Movatterモバイル変換


[0]ホーム

URL:


CN112254676B - Portable intelligent 3D information acquisition equipment - Google Patents

Portable intelligent 3D information acquisition equipment
Download PDF

Info

Publication number
CN112254676B
CN112254676BCN202011105989.4ACN202011105989ACN112254676BCN 112254676 BCN112254676 BCN 112254676BCN 202011105989 ACN202011105989 ACN 202011105989ACN 112254676 BCN112254676 BCN 112254676B
Authority
CN
China
Prior art keywords
image acquisition
image
acquisition
portable
rotating
Prior art date
Legal status (The legal status is an assumption and is not a legal conclusion. Google has not performed a legal analysis and makes no representation as to the accuracy of the status listed.)
Active
Application number
CN202011105989.4A
Other languages
Chinese (zh)
Other versions
CN112254676A (en
Inventor
左忠斌
左达宇
Current Assignee (The listed assignees may be inaccurate. Google has not performed a legal analysis and makes no representation or warranty as to the accuracy of the list.)
Tianmu Aishi Beijing Technology Co Ltd
Original Assignee
Tianmu Aishi Beijing Technology Co Ltd
Priority date (The priority date is an assumption and is not a legal conclusion. Google has not performed a legal analysis and makes no representation as to the accuracy of the date listed.)
Filing date
Publication date
Application filed by Tianmu Aishi Beijing Technology Co LtdfiledCriticalTianmu Aishi Beijing Technology Co Ltd
Priority to CN202011105989.4ApriorityCriticalpatent/CN112254676B/en
Publication of CN112254676ApublicationCriticalpatent/CN112254676A/en
Priority to PCT/CN2021/123700prioritypatent/WO2022078417A1/en
Application grantedgrantedCritical
Publication of CN112254676BpublicationCriticalpatent/CN112254676B/en
Activelegal-statusCriticalCurrent
Anticipated expirationlegal-statusCritical

Links

Images

Classifications

Landscapes

Abstract

The embodiment of the invention provides portable intelligent visual 3D information acquisition equipment and an acquisition method, which are characterized in that: comprises an image acquisition device, a rotating device and a portable bracket; the image acquisition device is connected with the rotating device and is driven to rotate by the rotating device; the portable bracket is used for bearing the rotating device; the portable acquisition equipment based on rotation is put forward for the first time, can be flexibly applied to a plurality of occasions, is not limited by the environment in use, and is more convenient. And the lifting device is added, so that the device can adapt to more occasions and is portable.

Description

Portable intelligent 3D information acquisition equipment
Technical Field
The invention relates to the technical field of topography measurement, in particular to the technical field of 3D topography measurement.
Background
When performing 3D measurements, it is necessary to first acquire 3D information. Currently common methods include the use of machine vision and structured light, laser ranging, lidar.
Structured light, laser ranging and laser radar all need an active light source to emit to a target object, and can affect the target object under certain conditions, and the light source cost is high. And the light source structure is more accurate, easily damages.
The machine vision mode is to collect the pictures of the object at different angles and match and splice the pictures to form a 3D model, so that the cost is low and the use is easy. When the device collects pictures at different angles, a plurality of cameras can be arranged at different angles of an object to be detected, and the pictures can be collected from different angles through rotation of a single camera or a plurality of cameras. However, in either of these two methods, the capturing position of the camera needs to be set around the target (referred to as a wraparound method), but this method needs a large space for setting the capturing position for the image capturing device.
Moreover, besides the 3D construction of a single object, there are also requirements for 3D model construction of the internal space of the object and 3D model construction of the peripheral large field of view, which are difficult to achieve by the conventional surrounding type 3D acquisition device.
In the prior art, it has also been proposed to use empirical formulas including rotation angle, object size, object distance to define camera position, thereby taking into account the speed and effect of the synthesis. However, in practice this has been found to be feasible in wrap-around 3D acquisition, where the target size can be measured in advance. However, it is difficult to measure the target object in advance in an open space, and it is necessary to acquire 3D information of streets, traffic intersections, building groups, tunnels, traffic flows, and the like (not limited thereto). Which makes this approach difficult to work. Even if the dimensions of fixed, small objects, such as furniture, human body parts, etc., can be measured beforehand, this method is still subject to major limitations: the size of the target is difficult to accurately determine, and particularly, the target needs to be frequently replaced in certain application occasions, each measurement brings a large amount of extra workload, and professional equipment is needed to accurately measure irregular targets. The measured error causes the camera position setting error, thereby influencing the acquisition and synthesis speed and effect; accuracy and speed need to be further improved.
Although there are methods for optimizing the surround-type acquisition device in the prior art, there is no better optimization method in the prior art when the acquisition direction of the camera of the 3D acquisition and synthesis device and the direction of its rotation axis deviate from each other.
In some situations, 3D acquisition needs to be performed quickly on site, much time is spent if installation configuration is performed, and many environments do not allow for fixed installations. For example, when 3D modeling of the internal structure of a house is required, if the 3D acquisition device is fixedly installed, it will take time and labor, and the structure of the house itself will be damaged, and at this time, a device capable of being installed and used in a portable manner is required. Meanwhile, the use occasion of the equipment is not fixed, and the height and the size of the target object are difficult to determine in advance.
Therefore, a device capable of stably, accurately, efficiently and conveniently collecting 3D information of a peripheral or internal space is urgently needed.
Disclosure of Invention
In view of the above, the present invention has been made to provide a portable intelligent visual 3D information acquisition apparatus and an acquisition method that overcome or at least partially solve the above-mentioned problems.
The embodiment of the invention provides portable intelligent visual 3D information acquisition equipment and an acquisition method, which are characterized in that: comprises an image acquisition device, a rotating device and a portable bracket;
the image acquisition device is connected with the rotating device and is driven to rotate by the rotating device;
the portable bracket is used for bearing the rotating device;
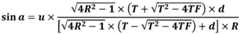
the included angle alpha of the optical axes of the image acquisition devices at two adjacent acquisition positions meets the following condition:
Figure BDA0002726975890000021
wherein, R is the distance from the rotation center to the surface of the target object, T is the sum of the object distance and the image distance during acquisition, d is the length or the width of a photosensitive element of the image acquisition device, F is the focal length of a lens of the image acquisition device, and u is an empirical coefficient.
In an alternative embodiment u <0.498, for better synthesis u <0.411 is preferred, in particular u <0.359, in some applications u <0.281, or u <0.169, or u <0.041, or u < 0.028.
In an alternative embodiment, the portable stand is height adjustable.
In an optional embodiment, the portable support further comprises a lifting device, one end of the lifting device is connected with the rotating device, and the other end of the lifting device is connected with the portable support and used for stretching and contracting in a direction perpendicular to an optical axis of the image acquisition device, so that the image acquisition device can be positioned at different positions.
In an alternative embodiment, the optical collection ports of the image collection device face away from the rotation axis.
In an alternative embodiment, the portable stand has a power source inside.
In alternative embodiments, the lifting device is manually or electrically adjustable.
In an alternative embodiment, the lifting device further comprises a locking mechanism.
In another aspect of the invention, there is provided a 3D synthesis/identification apparatus and method comprising the apparatus and method of any preceding claim.
In another aspect, the invention provides an object manufacturing/display apparatus and method comprising the apparatus and method of any preceding claim.
Invention and technical effects
1. The method is provided for the first time for acquiring the 3D information of the inner space of the target object by using the autorotation type intelligent vision 3D acquisition equipment.
2. The method has the advantages that the acquisition position of the camera is optimized by measuring the distance between the rotation center and the target object and the distance between the image sensing element and the target object, so that the speed and the effect of 3D construction are considered.
3. The portable acquisition equipment based on rotation is put forward for the first time, can be flexibly applied to a plurality of occasions, is not limited by the environment in use, and is more convenient. And the lifting device is added, so that the device can adapt to more occasions and is portable.
Drawings
Various other advantages and benefits will become apparent to those of ordinary skill in the art upon reading the following detailed description of the preferred embodiments. The drawings are only for purposes of illustrating the preferred embodiments and are not to be construed as limiting the invention. Also, like reference numerals are used to refer to like parts throughout the drawings. In the drawings:
fig. 1 is a schematic structural diagram illustrating an implementation manner of a 3D information acquisition device according to an embodiment of the present invention;
the correspondence of reference numerals to the various components in the drawings is as follows:
1, an image acquisition device;
2, a rotating device;
3, a lifting device;
4 carrying the device.
Detailed Description
Exemplary embodiments of the present disclosure will be described in more detail below with reference to the accompanying drawings. While exemplary embodiments of the present disclosure are shown in the drawings, it should be understood that the present disclosure may be embodied in various forms and should not be limited to the embodiments set forth herein. Rather, these embodiments are provided so that this disclosure will be thorough and complete, and will fully convey the scope of the disclosure to those skilled in the art.
3D information acquisition equipment structure
In order to solve the above technical problem, an embodiment of the present invention provides a portable intelligent visual 3D information acquisition device, as shown in fig. 1, including an image acquisition device 1, arotation device 2, alifting device 3, and acarrying device 4.
The image acquisition device 1 is connected with therotating device 2, so that therotating device 2 can be driven to stably rotate and scan, and 3D acquisition of peripheral objects is realized (the specific acquisition process is described in detail below). Therotating device 2 is mounted on acarrier 4 by means of alifting device 3, thecarrier 4 being intended to carry the entire apparatus. The carrier means 4 may be a handle, so that the entire apparatus can be used for hand-held acquisition. The bearing device can also be a base type bearing device and is used for being installed on other equipment, so that the whole intelligent 3D acquisition equipment is installed on the other equipment to be used together. For example, the smart 3D acquisition device is mounted on a vehicle, and 3D acquisition is performed as the vehicle travels.
The bearing device is used for bearing the weight of the whole equipment, and therotating device 2 is connected with thebearing device 4 through thelifting device 3. The carrying means may be a handle, a tripod, a base with a support means, etc. Typically, the rotating means is located in the central part of the carrying means to ensure balance. But in some special cases it can be located anywhere on the carrier. And the carrier is not necessary. The rotating device can also be directly installed in the application equipment, for example, the rotating device can be installed on the top of a vehicle. The inner space of the bearing device is used for accommodating a battery and supplying power to the 3D rotary acquisition stabilizing device. Simultaneously, for convenient to use, set up the button on bearing the device shell for control 3D rotation acquisition stabilising arrangement. Including on/off stabilization, on/off 3D rotational acquisition. The carrier may be a portable stand, such as a tripod, monopod, or the like. The portable stand itself has a height-adjustable function, such as the leg length of a tripod being adjustable. The usual way of adjustment is manual adjustment. This allows the apparatus to be used in different height applications without the use of lifting devices.
The lifting device comprises a lifting motor and a linear transmission mechanism (such as a lead screw, a lifting sleeve, a lifting slide rail and the like). The lifting of the lifting device can be manually adjusted and can also be controlled by the control unit to lift. The lifting motor of the lifting device is used for driving the lifting unit (such as a lifting sleeve) to extend or shorten. After the lifting device is lifted to the position, the length of the lifting device can be locked through the locking unit, so that stable support is provided for the rotating device. The locking unit may be a mechanical locking unit, such as a locking pin or the like, or an electrical locking unit, for example locking the lifting device under control of the control unit. Namely, when different targets are collected, different collecting heights are selected through the lifting mechanism. Or for the target object with larger height, the target object areas with different heights are acquired in a time division manner. One end of the lifting device is connected with the rotating device, and the other end of the lifting device is connected with the bearing device and used for lifting in the direction vertical to the optical axis of the image acquisition device, so that the image acquisition device can be positioned at different positions. At each position, the rotating scanning is carried out under the driving of the rotating device, so that a 3D model of the target object at the position can be constructed. After a certain position is scanned, the lifting device moves again, so that the image acquisition device moves to another position, the scanning is repeated, and the analogy is repeated, and the construction of the 3D model in the slender target object can be realized. The method can also be used for scanning in different height levels when the peripheral object is higher, so as to construct a 3D model of the whole object.
The image acquisition device is connected with a rotating shaft of the rotating unit, and the rotating unit drives the rotating unit to rotate. Of course, the rotation shaft of the rotation unit may also be connected to the image capture device via a transmission, such as a gear set.
When the image capturing device makes a 360 ° rotation in the horizontal plane, it captures an image of the corresponding object at a specific position (the specific capturing position will be described later in detail). The shooting can be performed synchronously with the rotation action, or shooting can be performed after the rotation of the shooting position is stopped, and the rotation is continued after the shooting is finished, and the like. The rotating device can be a motor, a stepping motor, a servo motor, a micro motor and the like. The rotating device (e.g., various motors) can rotate at a prescribed speed under the control of the controller and can rotate at a prescribed angle, thereby achieving optimization of the acquisition position, which will be described in detail below. Of course, the image acquisition device can be mounted on the rotating device in the existing equipment.
The above-mentioned equipment still can include range unit, range unit and image acquisition device fixed connection, and range unit directive direction is the same with image acquisition device optical axis direction. Of course, the distance measuring device can also be fixedly connected to the rotating device, as long as the distance measuring device can synchronously rotate along with the image acquisition device. Preferably, an installation platform can be arranged, the image acquisition device and the distance measurement device are both positioned on the platform, and the platform is installed on a rotating shaft of the rotating device and driven to rotate by the rotating device. The distance measuring device can use various modes such as a laser distance measuring instrument, an ultrasonic distance measuring instrument, an electromagnetic wave distance measuring instrument and the like, and can also use a traditional mechanical measuring tool distance measuring device. Of course, in some applications, the 3D acquisition device is located at a specific location, and its distance from the target object is calibrated, without additional measurements.
The device also comprises a light source which can be arranged on the periphery of the image acquisition device, the rotating device and the mounting platform. Of course, the light source may be separately provided, for example, a separate light source may be used to illuminate the target. Even when the lighting conditions are good, no light source is used. The light source can be an LED light source or an intelligent light source, namely, the light source parameters are automatically adjusted according to the conditions of the target object and the ambient light. Usually, the light sources are distributed around the lens of the image capturing device, for example, the light sources are ring-shaped LED lamps around the lens. Since in some applications it is desirable to control the intensity of the light source. In particular, a light softening means, for example a light softening envelope, may be arranged in the light path of the light source. Or the LED surface light source is directly adopted, so that the light is soft, and the light is more uniform. Preferably, an OLED light source can be adopted, the size is smaller, the light is softer, and the flexible OLED light source has the flexible characteristic and can be attached to a curved surface.
In order to facilitate the actual size measurement of the target object, a plurality of marking points can be arranged at the position of the target object. And the coordinates of these marked points are known. The absolute size of the 3D synthetic model is obtained by collecting the mark points and combining the coordinates thereof. These marking points may be previously set points or may be laser light spots. The method of determining the coordinates of the points may comprise: using laser to measure distance: and emitting laser towards the target object by using the calibration device to form a plurality of calibration point light spots, and obtaining the coordinates of the calibration points through the known position relation of the laser ranging units in the calibration device. And emitting laser towards the target by using the calibration device, so that the light beam emitted by the laser ranging unit in the calibration device falls on the target to form a light spot. Since the laser beams emitted from the laser ranging units are parallel to each other, the positional relationship between the respective units is known. The two-dimensional coordinates in the emission plane of the plurality of light spots formed on the target object can be obtained. The distance between each laser ranging unit and the corresponding light spot can be obtained by measuring the laser beam emitted by the laser ranging unit, namely the depth information equivalent to a plurality of light spots formed on the target object can be obtained. I.e. the depth coordinate perpendicular to the emission plane, can be obtained. Thereby, three-dimensional coordinates of each spot can be obtained. Secondly, distance measurement and angle measurement are combined: and respectively measuring the distances of the plurality of mark points and the included angles between the mark points, thereby calculating respective coordinates. Using other coordinate measuring tools: such as RTK, global coordinate positioning systems, satellite-sensitive positioning systems, position and pose sensors, etc.
3D information acquisition process
The 3D acquisition device is placed in the center of the target area, typically with the target object surrounding or partially surrounding or at least partially facing the acquisition device.
The rotating device drives the image acquisition device to rotate at a certain speed, and the image acquisition device acquires images at a set position in the rotating process. At the moment, the rotation can not be stopped, namely, the image acquisition and the rotation are synchronously carried out; or stopping rotation at the position to be acquired, acquiring images, and continuing to rotate to the next position to be acquired after acquisition is finished. The rotating means may be driven by a program in a control unit set in advance. The device can also communicate with an upper computer through a communication interface, and the rotation is controlled through the upper computer. Particularly, the rotating device can be connected with a mobile terminal in a wired or wireless mode, and the rotating device is controlled to rotate through the mobile terminal (such as a mobile phone). The rotating device can set rotating parameters through the remote platform, the cloud platform, the server, the upper computer and the mobile terminal, and the rotating start and stop of the rotating device are controlled.
The image acquisition device acquires a plurality of images of the target object, sends the images to a remote platform, a cloud platform, a server, an upper computer and/or a mobile terminal through the communication device, and carries out 3D synthesis on the target object by using a 3D model synthesis method.
In particular, the distance measuring device may be used to measure the corresponding distance parameters in the relevant formula conditions, i.e. the distance from the center of rotation to the target object and the distance from the sensor element to the target object, before or simultaneously with the acquisition. And calculating the acquisition position according to a corresponding condition formula, and prompting a user to set rotation parameters or automatically setting the rotation parameters.
When the distance measurement is carried out before the collection, the rotating device can drive the distance measurement device to rotate, so that the two distances at different positions can be measured. And respectively averaging two distances measured by a plurality of measuring points, and taking the average value as a uniform distance value acquired at this time to be introduced into a formula. The average value can be obtained by using a sum average, a weighted average, other averaging methods, or a method of discarding outliers and then averaging.
When distance measurement is carried out in the acquisition process, the rotating device rotates to the first position to carry out image acquisition, the two distance values are measured at the same time, the two distance values are brought into a condition formula to calculate the interval angle, and the next acquisition position is determined according to the angle.
Optimization of camera position
In order to ensure that the device can give consideration to the effect and efficiency of 3D synthesis, the method can be used for optimizing the acquisition position of the camera besides the conventional method for optimizing the synthesis algorithm. Especially in the case of 3D acquisition synthesis devices in which the acquisition direction of the camera and the direction of its axis of rotation deviate from each other, the prior art does not mention how to perform a better optimization of the camera position for such devices. Even if some optimization methods exist, they are different empirical conditions obtained under different experiments. In particular, some existing position optimization methods require obtaining the size of the target, which is feasible in the wrap-around 3D acquisition, and can be measured in advance. However, it is difficult to measure in advance in an open space. It is therefore desirable to propose a method that can be adapted to camera position optimization when the acquisition direction of the camera of the 3D acquisition composition device and its rotation axis direction deviate from each other. This is the problem to be solved by the present invention, and a technical contribution is made.
For this reason, the present invention has performed a large number of experiments, and it is concluded that an empirical condition that the interval of camera acquisition is preferably satisfied when acquisition is performed is as follows.
When 3D acquisition is carried out, the included angle alpha of the optical axis of the image acquisition device at two adjacent positions meets the following condition:
Figure BDA0002726975890000071
wherein,
r is the distance from the center of rotation to the surface of the target,
t is the sum of the object distance and the image distance during acquisition, namely the distance between the photosensitive unit of the image acquisition device and the target object.
d is the length or width of a photosensitive element (CCD) of the image acquisition device, and when the two positions are along the length direction of the photosensitive element, the length of the rectangle is taken as d; when the two positions are along the width direction of the photosensitive element, d takes a rectangular width.
And F is the focal length of the lens of the image acquisition device.
u is an empirical coefficient.
Usually, a distance measuring device, for example a laser distance meter, is arranged on the acquisition device. The optical axis of the distance measuring device is parallel to the optical axis of the image acquisition device, so that the distance from the acquisition device to the surface of the target object can be measured, and R and T can be obtained according to the known position relation between the distance measuring device and each part of the acquisition device by using the measured distance.
When the image acquisition device is at any one of the two positions, the distance from the photosensitive element to the surface of the target object along the optical axis is taken as T. In addition to this method, multiple averaging or other methods can be used, the principle being that the value of T should not deviate from the sum of the image distances from the object at the time of acquisition.
Similarly, when the image pickup device is in any one of the two positions, the distance from the rotation center to the surface of the object along the optical axis is defined as R. In addition to this method, multiple averaging or other methods can be used, with the principle that the value of R should not deviate from the radius of rotation at the time of acquisition.
In general, the size of an object is adopted as a method for estimating the position of a camera in the prior art. Since the object size will vary with the measurement object. For example, when a large object is acquired 3D information and then a small object is acquired, the size needs to be measured again and reckoning needs to be performed again. The inconvenient measurement and the repeated measurement bring errors in measurement, thereby causing errors in camera position estimation. According to the scheme, the experience conditions required to be met by the position of the camera are given according to a large amount of experimental data, and the size of an object does not need to be directly measured. In the empirical condition, d and F are both fixed parameters of the camera, and corresponding parameters can be given by a manufacturer when the camera and the lens are purchased without measurement. R, T is only a straight line distance that can be easily measured by conventional measuring methods such as a ruler and a laser rangefinder. Meanwhile, in the apparatus of the present invention, the capturing direction of the image capturing device (e.g., camera) and the direction of the rotation axis thereof are away from each other, that is, the lens is oriented substantially opposite to the rotation center. At the moment, the included angle alpha of the optical axis for controlling the image acquisition device to perform twice positions is easier, and only the rotation angle of the rotary driving motor needs to be controlled. Therefore, it is more reasonable to use α to define the optimal position. Therefore, the empirical formula of the invention enables the preparation process to be convenient and fast, and simultaneously improves the arrangement accuracy of the camera position, so that the camera can be arranged in an optimized position, thereby simultaneously considering the 3D synthesis precision and speed.
According to a number of experiments, u should be less than 0.498 in order to ensure the speed and effect of the synthesis, and for better synthesis effect, u is preferably <0.411, especially preferably <0.359, in some applications u <0.281, or u <0.169, or u <0.041, or u < 0.028.
Experiments were carried out using the apparatus of the invention, and some experimental data are shown below, in mm. (the following data are given by way of example only)
Figure BDA0002726975890000091
The above data are obtained by experiments for verifying the conditions of the formula, and do not limit the invention. Without these data, the objectivity of the formula is not affected. Those skilled in the art can adjust the equipment parameters and the step details as required to perform experiments, and obtain other data which also meet the formula conditions.
3D model synthesis method
A plurality of images acquired by the image acquisition device are sent to the processing unit, and a 3D model is constructed by using the following algorithm. The processing unit can be located in the acquisition equipment or remotely, such as a cloud platform, a server, an upper computer and the like.
The specific algorithm mainly comprises the following steps:
step 1: and performing image enhancement processing on all input photos. The contrast of the original picture is enhanced and simultaneously the noise suppressed using the following filters.
Figure BDA0002726975890000092
In the formula: g (x, y) is the gray value of the original image at (x, y), f (x, y) is the gray value of the original image at the position after being enhanced by the Wallis filter, and mgIs the local gray average value, s, of the original imagegIs the local standard deviation of gray scale of the original image, mfFor the transformed image local gray scale target value, sfThe target value of the standard deviation of the local gray scale of the image after transformation. c belongs to (0, 1) as the expansion constant of the image variance, and b belongs to (0, 1) as the image brightness coefficient constant.
The filter can greatly enhance image texture modes of different scales in an image, so that the quantity and the precision of feature points can be improved when the point features of the image are extracted, and the reliability and the precision of a matching result are improved in photo feature matching.
Step 2: and extracting feature points of all input photos, and matching the feature points to obtain sparse feature points. And extracting and matching feature points of the photos by adopting a SURF operator. The SURF feature matching method mainly comprises three processes of feature point detection, feature point description and feature point matching. The method uses a Hessian matrix to detect characteristic points, a Box filter (Box Filters) is used for replacing second-order Gaussian filtering, an integral image is used for accelerating convolution to improve the calculation speed, and the dimension of a local image characteristic descriptor is reduced to accelerate the matching speed. The method mainly comprises the steps of firstly, constructing a Hessian matrix, generating all interest points for feature extraction, and constructing the Hessian matrix for generating stable edge points (catastrophe points) of an image; secondly, establishing scale space characteristic point positioning, comparing each pixel point processed by the Hessian matrix with 26 points in a two-dimensional image space and a scale space neighborhood, preliminarily positioning a key point, filtering the key point with weak energy and the key point with wrong positioning, and screening out a final stable characteristic point; and thirdly, determining the main direction of the characteristic points by adopting the harr wavelet characteristics in the circular neighborhood of the statistical characteristic points. In a circular neighborhood of the feature points, counting the sum of horizontal and vertical harr wavelet features of all points in a sector of 60 degrees, rotating the sector at intervals of 0.2 radian, counting the harr wavelet feature values in the region again, and taking the direction of the sector with the largest value as the main direction of the feature points; and fourthly, generating a 64-dimensional feature point description vector, and taking a 4-by-4 rectangular region block around the feature point, wherein the direction of the obtained rectangular region is along the main direction of the feature point. Each subregion counts haar wavelet features of 25 pixels in both the horizontal and vertical directions, where both the horizontal and vertical directions are relative to the principal direction. The haar wavelet features are in 4 directions of the sum of the horizontal direction value, the vertical direction value, the horizontal direction absolute value and the vertical direction absolute value, and the 4 values are used as feature vectors of each sub-block region, so that a total 4 x 4-64-dimensional vector is used as a descriptor of the Surf feature; and fifthly, matching the characteristic points, wherein the matching degree is determined by calculating the Euclidean distance between the two characteristic points, and the shorter the Euclidean distance is, the better the matching degree of the two characteristic points is.
And step 3: inputting matched feature point coordinates, resolving the sparse three-dimensional point cloud of the target object and the position and posture data of the photographing camera by using a light beam method adjustment, namely obtaining model coordinate values of the sparse three-dimensional point cloud of the target object model and the position; and performing multi-view photo dense matching by taking the sparse feature points as initial values to obtain dense point cloud data. The process mainly comprises four steps: stereo pair selection, depth map calculation, depth map optimization and depth map fusion. For each image in the input data set, we select a reference image to form a stereo pair for use in computing the depth map. Therefore, we can get rough depth maps of all images, which may contain noise and errors, and we use its neighborhood depth map to perform consistency check to optimize the depth map of each image. And finally, carrying out depth map fusion to obtain the three-dimensional point cloud of the whole scene.
And 4, step 4: and reconstructing the curved surface of the target object by using the dense point cloud. The method comprises the steps of defining an octree, setting a function space, creating a vector field, solving a Poisson equation and extracting an isosurface. And obtaining an integral relation between the sampling point and the indicating function according to the gradient relation, obtaining a vector field of the point cloud according to the integral relation, and calculating the approximation of the gradient field of the indicating function to form a Poisson equation. And (3) solving an approximate solution by using matrix iteration according to a Poisson equation, extracting an isosurface by adopting a moving cube algorithm, and reconstructing a model of the measured point cloud.
And 5: full-automatic texture mapping of object models. And after the surface model is constructed, texture mapping is carried out. The main process comprises the following steps: texture data is obtained to reconstruct a surface triangular surface grid of a target through an image; and secondly, reconstructing the visibility analysis of the triangular surface of the model. Calculating a visible image set and an optimal reference image of each triangular surface by using the calibration information of the image; and thirdly, clustering the triangular surface to generate a texture patch. Clustering the triangular surfaces into a plurality of reference image texture patches according to the visible image set of the triangular surfaces, the optimal reference image and the neighborhood topological relation of the triangular surfaces; and fourthly, automatically sequencing the texture patches to generate texture images. And sequencing the generated texture patches according to the size relationship of the texture patches to generate a texture image with the minimum surrounding area, and obtaining the texture mapping coordinate of each triangular surface.
It should be noted that the above algorithm is an algorithm used by the present invention, and the algorithm is matched with the image acquisition condition, and the time and quality of the synthesis are considered by using the algorithm. It will be appreciated that conventional 3D synthesis algorithms known in the art may be used with the solution of the invention.
Examples of the applications
In order to construct a 3D model in a certain building, 3D acquisition equipment is placed on an indoor bottom plate, the height of a portable support is adjusted according to the building height, a plurality of images of the building are acquired through rotation, and 3D model synthesis is carried out according to a synthesis algorithm, so that the indoor 3D model is constructed, and subsequent decoration and display are facilitated. When the building is too high, building images of areas with different heights need to be acquired through the lifting device for 3D synthesis.
The target object, and the object all represent objects for which three-dimensional information is to be acquired. The object may be a solid object or a plurality of object components. The three-dimensional information of the target object comprises a three-dimensional image, a three-dimensional point cloud, a three-dimensional grid, a local three-dimensional feature, a three-dimensional size and all parameters with the three-dimensional feature of the target object. Three-dimensional in the present invention means having XYZ three-direction information, particularly depth information, and is essentially different from only two-dimensional plane information. It is also fundamentally different from some definitions, which are called three-dimensional, panoramic, holographic, three-dimensional, but actually comprise only two-dimensional information, in particular not depth information.
The capture area in the present invention refers to a range in which an image capture device (e.g., a camera) can capture an image. The image acquisition device can be a CCD, a CMOS, a camera, a video camera, an industrial camera, a monitor, a camera, a mobile phone, a tablet, a notebook, a mobile terminal, a wearable device, intelligent glasses, an intelligent watch, an intelligent bracelet and all devices with image acquisition functions.
In the description provided herein, numerous specific details are set forth. It is understood, however, that embodiments of the invention may be practiced without these specific details. In some instances, well-known methods, structures and techniques have not been shown in detail in order not to obscure an understanding of this description.
Similarly, it should be appreciated that in the foregoing description of exemplary embodiments of the invention, various features of the invention are sometimes grouped together in a single embodiment, figure, or description thereof for the purpose of streamlining the disclosure and aiding in the understanding of one or more of the various inventive aspects. However, the disclosed method should not be interpreted as reflecting an intention that: that the invention as claimed requires more features than are expressly recited in each claim. Rather, as the following claims reflect, inventive aspects lie in less than all features of a single foregoing disclosed embodiment. Thus, the claims following the detailed description are hereby expressly incorporated into this detailed description, with each claim standing on its own as a separate embodiment of this invention.
Those skilled in the art will appreciate that the modules in the device in an embodiment may be adaptively changed and disposed in one or more devices different from the embodiment. The modules or units or components of the embodiments may be combined into one module or unit or component, and furthermore they may be divided into a plurality of sub-modules or sub-units or sub-components. All of the features disclosed in this specification (including any accompanying claims, abstract and drawings), and all of the processes or elements of any method or apparatus so disclosed, may be combined in any combination, except combinations where at least some of such features and/or processes or elements are mutually exclusive. Each feature disclosed in this specification (including any accompanying claims, abstract and drawings) may be replaced by alternative features serving the same, equivalent or similar purpose, unless expressly stated otherwise.
Furthermore, those skilled in the art will appreciate that while some embodiments herein include some features included in other embodiments, rather than other features, combinations of features of different embodiments are meant to be within the scope of the invention and form different embodiments. For example, in the claims, any of the claimed embodiments may be used in any combination.
The various component embodiments of the invention may be implemented in hardware, or in software modules running on one or more processors, or in a combination thereof. It will be appreciated by those skilled in the art that a microprocessor or Digital Signal Processor (DSP) may be used in practice to implement some or all of the functionality of some or all of the components in an apparatus in accordance with embodiments of the present invention. The present invention may also be embodied as apparatus or device programs (e.g., computer programs and computer program products) for performing a portion or all of the methods described herein. Such programs implementing the present invention may be stored on computer-readable media or may be in the form of one or more signals. Such a signal may be downloaded from an internet website or provided on a carrier signal or in any other form.
It should be noted that the above-mentioned embodiments illustrate rather than limit the invention, and that those skilled in the art will be able to design alternative embodiments without departing from the scope of the appended claims. In the claims, any reference signs placed between parentheses shall not be construed as limiting the claim. The word "comprising" does not exclude the presence of elements or steps not listed in a claim. The word "a" or "an" preceding an element does not exclude the presence of a plurality of such elements. The invention may be implemented by means of hardware comprising several distinct elements, and by means of a suitably programmed computer. In the unit claims enumerating several means, several of these means may be embodied by one and the same item of hardware. The usage of the words first, second and third, etcetera do not indicate any ordering. These words may be interpreted as names.
Thus, it should be appreciated by those skilled in the art that while a number of exemplary embodiments of the invention have been illustrated and described in detail herein, many other variations or modifications consistent with the principles of the invention may be directly determined or derived from the disclosure of the present invention without departing from the spirit and scope of the invention. Accordingly, the scope of the invention should be understood and interpreted to cover all such other variations or modifications.

Claims (12)

1. The utility model provides a portable intelligent vision 3D information acquisition equipment which characterized in that: comprises an image acquisition device, a rotating device and a portable bracket;
the image acquisition device is connected with the rotating device and is driven to rotate by the rotating device;
the portable bracket is used for bearing the rotating device;
the included angle alpha of the optical axes of the image acquisition devices at two adjacent acquisition positions meets the following condition:
Figure FDA0002979801590000011
wherein, R is the distance from the rotation center to the surface of the target object, T is the sum of the object distance and the image distance during acquisition, d is the length or the width of a photosensitive element of the image acquisition device, F is the focal length of a lens of the image acquisition device, and u is an empirical coefficient.
2. The apparatus of claim 1, wherein: u <0.498, or u <0.411, or u <0.359, or u <0.281, or u <0.169, or u <0.041, or u < 0.028.
3. The apparatus of claim 1, wherein: the portable support is adjustable in height.
4. The apparatus of claim 1, wherein: the portable type image acquisition device further comprises a lifting device, one end of the lifting device is connected with the rotating device, the other end of the lifting device is connected with the portable support, and the lifting device is used for stretching in the direction vertical to the optical axis of the image acquisition device, so that the image acquisition device can be positioned at different positions.
5. The apparatus of claim 1, wherein: the optical acquisition ports of the image acquisition devices are back to the direction of the rotating shaft.
6. The apparatus of claim 1, wherein: the portable support is internally provided with a power supply.
7. The apparatus of claim 1, wherein: the lifting device is manually adjusted or electrically adjusted.
8. The apparatus of claim 1, wherein: the lifting device further comprises a locking mechanism.
9. A 3D synthesis or recognition apparatus, characterized by: comprising the apparatus of any one of claims 1-8.
10. A 3D synthesis or identification method, characterized by: comprising the apparatus of any one of claims 1-8.
11. An object manufacturing or display apparatus, characterized by: comprising the apparatus of any one of claims 1-8.
12. A method of manufacturing or displaying an object, comprising: comprising the apparatus of any one of claims 1-8.
CN202011105989.4A2020-10-152020-10-15Portable intelligent 3D information acquisition equipmentActiveCN112254676B (en)

Priority Applications (2)

Application NumberPriority DateFiling DateTitle
CN202011105989.4ACN112254676B (en)2020-10-152020-10-15Portable intelligent 3D information acquisition equipment
PCT/CN2021/123700WO2022078417A1 (en)2020-10-152021-10-14Rotatory intelligent visual 3d information collection device

Applications Claiming Priority (1)

Application NumberPriority DateFiling DateTitle
CN202011105989.4ACN112254676B (en)2020-10-152020-10-15Portable intelligent 3D information acquisition equipment

Publications (2)

Publication NumberPublication Date
CN112254676A CN112254676A (en)2021-01-22
CN112254676Btrue CN112254676B (en)2022-01-28

Family

ID=74243706

Family Applications (1)

Application NumberTitlePriority DateFiling Date
CN202011105989.4AActiveCN112254676B (en)2020-10-152020-10-15Portable intelligent 3D information acquisition equipment

Country Status (1)

CountryLink
CN (1)CN112254676B (en)

Families Citing this family (2)

* Cited by examiner, † Cited by third party
Publication numberPriority datePublication dateAssigneeTitle
WO2022078417A1 (en)*2020-10-152022-04-21左忠斌Rotatory intelligent visual 3d information collection device
CN113419396B (en)*2021-07-062022-06-17蚌埠学院 A revolving camera and a camera with the camera

Family Cites Families (9)

* Cited by examiner, † Cited by third party
Publication numberPriority datePublication dateAssigneeTitle
JPH1023297A (en)*1996-07-031998-01-23Canon Inc Image input device
JP2003262510A (en)*2002-03-082003-09-19Center For Advanced Science & Technology Incubation Ltd Three-dimensional shape measuring method and three-dimensional scanner
CN101586946A (en)*2009-05-222009-11-25华南理工大学Stereo visual angle switching method and device for converse measurement
CN101726257B (en)*2009-12-222011-03-09西安交通大学Multiple eye large range laser scanning measurement method
JP5770486B2 (en)*2011-02-212015-08-26株式会社トプコン All-around image measuring device
CN105783741A (en)*2016-05-192016-07-20母曼曼Camera base with grating scale
CN111060024B (en)*2018-09-052021-11-30天目爱视(北京)科技有限公司3D measuring and acquiring device with rotation center shaft intersected with image acquisition device
CN211178345U (en)*2019-12-122020-08-04天目爱视(北京)科技有限公司Three-dimensional acquisition equipment
CN111351447B (en)*2020-01-212021-03-23天目爱视(北京)科技有限公司 A hand intelligent 3D information collection and measurement device

Also Published As

Publication numberPublication date
CN112254676A (en)2021-01-22

Similar Documents

PublicationPublication DateTitle
CN112254670B (en)3D information acquisition equipment based on optical scanning and intelligent vision integration
CN112492292B (en)Intelligent visual 3D information acquisition equipment of free gesture
CN112257537B (en)Intelligent multi-point three-dimensional information acquisition equipment
CN112257536B (en)Space and object three-dimensional information acquisition and matching equipment and method
CN112303423B (en)Intelligent three-dimensional information acquisition equipment stable in rotation
CN112361962B (en)Intelligent visual 3D information acquisition equipment of many every single move angles
CN112484663B (en)Intelligent visual 3D information acquisition equipment of many angles of rolling
CN112254680B (en)Multi freedom&#39;s intelligent vision 3D information acquisition equipment
CN112254638B (en)Intelligent visual 3D information acquisition equipment that every single move was adjusted
CN112253913B (en)Intelligent visual 3D information acquisition equipment deviating from rotation center
CN112254675B (en)Space occupancy rate acquisition and judgment equipment and method containing moving object
CN112254676B (en)Portable intelligent 3D information acquisition equipment
CN112082486B (en)Handheld intelligent 3D information acquisition equipment
CN112254669B (en)Intelligent visual 3D information acquisition equipment of many bias angles
CN112254673B (en)Self-rotation type intelligent vision 3D information acquisition equipment
CN112254678B (en)Indoor 3D information acquisition equipment and method
CN112254677B (en)Multi-position combined 3D acquisition system and method based on handheld device
CN112254671B (en)Multi-time combined 3D acquisition system and method
CN112254653B (en)Program control method for 3D information acquisition
CN112304250B (en)Three-dimensional matching equipment and method between moving objects
CN112254679A (en)Multi-position combined 3D acquisition system and method
CN112254672B (en)Height-adjustable&#39;s intelligent 3D information acquisition equipment
CN112254674B (en)Close-range intelligent visual 3D information acquisition equipment
CN112257535A (en)Three-dimensional matching equipment and method for avoiding object
WO2022078417A1 (en)Rotatory intelligent visual 3d information collection device

Legal Events

DateCodeTitleDescription
PB01Publication
PB01Publication
SE01Entry into force of request for substantive examination
SE01Entry into force of request for substantive examination
GR01Patent grant
GR01Patent grant

[8]ページ先頭

©2009-2025 Movatter.jp