Movatterモバイル変換


[0]ホーム

URL:


CN112178360A - System and method for rapidly positioning infrasonic pipeline robot - Google Patents

System and method for rapidly positioning infrasonic pipeline robot
Download PDF

Info

Publication number
CN112178360A
CN112178360ACN202010616004.8ACN202010616004ACN112178360ACN 112178360 ACN112178360 ACN 112178360ACN 202010616004 ACN202010616004 ACN 202010616004ACN 112178360 ACN112178360 ACN 112178360A
Authority
CN
China
Prior art keywords
infrasonic
data
pipeline
pipeline robot
data acquisition
Prior art date
Legal status (The legal status is an assumption and is not a legal conclusion. Google has not performed a legal analysis and makes no representation as to the accuracy of the status listed.)
Pending
Application number
CN202010616004.8A
Other languages
Chinese (zh)
Inventor
傅诚铁
何锋
陈本锋
陈彬
王海洋
魏向攀
王志杰
Current Assignee (The listed assignees may be inaccurate. Google has not performed a legal analysis and makes no representation or warranty as to the accuracy of the list.)
CNOOC Fujian Gas Co Ltd
Original Assignee
CNOOC Fujian Gas Co Ltd
Priority date (The priority date is an assumption and is not a legal conclusion. Google has not performed a legal analysis and makes no representation as to the accuracy of the date listed.)
Filing date
Publication date
Application filed by CNOOC Fujian Gas Co LtdfiledCriticalCNOOC Fujian Gas Co Ltd
Priority to CN202010616004.8ApriorityCriticalpatent/CN112178360A/en
Publication of CN112178360ApublicationCriticalpatent/CN112178360A/en
Pendinglegal-statusCriticalCurrent

Links

Images

Classifications

Landscapes

Abstract

The invention discloses a rapid positioning system of an infrasonic pipeline robot, which comprises a master station system and a substation system; the substation system comprises an infrasonic wave sensor, a preamplifier and a data acquisition system; the master station system comprises a data analysis system and a display terminal; the infrasonic wave sensor is connected with the monitored pipeline, and the data acquisition system is connected with the data analysis system; the infrasonic wave sensor receives infrasonic wave signals in the pipeline in real time and converts the infrasonic wave signals into electric signals; the pre-amplifier amplifies and filters the electric signal and transmits the electric signal to the data acquisition system; the data acquisition system converts the electric signals into data and sends the acquired infrasonic data to the data analysis system; the data analysis system analyzes and processes the data to determine the position of the pipeline robot. The invention also discloses a method for quickly positioning the infrasonic pipeline robot, and the system can prompt the position of the pipeline robot in time and quickly and reduce the loss caused by blind excavation when the pipeline robot is clamped.

Description

System and method for rapidly positioning infrasonic pipeline robot
Technical Field
The invention relates to a rapid positioning system and a rapid positioning method for an infrasonic pipeline robot, which can be used for the ball passing operation process of oil, gas and other various conveying medium pipelines.
Background
At present, the mileage of pipelines in China reaches over 10 kilometers, and serious accidents such as corrosion perforation, leakage pollution, blockage of pipe explosion and the like can happen to the pipelines along with the lapse of time, so that the life and property are seriously lost. In order to prevent accidents, the pipeline robot needs to be regularly used for detecting and cleaning the pipeline robot. However, in the process of cleaning the pipeline by the pipeline robot, the pipeline robot is easy to block in the pipeline and is limited by the existing communication equipment and positioning technology, the pipeline condition is mostly unknown, the pipeline robot cannot be accurately positioned, fuzzy excavation, blind scrapping and the like are often caused, and the resource waste is serious.
At present, there are many international pipeline inspection robot positioning methods, mainly including: the mile wheel positioning method, the visual CCD positioning method, the Beidou/GPS positioning method, the low-frequency electromagnetic wave positioning method and the like are influenced by the length, the environment and the burial depth of the pipeline, the methods are greatly limited, the positioning effect is poor, and the positioning of the pipeline robot which is clamped can not be realized.
Disclosure of Invention
The invention aims to provide a system capable of quickly positioning a pipeline robot, aiming at the defects in the prior art.
It is still another object of the present invention to provide a method for quickly positioning a pipeline robot.
In order to achieve the purpose, the invention discloses the following technical scheme:
infrasonic pipeline robot quick positioning system includes main website system and substation system:
the substation system comprises an infrasonic wave sensor, a preamplifier and a data acquisition system which are connected in sequence;
the master station system comprises a data analysis system and a display terminal which are connected with each other;
the infrasonic wave sensor is connected with a monitored pipeline, and the data acquisition system is connected with the data analysis system through a data communication module;
the infrasonic wave sensor receives infrasonic wave signals in the pipeline and converts the infrasonic wave signals into electric signals;
the pre-amplifier amplifies and filters the electric signal and transmits the electric signal to a data acquisition system;
the data acquisition system converts the electric signals into data and sends the acquired infrasonic data to the data analysis system through the data communication module;
the data analysis system determines the position of the pipeline robot by analyzing and processing the data set sent by the data acquisition system.
Furthermore, the frequency of the sound wave received by the infrasonic wave sensor is 0 Hz-20 Hz.
Furthermore, the data communication module comprises a redundancy design, and the redundancy design comprises wireless and wired communication modes.
Furthermore, the data acquisition system comprises a Beidou/GPS time service module, and the time service precision is in a nanosecond level.
Furthermore, the substation systems are respectively arranged at the two monitored ends, and the data analysis system receives a plurality of data sent by the data acquisition systems of the substation systems.
The invention also discloses a method for quickly positioning the infrasonic pipeline robot, which utilizes the infrasonic pipeline robot quick positioning system to monitor infrasonic signals in a pipeline in real time so as to judge the implementation position of the pipeline robot.
Further, the method specifically comprises the following steps:
the substations which are arranged at the two ends of the monitored pipeline are provided with at least one infrasonic wave sensor which is used for receiving infrasonic wave signals in the pipeline and converting the infrasonic wave signals into electric signals; the pre-amplifier amplifies and filters the electric signal and transmits the electric signal to the data acquisition system; the data acquisition system comprises a Beidou/GPS time service module and a data communication module and is responsible for converting electric signals into data and sending acquired infrasonic data to the data analysis system through the data communication module; the data analysis system judges the position of the pipeline robot by analyzing and processing the data sent by the acquisition system.
Furthermore, in the actual monitoring process, a plurality of substation systems are arranged at two ends of the monitored pipeline, the data analysis system is connected with a data acquisition system for receiving the substation systems, and the data is processed and comprehensively analyzed by using a signal processing and recognition algorithm to judge the position of the pipeline robot.
Furthermore, one or more signal processing modes including an expert database, a fuzzy neural network, wavelet transformation and a support vector machine are adopted in the signal processing and identifying algorithm to carry out comprehensive analysis and calculation.
According to the technical scheme provided by the invention, the infrasonic pipeline robot rapid positioning system provided by the embodiment of the invention comprises a master station system and a substation system; the substation system comprises an infrasonic wave sensor, a preamplifier and a data acquisition system which are connected in sequence; the master station system comprises a data analysis system and a display terminal which are connected with each other; the infrasonic wave sensor is connected with a monitored pipeline, and the data acquisition system is connected with the data analysis system through a data communication module; the infrasonic wave sensor receives infrasonic wave signals in the pipeline in real time and converts the infrasonic wave signals into electric signals; the pre-amplifier amplifies and filters the electric signal and transmits the electric signal to the data acquisition system; the data acquisition system converts the electric signals into data and sends the acquired infrasonic data to the data analysis system through the data communication module; the data analysis system judges the position of the pipeline robot in real time by analyzing and processing the data sent by the data acquisition system. When the pipeline robot stops moving, the alarm prompt can be timely and quickly sent out, so that relevant departments can take measures in time.
Drawings
Fig. 1 is a schematic structural diagram of a infrasonic pipeline robot rapid positioning system according to an embodiment of the present invention.
Detailed Description
The technical solutions in the embodiments of the present invention will be clearly and completely described below, and it is obvious that the described embodiments are only a part of the embodiments of the present invention, and not all embodiments. All other embodiments, which can be derived by a person skilled in the art from the embodiments given herein without making any creative effort, shall fall within the protection scope of the present invention.
The core of the invention is to provide a system and a method for quickly positioning an infrasonic pipeline robot, so as to describe the position of the pipeline robot timely and quickly, and when the pipeline robot stops moving, workers can be prompted timely, so that relevant departments can take measures timely.
Please refer to fig. 1.
Infrasonic pipeline robot quick positioning system includes main website system and substation system:
the substation system comprises an infrasonic wave sensor, a preamplifier and a data acquisition system which are connected in sequence;
the master station system comprises a data analysis system, a display terminal and the like which are connected with each other.
The infrasonic wave sensor is connected with a monitored pipeline, and the data acquisition system is connected with the data analysis system through a data communication module;
the infrasonic wave sensor receives infrasonic wave signals in the pipeline and converts the infrasonic wave signals into electric signals;
the pre-amplifier amplifies and filters the electric signal and transmits the electric signal to a data acquisition system;
the data acquisition system converts the electric signals into data and sends the acquired infrasonic data to the data analysis system through the data communication module;
the data analysis system determines the position of the pipeline robot by analyzing and processing the data set sent by the data acquisition system.
Compared with the prior art, the invention has obvious advantages. According to the technical scheme, the pipeline robot can cause disturbance of a medium when moving, continuous infrasonic beam signals are generated, the system judges the real-time position of the pipeline robot through the infrasonic signals in the real-time monitoring pipeline, and the system provides a novel pipeline robot rapid positioning mode. Compared with the prior art, the scheme has the advantages of timely and accurate alarm and less influence by the surrounding environment and the self environment of the pipeline.
In this embodiment, the frequency of the sound wave received by the infrasonic wave sensor is 0Hz to 20 Hz. The data communication module comprises a redundancy design, and the redundancy design comprises wireless and wired communication modes. The data acquisition system comprises a Beidou/GPS time service module, and the time service precision is in a nanosecond level. The substation systems are respectively arranged at the two monitored ends, and the data analysis system receives a plurality of data sent by the data acquisition systems of the substation systems.
A rapid positioning method of an infrasonic pipeline robot utilizes a rapid positioning system of the infrasonic pipeline robot to monitor infrasonic signals in a pipeline in real time so as to judge the implementation position of the pipeline robot. The method specifically comprises the following steps: the substations which are arranged at the two ends of the monitored pipeline are provided with at least one infrasonic wave sensor which is used for receiving infrasonic wave signals in the pipeline and converting the infrasonic wave signals into electric signals; the pre-amplifier amplifies and filters the electric signal and transmits the electric signal to the data acquisition system; the data acquisition system comprises a Beidou/GPS time service module and a data communication module and is responsible for converting electric signals into data and sending acquired infrasonic data to the data analysis system through the data communication module; the data analysis system judges the position of the pipeline robot by analyzing and processing the data sent by the acquisition system.
In this embodiment, in the actual monitoring process, the both ends of being monitored the pipeline are equipped with a plurality of substation systems, and data analysis leads to the data acquisition system who receives a plurality of substation systems, and application signal processing and recognition algorithm handle and integrated analysis to data, judge the position of pipeline robot. In the signal processing and identifying algorithm, one or several signal processing modes including expert database, fuzzy neural network, wavelet transform and support vector machine are used for comprehensive analysis and calculation.
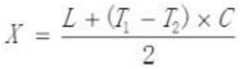
When the distance is measured, the following formula is adopted for calculation:
Figure BDA0002563753560000061
wherein, X is the distance between the sensor at the left end of the pipeline and the pipeline robot in FIG. 1, L is the distance between the sensors arranged at the two ends of the pipeline, T1-T2 bit time difference of the infrasonic wave signal reaching the sensors at the two ends, and C is the speed of the infrasonic wave propagating in the pipeline medium.
The invention adopts the infrasonic wave sensor with high sensitivity, and the redundant design of the system reduces the possibility of system failure. The field device adopts a backup design, and can ensure normal work even if a certain part fails; the Beidou/GPS time service is adopted, so that the positioning precision of the system is improved.
The invention adopts a special high-sensitivity infrasonic wave sensor and a special data processing and identifying algorithm, ensures the system time synchronization precision of different monitoring points through a high-precision Beidou/GPS timing module, and can prompt the real-time position of the pipeline robot timely, effectively and accurately.
The foregoing is only a preferred embodiment of the present invention and is not limiting thereof; it should be noted that, although the present invention has been described in detail with reference to the above embodiments, those skilled in the art will understand that the technical solutions described in the above embodiments can be modified, and some or all of the technical features can be equivalently replaced; and the modifications and the substitutions do not make the essence of the corresponding technical solutions depart from the scope of the technical solutions of the embodiments of the present invention.

Claims (9)

1. Infrasonic pipeline robot quick positioning system, its characterized in that includes main website system and substation system:
the substation system comprises an infrasonic wave sensor, a preamplifier and a data acquisition system which are connected in sequence;
the master station system comprises a data analysis system and a display terminal which are connected with each other;
the infrasonic wave sensor is connected with a monitored pipeline, and the data acquisition system is connected with the data analysis system through a data communication module;
the infrasonic wave sensor receives infrasonic wave signals in the pipeline and converts the infrasonic wave signals into electric signals;
the pre-amplifier amplifies and filters the electric signal and transmits the electric signal to a data acquisition system;
the data acquisition system converts the electric signals into data and sends the acquired infrasonic data to the data analysis system through the data communication module;
the data analysis system determines the position of the pipeline robot by analyzing and processing the data set sent by the data acquisition system.
2. The infrasonic pipeline robot rapid positioning system of claim 1, wherein the frequency of the infrasonic sensor receiving the sound waves is 0Hz to 20 Hz.
3. The infrasonic pipeline robot fast positioning system of claim 1, wherein the data communication module comprises a redundant design, the redundant design comprising wireless and wired communication.
4. The infrasonic pipeline robot rapid positioning system of claim 1, wherein the data acquisition system comprises a Beidou/GPS time service module, and the time service precision is in the nanosecond level.
5. The infrasonic pipeline robot rapid positioning system of claim 1, wherein the substation systems are respectively provided at both ends to be monitored, and the data analysis system receives data transmitted from data acquisition systems of a plurality of the substation systems.
6. A method for rapidly positioning an infrasonic pipeline robot, which is characterized in that the infrasonic signal in the pipeline is monitored in real time by using the infrasonic pipeline robot rapid positioning system as claimed in claims 1-5 so as to judge the implementation position of the pipeline robot.
7. The infrasonic pipeline robot rapid positioning method according to claim 6, specifically comprising the steps of:
the substations which are arranged at the two ends of the monitored pipeline are provided with at least one infrasonic wave sensor which is used for receiving infrasonic wave signals in the pipeline and converting the infrasonic wave signals into electric signals; the pre-amplifier amplifies and filters the electric signal and transmits the electric signal to the data acquisition system; the data acquisition system comprises a Beidou/GPS time service module and a data communication module and is responsible for converting electric signals into data and sending acquired infrasonic data to the data analysis system through the data communication module; the data analysis system judges the position of the pipeline robot by analyzing and processing the data sent by the acquisition system.
8. The method as claimed in claim 7, wherein during the actual monitoring process, the two ends of the monitored pipeline are provided with a plurality of substation systems, the data analysis system receives the data acquisition systems of the substation systems, and the position of the pipeline robot is determined by processing and analyzing the data comprehensively by using signal processing and recognition algorithms.
9. The method of claim 8, wherein the signal processing and recognition algorithm is one or more of expert database, fuzzy neural network, wavelet transform, and support vector machine.
CN202010616004.8A2020-06-302020-06-30System and method for rapidly positioning infrasonic pipeline robotPendingCN112178360A (en)

Priority Applications (1)

Application NumberPriority DateFiling DateTitle
CN202010616004.8ACN112178360A (en)2020-06-302020-06-30System and method for rapidly positioning infrasonic pipeline robot

Applications Claiming Priority (1)

Application NumberPriority DateFiling DateTitle
CN202010616004.8ACN112178360A (en)2020-06-302020-06-30System and method for rapidly positioning infrasonic pipeline robot

Publications (1)

Publication NumberPublication Date
CN112178360Atrue CN112178360A (en)2021-01-05

Family

ID=73919926

Family Applications (1)

Application NumberTitlePriority DateFiling Date
CN202010616004.8APendingCN112178360A (en)2020-06-302020-06-30System and method for rapidly positioning infrasonic pipeline robot

Country Status (1)

CountryLink
CN (1)CN112178360A (en)

Cited By (1)

* Cited by examiner, † Cited by third party
Publication numberPriority datePublication dateAssigneeTitle
CN114646023A (en)*2022-04-182022-06-21中海福建天然气有限责任公司 Infrasonic pipeline leakage monitoring and rapid positioning device

Citations (6)

* Cited by examiner, † Cited by third party
Publication numberPriority datePublication dateAssigneeTitle
CN102563364A (en)*2012-03-072012-07-11张钧Monitoring and positioning device for leakage of gas delivery pipe
CN103644457A (en)*2013-12-132014-03-19东北石油大学Pipeline blockage positioning method and device
CN204062504U (en)*2014-08-042014-12-31青岛厚科信息工程有限公司Pipeline leakage testing device
CN104500984A (en)*2014-12-302015-04-08北京科创三思科技发展有限公司Sub-high pressure A gas pipeline leakage monitoring system
CN105953079A (en)*2016-07-012016-09-21北京华科合创科技发展有限公司Pipe cleaning ball positioning system for oil and gas pipeline
CN106597377A (en)*2016-12-152017-04-26北京科创三思科技发展有限公司Infrasonic wave in-pipe robot quick positioning system and infrasonic wave in-pipe robot quick positioning method

Patent Citations (6)

* Cited by examiner, † Cited by third party
Publication numberPriority datePublication dateAssigneeTitle
CN102563364A (en)*2012-03-072012-07-11张钧Monitoring and positioning device for leakage of gas delivery pipe
CN103644457A (en)*2013-12-132014-03-19东北石油大学Pipeline blockage positioning method and device
CN204062504U (en)*2014-08-042014-12-31青岛厚科信息工程有限公司Pipeline leakage testing device
CN104500984A (en)*2014-12-302015-04-08北京科创三思科技发展有限公司Sub-high pressure A gas pipeline leakage monitoring system
CN105953079A (en)*2016-07-012016-09-21北京华科合创科技发展有限公司Pipe cleaning ball positioning system for oil and gas pipeline
CN106597377A (en)*2016-12-152017-04-26北京科创三思科技发展有限公司Infrasonic wave in-pipe robot quick positioning system and infrasonic wave in-pipe robot quick positioning method

Cited By (2)

* Cited by examiner, † Cited by third party
Publication numberPriority datePublication dateAssigneeTitle
CN114646023A (en)*2022-04-182022-06-21中海福建天然气有限责任公司 Infrasonic pipeline leakage monitoring and rapid positioning device
CN114646023B (en)*2022-04-182023-07-04中海福建天然气有限责任公司Infrasonic wave pipeline leakage monitoring and quick positioning device

Similar Documents

PublicationPublication DateTitle
CN101832472B (en)System implementing pipeline leak detection by utilizing infrasonic wave
CN107940246B (en)A kind of fluid line source of leaks monitoring and positioning system and method
CN104500984A (en)Sub-high pressure A gas pipeline leakage monitoring system
CN113124929A (en)Transformer substation multi-parameter signal acquisition comprehensive analysis system and method
CN112305386A (en) A high-voltage cable live detection system and method based on digital twin technology
CN106597377A (en)Infrasonic wave in-pipe robot quick positioning system and infrasonic wave in-pipe robot quick positioning method
CN106015949A (en)Sound wave pipeline leakage monitoring system
CN109737317B (en)Infrasonic wave positioning system and method for fluid pipeline leakage
WO2011052969A2 (en)Ubiquitous system for continuously monitoring pipe facilities
CN106228107B (en)A kind of supersonic guide-wave broken rail monitoring method based on independent component analysis
CN106247173A (en)The method and device of pipeline leakage testing
JPWO2015072130A1 (en) Leakage determination system and leak determination method
CN107906374A (en)A kind of valves leakage detection device and system
CN102174992A (en)Pressure curve feature extraction method for pressure pipeline
CN111879479B (en)Micro-leakage signal monitoring system and method for non-Gaussian noise environment of gas collecting and conveying pipeline
CN102168809A (en)Method and system for detecting leakage of parking apron aviation gasoline pipe network based on pressure and temperature analysis
CN112413413B (en)Pipeline leakage monitoring and positioning method combining deep learning and multiple measurement technology
CN117743765A (en)Water pipe leakage detection positioning method based on sound waves
CN112178360A (en)System and method for rapidly positioning infrasonic pipeline robot
CN107504374A (en)Gas pipeline acoustic monitoring system
CN104696711A (en)Method for rapid and accurate positioning of pipeline leakage point
CN210141480U (en)Natural gas pipe network leakage monitoring system
CN112594559A (en)Submarine oil pipeline leakage monitoring system and method
CN118745942A (en) Intelligent monitoring system and method for comprehensive tunnel disasters based on multi-field coupling response
CN219198911U (en)Internet of things heat supply pipeline leakage alarm system based on sound wave detection

Legal Events

DateCodeTitleDescription
PB01Publication
PB01Publication
SE01Entry into force of request for substantive examination
SE01Entry into force of request for substantive examination
WD01Invention patent application deemed withdrawn after publication
WD01Invention patent application deemed withdrawn after publication

Application publication date:20210105


[8]ページ先頭

©2009-2025 Movatter.jp