Movatterモバイル変換


[0]ホーム

URL:


CN112308402A - Anomaly detection method for power time series data based on long short-term memory network - Google Patents

Anomaly detection method for power time series data based on long short-term memory network
Download PDF

Info

Publication number
CN112308402A
CN112308402ACN202011182119.7ACN202011182119ACN112308402ACN 112308402 ACN112308402 ACN 112308402ACN 202011182119 ACN202011182119 ACN 202011182119ACN 112308402 ACN112308402 ACN 112308402A
Authority
CN
China
Prior art keywords
model
attention
time series
encoder
series data
Prior art date
Legal status (The legal status is an assumption and is not a legal conclusion. Google has not performed a legal analysis and makes no representation as to the accuracy of the status listed.)
Granted
Application number
CN202011182119.7A
Other languages
Chinese (zh)
Other versions
CN112308402B (en
Inventor
沙朝锋
耿同欣
郑伟杰
Current Assignee (The listed assignees may be inaccurate. Google has not performed a legal analysis and makes no representation or warranty as to the accuracy of the list.)
China Electric Power Research Institute Co Ltd CEPRI
Electric Power Research Institute of State Grid Liaoning Electric Power Co Ltd
Fudan University
Original Assignee
China Electric Power Research Institute Co Ltd CEPRI
Electric Power Research Institute of State Grid Liaoning Electric Power Co Ltd
Fudan University
Priority date (The priority date is an assumption and is not a legal conclusion. Google has not performed a legal analysis and makes no representation as to the accuracy of the date listed.)
Filing date
Publication date
Application filed by China Electric Power Research Institute Co Ltd CEPRI, Electric Power Research Institute of State Grid Liaoning Electric Power Co Ltd, Fudan UniversityfiledCriticalChina Electric Power Research Institute Co Ltd CEPRI
Priority to CN202011182119.7ApriorityCriticalpatent/CN112308402B/en
Publication of CN112308402ApublicationCriticalpatent/CN112308402A/en
Application grantedgrantedCritical
Publication of CN112308402BpublicationCriticalpatent/CN112308402B/en
Activelegal-statusCriticalCurrent
Anticipated expirationlegal-statusCritical

Links

Images

Classifications

Landscapes

Abstract

Translated fromChinese

本发明公开了一种基于长短期记忆网络的电力时间序列数据的异常检测方法。该方法包括如下步骤:(1)电力时序数据预处理;(2)神经网络模型预训练,采用编码器‑解码器结构,计算分层动态注意力;(3)异常数据检测,在神经网络模型

Figure DDA0002750171130000011
完成训练后,将模型权重W将模型保存到本地,在对新的电力时序数据x进行检测时直接加载模型,计算
Figure DDA0002750171130000012
与代表点c的距离
Figure DDA0002750171130000013
得到其异常分数从而判断是否异常。本发明方法用于电力时间序列数据的异常检测,方法简单,检测精准度高。

Figure 202011182119

The invention discloses an abnormal detection method of electric power time series data based on a long short-term memory network. The method includes the following steps: (1) preprocessing power time series data; (2) neural network model pre-training, using an encoder-decoder structure to calculate hierarchical dynamic attention; (3) abnormal data detection, in the neural network model

Figure DDA0002750171130000011
After the training is completed, the model weight W is saved to the local, and the model is directly loaded when the new power time series data x is detected, and the calculation
Figure DDA0002750171130000012
distance from representative point c
Figure DDA0002750171130000013
Get its abnormal score to judge whether it is abnormal or not. The method of the invention is used for abnormal detection of power time series data, and the method is simple and the detection accuracy is high.

Figure 202011182119

Description

Power time series data abnormity detection method based on long and short term memory network
Technical Field
The invention belongs to the technical field of data analysis and anomaly detection, and particularly relates to an anomaly detection method of power time series data based on a long-term and short-term memory network.
Background
The real-time operation data of the power system has the potential capability of reflecting the current operation state and the future development trend of the power system. Along with the rapid development of the intellectualization of the power system, the scale of embedding various sensors in the power system is continuously enlarged, so that the types of data collected by a sensing layer are more refined, and the data to be processed is increased rapidly. According to incomplete statistics, the power grid service data collected every day in a single city can reach a PB level. In general, the real-time operation data of the power system has the characteristics of multiple data acquisition devices, high acquisition frequency, large data scale, complex data types and the like. And the collected data is typical time-series data (TSD). The method has the advantages that the power time sequence data are fully utilized, the appropriate technology is adopted to carry out abnormity detection and timely find faults existing in the power system, and decision and auxiliary support can be provided for efficient and safe operation of the power system.
Disclosure of Invention
In order to achieve the above object, the present invention provides a method for detecting abnormality of power timing data based on long and short term memory network; the invention uses the long and short term memory network model in deep learning to analyze the power time sequence data and detect the abnormal data in the power time sequence data so as to help the power system to find the existing faults in time.
An abnormality detection method for power time series data based on a long-short term memory network comprises the following steps:
s1: preprocessing power time sequence data, removing unimportant features in the data, cleaning partial noise data, and taking a data preprocessing result as input of next model training;
s2: pre-training a neural network model, and calculating the layered dynamic attention by adopting an encoder-decoder structure; the basic model uses a Long short-term memory network (LSTM), the ReLU is used as an activation function, the loss function uses a custom loss function, the optimizer uses Adam, and the model is trained until convergence; this step is based on a power time series data set { x }1,…,xNObtaining initial parameters of the neural network model parameters of the next step and representative point representation c of the whole time sequence data set;
s3: abnormal data detection in neural network models
Figure BDA0002750171110000011
After training is completed, the model weight W is stored locally, the model is directly loaded when new power time sequence data x are detected, and calculation is carried out
Figure BDA0002750171110000012
Distance from the representative point c
Figure BDA0002750171110000013
Figure BDA0002750171110000014
And obtaining the abnormal score of the user to judge whether the user is abnormal or not.
Compared with the prior art, the invention has the beneficial effects that:
the method comprises the steps of firstly preprocessing the existing data to obtain a group of relatively regular data sets without redundancy; the invention adopts the long-term and short-term memory network, and is more suitable for the analysis of time sequence data compared with other networks; the Adam optimizer is adopted, the Adam algorithm is a method for calculating the self-adaptive learning rate of each parameter, the algorithm needs less memory and is efficient in calculation, and the method is suitable for solving the problems of large-scale data and parameters; the method uses the custom loss function, performs specific optimization aiming at the abnormal detection, and can improve the network training efficiency and the abnormal detection accuracy; according to the invention, a ReLU activation function is used, and the single-side inhibition of the function enables neurons in a neural network to have sparse activation, so that a model after sparse realization through the ReLU can better mine relevant characteristics and fit training data; the invention uses the network pre-training technology, thereby greatly reducing the training time of the model.
Drawings
FIG. 1 is a flow chart of an anomaly detection method based on power time series data of a long-term and short-term memory network according to the present invention.
FIG. 2 is a block diagram of an encoder-decoder neural network architecture for pre-training a hierarchical attention mechanism in accordance with the present invention.
Fig. 3 shows the principle and structure of the method for detecting the abnormality of the power time series data based on the long-short term memory network according to the present invention.
Detailed Description
The following description of the embodiments of the present invention is provided in order to better understand the present invention for those skilled in the art with reference to the accompanying drawings. It is to be expressly noted that in the following description, a detailed description of known functions and designs will be omitted when it may obscure the subject matter of the present invention.
Example 1
Although illustrative embodiments of the present invention have been described above to facilitate the understanding of the present invention by those skilled in the art, it should be understood that the present invention is not limited to the scope of the embodiments, and it will be apparent to those skilled in the art that various changes may be made without departing from the spirit and scope of the invention as defined and defined in the appended claims, and all changes that come within the meaning and range of equivalency of the claims are to be embraced therein.
As shown in fig. 1 and fig. 3, a method for detecting an abnormality of power time series data based on a long-short term memory network, the method comprising two parts of off-line training a model and detecting an abnormality based on the model by a power time series data analysis method based on a long-short term memory network model, comprises the following steps:
s1: and (3) preprocessing power time sequence data, removing unimportant features in the data, and cleaning part of noise data. The result of the data preprocessing is used as the input of the next model training;
s2: the method comprises the following steps of pre-training a neural network model, training the model until convergence, based on a hierarchical attention mechanism encoder-decoder neural network structure (figure 2), using a long-short-term memory network (LSTM) for a basic model, using Adam for an optimizer, using a custom loss function for a loss function, using a ReLU as an activation function, and training the model. In the training process, a back propagation algorithm is adopted, the algorithm is based on a chain rule of a complex function, a gradient descending mode is adopted, the gradient is intuitively understood to be first-order approximation, so the gradient can be understood to be a coefficient of the sensitivity of a certain variable or a certain intermediate variable to the output influence, and the understanding is more intuitive when the chain method is changed from multiplication to Jacobian matrix multiplication. To reduce training time, pre-training (pre-training) can be used to find a near-optimal solution for weights in the neural network.
The pre-trained model adopts a coder-decoder structure based on a hierarchical attention mechanism, and comprises the following modules:
2.1 encoder
Input sequence
Figure BDA0002750171110000031
For k variable sequence with length of l, the hidden state sequence of n encoder units is obtained by passing the k variable sequence through LSTM unit
Figure BDA0002750171110000032
Wherein XiCorresponding encoder hidden state
Figure BDA0002750171110000033
2.2 decoder
Combining the previous decoder unit hidden state with the k-dimensional prediction result of the previous decoder unit
Figure RE-GDA0002840678230000034
The current decoder hidden state is obtained by the LSTM unit. Thereby obtaining a sequence of hidden states of the decoder unit
Figure RE-GDA0002840678230000035
Wherein
Figure RE-GDA0002840678230000036
2.3 computing hierarchical dynamic attention
(1) Calculating attention weights
For each decoder unit, all encoder hidden states E obtained from step 2.1 and decoder hidden states obtained from step 2.2
Figure BDA0002750171110000038
Calculating attention alphai*The method used is a bilinear mapping method (i.e.,
Figure BDA0002750171110000039
) Or location-based methods (i.e. using a location-based method)
Figure BDA00027501711100000310
). Then to alphai*Normalization using softmax to obtain attention weight
Figure BDA00027501711100000311
(2) Computing dynamic attention context vectors
Using the attention weight obtained in the previous step
Figure BDA00027501711100000312
Set H of hidden states for all encoders and hidden states for decodersiThe weighted sum is obtained for E ═ D,a dynamic attention context vector is obtained, i.e.,
Figure BDA00027501711100000313
(3) computing hierarchical attention hiding states
Obtained in the last step
Figure BDA00027501711100000314
After being connected with the hidden state of the decoder, the corresponding dynamic attention hidden state is obtained through a ReLU activation function
Figure BDA00027501711100000315
Then, a Max-Pooling or averaging method is used for calculating and obtaining the context vector of the encoder according to all the hidden states E of the encoder obtained in the step 2.1
Figure BDA00027501711100000316
Finally, the encoder context vector ceAnd dynamic attention hidden state
Figure BDA00027501711100000317
By blending functions (serial affine transformation of two vectors, or pooling operations on both), we get a hierarchical attention hidden state
Figure BDA00027501711100000318
Specifically, the number of hidden units in the model is 128, a single-layer LSTM is used, and parameter estimation is performed by using an Adam optimization algorithm. The size of the model training batch is set to 512, the number of iterations is 500, the learning rate is set to 0.001, overfitting is prevented by using early stopping, and the time point of early stopping is judged by the error reduction trend of the model on the cross validation set.
S3: abnormal data detection in neural network models
Figure BDA00027501711100000319
After the training is finished, the model weight W is stored to the local, and the new power sequence is processedDirectly loading the model and calculating when the data x is detected
Figure BDA00027501711100000320
Distance from the representative point c
Figure BDA00027501711100000321
And obtaining the abnormal score of the user to judge whether the user is abnormal or not.
Further, in step S3, a Long short-term memory (LSTM) is used, which is an excellent variant model of RNN, inherits most characteristics of RNN model, and solves the problem of gradient disappearance caused by gradual reduction in the gradient back propagation process, and the LSTM is very suitable for processing the highly time-related problems, such as the power time-series data concerned in this patent.
Specifically, the number of hidden units in the model is 96, single-layer LSTM is used, and parameter estimation is performed by using an Adam optimization algorithm. The model training batch size is set to 512, the number of iterations is 200, the learning rate is set to 0.001, and overfitting is prevented by using the advance stop
The beneficial effect of adopting the further scheme is as follows: the LSTM is more suitable for time sequence data than other networks, so that the addition of the LSTM effectively improves the effect of anomaly detection.
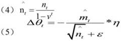
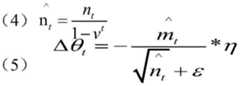
Further, in step S3, Adam is used as an optimization function, which is essentially RMSprop with momentum term, and it dynamically adjusts the learning rate of each parameter using the first moment estimate and the second moment estimate of the gradient. The formula is as follows:
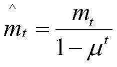
(1)mt=μ*mt-1+(1-μ)*gt
(2)nt=v*nt-1+(1-v)*gt2
(3)
Figure BDA0002750171110000041
Figure BDA0002750171110000042
where equations (1) (2) are the first and second order moment estimates, respectively, for the gradient, which can be considered as Egt|,E|gt2The estimate of | equation (3) (4) is a correction to the first order second moment estimate, which can be approximated as an unbiased estimate of the expectation. It can be seen that the moment estimation directly on the gradient has no additional requirements on the memory and can be dynamically adjusted according to the gradient. The last term is preceded by a dynamic constraint formed on the learning rate n and having a well-defined range.
The beneficial effect of adopting the further scheme is as follows: after offset correction, the learning rate of each iteration has a certain range, so that the parameters are relatively stable.
Further, step S3 uses a custom loss function, which is defined as follows:
Figure BDA0002750171110000043
herein, the
Figure BDA0002750171110000044
For the LSTM model, the parameters of the network are W, and a time sequence x is formediMapping into a hypersphere. The objective function described above requires that the raw data be mapped into a hypersphere, in order to contain as much data as possible within the hypersphere. Wherein the first term minimizes the volume of the hypersphere; the second term is the penalty term for those located outside the hypersphere, the hyperparameter α is used to control a trade-off of hypersphere volume and over-bounds; the third term is a regularization term that controls the norm of the network parameter W to avoid model overfitting.
After the Adam completes the training of the model, the model is directly loaded and calculated when new power time sequence data x are detected
Figure BDA0002750171110000051
Distance from the representative point c
Figure BDA0002750171110000052
And obtaining the abnormal score of the user to judge whether the user is abnormal or not.
The beneficial effect of adopting the further scheme is as follows: the loss function is specifically optimized for anomaly detection, network training efficiency is effectively improved, and anomaly detection accuracy and recall rate are improved.
Further, step S3 uses ReLU as the activation function, whose formula is defined as follows:
ReLU(x)=max{0,x}
the function changes all negative values into 0, and the positive values are unchanged, namely, unilateral inhibition is carried out, so that neurons in the neural network also have sparse activation.
The beneficial effect of adopting the further scheme is as follows: for a linear function, the expression capacity of the ReLU is stronger, and the ReLU is particularly embodied in a deep network; for the nonlinear function, because the Gradient of the non-negative interval is constant, the ReLU has no Problem of Gradient disappearance (cancellation Gradient distribution), so that the convergence rate of the model is maintained in a stable state.
Further, the step S3 initializes parameters of the LSTM model using the S2 pre-trained network parameters, the pre-trained model being a model trained on a large reference data set for solving a similar problem. Because the calculation cost for training the model is high, it is common practice to import published results and use the corresponding model, and slight adjustment of model parameters is performed on the basis of the model, so that the training process of the model is completed.
The beneficial effect of adopting the further scheme is as follows: the training speed of the model can be increased, the generated model can be stored in a weight mode and can be migrated to the solution of other problems, and the idea is adopted in the process of migration learning.

Claims (5)

Translated fromChinese
1.一种基于长短期记忆网络的电力时间序列数据的异常检测方法,其特征在于,包括以下步骤:1. an abnormal detection method based on the power time series data of long short-term memory network, is characterized in that, comprises the following steps:S1:电力时序数据预处理,移除数据中不重要的特征,清洗部分噪声数据,数据预处理的结果作为下一步模型训练的输入;S1: Preprocessing of power time series data, removing unimportant features in the data, cleaning part of the noisy data, and the result of data preprocessing as the input of the next model training;S2:神经网络模型预训练,采用编码器-解码器结构,计算分层动态注意力;基础模型使用长短期记忆网络LSTM,ReLU作为激活函数,损失函数使用自定义损失函数,优化器使用Adam,训练模型直至收敛为止;这一步基于电力时间序列数据集{x1,…,xN}得到下一步神经网络模型参数的初始参数,以及整个时间序列数据集的代表点表示c;S2: Neural network model pre-training, using encoder-decoder structure to calculate hierarchical dynamic attention; basic model uses long short-term memory network LSTM, ReLU as activation function, loss function uses custom loss function, optimizer uses Adam, Train the model until convergence; this step is based on the power time series data set {x1 ,...,xN } to obtain the initial parameters of the neural network model parameters in the next step, and the representative point representation c of the entire time series data set;S3:异常数据检测,在神经网络模型
Figure RE-FDA0002840678220000011
完成训练后,将模型权重W将模型保存到本地,在对新的电力时序数据x进行检测时直接加载模型,计算
Figure RE-FDA0002840678220000012
与代表点c的距离
Figure RE-FDA0002840678220000013
Figure RE-FDA0002840678220000014
得到其异常分数从而判断是否异常。S3: Anomaly data detection, in a neural network model
Figure RE-FDA0002840678220000011
After the training is completed, the model weight W is saved to the local, and the model is directly loaded when the new power time series data x is detected, and the calculation
Figure RE-FDA0002840678220000012
distance from representative point c
Figure RE-FDA0002840678220000013
Figure RE-FDA0002840678220000014
Get its abnormal score to judge whether it is abnormal or not.2.根据权利要求1所述的异常检测方法,其特征在于,步骤S2中,采用编码器-解码器结构,计算分层动态注意力的方法如下:2. abnormal detection method according to claim 1 is characterized in that, in step S2, adopts encoder-decoder structure, and the method for calculating hierarchical dynamic attention is as follows:(1)输入序列
Figure RE-FDA0002840678220000015
为长度为l的k变量序列,将其通过LSTM单元得到n个编码器单元的隐藏状态序列
Figure RE-FDA0002840678220000016
其中Xi对应的编码器隐藏状态
Figure RE-FDA0002840678220000017
(1) Input sequence
Figure RE-FDA0002840678220000015
is a k-variable sequence of length l, which is passed through the LSTM unit to obtain the hidden state sequence of n encoder units
Figure RE-FDA0002840678220000016
where Xi corresponds to the hidden state of the encoder
Figure RE-FDA0002840678220000017
(2)将前一解码器单元隐藏状态和前一解码器单元的k维预测结果
Figure RE-FDA0002840678220000018
通过LSTM单元,获得当前解码器隐藏状态,进而获得解码器单元隐藏状态序列
Figure RE-FDA0002840678220000019
其中
Figure RE-FDA00028406782200000110
(2) Combine the hidden state of the previous decoder unit with the k-dimensional prediction result of the previous decoder unit
Figure RE-FDA0002840678220000018
Through the LSTM unit, the current decoder hidden state is obtained, and then the hidden state sequence of the decoder unit is obtained
Figure RE-FDA0002840678220000019
in
Figure RE-FDA00028406782200000110
(3)计算分层动态注意力(3) Computing Hierarchical Dynamic Attention①计算注意力权重①Calculate the attention weight对于每个解码器单元,根据步骤(1)得到的所有编码器隐藏状态E和步骤(2)得到的解码器隐藏状态
Figure RE-FDA00028406782200000111
计算注意力αi*,使用的方法为双线性映射方法,即
Figure RE-FDA00028406782200000112
或基于位置的方法,即
Figure RE-FDA00028406782200000113
然后对αi*使用softmax进行归一化,得到注意力权重
Figure RE-FDA00028406782200000114
For each decoder unit, all encoder hidden states E obtained from step (1) and decoder hidden states obtained from step (2)
Figure RE-FDA00028406782200000111
Calculate the attention αi* , the method used is the bilinear mapping method, namely
Figure RE-FDA00028406782200000112
or a location-based approach, i.e.
Figure RE-FDA00028406782200000113
Then use softmax to normalize αi* to get the attention weights
Figure RE-FDA00028406782200000114
②计算动态注意上下文向量②Calculate dynamic attention context vector使用上一步得到的注意力权重
Figure RE-FDA00028406782200000115
对所有编码器隐藏状态和解码器隐藏状态的集合Hi=E∪D求加权和,得到动态注意上下文向量,即,
Figure RE-FDA00028406782200000116
hk∈E∨hk∈D;
Use the attention weights from the previous step
Figure RE-FDA00028406782200000115
A weighted sum of all encoder hidden states and decoder hidden states Hi = E∪D is obtained to obtain the dynamic attention context vector, i.e.,
Figure RE-FDA00028406782200000116
hk ∈E∨hk ∈D;
③计算分层注意隐藏状态③ Calculate Hierarchical Attention Hidden State将上一步得到的
Figure RE-FDA00028406782200000117
与解码器隐藏状态进行连接后,通过ReLU激活函数得到对应的动态注意隐藏状态
Figure RE-FDA0002840678220000021
然后使用Max-Pooling或均值方法,根据步骤(1)得到的所有编码器隐藏状态E计算得到编码器上下文向量
Figure RE-FDA0002840678220000022
最后将编码器上下文向量ce和动态注意隐藏状态
Figure RE-FDA0002840678220000023
通过混合函数,即对两个向量的串联仿射变换,或对两者的池化操作,得到分层注意隐藏状态
Figure RE-FDA0002840678220000024
will be obtained in the previous step
Figure RE-FDA00028406782200000117
After connecting with the decoder hidden state, the corresponding dynamic attention hidden state is obtained through the ReLU activation function
Figure RE-FDA0002840678220000021
Then use the Max-Pooling or mean method to calculate the encoder context vector according to all the encoder hidden states E obtained in step (1).
Figure RE-FDA0002840678220000022
Finally, the encoder context vector ce and the dynamic attention hidden state
Figure RE-FDA0002840678220000023
Hierarchical attention hidden state is obtained through a mixing function, that is, a tandem affine transformation of two vectors, or a pooling operation of both
Figure RE-FDA0002840678220000024
3.根据权利要求1所述的异常检测方法,其特征在于,步骤S2中,基于神经网络模型的激活函数选择ReLU,所有负值均变成0,正数不变,即单侧抑制,使得神经网络中的神经元也具有了稀疏激活性,公式如下:3. Anomaly detection method according to claim 1, is characterized in that, in step S2, select ReLU based on the activation function of the neural network model, all negative values become 0, positive numbers remain unchanged, namely unilateral inhibition, so that. The neurons in the neural network also have sparse activation, the formula is as follows:ReLU(x)=max{0,x}。ReLU(x)=max{0,x}.4.根据权利要求1所述的异常检测方法,其特征在于,步骤S2中,自定义损失函数定义如下:4. The abnormality detection method according to claim 1, wherein in step S2, the self-defined loss function is defined as follows:
Figure RE-FDA0002840678220000025
Figure RE-FDA0002840678220000025
这里的
Figure RE-FDA0002840678220000026
为另一个LSTM网络,由训练的参数初始化这个网络的参数为W,将一条时间序列xi映射到一个超球体中。
here
Figure RE-FDA0002840678220000026
For another LSTM network, initialize this network with the parameters W from the training parameters to map a time seriesxi into a hypersphere.
5.根据权利要求1所述的异常检测方法,其特征在于,步骤S2中,选择Adam作为训练神经网络模型的优化算法,利用梯度的一阶矩估计和二阶矩估计动态调整每个参数的学习率;其公式如下:5. abnormal detection method according to claim 1, is characterized in that, in step S2, select Adam as the optimization algorithm of training neural network model, utilize the first-order moment estimation of gradient and second-order moment estimation to dynamically adjust the value of each parameter. Learning rate; its formula is as follows:(1)mt=μ*mt-1+(1-μ)*gt(1)mt =μ*mt-1 +(1-μ)*gt(2)nt=ν*nt-1+(1-ν)*gt2(2)nt =ν*nt-1 +(1-ν)*gt2(3)
Figure RE-FDA0002840678220000027
(3)
Figure RE-FDA0002840678220000027
Figure RE-FDA0002840678220000028
Figure RE-FDA0002840678220000028
其中公式(1)(2)分别是对梯度gt的一阶矩估计和二阶矩估计,看作是期望值E|gt|,E|gt2|的估计,公式(3)(4)是对一阶二阶矩估计的校正,近似为对期望的无偏估计;公式(5)前面部分是对学习率n形成的一个动态约束。Among them, formulas (1) and (2) are the estimation of the first-order moment and the second-order moment of the gradient gt respectively, which are regarded as the estimation of the expected values E|gt |, E|gt2 |, formulas (3) (4) ) is the correction of the first-order second-order moment estimate, which is approximately an unbiased estimate of the expectation; the former part of formula (5) is a dynamic constraint formed by the learning rate n.
CN202011182119.7A2020-10-292020-10-29 Anomaly detection method for power time series data based on long short-term memory networkActiveCN112308402B (en)

Priority Applications (1)

Application NumberPriority DateFiling DateTitle
CN202011182119.7ACN112308402B (en)2020-10-292020-10-29 Anomaly detection method for power time series data based on long short-term memory network

Applications Claiming Priority (1)

Application NumberPriority DateFiling DateTitle
CN202011182119.7ACN112308402B (en)2020-10-292020-10-29 Anomaly detection method for power time series data based on long short-term memory network

Publications (2)

Publication NumberPublication Date
CN112308402Atrue CN112308402A (en)2021-02-02
CN112308402B CN112308402B (en)2022-04-12

Family

ID=74331560

Family Applications (1)

Application NumberTitlePriority DateFiling Date
CN202011182119.7AActiveCN112308402B (en)2020-10-292020-10-29 Anomaly detection method for power time series data based on long short-term memory network

Country Status (1)

CountryLink
CN (1)CN112308402B (en)

Cited By (8)

* Cited by examiner, † Cited by third party
Publication numberPriority datePublication dateAssigneeTitle
CN113779879A (en)*2021-09-062021-12-10安徽大学 A medium and long-term electrical abnormality detection method based on LSTM-seq2seq-attention model
CN114064396A (en)*2021-10-272022-02-18南瑞集团有限公司KPI data abnormity score determination method, abnormity detection method and system
CN114239801A (en)*2021-12-102022-03-25国网江苏省电力有限公司Intelligent section signal abnormity detection method for regulation and control work management system
CN114357866A (en)*2021-12-202022-04-15江苏大学 Wind turbine abnormal data detection and cleaning method based on LSTM-AE integrated sharing framework
CN114462617A (en)*2021-12-212022-05-10北京理工大学Data anomaly detection method based on distillation mechanism
CN115309736A (en)*2022-10-102022-11-08北京航空航天大学 Anomaly detection method for time series data based on self-supervised learning multi-head attention network
CN115497006A (en)*2022-09-192022-12-20杭州电子科技大学Urban remote sensing image change depth monitoring method and system based on dynamic hybrid strategy
CN118114955A (en)*2024-04-292024-05-31深圳市中科云科技开发有限公司Power scheduling method of virtual power plant and related equipment

Citations (8)

* Cited by examiner, † Cited by third party
Publication numberPriority datePublication dateAssigneeTitle
CN102750416A (en)*2012-06-192012-10-24中国电力科学研究院Topological subnetting method of electromagnetic transient simulation containing switching characteristic circuit
CN109214003A (en)*2018-08-292019-01-15陕西师范大学The method that Recognition with Recurrent Neural Network based on multilayer attention mechanism generates title
CN109816008A (en)*2019-01-202019-05-28北京工业大学 An abnormal prediction method of light curve of astronomical big data based on long short-term memory network
CN110413729A (en)*2019-06-252019-11-05江南大学 A Multi-turn Dialogue Generation Method Based on End Sentence-Context Dual Attention Model
CN110717345A (en)*2019-10-152020-01-21内蒙古工业大学 A Recurrent Neural Network Cross-Language Machine Translation Method for Translation Realignment
CN110929092A (en)*2019-11-192020-03-27国网江苏省电力工程咨询有限公司 A multi-event video description method based on dynamic attention mechanism
CN111078866A (en)*2019-12-302020-04-28华南理工大学 A method for generating Chinese text summaries based on a sequence-to-sequence model
CN111833583A (en)*2020-07-142020-10-27南方电网科学研究院有限责任公司 Training method, device, equipment and medium for anomaly detection model of power data

Patent Citations (8)

* Cited by examiner, † Cited by third party
Publication numberPriority datePublication dateAssigneeTitle
CN102750416A (en)*2012-06-192012-10-24中国电力科学研究院Topological subnetting method of electromagnetic transient simulation containing switching characteristic circuit
CN109214003A (en)*2018-08-292019-01-15陕西师范大学The method that Recognition with Recurrent Neural Network based on multilayer attention mechanism generates title
CN109816008A (en)*2019-01-202019-05-28北京工业大学 An abnormal prediction method of light curve of astronomical big data based on long short-term memory network
CN110413729A (en)*2019-06-252019-11-05江南大学 A Multi-turn Dialogue Generation Method Based on End Sentence-Context Dual Attention Model
CN110717345A (en)*2019-10-152020-01-21内蒙古工业大学 A Recurrent Neural Network Cross-Language Machine Translation Method for Translation Realignment
CN110929092A (en)*2019-11-192020-03-27国网江苏省电力工程咨询有限公司 A multi-event video description method based on dynamic attention mechanism
CN111078866A (en)*2019-12-302020-04-28华南理工大学 A method for generating Chinese text summaries based on a sequence-to-sequence model
CN111833583A (en)*2020-07-142020-10-27南方电网科学研究院有限责任公司 Training method, device, equipment and medium for anomaly detection model of power data

Non-Patent Citations (10)

* Cited by examiner, † Cited by third party
Title
CHENG HU: "Memory-Augmented attention Network for Sequential Recommendation", 《SPRINGER LINK》*
FAGUI LIU: "An Ensemble Model Based on Adaptive Noise Reducer and Over-Fitting Prevention LSTM for Multivariate Time Series Forecasting", 《IEEE ACCESS》*
LIANG BIN: "ACCF:Learning Attentional Conformity for Collaborative Filtering", 《IEEE ACCESS》*
YU ZHU: "What to do next:Modeling user behaviors by time-LSTM", 《PROCEEDINGS OF THE TWENTY-SIXTH INTERNATIONAL JOINT CONFERENCE ON ARTIFICIAL INTELLIGENCE》*
宋晓通: "面向微电网时序多态不确定性的选择性数据驱动", 《高电压技术》*
岑磊: "基于个性化推荐的图像浏览与检索相关方法研究", 《中国优秀硕士学位论文全文数据库 信息科技辑》*
张萌: "基于CCA和数据引力场模型的社交媒体信息置信度评估方法", 《微型电脑应用》*
沙朝锋: "基于密度的聚类和异常检测", 《万方数据》*
申梦绮: "基于深度学习的方面级情感分析关键技术研究", 《中国优秀硕士学位论文全文数据库 信息科技辑》*
马一杰: "基于长短时记忆网络的电力负荷异常检测", 《云南大学学报(自然科学版)》*

Cited By (11)

* Cited by examiner, † Cited by third party
Publication numberPriority datePublication dateAssigneeTitle
CN113779879A (en)*2021-09-062021-12-10安徽大学 A medium and long-term electrical abnormality detection method based on LSTM-seq2seq-attention model
CN114064396A (en)*2021-10-272022-02-18南瑞集团有限公司KPI data abnormity score determination method, abnormity detection method and system
CN114239801A (en)*2021-12-102022-03-25国网江苏省电力有限公司Intelligent section signal abnormity detection method for regulation and control work management system
CN114357866A (en)*2021-12-202022-04-15江苏大学 Wind turbine abnormal data detection and cleaning method based on LSTM-AE integrated sharing framework
CN114357866B (en)*2021-12-202025-05-06江苏大学 Abnormal data detection and cleaning method for wind turbines based on LSTM-AE integrated sharing framework
CN114462617A (en)*2021-12-212022-05-10北京理工大学Data anomaly detection method based on distillation mechanism
CN114462617B (en)*2021-12-212025-03-21北京理工大学 A data anomaly detection method based on distillation mechanism
CN115497006A (en)*2022-09-192022-12-20杭州电子科技大学Urban remote sensing image change depth monitoring method and system based on dynamic hybrid strategy
CN115497006B (en)*2022-09-192023-08-01杭州电子科技大学Urban remote sensing image change depth monitoring method and system based on dynamic mixing strategy
CN115309736A (en)*2022-10-102022-11-08北京航空航天大学 Anomaly detection method for time series data based on self-supervised learning multi-head attention network
CN118114955A (en)*2024-04-292024-05-31深圳市中科云科技开发有限公司Power scheduling method of virtual power plant and related equipment

Also Published As

Publication numberPublication date
CN112308402B (en)2022-04-12

Similar Documents

PublicationPublication DateTitle
CN112308402A (en) Anomaly detection method for power time series data based on long short-term memory network
CN110705743B (en)New energy consumption electric quantity prediction method based on long-term and short-term memory neural network
CN113193556B (en)Short-term wind power prediction method based on probability prediction model
CN108764540B (en)Water supply network pressure prediction method based on parallel LSTM series DNN
CN110707763B (en)AC/DC power distribution network load prediction method based on ensemble learning
CN113031555B (en)Intelligent purification system for harmful gas in environment of livestock and poultry house
CN116345555A (en) A Short-Term Photovoltaic Power Forecasting Method Based on CNN-ISCA-LSTM Model
CN106022471A (en) Real-time prediction method of ship roll based on wavelet neural network model based on particle swarm optimization algorithm
CN114036850A (en)Runoff prediction method based on VECGM
CN118228888A (en) Photovoltaic power prediction method and system based on deep hybrid kernel extreme learning machine model
CN114240687A (en)Energy hosting efficiency analysis method suitable for comprehensive energy system
CN113255739B (en)Fish feed detection and formula system
CN113988210A (en) Distorted data restoration method, device and storage medium for structural monitoring sensor network
Yang et al.A prediction model of aquaculture water quality based on multiscale decomposition
CN107045659A (en)Predict the method and device of photovoltaic generation power
CN112149896A (en)Attention mechanism-based mechanical equipment multi-working-condition fault prediction method
CN112903929A (en)Food quality detection system
CN116306803A (en)Method for predicting BOD concentration of outlet water of ILSTM (biological information collection flow) neural network based on WSFA-AFE
CN109447843B (en)Photovoltaic output prediction method and device
CN111177881A (en)Random production simulation method for power system containing photo-thermal-photovoltaic power generation
CN115526308A (en) Time Series Forecasting Method Based on Width Pruned Echo State Network
Ge et al.Research on temperature and humidity prediction model of granary based on rnn-lstm
CN114741952A (en)Short-term load prediction method based on long-term and short-term memory network
CN119443704A (en) A method and system for dynamic optimization control of smart apartment resources
CN117908591A (en) Multi-step prediction method of superheated steam temperature of thermal power units based on future load instructions

Legal Events

DateCodeTitleDescription
PB01Publication
PB01Publication
SE01Entry into force of request for substantive examination
SE01Entry into force of request for substantive examination
GR01Patent grant
GR01Patent grant

[8]ページ先頭

©2009-2025 Movatter.jp