Movatterモバイル変換


[0]ホーム

URL:


CN112303423A - Intelligent three-dimensional information acquisition equipment with stable rotation - Google Patents

Intelligent three-dimensional information acquisition equipment with stable rotation
Download PDF

Info

Publication number
CN112303423A
CN112303423ACN202011106017.7ACN202011106017ACN112303423ACN 112303423 ACN112303423 ACN 112303423ACN 202011106017 ACN202011106017 ACN 202011106017ACN 112303423 ACN112303423 ACN 112303423A
Authority
CN
China
Prior art keywords
acquisition
stabilizing
unit
rotating
rotation
Prior art date
Legal status (The legal status is an assumption and is not a legal conclusion. Google has not performed a legal analysis and makes no representation as to the accuracy of the status listed.)
Granted
Application number
CN202011106017.7A
Other languages
Chinese (zh)
Other versions
CN112303423B (en
Inventor
左忠斌
左达宇
Current Assignee (The listed assignees may be inaccurate. Google has not performed a legal analysis and makes no representation or warranty as to the accuracy of the list.)
Tianmu Aishi Beijing Technology Co Ltd
Original Assignee
Tianmu Aishi Beijing Technology Co Ltd
Priority date (The priority date is an assumption and is not a legal conclusion. Google has not performed a legal analysis and makes no representation as to the accuracy of the date listed.)
Filing date
Publication date
Application filed by Tianmu Aishi Beijing Technology Co LtdfiledCriticalTianmu Aishi Beijing Technology Co Ltd
Priority to CN202011106017.7ApriorityCriticalpatent/CN112303423B/en
Publication of CN112303423ApublicationCriticalpatent/CN112303423A/en
Priority to PCT/CN2021/123701prioritypatent/WO2022078418A1/en
Application grantedgrantedCritical
Publication of CN112303423BpublicationCriticalpatent/CN112303423B/en
Activelegal-statusCriticalCurrent
Anticipated expirationlegal-statusCritical

Links

Images

Classifications

Landscapes

Abstract

The invention provides intelligent visual 3D information acquisition equipment and method with stable rotation, wherein the equipment comprises an image acquisition device, a 3D rotation acquisition stabilizing device and a bearing device; the image acquisition device is connected with the 3D rotary acquisition stabilizing device, so that when the bearing device shakes, the 3D rotary acquisition stabilizing device can drive the image acquisition device to stably rotate and scan; the 3D rotation acquisition stabilizing device is connected with the bearing device. The invention firstly provides the method for acquiring the 3D information of the internal space of the target object by using the autorotation type intelligent vision 3D acquisition equipment. It needs to gather stable handle to propose 3D collection process for the first time, and proposes a 3D rotatory stabilising arrangement structure of gathering suitable for rotary type 3D gathers.

Description

Intelligent three-dimensional information acquisition equipment with stable rotation
Technical Field
The invention relates to the technical field of topography measurement, in particular to the technical field of 3D topography measurement.
Background
When performing 3D measurements, it is necessary to first acquire 3D information. Currently common methods include the use of machine vision and structured light, laser ranging, lidar.
Structured light, laser ranging and laser radar all need an active light source to emit to a target object, and can affect the target object under certain conditions, and the light source cost is high. And the light source structure is more accurate, easily damages.
The machine vision mode is to collect the pictures of the object at different angles and match and splice the pictures to form a 3D model, so that the cost is low and the use is easy. When the device collects pictures at different angles, a plurality of cameras can be arranged at different angles of an object to be detected, and the pictures can be collected from different angles through rotation of a single camera or a plurality of cameras. However, in either of these two methods, the capturing position of the camera needs to be set around the target (referred to as a wraparound method), but this method needs a large space for setting the capturing position for the image capturing device.
Moreover, besides the 3D construction of a single object, there are also requirements for 3D model construction of the internal space of the object and 3D model construction of the peripheral large field of view, which are difficult to achieve by the conventional surrounding type 3D acquisition device.
In the prior art, it has also been proposed to use empirical formulas including rotation angle, object size, object distance to define camera position, thereby taking into account the speed and effect of the synthesis. However, in practice this has been found to be feasible in wrap-around 3D acquisition, where the target size can be measured in advance. However, it is difficult to measure the target object in advance in an open space, and it is necessary to acquire 3D information of streets, traffic intersections, building groups, tunnels, traffic flows, and the like (not limited thereto). Which makes this approach difficult to work. Even if the dimensions of fixed, small objects, such as furniture, human body parts, etc., can be measured beforehand, this method is still subject to major limitations: the size of the target is difficult to accurately determine, and particularly, the target needs to be frequently replaced in certain application occasions, each measurement brings a large amount of extra workload, and professional equipment is needed to accurately measure irregular targets. The measured error causes the camera position setting error, thereby influencing the acquisition and synthesis speed and effect; accuracy and speed need to be further improved.
Although there are methods for optimizing the surround-type acquisition device in the prior art, there is no better optimization method in the prior art when the acquisition direction of the camera of the 3D acquisition and synthesis device and the direction of its rotation axis deviate from each other.
In addition, under some bumpy conditions, such as a handheld state or being mounted on a vehicle, the 3D acquisition device is difficult to stably acquire, so that the effect and speed of 3D synthesis are not ideal. Also, there may be minute vibrations during the rotation of the camera. The current camera stabilization is mainly considered from two directions of photographing (two-dimensional) and recording. It has never been proposed how to improve the synthesis effect and speed by stabilizing the process of 3D acquisition at the time of 3D acquisition. And the difference between the 3D acquisition process and the conventional photographing and video recording process is large, and the requirements are different.
Therefore, a device capable of stably, accurately, efficiently and conveniently collecting 3D information of a peripheral or internal space under a severe working condition is urgently needed.
Disclosure of Invention
In view of the above, the present invention has been developed to provide a rotationally stable intelligent visual 3D information gathering device that overcomes, or at least partially solves, the above-mentioned problems.
The embodiment of the invention provides intelligent visual 3D information acquisition equipment and method with stable rotation, wherein the equipment comprises an image acquisition device, a 3D rotation acquisition stabilizing device and a bearing device;
the image acquisition device is connected with the 3D rotary acquisition stabilizing device, so that when the bearing device shakes, the 3D rotary acquisition stabilizing device can drive the image acquisition device to stably rotate and scan;
the 3D rotation acquisition stabilizing device is connected with the bearing device.
In alternative embodiments: the 3D rotation acquisition stabilizing device comprises a rotating unit, a mounting frame, a two-dimensional stabilizing mechanism and a fixing unit which are connected in sequence.
In alternative embodiments: the rotating unit is connected with the image acquisition device and used for driving the image acquisition device to rotate.
In alternative embodiments: the rotating unit is installed at one end of the two-dimensional stabilizing mechanism through the installation frame, and the other end of the two-dimensional stabilizing mechanism is connected with the fixing unit.
In alternative embodiments: the fixing unit is connected with the bearing device.
In alternative embodiments: the two-dimensional stabilizing mechanism comprises a pitching stabilizing unit, a connecting frame and a rolling stabilizing unit.
In alternative embodiments: the pitching stabilizing unit and the rolling stabilizing unit both comprise driving bodies and rotating heads; the driving body comprises a servo stepping motor and a shell, and the rotating head is connected with the rotating shaft of the motor and driven by the motor to rotate.
In alternative embodiments: the two-dimensional stabilizing mechanism is as follows: the rotating unit is arranged on the rotating head of the pitching stabilizing unit through the mounting frame, the driving body of the pitching stabilizing unit is arranged on the rotating head of the rolling stabilizing unit through the connecting frame, and the driving body of the rolling stabilizing unit is provided with the fixing body; or the rotating unit is arranged on the rotating head of the rolling stabilizing unit through the mounting frame, the driving body of the rolling stabilizing unit is arranged on the rotating head of the pitching stabilizing unit through the connecting frame, and the fixing body is arranged on the driving body of the pitching stabilizing unit.
In alternative embodiments: the carrying device is a handheld device.
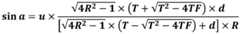
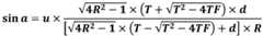
The included angle alpha of the optical axes of the image acquisition devices at two adjacent acquisition positions meets the following condition:
Figure RE-GDA0002848834560000031
wherein, R is the distance from the rotation center to the surface of the target object, T is the sum of the object distance and the image distance during acquisition, d is the length or the width of a photosensitive element (CCD) of the image acquisition device, F is the focal length of a lens of the image acquisition device, and u is an empirical coefficient.
In alternative embodiments: u <0.498, or u <0.41, or u < 0.359; or u <0.281, or u <0.169, or u <0.041, or u < 0.028.
Another aspect of the embodiments of the present invention provides a 3D synthesis/identification apparatus and method, including the apparatus and method of any preceding claim.
In another aspect, the present invention provides an object manufacturing/displaying apparatus and method, including the apparatus and method of any preceding claim.
Invention and technical effects
1. The 3D information of utilizing rotation formula intelligence vision 3D collection equipment to gather the target object inner space is proposed for the first time, is applicable to open space and less space more.
2. The method optimizes the camera acquisition position in the autorotation type acquisition equipment by measuring the distance between the rotation center and the target object and the distance between the image sensing element and the target object for the first time, thereby considering the speed and the effect of 3D construction.
3. It needs to gather stable handle to propose 3D collection process for the first time, and proposes a 3D rotation collection stabilising arrangement structure suitable for rotary type 3D gathers, can be applicable to the 3D information acquisition under the abominable operating mode.
Drawings
Various other advantages and benefits will become apparent to those of ordinary skill in the art upon reading the following detailed description of the preferred embodiments. The drawings are only for purposes of illustrating the preferred embodiments and are not to be construed as limiting the invention. Also, like reference numerals are used to refer to like parts throughout the drawings. In the drawings:
FIG. 1 shows a schematic structural diagram of one implementation of a 3D information acquisition device;
FIG. 2 shows another schematic diagram of one implementation of a 3D information acquisition device;
FIG. 3 shows a schematic structural diagram of another implementation of a 3D information acquisition device;
the correspondence of reference numerals to the various components in the drawings is as follows:
1, an image acquisition device;
23D rotating the acquisition stabilizing device;
21 a rotating unit;
22, a mounting rack;
23 a pitch stabilizing unit;
24 a connecting frame;
25 rolling and stabilizing unit;
26 a fixing unit;
and 3, carrying the device.
Detailed Description
Exemplary embodiments of the present disclosure will be described in more detail below with reference to the accompanying drawings. While exemplary embodiments of the present disclosure are shown in the drawings, it should be understood that the present disclosure may be embodied in various forms and should not be limited to the embodiments set forth herein. Rather, these embodiments are provided so that this disclosure will be thorough and complete, and will fully convey the scope of the disclosure to those skilled in the art.
3D information acquisition equipment structure
In order to solve the above technical problem, an embodiment of the present invention provides an intelligent visual 3D information collecting apparatus with stable rotation, as shown in fig. 1-2, including an image collecting device 1, a 3D rotation collecting and stabilizingdevice 2, and a carryingdevice 3.
The image acquisition device 1 is connected with the 3D rotationacquisition stabilizing device 2, so as to stably rotate and scan under the driving of the 3D rotation acquisition stabilizing device, and realize 3D acquisition of peripheral objects (the specific acquisition process will be described in detail below). The 3D rotatingacquisition stabilizing device 2 is arranged on thebearing device 3, and the bearing device is used for bearing the whole equipment. The carrying means may be a handle, thereby making the entire device available for hand-held acquisition. The bearing device can also be a base type bearing device and is used for being installed on other equipment, so that the whole intelligent 3D acquisition equipment is installed on the other equipment to be used together. For example, the smart 3D acquisition device is mounted on a vehicle, and 3D acquisition is performed as the vehicle travels. As is well known, no matter the equipment is handheld or vehicle-mounted, or vehicle-mounted or other moving equipment, vibration, shaking and the like are inevitably generated in the moving process, so that the traditional 3D acquisition equipment cannot finish acquisition, and the acquisition quality and speed are influenced.
The bearing device is used for bearing the weight of the whole equipment, and the 3D rotationacquisition stabilizing device 2 is connected with thebearing device 3. The carrying means may be a handle, a tripod, a base with a support means, etc. Typically, the 3D rotational acquisition stabilization device is located in the central portion of the carrier to ensure balance. But in some special cases it can be located anywhere on the carrier. And the carrier is not necessary. The 3D rotational acquisition stabilizing device may also be directly installed in an application, for example, may be installed on the roof of a vehicle. The inner space of the bearing device is used for accommodating a battery and supplying power to the 3D rotary acquisition stabilizing device. Simultaneously, for convenient to use, set up the button on bearing the device shell for control 3D rotation acquisition stabilising arrangement. Including on/off stabilization, on/off 3D rotational acquisition.
Specifically, the image capturing device 1 is connected to a rotating shaft of the rotatingunit 21, and the rotating unit drives the image capturing device to rotate. Of course, the rotation shaft of the rotation unit may also be connected to the image capturing device through a reduction gear, such as a gear set. When the image capturing apparatus 1 performs 360 ° rotation in the horizontal plane, it captures an image of a corresponding target object at a specific position (the specific capturing position will be described later in detail). The shooting can be performed synchronously with the rotation action, or shooting can be performed after the rotation of the shooting position is stopped, and the rotation is continued after the shooting is finished, and the like. The rotating device can be a motor, a stepping motor, a servo motor, a micro motor and the like. The rotating device, also referred to as a rotating unit (e.g., various motors) in the embodiments, can rotate at a specified speed under the control of the controller, and can rotate at a specified angle, so as to achieve the optimization of the acquisition position, which will be described in detail below. Of course, the image acquisition device can be mounted on the rotating device in the existing equipment.
The acquisition equipment further comprises a distance measuring device, the distance measuring device is fixedly connected with the image acquisition device, and the pointing direction of the distance measuring device is the same as the direction of the optical axis of the image acquisition device. Of course, the distance measuring device can also be fixedly connected to the rotating device, as long as the distance measuring device can synchronously rotate along with the image acquisition device. Preferably, an installation platform can be arranged, the image acquisition device and the distance measurement device are both positioned on the platform, and the platform is installed on a rotating shaft of the rotating device and driven to rotate by the rotating device. The distance measuring device can use various modes such as a laser distance measuring instrument, an ultrasonic distance measuring instrument, an electromagnetic wave distance measuring instrument and the like, and can also use a traditional mechanical measuring tool distance measuring device. Of course, in some applications, the 3D acquisition device is located at a specific location, and its distance from the target object is calibrated, without additional measurements.
The device also comprises a light source which can be arranged on the periphery of the image acquisition device, the rotating device and the mounting platform. Of course, the light source may be separately provided, for example, a separate light source may be used to illuminate the target. Even when the lighting conditions are good, no light source is used. The light source can be an LED light source or an intelligent light source, namely, the light source parameters are automatically adjusted according to the conditions of the target object and the ambient light. Usually, the light sources are distributed around the lens of the image capturing device, for example, the light sources are ring-shaped LED lamps around the lens. Since in some applications it is desirable to control the intensity of the light source. In particular, a light softening means, for example a light softening envelope, may be arranged in the light path of the light source. Or the LED surface light source is directly adopted, so that the light is soft, and the light is more uniform. Preferably, an OLED light source can be adopted, the size is smaller, the light is softer, and the flexible OLED light source has the flexible characteristic and can be attached to a curved surface.
In order to facilitate the actual size measurement of the target object, a plurality of marking points can be arranged at the position of the target object. And the coordinates of these marked points are known. The absolute size of the 3D synthetic model is obtained by collecting the mark points and combining the coordinates thereof. These marking points may be previously set points or may be laser light spots. The method of determining the coordinates of the points may comprise: using laser to measure distance: and emitting laser towards the target object by using the calibration device to form a plurality of calibration point light spots, and obtaining the coordinates of the calibration points through the known position relation of the laser ranging units in the calibration device. And emitting laser towards the target by using the calibration device, so that the light beam emitted by the laser ranging unit in the calibration device falls on the target to form a light spot. Since the laser beams emitted from the laser ranging units are parallel to each other, the positional relationship between the respective units is known. The two-dimensional coordinates in the emission plane of the plurality of light spots formed on the target object can be obtained. The distance between each laser ranging unit and the corresponding light spot can be obtained by measuring the laser beam emitted by the laser ranging unit, namely the depth information equivalent to a plurality of light spots formed on the target object can be obtained. I.e. the depth coordinate perpendicular to the emission plane, can be obtained. Thereby, three-dimensional coordinates of each spot can be obtained. Secondly, distance measurement and angle measurement are combined: and respectively measuring the distances of the plurality of mark points and the included angles between the mark points, thereby calculating respective coordinates. Using other coordinate measuring tools: such as RTK, global coordinate positioning systems, satellite-sensitive positioning systems, position and pose sensors, etc.
3D rotation acquisition stabilizing device structure
Referring to fig. 2 and 3, the device includes arotating unit 21, a mountingframe 22, apitch stabilizing unit 23, a connectingframe 24, aroll stabilizing unit 25, and a fixingunit 26.
Thepitch stabilizing unit 23 and theroll stabilizing unit 25 each include a driving body and a rotating head. The driving body comprises a servo stepping motor and a shell, and the rotating head is connected with a motor rotating shaft and rotates under the driving of the motor.
The rotatingunit 21 is mounted to the rotating head of thepitch stabilizing unit 23 through a mountingbracket 22, the driving body of thepitch stabilizing unit 23 is mounted to the rotating head of theroll stabilizing unit 25 through a connectingbracket 24, and the driving body of theroll stabilizing unit 25 is mounted to a fixing body and mounted to thecarrier 3 through the fixing body.
It will be appreciated that the positions of the pitch androll stabilising units 23, 25 may be interchanged as shown. That is, the rotatingunit 21 is mounted to the rotating head of theroll stabilizing unit 25 through the mountingbracket 22, the driving body of theroll stabilizing unit 25 is mounted to the rotating head of thepitch stabilizing unit 23 through the connectingbracket 24, and the driving body of thepitch stabilizing unit 23 is mounted to the fixing body and mounted to thecarrier 3 through the fixing body.
And the gyroscope is arranged on the mounting frame and used for sensing three-axis angular speed signals of the rotating unit. Unlike the stabilization structures of typical two-dimensional cameras or video cameras, the typical stabilization structures all have the gyroscope disposed on the camera or on a connection plate connected to the camera. In the invention, the gyroscope is arranged on the mounting frame connected with the rotating unit. This is because if the gyroscope is placed on (or near) the camera, the necessary 3D rotational scanning of the camera itself can affect the perception of the gyroscope, making the system unable to accurately distinguish whether the three-axis acceleration is due to the necessary rotation of the camera or due to the entire device thrashing. Therefore, it is also one of the points of the invention.
The control unit controls the motor of the rolling stabilizing unit and/or the motor of the pitching stabilizing unit to correspondingly rotate according to the gyroscope signal, so that unexpected offset brought to the image acquisition device by equipment movement is counteracted, and stable rotary scanning of the image acquisition device is ensured.
3D information acquisition process
The 3D acquisition device is placed in the center of the target area, typically with the target object surrounding or partially surrounding or at least partially facing the acquisition device.
The rotating device drives the image acquisition device to rotate at a certain speed, and the image acquisition device acquires images at a set position in the rotating process. At the moment, the rotation can not be stopped, namely, the image acquisition and the rotation are synchronously carried out; or stopping rotation at the position to be acquired, acquiring images, and continuing to rotate to the next position to be acquired after acquisition is finished. The rotating means may be driven by a program in a control unit set in advance. The device can also communicate with an upper computer through a communication interface, and the rotation is controlled through the upper computer. Particularly, the rotating device can be connected with a mobile terminal in a wired or wireless mode, and the rotating device is controlled to rotate through the mobile terminal (such as a mobile phone). The rotating device can set rotating parameters through the remote platform, the cloud platform, the server, the upper computer and the mobile terminal, and the rotating start and stop of the rotating device are controlled.
The image acquisition device acquires a plurality of images of the target object, sends the images to a remote platform, a cloud platform, a server, an upper computer and/or a mobile terminal through the communication device, and carries out 3D synthesis on the target object by using a 3D model synthesis method.
In particular, the distance measuring device may be used to measure the corresponding distance parameters in the relevant formula conditions, i.e. the distance from the center of rotation to the target object and the distance from the sensor element to the target object, before or simultaneously with the acquisition. And calculating the acquisition position according to a corresponding condition formula, and prompting a user to set rotation parameters or automatically setting the rotation parameters.
When the distance measurement is carried out before the collection, the rotating device can drive the distance measurement device to rotate, so that the two distances at different positions can be measured. And respectively averaging two distances measured by a plurality of measuring points, and taking the average value as a uniform distance value acquired at this time to be introduced into a formula. The average value can be obtained by using a sum average, a weighted average, other averaging methods, or a method of discarding outliers and then averaging.
When distance measurement is carried out in the acquisition process, the rotating device rotates to the first position to carry out image acquisition, the two distance values are measured at the same time, the two distance values are brought into a condition formula to calculate the interval angle, and the next acquisition position is determined according to the angle.
Optimization of camera position
In order to ensure that the device can give consideration to the effect and efficiency of 3D synthesis, the method can be used for optimizing the acquisition position of the camera besides the conventional method for optimizing the synthesis algorithm. Especially in the case of 3D acquisition synthesis devices in which the acquisition direction of the camera and the direction of its axis of rotation deviate from each other, the prior art does not mention how to perform a better optimization of the camera position for such devices. Even if some optimization methods exist, they are different empirical conditions obtained under different experiments. In particular, some existing position optimization methods require obtaining the size of the target, which is feasible in the wrap-around 3D acquisition, and can be measured in advance. However, it is difficult to measure in advance in an open space. It is therefore desirable to propose a method that can be adapted to camera position optimization when the acquisition direction of the camera of the 3D acquisition composition device and its rotation axis direction deviate from each other. This is the problem to be solved by the present invention, and a technical contribution is made.
For this reason, the present invention has performed a large number of experiments, and it is concluded that an empirical condition that the interval of camera acquisition is preferably satisfied when acquisition is performed is as follows.
When 3D acquisition is carried out, the included angle alpha of the optical axis of the image acquisition device at two adjacent positions meets the following condition:
Figure RE-GDA0002848834560000081
wherein,
r is the distance from the center of rotation to the surface of the target,
t is the sum of the object distance and the image distance during acquisition, namely the distance between the photosensitive unit of the image acquisition device and the target object.
d is the length or width of a photosensitive element (CCD) of the image acquisition device, and when the two positions are along the length direction of the photosensitive element, the length of the rectangle is taken as d; when the two positions are along the width direction of the photosensitive element, d takes a rectangular width.
And F is the focal length of the lens of the image acquisition device.
u is an empirical coefficient.
Usually, a distance measuring device, for example a laser distance meter, is arranged on the acquisition device. The optical axis of the distance measuring device is parallel to the optical axis of the image acquisition device, so that the distance from the acquisition device to the surface of the target object can be measured, and R and T can be obtained according to the known position relation between the distance measuring device and each part of the acquisition device by using the measured distance.
When the image acquisition device is at any one of the two positions, the distance from the photosensitive element to the surface of the target object along the optical axis is taken as T. In addition to this method, multiple averaging or other methods can be used, the principle being that the value of T should not deviate from the sum of the image distances from the object at the time of acquisition.
Similarly, when the image pickup device is in any one of the two positions, the distance from the rotation center to the surface of the object along the optical axis is defined as R. In addition to this method, multiple averaging or other methods can be used, with the principle that the value of R should not deviate from the radius of rotation at the time of acquisition.
In general, the size of an object is adopted as a method for estimating the position of a camera in the prior art. Since the object size will vary with the measurement object. For example, when a large object is acquired 3D information and then a small object is acquired, the size needs to be measured again and reckoning needs to be performed again. The inconvenient measurement and the repeated measurement bring errors in measurement, thereby causing errors in camera position estimation. According to the scheme, the experience conditions required to be met by the position of the camera are given according to a large amount of experimental data, and the size of an object does not need to be directly measured. In the empirical condition, d and F are both fixed parameters of the camera, and corresponding parameters can be given by a manufacturer when the camera and the lens are purchased without measurement. R, T is only a straight line distance that can be easily measured by conventional measuring methods such as a ruler and a laser rangefinder. Meanwhile, in the apparatus of the present invention, the capturing direction of the image capturing device (e.g., camera) and the direction of the rotation axis thereof are away from each other, that is, the lens is oriented substantially opposite to the rotation center. At the moment, the included angle alpha of the optical axis for controlling the image acquisition device to perform twice positions is easier, and only the rotation angle of the rotary driving motor needs to be controlled. Therefore, it is more reasonable to use α to define the optimal position. Therefore, the empirical formula of the invention enables the preparation process to be convenient and fast, and simultaneously improves the arrangement accuracy of the camera position, so that the camera can be arranged in an optimized position, thereby simultaneously considering the 3D synthesis precision and speed.
According to a number of experiments, u should be less than 0.498 in order to ensure the speed and effect of the synthesis, and for better synthesis effect, u is preferably <0.411, especially preferably <0.359, in some applications u <0.281, or u <0.169, or u <0.041, or u < 0.028.
Experiments were carried out using the apparatus of the invention, and some experimental data are shown below, in mm. (the following data are given by way of example only)
Figure RE-GDA0002848834560000091
Figure RE-GDA0002848834560000101
The above data are obtained by experiments for verifying the conditions of the formula, and do not limit the invention. Without these data, the objectivity of the formula is not affected. Those skilled in the art can adjust the equipment parameters and the step details as required to perform experiments, and obtain other data which also meet the formula conditions.
3D model synthesis method
A plurality of images acquired by the image acquisition device are sent to the processing unit, and a 3D model is constructed by using the following algorithm. The processing unit can be located in the acquisition equipment or remotely, such as a cloud platform, a server, an upper computer and the like.
The specific algorithm mainly comprises the following steps:
step 1: and performing image enhancement processing on all input photos. The contrast of the original picture is enhanced and simultaneously the noise suppressed using the following filters.
Figure RE-GDA0002848834560000102
In the formula: g (x, y) is the gray value of the original image at (x, y), f (x, y) is the gray value of the original image at the position after being enhanced by the Wallis filter, and mgIs the local gray average value, s, of the original imagegIs the local standard deviation of gray scale of the original image, mfFor the transformed image local gray scale target value, sfThe target value of the standard deviation of the local gray scale of the image after transformation. c belongs to (0, 1) as the expansion constant of the image variance, and b belongs to (0, 1) as the image brightness coefficient constant.
The filter can greatly enhance image texture modes of different scales in an image, so that the quantity and the precision of feature points can be improved when the point features of the image are extracted, and the reliability and the precision of a matching result are improved in photo feature matching.
Step 2: and extracting feature points of all input photos, and matching the feature points to obtain sparse feature points. And extracting and matching feature points of the photos by adopting a SURF operator. The SURF feature matching method mainly comprises three processes of feature point detection, feature point description and feature point matching. The method uses a Hessian matrix to detect characteristic points, a Box filter (Box Filters) is used for replacing second-order Gaussian filtering, an integral image is used for accelerating convolution to improve the calculation speed, and the dimension of a local image characteristic descriptor is reduced to accelerate the matching speed. The method mainly comprises the steps of firstly, constructing a Hessian matrix, generating all interest points for feature extraction, and constructing the Hessian matrix for generating stable edge points (catastrophe points) of an image; secondly, establishing scale space characteristic point positioning, comparing each pixel point processed by the Hessian matrix with 26 points in a two-dimensional image space and a scale space neighborhood, preliminarily positioning a key point, filtering the key point with weak energy and the key point with wrong positioning, and screening out a final stable characteristic point; and thirdly, determining the main direction of the characteristic points by adopting the harr wavelet characteristics in the circular neighborhood of the statistical characteristic points. In a circular neighborhood of the feature points, counting the sum of horizontal and vertical harr wavelet features of all points in a sector of 60 degrees, rotating the sector at intervals of 0.2 radian, counting the harr wavelet feature values in the region again, and taking the direction of the sector with the largest value as the main direction of the feature points; and fourthly, generating a 64-dimensional feature point description vector, and taking a 4-by-4 rectangular region block around the feature point, wherein the direction of the obtained rectangular region is along the main direction of the feature point. Each subregion counts haar wavelet features of 25 pixels in both the horizontal and vertical directions, where both the horizontal and vertical directions are relative to the principal direction. The haar wavelet features are in 4 directions of the sum of the horizontal direction value, the vertical direction value, the horizontal direction absolute value and the vertical direction absolute value, and the 4 values are used as feature vectors of each sub-block region, so that a total 4 x 4-64-dimensional vector is used as a descriptor of the Surf feature; and fifthly, matching the characteristic points, wherein the matching degree is determined by calculating the Euclidean distance between the two characteristic points, and the shorter the Euclidean distance is, the better the matching degree of the two characteristic points is.
And step 3: inputting matched feature point coordinates, resolving the sparse three-dimensional point cloud of the target object and the position and posture data of the photographing camera by using a light beam method adjustment, namely obtaining model coordinate values of the sparse three-dimensional point cloud of the target object model and the position; and performing multi-view photo dense matching by taking the sparse feature points as initial values to obtain dense point cloud data. The process mainly comprises four steps: stereo pair selection, depth map calculation, depth map optimization and depth map fusion. For each image in the input data set, we select a reference image to form a stereo pair for use in computing the depth map. Therefore, we can get rough depth maps of all images, which may contain noise and errors, and we use its neighborhood depth map to perform consistency check to optimize the depth map of each image. And finally, carrying out depth map fusion to obtain the three-dimensional point cloud of the whole scene.
And 4, step 4: and reconstructing the curved surface of the target object by using the dense point cloud. The method comprises the steps of defining an octree, setting a function space, creating a vector field, solving a Poisson equation and extracting an isosurface. And obtaining an integral relation between the sampling point and the indicating function according to the gradient relation, obtaining a vector field of the point cloud according to the integral relation, and calculating the approximation of the gradient field of the indicating function to form a Poisson equation. And (3) solving an approximate solution by using matrix iteration according to a Poisson equation, extracting an isosurface by adopting a moving cube algorithm, and reconstructing a model of the measured point cloud.
And 5: full-automatic texture mapping of object models. And after the surface model is constructed, texture mapping is carried out. The main process comprises the following steps: texture data is obtained to reconstruct a surface triangular surface grid of a target through an image; and secondly, reconstructing the visibility analysis of the triangular surface of the model. Calculating a visible image set and an optimal reference image of each triangular surface by using the calibration information of the image; and thirdly, clustering the triangular surface to generate a texture patch. Clustering the triangular surfaces into a plurality of reference image texture patches according to the visible image set of the triangular surfaces, the optimal reference image and the neighborhood topological relation of the triangular surfaces; and fourthly, automatically sequencing the texture patches to generate texture images. And sequencing the generated texture patches according to the size relationship of the texture patches to generate a texture image with the minimum surrounding area, and obtaining the texture mapping coordinate of each triangular surface.
It should be noted that the above algorithm is an algorithm used by the present invention, and the algorithm is matched with the image acquisition condition, and the time and quality of the synthesis are considered by using the algorithm. It will be appreciated that conventional 3D synthesis algorithms known in the art may be used with the solution of the invention.
Examples of the applications
In order to construct a 3D model in a certain building, the acquisition equipment can be held by hands to rotationally acquire a plurality of images of the building indoors, and the 3D model synthesis is carried out according to a synthesis algorithm, so that the 3D model in the house is constructed, and the subsequent decoration and display are facilitated.
In order to construct the 3D model in the inner cavity of the engine, the equipment of the miniature camera with the rod part provided with the stabilizing device can be stretched into the inner cavity to take a picture through rotation, and the 3D model of the inner cavity of the engine is synthesized by using the picture, so that the quality inspection of the inner cavity of the engine is realized.
The target object, and the object all represent objects for which three-dimensional information is to be acquired. The object may be a solid object or a plurality of object components. The three-dimensional information of the target object comprises a three-dimensional image, a three-dimensional point cloud, a three-dimensional grid, a local three-dimensional feature, a three-dimensional size and all parameters with the three-dimensional feature of the target object. Three-dimensional in the present invention means having XYZ three-direction information, particularly depth information, and is essentially different from only two-dimensional plane information. It is also fundamentally different from some definitions, which are called three-dimensional, panoramic, holographic, three-dimensional, but actually comprise only two-dimensional information, in particular not depth information.
The capture area in the present invention refers to a range in which the image capture device 1 (e.g., a camera) can capture an image. The image acquisition device 1 in the invention can be a CCD, a CMOS, a camera, a video camera, an industrial camera, a monitor, a camera, a mobile phone, a tablet, a notebook, a mobile terminal, a wearable device, intelligent glasses, an intelligent watch, an intelligent bracelet and all devices with image acquisition function.
In the description provided herein, numerous specific details are set forth. It is understood, however, that embodiments of the invention may be practiced without these specific details. In some instances, well-known methods, structures and techniques have not been shown in detail in order not to obscure an understanding of this description.
Similarly, it should be appreciated that in the foregoing description of exemplary embodiments of the invention, various features of the invention are sometimes grouped together in a single embodiment, figure, or description thereof for the purpose of streamlining the disclosure and aiding in the understanding of one or more of the various inventive aspects. However, the disclosed method should not be interpreted as reflecting an intention that: that the invention as claimed requires more features than are expressly recited in each claim. Rather, as the following claims reflect, inventive aspects lie in less than all features of a single foregoing disclosed embodiment. Thus, the claims following the detailed description are hereby expressly incorporated into this detailed description, with each claim standing on its own as a separate embodiment of this invention.
Those skilled in the art will appreciate that the modules in the device in an embodiment may be adaptively changed and disposed in one or more devices different from the embodiment. The modules or units or components of the embodiments may be combined into one module or unit or component, and furthermore they may be divided into a plurality of sub-modules or sub-units or sub-components. All of the features disclosed in this specification (including any accompanying claims, abstract and drawings), and all of the processes or elements of any method or apparatus so disclosed, may be combined in any combination, except combinations where at least some of such features and/or processes or elements are mutually exclusive. Each feature disclosed in this specification (including any accompanying claims, abstract and drawings) may be replaced by alternative features serving the same, equivalent or similar purpose, unless expressly stated otherwise.
Furthermore, those skilled in the art will appreciate that while some embodiments herein include some features included in other embodiments, rather than other features, combinations of features of different embodiments are meant to be within the scope of the invention and form different embodiments. For example, in the claims, any of the claimed embodiments may be used in any combination.
The various component embodiments of the invention may be implemented in hardware, or in software modules running on one or more processors, or in a combination thereof. It will be appreciated by those skilled in the art that a microprocessor or Digital Signal Processor (DSP) may be used in practice to implement some or all of the functionality of some or all of the components in an apparatus in accordance with embodiments of the present invention. The present invention may also be embodied as apparatus or device programs (e.g., computer programs and computer program products) for performing a portion or all of the methods described herein. Such programs implementing the present invention may be stored on computer-readable media or may be in the form of one or more signals. Such a signal may be downloaded from an internet website or provided on a carrier signal or in any other form.
It should be noted that the above-mentioned embodiments illustrate rather than limit the invention, and that those skilled in the art will be able to design alternative embodiments without departing from the scope of the appended claims. In the claims, any reference signs placed between parentheses shall not be construed as limiting the claim. The word "comprising" does not exclude the presence of elements or steps not listed in a claim. The word "a" or "an" preceding an element does not exclude the presence of a plurality of such elements. The invention may be implemented by means of hardware comprising several distinct elements, and by means of a suitably programmed computer. In the unit claims enumerating several means, several of these means may be embodied by one and the same item of hardware. The usage of the words first, second and third, etcetera do not indicate any ordering. These words may be interpreted as names.
Thus, it should be appreciated by those skilled in the art that while a number of exemplary embodiments of the invention have been illustrated and described in detail herein, many other variations or modifications consistent with the principles of the invention may be directly determined or derived from the disclosure of the present invention without departing from the spirit and scope of the invention. Accordingly, the scope of the invention should be understood and interpreted to cover all such other variations or modifications.

Claims (13)

1. The utility model provides a stable intelligent vision 3D information acquisition equipment of rotation and method which characterized in that: the device comprises an image acquisition device, a 3D rotation acquisition stabilizing device and a bearing device;
the image acquisition device is connected with the 3D rotary acquisition stabilizing device, so that when the bearing device shakes, the 3D rotary acquisition stabilizing device can drive the image acquisition device to stably rotate and scan;
the 3D rotation acquisition stabilizing device is connected with the bearing device.
2. The apparatus and method of claim 1, wherein: the 3D rotation acquisition stabilizing device comprises a rotating unit, a mounting frame, a two-dimensional stabilizing mechanism and a fixing unit which are connected in sequence.
3. The apparatus and method of claim 2, wherein: the rotating unit is connected with the image acquisition device and used for driving the image acquisition device to rotate.
4. The apparatus and method of claim 2, wherein: the rotating unit is installed at one end of the two-dimensional stabilizing mechanism through the installation frame, and the other end of the two-dimensional stabilizing mechanism is connected with the fixing unit.
5. The apparatus and method of claim 2, wherein: the fixing unit is connected with the bearing device.
6. The apparatus and method of claim 2, wherein: the two-dimensional stabilizing mechanism comprises a pitching stabilizing unit, a connecting frame and a rolling stabilizing unit.
7. The apparatus and method of claim 6, wherein: the pitching stabilizing unit and the rolling stabilizing unit both comprise driving bodies and rotating heads; the driving body comprises a servo stepping motor and a shell, and the rotating head is connected with the rotating shaft of the motor and driven by the motor to rotate.
8. The apparatus and method of claim 2, wherein: the two-dimensional stabilizing mechanism is as follows: the rotating unit is arranged on the rotating head of the pitching stabilizing unit through the mounting frame, the driving body of the pitching stabilizing unit is arranged on the rotating head of the rolling stabilizing unit through the connecting frame, and the driving body of the rolling stabilizing unit is provided with the fixing body; or the rotating unit is arranged on the rotating head of the rolling stabilizing unit through the mounting frame, the driving body of the rolling stabilizing unit is arranged on the rotating head of the pitching stabilizing unit through the connecting frame, and the fixing body is arranged on the driving body of the pitching stabilizing unit.
9. Apparatus and method according to any of the preceding claims, characterized in that: the carrying device is a handheld device.
10. The apparatus of claim 1, wherein: the included angle alpha of the optical axes of the image acquisition devices at two adjacent acquisition positions meets the following condition:
Figure FDA0002726977380000011
wherein, R is the distance from the rotation center to the surface of the target object, T is the sum of the object distance and the image distance during acquisition, d is the length or the width of a photosensitive element of the image acquisition device, F is the focal length of a lens of the image acquisition device, and u is an empirical coefficient.
11. The apparatus of claim 10, wherein: u <0.498, or u <0.41, or u <0.359, or u <0.281, or u <0.169, or u <0.041, or u < 0.028.
12. A 3D synthesis/recognition apparatus and method, comprising the apparatus and method of any preceding claim.
13. An object manufacturing/display apparatus and method, comprising the apparatus and method of any preceding claim.
CN202011106017.7A2020-10-152020-10-15Intelligent three-dimensional information acquisition equipment stable in rotationActiveCN112303423B (en)

Priority Applications (2)

Application NumberPriority DateFiling DateTitle
CN202011106017.7ACN112303423B (en)2020-10-152020-10-15Intelligent three-dimensional information acquisition equipment stable in rotation
PCT/CN2021/123701WO2022078418A1 (en)2020-10-152021-10-14Intelligent three-dimensional information acquisition appratus capable of stably rotating

Applications Claiming Priority (1)

Application NumberPriority DateFiling DateTitle
CN202011106017.7ACN112303423B (en)2020-10-152020-10-15Intelligent three-dimensional information acquisition equipment stable in rotation

Publications (2)

Publication NumberPublication Date
CN112303423Atrue CN112303423A (en)2021-02-02
CN112303423B CN112303423B (en)2022-10-25

Family

ID=74327603

Family Applications (1)

Application NumberTitlePriority DateFiling Date
CN202011106017.7AActiveCN112303423B (en)2020-10-152020-10-15Intelligent three-dimensional information acquisition equipment stable in rotation

Country Status (2)

CountryLink
CN (1)CN112303423B (en)
WO (1)WO2022078418A1 (en)

Cited By (4)

* Cited by examiner, † Cited by third party
Publication numberPriority datePublication dateAssigneeTitle
CN113315894A (en)*2021-05-192021-08-27范震Computer image acquisition device and use method
CN113323815A (en)*2021-05-282021-08-31上海扩博智能技术有限公司Handheld fan blade inspection equipment
WO2022078418A1 (en)*2020-10-152022-04-21左忠斌Intelligent three-dimensional information acquisition appratus capable of stably rotating
CN116066677A (en)*2023-02-132023-05-05新疆天池能源有限责任公司Fixed bolster is used in opencut coal mine measurement

Citations (12)

* Cited by examiner, † Cited by third party
Publication numberPriority datePublication dateAssigneeTitle
DE102014113272A1 (en)*2014-09-152016-03-17Cullmann Germany Gmbh Guide handle for a tripod head
CN107660106A (en)*2015-08-192018-02-02深圳市大疆灵眸科技有限公司Hand-held device and the hand-held head and electronic installation using the hand-held device
CN207037750U (en)*2017-07-212018-02-23湖南拓视觉信息技术有限公司Whole scene scanning means and 3-D scanning modeling
CN207065021U (en)*2017-06-122018-03-02宁夏启迪高科新农技术有限公司Hand-held head
CN108803202A (en)*2017-05-022018-11-13深圳市道通智能航空技术有限公司A kind of picture shooting assembly
CN209115946U (en)*2018-10-262019-07-16深圳景行机器人科技有限公司A kind of foldable structure of hand-held holder
CN209913941U (en)*2019-07-152020-01-07南京信息工程大学 A plant leaf image completion device
CN209925928U (en)*2019-01-252020-01-10深圳景行机器人科技有限公司Adjustable gravity center structure of handheld cloud platform
CN110986768A (en)*2019-12-122020-04-10天目爱视(北京)科技有限公司 A high-speed acquisition and measurement device for target 3D information
CN111060023A (en)*2019-12-122020-04-24天目爱视(北京)科技有限公司High-precision 3D information acquisition equipment and method
CN211649757U (en)*2020-01-162020-10-09深圳市大疆创新科技有限公司Handheld device, handheld cloud platform and handheld shooting device
CN111758001A (en)*2019-05-272020-10-09深圳市大疆创新科技有限公司 Foldable handheld gimbal

Family Cites Families (8)

* Cited by examiner, † Cited by third party
Publication numberPriority datePublication dateAssigneeTitle
GB2521865A (en)*2014-01-072015-07-08Mastortech LtdCamera stabilisation mounting
CN106402598B (en)*2016-11-302020-03-17桂林智神信息技术股份有限公司Panorama shooting cloud platform
CN206696581U (en)*2017-03-142017-12-01四川建筑职业技术学院A kind of camera stabilization head of 3D stereoes
CN111060024B (en)*2018-09-052021-11-30天目爱视(北京)科技有限公司3D measuring and acquiring device with rotation center shaft intersected with image acquisition device
CN109707980A (en)*2019-01-302019-05-03中山市央果电子科技有限公司Course limit structure of handheld stabilizer
CN113327291B (en)*2020-03-162024-03-22天目爱视(北京)科技有限公司Calibration method for 3D modeling of remote target object based on continuous shooting
WO2022032538A1 (en)*2020-08-122022-02-17深圳市大疆创新科技有限公司Panorama photographing method, apparatus and system, and computer-readable storage medium
CN112303423B (en)*2020-10-152022-10-25天目爱视(北京)科技有限公司Intelligent three-dimensional information acquisition equipment stable in rotation

Patent Citations (13)

* Cited by examiner, † Cited by third party
Publication numberPriority datePublication dateAssigneeTitle
DE102014113272A1 (en)*2014-09-152016-03-17Cullmann Germany Gmbh Guide handle for a tripod head
CN107660106A (en)*2015-08-192018-02-02深圳市大疆灵眸科技有限公司Hand-held device and the hand-held head and electronic installation using the hand-held device
CN108803202A (en)*2017-05-022018-11-13深圳市道通智能航空技术有限公司A kind of picture shooting assembly
CN207065021U (en)*2017-06-122018-03-02宁夏启迪高科新农技术有限公司Hand-held head
CN207037750U (en)*2017-07-212018-02-23湖南拓视觉信息技术有限公司Whole scene scanning means and 3-D scanning modeling
CN209115946U (en)*2018-10-262019-07-16深圳景行机器人科技有限公司A kind of foldable structure of hand-held holder
CN209925928U (en)*2019-01-252020-01-10深圳景行机器人科技有限公司Adjustable gravity center structure of handheld cloud platform
CN111758001A (en)*2019-05-272020-10-09深圳市大疆创新科技有限公司 Foldable handheld gimbal
CN209913941U (en)*2019-07-152020-01-07南京信息工程大学 A plant leaf image completion device
CN111060023A (en)*2019-12-122020-04-24天目爱视(北京)科技有限公司High-precision 3D information acquisition equipment and method
CN111649690A (en)*2019-12-122020-09-11天目爱视(北京)科技有限公司Handheld 3D information acquisition equipment and method
CN110986768A (en)*2019-12-122020-04-10天目爱视(北京)科技有限公司 A high-speed acquisition and measurement device for target 3D information
CN211649757U (en)*2020-01-162020-10-09深圳市大疆创新科技有限公司Handheld device, handheld cloud platform and handheld shooting device

Cited By (5)

* Cited by examiner, † Cited by third party
Publication numberPriority datePublication dateAssigneeTitle
WO2022078418A1 (en)*2020-10-152022-04-21左忠斌Intelligent three-dimensional information acquisition appratus capable of stably rotating
CN113315894A (en)*2021-05-192021-08-27范震Computer image acquisition device and use method
CN113315894B (en)*2021-05-192022-04-22范震Computer image acquisition device and use method
CN113323815A (en)*2021-05-282021-08-31上海扩博智能技术有限公司Handheld fan blade inspection equipment
CN116066677A (en)*2023-02-132023-05-05新疆天池能源有限责任公司Fixed bolster is used in opencut coal mine measurement

Also Published As

Publication numberPublication date
WO2022078418A1 (en)2022-04-21
CN112303423B (en)2022-10-25

Similar Documents

PublicationPublication DateTitle
CN112254670B (en)3D information acquisition equipment based on optical scanning and intelligent vision integration
CN112492292B (en)Intelligent visual 3D information acquisition equipment of free gesture
CN112303423B (en)Intelligent three-dimensional information acquisition equipment stable in rotation
CN112257537B (en)Intelligent multi-point three-dimensional information acquisition equipment
CN112361962B (en)Intelligent visual 3D information acquisition equipment of many every single move angles
CN112484663B (en)Intelligent visual 3D information acquisition equipment of many angles of rolling
CN112254638B (en)Intelligent visual 3D information acquisition equipment that every single move was adjusted
CN112253913B (en)Intelligent visual 3D information acquisition equipment deviating from rotation center
CN112254680B (en)Multi freedom&#39;s intelligent vision 3D information acquisition equipment
CN112254675B (en)Space occupancy rate acquisition and judgment equipment and method containing moving object
CN112082486B (en)Handheld intelligent 3D information acquisition equipment
CN112254669B (en)Intelligent visual 3D information acquisition equipment of many bias angles
CN112254676B (en)Portable intelligent 3D information acquisition equipment
CN112254653B (en)Program control method for 3D information acquisition
CN112254673B (en)Self-rotation type intelligent vision 3D information acquisition equipment
CN112254677B (en)Multi-position combined 3D acquisition system and method based on handheld device
CN112254678B (en)Indoor 3D information acquisition equipment and method
CN112672134B (en)Three-dimensional information acquisition control equipment and method based on mobile terminal
CN112254671B (en)Multi-time combined 3D acquisition system and method
CN112257535B (en)Three-dimensional matching equipment and method for avoiding object
CN112304250B (en)Three-dimensional matching equipment and method between moving objects
CN112254679A (en)Multi-position combined 3D acquisition system and method
CN112254672B (en)Height-adjustable&#39;s intelligent 3D information acquisition equipment
CN112254674B (en)Close-range intelligent visual 3D information acquisition equipment
CN213179903U (en)Three-dimensional information acquisition equipment with rotatory stabilising arrangement that gathers

Legal Events

DateCodeTitleDescription
PB01Publication
PB01Publication
SE01Entry into force of request for substantive examination
SE01Entry into force of request for substantive examination
GR01Patent grant
GR01Patent grant

[8]ページ先頭

©2009-2025 Movatter.jp