



技术领域technical field
本发明属于室内定位技术,针对室内复杂环境中无线信号在非视距(Non Line ofSight,NLOS)传播时造成的定位精度低的问题,提出一种适用于Wi-Fi的ToA(Time ofArrival)与AoA(Angle of Arrival)室内联合定位算法模型。The invention belongs to the indoor positioning technology, and aims at the problem of low positioning accuracy caused by the non-line of sight (Non Line of Sight, NLOS) propagation of wireless signals in complex indoor environments, and proposes a ToA (Time of Arrival) suitable for Wi-Fi and a AoA (Angle of Arrival) indoor joint positioning algorithm model.
背景技术Background technique
随着无线通信技术与网络技术的发展与普及,人们在生活中运用到大量的位置信息,例如用来给电信基站、电视发射站等提供精确同步时钟源;广泛应用于航空运输、电子地图、实现农机具导航、自动驾驶,土地高精度平整导航等定位系统;在道路、桥梁、隧道的施工中大量采用GPS设备进行工程测量;以及野外勘探及城区规划领域的应用。室外定位系统基本满足人们的一些定位需求,但人们对室内位置信息同样也有很大的需求,例如在工厂、施工地等场所可以对人员、设备、物资进行实时定位;在商场对店铺位置进行导航;在监狱中,对犯人进行实时定位;在安防方面,室内定位技术主要被运用在可疑物品的追踪。但由于室内环境的复杂,信号的严重衰减,室外定位系统难以解决室内的一些定位问题。因此,室内定位技术成为研究热点。With the development and popularization of wireless communication technology and network technology, people use a large amount of location information in life, for example, to provide precise synchronization clock source for telecommunication base stations, TV transmission stations, etc.; widely used in air transportation, electronic maps, It can realize positioning systems such as agricultural machinery navigation, automatic driving, and high-precision land leveling navigation; GPS equipment is widely used for engineering measurement in the construction of roads, bridges and tunnels; and applications in field exploration and urban planning. Outdoor positioning systems basically meet some of people's positioning needs, but people also have great needs for indoor location information. For example, in factories, construction sites and other places, people, equipment, and materials can be located in real time; in shopping malls, store location navigation ; In prisons, real-time positioning of prisoners; in security, indoor positioning technology is mainly used in the tracking of suspicious objects. However, due to the complex indoor environment and severe signal attenuation, it is difficult for the outdoor positioning system to solve some indoor positioning problems. Therefore, indoor positioning technology has become a research hotspot.
目前,室内定位技术有超宽带定位技术、指纹定位、射频识别(Radio FrequencyIdentification,RFID)定位、蓝牙定位、Wi-Fi定位。但超宽带定位设备昂贵,基于指纹定位需要前期做大量的测量工作,射频识别不具有通信能力,抗干扰能力较差,蓝牙系统的稳定性稍差,受噪声信号干扰大且器件和设备的价格比较昂贵。在大部分的室内环境都具备Wi-Fi,硬件成本很低,因此基于Wi-Fi的定位技术可以得到广泛应用。At present, indoor positioning technologies include ultra-wideband positioning technology, fingerprint positioning, radio frequency identification (Radio Frequency Identification, RFID) positioning, Bluetooth positioning, and Wi-Fi positioning. However, ultra-wideband positioning equipment is expensive. Based on fingerprint positioning, a lot of measurement work needs to be done in the early stage. Radio frequency identification has no communication ability, poor anti-interference ability, and the stability of Bluetooth system is slightly poor. relatively expensive. Wi-Fi is available in most indoor environments, and the hardware cost is very low, so Wi-Fi-based positioning technology can be widely used.
针对Wi-Fi常用的定位参数主要有:接收信号强度(Received Signal Strength,RSS)、到达角(Angle of Arrival,AoA)以及到达时间(Time of Arrival,ToA)。基于信号强度的定位通过路径传播模型计算发射机与接收机之间的信号强度,然后将信号强度转化为距离,最后通过三边测量法来计算目标点位置,这种方法虽然简单,但是由于室内多径效应的干扰,使得RSS有较大的波动。基于到达时间的定位通过估计出接收机与发射机信号的飞行时间,然后利用三边定位算法进行定位,定位的精度受限于时间估计的精度。基于到达角的定位需要估计出信号到接收机的到达角,然后利用三边定位方法对目标进行定位。经典求解到达角的方法有MUSIC算法,该算法要求系统物理天线的个数必须大于多径信号的个数。Common positioning parameters for Wi-Fi mainly include: Received Signal Strength (RSS), Angle of Arrival (AoA), and Time of Arrival (ToA). Positioning based on signal strength calculates the signal strength between the transmitter and receiver through the path propagation model, then converts the signal strength into distance, and finally calculates the target point position by trilateration. The interference of multipath effect makes the RSS fluctuate greatly. The time-of-arrival-based positioning estimates the flight time of the receiver and transmitter signals, and then uses the trilateration algorithm for positioning. The positioning accuracy is limited by the time estimation accuracy. The positioning based on the angle of arrival needs to estimate the angle of arrival of the signal to the receiver, and then use the trilateration method to locate the target. The classical method for solving the angle of arrival is the MUSIC algorithm, which requires that the number of physical antennas in the system must be greater than the number of multipath signals.
本文对《基于ToA和AoA的室内联合定位算法研究》中提到的一种门限比较加权法(Threshold comparative weighted,TCW)—Taylor级数展开的联合定位算法进行改进。首先通过利用测量值丢弃法卡尔曼滤波更加准确识别出ToA中的NLOS误差,然后根据测量得到的ToA和AoA,利用提出的改进TCW法进行目标节点的初始位置计算,仿真结果表明,提出改进门限加权法(改进TCW)算法的定位精度得到提升,初始定位结果达到90%误差在1.5m以内。This paper improves a Threshold comparative weighted (TCW)-Taylor series expansion joint localization algorithm mentioned in "Research on Indoor Joint Localization Algorithm Based on ToA and AoA". First, the NLOS error in the ToA is more accurately identified by Kalman filtering using the measured value discarding method. Then, according to the measured ToA and AoA, the proposed improved TCW method is used to calculate the initial position of the target node. The simulation results show that the proposed improved threshold The positioning accuracy of the weighted method (improved TCW) algorithm is improved, and the initial positioning result reaches 90% error within 1.5m.
发明内容SUMMARY OF THE INVENTION
本发明的目的是提供一种适用于NLOS环境的室内ToA与AoA联合定位算法,它能有效地利用ToA与AoA信息对目标进行定位。The purpose of the present invention is to provide an indoor ToA and AoA joint positioning algorithm suitable for NLOS environment, which can effectively use the ToA and AoA information to locate the target.
本发明所述的适用于室内定位模型构建方法,包括以下步骤:The method for constructing an indoor positioning model according to the present invention includes the following steps:
步骤一、构建NLOS误差的指数模型;
步骤二、利用测量值丢弃法卡尔曼滤波(Kalman Filter,KF)消除ToA中的NLOS误差, KF的基本方程是递推形式,利用前一状态不断预测和修正;Step 2: Eliminate the NLOS error in the ToA by using the Kalman Filter (KF) of the measured value discarding method. The basic equation of KF is a recursive form, and the previous state is used to continuously predict and correct;
步骤三、构建改进门限比较加权算法模型。Step 3: Build an improved threshold comparison weighting algorithm model.
有益效果beneficial effect
本发明的目的是提供一种适用于NLOS环境的室内ToA与AoA联合定位算法,它能有效地利用ToA与AoA信息对目标进行定位,有以下优点:The object of the present invention is to provide a kind of indoor ToA and AoA joint positioning algorithm suitable for NLOS environment, it can effectively use ToA and AoA information to locate the target, and has the following advantages:
1.采用测量值丢弃法卡尔曼滤波更精准的估计出ToA中NLOS误差;1. Kalman filter is used to more accurately estimate the NLOS error in ToA;
2.允许AoA的测量误差比较大;2. The measurement error of AoA is allowed to be relatively large;
3.提出改进门限加权法(改进TCW)算法的定位精度得到提升,初始定位结果达到90%误差在1.5m以内。3. The improved threshold weighting method (improved TCW) algorithm is proposed to improve the positioning accuracy, and the initial positioning result achieves 90% error within 1.5m.
附图说明Description of drawings
图1为本发明的流程图。FIG. 1 is a flow chart of the present invention.
图2为估计NLOS误差与真实NLOS误差差值图。Figure 2 shows the difference between the estimated NLOS error and the true NLOS error.
图3改进TCW方法示意图。Figure 3 Schematic diagram of the improved TCW method.
图4改进TCW误差与TCW方法误差的概率累计分布图。Figure 4. Probability cumulative distribution diagram of the error of the improved TCW and the error of the TCW method.
具体实施方案specific implementation
下面结合附图对本发明作进一步详细说明:Below in conjunction with accompanying drawing, the present invention is described in further detail:
图1为本发明流程图,步骤如下:Fig. 1 is the flow chart of the present invention, and the steps are as follows:
步骤一、构建NLOS误差模型,NLOS误差来源于室内复杂的环境与障碍物,当信号遇到障碍物时会发生反射,导致到达接收机的信号由多个误差信号合成进而使得ToA与AoA测量值有很大的误差。为了更好的研究NLOS误差,Ericsson的一个定位技术研究小组提出的T1PI模型,该模型是一种常用于仿真评估基于时间定位技术的信道模型:
其中,D(τ)为非视距传输时延,τrms为延时速度,是一个服从对数正态分布的变量,可以定义为:Among them, D(τ) is the non-line-of-sight transmission delay, and τrms is the delay speed, which is a variable obeying a log-normal distribution and can be defined as:
τrms=T1dεξ (2)τrms = T1 dε ξ (2)
式中T1为d=1km时τrms的中值,d接收机到发射机的距离,单位为千米,ε是指数因子,取值为0.5-1.0,ξ是对数随机变量,lgξ是均值为0,标准差为2-6dB,下面表1为不同环境下的具体模型参数。where T1 is the median value of τrms when d=1km, d is the distance from the receiver to the transmitter, in kilometers, ε is an exponential factor, ranging from 0.5 to 1.0, ξ is a logarithmic random variable, and lgξ is The mean value is 0, and the standard deviation is 2-6dB. Table 1 below shows the specific model parameters in different environments.
表1不同信道环境的模型参数Table 1 Model parameters for different channel environments
步骤二、利用测量值丢弃法卡尔曼滤波消除ToA中的NLOS误差,卡尔曼滤波是对系统状态进行最优估计,使系统的最优估计值具有最小均方误差,主要步骤分为两步,构建预测方程与构建校正方程,用两个方程分别表示未知状态的转移过程和测量系统输入与输出的关系,从而把某个时刻的状态值与当前以及以前时刻的测量值联系起来,状态方程和测量方程如式(3)、(4)所示:Step 2: Eliminate the NLOS error in the ToA by Kalman filtering using the measurement value discarding method. Kalman filtering is to perform an optimal estimation of the system state, so that the optimal estimated value of the system has the smallest mean square error. The main steps are divided into two steps. Construct the prediction equation and construct the correction equation, and use two equations to represent the transition process of the unknown state and the relationship between the input and output of the measurement system, so as to connect the state value at a certain moment with the current and previous measurement values. The state equation and The measurement equations are shown in equations (3) and (4):
X(k+1)=AX(k)+w(k) (3)X(k+1)=AX(k)+w(k) (3)
Z(k)=HX(k)+v(k) (4)Z(k)=HX(k)+v(k) (4)
为了缓解和消除NLOS误差,将ToA及其一阶导数和NLOS误差作为待估计的状态向量,并表示出状态向量与测量向量之间的关系,其中H=[10α],v(k)=nm(k),式子中τ为ToA值,b(k)和nm(k)分别为 NLOS误差和测量误差,Δ为采样间距,Z(k)是测量值,α是试验值。卡尔曼滤波的过程如式(5)-(9):In order to alleviate and eliminate the NLOS error, ToA and its first derivative and NLOS error are taken as the state vector to be estimated, and the relationship between the state vector and the measurement vector is expressed, where H=[10α], v(k)=nm (k ), where τ is the ToA value, b(k) and nm (k ) are the NLOS error and measurement error, respectively, Δ is the sampling interval, Z ( k) is the measured value and α is the experimental value. The process of Kalman filtering is shown in equations (5)-(9):
Pk-=APk-1AT+Q (6)Pk- =APk-1 AT +Q (6)
Pk=(I-KkC)PK- (9)Pk = (IKk C)PK- (9)
其中,和分别代表着第k个时间状态变量的预测值和估计值,Pk-和Pk分别代表着第k个时刻预测和估计均方误差阵,Q和R分别是过程噪声协方差和测量噪声向量协方差,Kk为第k时刻卡尔曼滤波的增益。in, and represent the predicted value and estimated value of the state variable at the kth time, respectively, Pk- and Pk represent the predicted and estimated mean square error matrix of the k time time, respectively, Q and R are the process noise covariance and measurement noise vector, respectively Covariance, Kk is the gain of the Kalman filter at time k.
在实际中,卡尔曼滤波器的解是递归计算的,其状态的每一次更新估计都由前一次估计和新的输入数据计算得到,当前一次的ToA中受到NLOS误差严重影响时,会使后续的测量值产生十分大的误差。另一个问题是,NLOS产生的时延只能大于零。针对此问题,改进在(8)~(9)中,判断当大于10ns或者小于0,或者当大于1.2,的值用来代替。如图2所示,当采用测量值丢弃法卡尔曼滤波估计TOA 中的NLOS误差比普通卡尔曼滤波估计NLOS误差更好。In practice, the solution of the Kalman filter is calculated recursively, and each update estimate of its state is calculated from the previous estimate and the new input data. When the previous ToA is seriously affected by the NLOS error, the subsequent The measurement value of , produces a very large error. Another problem is that the delay caused by NLOS can only be greater than zero. In response to this problem, improvements are made in (8) to (9), and the judgment when greater than 10ns or less than 0, or when greater than 1.2, the value of to replace. As shown in Fig. 2, the NLOS error in the TOA estimated by the Kalman filter is better than the NLOS error estimated by the ordinary Kalman filter when the measured value discarding method is adopted.
步骤三、采用提出的改进门限比较加权法,如图3所示,具体方法如下:Step 3: Adopt the proposed improved threshold comparison weighting method, as shown in Figure 3, and the specific method is as follows:
a)首先找出三圆相交的点Di(xi,yi),i=1,2,3,4,5,6,并求出每两圆相交的公共弦段 L1i=k1ix+b1i,i=1,2,3;a) First find out the point Di (xi , yi ) where the three circles intersect, i=1, 2, 3, 4, 5, 6, and find the common chord segment L1i = k1i where every two circles intersect x+b1i , i=1,2,3;
b)做AoA三条直线,以圆心为一点,测量AoA的值为斜率,斜率的误差服从均值为0,方差为1°,L2i=k2ix+b2i,i=1,2,3;b) Make three straight lines of AoA, take the center of the circle as a point, measure the value of AoA as the slope, the error of the slope obeys the mean value of 0, the variance is 1°, L2i = k2i x+b2i , i=1,2,3;
c)求L1i与L2i相交点,并筛选出在三个圆相交的公共区域内的Pi(xi,yi),i=1,…,N;c) Find the intersection point of L1i and L2i , and filter out Pi (xi , yi ), i=1,...,N in the common area where the three circles intersect;
d)计算任意两个交点Pm和Pn之间的距离dmn;d) Calculate the distancedmn between any two intersection pointsPm andPn ;
e)将所有距离dmn的平均值作为阈值Dthr;e) take the average value of all distancesdmn as the thresholdDthr ;
f)然后所有可能的交点Pi的初始权重Ik为0,即Ik=0;比较dmn和Dthr的大小,如果dmn<Dthr,则Im=Im+1,In=In+1,1≤m,n≤N;f) Then the initial weight Ik of all possible intersection points Pi is 0, that is, Ik =0; compare the sizes of dmn and Dthr , if dmn <Dthr , then Im =Im +1,In =In +1,1≤m,n≤N ;
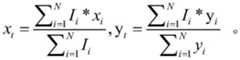
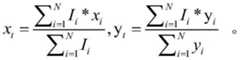
g)初始点的位置计算公式(xt,yt),g) The formula for calculating the position of the initial point (xt , yt ),
| Application Number | Priority Date | Filing Date | Title |
|---|---|---|---|
| CN202010932469.4ACN112180323A (en) | 2020-09-08 | 2020-09-08 | Research on indoor joint positioning algorithm of TOA and AOA based on Wi-Fi |
| Application Number | Priority Date | Filing Date | Title |
|---|---|---|---|
| CN202010932469.4ACN112180323A (en) | 2020-09-08 | 2020-09-08 | Research on indoor joint positioning algorithm of TOA and AOA based on Wi-Fi |
| Publication Number | Publication Date |
|---|---|
| CN112180323Atrue CN112180323A (en) | 2021-01-05 |
| Application Number | Title | Priority Date | Filing Date |
|---|---|---|---|
| CN202010932469.4APendingCN112180323A (en) | 2020-09-08 | 2020-09-08 | Research on indoor joint positioning algorithm of TOA and AOA based on Wi-Fi |
| Country | Link |
|---|---|
| CN (1) | CN112180323A (en) |
| Publication number | Priority date | Publication date | Assignee | Title |
|---|---|---|---|---|
| CN113115224A (en)* | 2021-04-06 | 2021-07-13 | 中移(上海)信息通信科技有限公司 | Indoor positioning method and indoor positioning device |
| CN113311386A (en)* | 2021-05-25 | 2021-08-27 | 北京航空航天大学 | TDOA wireless positioning method based on improved Kalman filter |
| CN113380074A (en)* | 2021-08-13 | 2021-09-10 | 中国民用航空总局第二研究所 | Navigation low-altitude monitoring system and method |
| Publication number | Priority date | Publication date | Assignee | Title |
|---|---|---|---|---|
| US20140086587A1 (en)* | 2012-09-24 | 2014-03-27 | Richard D. Roberts | Light receiver position determination |
| CN105979579A (en)* | 2016-05-19 | 2016-09-28 | 华东交通大学 | Application of TOA/AOA mixed positioning method in LTE system |
| CN107426687A (en)* | 2017-04-28 | 2017-12-01 | 重庆邮电大学 | The method for adaptive kalman filtering of positioning is merged in towards WiFi/PDR rooms |
| CN109633523A (en)* | 2018-12-21 | 2019-04-16 | 天津大学 | The method using directional diagram superposition antenna estimation incoming wave angle for indoor positioning |
| CN109752690A (en)* | 2019-01-15 | 2019-05-14 | 西安电子科技大学 | Elimination algorithm, system, device and storage medium of UAV positioning NLOS |
| US20190165890A1 (en)* | 2016-07-05 | 2019-05-30 | Idac Holdings, Inc. | Latency Reduction by Fast Forward in Multi-Hop Communication Systems |
| CN110888110A (en)* | 2019-12-03 | 2020-03-17 | 重庆邮电大学 | Indoor carrier phase positioning model construction method suitable for WiFi |
| Publication number | Priority date | Publication date | Assignee | Title |
|---|---|---|---|---|
| US20140086587A1 (en)* | 2012-09-24 | 2014-03-27 | Richard D. Roberts | Light receiver position determination |
| CN105979579A (en)* | 2016-05-19 | 2016-09-28 | 华东交通大学 | Application of TOA/AOA mixed positioning method in LTE system |
| US20190165890A1 (en)* | 2016-07-05 | 2019-05-30 | Idac Holdings, Inc. | Latency Reduction by Fast Forward in Multi-Hop Communication Systems |
| CN107426687A (en)* | 2017-04-28 | 2017-12-01 | 重庆邮电大学 | The method for adaptive kalman filtering of positioning is merged in towards WiFi/PDR rooms |
| CN109633523A (en)* | 2018-12-21 | 2019-04-16 | 天津大学 | The method using directional diagram superposition antenna estimation incoming wave angle for indoor positioning |
| CN109752690A (en)* | 2019-01-15 | 2019-05-14 | 西安电子科技大学 | Elimination algorithm, system, device and storage medium of UAV positioning NLOS |
| CN110888110A (en)* | 2019-12-03 | 2020-03-17 | 重庆邮电大学 | Indoor carrier phase positioning model construction method suitable for WiFi |
| Title |
|---|
| ZE LI等: "Wi-vision: an accurate and robust LOS/NLOS identification system using Hopkins statistic", 《GLOBECOM 2017 - 2017 IEEE GLOBAL COMMUNICATIONS CONFERENCE》* |
| 吴晨烨: "NLOS环境中基于TDOA和TOA的无线定位研究", 《中国优秀博硕士学位论文全文数据库(硕士)信息科技辑》* |
| 杨超超等: "基于TOA和AOA的室内联合定位算法研究", 《激光与光电子学进展》* |
| Publication number | Priority date | Publication date | Assignee | Title |
|---|---|---|---|---|
| CN113115224A (en)* | 2021-04-06 | 2021-07-13 | 中移(上海)信息通信科技有限公司 | Indoor positioning method and indoor positioning device |
| CN113115224B (en)* | 2021-04-06 | 2021-11-09 | 中移(上海)信息通信科技有限公司 | Indoor positioning method and indoor positioning device |
| CN113311386A (en)* | 2021-05-25 | 2021-08-27 | 北京航空航天大学 | TDOA wireless positioning method based on improved Kalman filter |
| CN113380074A (en)* | 2021-08-13 | 2021-09-10 | 中国民用航空总局第二研究所 | Navigation low-altitude monitoring system and method |
| CN113380074B (en)* | 2021-08-13 | 2021-11-05 | 中国民用航空总局第二研究所 | Navigation low-altitude monitoring system and method |
| Publication | Publication Date | Title |
|---|---|---|
| CN112533163B (en) | Indoor positioning method based on NB-IoT (NB-IoT) improved fusion ultra-wideband and Bluetooth | |
| CN108535687B (en) | Indoor wireless positioning method based on TOF and RSSI information fusion | |
| Woo et al. | Application of WiFi-based indoor positioning system for labor tracking at construction sites: A case study in Guangzhou MTR | |
| CN108226860B (en) | RSS (received signal strength) -based ultra-wideband mixed dimension positioning method and positioning system | |
| CN112180323A (en) | Research on indoor joint positioning algorithm of TOA and AOA based on Wi-Fi | |
| CN104507159A (en) | A method for hybrid indoor positioning based on WiFi (Wireless Fidelity) received signal strength | |
| CN103561463A (en) | RBF neural network indoor positioning method based on sample clustering | |
| CN107339989A (en) | A kind of pedestrian's indoor orientation method based on particle filter | |
| CN104640204B (en) | Wireless sensor network node locating method under a kind of indirect wave environment | |
| Aernouts et al. | Combining TDoA and AoA with a particle filter in an outdoor LoRaWAN network | |
| CN102288938B (en) | Effective three-dimensional positioning method for wireless sensor network node | |
| CN110376627A (en) | Adaptive absolute fix method and positioning system in a kind of complex environment | |
| CN104936147A (en) | A positioning method in complex indoor environments based on architectural pattern constraints | |
| CN106226732A (en) | The indoor wireless positioning and tracing method filtered without mark based on TOF and iteration | |
| CN109506653A (en) | Indoor pedestrian localization method based on improved particle filter in NLOS environment | |
| CN109270489B (en) | Real-time continuous positioning method based on UWB (ultra Wide band) under NLOS (non line of sight) tunnel environment | |
| Si et al. | An adaptive weighted Wi-Fi FTM-based positioning method in an NLOS environment | |
| CN104101861B (en) | Distance-measuring and positioning method and system | |
| Cui et al. | A novel iterative positioning method based on difference RSS model with 5G field experiments | |
| CN108332749B (en) | Indoor dynamic tracking and positioning method | |
| Lou et al. | High-accuracy positioning algorithm based on UWB | |
| Ling et al. | UWB-based real-time continuous positioning system in NLOS tunnel environment | |
| CN111190139A (en) | A high-precision positioning method for ultra-wideband non-line-of-sight transmission in complex environments | |
| CN114485639B (en) | UWB positioning drift correction method for indoor navigation | |
| Zhan et al. | Fast self-calibration method for massive UWB anchors aided by odometry |
| Date | Code | Title | Description |
|---|---|---|---|
| PB01 | Publication | ||
| PB01 | Publication | ||
| SE01 | Entry into force of request for substantive examination | ||
| SE01 | Entry into force of request for substantive examination | ||
| WD01 | Invention patent application deemed withdrawn after publication | ||
| WD01 | Invention patent application deemed withdrawn after publication | Application publication date:20210105 |