Movatterモバイル変換


[0]ホーム

URL:


CN112308211A - Domain increment method based on meta-learning - Google Patents

Domain increment method based on meta-learning
Download PDF

Info

Publication number
CN112308211A
CN112308211ACN202011186818.9ACN202011186818ACN112308211ACN 112308211 ACN112308211 ACN 112308211ACN 202011186818 ACN202011186818 ACN 202011186818ACN 112308211 ACN112308211 ACN 112308211A
Authority
CN
China
Prior art keywords
model
training
data
old
new
Prior art date
Legal status (The legal status is an assumption and is not a legal conclusion. Google has not performed a legal analysis and makes no representation as to the accuracy of the status listed.)
Granted
Application number
CN202011186818.9A
Other languages
Chinese (zh)
Other versions
CN112308211B (en
Inventor
王杰龙
安竹林
程坦
徐勇军
Current Assignee (The listed assignees may be inaccurate. Google has not performed a legal analysis and makes no representation or warranty as to the accuracy of the list.)
Xiamen Institute Of Data Intelligence Institute Of Computing Technology Chinese Academy Of Sciences
Original Assignee
Xiamen Institute Of Data Intelligence Institute Of Computing Technology Chinese Academy Of Sciences
Priority date (The priority date is an assumption and is not a legal conclusion. Google has not performed a legal analysis and makes no representation as to the accuracy of the date listed.)
Filing date
Publication date
Application filed by Xiamen Institute Of Data Intelligence Institute Of Computing Technology Chinese Academy Of SciencesfiledCriticalXiamen Institute Of Data Intelligence Institute Of Computing Technology Chinese Academy Of Sciences
Priority to CN202011186818.9ApriorityCriticalpatent/CN112308211B/en
Publication of CN112308211ApublicationCriticalpatent/CN112308211A/en
Application grantedgrantedCritical
Publication of CN112308211BpublicationCriticalpatent/CN112308211B/en
Activelegal-statusCriticalCurrent
Anticipated expirationlegal-statusCritical

Links

Images

Classifications

Landscapes

Abstract

The invention discloses a field increment method based on meta-learning, which comprises the following steps: s1, constructing a pre-training model; s2, training the old model by using the pre-training model; and S3, training a new model. The method adopts the randomly reserved 5% of memory data and new data to mix and finely tune the training new model, and simultaneously adopts the cross entropy loss function and the knowledge distillation loss function to jointly guide the learning of the new model, so that the method learns the classification knowledge of the data in the new field while remembering the classification knowledge in the old field, and the expenditure of data storage and training time is greatly reduced.

Description

Domain increment method based on meta-learning
Technical Field
The invention relates to the technical field of computers, in particular to a field increment method based on meta-learning.
Background
With the rise of deep learning, the object classification method based on the convolutional neural network is rapidly developed, and the identification accuracy is greatly improved. However, the convolutional neural network based approach also has the drawback: when the distribution of the tested picture data is inconsistent with that of the training picture data, for example, the illumination, the background, the posture and the like are changed, and the accuracy of the model is reduced. Thus, when new domain data, i.e., data that does not match the original training data distribution, appears, there is a need for a model that is able to learn new domain classifications incrementally, i.e., learn new domain knowledge classifications while remembering the classifications of the old domain data.
At present, the most intuitive field increment learning method is to continue training a model by using data of a new field, but the method often has the condition that the precision cannot meet the requirement: if the training is insufficient, the accuracy rate of the data in the new field is not high; if the training is over-trained, the data accuracy rate will be reduced for the old domain, and the two are difficult to reconcile. And if the convolutional neural network is retrained by directly mixing the old domain data and the new domain data, the data storage and training time are high in cost, and particularly the cost is high as the new domain data are more and more in practice. Therefore, it is important to find a domain increment identification method capable of obtaining high-precision performance at low cost.
Disclosure of Invention
In order to solve the problems, the invention provides a field increment method based on meta-learning.
The invention adopts the following technical scheme:
a domain increment method based on meta-learning comprises the following steps:
s1, constructing a pre-training model: selecting a plurality of public data sets as metadata by using a meta-learning method iTAML, constructing a meta-task and learning a pre-training model to obtain a parameter phi of the pre-training model, wherein the pre-training model is a convolutional neural classification network;
s2, training the old model by using the pre-training model: constructing a classification model with the same type as the pre-training model as an old model, introducing a parameter phi of the pre-training model into the old model, and guiding old data D by using a cross entropy loss functionoldTraining the old model, and randomly sampling and keeping 5% of old data D after trainingoldAs memory data Dmemory
S3 trainingAnd (3) practicing a new model: using said memory data DmemoryAnd new data DnewCo-training the old model together for new data DnewGuiding model learning by using cross entropy loss function, and for memory data DmemoryAnd (4) jointly guiding model learning by using a cross entropy loss function and a knowledge distillation loss function, thereby obtaining a new model.
Further, the convolutional neural classification network is one of VGG, ResNet, MobileNet, DenseNet or SENEt.
Further, the training process of the meta learning method iTAML in step S1 is an incremental type, T stages are trained in total, T is the total task number, and T represents the tth task;
when t is equal to 1, normally training data of task 1 by using a cross entropy loss formula to obtain a pre-training model parameter phi1The cross entropy loss formula is as follows:
Figure BDA0002751601570000021
wherein D istRepresenting a data set belonging to the t-th task, having a total of N samples, xiIs one of them, piRepresenting model pairs xiPredicted value of (a), yiRepresents a true tag value;
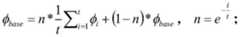
when t is more than or equal to 2, the initialization parameter is the parameter phi trained in the last stagebase=φt-1Respectively taking out task 1, task 2,. and task t, wherein t task data are divided by phibaseUpdating and optimizing the initial parameters by using cross entropy loss to obtain a temporary parameter phi of the corresponding task12,…φtThen updates phibaseThe final result parameter phi of the stage is obtained when the loss does not decreaset=φbaseSaid update phibaseThe following formula is adopted:
Figure BDA0002751601570000022
finally, in the obtained phiTAs parameters for the pre-trained model.
Further, in step S3, the joint guidance of model learning by using the cross entropy loss function and the knowledge distillation loss function is the overall loss, which is expressed by the following formula: loss _ ce + Loss _ distill, where Loss _ ce represents the cross entropy Loss, Loss _ distill represents the knowledge distillation Loss,
and the solution formula for loss _ ce is as follows:
Figure BDA0002751601570000031
wherein x isi∈Dmemory∪DnewRepresenting samples belonging to memory data or new data, N in total, piRepresenting model pairs xiPredicted value of (a), yiRepresents a true tag value;
and the solving formula of loss _ distill is as follows:
Figure BDA0002751601570000032
wherein x isi∈DmemoryRepresenting samples belonging to memory data, N in total, qiIs the old model about data xiPredicted value of piIs the model pair x in trainingiThe predicted value of (2).
After adopting the technical scheme, compared with the background technology, the invention has the following advantages:
1. unlike the conventional pre-training model using a large public data set, the meta-learning pre-training model has the advantage of rapidly learning new task data, and can train target task data in less time;
2. metadata of the pre-training model does not need to be saved, so that the training time does not increase with the increase of new data;
3. the new model is finely tuned and trained by mixing randomly reserved 5% of memory data and new data, and learning of the new model is guided by combining a cross entropy loss function and a knowledge distillation loss function, so that the classification knowledge of the data in the new field is learned while the classification knowledge of the old field is remembered, the expenditure of data storage and training time is greatly reduced, and the accuracy of the model after new field increment is introduced is ensured.
Drawings
FIG. 1 is a schematic flow chart of the method of the present invention.
Detailed Description
In order to make the objects, technical solutions and advantages of the present invention more apparent, the present invention is described in further detail below with reference to the accompanying drawings and embodiments. It should be understood that the specific embodiments described herein are merely illustrative of the invention and are not intended to limit the invention.
Examples
This embodiment first gives a batch of old data Dold,DoldConsists of Mobai and golden hair, and a new batch of data D is provided laternew,DnewThe system consists of a small yellow car and a Husky, and the aim of the embodiment is to achieve higher accuracy rate on new and old data. As shown in fig. 1, the method of this embodiment is as follows:
s1, constructing a pre-training model: by using a meta-learning method iTAML, a plurality of public data sets are selected as meta-data, meta-tasks are constructed, and a pre-training model is learned, such as selecting airplanes and birds (task 1), driving trucks and deer (task 2), automobiles and horses (task 3) in a cifar10 data set, selecting MobileNetV2 for a classification model structure, and obtaining a parameter phi of the pre-training model, wherein the pre-training model is a convolutional neural classification network, and it is noted that iTAML is independent of models, and any convolutional neural classification network can be selected, such as VGG, ResNet, MobileNet, DenseNet or SENet.
The training process of the meta learning method iTAML in step S1 is incremental, T stages are trained in total, T is the total task number, T represents the tth task, this embodiment takes 3 tasks as an example:
when t is equal to 1, normally training data of task 1 by using a cross entropy loss formula to obtain a pre-training model parameter phi1The cross entropy loss formula is as follows:
Figure BDA0002751601570000041
wherein D istRepresenting a data set belonging to the t-th task, having a total of N samples, xiIs one of them, piRepresenting model pairs xiPredicted value of (a), yiRepresents a true tag value;
when t is more than or equal to 2, the initialization parameter is the parameter phi trained in the last stagebase=φt-1Respectively taking out task 1, task 2,. and task t, wherein t task data are divided by phibaseUpdating and optimizing the initial parameters by using cross entropy loss to obtain a temporary parameter phi of the corresponding task12,…φtThen updates phibaseThe final result parameter phi of the stage is obtained when the loss does not decreaset=φbaseSaid update phibaseThe following formula is adopted:
Figure BDA0002751601570000042
finally, in the obtained phi3As parameters for the pre-trained model.
S2, training the old model by using the pre-training model: constructing a classification model with the same type as the pre-training model as an old model, introducing a parameter phi of a feature extraction layer in the pre-training model into the old model, and guiding old data D by using a cross entropy loss functionoldTraining the old model, and randomly sampling and keeping 5% of old data D after trainingoldAs memory data Dmemory
Through this step, the old model is aligned to the old data DoldDistributed data has better classification accuracy, but for unknown data which is distributed in a non-consistent manner, the accuracy cannot be guaranteed.
S3, training a new model: using said memory data DmemoryAnd new data DnewCo-training the old model together for new data DnewGuiding model learning by using cross entropy loss function, and for memory data DmemoryUsing cross entropy loss function and knowledge distillationAnd the loss function jointly guides the model learning, so that a new model is obtained.
In step S3, the joint guidance of model learning using the cross entropy loss function and the knowledge distillation loss function is the overall loss, and the formula is: loss _ ce + Loss _ distill, where Loss _ ce represents the cross entropy Loss, Loss _ distill represents the knowledge distillation Loss,
and the solution formula for loss _ ce is as follows:
Figure BDA0002751601570000051
wherein x isi∈Dmemory∪DnewRepresenting samples belonging to memory data or new data, N in total, piRepresenting model pairs xiPredicted value of (a), yiRepresents a true tag value;
and the solving formula of loss _ distill is as follows:
Figure BDA0002751601570000052
wherein x isi∈DmemoryRepresenting samples belonging to memory data, N in total, qiIs the old model about data xiPredicted value of piIs the model pair x in trainingiThe predicted value of (2).
The new model is finely tuned and trained by mixing randomly reserved 5% of memory data and new data, and learning of the new model is guided by combining a cross entropy loss function and a knowledge distillation loss function, so that the learning of the classification knowledge of the data in the new field is guided while the classification knowledge of the old field is remembered, the expenditure of data storage and training time is greatly reduced, and meanwhile, the accuracy of the model after the increment of the new field is introduced is ensured.
The above description is only for the preferred embodiment of the present invention, but the scope of the present invention is not limited thereto, and any changes or substitutions that can be easily conceived by those skilled in the art within the technical scope of the present invention are included in the scope of the present invention. Therefore, the protection scope of the present invention shall be subject to the protection scope of the claims.

Claims (4)

1. A domain increment method based on meta-learning is characterized in that: the method comprises the following steps:
s1, constructing a pre-training model: selecting a plurality of public data sets as metadata by using a meta-learning method iTAML, constructing a meta-task and learning a pre-training model to obtain a parameter phi of the pre-training model, wherein the pre-training model is a convolutional neural classification network;
s2, training the old model by using the pre-training model: constructing a classification model with the same type as the pre-training model as an old model, introducing a parameter phi of the pre-training model into the old model, and guiding old data D by using a cross entropy loss functionoldTraining the old model, and randomly sampling and keeping 5% of old data D after trainingoldAs memory data Dmemory
S3, training a new model: using said memory data DmemoryAnd new data DnewCo-training the old model together for new data DnewGuiding model learning by using cross entropy loss function, and for memory data DmemoryAnd (4) jointly guiding model learning by using a cross entropy loss function and a knowledge distillation loss function, thereby obtaining a new model.
2. The meta-learning based domain augmentation method of claim 1, wherein: the convolutional neural classification network is one of VGG, ResNet, MobileNet, DenseNet or SENEt.
3. The meta-learning based domain augmentation method of claim 1, wherein: the training process of the meta learning method iTAML in the step S1 is an incremental type, T stages are trained in total, T is the total task number, and T represents the T-th task;
when t is equal to 1, normally training data of task 1 by using a cross entropy loss formula to obtain a pre-training model parameter phi1The cross entropy loss formula is as follows:
Figure FDA0002751601560000011
wherein D istRepresenting a data set belonging to the t-th task, having a total of N samples, xiIs one of them, piRepresenting model pairs xiPredicted value of (a), yiRepresents a true tag value;
when t is more than or equal to 2, the initialization parameter is the parameter phi trained in the last stagebase=φt-1Respectively taking out task 1, task 2,. and task t, wherein t task data are divided by phibaseUpdating and optimizing the initial parameters by using cross entropy loss to obtain a temporary parameter phi of the corresponding task12,…φtThen updates phibaseThe final result parameter phi of the stage is obtained when the loss does not decreaset=φbaseSaid update phibaseThe following formula is adopted:
Figure FDA0002751601560000021
finally, in the obtained phiTAs parameters for the pre-trained model.
4. The meta-learning based domain augmentation method of claim 1, wherein: in step S3, the joint guidance of model learning using the cross entropy loss function and the knowledge distillation loss function is the overall loss, and the formula is: loss _ ce + Loss _ distill, where Loss _ ce represents the cross entropy Loss, Loss _ distill represents the knowledge distillation Loss,
and the solution formula for loss _ ce is as follows:
Figure FDA0002751601560000022
wherein x isi∈Dmemory∪DnewRepresenting samples belonging to memory data or new data, N in total, piPair of representation modelsxiPredicted value of (a), yiRepresents a true tag value;
and the solving formula of loss _ distill is as follows:
Figure FDA0002751601560000023
wherein x isi∈DmemoryRepresenting samples belonging to memory data, N in total, qiIs the old model about data xiPredicted value of piIs the model pair x in trainingiThe predicted value of (2).
CN202011186818.9A2020-10-292020-10-29Domain increment method based on meta learningActiveCN112308211B (en)

Priority Applications (1)

Application NumberPriority DateFiling DateTitle
CN202011186818.9ACN112308211B (en)2020-10-292020-10-29Domain increment method based on meta learning

Applications Claiming Priority (1)

Application NumberPriority DateFiling DateTitle
CN202011186818.9ACN112308211B (en)2020-10-292020-10-29Domain increment method based on meta learning

Publications (2)

Publication NumberPublication Date
CN112308211Atrue CN112308211A (en)2021-02-02
CN112308211B CN112308211B (en)2024-03-08

Family

ID=74332295

Family Applications (1)

Application NumberTitlePriority DateFiling Date
CN202011186818.9AActiveCN112308211B (en)2020-10-292020-10-29Domain increment method based on meta learning

Country Status (1)

CountryLink
CN (1)CN112308211B (en)

Cited By (6)

* Cited by examiner, † Cited by third party
Publication numberPriority datePublication dateAssigneeTitle
CN112990280A (en)*2021-03-012021-06-18华南理工大学Class increment classification method, system, device and medium for image big data
CN113128419A (en)*2021-04-232021-07-16京东鲲鹏(江苏)科技有限公司Obstacle identification method and device, electronic equipment and storage medium
CN113139487A (en)*2021-04-292021-07-20中国地质大学(武汉)Building feature learning method oriented to remote sensing image incremental data
CN113222020A (en)*2021-05-132021-08-06中国科学院计算技术研究所厦门数据智能研究院Domain increment learning method based on data conversion and knowledge distillation
CN113486185A (en)*2021-09-072021-10-08中建电子商务有限责任公司Knowledge distillation method based on joint training, processor and storage medium
CN114297491A (en)*2021-12-282022-04-08北京三快在线科技有限公司Model training method, information recommendation method and device

Citations (5)

* Cited by examiner, † Cited by third party
Publication numberPriority datePublication dateAssigneeTitle
GB201908574D0 (en)*2019-06-142019-07-31Vision Semantics LtdOptimised machine learning
CN111199242A (en)*2019-12-182020-05-26浙江工业大学Image increment learning method based on dynamic correction vector
CN111563663A (en)*2020-04-162020-08-21五邑大学Robot, service quality evaluation method and system
US20200285896A1 (en)*2019-03-092020-09-10Tongji UniversityMethod for person re-identification based on deep model with multi-loss fusion training strategy
CN111681059A (en)*2020-08-142020-09-18支付宝(杭州)信息技术有限公司 Training method and device for behavior prediction model

Patent Citations (5)

* Cited by examiner, † Cited by third party
Publication numberPriority datePublication dateAssigneeTitle
US20200285896A1 (en)*2019-03-092020-09-10Tongji UniversityMethod for person re-identification based on deep model with multi-loss fusion training strategy
GB201908574D0 (en)*2019-06-142019-07-31Vision Semantics LtdOptimised machine learning
CN111199242A (en)*2019-12-182020-05-26浙江工业大学Image increment learning method based on dynamic correction vector
CN111563663A (en)*2020-04-162020-08-21五邑大学Robot, service quality evaluation method and system
CN111681059A (en)*2020-08-142020-09-18支付宝(杭州)信息技术有限公司 Training method and device for behavior prediction model

Non-Patent Citations (3)

* Cited by examiner, † Cited by third party
Title
JATHUSHAN RAJASEGARAN; SALMAN KHAN;: "iTAML: An Incremental Task-Agnostic Meta-learning Approach", 《2020 IEEE/CVF CONFERENCE ON COMPUTER VISION AND PATTERN RECOGNITION (CVPR)》, 5 August 2020 (2020-08-05)*
徐勇军: "基于少量样本的深度学习图像修复算法研究", 《中国优秀硕士学位论文全文数据库 信息科技辑》, 15 February 2020 (2020-02-15)*
潘振春: "基于实例的领域适应增量学习方法研究", 《中国优秀硕士学位论文全文数据库 信息科技辑》, 15 July 2017 (2017-07-15)*

Cited By (10)

* Cited by examiner, † Cited by third party
Publication numberPriority datePublication dateAssigneeTitle
CN112990280A (en)*2021-03-012021-06-18华南理工大学Class increment classification method, system, device and medium for image big data
CN112990280B (en)*2021-03-012023-08-25华南理工大学Class increment classification method, system, device and medium for image big data
CN113128419A (en)*2021-04-232021-07-16京东鲲鹏(江苏)科技有限公司Obstacle identification method and device, electronic equipment and storage medium
CN113128419B (en)*2021-04-232023-12-05京东鲲鹏(江苏)科技有限公司Obstacle recognition method and device, electronic equipment and storage medium
CN113139487A (en)*2021-04-292021-07-20中国地质大学(武汉)Building feature learning method oriented to remote sensing image incremental data
CN113222020A (en)*2021-05-132021-08-06中国科学院计算技术研究所厦门数据智能研究院Domain increment learning method based on data conversion and knowledge distillation
CN113222020B (en)*2021-05-132024-05-24中科(厦门)数据智能研究院Domain increment learning method based on data conversion and knowledge distillation
CN113486185A (en)*2021-09-072021-10-08中建电子商务有限责任公司Knowledge distillation method based on joint training, processor and storage medium
CN113486185B (en)*2021-09-072021-11-23中建电子商务有限责任公司Knowledge distillation method based on joint training, processor and storage medium
CN114297491A (en)*2021-12-282022-04-08北京三快在线科技有限公司Model training method, information recommendation method and device

Also Published As

Publication numberPublication date
CN112308211B (en)2024-03-08

Similar Documents

PublicationPublication DateTitle
CN112308211A (en)Domain increment method based on meta-learning
CN113610173B (en) A Multi-Cross-Domain Few-Sample Classification Method Based on Knowledge Distillation
Venkatesan et al.A strategy for an uncompromising incremental learner
CN111210000B (en)Modulation signal increment learning method based on fixed features
US20200125897A1 (en)Semi-Supervised Person Re-Identification Using Multi-View Clustering
US20210319215A1 (en)Method and system for person re-identification
CN114170461B (en)Noise-containing label image classification method based on feature space reorganization for teacher and student architecture
US20160321522A1 (en)Devices, systems, and methods for pairwise multi-task feature learning
CN110362723A (en)A kind of topic character representation method, apparatus and storage medium
Xu et al.Constructing balance from imbalance for long-tailed image recognition
CN108647595B (en) A vehicle re-identification method based on multi-attribute deep features
CN114299362B (en) A small sample image classification method based on k-means clustering
CN113408652A (en)Semi-supervised learning image classification method based on group representation features
CN110569982A (en)Active sampling method based on meta-learning
CN111079847A (en)Remote sensing image automatic labeling method based on deep learning
CN111222318A (en)Trigger word recognition method based on two-channel bidirectional LSTM-CRF network
WO2020232840A1 (en)Vehicle multi-attribute identification method and device employing neural network structure search, and medium
US20200218932A1 (en)Method and system for classification of data
CN116719934A (en)Method for extracting small sample relation under continuous learning based on prompt contrast learning
CN109063750B (en)SAR target classification method based on CNN and SVM decision fusion
CN109359664A (en)The efficient Checking model construction method and system of self-teaching update training sample
CN113569960A (en) Small sample image classification method and system based on domain adaptation
Yang et al.A New Multinetwork Mean Distillation Loss Function for Open‐World Domain Incremental Object Detection
CN117272999A (en)Model training method and device based on class incremental learning, equipment and storage medium
CN118093960A (en)Dual-comparison learning course recommendation method based on learning intention perception

Legal Events

DateCodeTitleDescription
PB01Publication
PB01Publication
SE01Entry into force of request for substantive examination
SE01Entry into force of request for substantive examination
CB02Change of applicant information

Country or region after:China

Address after:No. 208-3, Fengqi Road, phase III, software park, Xiamen City, Fujian Province, 361000

Applicant after:Zhongke (Xiamen) data Intelligence Research Institute

Address before:No. 208-3, Fengqi Road, phase III, software park, Xiamen City, Fujian Province, 361000

Applicant before:Xiamen Institute of data intelligence, Institute of computing technology, Chinese Academy of Sciences

Country or region before:China

CB02Change of applicant information
GR01Patent grant
GR01Patent grant

[8]ページ先頭

©2009-2025 Movatter.jp