Movatterモバイル変換


[0]ホーム

URL:


CN112286211A - Environment modeling and AGV path planning method for irregular layout workshop - Google Patents

Environment modeling and AGV path planning method for irregular layout workshop
Download PDF

Info

Publication number
CN112286211A
CN112286211ACN202011573270.3ACN202011573270ACN112286211ACN 112286211 ACN112286211 ACN 112286211ACN 202011573270 ACN202011573270 ACN 202011573270ACN 112286211 ACN112286211 ACN 112286211A
Authority
CN
China
Prior art keywords
agv
grid
path
modeling
area
Prior art date
Legal status (The legal status is an assumption and is not a legal conclusion. Google has not performed a legal analysis and makes no representation as to the accuracy of the status listed.)
Pending
Application number
CN202011573270.3A
Other languages
Chinese (zh)
Inventor
陈志祥
徐晗
陈耀峰
Current Assignee (The listed assignees may be inaccurate. Google has not performed a legal analysis and makes no representation or warranty as to the accuracy of the list.)
Shanghai Smartstate Technology Co ltd
Original Assignee
Shanghai Smartstate Technology Co ltd
Priority date (The priority date is an assumption and is not a legal conclusion. Google has not performed a legal analysis and makes no representation as to the accuracy of the date listed.)
Filing date
Publication date
Application filed by Shanghai Smartstate Technology Co ltdfiledCriticalShanghai Smartstate Technology Co ltd
Priority to CN202011573270.3ApriorityCriticalpatent/CN112286211A/en
Publication of CN112286211ApublicationCriticalpatent/CN112286211A/en
Pendinglegal-statusCriticalCurrent

Links

Images

Classifications

Landscapes

Abstract

The invention provides an environment modeling and AGV path planning method for an irregular layout workshop. The construction of the operation environment model establishes an overall structure model of the irregular layout workshop through a topological modeling method, and establishes a description model of a complex operation area through a grid modeling method. The planning of the AGV path comprises the following steps: the method comprises the steps of establishing a first AGV movement path, a second AGV movement path and a third AGV movement path, wherein the third AGV movement path is established according to an improved genetic algorithm, and the improved genetic algorithm comprises the steps of designing a new fitness function and introducing a simulated annealing population selection method. According to the method, the operation environment modeling of the irregular layout workshop is realized by adopting a topological modeling and grid modeling method, and the accurate and detailed description of the complex operation environment can be realized, so that the accuracy of AGV path planning is improved.

Description

Environment modeling and AGV path planning method for irregular layout workshop
Technical Field
The invention relates to the technical field of AGV path planning, in particular to an environment modeling and AGV path planning method for an irregular layout workshop.
Background
With the continuous development of manufacturing industry, the automation of production line logistics becomes one of the important directions for enterprise transformation and upgrade. An agv (automated Guided vehicle), i.e., an automated Guided vehicle or an automated Guided vehicle, is a vehicle that can travel along a predetermined guide path and has safety protection and various transfer functions. Generally speaking, after manufacturing shop or logistics workshop establish, need plan the walking route of AGV, only after the walking route planning of AGV, just can ensure AGV's walking speed, avoid AGV turn to the wearing and tearing that the number of times is too much or the angle is too big to cause at the in-process of walking, just can avoid the running stability difference of AGV automobile body and the goods that cause drop.
At present, most of existing AGV path planning in a workshop is a single modeling mode, for example, a grid modeling method, which can accurately and meticulously describe a complex operation environment, has high path planning accuracy, but has high calculation complexity, and the computation amount increases exponentially along with the increase of the number of grids, thereby greatly increasing the difficulty and cost of modeling. For example, the topological modeling method regards path intersections and operation point positions as nodes, regards a driving path as an edge, describes the path and the direction of the AGV through an ordered node set, is compact in structure and suitable for a multi-node association scene, but is low in accuracy of AGV path planning for a complex workshop.
Meanwhile, the existing AGV path planning method is improved from the traditional genetic algorithm, the traditional genetic algorithm is usually carried out from the aspects of coding, initial population setting, fitness function design, genetic operation and 2 control parameters, wherein the traditional fitness function does not combine the actual motion process of the AGV to consider the smoothness of the path, in the actual motion process, if the AGV turns to too many times, the motion time is increased, the rapid abrasion of the mechanical structure of the vehicle is caused, and the accumulated error of the motion is increased along with the increase of the turning times.
Therefore, there is a need for an improvement to existing methods for AGV path planning for a plant.
Disclosure of Invention
The invention aims to provide an environment modeling and AGV path planning method for an irregular layout workshop.
The technical scheme for realizing the purpose of the invention is as follows: a method for environment modeling of an irregular layout workshop and AGV path planning comprises the steps of building a working environment model and planning an AGV path.
The establishment of the operation environment model comprises the following steps:
s1, establishing an overall structure model of the irregular layout workshop through a topological modeling method, wherein the overall structure model comprises a simple operation area and a complex operation area;
s2, naming each path intersection point and operation point in the simple operation area as a first topological node, and naming the complex operation area as a second topological node;
and S3, establishing a description model of the complex operation area through a grid modeling method.
The AGV path planning method comprises the following steps:
s100, establishing a first AGV movement path in a simple operation area;
s200, establishing a second AGV movement path between the complex operation area and the complex operation area;
s300, establishing a third AGV movement path in the complex operation area according to an improved genetic algorithm, wherein the improved genetic algorithm comprises designing a new fitness function, and introducing a simulated annealing population selection method.
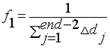
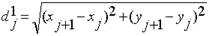
Further, the expression of the new fitness function is as follows:
Figure 771459DEST_PATH_IMAGE001
wherein
Figure 577741DEST_PATH_IMAGE002
in order to be a traditional fitness function expression,
Figure DEST_PATH_IMAGE003
to increase the fitness function expression for smoothness,
Figure 939321DEST_PATH_IMAGE004
the number of grids that the AGV passes through, D the path length that the AGV passes through,
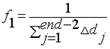
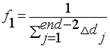
Figure DEST_PATH_IMAGE005
is the difference in distance between three adjacent grids.
Further, the above
Figure 743329DEST_PATH_IMAGE005
The expression of (a) is:
Figure 941092DEST_PATH_IMAGE006
wherein,
Figure DEST_PATH_IMAGE007
is a grid
Figure 488748DEST_PATH_IMAGE008
And a grid
Figure DEST_PATH_IMAGE009
The expression is:
Figure 704834DEST_PATH_IMAGE010
Figure DEST_PATH_IMAGE011
is a grid
Figure 883006DEST_PATH_IMAGE012
And a grid
Figure 364803DEST_PATH_IMAGE008
In betweenDistance, the expression is:
Figure DEST_PATH_IMAGE013
Figure 716150DEST_PATH_IMAGE014
is a grid
Figure 524093DEST_PATH_IMAGE012
And a grid
Figure 935483DEST_PATH_IMAGE009
The expression is:
Figure DEST_PATH_IMAGE015
in a preferred embodiment of the present invention, the improved genetic algorithm further comprises coding, initial population setting, genetic manipulation, control parameter setting.
Furthermore, the simulated annealing population selection method introduces a simulated annealing population selection method based on the solid annealing principle.
Further, the grid modeling method comprises the following steps:
carrying out grid decomposition on the complex operation area to form a grid map;
marking a cataract obstacle area and an obstacle-free area on a grid map;
setting the grid attribute value of the obstacle area to be 1, and forming a non-passing area; the pass area is formed by setting the grid attribute value of the obstacle-free area to 0.
Further, an expansion region is provided between the obstacle region and the obstacle-free region, the grid attribute value of the expansion region is set to 1, and the expansion region and the obstacle region are combined to form a non-traffic region.
Compared with the prior art, the invention has the beneficial effects that:
1. the method for modeling the operating environment of the irregular layout workshop by adopting the topological modeling and the grid modeling can realize accurate and detailed description of the complex operating environment so as to improve the accuracy of AGV path planning. Meanwhile, when the AGV path is planned, a description model established by the grid modeling method is improved through a traditional genetic algorithm, the generated AGV path is optimized through introducing a concept of path smoothness, and the AGV steering times and steering angles are reduced on the basis of avoiding increasing the movement time, so that the rapid abrasion caused by a vehicle mechanical structure is avoided.
2. In the grid modeling method, the expansion area is arranged between the obstacle area and the obstacle-free area, and the expansion area is defined as the non-passing area, so that the damage and falling of the AGV and articles carried by the AGV due to the fact that the AGV touches or collides with the obstacle area in the walking process can be avoided, and the potential safety hazard caused by the damage of the obstacle area can also be avoided.
Drawings
In order to more clearly illustrate the technical solution of the embodiment of the present invention, the drawings used in the description of the embodiment will be briefly introduced below. It should be apparent that the drawings in the following description are only for illustrating the embodiments of the present invention or technical solutions in the prior art more clearly, and that other drawings can be obtained by those skilled in the art without any inventive work.
FIG. 1 is a flowchart of a method for environment modeling and AGV path planning for an irregularly-arranged plant in an embodiment of the present invention;
FIG. 2 is a schematic diagram of a layout of an irregular layout plant and AGV paths in an embodiment of the present invention;
FIG. 3 is a grid map of a model depicting a complex work area in an embodiment of the present invention;
FIG. 4 is a schematic view of a first AGV path of travel and a second AGV path of travel according to an embodiment of the present invention;
FIG. 5 is a flow chart of simulated annealing population selection for an improved genetic algorithm in an embodiment of the present invention;
FIG. 6 is a flowchart illustrating the calculation of an optimal path for a third AGV movement path in accordance with an embodiment of the present invention;
FIG. 7 is a diagrammatic view of a third AGV path of the AGV paths of the present invention.
Detailed Description
The invention will be further described with reference to specific embodiments, and the advantages and features of the invention will become apparent as the description proceeds. These examples are illustrative only and do not limit the scope of the present invention in any way. It will be understood by those skilled in the art that various changes in form and details may be made therein without departing from the spirit and scope of the invention, and that such changes and modifications may be made without departing from the spirit and scope of the invention.
In the description of the present embodiments, it is to be understood that the terms "center", "longitudinal", "lateral", "up", "down", "front", "back", "left", "right", "vertical", "horizontal", "top", "bottom", "inner", "outer", etc. indicate orientations or positional relationships based on those shown in the drawings, and are only for convenience of describing the present invention and simplifying the description, but do not indicate or imply that the device or element referred to must have a particular orientation, be constructed and operated in a particular orientation, and thus, should not be construed as limiting the present invention.
Furthermore, the terms "first," "second," "third," and the like are used for descriptive purposes only and are not to be construed as indicating or implying relative importance or implicit to a number of indicated technical features. Thus, a feature defined as "first," "second," etc. may explicitly or implicitly include one or more of that feature. In the description of the invention, the meaning of "a plurality" is two or more unless otherwise specified.
The embodiment of the disclosure provides an environment modeling and AGV path planning method for a workshop with an irregular layout, which includes the establishment of a working environment model and the planning of an AGV path, as shown in FIG. 1.
As shown in fig. 1, the establishment of the work environment model includes the following steps:
and S1, establishing an overall structure model of the irregular layout workshop through a topological modeling method, wherein the overall structure model comprises a simple operation area and a complex operation area.
And S2, naming each path intersection point and operation point in the simple operation area as a first topological node, and naming the complex operation area as a second topological node.
Specifically, because there are fewer operation points and path intersections in the simple operation area, the planning of the AGV path in this area is simpler, and each operation point and path intersection in the simple operation area can be set as the first topology node. Meanwhile, since the operation area of the complex operation area is relatively complex, the whole complex operation area is regarded as one operation node. When the AGV path is planned, a straight path is established between each first topological node and each second topological node, so that the AGV path planning setting is simplified.
S3, establishing a description model of the complex operation area through a grid modeling method, wherein the grid modeling method is as follows:
and S301, performing grid decomposition on the complex operation area to form a grid map.
Specifically, the grid dimension length in the description model is specified as the maximum value of the outer dimension of the AGV, and as shown in fig. 3, the size of the created grid map is 20 × 20.
S302, marking an obstacle area (shown as a black grid in the figure 3) and an obstacle-free area (shown as a white grid in the figure 3) in the grid map;
s303, setting the grid attribute value of the obstacle area to be 1, and forming a non-passing area; the pass area is formed by setting the grid attribute value of the obstacle-free area to 0.
Further, in order that the AGV cannot be regarded as a particle in an actual environment and does not pass through an obstacle boundary when the AGV travels, an expansion region (shown by a gray grid in fig. 3) is provided between the obstacle region and the obstacle-free region, the grid attribute value of the expansion region is set to 1, and the expansion region and the obstacle region are combined to form a non-passage region.
After the operating environment model is established, the route of the AGV walking in the irregular layout workshop is planned, and in the embodiment, as shown in fig. 1, the planning of the AGV route includes the following steps:
s100, establishing a first AGV moving path in the simple operation area, specifically, the first AGV moving path in the simple operation area is a simple straight path. And during path planning, setting a first AGV movement path between each path intersection point and each operation point, namely each first topology node according to operation requirements.
S200, establishing a second AGV movement path between the complex operation areas, specifically, the second AGV movement path established between the complex operation areas is also a simple straight path. During path planning, according to operation requirements, a second AGV motion path is established between a first topology node (path intersection or operation point) closest to the complex operation area in the simple operation area and a second topology node of each complex operation area.
S300, establishing a third AGV movement path in the complex operation area according to an improved genetic algorithm, wherein the improved genetic algorithm comprises designing a new fitness function, and introducing a simulated annealing population selection method.
Specifically, the conventional genetic algorithm is a calculation model simulating a biological evolution process, which searches for an optimal solution by simulating a natural evolution process. The genetic algorithm takes all individuals in a population as objects, and utilizes a randomization principle to efficiently search a coded parameter space. The five aspects of encoding, initial population setting, fitness function design, genetic operation and control parameter setting are the most basic contents of the traditional genetic algorithm.
The invention designs the fitness function of the traditional genetic algorithm to obtain a new fitness function, and selects an initial population by applying a simulated annealing population selection method to form an improved genetic algorithm.
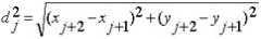
In the AGV path planning, the length of the AGV path generally needs to be optimized, and in the conventional genetic algorithm, the fitness function expression is as follows:
Figure 842259DEST_PATH_IMAGE002
Figure 528455DEST_PATH_IMAGE004
the number of grids passed by the AGV, and D is the path length passed by the AGV.
Specifically, the expression of D is:
Figure 204287DEST_PATH_IMAGE016
by passing
Figure DEST_PATH_IMAGE017
The fitness for measuring population individuals can eliminate individuals with large path length, but the traditional fitness function has the problem that smoothness of the AGV path is not considered in combination with the actual motion process of the AGV. In the actual moving process, if the AGV turns too many times, not only the moving time is increased, but also the mechanical structure of the vehicle is quickly worn, and the accumulated error of the movement is increased along with the increase of the turning times, so that the smoothness (the smoothness in a non-mathematical sense) of the generated AGV path needs to be considered.
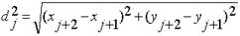
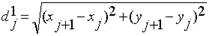
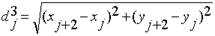
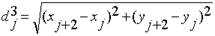
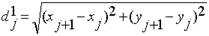
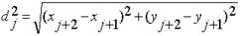
Specifically, according to the geometric relationship of the triangle, the distance relationship between the adjacent three points can represent the smoothness of the path, so the distance expression between the three adjacent grids describing the model in the complex working area in the invention is as follows:
expression:
Figure 770267DEST_PATH_IMAGE018
Figure 961077DEST_PATH_IMAGE007
is a grid
Figure 654226DEST_PATH_IMAGE008
And a grid
Figure 184565DEST_PATH_IMAGE009
The distance between them.
Expression:
Figure DEST_PATH_IMAGE019
Figure 937757DEST_PATH_IMAGE011
is a grid
Figure 615863DEST_PATH_IMAGE020
And a grid
Figure 830813DEST_PATH_IMAGE008
The distance between them;
expression:
Figure 277975DEST_PATH_IMAGE021
Figure 936489DEST_PATH_IMAGE014
is a grid
Figure 101891DEST_PATH_IMAGE020
And a grid
Figure 871264DEST_PATH_IMAGE009
The distance between them.
Expression:
Figure 376195DEST_PATH_IMAGE006
Figure 267927DEST_PATH_IMAGE005
is the difference in distance between three adjacent grids. According to the geometric relationship of the triangle when
Figure 107576DEST_PATH_IMAGE022
The smaller the size of the product is,
Figure 477378DEST_PATH_IMAGE009
Figure 836815DEST_PATH_IMAGE008
Figure 899449DEST_PATH_IMAGE012
the bigger the included angle between the three grids is, the smoother the path of the AGV is, the smaller the corner amplitude of the AGV is, the smaller the abrasion is, and the balance of the AGV is also improved. Therefore, the fitness function expression for adding smoothness is:
Figure 711547DEST_PATH_IMAGE023
comprehensively considering the length (D) and smoothness of the path (D)
Figure 150619DEST_PATH_IMAGE024
) The expression of the improved new fitness function is as follows:
Figure 364562DEST_PATH_IMAGE001
further, because the traditional genetic algorithm is easy to fall into the defect of local optimization, in the improved genetic algorithm, the simulated annealing population selection method selects individuals in the initial population by introducing the simulated annealing algorithm.
Specifically, referring to fig. 5, the simulated annealing population selection method includes the following steps:
inputting a grid map of a complex operation area into an improved genetic algorithm;
selecting the initialized population individuals and calculating the fitness function value
Figure 53557DEST_PATH_IMAGE025
The disturbance generates a new value X, and the fitness function value is calculated
Figure 415268DEST_PATH_IMAGE026
Computing
Figure 64555DEST_PATH_IMAGE027
Judgment is made
Figure 460902DEST_PATH_IMAGE028
Size;
when in use
Figure 803021DEST_PATH_IMAGE029
When it is time, accept the new value X, make
Figure 652029DEST_PATH_IMAGE030
(ii) a When the iteration times are reached and the termination condition is met, ending the operation; when the iteration times are reached but the termination condition is not met, slowly cooling to ensure that
Figure 105007DEST_PATH_IMAGE031
Returning to generate new X and recalculating fitness function value
Figure 355859DEST_PATH_IMAGE025
(ii) a When the iteration times are not reached, returning to generate new X, and recalculating the fitness function value
Figure 118148DEST_PATH_IMAGE025
When in use
Figure 657714DEST_PATH_IMAGE032
According to the sudden jump characteristic of the simulated annealing probability, the method leads
Figure 976700DEST_PATH_IMAGE033
Judging whether P is greater than a value between 0 and 1 randomly generated by the program, if so, accepting a new value X to make P be greater than the value
Figure 19742DEST_PATH_IMAGE030
And continuing outer circulation; if the value is less than or equal to the value, directly judging whether the program reaches the iteration times, and continuing the outer loop.
According to an embodiment of the present invention, fig. 2 shows an irregular layout workshop, and fig. 3 and 5 show an AGV path planning method:
first, an operating environment model is established.
Specifically, S1, establishing an overall structure model through a topological modeling method, wherein the overall structure model comprises a simple operation area and a complex operation area (Z1, Z2).
And S2, naming the path cross points (C1 and C2) and the operation points (a fixture library and a charging pile) in the simple operation area as first topology nodes (C1, C2, the fixture library and the charging pile), and naming the complex operation area as second topology nodes.
S3, establishing a description model (Z1, Z2) of the complex operation area through a grid modeling method, as shown in FIG. 4.
Secondly, planning the traveling path of the AGV in the workshop with the irregular layout.
Specifically, S100, the establishment of the first AGV movement path in the simple work area, where the first AGV movement path in the simple work area is a simple straight-going path, as shown in fig. 4, the first AGV movement path is a charging pile → C1 → fixture warehouse → C1 → C2.
S200, establishing a second AGV moving path between the complex operation area and the complex operation area, wherein the second AGV moving path is also a simple straight path, and as shown in the figure 4, the second AGV moving paths are C2 → Z1 and C2 → Z2 paths.
Specifically, the traveling of the AGVs in the first AGV movement path and the second AGV movement path is realized through simple movement control, the AGVs acquire moving mileage information and steering angle information through odometers, and the odometer information is derived from the relative pose change recorded by the vehicle body driving wheel photoelectric encoder and the inertia measurement unit. On the basis, the laser radar of the AGV can measure the distance between the AGV and a workshop fixed reference object (such as a laser reflection strip attached to a wall) in real time, so that the real-time position and attitude information of the AGV is calculated, and further the fixed path driving is realized.
And S300, establishing a third AGV movement path in the complex operation area according to an improved genetic algorithm, wherein the third AGV movement path is shown in FIG. 7.
Specifically, the third AGV motion path is calculated by applying an improved genetic algorithm, the improvement of the genetic algorithm includes redesigning a fitness function, and performing population selection by using a simulated annealing population selection method, and specifically includes obtaining an optimal path through judgment steps of a grid map and grid codes (grid maps established by a grid modeling method in a complex operation area and grid codes are obtained), initializing a population, performing population selection by simulated annealing, performing cross operation, performing mutation operation, and performing iteration times, the optimal path calculation flowchart is shown in fig. 6, and the optimal path obtained by applying the improved genetic algorithm is shown in fig. 7.
The above description is only for the purpose of illustrating the preferred embodiments of the present invention and is not to be construed as limiting the invention, and any modifications, equivalents, improvements and the like that fall within the spirit and principle of the present invention are intended to be included therein.
Furthermore, it should be understood that although the present description refers to embodiments, not every embodiment may contain only a single embodiment, and such description is for clarity only, and those skilled in the art should integrate the description, and the embodiments may be combined as appropriate to form other embodiments understood by those skilled in the art.

Claims (7)

1. An environment modeling and AGV path planning method for an irregular layout workshop is characterized by comprising the following steps: establishing an operation environment model and planning an AGV path;
the establishment of the operation environment model comprises the following steps:
s1, establishing an overall structure model of the irregular layout workshop through a topological modeling method, wherein the overall structure model comprises a simple operation area and a complex operation area;
s2, naming each path intersection point and operation point in the simple operation area as a first topological node, and naming the complex operation area as a second topological node;
s3, establishing a description model of the complex operation area through a grid modeling method;
the AGV path planning method comprises the following steps:
s100, establishing a first AGV movement path in the simple operation area;
s200, establishing a second AGV movement path between the complex operation area and the complex operation area;
and S300, establishing a third AGV movement path in the complex operation area according to an improved genetic algorithm, wherein the improved genetic algorithm comprises designing a new fitness function and introducing a simulated annealing population selection method.
2. The environmental modeling and AGV path planning method of claim 1, wherein: the expression of the new fitness function is:
Figure 715725DEST_PATH_IMAGE001
wherein
Figure 24346DEST_PATH_IMAGE002
in order to be a traditional fitness function expression,
Figure 708269DEST_PATH_IMAGE003
to increase the fitness function expression for smoothness,
Figure 266289DEST_PATH_IMAGE004
the number of grids that the AGV passes through, D the path length that the AGV passes through,
Figure 567127DEST_PATH_IMAGE005
is the difference in distance between three adjacent grids.
3. The environmental modeling and AGV path planning method of claim 2, wherein: the above-mentioned
Figure 526993DEST_PATH_IMAGE006
The expression of (a) is:
Figure 381817DEST_PATH_IMAGE007
wherein,
Figure 692712DEST_PATH_IMAGE008
is a grid
Figure 556763DEST_PATH_IMAGE009
And a grid
Figure 308818DEST_PATH_IMAGE010
The expression is:
Figure 662439DEST_PATH_IMAGE011
Figure 382002DEST_PATH_IMAGE012
is a grid
Figure 846482DEST_PATH_IMAGE013
And a grid
Figure 453044DEST_PATH_IMAGE009
The expression is:
Figure 977566DEST_PATH_IMAGE014
Figure 935158DEST_PATH_IMAGE015
is a grid
Figure 141011DEST_PATH_IMAGE013
And a grid
Figure 929975DEST_PATH_IMAGE010
The expression is:
Figure 812350DEST_PATH_IMAGE016
4. the environmental modeling and AGV path planning method according to any one of claims 1 to 3, wherein: the improved genetic algorithm further comprises coding, initial population setting, genetic operation and control parameter setting.
5. The environmental modeling and AGV path planning method of claim 4, wherein: the simulated annealing population selection method introduces a simulated annealing population selection method based on the solid annealing principle.
6. The environmental modeling and AGV path planning method according to any one of claims 1 to 3 and 5, wherein: the grid modeling method comprises the following steps:
carrying out grid decomposition on the complex operation area to form a grid map;
marking the barrier area and the barrier-free area of the grid map;
setting the grid attribute value of the obstacle area to be 1, and forming a non-passing area; and setting the grid attribute value of the barrier-free area to be 0 to form a passing area.
7. The environmental modeling and AGV path planning method of claim 6, wherein: an expansion region is provided between the obstacle region and the obstacle-free region, a grid attribute value of the expansion region is set to 1, and the expansion region and the obstacle region are combined to form a non-passing region.
CN202011573270.3A2020-12-282020-12-28Environment modeling and AGV path planning method for irregular layout workshopPendingCN112286211A (en)

Priority Applications (1)

Application NumberPriority DateFiling DateTitle
CN202011573270.3ACN112286211A (en)2020-12-282020-12-28Environment modeling and AGV path planning method for irregular layout workshop

Applications Claiming Priority (1)

Application NumberPriority DateFiling DateTitle
CN202011573270.3ACN112286211A (en)2020-12-282020-12-28Environment modeling and AGV path planning method for irregular layout workshop

Publications (1)

Publication NumberPublication Date
CN112286211Atrue CN112286211A (en)2021-01-29

Family

ID=74426461

Family Applications (1)

Application NumberTitlePriority DateFiling Date
CN202011573270.3APendingCN112286211A (en)2020-12-282020-12-28Environment modeling and AGV path planning method for irregular layout workshop

Country Status (1)

CountryLink
CN (1)CN112286211A (en)

Cited By (5)

* Cited by examiner, † Cited by third party
Publication numberPriority datePublication dateAssigneeTitle
CN115439031A (en)*2022-11-092022-12-06北京德汇伟业技术服务有限公司Intelligent monitoring management method and system for manufacturing of power equipment
CN116311038A (en)*2023-02-172023-06-23中山铭霖科技有限公司 A smart workshop management method and system based on the Internet of Things
CN117170386A (en)*2023-10-112023-12-05苏州欣和智达能源科技有限公司 An operation control method and system for unmanned trucks
CN119085650A (en)*2024-08-292024-12-06广东工业大学 Intelligent transport vehicle path search optimization method, device, equipment and medium
CN119085650B (en)*2024-08-292025-10-10广东工业大学 Intelligent transport vehicle path search optimization method, device, equipment and medium

Citations (10)

* Cited by examiner, † Cited by third party
Publication numberPriority datePublication dateAssigneeTitle
CN105387875A (en)*2015-12-242016-03-09安徽工程大学Improvement on mobile robot path planning method based on ant colony algorithm
CN106681334A (en)*2017-03-132017-05-17东莞市迪文数字技术有限公司 Scheduling control method of automatic transport trolley based on genetic algorithm
US9751210B2 (en)*2014-11-262017-09-05Irobot CorporationSystems and methods for performing occlusion detection
CN107490959A (en)*2017-08-112017-12-19潘金文A kind of efficient robotic path planning system
CN109151332A (en)*2018-06-262019-01-04杭州电子科技大学Camera coding based on fitness function exposes optimal code word sequence search method
CN109241633A (en)*2018-09-122019-01-18西安交通大学Fluid machinery parallel simulation program process mapping method based on genetic algorithm
CN110702133A (en)*2019-09-292020-01-17安克创新科技股份有限公司Path planning method, robot and device with storage function
CN111780759A (en)*2020-05-282020-10-16南京邮电大学 A Path Planning Method for Mobile Robots Based on Improved Genetic Algorithm
CN111836199A (en)*2020-06-012020-10-27同济大学 A dynamic obstacle avoidance path finding method for indoor navigation
CN112091950A (en)*2020-08-212020-12-18华南理工大学 Robot kinematic parameter identification method based on hybrid genetic simulated annealing algorithm

Patent Citations (10)

* Cited by examiner, † Cited by third party
Publication numberPriority datePublication dateAssigneeTitle
US9751210B2 (en)*2014-11-262017-09-05Irobot CorporationSystems and methods for performing occlusion detection
CN105387875A (en)*2015-12-242016-03-09安徽工程大学Improvement on mobile robot path planning method based on ant colony algorithm
CN106681334A (en)*2017-03-132017-05-17东莞市迪文数字技术有限公司 Scheduling control method of automatic transport trolley based on genetic algorithm
CN107490959A (en)*2017-08-112017-12-19潘金文A kind of efficient robotic path planning system
CN109151332A (en)*2018-06-262019-01-04杭州电子科技大学Camera coding based on fitness function exposes optimal code word sequence search method
CN109241633A (en)*2018-09-122019-01-18西安交通大学Fluid machinery parallel simulation program process mapping method based on genetic algorithm
CN110702133A (en)*2019-09-292020-01-17安克创新科技股份有限公司Path planning method, robot and device with storage function
CN111780759A (en)*2020-05-282020-10-16南京邮电大学 A Path Planning Method for Mobile Robots Based on Improved Genetic Algorithm
CN111836199A (en)*2020-06-012020-10-27同济大学 A dynamic obstacle avoidance path finding method for indoor navigation
CN112091950A (en)*2020-08-212020-12-18华南理工大学 Robot kinematic parameter identification method based on hybrid genetic simulated annealing algorithm

Non-Patent Citations (3)

* Cited by examiner, † Cited by third party
Title
宋启松 等: "基于改进遗传算法的自动导引小车路径规划", 《组合机床与自动化加工技术》*
徐力 等: "自适应遗传算法在机器人路径规划的应用", 《计算机工程与应用》*
江涛 等: "改进遗传算法与领航跟随法的机器人编队方法", 《计算机工程与应用》*

Cited By (5)

* Cited by examiner, † Cited by third party
Publication numberPriority datePublication dateAssigneeTitle
CN115439031A (en)*2022-11-092022-12-06北京德汇伟业技术服务有限公司Intelligent monitoring management method and system for manufacturing of power equipment
CN116311038A (en)*2023-02-172023-06-23中山铭霖科技有限公司 A smart workshop management method and system based on the Internet of Things
CN117170386A (en)*2023-10-112023-12-05苏州欣和智达能源科技有限公司 An operation control method and system for unmanned trucks
CN119085650A (en)*2024-08-292024-12-06广东工业大学 Intelligent transport vehicle path search optimization method, device, equipment and medium
CN119085650B (en)*2024-08-292025-10-10广东工业大学 Intelligent transport vehicle path search optimization method, device, equipment and medium

Similar Documents

PublicationPublication DateTitle
CN114237256B (en)Three-dimensional path planning and navigation method suitable for under-actuated robot
Zhang et al.Hybrid trajectory planning for autonomous driving in highly constrained environments
EP3623759B1 (en)A computer-implemented method and a system for defining a path for a vehicle within an environment with obstacles
CN113031583B (en)Obstacle avoidance method for structured road
Nikolos et al.Evolutionary algorithm based offline/online path planner for UAV navigation
Artunedo et al.Motion planning approach considering localization uncertainty
CN112284393A (en) A global path planning method and system for an intelligent mobile robot
CN112539750B (en)Intelligent transportation vehicle path planning method
CN112286211A (en)Environment modeling and AGV path planning method for irregular layout workshop
CN114355923B (en) An MPC-based trajectory planning and tracking method guided by A*
CN108829105A (en)It is a kind of to dispatch avoidance optimization method based on the warehouse logistics of KM algorithm and Artificial Potential Field Method
CN117192569B (en) A navigation control method for lane inspection robots
CN117451068A (en) A hybrid path planning method based on improved A* algorithm and dynamic window method
CN112577506A (en)Automatic driving local path planning method and system
Mouhagir et al.A markov decision process-based approach for trajectory planning with clothoid tentacles
Abu-Jassar et al.Building a Route for a Mobile Robot Based on the BRRT and A*(H-BRRT) Algorithms for the Effective Development of Technological Innovations
CN116804766A (en)AGV multi-neighborhood path planning optimization method based on laser SLAM
CN117109620A (en)Automatic driving path planning method based on interaction of vehicle behaviors and environment
CN117740018A (en) Path planning method suitable for mining electric shovel walking
Ouach et al.Prm path smoothening by circular arc fillet method for mobile robot navigation
Lee et al.Development of an Adaptive AHP Path Planning Method Considering the Mobile Robot Driving Environment
Smit et al.Informed sampling-based trajectory planner for automated driving in dynamic urban environments
Huang et al.Gameformer planner: A learning-enabled interactive prediction and planning framework for autonomous vehicles
Bai et al.IMTP: Intention-Matching Trajectory Prediction for Autonomous Vehicles
CN120088419B (en) Autonomous navigation method, system and storage medium for mobile robots without maps

Legal Events

DateCodeTitleDescription
PB01Publication
PB01Publication
SE01Entry into force of request for substantive examination
SE01Entry into force of request for substantive examination
RJ01Rejection of invention patent application after publication
RJ01Rejection of invention patent application after publication

Application publication date:20210129


[8]ページ先頭

©2009-2025 Movatter.jp