

技术领域technical field
本发明属于电力系统中电网扩展规划技术领域,尤其涉及考虑客户诉求的电网扩展规划适应性分析方法。The invention belongs to the technical field of power grid expansion planning in power systems, and in particular relates to a power grid expansion planning adaptability analysis method considering customer demands.
背景技术Background technique
电力系统中电能的分配和传输主要依靠电网规划实现,在电力系统中,我国不同地区的用电量、电力设施、用户等存在很大差异,电力系统并没有固定的模式,传统的电网规划方案可能无法适应现代化的市场环境中复杂多变的特性,不具备新时期的经济性、适应性以及可靠性等相关指标。由于电力市场这个大环境较为复杂多变,很多不确定性因素层出不穷,在对电网规划方案进行评估时难度加大,只有进行充分的考虑,才能尽可能地提高规划方案的可行性。The distribution and transmission of electric energy in the power system mainly depends on the power grid planning. In the power system, there are great differences in the power consumption, power facilities, and users in different regions of my country. There is no fixed mode for the power system. The traditional power grid planning scheme It may not be able to adapt to the complex and changeable characteristics of the modern market environment, and does not have relevant indicators such as economy, adaptability and reliability in the new era. Due to the complex and changeable environment of the power market, many uncertain factors emerge in an endless stream, and it is more difficult to evaluate the power grid planning scheme. Only by fully considering it, can the feasibility of the planning scheme be improved as much as possible.
因此,基于这些问题,提供一种能有效评价考虑客户诉求的电网规划的适应程度,为决策是否需调整电网规划方案提供依据的考虑客户诉求的电网扩展规划适应性分析方法,具有重要的现实意义。Therefore, based on these problems, it is of great practical significance to provide a power grid expansion planning adaptability analysis method that can effectively evaluate the adaptability of power grid planning considering customer demands and provide a basis for decision-making on whether to adjust the power grid planning scheme. .
发明内容SUMMARY OF THE INVENTION
本发明的目的在于克服现有技术的不足,提供一种能有效评价考虑客户诉求的电网规划的适应程度,为决策是否需调整电网规划方案提供依据的考虑客户诉求的电网扩展规划适应性分析方法。The purpose of the present invention is to overcome the deficiencies of the prior art, and to provide a power grid expansion planning adaptability analysis method that can effectively evaluate the adaptability of power grid planning considering customer demands, and provide a basis for deciding whether to adjust the power grid planning scheme. .
本发明解决其技术问题是采取以下技术方案实现的:The present invention solves its technical problem by adopting the following technical solutions to realize:
考虑客户诉求的电网扩展规划适应性分析方法,包括如下步骤:An adaptive analysis method for grid expansion planning considering customer demands, including the following steps:
获取年总用户可靠性投诉次数、平均供电可靠率、用户负荷等级、系统平均停电频率、电压等级、节点容量;Obtain the annual total number of user reliability complaints, average power supply reliability rate, user load level, system average power outage frequency, voltage level, and node capacity;
确定年总用户可靠性投诉次数对适应性的影响因子平均供电可靠率对适应性的影响因子AASAI、用户负荷等级对适应性的影响因子Al、系统平均停电频率对适应性的影响因子Af、电压等级对适应性的影响因子节点容量对适应性的影响因子Determining the Influencing Factors of Annual Total User Reliability Complaints on Adaptability The influence factor AASAI of the average power supply reliability rate on the adaptability, the influence factor Al of the user load level on the adaptability, the influence factor Af of the average power failure frequency of the system on the adaptability, the influence factor of the voltage level on the adaptability Influence factor of node capacity on adaptability
确定最终适应性指标A:Determine the final fitness indicator A:
对电网扩展规划适应性进行判断:若A值大于0则表示具有较强适应性;若A值等于0则表示具备适应能力;若A值小于0则表示不具有适应性。Judge the adaptability of power grid expansion planning: if the value of A is greater than 0, it means that it has strong adaptability; if the value of A is equal to 0, it means that it has adaptability; if the value of A is less than 0, it means that it has no adaptability.
进一步的,所述年总用户可靠性投诉次数对适应性的影响因子为:Further, the influence factor of the total number of user reliability complaints in the year on the adaptability for:
其中,Nuc_n为年用户投诉总次数,n为正整数,Nuc_min为评估对象近n 年之中与可靠性相关的每年用户投诉总次数中的最小值,Nuc_max为评估对象近n年之中与可靠性相关的每年用户投诉总次数中的最大值,为历年投诉次数的总和。Among them, Nuc_n is the total number of user complaints per year, n is a positive integer, Nuc_min is the minimum value of the total number of annual user complaints related to reliability of the evaluation object in the past n years, and Nuc_max is the evaluation object in the past n years. The maximum number of total annual user complaints related to reliability in It is the sum of the number of complaints over the years.
进一步的,所述平均供电可靠率对适应性的影响因子AASAI为:Further, the influence factor AASAI of the average power supply reliability rate on the adaptability is:
其中,tq、mq为第q次停电的停电时间、停电户数,M为总用户数, T为统计时间。Among them, tq and mq are the outage time of the qth outage and the number of outage households, M is the total number of users, and T is the statistical time.
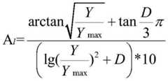
进一步的,所述用户负荷等级对适应性的影响因子Al为:Further, the influence factor Al of the user load level on the adaptability is:
其中,D为用户负荷等级,用户负荷等级分为一级、二级、三级,即D=1、2、3;Y为用户数,Ymax为所有负荷等级用户数。Among them, D is the user load level, which is divided into first, second, and third levels, namely D=1, 2, 3; Y is the number of users, and Ymax is the number of users of all load levels.
进一步的,所述系统平均停电频率对适应性的影响因子Af为:Further, the influence factor Af of the average power failure frequency of the system on the adaptability is:
Af=lg(|100SAIFI-25|*10)Af =lg(|100SAIFI-25|*10)
其中,SAIFI为由系统供电的用户在单位时间内所遭受到的平均停电次数。Among them, SAIFI is the average number of power outages suffered by users powered by the system in unit time.
进一步的,所述电压等级对适应性的影响因子为:Further, the influence factor of the voltage level on the adaptability for:
其中,Uk为当前电压等级,Ui为节点电压。Among them, Uk is the current voltage level, and Ui is the node voltage.
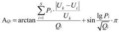
进一步的,所述节点容量对适应性的影响因子为:Further, the influence factor of the node capacity on the adaptability for:
其中,i为某一处的节点,Uk为当前电压等级,Ui为节点电压,Qi为电网扩展规划后的装机容量,Pi为额定功率。Among them, i is a node at a certain place, Uk is the current voltage level, Ui is the node voltage, Qi is the installed capacity after grid expansion planning, and P iis the rated power.
进一步的,所述电压等级Uk可为220kV、110kV、35kV、10kV、6kV、 380V、220V中的任意之一。Further, the voltage level Uk may be any one of 220kV, 110kV, 35kV, 10kV, 6kV, 380V, and 220V.
本发明的优点和积极效果是:The advantages and positive effects of the present invention are:
本发明的方法主要通过采集客户诉求和供电可靠性相关数据,包括:年总用户可靠性投诉次数、平均供电可靠率、用户负荷等级、系统平均停电频率、电压等级、节点容量几项数据,然后进行详细的适应性指标算法设计,通过适应性指标大小来判断电网规划后的适应性情况,为用户更合理的提供电能;基于本发明专利所提方法,电网规划人员应分析考虑客户诉求电网扩展规划的适应性产生的影响,从而决策是否需调整电网规划方案,有助于对不具备适应能力的情况采取适当的建设改造方案,并为实现经济运行打好基础。The method of the invention mainly collects data related to customer demands and power supply reliability, including: the total number of annual user reliability complaints, the average power supply reliability rate, the user load level, the system average power outage frequency, the voltage level, and the node capacity. Carry out detailed adaptive index algorithm design, and judge the adaptability of the power grid after planning through the size of the adaptive index, so as to provide users with electric energy more reasonably; based on the method proposed in the patent of the present invention, power grid planners should analyze and consider customer demands for grid expansion The impact of the adaptability of planning, so as to decide whether to adjust the power grid planning scheme, help to adopt appropriate construction and transformation scheme for the situation that does not have the ability to adapt, and lay a good foundation for the realization of economic operation.
附图说明Description of drawings
以下将结合附图和实施例来对本发明的技术方案作进一步的详细描述,但是应当知道,这些附图仅是为解释目的而设计的,因此不作为本发明范围的限定。此外,除非特别指出,这些附图仅意在概念性地说明此处描述的结构构造,而不必要依比例进行绘制。The technical solutions of the present invention will be described in further detail below with reference to the accompanying drawings and embodiments, but it should be understood that these drawings are only designed for the purpose of explanation, and therefore are not intended to limit the scope of the present invention. Furthermore, unless otherwise indicated, the drawings are intended only to conceptually illustrate the structural configurations described herein and are not necessarily drawn to scale.
图1为本发明实施例中提供的基于蒙特卡罗模拟的适应性分析流程;1 is an adaptive analysis process based on Monte Carlo simulation provided in an embodiment of the present invention;
图2为本发明实施例中提供的利用两种方案进行适应性分析的电压稳定性对比;Fig. 2 is the voltage stability comparison that utilizes two kinds of schemes to carry out adaptive analysis provided in the embodiment of the present invention;
具体实施方式Detailed ways
首先,需要说明的是,以下将以示例方式来具体说明本发明的具体结构、特点和优点等,然而所有的描述仅是用来进行说明的,而不应将其理解为对本发明形成任何限制。此外,在本文所提及各实施例中予以描述或隐含的任意单个技术特征,或者被显示或隐含在各附图中的任意单个技术特征,仍然可在这些技术特征(或其等同物)之间继续进行任意组合或删减,从而获得可能未在本文中直接提及的本发明的更多其他实施例。First of all, it should be noted that the specific structure, features and advantages of the present invention will be described in detail below by way of example, but all descriptions are only for illustration, and should not be construed as forming any limitation to the present invention . In addition, any single technical feature described or implied in the various embodiments mentioned herein, or any single technical feature shown or implied in the respective drawings, can still be used in these technical features (or their equivalents) ) in any combination or omission to obtain further other embodiments of the invention that may not be directly mentioned herein.
需要说明的是,在不冲突的情况下,本申请中的实施例及实施例中的特征可以相互组合。It should be noted that the embodiments in the present application and the features of the embodiments may be combined with each other in the case of no conflict.
本实施例提供的考虑客户诉求的电网扩展规划适应性分析方法,包括如下步骤:The adaptability analysis method for power grid expansion planning that considers customer demands provided by this embodiment includes the following steps:
获取年总用户可靠性投诉次数、平均供电可靠率、用户负荷等级、系统平均停电频率、电压等级、节点容量;Obtain the annual total number of user reliability complaints, average power supply reliability rate, user load level, system average power outage frequency, voltage level, and node capacity;
确定年总用户可靠性投诉次数对适应性的影响因子平均供电可靠率对适应性的影响因子AASAI、用户负荷等级对适应性的影响因子Al、系统平均停电频率对适应性的影响因子Af、电压等级对适应性的影响因子节点容量对适应性的影响因子Determining the Influencing Factors of Annual Total User Reliability Complaints on Adaptability The influence factor AASAI of the average power supply reliability rate on the adaptability, the influence factor Al of the user load level on the adaptability, the influence factor Af of the average power failure frequency of the system on the adaptability, the influence factor of the voltage level on the adaptability Influence factor of node capacity on adaptability
确定最终适应性指标A:Determine the final fitness indicator A:
对电网扩展规划适应性进行判断:若A值大于0则表示具有较强适应性;若A值等于0则表示具备适应能力;若A值小于0则表示不具有适应性。Judge the adaptability of power grid expansion planning: if the value of A is greater than 0, it means that it has strong adaptability; if the value of A is equal to 0, it means that it has adaptability; if the value of A is less than 0, it means that it has no adaptability.
其中:in:
对电网扩展规划的适应性影响中需要考虑与用户供电可靠性需求的匹配程度,基于当前情况下的用户需求来考虑电网扩展规划的可靠率水平,分析当前可靠性能否满足用户需求,作为电网扩展规划实施的科学依据。在年用户投诉总次数Nuc_n的基础上总结出n年之中与可靠性投诉相关的最大值Nuc_max以及最小值Nuc_min,考虑可靠性投诉次数的偏差值利用其反正切关系投诉次数对电网扩展规划的适应性主要影响系数,结合历年投诉次数的总和推导出年总用户可靠性投诉次数对适应性影响因子In the adaptability impact on the power grid expansion planning, the degree of matching with the user's power supply reliability needs should be considered. Based on the current user needs, the reliability rate level of the power grid expansion planning should be considered, and whether the current reliability can meet the user needs is analyzed. The scientific basis for the implementation of the plan. Summarize the maximum value Nuc_max and the minimum value Nuc_min related to reliability complaints in n years on the basis of the total number of user complaints Nuc_n in the year, and consider the deviation value of the number of reliability complaints Using its arctangent relationship The main influence coefficient of the number of complaints on the adaptability of power grid expansion planning, combined with the sum of the number of complaints over the years Deriving the influence factor of annual total user reliability complaints on adaptability
其中,Nuc_n为年用户投诉总次数,n为正整数,Nuc_min为评估对象近n 年之中与可靠性相关的每年用户投诉总次数中的最小值,Nuc_max为评估对象近n年之中与可靠性相关的每年用户投诉总次数中的最大值,为历年投诉次数的总和。Among them, Nuc_n is the total number of user complaints per year, n is a positive integer, Nuc_min is the minimum value of the total number of annual user complaints related to reliability of the evaluation object in the past n years, and Nuc_max is the evaluation object in the past n years. The maximum number of total annual user complaints related to reliability in It is the sum of the number of complaints over the years.
供电可靠率是供电可靠性的主要评价指标,供电可靠率体现的是供电企业对客户持续供电服务能力及企业综合管理水平,在统计期间内,对用户有效供电时间总小时数与统计期间小时数的比值,是反映供电系统对用户供电的可靠度指标,在平均供电可靠率基础上,利用平均停电用户的正弦函数值和平均停电时间的余弦函数值综合考虑平均供电可靠性对电网扩展规划的适应性影响因子:The power supply reliability rate is the main evaluation index of the power supply reliability. The power supply reliability rate reflects the power supply enterprise's ability to continuously supply power to customers and the comprehensive management level of the enterprise. During the statistical period, the total number of hours of effective power supply to users and the number of hours in the statistical period The ratio of , which reflects the reliability index of the power supply system to the user's power supply, in the average power supply reliability rate Based on the sine function of average outage users Cosine function of value and average outage time The value comprehensively considers the adaptive influence factor of average power supply reliability on grid expansion planning:
其中,tq、mq为第q次停电的停电时间、停电户数,M为总用户数, T为统计时间。Among them, tq and mq are the outage time of the qth outage and the number of outage households, M is the total number of users, and T is the statistical time.
用户负荷等级标准按照重要性分为一级、二级、三级,一级负荷指供电中断将造成人身伤亡、重大经济损失、公共场所秩序严重混乱和重大政治影响的用户;二级负荷指供电中断将造成较大政治影响、较大经济损失、公共场所秩序混乱的用户;三级负荷指对供电无特殊要求、允许供电系统出现故障时暂时中断供电。高等级负荷停电对社会效益损失更严重,其可靠性需求也更高,用户负荷等级是通过用户负荷的重要性程度和社会价值侧面反映可靠性规划的用户需求,用户负荷等级与所有负荷等级的比值通过反正切函数和对数函数定义负荷用户数对适应性影响系数,再通过正切函数的值综合考虑用户负荷等级作为电网扩展规划后适应性评价指标,并通过量化该标准获得用户负荷等级对适应性影响因子Al为:The user load level standards are divided into first, second and third levels according to their importance. The first load refers to the users whose power supply interruption will cause personal casualties, major economic losses, serious disorder in public places and major political impact; the second load refers to the power supply. Interruption will cause greater political impact, greater economic losses, and disordered users in public places; third-level load refers to the temporary interruption of power supply when there is no special requirement for power supply and the power supply system is allowed to fail. High-level load power outages have more serious losses to social benefits, and their reliability requirements are also higher. The user load level reflects the user needs of reliability planning through the importance of the user load and social value. The user load level is related to all load levels. ratio The influence coefficient of the number of load users on the adaptability is defined by the arc tangent function and the logarithmic function, and then the tangent function is used The value of the user load level is considered as the adaptability evaluation index after grid expansion planning, and the user load level on the adaptability influence factor Al obtained by quantifying this standard is:
其中,D为用户负荷等级,用户负荷等级分为一级、二级、三级,即D=1、2、3,Y为用户数,Ymax为所有负荷等级用户数。Among them, D is the user load level, and the user load level is divided into first, second, and third levels, that is, D=1, 2, 3, Y is the number of users, and Ymax is the number of users of all load levels.
平均停电频率是供电可靠性的主要评价指标,通过平均停电频率能够基本反映出电网扩展规划后供电可靠性水平,所述系统平均停电频率对适应性的影响因子Af为:The average power failure frequency is the main evaluation index of power supply reliability. The average power failure frequency can basically reflect the power supply reliability level after the grid expansion plan. The influence factor Af of the system average power failure frequency on the adaptability is:
Af=lg(|100SAIFI-25|*10)Af =lg(|100SAIFI-25|*10)
其中,SAIFI为由系统供电的用户在单位时间内所遭受到的平均停电次数。Among them, SAIFI is the average number of power outages suffered by users powered by the system in unit time.
考虑在各个电压等级下的电压对电网拓展规划的适应性评价,其电压的变化代表电网在拓展规划时电压偏差超标节点的增加比例以及电能质量的变化情况,利用实际电压等级Uk与节点电压Ui之间的偏差关系作为电网拓展规划适应性的主要影响因素,并且乘以一定的系数来确定电压等级对电网拓展规划适应性的影响因子Considering the adaptability evaluation of the voltage at each voltage level to the grid expansion planning, the change of the voltage represents the increase ratio of the nodes with voltage deviation exceeding the standard and the change of power quality during the expansion planning of the grid, using the actual voltage level Uk and the node voltage. Deviation relationship between Ui As the main influencing factor of the adaptability of power grid expansion planning, and multiplied by a certain coefficient to determine the influence factor of voltage level on the adaptability of power grid expansion planning
其中,Uk为当前电压等级,Ui为节点电压。Among them, Uk is the current voltage level, and Ui is the node voltage.
电网扩展规划中线路传输能力的差异源于线路的传输容量,对于同样的变化有些线路可能出现过载,而有些线路则可以继续正常运行。以实际输出的有功功率Pi作为电压转移系数的权重则可以成为电网拓展规划适应性影响因子的因素之一,根据某一节点i有功功率发生变化时,会引起电网支路上有功功率的变化这一特点,在考虑电压变化情况下,利用arctanx的反正切关系定义电压转移系数接下来考虑节点i注入功率Pi和容量Qi之间的关系作为电网拓展规划适应性影响因子的另一种因素,利用正弦关系π的值综合考虑了电网扩展规划的适应性影响因子,最终确定值越小代表其对电网规划的影响越小;所述节点容量对适应性的影响因子为:The difference in the transmission capacity of the lines in the power grid expansion planning stems from the transmission capacity of the lines. For the same change, some lines may be overloaded, while some lines can continue to operate normally. Taking the actual output active power Pi as the weight of the voltage transfer coefficient can become one of the factors affecting the adaptability of the grid expansion planning. According to the change of the active power of a certain node i, it will cause the change of the active power on the grid branch. One feature is that the voltage transfer coefficient is defined by using the arc tangent relationship of arctanx under the consideration of voltage changes. Next, consider the relationship between the injected powerPi and the capacity Qi of nodei as another factor affecting the adaptability of grid expansion planning, using the sinusoidal relationship The value of π comprehensively considers the adaptability influencing factors of grid expansion planning, and is finally determined. The smaller the value, the smaller the influence on the grid planning; the influence factor of the node capacity on the adaptability for:
其中,i为某一处的节点,Uk为当前电压等级,Ui为节点电压,Qi为电网扩展规划后的装机容量,Pi为额定功率。Among them, i is a node at a certain place, Uk is the current voltage level, Ui is the node voltage, Qi is the installed capacity after grid expansion planning, and P iis the rated power.
所述电压等级Uk可为220kV、110kV、35kV、10kV、6kV、380V、 220V中的任意之一。The voltage level Uk can be any one of 220kV, 110kV, 35kV, 10kV, 6kV, 380V, and 220V.
作为举例,在本实施例中,利用本发明的方法对电网扩展规划适应性进行分析:As an example, in this embodiment, the method of the present invention is used to analyze the adaptability of grid expansion planning:
电网扩展规划为10kV电压等级,容量31.5MVA,总用户数2000,一级负荷用户数400,系统平均停电频率为0.01,供电可靠率达到90%,年总用户可靠性投诉次数降到50次以下。The power grid expansion plan is 10kV voltage level, the capacity is 31.5MVA, the total number of users is 2000, the number of first-level load users is 400, the average power failure frequency of the system is 0.01, the power supply reliability rate reaches 90%, and the total number of users' reliability complaints per year is reduced to less than 50 times. .
(1)年总用户可靠性投诉次数对适应性影响因子计算:n=3,近三年用户可靠性投诉次数分别为,10次,100次,37次,则Nuc_n=37次, Nuc_min=10次,Nuc_max=100次,通过公式(1) The influence factor of the total number of annual user reliability complaints on the adaptability Calculation: n=3, the number of user reliability complaints in the past three years is 10 times, 100 times, and 37 times respectively, then Nuc_n = 37 times, Nuc_min = 10 times, Nuc_max = 100 times, through the formula
得have to
(2)平均供电可靠率对适应性影响因子AASAI计算:tq=2h,mq=100, M=2000,T=24h,通过公式(2) The average power supply reliability rate affects the adaptability factor A Calculated byASAI : tq = 2h, mq = 100, M = 2000, T = 24h, through the formula
得AASAI=0.15get AASAI = 0.15
(3)用户负荷等级对电网扩展规划适应性影响因子Al计算:对于负荷等级为一级,即D=1,负荷的用户数为400,所有负荷等级用户数为 2000,通过公式(3) Calculation of the adaptive influence factor Al of the user load level on the power grid expansion planning: For the load level of one level, that is, D=1, the number of users of the load is 400, and the number of users of all load levels is 2000. Through the formula
得:Al=1.62Obtained: Al =1.62
(4)系统平均停电频率对电网扩展规划适应性影响因子Af计算: SAIFI=0.01通过公式:(4) Calculation of the influence factor Af of the system average power failure frequency on the adaptability of power grid expansion planning: SAIFI=0.01 through the formula:
Af=lg(|100SAIFI-25|*10)Af =lg(|100SAIFI-25|*10)
得:Af=2.38Obtained: Af = 2.38
(5)电压对电网拓展规划适应性影响因子计算:Uk=10kV, Ui=10.5kV通过公式:(5) The influence factor of voltage on the adaptability of power grid expansion planning Calculation: Uk = 10kV, Ui = 10.5kV through the formula:
(6)容量对电网拓展规划适应性影响因子计算:Uk=10kV,电网扩展规划后的装机容量Qi=31.5MVA,Ui=10.5kV,额定功率Pi=30000kW, S=1通过公式:(6) Influencing factors of capacity on the adaptability of power grid expansion planning Calculation: Uk = 10kV, installed capacity after grid expansion planning Qi = 31.5MVA, Ui = 10.5kV, rated power Pi = 30000kW, S = 1 through the formula:
得:have to:
(7)将AASAI=0.15,Al=1.62,Af=2.38,通过公式得到最终适应性指标A=0.0229, A值大于0代表具有较强适应性。(7) will AASAI =0.15, Al =1.62, Af =2.38, by formula The final adaptability index A=0.0229 is obtained, and the A value greater than 0 represents strong adaptability.
作为对比,利用蒙特卡罗模拟方法进行适应性分析,蒙特卡罗模拟方法需要指标:电网、市场、机组,这3种指标能够在一定程度上反应出在不确定性环境下电网规划方案的风险程度,从3个方面计算分析电网:最高负荷点处潮流、日平均利用率和最低负荷点处潮流。通过比较网络的承受能力和尖峰值来进行判断,假如尖峰值明显高于网络的承受能力,则可以得出该电网规划方案的适应性不强的结论,电网系统可能会面临的更大的风险;另一种情况是低谷值比网络的承受能力低,那就可以得出电网规划方案作用不明显的结论,这种情况下一般会浪费资源。As a comparison, the Monte Carlo simulation method is used for adaptability analysis. The Monte Carlo simulation method requires indicators: power grid, market, and units. These three indicators can reflect the risk of power grid planning in an uncertain environment to a certain extent. The power grid is calculated and analyzed from three aspects: the power flow at the highest load point, the daily average utilization rate and the power flow at the lowest load point. Judging by comparing the capacity of the network with the peak value, if the peak value is significantly higher than the capacity of the network, it can be concluded that the adaptability of the grid planning scheme is not strong, and the grid system may face greater risks ; Another situation is that the valley value is lower than the bearing capacity of the network, then it can be concluded that the power grid planning scheme is not effective, and resources are generally wasted in this case.
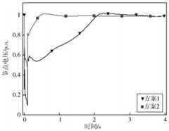
蒙特卡罗模拟方法是指通过分析凭借随机生成的办法模拟真实系统的功能情况与运行规律,从中总结分析出系统的运行规律。目前,现在已经有十分成熟的理论和方法对电力市场和电力系统生产进行模拟了。而在利用基于蒙特卡罗模拟方法模拟电网评估的过程时,也需要结合这两个模拟工具,所以,当研究考虑模拟方式时,要将这两种模拟方法结合设计。蒙特卡罗模拟方法可以把通过抽样方式收集到的所有不确定性因素进行一定的设计与排列,从而形成几天的连续的方案参数,这样就可以完成一次性进行多次模拟的计算,如图1;对两种方法的分析方法进行仿真模拟对比,如图2所示,其中,图2中:方案1为蒙特卡罗模拟的适应性分析法,方案2为本发明专利的适应性分析方法,从仿真结果可以看出,当发生暂态电压失稳,方案2节点电压恢复速度降低幅度较小,且均能保持暂态电压稳定,方案2节点电压恢复速度快于方案1,因此采用本发明专利的方法来判断电网扩展规划适应性更简单、高效、经济。The Monte Carlo simulation method refers to simulating the function and operation law of the real system by means of random generation, and summarizing and analyzing the operation law of the system. At present, there are already very mature theories and methods to simulate the power market and power system production. When using the Monte Carlo simulation method to simulate the process of power grid evaluation, it is also necessary to combine these two simulation tools. Therefore, when the research considers the simulation method, the two simulation methods should be combined to design. The Monte Carlo simulation method can design and arrange all the uncertain factors collected by sampling, so as to form continuous program parameters for several days, so that the calculation of multiple simulations can be completed at one time, as shown in the figure 1. The analysis methods of the two methods are simulated and compared, as shown in Figure 2, wherein, in Figure 2:
以上实施例对本发明进行了详细说明,但所述内容仅为本发明的较佳实施例,不能被认为用于限定本发明的实施范围。凡依本发明申请范围所作的均等变化与改进等,均应仍归属于本发明的专利涵盖范围之内。The above embodiments describe the present invention in detail, but the contents are only preferred embodiments of the present invention, and should not be considered to limit the scope of implementation of the present invention. All equivalent changes and improvements made according to the scope of the application of the present invention should still belong to the scope of the patent of the present invention.
| Application Number | Priority Date | Filing Date | Title |
|---|---|---|---|
| CN202010919940.6ACN112183944B (en) | 2020-09-04 | 2020-09-04 | Grid expansion planning adaptability analysis method considering customer demands |
| Application Number | Priority Date | Filing Date | Title |
|---|---|---|---|
| CN202010919940.6ACN112183944B (en) | 2020-09-04 | 2020-09-04 | Grid expansion planning adaptability analysis method considering customer demands |
| Publication Number | Publication Date |
|---|---|
| CN112183944A CN112183944A (en) | 2021-01-05 |
| CN112183944Btrue CN112183944B (en) | 2022-04-26 |
| Application Number | Title | Priority Date | Filing Date |
|---|---|---|---|
| CN202010919940.6AActiveCN112183944B (en) | 2020-09-04 | 2020-09-04 | Grid expansion planning adaptability analysis method considering customer demands |
| Country | Link |
|---|---|
| CN (1) | CN112183944B (en) |
| Publication number | Priority date | Publication date | Assignee | Title |
|---|---|---|---|---|
| IL206232A (en)* | 2010-06-07 | 2017-09-28 | Izidor Liberman | System and method for planning of demand for power on an electrical power network |
| EP2693390A4 (en)* | 2011-03-28 | 2014-09-10 | Chugoku Electric Power | Power demand plan coordination device, power demand plan coordination method, and program |
| CN104462852A (en)* | 2014-12-25 | 2015-03-25 | 国家电网公司 | Power grid development stage division method based on Logistic model |
| CN105205341B (en)* | 2015-10-27 | 2018-02-09 | 国网福建省电力有限公司 | A kind of power matching network transformation demand model construction method based on client's demand |
| CN106682843A (en)* | 2017-01-05 | 2017-05-17 | 贵州大学 | Method for building evaluation models of power distribution networks after rolling planning |
| CN110765268B (en)* | 2019-10-31 | 2022-04-22 | 国网河北省电力有限公司电力科学研究院 | Client appeal-based accurate distribution network investment strategy method |
| Publication number | Publication date |
|---|---|
| CN112183944A (en) | 2021-01-05 |
| Publication | Publication Date | Title |
|---|---|---|
| CN110969347B (en) | A Method for Structural Form Evaluation of Transmission Network | |
| CN103426122B (en) | A kind of comprehensive evaluation method of micro-grid | |
| CN106505593B (en) | A kind of analysis of distribution transforming three-phase imbalance and the method for load adjustment based on big data | |
| CN104778550A (en) | Power network quality analysis method based on real-time operating data | |
| CN110443401A (en) | A kind of Optimization Scheduling of smart grid | |
| CN102521652A (en) | Evaluation and decision method for operation efficiency of power grid | |
| CN109409769A (en) | Based on the rural power grids returns of investment integrated evaluating method for improving Set Pair Analysis | |
| CN103530823A (en) | Comprehensive microgrid planning and design evaluation system based on OTFN-AHP | |
| CN105141464A (en) | Grid structure planning method for coordinated power transmission and distribution | |
| CN109447465B (en) | Power distribution network planning scheme evaluation method based on collaborative optimization efficiency coefficient | |
| CN111900713A (en) | Multi-scene power transmission network planning method considering load and wind power randomness under network source coordination | |
| CN103473604A (en) | Method for evaluating comprehensive property of day-ahead power generation plan | |
| CN107730076A (en) | A kind of regional distribution network equipment complex utilization ratio analysis method | |
| CN108171429A (en) | The new energy consumption method for quantitatively evaluating that a kind of more base direct currents are sent outside | |
| CN112100784A (en) | Power distribution network planning method based on clustering net rack topology and reliability estimation association model | |
| CN102567645B (en) | Method for counting equipment of power grid and computing transmission losses on basis of on-line theoretical transmission loss computation | |
| CN115860547A (en) | Rural electrification digital formation effect evaluation method based on combined empowerment-TOPSIS | |
| CN110458319A (en) | A Construction Method of Power Grid Security Constrained Energy-saving Scheduling Model | |
| CN116934105A (en) | Power distribution network flexibility evaluation method and system considering flexible resource access | |
| CN112183944B (en) | Grid expansion planning adaptability analysis method considering customer demands | |
| CN105741049A (en) | Space-time whole process oriented line loss change analysis method | |
| Lyu et al. | Two-Stage stochastic coordinated scheduling of integrated gas-electric distribution systems considering network reconfiguration | |
| CN114004526A (en) | A data-driven verification method for household change relationship in low-voltage station area | |
| Zhang et al. | Stochastic planning considering the uncertainties of renewable energy seasonal correlation and Sub-DR for smart distribution network | |
| CN106971255A (en) | A kind of distribution automation schemes synthesis assessment system |
| Date | Code | Title | Description |
|---|---|---|---|
| PB01 | Publication | ||
| PB01 | Publication | ||
| SE01 | Entry into force of request for substantive examination | ||
| SE01 | Entry into force of request for substantive examination | ||
| GR01 | Patent grant | ||
| GR01 | Patent grant |