Movatterモバイル変換


[0]ホーム

URL:


CN112285694B - Maneuvering target secondary radar track detection method - Google Patents

Maneuvering target secondary radar track detection method
Download PDF

Info

Publication number
CN112285694B
CN112285694BCN202011107573.6ACN202011107573ACN112285694BCN 112285694 BCN112285694 BCN 112285694BCN 202011107573 ACN202011107573 ACN 202011107573ACN 112285694 BCN112285694 BCN 112285694B
Authority
CN
China
Prior art keywords
current
target
current target
polar coordinate
track
Prior art date
Legal status (The legal status is an assumption and is not a legal conclusion. Google has not performed a legal analysis and makes no representation as to the accuracy of the status listed.)
Active
Application number
CN202011107573.6A
Other languages
Chinese (zh)
Other versions
CN112285694A (en
Inventor
任周唱
何敏
杨彬
冯真蓝
Current Assignee (The listed assignees may be inaccurate. Google has not performed a legal analysis and makes no representation or warranty as to the accuracy of the list.)
Sichuan Jiuzhou Electric Group Co Ltd
Original Assignee
Sichuan Jiuzhou Electric Group Co Ltd
Priority date (The priority date is an assumption and is not a legal conclusion. Google has not performed a legal analysis and makes no representation as to the accuracy of the date listed.)
Filing date
Publication date
Application filed by Sichuan Jiuzhou Electric Group Co LtdfiledCriticalSichuan Jiuzhou Electric Group Co Ltd
Priority to CN202011107573.6ApriorityCriticalpatent/CN112285694B/en
Publication of CN112285694ApublicationCriticalpatent/CN112285694A/en
Application grantedgrantedCritical
Publication of CN112285694BpublicationCriticalpatent/CN112285694B/en
Activelegal-statusCriticalCurrent
Anticipated expirationlegal-statusCritical

Links

Images

Classifications

Landscapes

Abstract

The invention discloses a maneuvering target secondary radar track detection method, which comprises the following steps: s1: decoding the response signal detected at the current moment to obtain current trace information, wherein the current trace information comprises a secondary code and a polar coordinate measured value of a current target; s2: searching whether the current target has historical track point information in the historical track, and if so, performing step S3; s3: generating a polar coordinate predicted value of a current target at the current moment by using a plurality of historical trace information before the current trace information; s4: calculating the flight state variation of the current target in unit time; s5: and setting a first weight and a second weight according to the flight state variation, and calculating the polar coordinate estimation value of the current target at the current moment according to the first weight, the second weight, the polar coordinate measurement value of the current target at the current moment and the polar coordinate prediction value of the current target at the current moment. The invention can ensure the flight path detection quality and realize the continuous batching of the flight path when the target maneuvers.

Description

Maneuvering target secondary radar track detection method
Technical Field
The invention relates to the technical field of radars, in particular to a maneuvering target secondary radar track detection method.
Background
The fundamental purpose of air traffic control is to enable safe, efficient and planned flight of an aircraft on an airline in an airspace, where controllers need real-time monitoring of the aircraft dynamics within the controlled airspace. Secondary Surveillance Radar (SSR) is the most important Surveillance means in the world at present, and is the application of military Identification of enemy and self (IFF) Radar technology in the field of air traffic control, and the SSR usually comprises an interrogator and a transponder, wherein the interrogator is usually arranged at a ground Secondary Radar station, the transponder is arranged at a civil aircraft, and in the peace period, in order to effectively realize air traffic control, part of military aircraft are provided with Secondary Radar onboard transponders. When the secondary radar system works, the ground interrogator firstly transmits an interrogation signal conforming to a coding format through the antenna, after receiving the interrogation signal, an aircraft equipped with a secondary radar responder radiates a response signal carrying self secondary code information or altitude information, the ground interrogator decodes the received response signal and outputs trace point information comprising the radial distance and the azimuth angle of a target, wherein the radial distance of the target is acquired through interrogation-response time delay, and the azimuth angle of the target is calculated by utilizing the beam characteristics of a receiving antenna. And finally displaying the flight path of the target by processing the path data of the point path information of the target, and displaying the flight path on a display control interface.
The track data processing refers to the processing of interconnection, tracking, filtering, smoothing, prediction and the like which are carried out after the secondary radar interrogator obtains the measurement data of the radial distance, the azimuth angle and the like of the target, and the processing can effectively inhibit random errors, particularly azimuth random errors, caused in the single measurement process, so that the position and the motion parameters of the target are accurately estimated, the next position of the target is predicted, and a stable target track is formed. At present, a Kalman filtering method is mainly adopted for secondary radar track processing, and is a track prediction algorithm based on historical data.
Aiming at the detection of targets with slowly changing postures such as civil aircrafts, the conventional track processing algorithm can effectively inhibit random errors caused in the measurement process to achieve the track smoothing effect, but aiming at military targets with secondary radar transponders, particularly fighters, the postures of the military targets can have instantaneous great changes due to task requirements, such as large maneuvering conditions such as sharp turning, and when the targets are subjected to secondary radar detection, the algorithm can have the condition that the output track deviates from the real course of the target and even is in batch.
As shown in fig. 1, it is a result of track detection of a maneuvering target by a current track processing algorithm. In the figure, a green line is a real route of a target, a dot point positioned on the route is an original point track detected by a secondary radar, a cross is a predicted point track after route smoothing processing, and as can be seen from the figure, when the target turns, the original point track detected by the secondary radar is positioned on the real route of the target, but after the route smoothing processing, A, B predicted point tracks formed by two circles completely deviate from the real route, and the route is broken.
Disclosure of Invention
The invention aims to provide a maneuvering target secondary radar track detection method, which can guarantee the track detection quality and realize continuous track detection when a target maneuvers.
In order to solve the technical problems, the invention adopts a technical scheme that: the method for detecting the secondary radar track of the maneuvering target comprises the following steps:
s1: decoding the response signal detected at the current moment t to obtain current trace information, wherein the current trace information comprises a secondary code n of a current target and a polar coordinate measured value (d)t (n),φt (n)) in which dt (n) represents the radial distance, φ, of the current target at the current time tt (n) represents an azimuth angle of the current target at the current time t;
s2: searching whether the current target has historical track point information or not in the historical track, and if so, performing step S3;
s3: generating a polar coordinate prediction value (d ') of a current target at a current time t by using a plurality of historical trace point information before the current trace point information't (n),φ′t (n));
S4: calculating the flight of the current target per unit timeAmount of state change
Figure BDA0002727490170000021
S5: according to the flight state variation
Figure BDA0002727490170000025
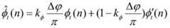
Setting a first weight and a second weight, and measuring the polar coordinate of the current target at the current time t according to the first weight, the second weight and the measured value (d)t (n),φt (n)) and a predicted value of polar coordinates of the current target at the current time t (d't (n),φ′t (n)) calculating the polar coordinate estimation value of the current target at the current time t
Figure BDA0002727490170000022
Preferably, in step S5, the estimated polar coordinate value of the current target at the current time t
Figure BDA0002727490170000023
The calculation formula of (a) is as follows:
Figure BDA0002727490170000024
Figure BDA0002727490170000031
wherein,
Figure BDA0002727490170000032
is a first weight of the weight set to be a first weight,
Figure BDA0002727490170000033
is a second weight, kd And kφ To adjust the coefficients.
Preferably, after step S2 and before step S3, the method further includes:
s6: performing track correlation operation on the current point track information and the searched historical point track information, judging whether the current target is a false target according to an operation result, if so, performing step S7, and if not, performing step S3;
s7: and rejecting the current trace information.
Preferably, the step of searching whether the current target has the historical track information in the historical track specifically includes:
and comparing the secondary code n of the current target with the secondary codes in the historical track, if the same secondary codes exist, judging that the historical track pointing information exists, and if the same secondary codes do not exist, judging that the historical track pointing information does not exist.
Preferably, the step S2 further includes: if no history trace point information exists, go to step S8;
s8: and recording the current trace information as historical trace information.
Preferably, the flight state variation amount
Figure BDA0002727490170000034
Is the course variation.
Preferably, the heading change is expressed in radians.
Preferably, the heading change is expressed in an angle.
Preferably, the step S4 specifically includes: calculating the course of the current target at the current moment t by using the polar coordinate estimation value of the current target at the previous moment t-1 and the polar coordinate measurement value of the current target at the current moment t, calculating the course of the current target at the previous moment t-1 by using the polar coordinate estimation values of the current target at the previous two moments t-2 and t-1, and subtracting the course of the current target at the previous moment t-1 from the course of the current target at the current moment t to obtain the course variation of the current target in unit time.
Preferably, the unit time is a minimum time interval between two detections of the antenna in the same direction.
Different from the prior art, the invention has the beneficial effects that: when the maneuvering target is detected, target track breaking can not occur, and the requirements on the detection track quality of low maneuvering targets such as civil aircrafts and the like can be met.
Drawings
FIG. 1 is a current track processing algorithm for track detection of maneuvering targets;
FIG. 2 is a flow chart of a maneuvering target secondary radar track detection method according to an embodiment of the invention.
Detailed Description
The technical solutions in the embodiments of the present invention will be clearly and completely described below with reference to the drawings in the embodiments of the present invention, and it is obvious that the described embodiments are only a part of the embodiments of the present invention, and not all of the embodiments. All other embodiments, which can be obtained by a person skilled in the art without making any creative effort based on the embodiments in the present invention, belong to the protection scope of the present invention.
Referring to fig. 2, the invention provides a method for detecting a secondary radar track of a maneuvering target, which comprises the following steps:
s1: decoding the response signal detected at the current moment t to obtain current trace information, wherein the current trace information comprises a secondary code n of a current target and a polar coordinate measured value (d)t (n),φt (n)), wherein dt (n) represents the radial distance, φ, of the current target at the current time tt And (n) represents the azimuth angle of the current target at the current time t.
Wherein, after receiving the inquiry signal, the current target sends a response signal according to a preset code, and the secondary code n and the polar coordinate measured value (d) of the current target can be obtained by decoding the response signalt (n),φt (n))。
S2: and searching whether the current target has historical track point information or not in the historical track, and if so, performing step S3.
If the historical track has the historical track point information with the secondary code of n, the current target is considered to have the historical track point information.
S3: obtaining a polar coordinate predicted value (d ') of a current target at the current time t by using a plurality of historical trace point information before the current trace point information't (n),φ′t (n))。
The plurality of historical track pointing information before the current track pointing information is known, so that the polar coordinate predicted value of the current target at the current time t can be obtained by processing the current track processing algorithm or other algorithms.
S4: calculating the flight state variation of the current target in unit time
Figure BDA0002727490170000041
In the present embodiment, the flight state variation amount
Figure BDA0002727490170000042
The heading change is expressed in an angle or radian, and the embodiment is preferably expressed in radians. In other applications, the amount of flight state change
Figure BDA0002727490170000043
The radial velocity variation may also be. The unit time is the minimum time interval between two detections of the antenna in the same direction, and the antenna is usually a mechanical scanning antenna.
S5: according to the variation of flight state
Figure BDA0002727490170000044
Setting a first weight and a second weight, and measuring the polar coordinate of the current target at the current time t according to the first weight, the second weight and the measured value (d)t (n),φt (n)) and a predicted value of polar coordinates of the current target at the current time t (d't (n),φ′t (n)) calculating the polar coordinate estimation value of the current target at the current time t
Figure BDA0002727490170000051
Figure BDA0002727490170000052
Wherein the amount of change due to flight conditions
Figure BDA0002727490170000053
The first weight and the second weight are changed in real time, so that the polar coordinate estimated value of the current target at the current moment t is calculated
Figure BDA0002727490170000054
It will be closer to the true position.
In this embodiment, the polar coordinate estimation value of the current target at the current time t
Figure BDA0002727490170000055
The calculation formula of (c) is as follows:
Figure BDA0002727490170000056
Figure BDA0002727490170000057
wherein,
Figure BDA0002727490170000058
is a first weight of the first group,
Figure BDA0002727490170000059
is a second weight, kd And kφ To adjust the coefficients. Adjustment coefficient kd And kφ The value is constant and is an empirical value, and the adjustment is carried out according to the actual working condition and the actual using environment of the secondary radar equipment in specific application.
Figure BDA00027274901700000510
And
Figure BDA00027274901700000511
as the weight during the track filtering processing, the size can be automatically adjusted according to the flight state variable quantity, so that the track quality and the maneuvering target detection requirements can be considered at the same time.
In order to avoid the false target affecting the detection accuracy, in this embodiment, after step S2 and before step S3, the method further includes:
s6: and performing track correlation operation on the current track point information and the searched historical track point information, judging whether the current target is a false target or not according to an operation result, if so, performing step S7, and if not, performing step S3.
S7: and eliminating the current trace information.
In this embodiment, the step of searching whether the current target has historical track point information in the historical track specifically includes: and comparing the secondary code n of the current target with the secondary codes in the historical track, if the same secondary codes exist, judging that the historical track pointing information exists, and if the same secondary codes do not exist, judging that the historical track pointing information does not exist.
Further, step S2 further includes: if no history trace point information exists, performing step S8;
s8: and recording the current trace information as historical trace information.
If the historical trace information does not exist, the current target is a newly-appeared target, and after the current trace information is recorded as the historical trace information, the process continues to step S1 at a time subsequent to the current time.
In the present embodiment, the amount of change in flight state
Figure BDA0002727490170000061
When the heading variation is determined, step S4 specifically includes: calculating the course of the current target at the current moment t by using the polar coordinate estimation value of the current target at the previous moment t-1 and the polar coordinate measurement value of the current target at the current moment t, calculating the course of the current target at the previous moment t-1 by using the polar coordinate estimation values of the current target at the previous two moments t-2 and t-1, and subtracting the course of the current target at the previous moment t-1 from the course of the current target at the current moment t to obtain the course variation of the current target in unit time.
Through the mode, the maneuvering target secondary radar track detection method disclosed by the embodiment of the invention calculates the course variation of the target in real time during secondary radar track processing, and adjusts the weight of the polar coordinate measurement value and the polar coordinate estimation value of the target during track fusion according to the variation, so that the approximate real position of the target is obtained.
In the embodiments provided in the present application, it should be understood that the disclosed apparatus and method can be implemented in other ways. The apparatus embodiments described above are merely illustrative and, for example, the flowcharts and block diagrams in the figures illustrate the architecture, functionality, and operation of possible implementations of apparatus, methods and computer program products according to various embodiments of the present application. In this regard, each block in the flowchart or block diagrams may represent a module, segment, or portion of code, which comprises one or more executable instructions for implementing the specified logical function(s). It should also be noted that, in some alternative implementations, the functions noted in the block may occur out of the order noted in the figures. For example, two blocks shown in succession may, in fact, be executed substantially concurrently, or the blocks may sometimes be executed in the reverse order, depending upon the functionality involved. It will also be noted that each block of the block diagrams and/or flowchart illustration, and combinations of blocks in the block diagrams and/or flowchart illustration, can be implemented by special purpose hardware-based systems that perform the specified functions or acts, or combinations of special purpose hardware and computer instructions.
In addition, functional modules in the embodiments of the present application may be integrated together to form an independent part, or each module may exist separately, or two or more modules may be integrated to form an independent part.
The functions, if implemented in the form of software functional modules and sold or used as a stand-alone product, may be stored in a computer readable storage medium. Based on such understanding, the technical solution of the present application or portions thereof that substantially contribute to the prior art may be embodied in the form of a software product stored in a storage medium and including instructions for causing a computer device (which may be a personal computer, a server, or a network device) to execute all or part of the steps of the method according to the embodiments of the present application. And the aforementioned storage medium includes: a U-disk, a removable hard disk, a Read-Only Memory (ROM), a Random Access Memory (RAM), a magnetic disk, or an optical disk, and various media capable of storing program codes.
The above description is only an example of the present application and is not intended to limit the scope of the present application, and various modifications and changes may be made by those skilled in the art. Any modification, equivalent replacement, improvement and the like made within the spirit and principle of the present application shall be included in the protection scope of the present application. It should be noted that: like reference numbers and letters refer to like items in the following figures, and thus, once an item is defined in one figure, it need not be further defined and explained in subsequent figures.
The above description is only for the specific embodiments of the present application, but the scope of the present application is not limited thereto, and any person skilled in the art can easily conceive of the changes or substitutions within the technical scope of the present application, and shall be covered by the scope of the present application. Therefore, the protection scope of the present application shall be subject to the protection scope of the claims.
It is noted that, herein, relational terms such as first and second, and the like may be used solely to distinguish one entity or action from another entity or action without necessarily requiring or implying any actual such relationship or order between such entities or actions. Also, the terms "comprises," "comprising," or any other variation thereof, are intended to cover a non-exclusive inclusion, such that a process, method, article, or apparatus that comprises a list of elements does not include only those elements but may include other elements not expressly listed or inherent to such process, method, article, or apparatus. Without further limitation, an element defined by the phrase "comprising an … …" does not exclude the presence of other identical elements in a process, method, article, or apparatus that comprises the element.

Claims (8)

1. A secondary radar track detection method for a maneuvering target is characterized by comprising the following steps:
s1: decoding the response signal detected at the current moment t to obtain current trace information, wherein the current trace information comprises a secondary code n of a current target and a polar coordinate measured value (d)t (n),φt (n)), wherein dt (n) represents the radial distance, φ, of the current target at the current time tt (n) represents an azimuth of the current target at the current time t;
s2: searching whether historical track point information exists in a current target or not in a historical track, if so, performing track correlation operation on the current track point information and the searched historical track point information, judging whether the current target is a false target or not according to an operation result, if so, performing step S7, and if not, performing step S3;
s3: generating a polar coordinate prediction value (d ') of a current target at a current time t by using a plurality of historical trace point information before the current trace point information't (n),φ′t (n));
S4: calculating the flight state variation of the current target in unit time, wherein the flight state variation is the course variation;
s5: according to the flight state variation
Figure FDA0003706906190000017
Setting a first weight and a second weight, and measuring the polar coordinate of the current target at the current time t according to the first weight, the second weight and the measured value (d)t (n),φt (n)) and a predicted value (d ') of the polar coordinates of the current target at the current time t't (n),φ′t (n)) calculating the polar coordinate estimation value of the current target at the current time t
Figure FDA0003706906190000011
S7: and rejecting the current trace information.
2. The maneuvering target secondary radar track detection method according to claim 1,
in step S5, the polar coordinate estimation value of the current target at the current time t
Figure FDA0003706906190000012
The calculation formula of (a) is as follows:
Figure FDA0003706906190000013
Figure FDA0003706906190000014
wherein,
Figure FDA0003706906190000015
is a first weight of the weight set to be a first weight,
Figure FDA0003706906190000016
is a second weight, kd And kφ To adjust the coefficients.
3. The maneuvering target secondary radar track detection method according to claim 1, characterized in that the step of searching whether the current target has historical track information in the historical track is specifically as follows:
and comparing the secondary code n of the current target with the secondary codes in the historical track, if the same secondary codes exist, judging that the historical track pointing information exists, and if the same secondary codes do not exist, judging that the historical track pointing information does not exist.
4. The maneuvering target secondary radar track detection method according to claim 3, characterized in that the step S2 further comprises: if no history trace point information exists, performing step S8;
s8: and recording the current trace information as historical trace information.
5. The maneuvering target secondary radar track detection method according to claim 1, characterized in that the course change is expressed in radians.
6. The maneuvering target secondary radar track detection method according to claim 1, characterized in that the course change is expressed in degrees.
7. The maneuvering target secondary radar track detection method according to claim 1, characterized in that the step S4 is specifically: calculating the course of the current target at the current moment t by using the polar coordinate estimation value of the current target at the previous moment t-1 and the polar coordinate measurement value of the current target at the current moment t, calculating the course of the current target at the previous moment t-1 by using the polar coordinate estimation values of the current target at the previous two moments t-2 and t-1, and subtracting the course of the current target at the previous moment t-1 from the course of the current target at the current moment t to obtain the course variation of the current target in unit time.
8. The maneuvering target secondary radar track detection method of claim 1 wherein the unit of time is a minimum time interval between two detections of the antenna in the same direction.
CN202011107573.6A2020-10-162020-10-16Maneuvering target secondary radar track detection methodActiveCN112285694B (en)

Priority Applications (1)

Application NumberPriority DateFiling DateTitle
CN202011107573.6ACN112285694B (en)2020-10-162020-10-16Maneuvering target secondary radar track detection method

Applications Claiming Priority (1)

Application NumberPriority DateFiling DateTitle
CN202011107573.6ACN112285694B (en)2020-10-162020-10-16Maneuvering target secondary radar track detection method

Publications (2)

Publication NumberPublication Date
CN112285694A CN112285694A (en)2021-01-29
CN112285694Btrue CN112285694B (en)2022-08-30

Family

ID=74497291

Family Applications (1)

Application NumberTitlePriority DateFiling Date
CN202011107573.6AActiveCN112285694B (en)2020-10-162020-10-16Maneuvering target secondary radar track detection method

Country Status (1)

CountryLink
CN (1)CN112285694B (en)

Families Citing this family (1)

* Cited by examiner, † Cited by third party
Publication numberPriority datePublication dateAssigneeTitle
CN113985362A (en)*2021-10-222022-01-28中汽创智科技有限公司Risk prediction method and device for millimeter wave radar trace

Citations (14)

* Cited by examiner, † Cited by third party
Publication numberPriority datePublication dateAssigneeTitle
JPS60114781A (en)*1983-11-281985-06-21Nec CorpSsr target detecting apparatus
DE3708313A1 (en)*1987-03-141988-09-29Messerschmitt Boelkow BlohmMethod for avoiding break locks (loss of lock-on) in target-tracking radars resulting from decoys
US5319611A (en)*1993-03-311994-06-07National Research Council Of CanadaMethod of determining range data in a time-of-flight ranging system
US6359586B1 (en)*1997-11-032002-03-19Saab AbBias estimating method for a target tracking system
JP2011237339A (en)*2010-05-122011-11-24Mitsubishi Electric CorpPath prediction device
JP2012003720A (en)*2010-06-212012-01-05Nippon Telegr & Teleph Corp <Ntt>State estimation device, state estimation method, and program
CN103412291A (en)*2013-08-162013-11-27四川九洲空管科技有限责任公司Secondary-radar-based achieving method of target multipath effect suppression technology
CN104730510A (en)*2015-04-082015-06-24四川九洲空管科技有限责任公司Multi-radar track fusion method
CN105807280A (en)*2016-04-262016-07-27南京鹏力系统工程研究所Echo fused target track association method based on track state estimation
CN105842686A (en)*2016-03-212016-08-10西安电子科技大学Fast TBD detection method based on particle smoothness
CN107422319A (en)*2017-09-132017-12-01武汉雷可达科技有限公司Path tracking device and radar
CN110412501A (en)*2019-08-142019-11-05西安电子科技大学 Radar signal direction finding method, device and computer storage medium based on improved polar coordinate representation method model
CN110455292A (en)*2019-08-162019-11-15四川九洲电器集团有限责任公司Flight path determines method, equipment, flight path deduction system and storage medium
CN111289965A (en)*2019-12-042020-06-16南京长峰航天电子科技有限公司Multi-target radar rapid tracking method and system

Family Cites Families (4)

* Cited by examiner, † Cited by third party
Publication numberPriority datePublication dateAssigneeTitle
US5999117A (en)*1998-06-161999-12-07Northrop Grumman CorporationMethod for tracking and detecting turns of maneuvering targets
CN109100714B (en)*2018-06-282020-11-10中国船舶重工集团公司第七0七研究所Low-slow small target tracking method based on polar coordinate system
US10948583B2 (en)*2018-10-232021-03-16Valeo Radar Systems, Inc.Radar track initialization
CN111652151B (en)*2020-06-042023-12-19北京环境特性研究所Infrared dim target tracking method

Patent Citations (14)

* Cited by examiner, † Cited by third party
Publication numberPriority datePublication dateAssigneeTitle
JPS60114781A (en)*1983-11-281985-06-21Nec CorpSsr target detecting apparatus
DE3708313A1 (en)*1987-03-141988-09-29Messerschmitt Boelkow BlohmMethod for avoiding break locks (loss of lock-on) in target-tracking radars resulting from decoys
US5319611A (en)*1993-03-311994-06-07National Research Council Of CanadaMethod of determining range data in a time-of-flight ranging system
US6359586B1 (en)*1997-11-032002-03-19Saab AbBias estimating method for a target tracking system
JP2011237339A (en)*2010-05-122011-11-24Mitsubishi Electric CorpPath prediction device
JP2012003720A (en)*2010-06-212012-01-05Nippon Telegr & Teleph Corp <Ntt>State estimation device, state estimation method, and program
CN103412291A (en)*2013-08-162013-11-27四川九洲空管科技有限责任公司Secondary-radar-based achieving method of target multipath effect suppression technology
CN104730510A (en)*2015-04-082015-06-24四川九洲空管科技有限责任公司Multi-radar track fusion method
CN105842686A (en)*2016-03-212016-08-10西安电子科技大学Fast TBD detection method based on particle smoothness
CN105807280A (en)*2016-04-262016-07-27南京鹏力系统工程研究所Echo fused target track association method based on track state estimation
CN107422319A (en)*2017-09-132017-12-01武汉雷可达科技有限公司Path tracking device and radar
CN110412501A (en)*2019-08-142019-11-05西安电子科技大学 Radar signal direction finding method, device and computer storage medium based on improved polar coordinate representation method model
CN110455292A (en)*2019-08-162019-11-15四川九洲电器集团有限责任公司Flight path determines method, equipment, flight path deduction system and storage medium
CN111289965A (en)*2019-12-042020-06-16南京长峰航天电子科技有限公司Multi-target radar rapid tracking method and system

Non-Patent Citations (3)

* Cited by examiner, † Cited by third party
Title
Data mining-based model for motion target trajectory prediction;Liu, LZ等;《JOURNAL OF INTELLIGENT & FUZZY SYSTEMS》;20191231;全文*
The Influence of a SAR Sensor Trajectory Deviation on the Pip Azimuth Position in Echo Signals Simulation Based on Prearranged Samples;Belorutsky, RY等;《2014 15TH INTERNATIONAL CONFERENCE OF YOUNG SPECIALISTS ON MICRO/NANOTECHNOLOGIES AND ELECTRON DEVICES (EDM)》;20141231;全文*
面向目标识别的机载多传感器数据融合技术研究;李捷;《中国优秀博硕士学位论文全文数据库(博士)信息科技辑》;20181015;全文*

Also Published As

Publication numberPublication date
CN112285694A (en)2021-01-29

Similar Documents

PublicationPublication DateTitle
Owen et al.ACAS Xu: Integrated collision avoidance and detect and avoid capability for UAS
CN109147398B (en)Target monitoring and tracking performance optimization method for airborne collision avoidance system
US7864096B2 (en)Systems and methods for multi-sensor collision avoidance
US12061485B2 (en)Method and apparatus for ensuring aviation safety in the presence of ownship aircraft
US20130229298A1 (en)Threaded Track Method, System, and Computer Program Product
CN105931497A (en)General aviation air collision detection method, device and general aircraft
CN105445733B (en) A Method of Fusion Processing SSR Air Traffic Control and IFF Multi-mode Cooperative Track
EP3975157B1 (en)Method to navigate an unmanned aerial vehicle to avoid collisions
JP2021536394A (en) Avoiding aircraft and aircraft tracks in flight
CN112285694B (en)Maneuvering target secondary radar track detection method
Chen et al.Multi-sensor data integration for autonomous sense and avoid
Vitiello et al.Detection and tracking of non-cooperative flying obstacles using low SWaP radar and optical sensors: an experimental analysis
He et al.Comparison of collision avoidance logic between ACAS X and TCAS II in general aviation flight
Dolph et al.Aircraft classification using radar from small unmanned aerial systems for scalable traffic management emergency response operations
Boskovic et al.Sensor and tracker requirements development for sense and avoid systems for unmanned aerial vehicles
Vitiello et al.Ground-to-air experimental assessment of low SWaP radar-optical fusion strategies for low altitude Sense and Avoid
Okay et al.Real-time aircraft tracking system: A survey and a deep learning based model
AU2019236606B2 (en)Pseudo-range estimation from a passive sensor
Sun et al.Ship target tracking for marine radar in occluded environments
DegenReactive image-based collision avoidance system for unmanned aircraft systems
CN113866757A (en)Unmanned aerial vehicle-based detection information fusion method, device, medium and product
JP3199623B2 (en) Target tracking method and radar apparatus using the method
US8462042B2 (en)Generating a kinematic indicator for combat identification classification
CN102707278B (en)Multi-target tracking method for singular value decomposition
RU2815305C1 (en)Method and device for supporting maneuvering targets in survey doppler radar

Legal Events

DateCodeTitleDescription
PB01Publication
PB01Publication
SE01Entry into force of request for substantive examination
SE01Entry into force of request for substantive examination
GR01Patent grant
GR01Patent grant

[8]ページ先頭

©2009-2025 Movatter.jp