

技术领域technical field
本发明涉及一种无人机的避障方法,具体涉及一种基于人工势场的无人机避障方法。The invention relates to an obstacle avoidance method for an unmanned aerial vehicle, in particular to an obstacle avoidance method for an unmanned aerial vehicle based on an artificial potential field.
背景技术Background technique
目前的避障算法分为两大类,以A*算法为代表的全局路径规划的算法,和以人工势场法为例的局部避障算法。两种算法各有优劣,A*算法可以求得全局最优解从而避免无人机陷入局部最优解,但是A*算法需要提前获知整个地图的信息且算法随着地图的增大解算时间也会延长;而人工势场法可以快速针对障碍物位置信息做出响应,方法可靠性高,不依赖环境的先验信息和障碍物形状,不受障碍物的外形影响,但是会陷入局部最优;具体来说,人工势场法的基本原理,在飞行过程中生成虚拟的两个势力场:引力场(重力势能场),斥力场(电势场)。然后,在两个势力场联合的作用下,根据各个势力场的模型不同产生不同的作用力。The current obstacle avoidance algorithms are divided into two categories, the global path planning algorithm represented by the A* algorithm, and the local obstacle avoidance algorithm represented by the artificial potential field method. The two algorithms have their own advantages and disadvantages. The A* algorithm can obtain the global optimal solution to avoid the UAV falling into the local optimal solution, but the A* algorithm needs to know the information of the entire map in advance, and the algorithm solves with the increase of the map. The time will also be extended; while the artificial potential field method can quickly respond to the obstacle position information, the method is highly reliable, does not depend on the prior information of the environment and the shape of the obstacle, and is not affected by the shape of the obstacle, but it will fall into the local area. Optimal; specifically, based on the basic principle of the artificial potential field method, two virtual force fields are generated during the flight: gravitational field (gravitational potential energy field), and repulsive force field (electrical potential field). Then, under the combined action of the two force fields, different forces are generated according to the different models of each force field.
传统的人工势场法是根据受力产生特定的搜索方向,进而按照特定的步长进行路径规划,最后进行轨迹跟踪设计。The traditional artificial potential field method generates a specific search direction according to the force, and then performs path planning according to a specific step size, and finally performs trajectory tracking design.
由于上述原因,本发明人对现有的人工势场的无人机避障方法做了深入研究,以期待设计出一种能够解决上述问题的新的避障方法。Due to the above reasons, the present inventor has conducted in-depth research on the existing UAV obstacle avoidance methods based on artificial potential fields, and expects to design a new obstacle avoidance method that can solve the above problems.
发明内容SUMMARY OF THE INVENTION
为了克服上述问题,本发明人进行了锐意研究,设计出一种基于人工势场的无人机避障方法,该方法中直接将作用力作用在无人机上,根据势场之间的作用力计算无人机的受力情况。由于是直接作用力,所以无需考虑后续的轨迹跟踪方式,而且在避障阶段的斥力场生成方式上考虑到了无人机当前时刻的速度,因此对于无人机的速度要求比较小。只有当无人机在末端减速范围内才会限制无人机的速度和加速度,满足无人机到达的需要;该方法主要针对较高速飞行情况下简单障碍物的避障。另外,由于可能存在引力和斥力彼此抵消的情况,所以该方法中还额外设置横向避障控制力,从而避免局部最小值对无人机避障的不良影响,使得无人机能够安全、及时地避开障碍物,到达目标位置,从而完成本发明。In order to overcome the above-mentioned problems, the inventors have carried out keen research and designed an obstacle avoidance method for UAVs based on artificial potential fields. Calculate the force of the drone. Since it is a direct force, there is no need to consider the subsequent trajectory tracking method, and the current speed of the UAV is considered in the method of generating the repulsion field in the obstacle avoidance stage, so the speed requirement for the UAV is relatively small. Only when the UAV is within the terminal deceleration range will the speed and acceleration of the UAV be limited to meet the needs of the UAV to arrive; this method is mainly aimed at avoiding simple obstacles in the case of high-speed flight. In addition, since the gravitational force and the repulsive force may cancel each other, the lateral obstacle avoidance control force is additionally set in this method, so as to avoid the adverse effect of the local minimum value on the UAV obstacle avoidance, so that the UAV can safely and timely Avoid obstacles and reach the target position, thereby completing the present invention.
具体来说,本发明的目的在于提供以一种基于人工势场的无人机避障方法,该方法包括如下步骤:Specifically, the object of the present invention is to provide a UAV obstacle avoidance method based on an artificial potential field, the method comprising the following steps:
步骤1,通过安装在无人机上的探测器实时探测障碍物的位置;Step 1: Detect the position of obstacles in real time through the detector installed on the UAV;
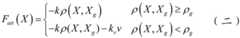
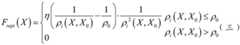
步骤2,通过螺旋桨给无人机施加动力来控制无人机飞向目标位置,所述通过螺旋桨施加给无人机的动力等于引力、斥力和横向避障控制力的合力。
其中,通过螺旋桨施加给无人机的动力如下述式(一)所述:Among them, the power applied to the UAV through the propeller is as described in the following formula (1):
F(X)=Fatt(X)+Frep(X)+Foff (一)F(X)=Fatt(X)+Frep(X)+Foff(1 )
其中,F(X)表示通过螺旋桨施加给无人机的动力,Among them, F(X) represents the power applied to the drone through the propeller,
Fatt(X)表示目标点作用在无人机上的引力,Fatt (X) represents the gravitational force of the target point acting on the UAV,
Frep(X)表示障碍物作用在无人机上的斥力,Frep (X) represents the repulsion force of the obstacle acting on the UAV,
Foff表示横向避障控制力。Foff represents the lateral obstacle avoidance control force.
其中,目标点作用在无人机上的引力Fatt(X)通过下式(二)获得:Among them, the gravitational force Fatt (X) of the target point acting on the UAV is obtained by the following formula (2):
其中,v表示无人机的当前速度,kv为速度反馈系数,Among them, v represents the current speed of the UAV, kv is the speed feedback coefficient,
k表示引力正比例位置增益系数,k represents the proportional position gain coefficient of gravity,
Xg表示目标的位置,Xg represents the position of the target,
X表示无人机所在的位置,X represents the location of the drone,
ρ(X,Xg)表示无人机与目标之间的距离。ρ(X,Xg ) represents the distance between the UAV and the target.
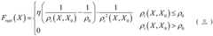
其中,障碍物作用在无人机上的斥力Frep(X)通过下式(三)和(四)获得:Among them, the repulsive force Frep (X) of the obstacle acting on the UAV is obtained by the following formulas (3) and (4):
其中,Frepi(X)表示第i个障碍物作用在无人机上的斥力,Among them, Frepi (X) represents the repulsion force of the ith obstacle acting on the UAV,
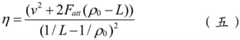
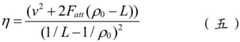
η表示斥力正比例位移增益系数,η represents the proportional displacement gain coefficient of the repulsion force,
ρi(X,X0)表示无人机与第i个障碍物之间的距离ρi (X,X0 ) represents the distance between the UAV and the ith obstacle
ρ0表示斥力起作用的最大距离,ρ0 represents the maximum distance at which the repulsive force works,
N表示障碍物的总数量。N represents the total number of obstacles.
其中,所述斥力正比例位移增益系数η通过下式(五)获得:Wherein, the proportional displacement gain coefficient η of the repulsion force is obtained by the following formula (5):
L表示无人机和障碍物连线的径向方向允许的最小距离;L represents the minimum distance allowed in the radial direction between the UAV and the obstacle;
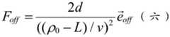
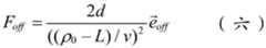
其中,横向避障控制力Foff通过下式(六)获得:Among them, the lateral obstacle avoidance control force Foff is obtained by the following formula (6):
d表示无人机和障碍物连线法向方向允许的最小距离;d represents the minimum distance allowed in the normal direction of the connection between the drone and the obstacle;
表述横向避障控制力Foff的单位矢量。 A unit vector expressing the lateral obstacle avoidance control force Foff .
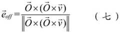
其中,横向避障控制力Foff的单位矢量通过下式(七)获得:Among them, the unit vector of the lateral obstacle avoidance control force Foff is obtained by the following formula (7):
其中,表示从无人机指向障碍物的矢量,表示无人机的速度方向。in, represents the vector pointing from the drone to the obstacle, Indicates the speed direction of the drone.
本发明所具有的有益效果包括:The beneficial effects of the present invention include:
(1)根据本发明提供的基于人工势场的无人机避障方法能够有效避免局部最小值的出现,提升了在速度方向与障碍物方向重合情况下的避障效果;(1) The UAV obstacle avoidance method based on the artificial potential field provided by the present invention can effectively avoid the occurrence of the local minimum value, and improve the obstacle avoidance effect when the speed direction coincides with the obstacle direction;
(2)根据本发明提供的基于人工势场的无人机避障方法,在斥力作用场范围内,通过能量转换关系,计算无人机的斥力场势场模型来保证无人机和障碍物之间的最小距离,增加最小的安全偏移力,使得避障效率进一步提升从而保障无人机的安全性;(2) according to the UAV obstacle avoidance method based on artificial potential field provided by the present invention, within the scope of the repulsive force field, through the energy conversion relationship, the repulsive force field potential field model of the UAV is calculated to ensure the UAV and the obstacle The minimum distance between them increases the minimum safety offset force, which further improves the efficiency of obstacle avoidance and ensures the safety of the UAV;
附图说明Description of drawings
图1示出根据本发明一种无人机避障控制流程图;Fig. 1 shows the flow chart of a UAV obstacle avoidance control according to the present invention;
图2示出根据本发明实验例中得到的无人机运动轨迹示意图。FIG. 2 shows a schematic diagram of the motion trajectory of the UAV obtained in the experimental example of the present invention.
具体实施方式Detailed ways
下面通过附图和实施例对本发明进一步详细说明。通过这些说明,本发明的特点和优点将变得更为清楚明确。The present invention will be further described in detail below through the accompanying drawings and embodiments. The features and advantages of the present invention will become more apparent from these descriptions.
在这里专用的词“示例性”意为“用作例子、实施例或说明性”。这里作为“示例性”所说明的任何实施例不必解释为优于或好于其它实施例。尽管在附图中示出了实施例的各种方面,但是除非特别指出,不必按比例绘制附图。The word "exemplary" is used exclusively herein to mean "serving as an example, embodiment, or illustration." Any embodiment described herein as "exemplary" is not necessarily to be construed as preferred or advantageous over other embodiments. While various aspects of the embodiments are shown in the drawings, the drawings are not necessarily drawn to scale unless otherwise indicated.
假设在理想环境下,障碍物周围存在斥力场,能够排斥无人机,目标周围存在引力场,能够吸引无人机,无人机在引力场和斥力场的共同作用下,且假设无人机只受到引力和斥力,则无人机会飞行目标,并且在此过程中避开障碍物位置,实现完美的避障飞行,所以在真实的环境中,如果能够实时给无人机提供与上述引力斥力的合力相等的作用力,无人机自然也能够实现完美的避障飞行,基于这样的理论研究,进行无人机避障方法设置。Assume that in an ideal environment, there is a repulsion field around the obstacle, which can repel the drone, and there is a gravitational field around the target, which can attract the drone. Only subject to gravitational and repulsive forces, the drone will fly the target, and avoid obstacles in the process to achieve perfect obstacle avoidance flight. Therefore, in a real environment, if the drone can be provided with the above-mentioned gravitational repulsion in real time If the resultant force is equal to the force, the UAV can naturally achieve perfect obstacle avoidance flight. Based on such theoretical research, the UAV obstacle avoidance method is set up.
根据本发明提供的一种基于人工势场的无人机避障方法,该方法中模拟出目标点的引力场,模拟出障碍物的斥力场,根据目标点产生的引力、障碍物产生的斥力和额外提供的横向避障控制力来设置无人机的控制力,从而使得无人机在飞向目标位置的同时避开障碍物,并且防止无人机落入到局部最小值的困境中。According to an obstacle avoidance method for a UAV based on an artificial potential field provided by the present invention, the method simulates the gravitational field of the target point, simulates the repulsive force field of the obstacle, and simulates the gravitational force generated by the target point and the repulsion force generated by the obstacle according to the gravitational force generated by the target point and the obstacle. And the additional lateral obstacle avoidance control force is provided to set the control force of the UAV, so that the UAV avoids obstacles while flying to the target position, and prevents the UAV from falling into the dilemma of the local minimum.
优选地,该方法包括如下步骤:Preferably, the method comprises the steps of:
步骤1,通过安装在无人机上的探测器实时探测障碍物的位置;所述探测器具体包括雷达探测器,红外感应探测器,超声波探测器,激光距离感应器,双目视觉探测器中的一种或多种。In
步骤2,通过螺旋桨给无人机施加动力控制无人机飞向目标位置,通过螺旋桨施加给无人机的动力等于引力、斥力和横向避障控制力的合力。
具体来说,在步骤2中,所述通过螺旋桨施加给无人机的动力如下述式(一)所述:Specifically, in
F(X)=Fatt(X)+Frep(X)+Foff (一)F(X)=Fatt(X)+Frep(X)+Foff(1 )
其中,F(X)表示通过螺旋桨施加给无人机的动力,Among them, F(X) represents the power applied to the drone through the propeller,
Fatt(X)表示目标点作用在无人机上的引力,Fatt (X) represents the gravitational force of the target point acting on the UAV,
Frep(X)表示障碍物作用在无人机上的斥力,Frep (X) represents the repulsion force of the obstacle acting on the UAV,
Foff表示横向避障控制力。Foff represents the lateral obstacle avoidance control force.
在一个优选的实施方式中,所述目标点作用在无人机上的引力Fatt(X)通过下式(二)获得:In a preferred embodiment, the gravitational force Fatt (X) of the target point acting on the UAV is obtained by the following formula (2):
v表示无人机的当前速度,kv为速度反馈系数,其取值为kv=1.05。通过kvv的反馈量实现无人机在末端减速范围调节无人机最终达到目标点的速度为0。v represents the current speed of the UAV, kv is the speed feedback coefficient, and its value is kv =1.05. Through the feedback amount of kv v, the speed of the UAV at the end of the deceleration range can be adjusted to 0 when the UAV finally reaches the target point.
其中,k表示引力正比例位置增益系数,其取值为k=5;ρ(X,Xg)=||Xg-X||,Xg表示目标的位置,X表示无人机所在的位置,通过无人机上的卫星接收机实时获知该无人机所在的位置。ρg表示末端减速距离,其取值根据目标距离和无人机速度有关,在无人机起飞前设置,一般取值为5~100米,ρ(X,Xg)表示无人机与目标之间的距离;Among them, k represents the proportional position gain coefficient of gravity, and its value is k=5; ρ(X,Xg )=||Xg -X||, Xg represents the position of the target, and X represents the position of the UAV , the location of the UAV is known in real time through the satellite receiver on the UAV. ρg represents the terminal deceleration distance, and its value is related to the target distance and the speed of the UAV. It is set before the UAV takes off. Generally, the value is 5 to 100 meters. ρ(X, Xg ) represents the UAV and the target. the distance between;
在一个优选的实施方式中,所述障碍物作用在无人机上的斥力Frep(X)通过下式(三)和式(四)获得:In a preferred embodiment, the repulsive force Frep (X) of the obstacle acting on the UAV is obtained by the following formulas (3) and (4):
其中,Frepi(X)表示第i个障碍物作用在无人机上的斥力,η表示斥力正比例位移增益系数,ρi(X,X0)表示无人机与第i个障碍物之间的距离,其值由无人机上的探测装置实时探测得到,所述探测装置包括雷达探测器、红外感应探测器、超声波探测器、激光距离感应器、双目视觉探测器中的一种或多种;ρ0表示斥力起作用的最大距离,即障碍物对无人机产生影响的最大距离,其取值根据场景中的禁飞区的大小设定,一般取值为5m,即为当飞行器飞到距离障碍物5米以内的位置时,障碍物提供斥力,当飞行器飞到距离障碍物5米以外的位置时,障碍物不再提供斥力。所述无人机与障碍物之间的距离是指无人机与障碍物之间的最小距离,即无人机外轮廓与障碍物外轮廓之间的最小距离。Among them, Frepi (X) represents the repulsion force of the ith obstacle acting on the drone, η represents the proportional displacement gain coefficient of the repulsion force, and ρi (X, X0 ) represents the distance between the drone and the ith obstacle. Distance, the value of which is obtained by real-time detection by the detection device on the UAV. The detection device includes one or more of radar detectors, infrared sensor detectors, ultrasonic detectors, laser distance sensors, and binocular vision detectors. ; ρ0 represents the maximum distance at which the repulsion force acts, that is, the maximum distance that the obstacle affects the UAV. Its value is set according to the size of the no-fly zone in the scene. Generally, the value is 5m, which is the When it reaches a position within 5 meters from the obstacle, the obstacle provides repulsion, and when the aircraft flies to a position beyond 5 meters from the obstacle, the obstacle no longer provides the repulsion. The distance between the drone and the obstacle refers to the minimum distance between the drone and the obstacle, that is, the minimum distance between the outer contour of the drone and the outer contour of the obstacle.
当障碍物有多个时,作用在无人机上的总斥力为所有障碍物对应的Frepi(X)之和。具体来说,如式(四)所示:When there are multiple obstacles, the total repulsive force acting on the UAV is the sum of Frepi (X) corresponding to all obstacles. Specifically, as shown in formula (4):
其中,N表示障碍物的总数量。where N represents the total number of obstacles.
优选地,所述斥力正比例位移增益系数η通过下式(五)获得:Preferably, the proportional displacement gain coefficient η of the repulsive force is obtained by the following formula (5):
其中ρ0是斥力起作用的最大距离,L为常数,表示无人机和障碍物连线的径向方向允许的最小距离,本申请中优选的取值是3,单位是米。where ρ0 is the maximum distance at which the repulsion force acts, and L is a constant, representing the minimum allowable distance in the radial direction of the connecting line between the UAV and the obstacle. The preferred value in this application is 3, and the unit is meters.
优选地,通过探测器探测到障碍物位置时,也同时获得障碍物的轮廓大小,从而能够解算出该障碍物对应的ρ0,若相邻两个障碍物的斥力作用范围重叠,则将这两个障碍物认定为一个障碍物进行避障控制。这样的设置既能够缩短计算时间,提高效率,还能够避免多个障碍物的交替Preferably, when the position of the obstacle is detected by the detector, the outline size of the obstacle can also be obtained at the same time, so that the corresponding ρ0 of the obstacle can be calculated. Two obstacles are identified as one obstacle for obstacle avoidance control. Such a setting can not only shorten the calculation time, improve the efficiency, but also avoid the alternation of multiple obstacles.
在一个优选的实施方式中,所述横向避障控制力Foff通过下式(六)获得:In a preferred embodiment, the lateral obstacle avoidance control force Foff is obtained by the following formula (6):
其中,d表示无人机和障碍物连线法向方向允许的最小距离,取值和障碍物的大小有关,本申请中优选地取值为1,单位是米;当Frep(X)取值为零时,Foff取值为零,不必执行式(六)中的计算,当Frep(X)取值不为零时,通过上述式(六)解算Foff;Among them, d represents the minimum distance allowed in the normal direction of the connection between the drone and the obstacle, and the value is related to the size of the obstacle. In this application, the value is preferably 1, and the unit is meters; when Frep (X) takes When the value is zero, the value of Foff is zero, and it is not necessary to perform the calculation in the formula (6), and when the value of Frep (X) is not zero, Foff is solved by the above formula (6);
表示Foff的方向,即横向避障控制力Foff的单位矢量;所述通过下式(七)获得: Represents the direction of Foff , that is, the unit vector of the lateral obstacle avoidance control force Foff ; the Obtained by the following formula (7):
其中,表示从无人机指向障碍物的矢量,表示无人机的速度方向。通过矢量之间的叉乘获得垂直于无人机和障碍物连线方向的矢量,从而有助于无人机有效的避开障碍物,进而通过归一化的方法计算出Foff单位矢量in, represents the vector pointing from the drone to the obstacle, Indicates the speed direction of the drone. The vector perpendicular to the direction of the connection between the UAV and the obstacle is obtained by the cross product between the vectors, which helps the UAV to avoid obstacles effectively, and then the Foff unit vector is calculated by the normalization method.
通过设置上述横向避障控制力能够在无人机执行避障作业时提供横向力,以避免局部最小值的情况出现,同时通过施力时间及施力大小的设定,为无人机提供刚好能够满足避障要求的最小横向避障控制力。By setting the above-mentioned lateral obstacle avoidance control force, the lateral force can be provided when the UAV performs obstacle avoidance operations, so as to avoid the occurrence of the local minimum value. The minimum lateral obstacle avoidance control force that can meet the obstacle avoidance requirements.
本申请中,在无人机在临近目标5m的范围内时,通过增加速度的负反馈,降低无人机的速度,以便于无人机能够稳定地停止在目标位置。In this application, when the UAV is within 5m of the target, the speed of the UAV is reduced by increasing the negative feedback of the speed, so that the UAV can stop at the target position stably.
实验例:Experimental example:
认为无人机的避障是在恒定的高度上进行的,因此可以简化为2D模型,无人机从起点位置(0,0)处起飞,飞向坐标为(0,30)的目标位置,在飞行路径中设置以(0,15)为圆心,以0.3m为半径的圆形障碍物;It is considered that the obstacle avoidance of the UAV is carried out at a constant height, so it can be simplified as a 2D model. The UAV takes off from the starting position (0,0) and flies to the target position with coordinates (0,30), Set up a circular obstacle with (0,15) as the center and 0.3m as the radius in the flight path;
通过本申请中方法控制该无人机,具体控制过程如下:The UAV is controlled by the method in this application, and the specific control process is as follows:
通过F(X)=Fatt(X)+Frep(X)+Foff实时求解通过螺旋桨施加给无人机的动力,并通过该动力控制无人机飞行。The power applied to the UAV through the propeller is solved in real time by F(X)=Fatt (X)+Frep (X)+Foff , and the UAV is controlled to fly by the power.
其中,Fatt(X)通过下式(二)获得:Wherein, Fatt (X) is obtained by the following formula (2):
Frep(X)通过下式(三)和式(四)获得:Frep (X) is obtained by the following equations (3) and (4):
Foff通过下式(六)获得:Foff is obtained by the following formula (6):
引力场正比例位置系数k=5,速度反馈增益系数为1.05,ρ0是斥力起作用的最大距离ρ0为5米,无人机和障碍物连线的径向方向的最小距离L=3,无人机和障碍物连线的法相方向的最小距离d=1;ρg取值为5米The proportional position coefficient of the gravitational field is k=5, the speed feedback gain coefficient is 1.05, ρ0 is the maximum distance where the repulsive force acts, ρ0 is 5 meters, and the minimum distance in the radial direction between the UAV and the obstacle is L=3, The minimum distance d=1 in the normal direction of the line connecting the UAV and the obstacle; the value of ρg is 5 meters
根据实际无人机飞行情况中实时反馈的无人机的速度计算处斥力场系数的η以及Foff的大小,最终实时解算出螺旋桨施加给无人机的动力F(X);According to the η of the repulsion field coefficient and the size of Foff at the real-time feedback of the speed of the UAV in the actual UAV flight situation, the power F(X) applied by the propeller to the UAV is finally calculated in real time;
由于解算出来的控制量为无人机加速度控制量,通过姿态解算转换成无人机姿态角的控制量,再通过无人机的姿态控制回路最终实现设计量对无人机的控制,最终得到无人机的飞行轨迹如图2中所示。Since the calculated control amount is the UAV acceleration control amount, it is converted into the UAV attitude angle control amount through the attitude calculation, and then the UAV's attitude control loop is used to finally realize the design amount to control the UAV. The final flight trajectory of the UAV is shown in Figure 2.
通过本实验例可知,本申请提供的方法能够直接将控制量传递给无人机,减少了路径规划的过程,是对控制算法的直接求解,大大提高了控制算法的解算频率。该算法控制量的生成考虑无人机的速度,提高了在这种简单障碍物场景中无人机避障的速度。It can be seen from this experimental example that the method provided by the present application can directly transfer the control quantity to the UAV, which reduces the process of path planning, directly solves the control algorithm, and greatly improves the calculation frequency of the control algorithm. The generation of the control amount of the algorithm considers the speed of the UAV, which improves the speed of the UAV to avoid obstacles in such a simple obstacle scene.
以上结合了优选的实施方式对本发明进行了说明,不过这些实施方式仅是范例性的,仅起到说明性的作用。在此基础上,可以对本发明进行多种替换和改进,这些均落入本发明的保护范围内。The present invention has been described above with reference to the preferred embodiments, but these embodiments are merely exemplary and serve only for illustrative purposes. On this basis, various substitutions and improvements can be made to the present invention, which all fall within the protection scope of the present invention.
| Application Number | Priority Date | Filing Date | Title |
|---|---|---|---|
| CN202010739041.8ACN112180954B (en) | 2020-07-28 | 2020-07-28 | A UAV Obstacle Avoidance Method Based on Artificial Potential Field |
| Application Number | Priority Date | Filing Date | Title |
|---|---|---|---|
| CN202010739041.8ACN112180954B (en) | 2020-07-28 | 2020-07-28 | A UAV Obstacle Avoidance Method Based on Artificial Potential Field |
| Publication Number | Publication Date |
|---|---|
| CN112180954Atrue CN112180954A (en) | 2021-01-05 |
| CN112180954B CN112180954B (en) | 2021-12-24 |
| Application Number | Title | Priority Date | Filing Date |
|---|---|---|---|
| CN202010739041.8AActiveCN112180954B (en) | 2020-07-28 | 2020-07-28 | A UAV Obstacle Avoidance Method Based on Artificial Potential Field |
| Country | Link |
|---|---|
| CN (1) | CN112180954B (en) |
| Publication number | Priority date | Publication date | Assignee | Title |
|---|---|---|---|---|
| CN112947417A (en)* | 2021-01-27 | 2021-06-11 | 厦门大学 | A control method for obstacle avoidance of intelligent moving body |
| CN113534838A (en)* | 2021-07-15 | 2021-10-22 | 西北工业大学 | Improved unmanned aerial vehicle track planning method based on artificial potential field method |
| CN113534841A (en)* | 2021-07-29 | 2021-10-22 | 北京航空航天大学 | An obstacle avoidance path planning algorithm and path planning algorithm for unmanned aerial vehicle |
| CN114518770A (en)* | 2022-03-01 | 2022-05-20 | 西安交通大学 | Unmanned aerial vehicle path planning method integrating potential field and deep reinforcement learning |
| CN114879719A (en)* | 2022-04-12 | 2022-08-09 | 江苏中科智能科学技术应用研究院 | Intelligent obstacle avoidance method suitable for hybrid electric unmanned aerial vehicle |
| CN114967690A (en)* | 2022-05-26 | 2022-08-30 | 郑州大学 | A control method based on obstacle avoidance robot |
| US20220383484A1 (en)* | 2021-05-25 | 2022-12-01 | Tongji University | Tunnel defect detecting method and system using unmanned aerial vehicle |
| CN115480587A (en)* | 2022-09-01 | 2022-12-16 | 哈尔滨工业大学 | A multi-agent swarm obstacle avoidance method based on artificial potential field algorithm |
| CN116107329A (en)* | 2021-11-10 | 2023-05-12 | 海鹰航空通用装备有限责任公司 | Path planning method for distributed bee colony in complex environment |
| Publication number | Priority date | Publication date | Assignee | Title |
|---|---|---|---|---|
| CN101359229A (en)* | 2008-08-18 | 2009-02-04 | 浙江大学 | An Obstacle Avoidance Method for Mobile Robots Based on Obstacle Motion Prediction |
| US20090074252A1 (en)* | 2007-10-26 | 2009-03-19 | Honda Motor Co., Ltd. | Real-time self collision and obstacle avoidance |
| CN101408772A (en)* | 2008-11-21 | 2009-04-15 | 哈尔滨工程大学 | AUV intelligent touching-avoiding apparatus and method |
| CN102231082A (en)* | 2011-04-08 | 2011-11-02 | 中国船舶重工集团公司第七○二研究所 | Underwater object detection and autonomous underwater vehicle (AUV) automatic collision prevention method and system based on mini sonar |
| CN102591332A (en)* | 2011-01-13 | 2012-07-18 | 同济大学 | Device and method for local path planning of pilotless automobile |
| CN103365299A (en)* | 2013-08-02 | 2013-10-23 | 中国科学院自动化研究所 | Method and device for avoiding obstacle of unmanned aerial vehicle |
| CN106843235A (en)* | 2017-03-31 | 2017-06-13 | 深圳市靖洲科技有限公司 | It is a kind of towards the Artificial Potential Field path planning without person bicycle |
| CN107219857A (en)* | 2017-03-23 | 2017-09-29 | 南京航空航天大学 | A kind of unmanned plane formation path planning algorithm based on three-dimensional global artificial potential function |
| CN108398960A (en)* | 2018-03-02 | 2018-08-14 | 南京航空航天大学 | A kind of multiple no-manned plane collaboration target tracking method for improving APF and being combined with segmentation Bezier |
| CN108459612A (en)* | 2017-02-21 | 2018-08-28 | 北京航空航天大学 | Unmanned plane formation control method based on Artificial Potential Field Method and device |
| CN109318890A (en)* | 2018-06-29 | 2019-02-12 | 北京理工大学 | A dynamic obstacle avoidance method for unmanned vehicles based on dynamic windows and potential energy fields of obstacles |
| CN109358637A (en)* | 2018-05-25 | 2019-02-19 | 武汉科技大学 | A three-dimensional obstacle avoidance method for UAVs for close-range autonomous exploration of the surface based on preset routes |
| CN109696917A (en)* | 2019-01-28 | 2019-04-30 | 中国人民解放军军事科学院国防科技创新研究院 | A kind of spacecraft intersects barrier-avoiding method and system automatically |
| CN110727274A (en)* | 2019-11-19 | 2020-01-24 | 大连海事大学 | A formation control method with collision avoidance and maintaining connectivity based on unmanned ship system |
| CN110794842A (en)* | 2019-11-15 | 2020-02-14 | 北京邮电大学 | Reinforced learning path planning algorithm based on potential field |
| CN110989656A (en)* | 2019-11-13 | 2020-04-10 | 中国电子科技集团公司第二十研究所 | A Conflict Relief Method Based on Improved Artificial Potential Field Method |
| US20200166953A1 (en)* | 2014-10-21 | 2020-05-28 | Road Trains Llc | Platooning control via accurate synchronization |
| CN111207756A (en)* | 2020-03-19 | 2020-05-29 | 重庆邮电大学 | A Path Planning Method for Mobile Robots Based on Improved Artificial Potential Field Algorithm |
| Publication number | Priority date | Publication date | Assignee | Title |
|---|---|---|---|---|
| US20090074252A1 (en)* | 2007-10-26 | 2009-03-19 | Honda Motor Co., Ltd. | Real-time self collision and obstacle avoidance |
| CN101359229A (en)* | 2008-08-18 | 2009-02-04 | 浙江大学 | An Obstacle Avoidance Method for Mobile Robots Based on Obstacle Motion Prediction |
| CN101408772A (en)* | 2008-11-21 | 2009-04-15 | 哈尔滨工程大学 | AUV intelligent touching-avoiding apparatus and method |
| CN102591332A (en)* | 2011-01-13 | 2012-07-18 | 同济大学 | Device and method for local path planning of pilotless automobile |
| CN102231082A (en)* | 2011-04-08 | 2011-11-02 | 中国船舶重工集团公司第七○二研究所 | Underwater object detection and autonomous underwater vehicle (AUV) automatic collision prevention method and system based on mini sonar |
| CN103365299A (en)* | 2013-08-02 | 2013-10-23 | 中国科学院自动化研究所 | Method and device for avoiding obstacle of unmanned aerial vehicle |
| US20200166953A1 (en)* | 2014-10-21 | 2020-05-28 | Road Trains Llc | Platooning control via accurate synchronization |
| CN108459612A (en)* | 2017-02-21 | 2018-08-28 | 北京航空航天大学 | Unmanned plane formation control method based on Artificial Potential Field Method and device |
| CN107219857A (en)* | 2017-03-23 | 2017-09-29 | 南京航空航天大学 | A kind of unmanned plane formation path planning algorithm based on three-dimensional global artificial potential function |
| CN106843235A (en)* | 2017-03-31 | 2017-06-13 | 深圳市靖洲科技有限公司 | It is a kind of towards the Artificial Potential Field path planning without person bicycle |
| CN108398960A (en)* | 2018-03-02 | 2018-08-14 | 南京航空航天大学 | A kind of multiple no-manned plane collaboration target tracking method for improving APF and being combined with segmentation Bezier |
| CN109358637A (en)* | 2018-05-25 | 2019-02-19 | 武汉科技大学 | A three-dimensional obstacle avoidance method for UAVs for close-range autonomous exploration of the surface based on preset routes |
| CN109318890A (en)* | 2018-06-29 | 2019-02-12 | 北京理工大学 | A dynamic obstacle avoidance method for unmanned vehicles based on dynamic windows and potential energy fields of obstacles |
| CN109696917A (en)* | 2019-01-28 | 2019-04-30 | 中国人民解放军军事科学院国防科技创新研究院 | A kind of spacecraft intersects barrier-avoiding method and system automatically |
| CN110989656A (en)* | 2019-11-13 | 2020-04-10 | 中国电子科技集团公司第二十研究所 | A Conflict Relief Method Based on Improved Artificial Potential Field Method |
| CN110794842A (en)* | 2019-11-15 | 2020-02-14 | 北京邮电大学 | Reinforced learning path planning algorithm based on potential field |
| CN110727274A (en)* | 2019-11-19 | 2020-01-24 | 大连海事大学 | A formation control method with collision avoidance and maintaining connectivity based on unmanned ship system |
| CN111207756A (en)* | 2020-03-19 | 2020-05-29 | 重庆邮电大学 | A Path Planning Method for Mobile Robots Based on Improved Artificial Potential Field Algorithm |
| Title |
|---|
| GENQUN CUI,等: "Fuzzy Controller for Path Planning Research of Mobile Robot", 《2011 INTERNATIONAL CONFERENCE ON SYSTEM SCIENCE, ENGINEERING DESIGN AND MANUFACTURING INFORMATIZATION》* |
| JIALONG ZHANG,等: "Collision Avoidance in Fixed-Wing UAV Formation Flight Based on a Consensus Control Algorithm", 《IEEE ACCESS》* |
| 张佳龙,等: "基于改进人工势场的无人机编队避障控制研究", 《西安交通大学学报》* |
| 毛晨悦,等: "基于人工势场法的无人机路径规划避障算法", 《电子科技》* |
| 范世鹏,等: "基于改进人工势场法的飞行器轨迹规划", 《航天控制》* |
| Publication number | Priority date | Publication date | Assignee | Title |
|---|---|---|---|---|
| CN112947417A (en)* | 2021-01-27 | 2021-06-11 | 厦门大学 | A control method for obstacle avoidance of intelligent moving body |
| US20220383484A1 (en)* | 2021-05-25 | 2022-12-01 | Tongji University | Tunnel defect detecting method and system using unmanned aerial vehicle |
| CN113534838A (en)* | 2021-07-15 | 2021-10-22 | 西北工业大学 | Improved unmanned aerial vehicle track planning method based on artificial potential field method |
| CN113534841A (en)* | 2021-07-29 | 2021-10-22 | 北京航空航天大学 | An obstacle avoidance path planning algorithm and path planning algorithm for unmanned aerial vehicle |
| CN116107329A (en)* | 2021-11-10 | 2023-05-12 | 海鹰航空通用装备有限责任公司 | Path planning method for distributed bee colony in complex environment |
| CN114518770A (en)* | 2022-03-01 | 2022-05-20 | 西安交通大学 | Unmanned aerial vehicle path planning method integrating potential field and deep reinforcement learning |
| CN114518770B (en)* | 2022-03-01 | 2024-05-31 | 西安交通大学 | Unmanned aerial vehicle path planning method integrating potential field and deep reinforcement learning |
| CN114879719A (en)* | 2022-04-12 | 2022-08-09 | 江苏中科智能科学技术应用研究院 | Intelligent obstacle avoidance method suitable for hybrid electric unmanned aerial vehicle |
| CN114967690A (en)* | 2022-05-26 | 2022-08-30 | 郑州大学 | A control method based on obstacle avoidance robot |
| CN115480587A (en)* | 2022-09-01 | 2022-12-16 | 哈尔滨工业大学 | A multi-agent swarm obstacle avoidance method based on artificial potential field algorithm |
| Publication number | Publication date |
|---|---|
| CN112180954B (en) | 2021-12-24 |
| Publication | Publication Date | Title |
|---|---|---|
| CN112180954B (en) | A UAV Obstacle Avoidance Method Based on Artificial Potential Field | |
| CN111045456B (en) | Trajectory planner for vehicles | |
| CN104965518B (en) | Electric inspection process flying robot's flight course planning method based on Three-dimensional Numeric Map | |
| CN109144102B (en) | A UAV Route Planning Method Based on Improved Bat Algorithm | |
| CN109358637B (en) | Three-dimensional obstacle avoidance method for earth surface close-range autonomous exploration unmanned aerial vehicle based on preset air route | |
| CN108549407B (en) | A Control Algorithm for Multi-UAV Cooperative Formation to Avoid Obstacles | |
| CN110825113B (en) | A Formation Keeping Method Applicable to Quadrotor UAV Swarm Flight | |
| CN108319291B (en) | A Cognitive Anti-Collision Control Method for UAVs Based on Safety Boundary Analysis | |
| Yang et al. | A 3D collision avoidance strategy for UAVs in a non-cooperative environment | |
| CN107562048B (en) | A dynamic obstacle avoidance control method based on lidar | |
| CN110764531B (en) | Unmanned aerial vehicle formation flying obstacle avoidance method based on laser radar and artificial potential field method | |
| CN114518770B (en) | Unmanned aerial vehicle path planning method integrating potential field and deep reinforcement learning | |
| RU2724937C2 (en) | Aircraft and method of aircraft stabilization | |
| CN109445459A (en) | Unmanned plane cluster formation control method and its device | |
| US20240076066A1 (en) | Fixed-wing unmanned aerial vehicle capable of high angle-of-attack maneuvering | |
| CN110320929A (en) | A kind of Autonomous UAV multiple targets follow barrier-avoiding method | |
| CN110377055A (en) | No-manned plane three-dimensional formation method based on modified Artificial Potential Field Method | |
| Wang et al. | Quadrotor autonomous landing on moving platform | |
| CN110262555A (en) | Unmanned plane Real Time Obstacle Avoiding control method under continuous obstacle environment | |
| WO2022044533A1 (en) | Information processing device and information processing method, computer program, and moving body device | |
| CN118031974B (en) | Urban logistics unmanned aerial vehicle path planning method | |
| CN109870906B (en) | BBO (broadband barrier optimization) based high-speed rotorcraft path planning method for optimizing artificial potential field | |
| CN111443733B (en) | UAV flight control method, device and UAV | |
| CN115826625A (en) | Unmanned aerial vehicle coordinated turning flight method for underwater detection task | |
| Bouzerzour et al. | Robust vision-based sliding mode control for uncooperative ground target searching and tracking by quadrotor |
| Date | Code | Title | Description |
|---|---|---|---|
| PB01 | Publication | ||
| PB01 | Publication | ||
| SE01 | Entry into force of request for substantive examination | ||
| SE01 | Entry into force of request for substantive examination | ||
| CB03 | Change of inventor or designer information | Inventor after:Xu Chao Inventor after:Song Tao Inventor after:Zhang Yunfei Inventor after:Zheng Duo Inventor after:Cheng Ziheng Inventor after:Lin Defu Inventor after:He Shaomi Inventor after:Fan Shipeng Inventor before:Lin Defu Inventor before:Zhang Yunfei Inventor before:Zheng Duo Inventor before:Cheng Ziheng Inventor before:Song Tao Inventor before:He Shaomi Inventor before:Fan Shipeng | |
| CB03 | Change of inventor or designer information | ||
| GR01 | Patent grant | ||
| GR01 | Patent grant | ||
| TR01 | Transfer of patent right | Effective date of registration:20250922 Address after:100012 Beijing City Chaoyang District Anwai Beiyuan No. 1 Compound Patentee after:NO.63961 TROOPS, PLA Country or region after:China Address before:100081 No. 5, Zhongguancun South Street, Haidian District, Beijing Patentee before:BEIJING INSTITUTE OF TECHNOLOGY Country or region before:China |