In order to achieve the above object, a first aspect of the embodiments of the present application discloses an image output method with preset parameters, including:
acquiring an original image of a wide-angle lens;
carrying out distortion correction on the original image to obtain a corrected image;
acquiring preset parameters;
and processing the corrected image by combining the preset parameters to obtain at least one path of preset output image, wherein the output image corresponds to the preset parameters.
Optionally, the step of performing distortion correction on the original image to obtain a corrected image specifically includes;
acquiring parameters of radial distortion and tangential distortion of the wide-angle lens;
and carrying out distortion correction on the original image according to the parameters to obtain a corrected image.
Optionally, the step of obtaining the preset parameter specifically includes: and acquiring preset parameters according to real-time setting of a user or preset setting in the equipment.
Optionally, before the step of obtaining the preset parameter, the method further includes: receiving preset parameters set by a user through network connection or receiving preset parameters directly set in equipment.
Optionally, the preset parameter includes one or a combination of a plurality of preset directions, numbers and output modes of the output images.
Optionally, the step of processing the corrected image with reference to the preset parameter to obtain at least one preset output image specifically includes:
analyzing preset parameters to obtain an analysis result;
according to the analysis result, operating the corrected image data, wherein the operating comprises positioning in the corrected image, and then performing at least one of interception and translation;
and outputting at least one preset output image.
Optionally, the processing the corrected image with the preset parameters to obtain at least one path of preset output image specifically includes:
analyzing preset parameters to obtain an analysis result, wherein the analysis result comprises information of an output sound source;
according to the analysis result, operating the corrected image data, wherein the operating comprises positioning the position of a sound source in the corrected image, and then performing at least one of interception and translation;
and outputting one path of image, wherein the path of output image contains the information of the sound source.
Optionally, the information of the output sound source is information of an avatar of the speaker.
Optionally, the positioning the head portrait of the speaker in the rectified image includes positioning the speaker according to a sound source. Alternatively, the single wide-angle lens includes a single general wide-angle lens, an ultra wide-angle lens, or a fisheye lens.
The second aspect of the embodiment of the present application discloses an image output terminal with preset parameters, which includes:
a first acquisition module for acquiring an original image of a single wide-angle lens;
the correction module is used for carrying out distortion correction on the original image to obtain a corrected image;
the second acquisition module is used for acquiring preset parameters;
and the output module is used for processing the corrected image by combining the preset parameters to obtain at least one path of preset output image, wherein the output image corresponds to the preset parameters.
Optionally, the orthotic module, comprises:
a correction parameter acquisition module: the system comprises a wide-angle lens, a lens controller and a controller, wherein the wide-angle lens is used for acquiring parameters of radial distortion and tangential distortion of the wide-angle lens;
a corrected image acquisition module: and the image distortion correction module is used for carrying out distortion correction on the original image according to the parameters to obtain a corrected image.
Optionally, the second obtaining module is configured to obtain the preset parameter according to a real-time setting of a user or according to a preset setting in the device.
Optionally, the second obtaining module further includes, before obtaining the preset parameter:
a receiving module: which is used for receiving preset parameters set by a user through network connection or receiving preset parameters directly set in equipment.
Optionally, in the second obtaining module, the preset parameter includes one or a combination of a direction, a number, and an output mode of the preset output image.
Optionally, the output module includes:
the analysis module is used for analyzing the preset parameters to obtain an analysis result;
the processing module is used for operating the corrected image data according to the analysis result, and the operation comprises positioning in the corrected image, and then at least one of intercepting and translating;
and the display module is used for outputting at least one path of preset output image.
Optionally, the first obtaining module is configured to obtain a single wide-angle lens by using a single general wide-angle lens, an ultra wide-angle lens, or a fisheye lens.
A third aspect of the embodiments of the present application discloses an electronic device, which includes a processor and a memory, where the memory stores at least one instruction, at least one program, a code set, or a set of instructions, and the at least one instruction, the at least one program, the code set, or the set of instructions is loaded and executed by the processor to implement the image output method with preset parameters as described above.
A fourth aspect of the embodiments of the present application discloses a computer-readable storage medium, wherein at least one instruction, at least one program, a code set, or a set of instructions is stored in the computer-readable storage medium, and the at least one instruction, the at least one program, the code set, or the set of instructions is loaded and executed by a processor to implement the image output method with one preset parameter as described above.
After adopting above-mentioned technical scheme, this application compares with the background art, has following advantage: the distortion correction is carried out on the original image of the single wide-angle lens, and the corrected image is processed by combining preset parameters, so that at least one path of preset output image of the single wide-angle lens is obtained. The effect of multi-path output of a plurality of lenses or the lens with the cloud platform is realized by using a single wide-angle lens, so that the accuracy and flexibility of output are ensured, and the use cost is reduced.
Drawings
In order to more clearly illustrate the technical solutions in the embodiments of the application, the drawings that are needed to be used in the description of the embodiments are briefly introduced below, it is obvious that the drawings in the following description are only some embodiments of the application, and other drawings can be obtained by those skilled in the art without inventive efforts, wherein:
FIG. 1 is a flowchart illustrating a method for outputting an image with preset parameters according to a first embodiment of the present disclosure;
FIG. 2A is a comparison of a normal image and corresponding radial-pincushion distortion and radial-barrel distortion;
FIG. 2B is a comparison of a normal image and corresponding tangential distortion;
FIG. 3A is an original image provided by a wide-angle lens
FIG. 3B is a diagram illustrating the effect of the wide-angle lens after distortion correction of the original image;
FIG. 4A is a rectified image;
FIG. 4B is a multi-output image after processing the rectified image in combination with preset parameters;
FIG. 5 is a block diagram of an image output terminal with preset parameters according to a second embodiment of the present application;
fig. 6 is a block diagram of an electronic device according to a third embodiment of the present application.
Detailed Description
In order to make the objects, technical solutions and advantages of the present application more apparent, the present application is described in further detail below with reference to the accompanying drawings and embodiments. It should be understood that the specific embodiments described herein are merely illustrative of the present application and are not intended to limit the present application.
The embodiment is used for realizing the multi-path output effect of multiple lenses or the lens with the cloud platform by using one wide-angle lens in a video conference or a reversing camera of a doorbell or an automobile, thereby not only ensuring the accuracy and flexibility of output, but also reducing the use cost.
Fig. 1 is a flowchart of a method for outputting an image with preset parameters according to a first embodiment of the present application, please refer to fig. 1, wherein the method for outputting an image with preset parameters includes the following steps:
s110, acquiring an original image of a single wide-angle lens;
in the present embodiment, the single wide-angle lens may be a single general wide-angle lens, an ultra wide-angle lens, or a fisheye lens. The single wide-angle lens can be installed in various application places, such as video conferences in offices, doorbells in homes or in company places, reversing automobiles and the like. The original image is taken through a single wide-angle lens set at these application sites. Because the wide-angle lens has shorter focal distance and wider visual angle in the design specification, the visual angle of the general wide-angle lens can reach 60-84 degrees, the visual angle of the ultra-wide-angle lens can reach 94-118 degrees, and the visual angle of the fisheye lens can even reach 220-230 degrees, and because the visual angle is larger, the original image collected by shooting can generate more serious distortion. The distortion of the wide-angle lens is mainly of two types: radial distortion and tangential distortion. Radial distortion is characterized by minimal distortion at the very center, with increased distortion with increasing radius. Radial distortion can be divided into pincushion distortion and barrel distortion. Tangential distortion occurs when the lens is not parallel to the imaging plane. FIG. 2A is a comparison of a normal image and corresponding radial-pincushion distortion and radial-barrel distortion; fig. 2B is a comparison of a normal image and the corresponding tangential distortion.
S120, carrying out distortion correction on the original image to obtain a corrected image;
specifically, step S120 includes:
(1) acquiring parameters of radial distortion and tangential distortion of the wide-angle lens;
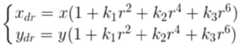
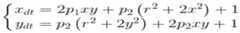
the radial distortion correction formula is as follows (taylor series expansion front 3 terms):
Figure BDA0002726595420000071
where (x, y) are ideal coordinates, xdrAnd ydrIs the distorted pixel point coordinates, and:
r2=x2+y2
the formula for correcting the tangential distortion is as follows:
Figure BDA0002726595420000072
both distortions are finally attributed to five parameters: k is a radical of1,k2,k3,p1,p2(ii) a These five parameters can be released according to the above formula.
(2) And carrying out distortion correction on the original image according to the parameters to obtain a corrected image. And after the five parameters are known, the correction from the distorted pixel point coordinates to the ideal coordinates can be completed.
The image is sequentially mapped from the pixel coordinate system to the world coordinate system by the following calculation formula, wherein u and v are coordinates in the pixel coordinate system, XYZ is coordinates in the world coordinate system, and the remaining two matrices are respectively:
RT01 matrix: the camera external parameter is a rotation and translation transformation relation of the camera relative to a world coordinate system.
4 × 3 matrix: the camera internal parameter is the inherent property of the camera and contains parameters such as focal length and pixel size.
Figure BDA0002726595420000081
Fig. 3A is an original image provided by a wide-angle lens. Fig. 3B is a diagram illustrating the effect of the wide-angle lens after the distortion of the original image is corrected.
S130, acquiring preset parameters;
in this embodiment, the preset parameters may be obtained according to real-time settings of a user, or may be obtained according to preset settings in the device. For example, in a video conference, a user may set the direction of the wide-angle lens output image in real time, or may set the direction in advance in the device. The image output effect currently desired by the user can be met through real-time setting; a default output mode may also be used, without requiring the user to set the image output effect each time.
Before the step of obtaining the preset parameters, the method further comprises the following steps: receiving preset parameters set by a user through network connection or receiving preset parameters directly set in equipment. For example, the user may set the wide-angle lens on an application of the intelligent terminal through network connection, or may directly set the wide-angle lens in the device.
The preset parameters comprise one or more of preset direction, quantity and output mode of the output images. For example, in an office video conference, a user may set which direction images are to be output, or may set polling output. In the video conference, the user can also set that the output of the speaker is locked, only the speaker is output, and the effect of tracking the speaker is realized. Under the monitoring scene, a user can set an image of a monitoring sound source, position the sound source through the sound source and output the image of the sound source.
For example, several buttons representing different directions may be set in a wide-angle lens of a doorbell at home or in an office, and a user may set the direction, the number, and the output mode of an output image by pressing the corresponding buttons.
For example, images of different angles can be set and output in a reversing wide-angle lens of an automobile, so that the reversing real-time requirement is met.
The user can also set one-time output of multiple paths of images or only one path of preset image.
The output mode of the multi-path images can also be set, and the multi-path images can be placed in a certain sequence or output in a combined mode of a main picture and a secondary picture.
And S140, processing the corrected image by combining the preset parameters to obtain at least one path of preset output image, wherein the output image corresponds to the preset parameters.
Specifically, step S140 includes:
analyzing preset parameters to obtain an analysis result;
according to the analysis result, operating the corrected image data, wherein the operating comprises positioning in the corrected image, and then at least one of intercepting and translating;
and outputting at least one preset output image.
In this embodiment, the preset parameters are analyzed to obtain an analysis result, and then the corrected image is subjected to the following operations according to the analyzed parameters:
a. positioning and locking an image meeting the requirements;
b. intercepting an image meeting the requirements;
c. one or more images are acquired in a translation manner according to the output manner in the analysis parameters.
And finally, outputting at least one preset output image corresponding to the preset parameters.
Fig. 4A-4B are schematic diagrams illustrating image multiplexing of preset parameters according to the present embodiment. Fig. 4A is a corrected image, and fig. 4B is a multiplexed output image obtained by processing the corrected image with preset parameters. The user presets the position and the number of the images to be output, and sets three output images to be output in a combined mode of upper, lower left and lower right.
For another example, in a video conference, a situation that the output of a speaker is locked, and the tracking of the speaker is realized, preset parameters are analyzed, and the information that the analysis result is the head portrait of the speaker is output is obtained; according to the analysis result, operating the corrected data image, including positioning the information of the head portrait of the speaker in the corrected image according to sound source positioning, and then intercepting and translating the image of the head portrait information of the speaker; and outputting the image containing the head portrait information of the speaker, wherein the output mode is according to a mode preset by a user.
In another embodiment of the application, in a monitoring scene, the output of a sound source is locked, and an image of sound source information is output. I.e., any way of indicating that it is preset as output content, is within the scope of the present embodiment.
In the embodiment, the position, the number and the output mode of the output image are preset, so that the effect of obtaining at least one path of preset output by using one wide-angle lens is realized, the use cost is saved, and the accuracy and the flexibility of output are also ensured.
Fig. 5 is a block diagram of an image output terminal with preset parameters according to a second embodiment of the present application, and please refer to the first embodiment for parts not described in this embodiment. Referring to fig. 5, an image output terminal with preset parameters includes:
a first acquisition module for acquiring an original image of a single wide-angle lens;
the correction module is used for carrying out distortion correction on the original image to obtain a corrected image;
the second acquisition module is used for acquiring preset parameters;
and the output module is used for processing the corrected image by combining the preset parameters to obtain at least one path of preset output image, wherein the output image corresponds to the preset parameters.
In this embodiment, the single wide-angle lens in the first acquisition module may be a single general wide-angle lens, an ultra wide-angle lens, or a fisheye lens.
In this embodiment, the orthotic module comprises:
a correction parameter acquisition module: the system comprises a wide-angle lens, a lens controller and a controller, wherein the wide-angle lens is used for acquiring parameters of radial distortion and tangential distortion of the wide-angle lens;
a corrected image acquisition module: and the image distortion correction module is used for carrying out distortion correction on the original image according to the parameters to obtain a corrected image.
In this embodiment, the second obtaining module is configured to obtain the preset. The preset parameters can be obtained according to the real-time setting of the user, or the preset parameters can be obtained according to the preset setting in the equipment.
Before the preset parameters are obtained, the method further comprises the following steps:
and the receiving module is used for receiving preset parameters set by a user through network connection or receiving preset parameters directly set in the equipment.
The preset parameters comprise one or more of preset direction, quantity and output mode of the output images.
In this embodiment, the output module includes:
the analysis module is used for analyzing the preset parameters to obtain an analysis result;
the processing module is used for operating the corrected image data according to the analysis result, and the operation comprises positioning in the corrected image, and then at least one of intercepting and translating;
and the display module is used for outputting at least one path of preset output image.
For another example, in a video conference, under a scene that the output of a speaker is locked and the tracking of the speaker is realized, the analysis module is used for analyzing the preset parameters and obtaining the information that the analysis result is the head portrait of the speaker; the processing module is used for operating the corrected data image according to the analysis result, and comprises positioning the information of the head portrait of the speaker in the corrected image according to sound source positioning, and then intercepting and translating the image of the head portrait information of the speaker; and the display module is used for outputting the image containing the head portrait information of the speaker, and the output mode is according to a mode preset by a user.
The third embodiment of the present application further provides an electronic device, please refer to fig. 6, the electronic device includes aprocessor 611 and amemory 612, thememory 612 stores at least one instruction, at least one program, a code set, or a set of instructions, and the at least one instruction, the at least one program, the code set, or the set of instructions is loaded and executed by theprocessor 611 to implement the image output method with preset parameters as described above.
The fourth embodiment of the present application further provides a computer-readable storage medium, in which at least one instruction, at least one program, a code set, or a set of instructions is stored, and the at least one instruction, the at least one program, the code set, or the set of instructions is loaded and executed by a processor to implement the image output method with preset parameters as described above.
The above description is only for the preferred embodiment of the present application, but the scope of the present application is not limited thereto, and any changes or substitutions that can be easily conceived by those skilled in the art within the technical scope of the present application should be covered within the scope of the present application. Therefore, the protection scope of the present application shall be subject to the protection scope of the claims.

Claims (19)

Translated fromChinese
1.一种预设参数的图像输出方法,其特征在于,包括以下步骤:1. an image output method of preset parameters, is characterized in that, comprises the following steps:获取单个广角镜头的原始图像;Get the raw image of a single wide-angle lens;对原始图像进行畸变矫正以获得矫正后的图像;Perform distortion correction on the original image to obtain a corrected image;获取预设参数;Get preset parameters;结合所述预设参数对矫正后的图像进行处理,以获得至少一路预设输出图像,其中,所述输出图像与所述预设参数相对应。The corrected image is processed in combination with the preset parameters to obtain at least one preset output image, wherein the output image corresponds to the preset parameters.2.根据权利要求1所述的一种预设参数的图像输出方法,其特征在于,步骤对原始图像进行畸变矫正以获得矫正后的图像具体包括:2. The image output method of a preset parameter according to claim 1, wherein the step of performing distortion correction on the original image to obtain the corrected image specifically comprises:获取所述广角镜头的径向畸变和切向畸变的参数;obtain the parameters of radial distortion and tangential distortion of the wide-angle lens;根据所述参数对原始图像进行畸变矫正,以获得矫正后的图像。Distortion correction is performed on the original image according to the parameters to obtain a corrected image.3.根据权利要求1所述的一种预设参数的图像输出方法,其特征在于,步骤获取预设参数具体包括:3. The image output method of a preset parameter according to claim 1, wherein the step of acquiring the preset parameter specifically comprises:根据用户实时设置获取或者根据设备中预先设置获取预设参数。Obtain according to the real-time setting of the user or obtain the preset parameters according to the preset settings in the device.4.根据权利要求1所述的一种预设参数的图像输出方法,其特征在于,在获取预设参数步骤之前还包括:4. The image output method of a preset parameter according to claim 1, characterized in that, before the step of acquiring the preset parameter, further comprising:接收用户通过网络连接设置的预设参数或者接收直接在设备中设置的预设参数。Receive preset parameters set by the user through a network connection or receive preset parameters set directly in the device.5.根据权利要求1所述的一种预设参数的图像输出方法,其特征在于,所述预设参数包括预设输出图像的方向、数量和输出方式一种或几种的组合。5 . The method for outputting images with preset parameters according to claim 1 , wherein the preset parameters include one or a combination of preset output image directions, quantities and output modes. 6 .6.根据权利要求1所述的一种预设参数的图像输出方法,其特征在于,步骤结合所述预设参数对矫正后的图像进行处理,以获得至少一路预设输出图像具体包括:6. The image output method of a preset parameter according to claim 1, wherein the step of processing the corrected image in combination with the preset parameter to obtain at least one preset output image specifically comprises:解析预设参数,获得解析结果;Parse the preset parameters and obtain the parsing result;根据所述解析结果,对矫正后的图像数据进行操作,所述操作包括先在矫正后的图像中定位,再进行截取、平移中的至少一种;According to the analysis result, operate on the corrected image data, the operation includes first positioning in the corrected image, and then performing at least one of interception and translation;输出至少一路预设输出图像。Output at least one preset output image.7.根据权利要求1所述的一种预设参数的图像输出方法,其特征在于,步骤结合所述预设参数对矫正后的图像进行处理,以获得至少一路预设输出图像具体包括:7. The image output method of a preset parameter according to claim 1, wherein the step of processing the corrected image in combination with the preset parameter to obtain at least one preset output image specifically comprises:解析预设参数,获得解析结果,其中,所述解析结果包括输出发声声源的信息;Parsing the preset parameters to obtain an parsing result, wherein the parsing result includes the information of the output sound source;根据所述解析结果,对矫正后的图像数据进行操作,所述操作包括先在矫正后的图像中定位出发声声源的位置,再进行截取、平移中的至少一种;According to the analysis result, the corrected image data is operated, and the operation includes first locating the position of the sound source in the corrected image, and then performing at least one of interception and translation;输出一路图像,其中,该路输出图像中包含发声声源的信息。A channel of images is output, wherein the output images of the channel contain the information of the sound source.8.根据权利要求7所述的一种预设参数的图像输出终端,其特征在于,其特征在于,所述在矫正后的图像中定位出发声声源的位置包括根据声源定位。8 . The image output terminal with preset parameters according to claim 7 , wherein the locating the position of the sound source in the corrected image comprises locating according to the sound source. 9 .9.根据权利要求7所述的一种预设参数的图像输出终端,其特征在于,其特征在于,所述输出发声声源的信息为视频会议中输出发言人头像的信息。9 . The image output terminal with preset parameters according to claim 7 , wherein the information about outputting the sound source is the information about outputting the avatar of the speaker in the video conference. 10 .10.根据权利要求1所述的一种预设参数的图像输出方法,其特征在于,所述单个广角镜头包括单个的一般广角镜头、超广角镜头或鱼眼镜头。10 . The method for outputting images with preset parameters according to claim 1 , wherein the single wide-angle lens comprises a single general wide-angle lens, an ultra-wide-angle lens or a fisheye lens. 11 .11.一种预设参数的图像输出终端,其特征在于,包括:11. An image output terminal with preset parameters, characterized in that, comprising:第一获取模块,其用于获取单个广角镜头的原始图像;a first acquisition module, which is used to acquire the original image of a single wide-angle lens;矫正模块,其用于对原始图像进行畸变矫正以获得矫正后的图像;A correction module, which is used to perform distortion correction on the original image to obtain a corrected image;第二获取模块,其用于获取预设参数;a second acquisition module, which is used to acquire preset parameters;输出模块,用于结合所述预设参数对矫正后的图像进行处理,以获得至少一路预设输出图像,其中,所述输出图像与所述预设参数相对应。The output module is configured to process the corrected image in combination with the preset parameters to obtain at least one preset output image, wherein the output image corresponds to the preset parameters.12.根据权利要求11所述的一种预设参数的图像输出终端,其特征在于,所述矫正模块包括:12. The image output terminal of a preset parameter according to claim 11, wherein the correction module comprises:矫正参数获取模块:其用于获取所述广角镜头的径向畸变和切向畸变的参数;Correction parameter acquisition module: it is used to acquire the parameters of radial distortion and tangential distortion of the wide-angle lens;矫正图像获取模块:其用于根据所述参数对原始图像进行畸变矫正,以获得矫正后的图像。Corrected image acquisition module: it is used to perform distortion correction on the original image according to the parameters to obtain a corrected image.13.根据权利要求11所述的一种预设参数的图像输出终端,其特征在于,所述第二获取模块,其用于根据用户实时设置获取或者根据设备中预先设置获取预设参数。13 . The image output terminal with preset parameters according to claim 11 , wherein the second obtaining module is configured to obtain real-time settings according to a user or obtain preset parameters according to preset parameters in the device. 14 .14.根据权利要求11所述的一种预设参数的图像输出终端,其特征在于,在获取预设参数之前还包括:14. The image output terminal of a preset parameter according to claim 11, characterized in that, before acquiring the preset parameter, further comprising:接收模块,其用于接收用户通过网络连接设置的预设参数或者接收直接在设备中设置的预设参数。The receiving module is used for receiving the preset parameters set by the user through the network connection or receiving the preset parameters set directly in the device.15.根据权利要求11所述的一种预设参数的图像输出终端,其特征在于,所述预设参数包括预设输出图像的方向、数量和输出方式一种或几种的组合。15 . The image output terminal with preset parameters according to claim 11 , wherein the preset parameters include one or a combination of preset output image directions, quantities and output modes. 16 .16.根据权利要求11所述的一种预设参数的图像输出终端,其特征在于,所述输出模块包括:16. The image output terminal with preset parameters according to claim 11, wherein the output module comprises:解析模块,其用于解析预设参数,获得解析结果;Parsing module, which is used for parsing preset parameters to obtain parsing results;处理模块,其用于根据所述解析结果,对矫正后的图像数据进行操作,所述操作包括先在矫正后的图像中定位,再进行截取、平移中的至少一种;a processing module, configured to operate on the corrected image data according to the analysis result, the operation includes first positioning in the corrected image, and then performing at least one of interception and translation;显示模块,其用于输出至少一路预设输出图像。The display module is used for outputting at least one preset output image.17.根据权利要求11所述的一种预设参数的图像输出终端,其特征在于,所述单个广角镜头包括单个的一般广角镜头,超广角镜头或鱼眼镜头。17 . The image output terminal with preset parameters according to claim 11 , wherein the single wide-angle lens comprises a single general wide-angle lens, an ultra-wide-angle lens or a fisheye lens. 18 .18.一种电子设备,其特征在于,所述电子设备包括处理器和存储器,所述存储器中存储有至少一条指令、至少一段程序、代码集或指令集,所述至少一条指令、所述至少一段程序、所述代码集或指令集由所述处理器加载并执行以实现如上述权利要求1至10任一项所述的一种预设参数的图像输出方法。18. An electronic device, characterized in that the electronic device comprises a processor and a memory, and the memory stores at least one instruction, at least a piece of program, a code set or an instruction set, the at least one instruction, the at least one A piece of program, the code set or the instruction set is loaded and executed by the processor to implement an image output method with preset parameters as described in any one of the above claims 1 to 10.19.一种计算机可读存储介质,其特征在于,所述计算机可读存储介质中存储有至少一条指令、至少一段程序、代码集或指令集,所述至少一条指令、所述至少一段程序、所述代码集或指令集由处理器加载并执行以实现如上述权利要求1至10任一项所述的一种预设参数的图像输出方法。19. A computer-readable storage medium, characterized in that, the computer-readable storage medium stores at least one instruction, at least one segment of program, code set or instruction set, the at least one instruction, the at least one segment of program, The code set or instruction set is loaded and executed by the processor to implement an image output method with preset parameters as described in any one of claims 1 to 10 above.
CN202011104806.7A2020-10-152020-10-15Image output method of preset parameters, terminal, electronic equipment and storage mediumPendingCN112308792A (en)

Priority Applications (1)

Application NumberPriority DateFiling DateTitle
CN202011104806.7ACN112308792A (en)2020-10-152020-10-15Image output method of preset parameters, terminal, electronic equipment and storage medium

Applications Claiming Priority (1)

Application NumberPriority DateFiling DateTitle
CN202011104806.7ACN112308792A (en)2020-10-152020-10-15Image output method of preset parameters, terminal, electronic equipment and storage medium

Publications (1)

Publication NumberPublication Date
CN112308792Atrue CN112308792A (en)2021-02-02

Family

ID=74327577

Family Applications (1)

Application NumberTitlePriority DateFiling Date
CN202011104806.7APendingCN112308792A (en)2020-10-152020-10-15Image output method of preset parameters, terminal, electronic equipment and storage medium

Country Status (1)

CountryLink
CN (1)CN112308792A (en)

Cited By (1)

* Cited by examiner, † Cited by third party
Publication numberPriority datePublication dateAssigneeTitle
CN114219746A (en)*2021-12-132022-03-22Tcl通讯科技(成都)有限公司Ultra-wide-angle image acquisition method and device, storage medium and electronic equipment

Citations (11)

* Cited by examiner, † Cited by third party
Publication numberPriority datePublication dateAssigneeTitle
US20010000779A1 (en)*1996-11-072001-05-03Kabushiki Kaisha Sega Enterprises.Image processing device, image processing method and recording medium
JP2007226362A (en)*2006-02-212007-09-06Alpine Electronics IncImage display method and device
CN101442618A (en)*2008-12-312009-05-27葛晨阳Method for synthesizing 360 DEG ring-shaped video of vehicle assistant drive
KR20110116387A (en)*2010-04-192011-10-26클레어픽셀 주식회사 Imager and image distortion correction method
CN102955929A (en)*2011-08-182013-03-06新谊整合科技股份有限公司 Super wide-angle image processing method and system
CN105184214A (en)*2015-07-202015-12-23北京进化者机器人科技有限公司Sound source positioning and human face detection-based human body positioning method and system
CN105827899A (en)*2015-05-262016-08-03维沃移动通信有限公司Method and device for correcting lens distortion
CN108335273A (en)*2018-02-062018-07-27大唐终端技术有限公司The real-time removing method of the distortion of big wide-angle flake full shot camera
WO2019148642A1 (en)*2018-02-012019-08-08江西联创电子有限公司Distortion correction method, apparatus, and system for wide-angle lens
CN110163823A (en)*2019-05-172019-08-23深圳大学Multi-view image antidote and system based on capsule robot towards drainpipe
CN111343413A (en)*2020-04-092020-06-26深圳市明日实业有限责任公司Video conference system and display method thereof

Patent Citations (11)

* Cited by examiner, † Cited by third party
Publication numberPriority datePublication dateAssigneeTitle
US20010000779A1 (en)*1996-11-072001-05-03Kabushiki Kaisha Sega Enterprises.Image processing device, image processing method and recording medium
JP2007226362A (en)*2006-02-212007-09-06Alpine Electronics IncImage display method and device
CN101442618A (en)*2008-12-312009-05-27葛晨阳Method for synthesizing 360 DEG ring-shaped video of vehicle assistant drive
KR20110116387A (en)*2010-04-192011-10-26클레어픽셀 주식회사 Imager and image distortion correction method
CN102955929A (en)*2011-08-182013-03-06新谊整合科技股份有限公司 Super wide-angle image processing method and system
CN105827899A (en)*2015-05-262016-08-03维沃移动通信有限公司Method and device for correcting lens distortion
CN105184214A (en)*2015-07-202015-12-23北京进化者机器人科技有限公司Sound source positioning and human face detection-based human body positioning method and system
WO2019148642A1 (en)*2018-02-012019-08-08江西联创电子有限公司Distortion correction method, apparatus, and system for wide-angle lens
CN108335273A (en)*2018-02-062018-07-27大唐终端技术有限公司The real-time removing method of the distortion of big wide-angle flake full shot camera
CN110163823A (en)*2019-05-172019-08-23深圳大学Multi-view image antidote and system based on capsule robot towards drainpipe
CN111343413A (en)*2020-04-092020-06-26深圳市明日实业有限责任公司Video conference system and display method thereof

Non-Patent Citations (1)

* Cited by examiner, † Cited by third party
Title
高宏伟: "《电子封装工艺与装备技术基础教程》", 30 June 2017, 西安电子科技大学出版社, pages: 247 - 249*

Cited By (1)

* Cited by examiner, † Cited by third party
Publication numberPriority datePublication dateAssigneeTitle
CN114219746A (en)*2021-12-132022-03-22Tcl通讯科技(成都)有限公司Ultra-wide-angle image acquisition method and device, storage medium and electronic equipment

Similar Documents

PublicationPublication DateTitle
EP2047422B1 (en)Method and system for producing seamless composite images having non-uniform resolution from a multi-imager
JP4890005B2 (en) Method and system to minimize the panorama camera dead zone
CN110099220B (en)Panoramic stitching method and device
US20150029301A1 (en)Teleconference system and teleconference terminal
EP3451649B1 (en)Method and apparatus for generating indoor panoramic video
JP2006039564A (en)Camera system and panoramic camera system
CN105872386A (en)Panoramic camera device and panoramic picture generation method
US12217388B2 (en)Image processing method and device, electronic equipment, and storage medium
KR20190086964A (en)System and Method for Removing Distortion of Fisheye Lens and Omnidirectional Image
CN111787220A (en) application processor
US20170374319A1 (en)Video image generation system and video image generating method thereof
US12273655B2 (en)Conference device with multi-videostream capability
CN112839165B (en)Method and device for realizing face tracking camera shooting, computer equipment and storage medium
CN115174878A (en)Projection picture correction method, apparatus and storage medium
CN107610045B (en)Brightness compensation method, device and equipment in fisheye picture splicing and storage medium
CN112308792A (en)Image output method of preset parameters, terminal, electronic equipment and storage medium
JP2003111041A (en) Image processing apparatus, image processing system, image processing method, storage medium, and program
CN114189660A (en)Monitoring method and system based on omnidirectional camera
JP2018157531A (en) Multi-lens optical device
US11922605B2 (en)Selective distortion or deformation correction in images from a camera with a wide angle lens
US20200389722A1 (en)Processing of data of a video sequence in order to zoom to a speaker detected in the sequence
CN111918127A (en)Video clipping method and device, computer readable storage medium and camera
KR101788005B1 (en)Method for generating multi-view image by using a plurality of mobile terminal
CN109698927A (en)Conference management method, device and storage medium
JPH08305841A (en)Distorted image correcting display device

Legal Events

DateCodeTitleDescription
PB01Publication
PB01Publication
SE01Entry into force of request for substantive examination
SE01Entry into force of request for substantive examination
RJ01Rejection of invention patent application after publication
RJ01Rejection of invention patent application after publication

Application publication date:20210202


[8]ページ先頭

©2009-2025 Movatter.jp