Movatterモバイル変換


[0]ホーム

URL:


CN112169012A - A kind of self-healing hot-melt biomedical adhesive and preparation method thereof - Google Patents

A kind of self-healing hot-melt biomedical adhesive and preparation method thereof
Download PDF

Info

Publication number
CN112169012A
CN112169012ACN202011049135.9ACN202011049135ACN112169012ACN 112169012 ACN112169012 ACN 112169012ACN 202011049135 ACN202011049135 ACN 202011049135ACN 112169012 ACN112169012 ACN 112169012A
Authority
CN
China
Prior art keywords
adhesive
self
melt
hot
aldehyde
Prior art date
Legal status (The legal status is an assumption and is not a legal conclusion. Google has not performed a legal analysis and makes no representation as to the accuracy of the status listed.)
Granted
Application number
CN202011049135.9A
Other languages
Chinese (zh)
Other versions
CN112169012B (en
Inventor
李小杰
张一帆
朱叶
魏玮
刘晓亚
Current Assignee (The listed assignees may be inaccurate. Google has not performed a legal analysis and makes no representation or warranty as to the accuracy of the list.)
Henan Pujisheng Pharmaceutical Co ltd
Shenzhen Litong Zhiyuan Technology Transfer Center Co ltd
Original Assignee
Jiangnan University
Priority date (The priority date is an assumption and is not a legal conclusion. Google has not performed a legal analysis and makes no representation as to the accuracy of the date listed.)
Filing date
Publication date
Application filed by Jiangnan UniversityfiledCriticalJiangnan University
Priority to CN202011049135.9ApriorityCriticalpatent/CN112169012B/en
Publication of CN112169012ApublicationCriticalpatent/CN112169012A/en
Application grantedgrantedCritical
Publication of CN112169012BpublicationCriticalpatent/CN112169012B/en
Activelegal-statusCriticalCurrent
Anticipated expirationlegal-statusCritical

Links

Images

Classifications

Landscapes

Abstract

The invention provides a self-repairable hot-melt biomedical adhesive and a preparation method thereof, belonging to the field of biomedical materials. The adhesive is prepared by directly mixing the thiol-terminated hyperbranched polymer which is liquid at room temperature and the aldehyde-terminated polyethylene glycol. The solventless adhesive has higher mechanical properties than the hydrogel adhesive; the adhesive contains a large number of aldehyde groups, so that covalent bonds can be formed with the surface of the tissue, and the adhesive has high tissue binding power; the aldehyde-thiol reversible addition reaction between the two components crosslinks to form a dynamic polymer network, giving the adhesive self-healing, thermoplastic, and thermally detachable capabilities. The adhesive is heated to melt into liquid and re-solidify after cooling. This property allows the adhesive to be used as a hot melt adhesive. The adhesive prepared by the invention has the advantages of simple use method, good adhesion effect, low cytotoxicity and self-repairing performance, and has good application prospect as a biomedical adhesive.

Description

Self-repairable hot-melt biomedical adhesive and preparation method thereof
Technical Field
The invention belongs to the field of biomedical materials, and particularly relates to a self-repairable hot-melt biomedical adhesive and a preparation method thereof.
Background
The biomedical adhesive is a biomedical material which is expected to replace surgical suture lines. Compared with the traditional operation suture line, the biomedical adhesive fixes the torn tissues together in a surface bonding mode, thereby achieving the purpose of closing the wound. The biomedical adhesive is convenient to use, cannot cause secondary damage to the damaged part, avoids the generation of scar tissues and has excellent beautifying effect. However, the biomedical cyanoacrylate adhesives commonly used in the market at home and abroad have cytotoxicity, and the adhesive force of fibrin glue and polyethylene glycol adhesives is poor. Therefore, the current biomedical adhesives have a limited clinical application range. The development of biomedical adhesives with excellent properties has been a focus of researchers.
The ideal biomedical adhesive should be liquid prior to use to facilitate administration by injection, and then cure in the appropriate time without harming the surrounding tissue. To meet these requirements, current biomedical adhesives are typically aqueous solutions of polymers, which then bond tissues together by two-component hybrid crosslinking or stimulus-triggered polymer crosslinking. The adhesion of such adhesives arises from two aspects: one is the interfacial interaction between the adhesive and the tissue surface (adhesion); one is the mechanical properties (cohesion) of the adhesive matrix. Interfacial adhesion results from chain entanglement, electrostatic interactions, covalent bonds, etc. of the adhesive with the formation of proteins on the tissue surface. NHS active ester, aldehyde, isocyanate, thiol or catechol active group can be reacted with-NH on tissue surface2The groups such as-SH form chemical bonds, thereby resulting in high interfacial adhesion. In recent years, there is a current trend of research to develop biomedical adhesives with additional functions (antibacterial, drug-loaded, self-healing, etc.). In particular, the dynamic cross-linked network, which is formed by reversible non-covalent bonds or dynamic covalent bonds, imparts self-healing, shape-conforming, and even on-demand dissociation capabilities to the adhesive. But due to movementThe inherent instability of the network and the high water content of such multifunctional hydrogel adhesives often have poor mechanical properties, thus resulting in low adhesive strength. The introduction of another stable interpenetrating network can enhance the mechanical properties of the dynamic hydrogel, but this adds complexity to the use of the adhesive and results in the adhesive losing functionality. It remains a challenge to develop a self-healing hot melt adhesive with high adhesion using a simple and efficient process.
Disclosure of Invention
In order to solve the defects in the prior art, the invention provides a self-repairable hot-melt biomedical adhesive and a preparation method thereof.
As one aspect of the present invention, the present invention provides a technical solution: a preparation method of a self-repairable hot-melt biomedical adhesive comprises the following steps:
step 1: dissolving trifunctional thiol monomers in organic solvent, N2Bubbling for 30min to remove air in the solution, adding difunctional (methyl) acrylate monomer, and reacting the solution in N2Reacting for 24 hours at 40 ℃ under protection, and purifying reaction liquid after the reaction is finished to obtain a thiol-terminated hyperbranched polymer with the molecular weight of 5-80 kDa; the use of polymers with molecular weights below 5kDa or above 80kDa to construct binders is disadvantageous for forming solid binders.
Step 2: dissolving polyethylene glycol, 1-ethyl- (3-dimethylaminopropyl) carbodiimide hydrochloride and 4-dimethylaminopyridine in N 'N dimethylformamide, dropwise adding an N' N dimethylformamide solution of p-aldehyde benzoic acid into the solution, and reacting at room temperature for 24 hours; after the reaction is finished, distilling under reduced pressure to remove DMF; the product was dissolved with dichloromethane and washed three times with saturated brine; collecting a dichloromethane layer, dropwise adding the dichloromethane layer into a precipitator formed by diethyl ether and petroleum ether, standing, removing an upper layer solution, and performing vacuum drying to obtain an orange liquid, namely aldehyde group functionalized polyethylene glycol with the molecular weight of 500-1000 Da;
and step 3: and (3) mixing the hyperbranched polymer obtained in the step (1) with the aldehyde group functionalized polyethylene glycol obtained in the step (2), stirring for 5min, and curing at room temperature for 1 hour to obtain the adhesive.
Further, the organic solvent described instep 1 is N' N-dimethylformamide, dioxane, acetonitrile or tetrahydrofuran.
Further, in thestep 1, the concentration of the trifunctional thiol monomer is 0.1-0.5 g/mL, the concentration of the difunctional (meth) acrylate monomer is 0.05-0.4 g/mL, and the molar ratio of the trifunctional thiol monomer to the difunctional (meth) acrylate monomer is 1: 0.7 to 1.
Further, the trifunctional thiol monomer instep 1 is trimethylolpropane tris (3-mercaptopropionate), and the difunctional (meth) acrylate monomer is 2- (acryloyloxy) -ethyl methacrylate, 3- (acryloyloxy) -propyl methacrylate, 4- (acryloyloxy) -butyl methacrylate, or 3- (acryloyloxy) -2-hydroxypropyl methacrylate.
Further, the purification reaction instep 1 specifically comprises:
(1) concentrating the reaction solution by rotary evaporation, and then precipitating in anhydrous ether;
(2) re-dissolving with dichloromethane, and precipitating in anhydrous ether;
(3) and (3) repeating the step (2) for 3 times, and then drying the precipitate in vacuum to obtain the hyperbranched polymer.
Further, the total concentration of the N' N dimethylformamide solution of the polyethylene glycol, the p-aldehyde benzoic acid and the 4-dimethylaminopyridine in the step 2 is 0.2-0.5 g/mL; the concentration of the 1-ethyl- (3-dimethylaminopropyl) carbonyldiimine hydrochloride in DMF is 0.05-0.1 g/mL.
Further, the volume ratio of the petroleum ether to the diethyl ether in the precipitation liquid in the step 2 is 1: 1-4.
Further, the ratio of the hyperbranched polymer to the aldehyde-group functionalized polyethylene glycol in the step 3 is 1: 0.5-1.5 in terms of thiol functional groups and aldehyde functional groups.
As another aspect of the invention, the invention also provides a peelable biomedical adhesive prepared by the preparation method of the self-repairable hot-melt biomedical adhesive.
The invention has the beneficial effects that:
1. the adhesive provided by the invention is prepared by directly mixing a hyperbranched polymer with a terminal thiol group and aldehyde-terminated polyethylene glycol without adding a solvent. Solvent-free adhesives have higher mechanical properties and adhesive strength than hydrogel adhesives.
2. The aldehyde groups and the thiol reversibly undergo an addition reaction to form a dynamic polymer network, which imparts self-healing, shape-conforming, and even on-demand dissociation capabilities to the adhesive.
3. The adhesive contains a large number of aldehyde groups, so that covalent bonds can be formed with the surface of the tissue, and the adhesive has high tissue binding force.
4. The adhesive is heated and melted into liquid, and is solidified again after being cooled, so that the functions of stripping and repeated adhesion are realized, the property enables the adhesive to be used as hot melt adhesive, and the method is simple and quick.
Drawings
FIG. 1 is a diagram of an aldehyde-thiol reversible addition reaction between binder components.
FIG. 2 is a schematic diagram of the adhesive preparation process of example 1.
FIG. 3 is a dynamic frequency sweep test curve of the adhesive of example 1 after 1h of room temperature cure.
FIG. 4 is a graph of the storage modulus of the adhesives of examples 1-5 after 1h of curing at room temperature.
FIG. 5 is a plot of the change in storage modulus and loss modulus at programmed temperatures in the temperature range of 25 deg.C to 80 deg.C for the adhesive of example 1.
FIG. 6 is a plot of the change in storage modulus and loss modulus for the adhesives of example 1 over a temperature range of 25 deg.C to 80 deg.C.
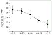
FIG. 7 is a graph showing the transition temperature of the adhesive according to the content of the aldehyde-based functionalized polyethylene glycol in examples 1 to 5.
FIG. 8 is a graph of the bond strength of the adhesives of examples 1-5 to pigskin.
FIG. 9 is a self-healing efficiency curve for the adhesive of example 1.
FIG. 10 is a graph showing the adhesive strength of the adhesive of example 1 at repeated temperatures of 60 ℃ and 25 ℃.
FIG. 11 shows the cell viability of the adhesives of examples 1-5 for L929 cells at 24 hours and 48 hours.
Detailed Description
Example 1
Step 1 trimethylolpropane tris (3-mercaptopropionate) (39.86g, 10mmol) was dissolved in 240mL of N' N-dimethylformamide, N2Bubbling for 30min to remove air from the solution, followed by addition of 3- (acryloyloxy) -2-hydroxypropyl methacrylate (19.28g, 9mmol), N2Reacting for 24 hours at 40 ℃ under protection. After the reaction, the reaction solution was concentrated by a rotary evaporator and then precipitated in anhydrous ether to obtain a colorless transparent viscous liquid. The product was then redissolved with 40mL of dichloromethane and then precipitated by addition to 400mL of anhydrous ether. The above dissolution-precipitation procedure was repeated 3 times and vacuum dried to obtain a colorless liquid hyperbranched polymer, recorded as HBP, with a molecular weight of 8 kDa.
Step 2, 40g of polyethylene glycol, 22g of p-aldehyde benzoic acid and 0.82g of 4-dimethylaminopyridine were weighed out and dissolved in 150mL of N' -N-dimethylformamide. 24.2g of 1-ethyl- (3-dimethylaminopropyl) carbodiimide hydrochloride was weighed and dissolved in 400mL of N' N-dimethylformamide, and then added dropwise to the solution and reacted at room temperature for 24 hours. After completion of the reaction, DMF was distilled off under reduced pressure, and then dissolved in 100mL of methylene chloride and washed three times with saturated brine. Collecting a dichloromethane layer, dropwise adding the dichloromethane layer into 1000mL of mixed solution of petroleum ether and diethyl ether in a volume ratio of 1:1 for precipitation, and performing vacuum drying to obtain yellow aldehyde group functionalized polyethylene glycol with the molecular weight of about 1000Da and recorded as PEGCHO.
And 3, mixing aldehyde-functionalized polyethylene glycol (PEGCHO, 1mol based on aldehyde functional groups) and hyperbranched polymer (HBP, 1mol based on thiol functional groups), stirring for 5min, and curing at room temperature for 1h to obtain the adhesive, wherein the adhesive is named as 1-1, and aldehyde-thiol reversible addition reaction among adhesive components is shown in figure 1.
Example 2
The same procedure as in example 1, except for changing the amount of the aldehyde-functionalized polyethylene glycol (PEGCHO, 0.5mol based on the aldehyde functional group) added in step 3, gave a binder, which was named 1 to 0.5.
Example 3
The same procedure as in example 1, except for changing the amount of the aldehyde-functionalized polyethylene glycol (PEGCHO, 0.75mol based on the aldehyde functional group) added in step 3, gave a binder, which was designated 1 to 0.75.
Example 4
The same procedure as in example 1, except for changing the amount of the aldehyde-functionalized polyethylene glycol (PEGCHO, 1.25mol based on the aldehyde functional group) added in step 3, gave a binder, which was designated 1 to 1.25.
Example 5
The same procedure as in example 1, except for changing the amount of the aldehyde-functionalized polyethylene glycol (PEG-NCO, 1.5mol based on the aldehyde functional group) added in step 3, gave a binder, which was designated 1 to 1.5.
FIG. 1 is a schematic representation of the preparation of the adhesive of example 1. As shown in fig. 2, the hyperbranched polymer is a viscous fluid at room temperature, and is stirred for 5min after the aldehyde-functionalized polyethylene glycol is added to form a viscoelastic adhesive. The adhesive behaves as a solid at room temperature, but melts to a liquid upon heating.
Example 6 test method
1. Rheological Properties of biomedical Adhesives test:
the binders of examples 1-5 were added to respective tetrafluoroethylene molds and cured to form disks 1cm in diameter and 1mm in thickness. The storage modulus (G ') and the loss modulus (G') of the glue with the corresponding formula after being cured for 1h at room temperature are tested by adopting an oscillation mode through a rotary rheometer, taking a strain rate of 1 percent and under a strain frequency range of 0.1Hz to 100 Hz.
FIG. 3 is a dynamic frequency sweep test curve of the adhesive of example 1 after 1h of room temperature cure. As shown in FIG. 3, the adhesive exhibits liquid characteristics (G "> G ') at low frequencies and solid characteristics (G" < G') at high frequencies; this is a typical property of dynamic networks. FIG. 4 is a graph of the storage modulus of the adhesives of examples 1-5 after 1h of curing at room temperature. As shown in FIG. 4, the solvent-free adhesive prepared according to the present invention has a higher storage modulus (45kPa to 100kPa) compared to dynamic polymeric hydrogel materials (storage modulus is typically less than 1 kPa). The crosslinking density of the adhesive can be adjusted by controlling the proportion of the hyperbranched polymer and the aldehyde functional polyethylene glycol, so that the storage modulus of the adhesive is controlled. The modulus of the adhesive matches the shear modulus of human soft tissue (skin about 100kPa, stomach 8-45 kPa, ventricular wall 60-148 kPa, liver 37-340 kPa). This consistent mechanical properties allows the adhesive to conform to the deformation of human tissue, avoiding stress concentrations at the base of the adhesive and alleviating patient discomfort.
2. Thermo-rheological testing of biomedical adhesives:
the binders of examples 1-5 were added to respective tetrafluoroethylene molds and cured to form disks 1cm in diameter and 1mm in thickness. The adhesive was scanned for storage modulus and loss modulus changes at 25-80 ℃ using a rotational rheometer in an oscillatory mode at a strain rate of 1% and a strain frequency of 1 Hz.
Fig. 5 and 6 are plots of the change in storage modulus and loss modulus for the adhesives of example 1 over the temperature range of 25 c to 80 c. The storage and loss moduli of the adhesive in the solid state after heating decrease rapidly with temperature, the adhesive exhibiting a transition from the solid state character (G "< G ') to the liquid character (G" > G'); but also returns to the original modulus as the temperature decreases. This indicates that the dynamic binder network reversibly collapses-rebuilds upon heating and cooling. The temperature at which the G "curve and the G' curve intersect in FIGS. 5 and 6 is recorded as the transition temperature. FIG. 7 is a graph showing the behavior of the transition temperature of the adhesive according to the content of the aldehyde-based functionalized polyethylene glycol in examples 1 to 5. The higher the content of aldehyde-group functionalized polyethylene glycol, the lower the transition temperature.
3. Adhesion performance testing of biomedical adhesives:
the adhesives of examples 1-5 were tested for adhesion using hairless pigskin as the biological substrate. Fresh pigskin was purchased from a local supermarket and processed according to astm f2255-2015 international standard and cut into strips of 2.5cm x 5 cm. And wiping the surface of the pigskin with isopropanol and water in sequence to remove residual grease on the pigskin, wiping the pigskin to obtain a pigskin strip for testing, and inspecting the caking property of the adhesive by a stretching lap joint shearing test method. The prepared adhesive was heated to melt it and then applied to one end of the leather strip. The two strips were lapped together, pressed against the bonding area with a 100g weight and bonded for 1 hour at room temperature. Similarly, the currently commercially available fibrin glue adhesive was used directly as a control group. The maximum adhesion force F was measured by a tensile test at a tensile rate of 5mm/min, and the adhesive strength of the adhesive was calculated by the following formula, in which at least 5 samples were set for each sample in each set of the above experiments, and the experimental data were expressed by the mean value ± standard deviation.
Figure BDA0002708999960000061
FIG. 8 is a graph of the bond strength of the adhesives of examples 1-5 to pigskin. As shown in FIG. 8, the content of the HBP-PEGCHO adhesive is related to the content of aldehyde group functionalized polyethylene glycol, and the HBP-PEGCHO adhesive can reach about 54kPa and is far greater than the adhesive strength (5-20 kPa) reported by a commercial fibrin glue adhesive. The adhesive prepared by the invention contains a large amount of aldehyde groups, and can generate covalent bonds with the tissue surface, so that the adhesive has higher adhesiveness.
4. Self-repair performance test of biomedical adhesive:
the self-healing performance of the adhesive of example 1 was tested on stainless steel as a substrate. A2.5 cm by 5cm stainless steel sheet was taken. And (3) cleaning the surface of the stainless steel by using ethanol and water in sequence, and drying to obtain the base material required by the experiment. The prepared adhesive was heated to melt it and then applied to one end of the leather strip. The two stainless steel sheets were lapped together, and the bonded area was fixed with a dovetail clip and bonded at room temperature for 1 hour. The adhesive was then tested for adhesive strength. The tested adhesives were re-lapped together, secured for different times using dovetail clips, and then tested for adhesive strength for different times of repair. The self-healing efficiency of the adhesive was calculated by the following formula:
Figure BDA0002708999960000062
FIG. 9 is a self-healing efficiency curve for the adhesive of example 1. As shown in fig. 9, the adhesive after fracture was rebonded after lapping and gradually reached the initial bond strength before fracture after 2 hours. The adhesive prepared by the invention is composed of thiol-aldehyde group dynamic addition chemistry, and reversible addition fragmentation of thiol-aldehyde enables the fractured adhesive matrixes to be recombined together, thereby showing self-repairing performance.
5. Repeated adhesion reversibility test for biomedical adhesives
The adhesive of example 1 was tested for adhesive strength at different temperatures using stainless steel as a substrate. The adhesive strength of the adhesive at 60 ℃ and 25 ℃ is repeatedly measured in sequence by taking the adhesive sample overlapped by the stainless steel.
FIG. 10 is a graph showing the adhesive strength of the adhesive in example 1 at 60 ℃ and 25 ℃ under repeated adhesion reversibility. The adhesive melts to a liquid at 60 ℃ and loses cohesion, while resolidifying to a solid matrix at 25 ℃ exhibiting high adhesive strength (-90 kPa). This process was repeated reversibly, indicating that the adhesive has the ability to be thermally disassembled and bonded repeatedly.
6. Cytotoxicity testing of biomedical adhesives:
the adhesives of each formula are respectively immersed into a complete culture medium for culturing for two days after being subjected to ultraviolet irradiation and aseptic treatment, so as to prepare a leaching solution culture medium, wherein the ratio of the culture medium to the adhesives is 0.2 g/ml. The cytotoxicity of the adhesive was tested with mouse fibroblasts (L929 cells) as the study subjects. L929 cells in logarithmic growth phase were seeded in 96-well cell culture plates at 37 ℃ and 95% relative humidity in 5% CO2The cell culture box of (2) is cultured for 24 hours. After the adhesion is completely realized, the L929 cells are cultured for 24 hours and 48 hours respectively by using the leaching culture medium of the adhesive. As a comparison, control groupNo adhesive sample was added. After 24h or 48h of culture, 100 μ L of 5mg/mL 3- (4, 5-dimethylthiazole-2) -2, 5-diphenyl tetrazolium bromide solution is added into each well respectively for cell activity test. After further culturing for 4 hours, the mixed medium was aspirated, and then 500. mu.L of dimethyl sulfoxide was added and dissolved for 10min with shaking. Then, the absorbance value (namely, OD value) of the solution at 570nm is measured by a microplate reader, and the relative activity of the cells of the experimental group is calculated by the following formula:
Figure BDA0002708999960000071
FIG. 11 shows the cell viability of the adhesives of examples 1-5 for L929 cells at 24 hours and 48 hours. As shown in FIG. 11, the cytotoxicity of the adhesive was related to the content of aldehyde-functionalized polyethylene glycol when L929 cells were cultured with the adhesive for 24h and 48 h. The relative cell survival rates of the adhesives with lower aldehyde functional polyethylene glycol content in the experimental groups are all over 80 percent, while the relative cell survival rates of the adhesives with higher aldehyde functional polyethylene glycol content in the experimental groups 1-1.25 and 1-1.5 are respectively 74 percent and 39 percent in 24 hours and 64 percent and 29 percent in 48 hours. The adhesive with lower content of aldehyde group functionalized polyethylene glycol shows low cytotoxicity and high cell survival rate, and can be used as biomedical materials.

Claims (9)

Translated fromChinese
1.一种可自修复的热熔型生物医用粘合剂的制备方法,其特征在于,包括以下步骤:1. a preparation method of a self-repairable hot-melt biomedical adhesive, is characterized in that, comprises the following steps:步骤1:将三官能度硫醇类单体溶解在有机溶剂中,N2鼓泡30min排除溶液中的空气,再加入二官能度(甲基)丙烯酸酯类单体,反应液在N2保护下40℃反应24h,反应结束后纯化反应液得到端硫醇的超支化聚合物,分子量为5~80kDa;Step 1: Dissolve trifunctional thiol monomers in an organic solvent, bubbling N2 for 30 min to remove air in the solution, then add difunctional (meth)acrylate monomers, the reaction solution is protected under N2 The reaction is carried out at 40 °C for 24 hours, and after the reaction is completed, the reaction solution is purified to obtain a hyperbranched polymer with a terminal thiol with a molecular weight of 5-80 kDa;步骤2:将聚乙二醇、1-乙基-(3-二甲基氨基丙基)碳酰二亚胺盐酸盐和4-二甲氨基吡啶溶于N'N二甲基甲酰胺DMF,然后将对醛基苯甲酸的DMF溶液逐滴滴加到上述溶液中,室温反应24h;反应结束后,减压蒸馏除去DMF;将产物用二氯甲烷溶解,并用饱和食盐水洗涤;收集二氯甲烷层,然后逐滴滴加到由乙醚和石油醚构成的沉淀液中,静置弃除上层溶液,真空干燥得到橘黄色液体,即醛基功能化聚乙二醇,分子量为500~1000Da;Step 2: Dissolve polyethylene glycol, 1-ethyl-(3-dimethylaminopropyl)carbodiimide hydrochloride and 4-dimethylaminopyridine in N'N dimethylformamide DMF , and then the DMF solution of p-aldehyde benzoic acid was added dropwise to the above solution, and the reaction was carried out at room temperature for 24 h; after the reaction was completed, the DMF was distilled off under reduced pressure; the product was dissolved in dichloromethane and washed with saturated brine; The methyl chloride layer is then added dropwise to the precipitation solution composed of ether and petroleum ether, the upper layer solution is discarded, and the orange-yellow liquid is obtained by vacuum drying, that is, aldehyde functionalized polyethylene glycol, with a molecular weight of 500-1000Da ;步骤3:将步骤1所得的超支化聚合物与步骤2所得醛基功能化聚乙二醇按照一定比例相混合,搅拌后室温固化后得到粘合剂。Step 3: Mix the hyperbranched polymer obtained in step 1 with the aldehyde group-functionalized polyethylene glycol obtained in step 2 according to a certain ratio, stir and solidify at room temperature to obtain an adhesive.2.根据权利要求1所述的一种可自修复的热熔型生物医用粘合剂的制备方法,其特征在于,步骤1中所述的有机溶剂是N’N-二甲基甲酰胺、二氧六环、乙腈或四氢呋喃。2. the preparation method of a kind of self-repairable hot-melt biomedical adhesive according to claim 1, is characterized in that, the organic solvent described in step 1 is N'N-dimethylformamide, Dioxane, acetonitrile or tetrahydrofuran.3.根据权利要求1所述的一种可自修复的热熔型生物医用粘合剂的制备方法,其特征在于,步骤1中所述三官能度硫醇类单体的浓度为0.1~0.5g/mL,所述二官能度(甲基)丙烯酸酯类单体的浓度为0.05~0.4g/mL,三官能度硫醇类单体和二官能度(甲基)丙烯酸酯类单体的摩尔比为1:0.7~1。3. The preparation method of a self-healable hot-melt biomedical adhesive according to claim 1, wherein the concentration of the trifunctional thiol monomer in step 1 is 0.1-0.5 g/mL, the concentration of the difunctional (meth)acrylate monomer is 0.05-0.4 g/mL, and the concentration of the trifunctional thiol monomer and the difunctional (meth)acrylate monomer is 0.05-0.4 g/mL. The molar ratio is 1:0.7~1.4.根据权利要求1所述的一种可自修复的热熔型生物医用粘合剂的制备方法,其特征在于,步骤1中所述三官能度硫醇类单体是三羟甲基丙烷三(3-巯基丙酸酯);所述二官能度(甲基)丙烯酸酯类单体是2-(丙烯酰氧基)-甲基丙烯酸乙酯、3-(丙烯酰氧基)-甲基丙烯酸丙酯、4-(丙烯酰氧基)-甲基丙烯酸丁酯或3-(丙烯酰氧基)-甲基丙烯酸-2-羟丙酯。4. The preparation method of a self-repairable hot-melt biomedical adhesive according to claim 1, wherein the trifunctional thiol monomer described in step 1 is trimethylolpropane Tris(3-mercaptopropionate); the difunctional (meth)acrylate monomers are 2-(acryloyloxy)-ethyl methacrylate, 3-(acryloyloxy)-methyl propyl acrylate, 4-(acryloyloxy)-butyl methacrylate or 3-(acryloyloxy)-2-hydroxypropyl methacrylate.5.根据权利要求1所述的一种可自修复的热熔型生物医用粘合剂的制备方法,其特征在于,步骤1中所述纯化反应具体包括:5. The preparation method of a self-healable hot-melt biomedical adhesive according to claim 1, wherein the purification reaction in step 1 specifically comprises:(1)将反应液旋蒸浓缩,然后在无水乙醚中沉淀;(1) the reaction solution is concentrated by rotary evaporation, then precipitated in anhydrous ether;(2)再用二氯甲烷重新溶解后,在无水乙醚中沉淀;(2) after redissolving with dichloromethane again, precipitate in anhydrous ether;(3)重复步骤(2)数次,然后将沉淀物真空干燥后得到超支化聚合物。(3) Repeat step (2) several times, and then vacuum-dry the precipitate to obtain a hyperbranched polymer.6.根据权利要求1所述的一种可自修复的热熔型生物医用粘合剂的制备方法,其特征在于,步骤2中所述聚乙二醇、对醛基苯甲酸和4-二甲氨基吡啶的DMF溶液总体浓度为0.2~0.5g/mL;1-乙基-(3-二甲基氨基丙基)碳酰二亚胺盐酸盐的DMF溶液的浓度为0.05~0.1g/mL。6. the preparation method of a kind of self-repairable hot-melt biomedical adhesive according to claim 1, is characterized in that, described in step 2, polyethylene glycol, p-aldehyde benzoic acid and 4-dicarbonate The overall concentration of the DMF solution of methylaminopyridine is 0.2~0.5g/mL; the concentration of the DMF solution of 1-ethyl-(3-dimethylaminopropyl)carbodiimide hydrochloride is 0.05~0.1g/mL mL.7.根据权利要求1所述的一种可自修复的热熔型生物医用粘合剂的制备方法,其特征在于,步骤2中所述沉淀液中石油醚与乙醚的体积比为1:1~4。7. the preparation method of a kind of self-repairable hot-melt biomedical adhesive according to claim 1, is characterized in that, the volume ratio of petroleum ether and ether in the precipitation liquid described in step 2 is 1:1~ 4.8.根据权利要求1所述的一种可自修复的热熔型生物医用粘合剂的制备方法,其特征在于,步骤3中所述超支化聚合物与醛基功能化聚乙二醇的比例以硫醇官能团、醛基官能团计为1:0.5~1.5。8. the preparation method of a kind of self-repairable hot-melt biomedical adhesive according to claim 1, is characterized in that, the hyperbranched polymer described in step 3 and aldehyde group functionalized polyethylene glycol are prepared The ratio is 1:0.5-1.5 in terms of thiol functional group and aldehyde functional group.9.一种可自修复的热熔型生物医用粘合剂,其特征在于,按上述任意一项所述一种可剥离医用粘合剂的制备方法制得。9. A self-healable hot-melt biomedical adhesive, characterized in that, it is prepared according to the preparation method of any one of the above-mentioned peelable medical adhesives.
CN202011049135.9A2020-09-292020-09-29 A kind of self-healing hot-melt biomedical adhesive and preparation method thereofActiveCN112169012B (en)

Priority Applications (1)

Application NumberPriority DateFiling DateTitle
CN202011049135.9ACN112169012B (en)2020-09-292020-09-29 A kind of self-healing hot-melt biomedical adhesive and preparation method thereof

Applications Claiming Priority (1)

Application NumberPriority DateFiling DateTitle
CN202011049135.9ACN112169012B (en)2020-09-292020-09-29 A kind of self-healing hot-melt biomedical adhesive and preparation method thereof

Publications (2)

Publication NumberPublication Date
CN112169012Atrue CN112169012A (en)2021-01-05
CN112169012B CN112169012B (en)2021-09-07

Family

ID=73945452

Family Applications (1)

Application NumberTitlePriority DateFiling Date
CN202011049135.9AActiveCN112169012B (en)2020-09-292020-09-29 A kind of self-healing hot-melt biomedical adhesive and preparation method thereof

Country Status (1)

CountryLink
CN (1)CN112169012B (en)

Cited By (2)

* Cited by examiner, † Cited by third party
Publication numberPriority datePublication dateAssigneeTitle
CN116421772A (en)*2023-04-282023-07-14北京瞬行生物科技有限公司Bi-component instantaneous in-situ adhesive based on bioengineering protein, and preparation method and application thereof
CN118460058A (en)*2024-05-252024-08-09中环涂层技术(广东)有限公司 Marine ship antifouling coating and preparation method thereof

Citations (12)

* Cited by examiner, † Cited by third party
Publication numberPriority datePublication dateAssigneeTitle
US20040120910A1 (en)*2002-04-102004-06-24Dyke Mark VanMethods for producing, films comprising, and methods for using heterogeneous crosslinked protein networks
WO2008072115A1 (en)*2006-12-152008-06-19Kimberly-Clark Worldwide, Inc.Deodorizing release liner for absorbent articles
EP2143737A1 (en)*2008-07-112010-01-13Tyco Healthcare Group LPFunctionalized inclusion complexes as crosslinkers
CN102361655A (en)*2008-11-192012-02-22阿克塔马克斯手术器材有限责任公司Fibrous tissue sealant and method of use
CN107001654A (en)*2014-10-012017-08-01巴斯夫欧洲公司 Curing method of curable composition
CN107805309A (en)*2016-09-092018-03-16翁秋梅A kind of dynamic aggregation thing of non-covalent structure and its application
CN109715688A (en)*2016-09-212019-05-03汉高股份有限及两合公司 Two-component compositions based on compounds having at least two exovinylidene cyclic carbonate units
CN110283314A (en)*2019-06-202019-09-27江南大学A method of preparing hyperbranched poly thioether
CN110540652A (en)*2019-07-182019-12-06华南理工大学 A kind of degradable hyperbranched resin and its preparation method and application
CN111269427A (en)*2020-04-082020-06-12江南大学 A kind of preparation method of medical adhesive
CN111378168A (en)*2019-01-012020-07-07翁秋梅Combined energy absorption method and application thereof
CN111450307A (en)*2020-04-082020-07-28江南大学Preparation method of double-component medical adhesive

Patent Citations (12)

* Cited by examiner, † Cited by third party
Publication numberPriority datePublication dateAssigneeTitle
US20040120910A1 (en)*2002-04-102004-06-24Dyke Mark VanMethods for producing, films comprising, and methods for using heterogeneous crosslinked protein networks
WO2008072115A1 (en)*2006-12-152008-06-19Kimberly-Clark Worldwide, Inc.Deodorizing release liner for absorbent articles
EP2143737A1 (en)*2008-07-112010-01-13Tyco Healthcare Group LPFunctionalized inclusion complexes as crosslinkers
CN102361655A (en)*2008-11-192012-02-22阿克塔马克斯手术器材有限责任公司Fibrous tissue sealant and method of use
CN107001654A (en)*2014-10-012017-08-01巴斯夫欧洲公司 Curing method of curable composition
CN107805309A (en)*2016-09-092018-03-16翁秋梅A kind of dynamic aggregation thing of non-covalent structure and its application
CN109715688A (en)*2016-09-212019-05-03汉高股份有限及两合公司 Two-component compositions based on compounds having at least two exovinylidene cyclic carbonate units
CN111378168A (en)*2019-01-012020-07-07翁秋梅Combined energy absorption method and application thereof
CN110283314A (en)*2019-06-202019-09-27江南大学A method of preparing hyperbranched poly thioether
CN110540652A (en)*2019-07-182019-12-06华南理工大学 A kind of degradable hyperbranched resin and its preparation method and application
CN111269427A (en)*2020-04-082020-06-12江南大学 A kind of preparation method of medical adhesive
CN111450307A (en)*2020-04-082020-07-28江南大学Preparation method of double-component medical adhesive

Non-Patent Citations (1)

* Cited by examiner, † Cited by third party
Title
YUJIE HUA ET AL: "Moldable and Removable Wound Dressing Based on Dynamic Covalent Cross-Linking of Thiol-Aldehyde Addition", 《AMERICAN CHEMICAL SOCIETY》*

Cited By (2)

* Cited by examiner, † Cited by third party
Publication numberPriority datePublication dateAssigneeTitle
CN116421772A (en)*2023-04-282023-07-14北京瞬行生物科技有限公司Bi-component instantaneous in-situ adhesive based on bioengineering protein, and preparation method and application thereof
CN118460058A (en)*2024-05-252024-08-09中环涂层技术(广东)有限公司 Marine ship antifouling coating and preparation method thereof

Also Published As

Publication numberPublication date
CN112169012B (en)2021-09-07

Similar Documents

PublicationPublication DateTitle
CN113621342B (en)Solvent-free binder and preparation method and application thereof
US20240123075A1 (en)N-Oxide and Ectoine Monomers, Polymers, Their Compositions, and Related Methods
Wei et al.Self-healing gels based on constitutional dynamic chemistry and their potential applications
CN112169012B (en) A kind of self-healing hot-melt biomedical adhesive and preparation method thereof
US9758671B2 (en)Strain-promoted crosslinking of PEG-based hydrogels via copper-free cycloaddition
Zhao et al.Mussel-inspired, injectable polyurethane tissue adhesives demonstrate in situ gel formation under mild conditions
CN110101898A (en)Bionical tissue adhesive of bi-component in-situ injection type poly-asparagine and preparation method thereof
CN116854946A (en)Preparation method and application of high-performance polyvinyl alcohol-based hydrogel
CN111450307B (en)Preparation method of double-component medical adhesive
CN111053946B (en)Bi-component tissue adhesive based on polysaccharide and hyperbranched polypeptide and preparation method thereof
KR101850424B1 (en)Posphazene-based polymer for tissue adhesion, a method for preparing the same and use thereof
CN109824885B (en)Cysteine modified mussel bionic tissue adhesive and preparation method thereof
CN108864443A (en)A kind of electroactive hydrogel of bio-medical and preparation method thereof
CN111269427B (en) A kind of preparation method of medical adhesive
CN116808309B (en) A collagen chitosan composite scaffold and its preparation method and application
Zhang et al.Thermoresponsive On-Demand Adhesion and Detachment of a Polyurethane–Urea Bioadhesive
CN115845115A (en)Silk protein-based double-layer material and preparation method and application thereof
CN115197442B (en)Injectable self-healing hydrogel dressing for treating gastric perforation, preparation method and application
CN120059058B (en)Hydrogel and preparation method and application thereof
CN119015476A (en) Preparation method and application of disulfide wet adhesion hydrogel
CN116355338B (en)Self-adhesion flexible composite film and preparation method and application thereof
CN119552318B (en) An adaptive Janus supramolecular hydrogel, preparation method and application thereof as a wet tissue surface adhesive
CN118649292B (en) Self-adhesive biomaterial and its application
CN117860952B (en)Adhesive material and application thereof
CN118512634A (en) A disulfide wet adhesive patch and its preparation and application

Legal Events

DateCodeTitleDescription
PB01Publication
PB01Publication
SE01Entry into force of request for substantive examination
SE01Entry into force of request for substantive examination
GR01Patent grant
GR01Patent grant
TR01Transfer of patent right

Effective date of registration:20250226

Address after:No. 12 Guangzhou Road, Shuanghe Street Office, Zhecheng County, Shangqiu City, Henan Province 476000

Patentee after:Henan Pujisheng Pharmaceutical Co.,Ltd.

Country or region after:China

Address before:B1101, No. 150, Shangzao Building, Gaofeng Community, Dalang Street, Longhua District, Shenzhen, Guangdong 518000

Patentee before:Shenzhen Litong Zhiyuan Technology Transfer Center Co.,Ltd.

Country or region before:China

Effective date of registration:20250225

Address after:B1101, No. 150, Shangzao Building, Gaofeng Community, Dalang Street, Longhua District, Shenzhen, Guangdong 518000

Patentee after:Shenzhen Litong Zhiyuan Technology Transfer Center Co.,Ltd.

Country or region after:China

Address before:No. 1800 road 214122 Jiangsu Lihu Binhu District City of Wuxi Province

Patentee before:Jiangnan University

Country or region before:China

TR01Transfer of patent right

[8]ページ先頭

©2009-2025 Movatter.jp