Movatterモバイル変換


[0]ホーム

URL:


CN112263322A - Tumor ablation needle with blood coagulation function - Google Patents

Tumor ablation needle with blood coagulation function
Download PDF

Info

Publication number
CN112263322A
CN112263322ACN202011050737.6ACN202011050737ACN112263322ACN 112263322 ACN112263322 ACN 112263322ACN 202011050737 ACN202011050737 ACN 202011050737ACN 112263322 ACN112263322 ACN 112263322A
Authority
CN
China
Prior art keywords
needle
metal needle
heating
heat conductor
metal
Prior art date
Legal status (The legal status is an assumption and is not a legal conclusion. Google has not performed a legal analysis and makes no representation as to the accuracy of the status listed.)
Pending
Application number
CN202011050737.6A
Other languages
Chinese (zh)
Inventor
陈永刚
吴斌
徐阳斌
陈新华
Current Assignee (The listed assignees may be inaccurate. Google has not performed a legal analysis and makes no representation or warranty as to the accuracy of the list.)
Hangzhou Ruidi Biotechnology Co ltd
Original Assignee
Hangzhou Ruidi Biotechnology Co ltd
Priority date (The priority date is an assumption and is not a legal conclusion. Google has not performed a legal analysis and makes no representation as to the accuracy of the date listed.)
Filing date
Publication date
Application filed by Hangzhou Ruidi Biotechnology Co ltdfiledCriticalHangzhou Ruidi Biotechnology Co ltd
Priority to CN202011050737.6ApriorityCriticalpatent/CN112263322A/en
Publication of CN112263322ApublicationCriticalpatent/CN112263322A/en
Pendinglegal-statusCriticalCurrent

Links

Images

Classifications

Landscapes

Abstract

The invention relates to the field of medical instruments, in particular to a tumor ablation needle with a blood coagulation function. The existing ablation needle has single function and can not solve the problem of bleeding caused in the process of surgical puncture and treatment. The invention provides a tumor ablation needle with a blood coagulation function, which comprises a metal needle with a hollow cavity, wherein the front end of the metal needle is a puncture tip, the surface of the middle section of the metal needle is provided with an insulating coating, the tail end of the metal needle is sleeved with a handle, the metal needle is provided with a temperature sensor, a heating component is sleeved in the cavity of the metal needle tube and comprises an insulating heat conductor inserted in the cavity and a conductive heating part arranged in the insulating heat conductor, the conductive heating part is connected with two heating connection points arranged at the tail end of the handle through leads, the two heating connection points are connected with an external high-voltage pulse generator through leads, the high-voltage pulse generator is connected with a computer, and the computer is connected with the temperature sensor. The invention can heat and coagulate the peripheral tissue of the puncture needle passage, and solves the bleeding in the puncture or treatment process.

Description

Tumor ablation needle with blood coagulation function
Technical Field
The invention relates to the field of medical instruments, in particular to a tumor ablation needle with a blood coagulation function.
Background
In recent years, the electric pulse non-thermal ablation has wide clinical application value in the aspect of treating tumors, and compared with the traditional ablation method, the technology utilizing the high-voltage pulse electric field has the greatest advantage of selectively protecting blood vessels, biliary tracts, pancreatic ducts, nerves and the like during treatment, and particularly has great advantage in the treatment of tumors close to important parts. When the operation is ablated, the percutaneous puncture is needed to be carried out through the electrode needle under the guidance of B-ultrasonic or CT images to enter a treatment part, the operation experience and the operation technology of a doctor are seriously depended, and the patient also has bleeding risk in the puncture or treatment process, so that the electrode needle has certain danger particularly for the patient with poor blood coagulation function.
Disclosure of Invention
The invention provides a tumor ablation needle with a blood coagulation function, which can solve the problems that the existing ablation needle has single function, cannot deal with bleeding caused in the process of operation puncture and treatment, is inconvenient to be caused by an additional hemostatic instrument and the like.
The technical scheme adopted by the invention for solving the technical problem is as follows: the utility model provides a tumour ablation needle with blood coagulation function, is including the metal needle that has hollow lumen, the metal needle front end is puncture most advanced, and insulating coating is established on the middle section surface of metal needle, the tail end overcoat handle of metal needle, characterized by be equipped with temperature sensor on the metal needle, heating element is put to the cover in the lumen of metal needle, and heating element is including pegging graft insulating heat conductor in the lumen and the electrically conductive piece that generates heat of locating it, electrically conductive piece that generates heat links to each other with two heating connection points of establishing at the handle end through the wire, two heating connection points accessible wire link to each other with external high-voltage pulse generator, high-voltage pulse generator connects the control computer, and control computer connects temperature sensor. The tumor ablation needle has the function of blood coagulation besides the function of the existing ablation treatment, and particularly has the advantages that a high-voltage pulse generator supplies power to a heating component arranged in a metal needle in a pulse mode to heat the metal needle, the metal needle is heated and then keeps high temperature to coagulate peripheral tissues of a needle channel, and the metal needle can coagulate the blood of tissues passing through the needle channel by means of continuous heating in the process of pulling out the metal needle until the metal needle is completely pulled out of the tissues; the pulse current used for heating is not required to be obtained by additionally arranging other special equipment, the high-voltage pulse generator matched with ablation treatment is directly adopted, nanosecond pulse current is output, the temperature rising curve is kept smooth, and the real-time temperature of the metal needle is monitored by the temperature sensor in the temperature rising process and fed back to the control computer, so that the pulse frequency can be adjusted by the control computer. When the metal needle-type electric heating device works, firstly, after the metal needle is connected with the high-voltage pulse generator to input and melt electric pulses, the electric pulse output port of the high-voltage pulse generator is connected to the two heating connection points through the conducting wire, and the high-voltage pulse generator works to generate pulse current which passes through the electric heating piece, so that the electric heating piece is slowly heated; the pulse current can be adjusted by the control computer so as to accurately control the temperature, the conductive heating part is heated after being electrified to transfer heat to the insulating heat conductor, the insulating heat conductor transfers heat to the metal needle to heat the metal needle, the control computer outputs the pulse current by adjusting the high-voltage pulse generator to control the electrified state of the conductive heating part so that the metal needle reaches proper high temperature to coagulate blood, and the temperature sensor is used for detecting the real-time heating temperature of the metal needle; the insulating heat conductor appearance is pegged graft wherein with the lumen grafting of metal needle, gives the metal needle with the heat transfer that the piece produced that generates heat of electrically conducting, separates the insulation with metal needle and electrically conducting piece that generates heat simultaneously, prevents that the metal needle from taking place the surface electrification at the coagulation work time.
As a further improvement and supplement to the above technical solution, the present invention adopts the following technical measures: the lumen of metal needle is including holding the minor diameter section of insulating heat conductor and connecting the major diameter section in minor diameter section rear, the lumen and the insulating heat conductor of minor diameter section match, and the major diameter end is uncovered, and through a conical reducing section transition between minor diameter section and the major diameter section to link to each other, insulating heat conductor rear end stretches out and passes the reducing section behind the minor diameter section and goes into the major diameter section, fill insulating glue in the lumen that reducing section and major diameter section correspond. The tube cavity of the metal needle is formed by integrally connecting a small-diameter section, a variable-diameter section and a large-diameter section from front to back, the heating component can be conveniently inserted into the tube cavity of the metal needle from the opening of the large-diameter section, and the heating component is positioned by matching the small-diameter end tube cavity with the insulating heat conductor after being inserted; the rear end of the insulated heat conductor extends out of the small-diameter end and is exposed in the large-diameter section, and the conductive heating piece in the insulated heat conductor can extend out of the position to be connected with a heating point through a wire so as to facilitate wiring; insulating glue is filled in the tube cavities of the variable-diameter section and the large-diameter section, so that the lead can be fixed, the insulation between the outside and the conductive heating part in the metal needle is kept, and the use safety is improved.
A gap exists between the small-diameter section and the insulating heat conductor, and the temperature sensor is fixed on the outer surface of the insulating heat conductor. There is the clearance between path section and the insulating heat conductor, make things convenient for the latter to insert the official cavity of metal needle and install, simultaneously because metal needle itself is thin and the pipe wall is very thin, after insulating heat conductor inserts the lumen of metal needle, along with insulating heat conductor generates heat, the metal needle temperature can rise very fast unanimously with insulating heat conductor, establish the temperature of the insulating heat conductor of temperature sensor monitoring at insulating heat conductor surface this moment, the temperature of generating heat immediately on accurate grasp metal needle surface.
The insulating heat conductor is formed by mixing and firing ceramic and metal, the conductive heating part is a heating resistance wire, the heating resistance wire extends into the rear end of the insulating heat conductor from the rear end of the insulating heat conductor to extend to the front end and then turns back to the rear end, and the two ends of the heating resistance wire are connected with the two heating connection points through wires arranged in the metal needle tube cavity respectively. The insulating heat conductor is of an integrated structure formed by mixing and firing ceramic and metal, the ceramic and the metal are mixed to have the effect of rapid heating, wherein the ceramic is mainly corrosion-resistant, high-temperature-resistant and long in service life, and the mixed metal transfers heat to the ceramic by utilizing the good heat conductivity of the metal, so that the insulating heat conductor can rapidly and uniformly heat, and the heat compensation speed is high; the resistance wire as the conductive heating part extends into the insulating heat conductor and turns back after extending to the head along the length of the insulating heat conductor, the two ends of the resistance wire are connected with two heating points through wires, the resistance wire slowly heats up after receiving electric pulses generated by the high-voltage pulse generator, and the resistance wire uniformly heats the insulating heat conductor along the length direction of the insulating heat conductor.
The heating resistance wire is made of high-melting-point metal materials. The heating resistance wire can be made of high-melting-point metal materials such as tungsten, molybdenum, manganese and the like, and is suitable for high-temperature heating application after being electrified.
The insulating heat conductor is synthesized by integrally sintering metal heating resistance slurry and ceramic. In practical application, high-melting-point metal heating resistor slurry with 10% of tungsten content can be used for printing on 92-96% of alumina casting ceramic green bodies, multiple layers of sintering aids with 4-8% of sintering aids are stacked, the green bodies are integrally sintered at the high temperature of 1500-1600 ℃, and the sintered insulating heat conductor does not contain harmful substances such as lead, nickel, mercury, hexavalent chromium, polybrominated biphenyls, polybrominated diphenyl ethers and the like.
A method for using a tumor ablation needle with a blood coagulation function is characterized in that the tumor ablation needle is the ablation needle of any one of the above items, and the heating process of the tumor ablation needle is divided into the following three stages:
the first stage, setting the high-voltage pulse generator as high-level 12V output, electrifying the conductive heating element for 5 seconds;
the second stage, judging the difference value between the temperature of the metal needle in the first stage and 60 ℃, if the temperature of the metal needle exceeds 65 ℃, cutting off the output voltage of the high-voltage pulse generator for 2 seconds, and then judging the temperature of the metal needle until the temperature of the metal needle is between 55 ℃ and 65 ℃;
and in the third stage, the control computer adjusts the high-voltage pulse generator to enable the high-voltage pulse generator to send pulse current with variable duty ratio to the conductive heating body, so that the metal needle is continuously heated in the pulling-out process and the set temperature is maintained.
In use, the temperature control of the metal needle adopts the mode of feeding back through a real-time temperature sensor, adjusting a control signal by using a PWM (pulse width modulation) technology and adjusting the pulse width to control the analog quantity W in the PID position controlnAnd converting into continuous time control variable, thereby maintaining the target temperature of the metal needle to be about 60 ℃, and heating and coagulating the tissue passing through the needle channel in the process of pulling out the metal needle.
According to the invention, the high-voltage pulse generator is used for supplying power to the heating component arranged in the metal needle in a pulse mode so as to heat the metal needle, then the metal needle is heated and keeps high temperature to coagulate blood of peripheral tissues of the needle channel, so that the metal needle coagulates blood of tissues passing through the needle channel by means of continuous heating in the pulling-out process until the metal needle is completely pulled out of the tissues, and the bleeding problem generated in the process of pulling out the puncture needle after treatment is solved.
Drawings
FIG. 1: the tumor ablation needle is in a schematic overall structure.
FIG. 2: the heating component is arranged in a metal needle.
FIG. 3: fig. 1 is an enlarged view of a portion a.
FIG. 4: the right side view of fig. 3.
FIG. 5: and (3) a pulse current schematic diagram based on PWM technology temperature control.
In the figure: 1. the metal needle, 1-1 small diameter section, 1-2 large diameter section, 1-3 variable diameter section, 2 insulating coating, 3 handle, 4 temperature sensor, 5 insulating heat conductor, 6 conductive heating element, 7 wire, 8 heating connection point, 9 insulating glue.
Detailed Description
The invention is further described with reference to the following description and embodiments in conjunction with the accompanying drawings.
As shown in figures 1-4, a tumor ablation needle with blood coagulation function comprises ametal needle 1 with a hollow lumen, wherein the front end of themetal needle 1 is a puncture tip, aninsulating coating 2 is arranged on the surface of the middle section of themetal needle 1, ahandle 3 is sleeved outside the tail end of themetal needle 1, atemperature sensor 4 is arranged on themetal needle 1, a heating component is sleeved in the lumen of themetal needle 1 and comprises aninsulating heat conductor 5 inserted in the lumen and aconductive heating element 6 arranged in the insulating heat conductor, the lumen of themetal needle 1 comprises a small-diameter section 1-1 for accommodating the insulatingheat conductor 5 and a large-diameter section 1-2 connected behind the small-diameter section 1-1, the lumen of the small-diameter section 1-1 is matched with theinsulating heat conductor 5, the large-diameter end is open, and the small-diameter section 1-1 and the large-diameter section 1-2 are transitionally connected through a tapered variable-diameter section 1-3, the rear end of aninsulating heat conductor 5 extends out of a small-diameter section 1-1 and then penetrates through a reducing section 1-3 to enter a large-diameter section 1-2, a gap exists between the small-diameter section 1-1 and theinsulating heat conductor 5, atemperature sensor 4 is fixed on the outer surface of theinsulating heat conductor 5, anelectric heating part 6 is connected with twoheating connection points 8 arranged at the tail end of ahandle 3 through awire 7,insulating glue 9 is filled in a pipe cavity corresponding to the reducing section 1-3 and the large-diameter section 1-2, the twoheating connection points 8 are connected with an external high-voltage pulse generator through thewire 7, the high-voltage pulse generator is connected with a control computer, and the control computer is connected with thetemperature sensor 4.
When the metal needle-type electric heating device works, firstly, after the metal needle is connected with the high-voltage pulse generator to input and melt electric pulses, the electric pulse output port of the high-voltage pulse generator is connected to the two heating connection points through the conducting wire, and the high-voltage pulse generator works to generate pulse current which passes through the electric heating piece, so that the electric heating piece is slowly heated; the pulse current can be adjusted to accurately control the temperature through the control computer, the conductive heating part is heated after being electrified to transfer heat to the insulating heat conductor, the insulating heat conductor transfers heat to the metal needle to heat the metal needle, the control computer controls the electrified state of the conductive heating part by adjusting the output pulse of the high-voltage pulse generator to enable the metal needle to reach proper high temperature to coagulate blood, and the temperature sensor is used for detecting the real-time heating temperature of the metal needle; the insulating heat conductor appearance is pegged graft wherein with the lumen grafting of metal needle, gives the metal needle with the heat transfer that the piece produced that generates heat of electrically conducting, separates the insulation with metal needle and electrically conducting piece that generates heat simultaneously, prevents that the metal needle from taking place the surface electrification at the coagulation work time.
Further, the insulatingheat conductor 5 is formed by mixing and firing ceramic and metal, and the insulatingheat conductor 5 is synthesized by integrally sintering metal heating resistor slurry and ceramic. In practical application, high-melting-point metal heating resistor slurry with 10% of tungsten content can be used for being printed on 92-96% of alumina cast ceramic green bodies, multiple layers of sintering aids with 4-8% of the sintering aids are stacked, the green bodies are integrally sintered at the high temperature of 1500-1600 ℃, and the sintered insulating heat conductor does not contain harmful substances such as lead, nickel, mercury, hexavalent chromium, polybrominated biphenyls, polybrominated diphenyl ethers and the like.
Further, theconductive heating element 6 is a heating resistance wire, the heating resistance wire is made of a metal material with a high melting point in the embodiment, the heating resistance wire extends into theinsulating heat conductor 5 from the rear end thereof to the front end and then turns back to the rear end, and two ends of the heating resistance wire are respectively connected with the twoheating connection points 8 throughwires 7 arranged in the tube cavity of themetal needle 1. The heating resistance wire can be made of high-melting-point metal materials such as tungsten, molybdenum, manganese and the like, and is suitable for high-temperature heating application after being electrified.
A method for using a tumor ablation needle with a blood coagulation function is characterized in that the tumor ablation needle is the ablation needle in any one of the above steps, and the heating process of the tumor ablation needle is divided into the following three stages:
the first stage, setting the high-voltage pulse generator to high level 12V for continuous output, and electrifying the conductive heating element for 5 seconds;
the second stage, judging the difference value between the temperature of the metal needle in the first stage and 60 ℃, if the temperature of the metal needle exceeds 65 ℃, cutting off the output voltage of the high-voltage pulse generator for 2 seconds, and then judging the temperature of the metal needle until the temperature of the metal needle is between 55 ℃ and 65 ℃;
and in the third stage, the control computer adjusts the high-voltage pulse generator to enable the high-voltage pulse generator to send pulse current with variable duty ratio to the conductive heating body, so that the metal needle is continuously heated in the pulling-out process and the set temperature is maintained.
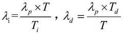
In particular, a PID control algorithm is adopted. The PID control principle is based on the following equation:
Figure BDA0002709466830000061
w (T) is the output of the PID loop, λ is the scaling factor, T1And TDIntegration time and differentiation time, respectively. In order to allow the control chip to process this equation, the above equation is written as
Figure BDA0002709466830000062
λpIs a proportionality coefficient, λiTo be integral proportional factor, λdIn order to be a differential proportionality coefficient,
Figure BDA0002709466830000063
Tiis the integration timeParameter, T is the signal sampling period, TdIs a differential time parameter.
ek-1And ekThe sampled temperature values at the k-1 st and k-th times, respectively.
The temperature control of the metal needle adopts real-time temperature sensor feedback, the PWM technology is used for adjusting control signals, as shown in figure 5, pulse current with variable duty ratio and gradually reduced is sent to the heating resistance wire, meanwhile, the temperature sensor obtains the surface temperature information of the metal needle and sends the surface temperature information to the control computer, and the control computer adjusts the analog quantity W in the PID position control in a mode of adjusting the pulse widthnAnd converting the temperature into a continuous time control variable, thereby maintaining the target temperature of the metal needle to be about 60 ℃, and heating and coagulating the tissue where the needle channel is located in the process of puncturing and pulling out the metal needle.

Claims (7)

1. A tumor ablation needle with blood coagulation function comprises a metal needle (1) with a hollow lumen, the front end of the metal needle (1) is a puncture tip, the surface of the middle section of the metal needle (1) is provided with an insulating coating (2), the tail end of the metal needle (1) is sleeved with a handle (3), it is characterized in that a temperature sensor (4) is arranged on the metal needle (1), a heating component is sleeved in a tube cavity of the metal needle (1), the heating component comprises an insulating heat conductor (5) inserted in the tube cavity and a conductive heating piece (6) arranged in the insulating heat conductor, the conductive heating element (6) is connected with two heating connection points (8) arranged at the tail end of the handle (3) through a lead (7), the two heating connection points (8) can be connected with an external high-voltage pulse generator through leads (7), the high-voltage pulse generator is connected with a control computer, and the control computer is connected with a temperature sensor (4).
2. The tumor ablation needle with blood coagulation function according to claim 1, wherein the lumen of the metal needle (1) comprises a small diameter section (1-1) for accommodating the insulating heat conductor (5) and a large diameter section (1-2) connected behind the small diameter section (1-1), the lumen of the small diameter section (1-1) is matched with the insulating heat conductor (5), the large diameter end is open, the small diameter section (1-1) and the large diameter section (1-2) are connected in a transition way through a tapered reducing section (1-3), the rear end of the insulating heat conductor (5) extends out of the small diameter section (1-1) and then passes through the reducing section (1-3) to enter the large diameter section (1-2), and the lumen corresponding to the reducing section (1-3) and the large diameter section (1-2) is filled with the insulating glue (9).
3. The needle for tumor ablation with blood coagulation function according to claim 2, wherein a gap exists between the small diameter section (1-1) and the insulating heat conductor (5), and the temperature sensor (4) is fixed on the outer surface of the insulating heat conductor (5).
4. The tumor ablation needle with the blood coagulation function as claimed in claim 1, wherein the insulating heat conductor (5) is formed by mixing and firing ceramics and metal, the conductive heating element (6) is a heating resistance wire, the heating resistance wire extends into the insulating heat conductor (5) from the rear end thereof to the front end thereof and then turns back to the rear end thereof, and two ends of the heating resistance wire are respectively connected with the two heating connection points (8) through a lead (7) arranged in the lumen of the metal needle (1).
5. The tumor ablation needle with the blood coagulation function as claimed in claim 4, wherein the heating resistance wire is made of a high melting point metal material.
6. The needle for tumor ablation with blood coagulation function as claimed in claim 5, wherein the insulating heat conductor (5) is formed by sintering a metal heating resistor paste and a ceramic together.
7. A method for using a tumor ablation needle with blood coagulation function is characterized in that the tumor ablation needle is the ablation needle as claimed in any one of claims 1 to 6, and the blood coagulation heating process of the tumor ablation needle is divided into the following three stages:
the first stage, setting the high-voltage pulse generator as high-level 12V output, electrifying the conductive heating element for 5 seconds;
the second stage, judging the difference value between the temperature of the metal needle in the first stage and 60 ℃, if the temperature of the metal needle exceeds 65 ℃, cutting off the output voltage of the high-voltage pulse generator for 2 seconds, and then judging the temperature of the metal needle until the temperature of the metal needle is between 55 ℃ and 65 ℃;
and in the third stage, the control computer adjusts the high-voltage pulse generator to enable the high-voltage pulse generator to send pulse current with variable duty ratio to the conductive heating body, so that the metal needle is continuously heated in the pulling-out process and the set temperature is maintained.
CN202011050737.6A2020-09-292020-09-29Tumor ablation needle with blood coagulation functionPendingCN112263322A (en)

Priority Applications (1)

Application NumberPriority DateFiling DateTitle
CN202011050737.6ACN112263322A (en)2020-09-292020-09-29Tumor ablation needle with blood coagulation function

Applications Claiming Priority (1)

Application NumberPriority DateFiling DateTitle
CN202011050737.6ACN112263322A (en)2020-09-292020-09-29Tumor ablation needle with blood coagulation function

Publications (1)

Publication NumberPublication Date
CN112263322Atrue CN112263322A (en)2021-01-26

Family

ID=74349529

Family Applications (1)

Application NumberTitlePriority DateFiling Date
CN202011050737.6APendingCN112263322A (en)2020-09-292020-09-29Tumor ablation needle with blood coagulation function

Country Status (1)

CountryLink
CN (1)CN112263322A (en)

Cited By (2)

* Cited by examiner, † Cited by third party
Publication numberPriority datePublication dateAssigneeTitle
CN115177354A (en)*2022-07-112022-10-14中国人民解放军陆军工程大学Double-needle single Kong Namiao-grade electrostatic discharge tumor cell ablation device and method
CN117338398A (en)*2023-11-172024-01-05南京康友医疗科技有限公司Cryoablation needle with efficient heat recovery and thermal therapy functions and working method thereof

Citations (7)

* Cited by examiner, † Cited by third party
Publication numberPriority datePublication dateAssigneeTitle
CN1649449A (en)*2004-01-202005-08-03珠海粤科清华电子陶瓷有限公司High temperature coburning heating element and its producing method
CN101579256A (en)*2008-05-132009-11-18上海导向医疗系统有限公司Concentric, detachable and replaceable multifunctional targeted tumor scalpel
CN103619276A (en)*2011-04-122014-03-05热医学公司Devices and methods for remote temperature monitoring in fluid enhanced ablation therapy
CN106137382A (en)*2015-03-302016-11-23安隽医疗科技(南京)有限公司Temperature controls
US20170151011A1 (en)*2008-03-312017-06-01Applied Medical Resources CorporationElectrosurgical system
CN107997818A (en)*2017-11-102018-05-08上海导向医疗系统有限公司The cryoablation pin of rewarming and thermotherapeutic function is realized by electric heating wire
CN109561922A (en)*2016-05-132019-04-02台湾恩宁股份有限公司 Tumor Ablation System

Patent Citations (7)

* Cited by examiner, † Cited by third party
Publication numberPriority datePublication dateAssigneeTitle
CN1649449A (en)*2004-01-202005-08-03珠海粤科清华电子陶瓷有限公司High temperature coburning heating element and its producing method
US20170151011A1 (en)*2008-03-312017-06-01Applied Medical Resources CorporationElectrosurgical system
CN101579256A (en)*2008-05-132009-11-18上海导向医疗系统有限公司Concentric, detachable and replaceable multifunctional targeted tumor scalpel
CN103619276A (en)*2011-04-122014-03-05热医学公司Devices and methods for remote temperature monitoring in fluid enhanced ablation therapy
CN106137382A (en)*2015-03-302016-11-23安隽医疗科技(南京)有限公司Temperature controls
CN109561922A (en)*2016-05-132019-04-02台湾恩宁股份有限公司 Tumor Ablation System
CN107997818A (en)*2017-11-102018-05-08上海导向医疗系统有限公司The cryoablation pin of rewarming and thermotherapeutic function is realized by electric heating wire

Cited By (3)

* Cited by examiner, † Cited by third party
Publication numberPriority datePublication dateAssigneeTitle
CN115177354A (en)*2022-07-112022-10-14中国人民解放军陆军工程大学Double-needle single Kong Namiao-grade electrostatic discharge tumor cell ablation device and method
CN117338398A (en)*2023-11-172024-01-05南京康友医疗科技有限公司Cryoablation needle with efficient heat recovery and thermal therapy functions and working method thereof
CN117338398B (en)*2023-11-172024-05-28南京康友医疗科技有限公司Cryoablation needle with efficient heat recovery and thermal therapy functions

Similar Documents

PublicationPublication DateTitle
US11937864B2 (en)Ablation systems with parameter-based modulation and related devices and methods
CN112263322A (en)Tumor ablation needle with blood coagulation function
EP1795139B1 (en)Laparoscopic apparatus for performing electrosurgical procedures
EP2353533B1 (en)Square wave for vessel sealing
US9138231B2 (en)Surgical system and control process for a surgical instrument and process for connecting bodily tissues
US6620156B1 (en)Bipolar tonsillar probe
CN106137385B (en)Shaped electrode bipolar resection device, system and application method
US6818000B2 (en)Electrode arrangement for electrothermal treatment of human or animal bodies
US20070250054A1 (en)System and method for ablating tissue
US11179189B2 (en)Monopolar electrosurgical instrument, electrosurgical system, and method for producing an electrosurgical instrument
US20100063500A1 (en)Apparatus, System and Method for Performing an Electrosurgical Procedure
EP2653128A1 (en)Control of energy delivery to multiple energy delivery devices
EP2105102A2 (en)Electrosurgical apparatus with predictive RF source control
KR20160005766A (en)Method and apparatus for controlling power delivered by electrosurgical probe
KR20160005767A (en)Electrosurgical apparatus having rf pulse profile controller
EP3541312A1 (en)Electrosurgical apparatus with dynamic leakage current compensation and dynamic rf modulation
EP3932352A1 (en)High-frequency treatment device and high-frequency treatment method
CN213588470U (en)Tumor ablation needle with blood coagulation function
WO2001054602A2 (en)Electrosurgical wire knife
US20100042090A1 (en)Microwave Surgical Device
JP4138468B2 (en) Microwave surgical device
US8092449B2 (en)Surgical probe
JPH10234744A (en)Surgical device to jet plasma gas
JP2019205625A (en)Bipolar type heating treatment device for endoscope
JP2002065692A (en)Electric operation apparatus

Legal Events

DateCodeTitleDescription
PB01Publication
PB01Publication
SE01Entry into force of request for substantive examination
SE01Entry into force of request for substantive examination
RJ01Rejection of invention patent application after publication

Application publication date:20210126

RJ01Rejection of invention patent application after publication

[8]ページ先頭

©2009-2025 Movatter.jp