Movatterモバイル変換


[0]ホーム

URL:


CN112266876A - Intelligent separation system for separating flora in excrement - Google Patents

Intelligent separation system for separating flora in excrement
Download PDF

Info

Publication number
CN112266876A
CN112266876ACN202011205572.5ACN202011205572ACN112266876ACN 112266876 ACN112266876 ACN 112266876ACN 202011205572 ACN202011205572 ACN 202011205572ACN 112266876 ACN112266876 ACN 112266876A
Authority
CN
China
Prior art keywords
sample
excrement
colony
module
solution
Prior art date
Legal status (The legal status is an assumption and is not a legal conclusion. Google has not performed a legal analysis and makes no representation as to the accuracy of the status listed.)
Pending
Application number
CN202011205572.5A
Other languages
Chinese (zh)
Inventor
李降龙
吴卫国
张克成
李娟�
马小强
邓剑南
王子奕
Current Assignee (The listed assignees may be inaccurate. Google has not performed a legal analysis and makes no representation or warranty as to the accuracy of the list.)
Hunan Hailu Biotechnology Co ltd
Original Assignee
Hunan Hailu Biotechnology Co ltd
Priority date (The priority date is an assumption and is not a legal conclusion. Google has not performed a legal analysis and makes no representation as to the accuracy of the date listed.)
Filing date
Publication date
Application filed by Hunan Hailu Biotechnology Co ltdfiledCriticalHunan Hailu Biotechnology Co ltd
Priority to CN202011205572.5ApriorityCriticalpatent/CN112266876A/en
Publication of CN112266876ApublicationCriticalpatent/CN112266876A/en
Pendinglegal-statusCriticalCurrent

Links

Images

Classifications

Landscapes

Abstract

The invention provides an intelligent separation system for separating flora in excrement, which respectively performs the operations of collection, pretreatment, flora extraction, flora culture and flora separation and detection on an excrement sample through a sample collection module, a sample pretreatment module, a sample bacteria liquid extraction module, a flora culture module and a flora separation and detection module, and can continuously and automatically process the excrement sample from the generation and formation stage of the excrement sample so as to extract and culture equivalent flora from the excrement sample, and detect the flora to ensure the quality of the flora, thereby effectively improving the purity and efficiency of the flora separated from the excrement sample.

Description

Intelligent separation system for separating flora in excrement
Technical Field
The invention relates to the technical field of microbial separation, in particular to an intelligent separation system for separating flora in excrement.
Background
At present, a considerable part of the intestinal disorders are caused by a disturbance of the intestinal flora, and for this type of intestinal disorders, intestinal flora solutions or antibiotics are usually used for the treatment. Although the treatment with antibiotics can achieve better curative effect, the antibiotics are not suitable for all intestinal diseases, and other side effects can be caused by the treatment with the antibiotics, and the treatment with the intestinal flora liquid is not only suitable for most intestinal diseases, but also has less side effects and good treatment effect. The existing intestinal flora liquid is basically obtained by separating and extracting from human excrement, and in order to improve the curative effect of the intestinal flora liquid to the maximum extent, the purity of the intestinal flora liquid separated from the human excrement needs to be improved. It can be seen that there is a need in the art for a system that improves the purity and efficiency of the separation of flora from faeces.
Disclosure of Invention
Aiming at the defects in the prior art, the invention provides an intelligent separation system for separating flora in excrement, which comprises a sample collection module, a sample pretreatment module, a sample bacterium liquid extraction module, a colony culture module and a colony separation and detection module; wherein, the sample collecting module is used for collecting the stool sample; the sample pretreatment module is used for carrying out drying treatment, dilution treatment, stirring treatment and standing deodorization treatment on the excrement sample so as to obtain excrement pretreatment solution; the sample bacterial liquid extraction module is used for carrying out filtration treatment and negative pressure osmosis treatment on the excrement pretreatment solution so as to obtain sample bacterial liquid; the colony culture module is used for mixing the sample bacterial liquid with a preset protein nutrient solution under the conditions of preset temperature, humidity and oxygen concentration to obtain a mixed culture solution, so that corresponding colonies are obtained through culture; the colony separating and detecting module is used for separating and processing the colony from the mixed culture solution and detecting the type and/or the number of the colony; it is thus clear that this an intelligent piece-rate system for separating bacterial colony in excrement and urine passes through the sample collection module, sample preliminary treatment module, sample fungus liquid extract module, bacterial colony culture module and bacterial colony separation and detection module to collect respectively the excrement and urine sample, the operation of preliminary treatment, bacterial colony extraction, bacterial colony culture and bacterial colony separation and detection, and it can form the stage from excrement and urine sample's production, carries out serialization and automated processing to this excrement and urine sample to this bacterial colony of extracting and cultivateing equivalent bacterial colony from excrement and urine sample, and should detect this bacterial colony in order to guarantee the quality of bacterial colony, thereby improve effectively and obtain the purity and the efficiency of bacterial colony from excrement and urine sample separation.
The invention provides an intelligent separation system for separating flora in excrement, which is characterized by comprising a sample collection module, a sample pretreatment module, a sample bacterium liquid extraction module, a colony culture module and a colony separation and detection module; wherein,
the sample collection module is used for collecting a stool sample;
the sample pretreatment module is used for carrying out drying treatment, dilution treatment, stirring treatment and standing deodorization treatment on the excrement sample so as to obtain excrement pretreatment solution;
the sample bacterial liquid extraction module is used for filtering and performing negative pressure osmosis treatment on the excrement pretreatment solution so as to obtain sample bacterial liquid;
the colony culture module is used for mixing the sample bacterial liquid with a preset protein nutrient solution under the conditions of preset temperature, humidity and oxygen concentration to obtain a mixed culture solution, so that corresponding colonies are obtained through culture;
the colony separating and detecting module is used for separating and processing the colonies from the mixed culture solution and detecting the types and/or the numbers of the colonies;
further, the collecting of the stool sample by the sample collection module specifically comprises:
the sample collection module detects the weight of the fecal sample, forms a negative pressure environment with corresponding pressure difference according to the weight of the fecal sample, and adsorbs and collects the fecal sample into a storage box through the negative pressure environment, and the specific collection process comprises the following steps:
step S1, constructing a relation among a pressure value of the air pressure inside the storage tank, an amount of the total substance of the air inside the storage tank, and an extraction speed at which the stool sample is adsorbed inside the storage tank according to the following formula (1):
Figure BDA0002756944440000031
in the above formula (1), p (t) represents a value of pressure inside the tank at time t, n represents an amount of total substance of gas inside the tank, R represents a normal gas constant and has a value of 8.31441J/(mol · K), V represents an internal volume of the tank, R represents a radius of an adsorption tube that adsorbs the stool sample to the inside of the tank, and V (t) represents an extraction rate at time t at which the stool sample is adsorbed to the inside of the tank;
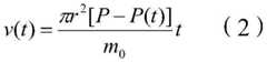
step S2, constructing a relational expression of the pressure value of the air pressure inside the storage tank, the extraction speed of the stool sample adsorbed into the storage tank, and the time t according to the following formula (2):
Figure BDA0002756944440000032
in the above formula (2), P (t) represents the pressure inside the storage tank at time t, v (t) represents the suction speed at which the stool sample is sucked into the storage tank at time t, pi represents the circumferential rate, r represents the radius of the suction pipe sucking the stool sample into the storage tank, P represents the atmospheric pressure of the current atmosphere of the storage tank and is 101.325kPa, m0Represents the total mass of the stool sample when the interior of the adsorption tube is filled with the stool sample;
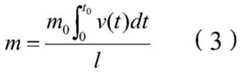
step S3, in which the above equations (1) and (2) are combined, obtains an expression of an extraction speed v (t) of the stool sample adsorbed into the storage box at time t, i.e., v (t) f (n), and determines a relational expression between the weight of the stool sample extracted into the storage box and the extraction speed of the stool sample adsorbed into the storage box according to the following equation (3):
Figure BDA0002756944440000033
in the above formula (3), m represents the weight of the stool sample drawn inside the storage tank, l represents the total length of the adsorption tube, and t0Representing the total draw time for the fecal sample to be adsorbed inside the storage bin;
step S4, performing simultaneous calculation on the above formula v (t) ═ f (n) and the above formula (3), so as to obtain a relational expression between the weight of the stool sample extracted from the interior of the storage box and the air pressure value in the interior of the storage box, forming a negative pressure environment with a corresponding pressure difference in the interior of the storage box according to the relational expression between the weight of the stool sample extracted from the interior of the storage box and the air pressure value in the interior of the storage box, and adsorbing and collecting the stool sample into the storage box through the negative pressure environment;
further, the sample pretreatment module performs drying treatment, dilution treatment, stirring treatment and standing deodorization treatment on the fecal sample, so that the fecal pretreatment solution specifically comprises:
drying the fecal sample so as to remove the moisture of the fecal sample;
mixing a preset diluted solution with the dried fecal sample to obtain a diluted fecal sample;
stirring the diluted excrement sample for a preset time and at a preset stirring speed, so that the preset diluted solution is fully mixed with the excrement sample;
precipitating and standing the stirred diluted excrement sample, and simultaneously performing vacuum adsorption on the diluted excrement sample so as to remove odor components generated by the diluted excrement sample;
further, drying the fecal sample, thereby removing moisture from the fecal sample specifically comprises:
drying the excrement sample within a preset temperature range or performing microwave irradiation treatment within a preset irradiation intensity range on the excrement sample plate so as to remove the moisture of the excrement sample;
or,
mixing a preset dilution solution with the dried fecal sample to obtain a diluted fecal sample specifically comprising:
according to the weight of the dried fecal sample, determining deionized water or normal saline with corresponding weight as the preset diluted solution, and mixing the deionized water or normal saline with the dried fecal sample to obtain a diluted fecal sample;
or,
the diluted excrement sample after stirring is precipitated and stood, and is simultaneously subjected to vacuum adsorption, so that the odor components generated by the excrement sample are removed, and the method specifically comprises the following steps:
placing the stirred diluted excrement sample in an inert gas environment for precipitation and standing, and simultaneously carrying out vacuum adsorption on the sample so as to remove odor components generated by the sample;
further, the sample bacteria liquid extraction module is used for filtering and negative pressure osmosis treatment on the excrement pretreatment solution, so that the obtained sample bacteria liquid specifically comprises:
sequentially carrying out primary filtration treatment and secondary filtration treatment on the excrement pretreatment solution so as to remove insoluble impurities in the excrement pretreatment solution, wherein the filtration fineness of the primary filtration treatment is smaller than that of the secondary filtration treatment;
pressurizing the filtered excrement pretreatment solution so that the excrement pretreatment solution passes through a preset negative pressure permeable membrane to obtain a sample bacterial liquid;
further, pressurizing the filtered fecal pretreatment solution to enable the fecal pretreatment solution to penetrate through a preset negative pressure permeable membrane, so as to obtain the sample bacteria liquid specifically comprises:
placing the filtered excrement pretreatment solution in a pressure pump, conveying the excrement pretreatment solution to a preset negative pressure permeable membrane through the pressure pump so that the excrement pretreatment solution passes through the preset negative pressure permeable membrane at a constant flow rate, and taking the liquid obtained after passing through the preset negative pressure permeable membrane as the sample bacterial liquid;
further, the colony culture module is under temperature, humidity and oxygen concentration condition of predetermineeing, will sample fungus liquid mixes with predetermineeing the protein nutrient solution and obtains mixed culture solution with this to the cultivation obtains corresponding colony and specifically includes:
setting a corresponding culture temperature range and a corresponding culture humidity range in the colony culture module, and simultaneously reducing the oxygen concentration in the colony culture module so as to form an anaerobic culture environment in the colony culture module;
mixing the sample bacterial liquid with a preset protein nutrient solution to obtain a mixed culture solution, subpackaging the mixed culture solution in a plurality of culture dishes, and placing the culture dishes in the anaerobic culture environment for a preset time, so as to obtain corresponding bacterial colonies through culture;
further, reducing the oxygen concentration inside the colony culture module so that forming an anaerobic culture environment in the colony culture module specifically includes:
sequentially carrying out vacuum pumping treatment and carbon dioxide gas supplement treatment on the interior of the colony culture module so as to form an anaerobic culture environment in the colony culture module;
further, the colony separation and detection module separates the colonies from the mixed culture solution, and the detecting the types and/or the numbers of the colonies specifically includes:
centrifuging the mixed culture solution to divide the mixed culture solution into a colony enrichment solution and a culture residual solution, and separating the colony enrichment solution from the culture residual solution;
detecting the separated colony enrichment solution so as to determine the type and/or the number of colonies contained in the colony enrichment solution;
further, detecting the separated colony-enriched liquid, so as to determine the types and/or the number of the colonies contained in the colony-enriched liquid specifically comprises:
and carrying out fluorescence microscopy detection and PCR sequencing detection on the separated colony enrichment solution so as to determine the type and/or the number of colonies contained in the colony enrichment solution.
Compared with the prior art, the intelligent separation system for separating the flora in the excrement comprises a sample collection module, a sample pretreatment module, a sample bacterium liquid extraction module, a colony culture module and a colony separation and detection module; wherein, the sample collecting module is used for collecting the stool sample; the sample pretreatment module is used for carrying out drying treatment, dilution treatment, stirring treatment and standing deodorization treatment on the excrement sample so as to obtain excrement pretreatment solution; the sample bacterial liquid extraction module is used for carrying out filtration treatment and negative pressure osmosis treatment on the excrement pretreatment solution so as to obtain sample bacterial liquid; the colony culture module is used for mixing the sample bacterial liquid with a preset protein nutrient solution under the conditions of preset temperature, humidity and oxygen concentration to obtain a mixed culture solution, so that corresponding colonies are obtained through culture; the colony separating and detecting module is used for separating and processing the colony from the mixed culture solution and detecting the type and/or the number of the colony; it is thus clear that this an intelligent piece-rate system for separating bacterial colony in excrement and urine passes through the sample collection module, sample preliminary treatment module, sample fungus liquid extract module, bacterial colony culture module and bacterial colony separation and detection module to collect respectively the excrement and urine sample, the operation of preliminary treatment, bacterial colony extraction, bacterial colony culture and bacterial colony separation and detection, and it can form the stage from excrement and urine sample's production, carries out serialization and automated processing to this excrement and urine sample to this bacterial colony of extracting and cultivateing equivalent bacterial colony from excrement and urine sample, and should detect this bacterial colony in order to guarantee the quality of bacterial colony, thereby improve effectively and obtain the purity and the efficiency of bacterial colony from excrement and urine sample separation.
Additional features and advantages of the invention will be set forth in the description which follows, and in part will be obvious from the description, or may be learned by practice of the invention. The objectives and other advantages of the invention will be realized and attained by the structure particularly pointed out in the written description and claims hereof as well as the appended drawings.
The technical solution of the present invention is further described in detail by the accompanying drawings and embodiments.
Drawings
In order to more clearly illustrate the embodiments of the present invention or the technical solutions in the prior art, the drawings used in the description of the embodiments or the prior art will be briefly described below, it is obvious that the drawings in the following description are only some embodiments of the present invention, and for those skilled in the art, other drawings can be obtained according to the drawings without creative efforts.
Fig. 1 is a schematic structural diagram of an intelligent separation system for separating flora in feces provided by the invention.
Detailed Description
The technical solutions in the embodiments of the present invention will be clearly and completely described below with reference to the drawings in the embodiments of the present invention, and it is obvious that the described embodiments are only a part of the embodiments of the present invention, and not all of the embodiments. All other embodiments, which can be derived by a person skilled in the art from the embodiments given herein without making any creative effort, shall fall within the protection scope of the present invention.
Fig. 1 is a schematic structural diagram of an intelligent separation system for separating flora in feces according to an embodiment of the present invention. The intelligent separation system for separating the flora in the excrement comprises a sample collection module, a sample pretreatment module, a sample bacterium liquid extraction module, a colony culture module and a colony separation and detection module; wherein,
the sample collection module is used for collecting a stool sample;
the sample pretreatment module is used for carrying out drying treatment, dilution treatment, stirring treatment and standing deodorization treatment on the excrement sample so as to obtain excrement pretreatment solution;
the sample bacterial liquid extraction module is used for carrying out filtration treatment and negative pressure osmosis treatment on the excrement pretreatment solution so as to obtain sample bacterial liquid;
the colony culture module is used for mixing the sample bacterial liquid with a preset protein nutrient solution under the conditions of preset temperature, humidity and oxygen concentration to obtain a mixed culture solution, so that corresponding colonies are obtained through culture;
the colony separating and detecting module is used for separating and processing the colony from the mixed culture solution and detecting the type and/or the number of the colony.
The beneficial effects of the above technical scheme are: this an intelligent piece-rate system for separating bacterial colony in excrement and urine passes through the sample collection module, sample preliminary treatment module, sample fungus liquid draws the module, bacterial colony culture module and bacterial colony separation and detection module come to collect respectively the excrement and urine sample, the preliminary treatment, the bacterial colony is drawed, the bacterial colony is cultivateed and the operation of bacterial colony separation and detection, it can form the stage from the production of excrement and urine sample, carry out serialization and automated processing to this excrement and urine sample to this bacterial colony draws and cultivates equivalent bacterial colony in the excrement and urine sample, and should detect the quality in order to guarantee the bacterial colony to this bacterial colony, thereby improve effectively and obtain the purity and the efficiency of bacterial colony from the excrement and urine sample separation.
Preferably, the collecting the stool sample by the sample collecting module specifically comprises:
the sample collecting module detects the weight of the excrement sample, forms a negative pressure environment with corresponding pressure difference according to the weight of the excrement sample, adsorbs and collects the excrement sample into the storage box through the negative pressure environment, and the specific collecting process comprises the following steps:
step S1, constructing a relation among the pressure value of the air pressure inside the storage tank, the amount of the total substance of the air inside the storage tank, and the suction speed at which the stool sample is sucked into the storage tank according to the following formula (1):
Figure BDA0002756944440000081
in the above formula (1), p (t) represents a pressure value of the air pressure inside the storage tank at time t, n represents an amount of the total substance of the gas inside the storage tank, R represents a normal gas constant and has a value of 8.31441J/(mol · K), V represents an internal volume of the storage tank, R represents a radius of an adsorption pipe adsorbing the stool sample to the inside of the storage tank, and V (t) represents an extraction rate of adsorbing the stool sample to the inside of the storage tank at time t;
step S2, constructing a relational expression of the pressure value of the air pressure inside the storage tank, the suction speed of the stool sample sucked into the storage tank, and the time t according to the following formula (2):
Figure BDA0002756944440000091
in the above formula (2), P (t) represents the pressure inside the storage tank at time t, v (t) represents the suction speed at which the stool sample is sucked into the storage tank at time t, pi represents the circumferential rate, r represents the radius of the suction pipe sucking the stool sample into the storage tank, P represents the atmospheric pressure of the current atmosphere of the storage tank and is 101.325kPa, m0Represents the total mass of the stool sample when the interior of the adsorption tube is filled with the stool sample;
step S3, in which the above equations (1) and (2) are combined, obtains an expression of the extraction speed v (t) of the stool sample adsorbed into the storage box at time t, i.e., v (t) ═ f (n), and determines the relational expression between the weight of the stool sample extracted into the storage box and the extraction speed of the stool sample adsorbed into the storage box according to the following equation (3):
Figure BDA0002756944440000092
in the above formula (3), m represents the inside of the tankThe weight of the stool sample taken, l represents the total length of the sorbent tube, t0Representing the total withdrawal time for the faecal sample to be adsorbed to the interior of the storage bin;
step S4, calculating formula v (t) ═ f (n) in conjunction with formula (3) to obtain a relation between the weight of the stool sample extracted from the interior of the storage tank and the air pressure value in the interior of the storage tank, forming a negative pressure environment with a corresponding pressure difference in the interior of the storage tank according to the relation between the weight of the stool sample extracted from the interior of the storage tank and the air pressure value in the interior of the storage tank, and adsorbing and collecting the stool sample in the storage tank through the negative pressure environment.
The beneficial effects of the above technical scheme are: the excrement sample is adsorbed and collected by forming a corresponding negative pressure environment according to the weight of the excrement sample, so that the collection thoroughness of the excrement sample can be improved, and the residue of the excrement sample can be effectively avoided, and a relational expression between the pressure in the storage tank and the extraction speed as well as the gas quantity in the storage tank is obtained according to the formula (1) and a gas pressure formula, so that the gas pressure in the storage tank is reflected according to the extraction speed and the gas quantity in the storage tank; and combining the formula (2) to obtain a relational expression between the extraction speed and the pressure in the storage box; obtaining a relational expression between the extraction speed and the amount of the gas in the storage tank in a simultaneous manner, knowing the relation between the extraction speed and the amount of the gas in the storage tank, and obtaining a relational expression between the weight of the stool sample and the extraction speed by using the formula (3) and obtaining a relational expression between the weight of the stool sample and the amount of the gas in the storage tank in a simultaneous manner with the relational expression between the extraction speed and the amount of the gas in the storage tank; therefore, the gas in the storage box is extracted according to the weight of the weighed excrement sample, and the quantity of the gas in the storage box is the quantity of the gas in the storage box calculated by the expression of m ═ f (n), so that the excrement samples with different weights can be completely adsorbed and collected in the same time under the negative pressure environment, and the high efficiency and the intellectualization of the sample collection module are reflected.
Preferably, the sample pretreatment module performs drying treatment, dilution treatment, stirring treatment and standing deodorization treatment on the fecal sample, so as to obtain a fecal pretreatment solution specifically comprising:
drying the fecal sample so as to remove the moisture of the fecal sample;
mixing a preset diluted solution with the dried fecal sample to obtain a diluted fecal sample;
stirring the diluted excrement sample for a preset time and at a preset stirring speed, so that the preset diluted solution and the excrement sample are fully mixed;
and precipitating and standing the stirred diluted excrement sample, and simultaneously performing vacuum adsorption on the sample so as to remove odor components generated by the sample.
The beneficial effects of the above technical scheme are: through carrying out drying process, dilution, stirring processing, the deodorization of stewing to this excrement and urine sample, can get rid of the foul smell composition in the excrement and urine sample effectively and convert excrement and urine sample into the excrement and urine preliminary treatment solution of solution form to be convenient for follow-up carry out the processing of adaptability to this excrement and urine preliminary treatment solution.
Preferably, the drying process of the fecal sample, so as to remove the moisture of the fecal sample itself, specifically comprises:
drying the excrement sample within a preset temperature range or performing microwave irradiation treatment within a preset irradiation intensity range on the excrement sample plate so as to remove the moisture of the excrement sample;
or,
mixing a preset dilution solution with the dried fecal sample to obtain a diluted fecal sample specifically comprising:
according to the weight of the dried fecal sample, determining deionized water or normal saline with corresponding weight as the preset diluted solution, and mixing the deionized water or normal saline with the dried fecal sample to obtain a diluted fecal sample;
or,
the diluted excrement sample after stirring is precipitated and stood, and is simultaneously subjected to vacuum adsorption, so that the odor components generated by the excrement sample are removed, and the method specifically comprises the following steps:
and placing the stirred diluted excrement sample in an inert gas environment for sedimentation and standing, and simultaneously carrying out vacuum adsorption on the sample so as to remove odor components generated by the sample.
The beneficial effects of the above technical scheme are: the excrement sample is dried in a drying or microwave irradiation mode, moisture in the excrement sample can be removed to the maximum extent, the excrement sample is diluted by deionized water or physiological saline, flora components in the excrement sample can be effectively diluted to form a solution, the excrement sample is placed in an inert gas environment, and odor components in the excrement sample can be diluted and thoroughly adsorbed to the maximum extent.
Preferably, the sample bacterial liquid extraction module performs filtration treatment and negative pressure osmosis treatment on the fecal pretreatment solution, so as to obtain sample bacterial liquid specifically including:
sequentially carrying out primary filtration treatment and secondary filtration treatment on the excrement pretreatment solution so as to remove insoluble impurities in the excrement pretreatment solution, wherein the filtration fineness of the primary filtration treatment is smaller than that of the secondary filtration treatment;
and pressurizing the filtered excrement pretreatment solution so that the excrement pretreatment solution passes through a preset negative pressure permeable membrane to obtain the sample bacterial liquid.
The beneficial effects of the above technical scheme are: through carrying out one-level and second grade filtration treatment to this excrement and urine preliminary treatment solution, can guarantee to get rid of insoluble impurity wherein to the furthest, and adopt negative pressure osmotic membrane to carry out the pressure filtration to this excrement and urine preliminary treatment solution, can filter it on the molecular level to improve its purity.
Preferably, the pressurizing the filtered fecal pretreatment solution to make the fecal pretreatment solution pass through a preset negative pressure permeable membrane, so as to obtain the sample bacterial liquid specifically includes:
and after the filtered excrement pretreatment solution is placed in a pressure pump, the excrement pretreatment solution is conveyed to the preset negative pressure permeable membrane through the pressure pump so that the excrement pretreatment solution penetrates through the preset negative pressure permeable membrane at a constant flow rate, and then the liquid obtained after the liquid penetrates through the preset negative pressure permeable membrane is used as the sample bacterial liquid.
The beneficial effects of the above technical scheme are: the excrement pretreatment solution is driven by the pressurizing pump to pass through the preset negative pressure permeable membrane at a constant flow rate, so that the filtering efficiency of the preset negative pressure permeable membrane can be effectively improved.
Preferably, the bacterial colony culture module mixes the sample bacterial liquid with a preset protein nutrient solution under the conditions of preset temperature, humidity and oxygen concentration to obtain a mixed culture solution, so that the culture to obtain corresponding bacterial colonies specifically comprises:
setting a corresponding culture temperature range and a corresponding culture humidity range in the colony culture module, and simultaneously reducing the oxygen concentration in the colony culture module so as to form an anaerobic culture environment in the colony culture module;
mix this sample fungus liquid with predetermineeing protein nutrient solution with this and obtain mixed culture liquid to with this mixed culture liquid partial shipment at a plurality of culture dishes, place this culture dish of a plurality of again and last predetermined duration in this anaerobic culture environment, thereby cultivate and obtain corresponding bacterial colony.
The beneficial effects of the above technical scheme are: through the inside temperature, humidity and the oxygen concentration of this colony culture module of adjustment to form corresponding anaerobic culture environment, can provide suitable environment for the fungus crowd in the mixed culture solution generates.
Preferably, reducing the oxygen concentration inside the colony culture module so that an anaerobic culture environment is formed in the colony culture module specifically comprises:
carry out evacuation processing and carbon dioxide gas supplementary processing to this colony culture module inside in proper order to make and form the anaerobic culture environment at this colony culture module.
The beneficial effects of the above technical scheme are: through to this bacterial colony culture module inside evacuation processing and carbon dioxide gas supplementary processing in proper order, can furthest reduce the inside oxygen concentration of this bacterial colony culture module to avoid this bacterial colony culture module inside oxygen concentration too high and influence the growth reproduction speed of fungus crowd.
Preferably, the colony separating and detecting module separates the colony from the mixed culture solution, and the detecting the type and/or number of the colony specifically includes:
centrifuging the mixed culture solution to divide the mixed culture solution into a colony enrichment solution and a culture residual solution, and separating the colony enrichment solution from the culture residual solution;
and detecting the separated colony-enriched liquid so as to determine the types and/or the number of the colonies contained in the colony-enriched liquid.
The beneficial effects of the above technical scheme are: by centrifuging the mixed culture solution, the flora dispersed in the mixed culture solution can be enriched, thereby improving the separation efficiency of the flora.
Preferably, the step of detecting the separated colony-enriched liquid so as to determine the types and/or the number of the colonies contained in the colony-enriched liquid specifically comprises the following steps:
and carrying out fluorescence microscopic detection and PCR sequencing detection on the separated colony enrichment solution so as to determine the types and/or the number of the colonies contained in the colony enrichment solution.
The beneficial effects of the above technical scheme are: through fluorescence microscopic detection and PCR sequencing detection, the type and/or the number of the flora in the colony enriched liquid can be rapidly and accurately determined, so that the colony enriched liquid can be conveniently and accurately utilized to form the intestinal flora liquid in the follow-up process.
From the content of the above embodiment, the intelligent separation system for separating the flora in the feces comprises a sample collection module, a sample pretreatment module, a sample bacteria liquid extraction module, a colony culture module and a colony separation and detection module; wherein, the sample collecting module is used for collecting the stool sample; the sample pretreatment module is used for carrying out drying treatment, dilution treatment, stirring treatment and standing deodorization treatment on the excrement sample so as to obtain excrement pretreatment solution; the sample bacterial liquid extraction module is used for carrying out filtration treatment and negative pressure osmosis treatment on the excrement pretreatment solution so as to obtain sample bacterial liquid; the colony culture module is used for mixing the sample bacterial liquid with a preset protein nutrient solution under the conditions of preset temperature, humidity and oxygen concentration to obtain a mixed culture solution, so that corresponding colonies are obtained through culture; the colony separating and detecting module is used for separating and processing the colony from the mixed culture solution and detecting the type and/or the number of the colony; it is thus clear that this an intelligent piece-rate system for separating bacterial colony in excrement and urine passes through the sample collection module, sample preliminary treatment module, sample fungus liquid extract module, bacterial colony culture module and bacterial colony separation and detection module to collect respectively the excrement and urine sample, the operation of preliminary treatment, bacterial colony extraction, bacterial colony culture and bacterial colony separation and detection, and it can form the stage from excrement and urine sample's production, carries out serialization and automated processing to this excrement and urine sample to this bacterial colony of extracting and cultivateing equivalent bacterial colony from excrement and urine sample, and should detect this bacterial colony in order to guarantee the quality of bacterial colony, thereby improve effectively and obtain the purity and the efficiency of bacterial colony from excrement and urine sample separation.
It will be apparent to those skilled in the art that various changes and modifications may be made in the present invention without departing from the spirit and scope of the invention. Thus, if such modifications and variations of the present invention fall within the scope of the claims of the present invention and their equivalents, the present invention is also intended to include such modifications and variations.

Claims (10)

1. The intelligent separation system for separating the flora in the excrement is characterized by comprising a sample collection module, a sample pretreatment module, a sample bacterium liquid extraction module, a colony culture module and a colony separation and detection module; wherein,
the sample collection module is used for collecting a stool sample;
the sample pretreatment module is used for carrying out drying treatment, dilution treatment, stirring treatment and standing deodorization treatment on the excrement sample so as to obtain excrement pretreatment solution;
the sample bacterial liquid extraction module is used for filtering and performing negative pressure osmosis treatment on the excrement pretreatment solution so as to obtain sample bacterial liquid;
the colony culture module is used for mixing the sample bacterial liquid with a preset protein nutrient solution under the conditions of preset temperature, humidity and oxygen concentration to obtain a mixed culture solution, so that corresponding colonies are obtained through culture;
the colony separating and detecting module is used for separating and processing the colonies from the mixed culture solution and detecting the types and/or the numbers of the colonies.
2. An intelligent separation system for separating fecal flora as claimed in claim 1 wherein: the collecting of the stool sample by the sample collecting module specifically comprises:
the sample collection module detects the weight of the fecal sample, forms a negative pressure environment with corresponding pressure difference according to the weight of the fecal sample, and adsorbs and collects the fecal sample into a storage box through the negative pressure environment, and the specific collection process comprises the following steps:
step S1, constructing a relation among a pressure value of the air pressure inside the storage tank, an amount of the total substance of the air inside the storage tank, and an extraction speed at which the stool sample is adsorbed inside the storage tank according to the following formula (1):
Figure FDA0002756944430000011
in the above formula (1), p (t) represents a value of pressure inside the tank at time t, n represents an amount of total substance of gas inside the tank, R represents a normal gas constant and has a value of 8.31441J/(mol · K), V represents an internal volume of the tank, R represents a radius of an adsorption tube that adsorbs the stool sample to the inside of the tank, and V (t) represents an extraction rate at time t at which the stool sample is adsorbed to the inside of the tank;
step S2, constructing a relational expression of the pressure value of the air pressure inside the storage tank, the extraction speed of the stool sample adsorbed into the storage tank, and the time t according to the following formula (2):
Figure FDA0002756944430000021
in the above formula (2), P (t) represents the pressure inside the storage tank at time t, v (t) represents the suction speed at which the stool sample is sucked into the storage tank at time t, pi represents the circumferential rate, r represents the radius of the suction pipe sucking the stool sample into the storage tank, P represents the atmospheric pressure of the current atmosphere of the storage tank and is 101.325kPa, m0Represents the total mass of the stool sample when the interior of the adsorption tube is filled with the stool sample;
step S3, in which the above equations (1) and (2) are combined, obtains an expression of an extraction speed v (t) of the stool sample adsorbed into the storage box at time t, i.e., v (t) f (n), and determines a relational expression between the weight of the stool sample extracted into the storage box and the extraction speed of the stool sample adsorbed into the storage box according to the following equation (3):
Figure FDA0002756944430000022
in the above formula (3), m represents the weight of the stool sample drawn inside the storage tank, l represents the total length of the adsorption tube, and t0Representing the total draw time for the fecal sample to be adsorbed inside the storage bin;
step S4, performing simultaneous calculation on the above formula v (t) ═ f (n) and the above formula (3), so as to obtain a relational expression between the weight of the stool sample extracted from the interior of the storage box and the air pressure value in the interior of the storage box, forming a negative pressure environment with a corresponding pressure difference in the interior of the storage box according to the relational expression between the weight of the stool sample extracted from the interior of the storage box and the air pressure value in the interior of the storage box, and adsorbing and collecting the stool sample into the storage box through the negative pressure environment.
3. An intelligent separation system for separating fecal flora as claimed in claim 1 wherein: the sample pretreatment module is used for carrying out drying treatment, dilution treatment, stirring treatment and standing deodorization treatment on the excrement sample, so that the obtained excrement pretreatment solution specifically comprises the following steps:
drying the fecal sample so as to remove the moisture of the fecal sample;
mixing a preset diluted solution with the dried fecal sample to obtain a diluted fecal sample;
stirring the diluted excrement sample for a preset time and at a preset stirring speed, so that the preset diluted solution is fully mixed with the excrement sample;
and precipitating and standing the stirred diluted excrement sample, and simultaneously performing vacuum adsorption on the sample so as to remove odor components generated by the sample.
4. An intelligent separation system for separating faecal flora according to claim 3, wherein: drying the fecal sample, thereby removing moisture from the fecal sample specifically comprises:
drying the excrement sample within a preset temperature range or performing microwave irradiation treatment within a preset irradiation intensity range on the excrement sample plate so as to remove the moisture of the excrement sample;
or,
mixing a preset dilution solution with the dried fecal sample to obtain a diluted fecal sample specifically comprising:
according to the weight of the dried fecal sample, determining deionized water or normal saline with corresponding weight as the preset diluted solution, and mixing the deionized water or normal saline with the dried fecal sample to obtain a diluted fecal sample;
or,
the diluted excrement sample after stirring is precipitated and stood, and is simultaneously subjected to vacuum adsorption, so that the odor components generated by the excrement sample are removed, and the method specifically comprises the following steps:
and placing the stirred diluted excrement sample in an inert gas environment for sedimentation and standing, and simultaneously carrying out vacuum adsorption on the sample so as to remove odor components generated by the sample.
5. An intelligent separation system for separating fecal flora as claimed in claim 1 wherein: the sample bacterium liquid extraction module is used for filtering and negative pressure osmosis treatment on the excrement pretreatment solution, so that the obtained sample bacterium liquid specifically comprises the following steps:
sequentially carrying out primary filtration treatment and secondary filtration treatment on the excrement pretreatment solution so as to remove insoluble impurities in the excrement pretreatment solution, wherein the filtration fineness of the primary filtration treatment is smaller than that of the secondary filtration treatment;
and pressurizing the filtered excrement pretreatment solution so that the excrement pretreatment solution passes through a preset negative pressure permeable membrane to obtain the sample bacterial liquid.
6. An intelligent separation system for separating fecal flora as claimed in claim 5 wherein: pressurizing the filtered excrement pretreatment solution so that the excrement pretreatment solution passes through a preset negative pressure permeable membrane, thereby obtaining the sample bacterial liquid specifically comprising:
and after the filtered excrement pretreatment solution is placed in a pressure pump, the excrement pretreatment solution is conveyed to the preset negative pressure permeable membrane through the pressure pump so that the excrement pretreatment solution penetrates through the preset negative pressure permeable membrane at a constant flow rate, and then the liquid obtained after the excrement pretreatment solution penetrates through the preset negative pressure permeable membrane is used as the sample bacterial liquid.
7. An intelligent separation system for separating fecal flora as claimed in claim 1 wherein: the colony culture module is under temperature, humidity and oxygen concentration condition predetermine, will sample fungus liquid mixes with this and obtains mixed culture solution with predetermineeing the protein nutrient solution to the cultivation obtains corresponding colony and specifically includes:
setting a corresponding culture temperature range and a corresponding culture humidity range in the colony culture module, and simultaneously reducing the oxygen concentration in the colony culture module so as to form an anaerobic culture environment in the colony culture module;
and mixing the sample bacterium liquid with a preset protein nutrient solution to obtain a mixed culture solution, subpackaging the mixed culture solution in a plurality of culture dishes, and placing the culture dishes in the anaerobic culture environment for a preset duration, so as to obtain corresponding bacterial colonies through culture.
8. An intelligent separation system for separating fecal flora as claimed in claim 7 wherein: reducing the oxygen concentration inside the colony culture module so that forming an anaerobic culture environment at the colony culture module specifically comprises:
and sequentially carrying out vacuum pumping treatment and carbon dioxide gas supplement treatment on the interior of the colony culture module so as to form an anaerobic culture environment in the colony culture module.
9. An intelligent separation system for separating fecal flora as claimed in claim 1 wherein: the colony separation and detection module separates the colonies from the mixed culture solution, and detects the types and/or the numbers of the colonies specifically include:
centrifuging the mixed culture solution to divide the mixed culture solution into a colony enrichment solution and a culture residual solution, and separating the colony enrichment solution from the culture residual solution;
and detecting the separated colony-enriched liquid, thereby determining the type and/or the number of the colonies contained in the colony-enriched liquid.
10. An intelligent separation system for separating fecal flora as claimed in claim 9 wherein: detecting the separated colony-enriched liquid, so as to determine the types and/or the number of the colonies contained in the colony-enriched liquid specifically comprises the following steps:
and carrying out fluorescence microscopy detection and PCR sequencing detection on the separated colony enrichment solution so as to determine the type and/or the number of colonies contained in the colony enrichment solution.
CN202011205572.5A2020-11-022020-11-02Intelligent separation system for separating flora in excrementPendingCN112266876A (en)

Priority Applications (1)

Application NumberPriority DateFiling DateTitle
CN202011205572.5ACN112266876A (en)2020-11-022020-11-02Intelligent separation system for separating flora in excrement

Applications Claiming Priority (1)

Application NumberPriority DateFiling DateTitle
CN202011205572.5ACN112266876A (en)2020-11-022020-11-02Intelligent separation system for separating flora in excrement

Publications (1)

Publication NumberPublication Date
CN112266876Atrue CN112266876A (en)2021-01-26

Family

ID=74345539

Family Applications (1)

Application NumberTitlePriority DateFiling Date
CN202011205572.5APendingCN112266876A (en)2020-11-022020-11-02Intelligent separation system for separating flora in excrement

Country Status (1)

CountryLink
CN (1)CN112266876A (en)

Cited By (1)

* Cited by examiner, † Cited by third party
Publication numberPriority datePublication dateAssigneeTitle
CN118207080A (en)*2024-03-132024-06-18铁汉山艺环境建设有限公司 A screening and separation system for soil salt-tolerant bacteria

Citations (4)

* Cited by examiner, † Cited by third party
Publication numberPriority datePublication dateAssigneeTitle
US20100266549A1 (en)*2000-05-252010-10-21Nestec S.A.Novel probiotics for pet food applications
CN105624027A (en)*2014-10-312016-06-01南京法迈特科技发展有限公司Intelligent separation system and method for microbes in cavity contents
CN107513515A (en)*2017-10-202017-12-26南京益恒寿生命科技有限公司A kind of caprophyl transplantation treatment Plays caprophyl liquid preparing process
CN109517727A (en)*2019-01-172019-03-26上海宝藤生物医药科技股份有限公司Separation device and separation method for intestinal microorganisms

Patent Citations (4)

* Cited by examiner, † Cited by third party
Publication numberPriority datePublication dateAssigneeTitle
US20100266549A1 (en)*2000-05-252010-10-21Nestec S.A.Novel probiotics for pet food applications
CN105624027A (en)*2014-10-312016-06-01南京法迈特科技发展有限公司Intelligent separation system and method for microbes in cavity contents
CN107513515A (en)*2017-10-202017-12-26南京益恒寿生命科技有限公司A kind of caprophyl transplantation treatment Plays caprophyl liquid preparing process
CN109517727A (en)*2019-01-172019-03-26上海宝藤生物医药科技股份有限公司Separation device and separation method for intestinal microorganisms

Non-Patent Citations (2)

* Cited by examiner, † Cited by third party
Title
WOTZKA SY等: "Microbiota stability in healthy individuals after single-dose lactulose challenge-A randomized controlled study", 《PLOS ONE》*
杨正梅等: "雷山县某养猪场环境微生物调查与分析", 《畜牧与兽医》*

Cited By (2)

* Cited by examiner, † Cited by third party
Publication numberPriority datePublication dateAssigneeTitle
CN118207080A (en)*2024-03-132024-06-18铁汉山艺环境建设有限公司 A screening and separation system for soil salt-tolerant bacteria
CN118207080B (en)*2024-03-132024-11-01铁汉山艺环境建设有限公司Soil salt-tolerant strain screening and separating system

Similar Documents

PublicationPublication DateTitle
CN1214103C (en)Detection of micro-organisms
CN101906451A (en) Phanerochaete chrysosporium extracellular polymer and its extraction method and application
CN105624024A (en)Separation device of microorganisms in gastrointestinal tract contents
CN112266876A (en)Intelligent separation system for separating flora in excrement
CN116904390A (en)Preparation method of loquat exosomes
CN105132302A (en)Application of bacillus cereus in processing of tannery wastewater COD
CN105624043B (en)A kind of method of open culture pond scale evaluation oil-producing microalgae
CN204311058U (en)Microorganism tripping device in cavity content
CN207567086U (en)A kind of device of contactless continuous bioleaching red mud
CN105624027A (en)Intelligent separation system and method for microbes in cavity contents
CN1522170A (en)Solid component collection device for liquid sample
CN107739836A (en)A kind of device and method of contactless continuous bioleaching red mud
CN110790847A (en)Multistage recovery processing method and device for waste mushroom sticks
CN211999518U (en)Microbial fertilizer fermentation system with sampling and sterilizing device
CN215365212U (en) A recycling device for improving the treatment rate of bacteria-containing wastewater
CN108611268B (en)Spore production device for simulating wild environment and application of spore production device in antrodia camphorata
CN107285475A (en)A kind of complex microbial inoculum is used for the method for sewage disposal
CN209065900U (en)A kind of process units of thallus circulating fermentation
CN206940690U (en)A kind of chemical wastewater treatment system
CN115121578B (en)Kitchen waste grease treatment process for co-treatment with kitchen waste
CN109133523B (en) A kind of wastewater treatment device and treatment method for livestock and poultry breeding based on forward osmosis membrane
CN207330659U (en)Cultivation wastewater purification processing system
CN107935340B (en)Non-contact continuous biological dealkalization process for red mud
CN218297737U (en)Soil microorganism fumigation device
CN220334837U (en)Water recycling device

Legal Events

DateCodeTitleDescription
PB01Publication
PB01Publication
SE01Entry into force of request for substantive examination
SE01Entry into force of request for substantive examination
RJ01Rejection of invention patent application after publication
RJ01Rejection of invention patent application after publication

Application publication date:20210126


[8]ページ先頭

©2009-2025 Movatter.jp