


技术领域technical field
本发明属于能源互联网的新能源消纳与优化运行领域,涉及一种新能源场景生成方法及系统。The invention belongs to the field of new energy consumption and optimized operation of the energy internet, and relates to a new energy scene generation method and system.
背景技术Background technique
随着风电、光伏等清洁能源的不断发展及渗透率的持续提高,其具有的间歇性、波动性特征给能源互联网的安全调度与经济运行带来了新的挑战。为描述系统的运行态势,单纯依靠传统的基于物理机理的、确定性的方法,将难以全面表征系统可能的运行边界与状态。With the continuous development of wind power, photovoltaics and other clean energy sources and the continuous improvement of the penetration rate, their intermittent and fluctuating characteristics have brought new challenges to the safe dispatch and economic operation of the Energy Internet. In order to describe the operating situation of the system, it is difficult to fully characterize the possible operating boundaries and states of the system by simply relying on the traditional deterministic methods based on physical mechanisms.
一种有效的技术手段是,通过一定的数学模型表达新能源的潜在统计规律,挖掘新能源场站出力的时空关联特性及变化规律,从而对其可能的运行情况进行表述,并生成未来一段时间内预想的海量运行场景。这些预想场景能够符合新能源出力的分布规律,对能源互联网的未来运行情况进行较为全面完整的刻画,并为电力随机优化调度、机组组合、电网规划、能源互联网运行控制、电网可靠性评估、储能规划与运行、电力交易策略制定等多个方面提供基础支撑。An effective technical means is to express the potential statistical law of new energy through a certain mathematical model, and excavate the spatiotemporal correlation characteristics and change law of the output of new energy stations, so as to express its possible operation and generate a future period of time. A large number of operating scenarios envisioned within. These expected scenarios can conform to the distribution law of new energy output, and provide a more comprehensive and complete description of the future operation of the energy Internet. It can provide basic support in many aspects such as planning and operation, and formulation of power trading strategies.
然而,风能、光伏出力具有强波动性、间歇性与时空关联特性,而传统的场景生成技术采用了大量的物理假设与统计学简化,难以对新能源的随机特征进行有效、准确地建模,产生的运行场景很难有效利用。However, the output of wind energy and photovoltaics has strong volatility, intermittency and space-time correlation characteristics, and the traditional scene generation technology adopts a large number of physical assumptions and statistical simplification, which makes it difficult to effectively and accurately model the random characteristics of new energy sources. The resulting operating scenarios are difficult to utilize effectively.
现有方法一般采用蒙特卡洛方法及变分自动编码器;Existing methods generally use Monte Carlo methods and variational autoencoders;
具体的,蒙特卡洛方法是统计模拟法的一种实现方式,建立在大数定理的基础之上,把概率现象作为研究对象进行数值模拟。采用蒙特卡洛方法进行新能源场景生成的一般步骤是,对新能源每一个时间步的随机性特征进行离散化,然后对每个时间断面的静态场景之间建立起联系,形成跨时段的动态场景。Specifically, the Monte Carlo method is an implementation of the statistical simulation method, which is based on the theorem of large numbers, and takes probability phenomena as the research object for numerical simulation. The general steps of using the Monte Carlo method to generate new energy scenarios are to discretize the randomness characteristics of each time step of new energy sources, and then establish a connection between the static scenarios of each time section to form a dynamic cross-period. Scenes.
假设系统调度区间共有T个调度时刻,以Qt个分位点描述第t时刻的随机出力Xt。把新能源出力的时间序列看作一个随机模型,这本质上是描述了不同时刻事物状态的变化规律,该变化规律在数学上通过状态转移概率矩阵体现。按照系统连续观测量的变化范围,首先把系统每一时刻的观测量划分为n个离散状态:,当前时刻状态为,下一时刻状态的概率。所以对于有n个状态的系统,状态转移矩阵为:Assuming that there areT scheduling moments in the system scheduling interval, the random outputXt at thet -th moment is described byQt quantile points. The time series of new energy output is regarded as a random model, which essentially describes the change law of the state of things at different times, and the change law is mathematically reflected by the state transition probability matrix. According to the variation range of the continuous observations of the system, the observations at each moment of the system are firstly divided inton discrete states: , the current state is , the next moment state The probability . So for a system withn states, the state transition matrix is:
可以根据t-1时刻的不确定性状态和状态转移概率矩阵P,确定t时刻的可能性最大的几个功率预测偏差状态w,从而可以通过迭代循环得到多时段内的不确定性状态。构造状态转移矩阵P的过程需要大量的原始数据支持,然而蒙特卡洛方法存在以下问题:According to the uncertainty state at time t-1 and the state transition probability matrix P, to determine several power prediction deviation states w with the greatest possibility at time t, so that the uncertainty states in multiple time periods can be obtained through an iterative loop. The process of constructing the state transition matrix P requires a large amount of original data support. However, the Monte Carlo method has the following problems:
a)该方法面临“维数灾难”问题。设T个时刻的场景集S总规模为N,显然N随着T的增加以指数级增加,会造成维数灾难,模型的模拟计算速度难以保证;a) This method faces the "curse of dimensionality" problem. Let the total size of the scene setS atT moments beN , obviouslyN increases exponentially with the increase ofT , which will cause a disaster of dimensionality, and the simulation calculation speed of the model is difficult to guarantee;
b)构建蒙特卡洛抽样的状态转移矩阵需要大量的原始数据支持,难以保证模型的建模准确度;若对随机变量进行分布的简化假设,能够一定程度上减少计算量,但是模型简化大幅降低计算精度,且模型的通用性和扩展性不强。b) The construction of the state transition matrix of Monte Carlo sampling requires a large amount of original data support, and it is difficult to ensure the modeling accuracy of the model; if the simplification of the distribution of random variables is assumed, the calculation amount can be reduced to a certain extent, but the model simplification greatly reduces The calculation accuracy is low, and the generality and scalability of the model are not strong.
变分自动编码器VAE由编码器和解码器组成,其数据由一系列隐变量产生,记为生成模型(即解码器),编码器模型记为。在z独立同分布的假设下,通过对数最大似然估计的参数。在VAE中,通过编码器模型逼近观测数据后验概率,采用KL散度衡量两个分布的相似度,即The variational autoencoder VAE consists of an encoder and a decoder, and its data is generated by a series of latent variables, denoted as a generative model (i.e. the decoder), the encoder model is denoted as . Under the assumption that z is independent and identically distributed, estimated by log-maximum likelihood parameter. In VAE, the posterior probability of the observation data is approximated by the encoder model, and the KL divergence is used to measure the similarity of the two distributions, namely
使用变分思想优化下界,即Optimizing Lower Bounds Using Variational Thinking ,Right now
VAE模型采用深度神经网络逼近概率分布,在网络训练采用梯度反向传播方法进行网络参数更新。模型训练流程如图1所示,计算流程如下:The VAE model uses a deep neural network to approximate the probability distribution, and uses the gradient backpropagation method to update the network parameters during network training. The model training process is shown in Figure 1, and the calculation process is as follows:
数据编码。即利用深度神经网络的数据拟合能力,通过编码器将输入数据降维编码成一维特征向量。data encoding. That is, using the data fitting ability of the deep neural network, the input data is encoded into a one-dimensional feature vector through the encoder to reduce the dimension.
数据解码。利用解码器将该特征向量还原成输入数据。Data decoding. This feature vector is restored to the input data using the decoder.
参数更新及梯度反向传播。通过解码输出数据与输入原始数据计算损失函数,通过反向传播更新网络参数,反复训练后解码器学习到了数据的映射规律。Parameter update and gradient backpropagation. The loss function is calculated by decoding the output data and the input original data, and the network parameters are updated by back-propagation. After repeated training, the decoder learns the mapping law of the data.
数据生成。提取解码器作为VAE 生成模型,从高斯分布中抽取一组特征向量作为模型输入,从而生成新能源出力的场景。data generation. The decoder is extracted as a VAE generation model, and a set of feature vectors is extracted from the Gaussian distribution as the model input, thereby generating a new energy output scene.
变分自动编码器存在以下问题:Variational autoencoders suffer from the following problems:
a)相比于基于模型和简化假设的方法,VAE能够通过神经网络学习新能源运行场景的分布情况。然而,由于VAE通过最小化生成数据与原始数据之间的误差来训练模型,容易产生模型训练过拟合问题,生成新的场景样本的多样性不足,难以满足全面刻画随机运行场景的需求;a) Compared with methods based on models and simplified assumptions, VAE can learn the distribution of new energy operating scenarios through neural networks. However, because VAE trains the model by minimizing the error between the generated data and the original data, it is easy to cause the problem of model training overfitting, and the diversity of new scene samples is insufficient, and it is difficult to fully describe the needs of random running scenes;
(2)场景生成时,模型输入高斯分布的随机噪声,无法灵活控制生成样本的分布规律,难以生成指定特征的场景样本,如强光日、大风日或不同季度下的样本。(2) When the scene is generated, the random noise of the Gaussian distribution is input to the model, and the distribution law of the generated samples cannot be flexibly controlled, and it is difficult to generate scene samples with specified characteristics, such as strong light days, strong wind days, or samples in different seasons.
发明内容SUMMARY OF THE INVENTION
本发明的目的在于克服上述现有技术的缺点,提供了一种新能源场景生成方法及系统,该方法及系统能够克服传统技术面临的维数灾难的问题,能够避免出现过拟合问题,同时能够灵活控制生成预想场景的特征分布,以生成特定的新能源场景。The purpose of the present invention is to overcome the above-mentioned shortcomings of the prior art, and to provide a new energy scene generation method and system, which can overcome the problem of dimension disaster faced by the traditional technology, can avoid the problem of overfitting, and at the same time It can flexibly control the feature distribution of the generated expected scenarios to generate specific new energy scenarios.
为达到上述目的,本发明所述的新能源场景生成方法包括以下步骤:In order to achieve the above purpose, the method for generating a new energy scenario of the present invention includes the following steps:
构建生成网络及判别网络,利用隐空间的随机向量、判别网络及新能源发电功率时间序列对生成网络进行对抗训练,基于对抗训练后的生成网络生成至少一个新场景;Build a generative network and a discriminant network, use the random vector of the latent space, the discriminant network and the time series of new energy power generation power to conduct adversarial training on the generative network, and generate at least one new scene based on the generative network after adversarial training;
提取所述新场景的特征标签;extracting feature labels of the new scene;
建立隐空间的随机向量与特征标签之间的关联关系,并以此构建回归模型,根据所述回归模型在高维空间中的斜率构建随机变量的特征轴;establishing the association between the random vector and the feature label in the latent space, and constructing a regression model based on this, and constructing the feature axis of the random variable according to the slope of the regression model in the high-dimensional space;
对随机变量的特征轴进行正交化;Orthogonalize the characteristic axes of random variables;
控制正交化后随机变量的特征轴上的特征,以生成不同的新能源场景,完成新能源场景生成。The features on the feature axis of the random variables after orthogonalization are controlled to generate different new energy scenarios and complete the new energy scenario generation.
对生成网络进行对抗训练之前还包括:实时采集得到的新能源场站的发电数据或者收集得到的新能源场站的历史发电数据,利用新能源场站的发电数据或者新能源场站的历史发电数据构建新能源场站的发电功率时间序列,通过新能源场站的发电功率时间序列构建训练样本集{xj|yj},其中,xj为第j个样本,yj为第j个样本的特征标签。Before conducting adversarial training on the generation network, it also includes: real-time collected power generation data of new energy stations or collected historical power generation data of new energy stations, using the power generation data of new energy stations or historical power generation of new energy stations The data constructs the power generation time series of the new energy station, and the training sample set {xj | yj } is constructed through the generation power time series of the new energy station, where xj is the jth sample, and yj is the jth sample. Feature labels for samples.
构建生成网络及判别网络,包括:Build generative and discriminative networks, including:
利用全连接网络与深度反卷积神经网络构建生成网络,利用卷积神经网络构建判别网络;Build a generative network with a fully connected network and a deep deconvolutional neural network, and build a discriminative network with a convolutional neural network;
或者,利用全连接神经网络构建生成网络,利用全连接神经网络构建判别网络。Alternatively, a fully connected neural network is used to build a generative network, and a fully connected neural network is used to build a discriminative network.
对生成网络进行对抗训练的具体操作为:The specific operations for adversarial training of the generative network are:
将隐空间的随机向量输入到生成网络中,生成网络输出新能源出力的模拟场景样本;以及从训练样本集中随机抽取若干样本;Input the random vector of the latent space into the generation network to generate a simulated scene sample of the network outputting new energy output; and randomly select several samples from the training sample set;
将生成网络输出的新能源出力的模拟场景样本及随机抽取的样本输入到判别网络中;Input the simulated scene samples of the new energy output generated by the network and the randomly selected samples into the discriminant network;
根据判别网络的判断结果对生成网络进行优化;Optimize the generation network according to the judgment result of the discriminant network;
判断生成网络与判别网络是否达到纳什均衡,当生成网络与判别网络达到纳什均衡时,得对抗训练后的生成网络,否则,则将新的隐空间的随机向量输入到生成网络中。It is judged whether the generation network and the discriminant network reach the Nash equilibrium. When the generation network and the discriminant network reach the Nash equilibrium, they must fight against the trained generation network. Otherwise, the random vector of the new latent space is input into the generation network.
根据判别网络的判断结果对生成网络进行优化,包括:The generation network is optimized according to the judgment results of the discriminant network, including:
根据判别网络的判断结果利用自适应矩估计方法对生成网络进行优化;According to the judgment result of the discriminant network, the adaptive moment estimation method is used to optimize the generative network;
或者,根据判别网络的判断结果利用随机梯度下降法对生成网络进行优化。Alternatively, the generative network is optimized by the stochastic gradient descent method according to the judgment result of the discriminant network.
判别网络的判断结果采用改进的Wasserstein距离进行计算,其中,The judgment result of the discriminant network adopts the improved Wasserstein distance to calculate, where,
其中,sup表示求上界,表示对其下标的变量求期望,为抽取的样本x的概率分布,为隐空间的随机变量z的概率分布,G(z)为生成网络G输出新能源出力的模拟场景样本。Among them, sup means to find the upper bound, represents the expectation of its subscripted variable, is the probability distribution of the sample x drawn, is the probability distribution of the random variable z in the latent space, and G(z) is the simulated scene sample of the generation network G outputting new energy output.
生成网络的损失函数为:The loss function of the generative network is:
其中,表示对变量z按照分布求期望,为生成网络G的罚函数系数,为生成网络G第l层的Frobenius范数,G(z)为生成网络G输出新能源出力的模拟场景样本。in, represents the distribution of the variable z according to the ask for expectations, In order to generate the penalty function coefficient of the network G, In order to generate the Frobenius norm of the lth layer of the network G, G(z) is a simulated scene sample of the output of the new energy output of the generation network G.
判别网络的损失函数为:The loss function of the discriminant network is:
其中,表示对变量z按照分布求期望,D为惩罚系数,表示对变量x按照分布求期望;为实际数据分布概率;表对变量按照分布求期望,为分布概率,表示梯度,表示范数,表示,为[0,1]之间的均匀采样,G(z)为生成网络G输出新能源出力的模拟场景样本。in, represents the distribution of the variable z according to the Find the expectation,D is the penalty coefficient, represents the distribution of the variable x according to the ask for expectations is the distribution probability of the actual data; table pair variable According to distribution ask for expectations, for distribution probability, represents the gradient, represents the norm, express , is a uniform sampling between [0, 1], and G(z) is a simulated scene sample where the generation network G outputs new energy output.
提取所述新场景的特征标签,包括:Extract the feature labels of the new scene, including:
利用卷积神经网络构建特征提取模型,利用特征提取模型提取各新场景的特征标签;The feature extraction model is constructed by using convolutional neural network, and the feature label of each new scene is extracted by the feature extraction model;
或者,利用统计方法构建特征提取模型,利用特征提取模型提取各新场景的特征标签。Alternatively, a statistical method is used to construct a feature extraction model, and the feature label of each new scene is extracted by using the feature extraction model.
建立隐空间的随机向量与特征标签之间的关联关系,包括:Establish the association between the random vector in the latent space and the feature label, including:
利用广义线型模型建立隐空间的随机向量与特征标签之间的关联关系;The generalized linear model is used to establish the correlation between the random vector and the feature label in the latent space;
或者,利用线性回归模型建立隐空间的随机向量与特征标签之间的关联关系。Alternatively, a linear regression model is used to establish the correlation between the random vector in the latent space and the feature label.
采用施密特正交化方式对随机变量的特征轴进行正交化。The characteristic axes of random variables are orthogonalized by Schmitt orthogonalization.
步骤2)中的特征标签为新能源场站出力的最大值、平均值、最大变化率或出力时长。The feature label in step 2) is the maximum output value, average value, maximum change rate or output duration of the new energy station.
一种新能源场景生成系统包括:A new energy scene generation system includes:
对抗模块,与获取模块相连接,用于构建生成网络及判别网络,利用隐空间的随机向量、判别网络及新能源发电功率时间序列对生成网络进行对抗训练,基于对抗训练后的生成网络生成至少一个新场景;The confrontation module, connected with the acquisition module, is used to construct the generation network and the discriminant network, and uses the random vector of the latent space, the discriminant network and the time series of new energy power generation power to conduct confrontation training on the generation network. a new scene;
特征提取模块,与对抗模块相连接,用于提取所述新场景的特征标签;a feature extraction module, connected with the confrontation module, for extracting the feature labels of the new scene;
特征轴构建模块,与特征提取模块相连接,用于建立隐空间的随机向量与特征标签之间的关联关系,并以此构建回归模型,根据所述回归模型在高维空间中的斜率构建随机变量的特征轴;The feature axis building module is connected with the feature extraction module, and is used to establish the correlation between the random vector in the latent space and the feature label, and then build a regression model, and build a random according to the slope of the regression model in the high-dimensional space. the characteristic axis of the variable;
解耦模块,与特征轴构建模块相连接,用于对随机变量的特征轴进行正交化;The decoupling module, which is connected with the feature axis building module, is used to orthogonalize the feature axis of the random variable;
场景生成模块,与解耦模块相连接,用于控制正交化后随机变量的特征轴上的特征,以生成不同的新能源场景,完成新能源场景生成。The scenario generation module is connected with the decoupling module, and is used to control the features on the characteristic axis of the random variable after orthogonalization, so as to generate different new energy scenarios and complete the new energy scenario generation.
本发明具有以下有益效果:The present invention has the following beneficial effects:
本发明所述的新能源场景生成方法及系统在具体操作时,利用隐空间的随机向量、判别网络及新能源发电功率时间序列对生成网络进行对抗训练,以学习新能源随机场景的分布规律,自动学习海量随机数据的隐含特征,克服传统方法所面临的维数灾难问题及过拟合问题,同时使得生成网络输出的数据逐步逼近真实分析,以提高生成的新能源场景的准确性及多样性。另外,需要说明的是,本发明建立隐空间的随机向量与特征标签之间的关联关系,并以此建立随机变量的特征轴,同时对随机变量的特征轴进行正交化,以实现特征轴的解耦,防止特征分量变化时产生的相互影响,最后控制正交化后随机变量的特征轴上的特征,以生成不同的新能源场景,在实际操作时,可以根据场景生成需求在特征轴上进行采样,以灵活控制生成预想场景的特征分析,继而生成特征的新能源场景。During the specific operation, the method and system for generating a new energy scene according to the present invention use the random vector of the latent space, the discriminant network and the time series of new energy power generation power to conduct confrontation training on the generation network, so as to learn the distribution law of the new energy random scene, Automatically learn the hidden features of massive random data, overcome the dimensional disaster and over-fitting problems faced by traditional methods, and at the same time make the data output by the generated network gradually approach the real analysis, so as to improve the accuracy and diversity of the generated new energy scenarios sex. In addition, it should be noted that the present invention establishes the relationship between the random vector of the latent space and the feature label, and establishes the feature axis of the random variable based on this, and at the same time, the feature axis of the random variable is orthogonalized to realize the feature axis. The decoupling prevents the mutual influence when the feature components change, and finally controls the features on the feature axis of the orthogonalized random variables to generate different new energy scenarios. In actual operation, the feature axis can be generated according to the needs of the scenario. Sampling is performed to flexibly control the feature analysis that generates the expected scenario, and then generates the feature new energy scenario.
进一步,本发明在对生成网络进行对抗训练时,采用纳什均衡作为终止条件,使得生成网络的输出数据逐步逼近真实分布。Further, the present invention adopts Nash equilibrium as a termination condition when conducting adversarial training on the generating network, so that the output data of the generating network gradually approaches the real distribution.
进一步,本发明通过引入Wasserstein距离及卷积神经网络,以提升生成新能源场景的准确性及多样性。Further, the present invention improves the accuracy and diversity of generating new energy scenarios by introducing Wasserstein distance and convolutional neural network.
附图说明Description of drawings
构成本发明的一部分的说明书附图用来提供对本发明的进一步理解,本发明的示意性实施例及其说明用于解释本发明,并不构成对本发明的不当限定。在附图中:The accompanying drawings forming a part of the present invention are used to provide further understanding of the present invention, and the exemplary embodiments of the present invention and their descriptions are used to explain the present invention, and do not constitute an improper limitation of the present invention. In the attached image:
图1为VEW模型训练的流程图;Fig. 1 is the flow chart of VEW model training;
图2为本发明的结构图;Fig. 2 is the structure diagram of the present invention;
图3为本发明的流程图。Figure 3 is a flow chart of the present invention.
具体实施方式Detailed ways
下面将参考附图并结合实施例来详细说明本发明。需要说明的是,在不冲突的情况下,本申请中的实施例及实施例中的特征可以相互组合。The present invention will be described in detail below with reference to the accompanying drawings and in conjunction with the embodiments. It should be noted that the embodiments in the present application and the features of the embodiments may be combined with each other in the case of no conflict.
以下详细说明均是示例性的说明,旨在对本发明提供进一步的详细说明。除非另有指明,本发明所采用的所有技术术语与本申请所属领域的一般技术人员的通常理解的含义相同。本发明所使用的术语仅是为了描述具体实施方式,而并非意图限制根据本发明的示例性实施方式。The following detailed descriptions are all exemplary descriptions and are intended to provide further detailed descriptions of the present invention. Unless otherwise specified, all technical terms used in the present invention have the same meaning as commonly understood by those of ordinary skill in the art to which this application belongs. The terminology used herein is for the purpose of describing specific embodiments only, and is not intended to limit the exemplary embodiments according to the present invention.
参考图2及图3,本发明所述的新能源场景生成方法包括以下步骤:Referring to FIG. 2 and FIG. 3 , the method for generating a new energy scenario according to the present invention includes the following steps:
获取新能源发电功率时间序列,构建训练样本集;Obtain the new energy power generation time series and construct a training sample set;
具体的,获取新能源场站的发电数据,其中,所述新能源场站的发电数据为实时采集得到的新能源场站的发电数据或者收集得到的新能源场站的历史发电数据,共采集N天,再利用新能源场站的发电数据构建新能源场站的发电功率时间序列,然后通过新能源场站的发电功率时间序列构建训练样本集{xj|yj},其中,xj为第j个样本,yj为第j个样本的特征标签,j=1,2…,N,每个样本xj的长度为K。Specifically, the power generation data of the new energy field station is obtained, wherein the power generation data of the new energy field station is the power generation data of the new energy field station collected in real time or the historical power generation data of the new energy field station collected. For N days, the power generation data of the new energy station is used to construct the power generation time series of the new energy station, and then the training sample set {xj |yj } is constructed through the power generation time series of the new energy station, where xj is the jth sample, yj is the feature label of the jth sample, j=1, 2..., N, and the length of each sample xj is K.
构建生成网络及判别网络,利用隐空间的随机向量、判别网络及训练样本集对生成网络进行对抗训练,基于对抗训练后的生成网络生成至少一个新场景;Build a generative network and a discriminant network, use the random vector of the latent space, the discriminant network and the training sample set to conduct adversarial training on the generative network, and generate at least one new scene based on the generative network after adversarial training;
具体的,利用全连接网络与深度反卷积神经网络(DeCNN)构建生成网络,生成网络G的输入为隐空间的随机变量z,生成网络G的输出为生成的新能源出力时间序列场景,生成网络共有NG层,第1层为全连接网络,其他层采用反卷积神经网络,卷积核大小为kG,卷积步长为sG;生成网络G的输入维度为Nz,Nz为生成网络G输入的隐空间随机向量z的长度,生成网络G的输出维度为K。Specifically, a fully-connected network and a deep deconvolutional neural network (DeCNN) are used to construct a generation network, the input of the generation network G is the random variable z in the latent space, and the output of the generation network G is the generated new energy output time series scene, generating The network has a total of NG layers, the first layer is a fully connected network, the other layers use a deconvolution neural network, the convolution kernel size is kG , and the convolution step size is sG ; the input dimension of the generation network G is Nz , Nz is the length of the latent space random vector z input by the generation network G, and the output dimension of the generation network G is K.
另外,利用卷积神经网络构建判别网络,其中,判别网络D的输入为真实样本x或生成网络G产生的样本,判别网络D的输出为对输入来源的判断,判断结果越接近1,则输入越可能来源于真实样本;当判断结果越接近0,则输入越可能来源于生成网络G。另外,判别网络D共有ND层,判别网络D的卷积核大小为kD,判别网络D的卷积步长为sD,判别网络D的输入维度为K,判别网络D的输出维度为1。In addition, a discriminant network is constructed by using a convolutional neural network. The input of the discriminant network D is the real sample x or the sample generated by the generation network G, and the output of the discriminant network D is the judgment of the input source. The closer the judgment result is to 1, the input The more likely it is from the real sample; when the judgment result is closer to 0, the more likely the input is from the generation network G. In addition, the discriminant network D has a total of ND layers, the size of the convolution kernel of the discriminant network D is kD , the convolution step size of the discriminant network D is sD , the input dimension of the discriminant network D is K, and the output dimension of the discriminant network D is 1.
另外,需要说明的是,也可以采用利用全连接神经网络构建生成网络,利用全连接神经网络构建判别网络。In addition, it should be noted that it is also possible to use a fully connected neural network to construct a generative network, and a fully connected neural network to construct a discriminant network.
同时,需要说明的是,利用全连接网络与深度反卷积神经网络构建生成网络,利用卷积神经网络构建判别网络相对效果更佳。At the same time, it should be noted that it is relatively better to use a fully connected network and a deep deconvolutional neural network to build a generative network, and a convolutional neural network to build a discriminant network.
利用判别网络及训练样本集对生成网络进行对抗训练的具体操作为:The specific operations of adversarial training of the generative network using the discriminative network and the training sample set are as follows:
将隐空间的随机向量z输入到生成网络G中,生成网络输出新能源出力的模拟场景样本G(z);Input the random vector z of the latent space into the generation network G, and generate the simulated scene sample G(z) of the network outputting new energy output;
从训练样本集中随机抽取若干样本;A number of samples are randomly selected from the training sample set;
将生成网络输出的新能源出力的模拟场景样本G(z)及随机抽取的m个样本输入到判别网络D中,判别网络D输出的判断结果即为评价分数;Input the simulated scene sample G(z) of the new energy output output by the generation network and the m samples randomly selected into the discriminant network D, and the judgment result output by the discriminant network D is the evaluation score;
判别网络的判断结果采用改进的Wasserstein距离进行计算,其中,The judgment result of the discriminant network adopts the improved Wasserstein distance to calculate, where,
其中,sup表示求上界,表示对其下标的变量求期望,为抽取的样本x的概率分布,为隐空间的随机变量z的概率分布,G(z)为生成网络G输出新能源出力的模拟场景样本。Among them, sup means to find the upper bound, represents the expectation of its subscripted variable, is the probability distribution of the sample x drawn, is the probability distribution of the random variable z in the latent space, and G(z) is the simulated scene sample of the generation network G outputting new energy output.
根据判别网络的判断结果作为生成网络G的反馈信号,根据判别网络的判断结果利用自适应矩估计方法对生成网络进行优化,其中,需要说明的是,判别网络D的训练目标在于分辨数据来源,即甄别出输入为真实样本还是模拟样本G(z);生成网络G的训练目标在于使其输出逐渐逼近真实样本分布;According to the judgment result of the discriminant network as the feedback signal of the generation network G, the adaptive moment estimation method is used to optimize the generation network according to the judgment result of the discriminant network. It should be noted that the training goal of the discriminant network D is to distinguish the data source, That is to identify whether the input is a real sample or a simulated sample G(z); the training goal of the generation network G is to make its output gradually approach the real sample distribution;
判断生成网络与判别网络是否达到纳什均衡,当生成网络与判别网络达到纳什均衡时,得对抗训练后的生成网络,否则,则将新的隐空间的随机向量输入到生成网络中,其中,学习率设置为α,通过两者在训练过程中逐渐进行对抗博弈,即对抗学习,最终达到纳什均衡。Determine whether the generation network and the discriminant network reach the Nash equilibrium. When the generation network and the discriminant network reach the Nash equilibrium, they must confront the trained generation network. Otherwise, the random vector of the new latent space is input into the generation network. Among them, learning The rate is set to α, and the two gradually carry out an adversarial game during the training process, that is, adversarial learning, and finally reach the Nash equilibrium.
需要说明的是,训练刚开始时两个网络的网络参数均随机化产生,生成网络G产生新能源场景的数据质量差,判别网络D的判断能力也很低;随着网络训练的逐步进行,两者精度逐渐提高,最终生成网络G可产生高质量的新能源出力场景数据。It should be noted that at the beginning of the training, the network parameters of the two networks are randomly generated, the data quality of the new energy scene generated by the generation network G is poor, and the judgment ability of the network D is also very low; with the gradual progress of network training, The accuracy of the two is gradually improved, and the final generation network G can generate high-quality new energy output scene data.
其中,生成网络的损失函数为:Among them, the loss function of the generation network is:
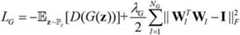
其中,表示对变量z按照分布求期望,为生成网络G的罚函数系数,为生成网络G第l层的Frobenius范数,G(z)为生成网络G输出新能源出力的模拟场景样本。in, represents the distribution of the variable z according to the ask for expectations, In order to generate the penalty function coefficient of the network G, In order to generate the Frobenius norm of the lth layer of the network G, G(z) is a simulated scene sample of the output of the new energy output of the generation network G.
判别网络的损失函数为:The loss function of the discriminant network is:
其中,表示对变量z按照分布求期望,D为惩罚系数,表示对变量x按照分布求期望;为实际数据分布概率;表对变量按照分布求期望,为分布概率,表示梯度,表示范数,表示,为[0,1]之间的均匀采样,G(z)为生成网络G输出新能源出力的模拟场景样本,为梯度项的惩罚系数,D()为判别网络D的输出结果,通过引入该罚函数,能够增加模型训练的稳定性与精度,防止出现模型坍塌问题。in, represents the distribution of the variable z according to the Find the expectation,D is the penalty coefficient, represents the distribution of the variable x according to the ask for expectations is the distribution probability of the actual data; table pair variable According to distribution ask for expectations, for distribution probability, represents the gradient, represents the norm, express , is the uniform sampling between [0, 1], G(z) is the simulated scene sample of the generation network G outputting new energy output, is the penalty coefficient of the gradient term, and D() is the output result of the discriminant network D. By introducing this penalty function, the stability and accuracy of the model training can be increased, and the problem of model collapse can be prevented.
另外,需要说明的是,也可以根据判别网络的判断结果利用随机梯度下降法对生成网络进行优化,同时需要说明的是,利用自适应矩估计方法对生成网络进行优化的效果更佳。In addition, it should be noted that the stochastic gradient descent method can also be used to optimize the generation network according to the judgment result of the discriminant network. At the same time, it should be noted that the effect of optimizing the generation network using the adaptive moment estimation method is better.
另外,需要说明的是,判别网络的判断结果也可以通过sigmoid函数进行计算,同时需要说明的是,通过Wasserstein距离进行计算的效果更优。In addition, it should be noted that the judgment result of the discriminant network can also be calculated by the sigmoid function, and it should be noted that the calculation effect by the Wasserstein distance is better.
提取各新场景的特征标签;Extract the feature labels of each new scene;
提取各新场景的特征标签的具体过程为:The specific process of extracting the feature labels of each new scene is as follows:
构建特征提取模型y=F(x),该特征提取模型用于提取真实样本或模拟样本G(z)的特征,例如新能源出力的平均值、最大值、最大变化率及发电时长等特征,在实际操作时,可以采用卷积神经网络构建特征提取器。Construct a feature extraction model y=F(x), which is used to extract the features of real samples or simulated samples G(z), such as the average value, maximum value, maximum change rate and power generation duration of new energy output, etc. In practice, a convolutional neural network can be used to build a feature extractor.
采用监督学习方式进行神经网络的反向传播训练,训练样本集为真实数据{xj|yj},j=1,2…,N,损失函数采用交叉熵,特征提取模型共有NF层,卷积核大小为kF,卷积步长为sF;特征提取模型的输入维度为K,即新能源的采样时间序列长度;特征提取模型的输出维度为MF,即总特征数。The back-propagation training of the neural network is carried out by using the supervised learning method. The training sample set is the real data {xj | yj }, j=1, 2..., N. The loss function adopts the cross entropy, and the feature extraction model has a total ofNF layers. The size of the convolution kernel is kF , and the convolution step size is sF ; the input dimension of the feature extraction model is K, which is the sampling time series length of the new energy; the output dimension of the feature extraction model isMF , which is the total number of features.
利用对抗训练后的生成网络产生若干新场景G(z),再利用特征提取模型提取新场景G(z)的特征标签ygen=F(G(z))。The generated network after adversarial training is used to generate several new scenes G(z), and then the feature label ygen =F(G(z)) of the new scene G(z) is extracted by the feature extraction model.
同时需要说明的是,也可以采用利用统计方法构建特征提取模型,例如,计算均值、幅值及变化率的统计值。At the same time, it should be noted that a statistical method can also be used to construct a feature extraction model, for example, to calculate the statistical values of the mean value, the amplitude value and the change rate.
建立隐空间的随机向量与特征标签之间的关联关系,并以此构建回归模型,再利用回归模型在高维空间中的斜率构建随机变量的特征轴;Establish the correlation between the random vector in the latent space and the feature label, and then construct the regression model, and then use the slope of the regression model in the high-dimensional space to construct the feature axis of the random variable;
具体的,可以通过广义线型模型GLM建立隐空间的随机向量z与特征标签ygen之间的关联关系,以构建回归模型ygen=R(z),回归模型在高维空间中的斜率构成随机变量z的特征轴,沿特征轴的向量fj用于控制生成场景的某一个特征;Specifically, the generalized linear model GLM can be used to establish the correlation between the random vector z in the latent space and the feature label ygen to construct the regression model ygen =R(z), the slope of the regression model in the high-dimensional space is composed of The feature axis of the random variable z, and the vector fj along the feature axis is used to control a certain feature of the generated scene;
需要说明的是,也可以通过利用线性回归模型建立隐空间的随机向量与特征标签之间的关联关系。It should be noted that, the relationship between the random vector in the latent space and the feature label can also be established by using a linear regression model.
对随机变量的特征轴进行正交化;Orthogonalize the characteristic axes of random variables;
具体的,采用施密特正交化方式,对随机变量z的特征轴进行正交分解,即Specifically, the Schmitt orthogonalization method is used to orthogonally decompose the characteristic axis of the random variable z, that is,
再进行单位化,即Then unitize, that is
以实现对特征轴进行解耦,防止特征分量变化时产生的相互影响。In order to realize the decoupling of the feature axis and prevent the mutual influence when the feature components change.
控制正交化后随机变量的特征轴上的特征,以生成不同的新能源场景,完成新能源场景生成。The features on the feature axis of the random variables after orthogonalization are controlled to generate different new energy scenarios and complete the new energy scenario generation.
具体的,控制正交化后随机变量的特征轴上的特征,以生成不同的新能源场景存在两种实时方式,第一种为:当仅生成符合历史数据全局分布规律的场景,则可直接将隐空间的随机向量z输入至生成网络G中,以产生任意数量的新能源场景;Specifically, there are two real-time ways to control the features on the feature axis of the random variables after orthogonalization to generate different new energy scenarios. The first is: when only scenarios that conform to the global distribution of historical data are generated, you can Input the random vector z of the latent space into the generation network G to generate any number of new energy scenarios;
第二种为:若生成符合某一特征分布或特定条件的场景,例如,生成强光照日、大风日场景;或具有不同出力均值的不同月份的新能源场景;或者具有较大跃变(如30min内的最大变化率)下的场景等,则可根据特征分布在随机变量z的特征轴上进行局部采用,然后输入至生成网络G中,以产生特定条件的运行场景。The second is: if a scene that meets a certain characteristic distribution or a specific condition is generated, for example, a scene of a strong light day or a windy day; or a new energy scene with different average output values in different months; or with a large jump (such as The maximum rate of change within 30min), etc., can be locally adopted on the feature axis of the random variable z according to the feature distribution, and then input to the generation network G to generate a running scene with specific conditions.
例如,当生成强光照日、大风日场景,则在随机变量z的表示幅值(或均值)的特征轴emax(或emean)上的较大位置处采样,其他特征分量均匀随机采样;若生成具有不同出力均值的不同月份下的新能源场景,则根据已有的每月新能源出力均值、幅值、变化率等统计特征,在特征轴emean、emax及eramp上依先验统计概率进行采样;若生成具有较大跃变的新能源场景,则在特征轴eramp较大位置处采样,其他特征分量随机采样。For example, when generating a strong light day and a strong wind day scene, the random variable z is sampled at a larger position on the feature axis emax (or emean ) representing the amplitude (or mean value), and other feature components are uniformly sampled randomly; If generating new energy scenarios with different output mean values in different months, according to the existing statistical characteristics such as the monthly new energy output mean value, amplitude, rate of change, etc., on the characteristic axes emean , emax and eramp sampling according to the statistical probability of the test; if a new energy scene with a large jump is generated, sampling is performed at the larger position of the feature axis eramp , and other feature components are randomly sampled.
一种新能源场景生成系统包括:A new energy scene generation system includes:
获取模块,用于获取新能源发电功率时间序列,利用新能源发电功率时间序列构建训练样本集;The acquisition module is used to acquire the time series of new energy power generation power, and use the new energy power generation power time series to construct a training sample set;
对抗模块,与获取模块相连接,用于构建生成网络及判别网络,利用隐空间的随机向量、判别网络及训练样本集对生成网络进行对抗训练,基于对抗训练后的生成网络生成至少一个新场景;The confrontation module is connected with the acquisition module and is used to construct the generation network and the discriminant network, and uses the random vector of the latent space, the discriminant network and the training sample set to conduct confrontation training on the generation network, and generates at least one new scene based on the generation network after the confrontation training. ;
特征提取模块,与对抗模块相连接,用于提取所述新场景的特征标签;a feature extraction module, connected with the confrontation module, for extracting the feature labels of the new scene;
特征轴构建模块,与特征提取模块相连接,用于建立隐空间的随机向量与特征标签之间的关联关系,并以此构建回归模型,根据所述回归模型在高维空间中的斜率构建随机变量的特征轴;The feature axis building module is connected with the feature extraction module, and is used to establish the correlation between the random vector in the latent space and the feature label, and then build a regression model, and build a random according to the slope of the regression model in the high-dimensional space. the characteristic axis of the variable;
解耦模块,与特征轴构建模块相连接,用于对随机变量的特征轴进行正交化;The decoupling module, which is connected with the feature axis building module, is used to orthogonalize the feature axis of the random variable;
场景生成模块,与解耦模块相连接,用于控制正交化后随机变量的特征轴上的特征,以生成不同的新能源场景,完成新能源场景生成。The scenario generation module is connected with the decoupling module, and is used to control the features on the characteristic axis of the random variable after orthogonalization, so as to generate different new energy scenarios and complete the new energy scenario generation.
一种计算机设备,包括存储器、处理器以及存储在所述存储器中并可在所述处理器上运行的计算机程序,所述处理器执行所述计算机程序时实现所述新能源场景生成方法的步骤。A computer device, comprising a memory, a processor, and a computer program stored in the memory and executable on the processor, the processor implementing the steps of the new energy scene generation method when the processor executes the computer program .
一种计算机可读存储介质,所述计算机可读存储介质存储有计算机程序,所述计算机程序被处理器执行时实现所述新能源场景生成方法的步骤。A computer-readable storage medium stores a computer program, and when the computer program is executed by a processor, implements the steps of the method for generating a new energy scenario.
本领域内的技术人员应明白,本申请的实施例可提供为方法、系统、或计算机程序产品。因此,本申请可采用完全硬件实施例、完全软件实施例、或结合软件和硬件方面的实施例的形式。而且,本申请可采用在一个或多个其中包含有计算机可用程序代码的计算机可用存储介质(包括但不限于磁盘存储器、CD-ROM、光学存储器等)上实施的计算机程序产品的形式。As will be appreciated by those skilled in the art, the embodiments of the present application may be provided as a method, a system, or a computer program product. Accordingly, the present application may take the form of an entirely hardware embodiment, an entirely software embodiment, or an embodiment combining software and hardware aspects. Furthermore, the present application may take the form of a computer program product embodied on one or more computer-usable storage media (including, but not limited to, disk storage, CD-ROM, optical storage, etc.) having computer-usable program code embodied therein.
本申请是参照根据本申请实施例的方法、设备(系统)、和计算机程序产品的流程图和/或方框图来描述的。应理解可由计算机程序指令实现流程图和/或方框图中的每一流程和/或方框、以及流程图和/或方框图中的流程和/或方框的结合。可提供这些计算机程序指令到通用计算机、专用计算机、嵌入式处理机或其他可编程数据处理设备的处理器以产生一个机器,使得通过计算机或其他可编程数据处理设备的处理器执行的指令产生用于实现在流程图一个流程或多个流程和/或方框图一个方框或多个方框中指定的功能的装置。The present application is described with reference to flowchart illustrations and/or block diagrams of methods, apparatus (systems), and computer program products according to embodiments of the present application. It will be understood that each flow and/or block in the flowcharts and/or block diagrams, and combinations of flows and/or blocks in the flowcharts and/or block diagrams, can be implemented by computer program instructions. These computer program instructions may be provided to the processor of a general purpose computer, special purpose computer, embedded processor or other programmable data processing device to produce a machine such that the instructions executed by the processor of the computer or other programmable data processing device produce Means for implementing the functions specified in one or more of the flowcharts and/or one or more blocks of the block diagrams.
这些计算机程序指令也可存储在能引导计算机或其他可编程数据处理设备以特定方式工作的计算机可读存储器中,使得存储在该计算机可读存储器中的指令产生包括指令装置的制造品,该指令装置实现在流程图一个流程或多个流程和/或方框图一个方框或多个方框中指定的功能。These computer program instructions may also be stored in a computer readable memory capable of directing a computer or other programmable data processing apparatus to function in a particular manner, such that the instructions stored in the computer readable memory result in an article of manufacture comprising instruction means, the instructions An apparatus implements the functions specified in a flow or flows of the flowcharts and/or a block or blocks of the block diagrams.
这些计算机程序指令也可装载到计算机或其他可编程数据处理设备上,使得在计算机或其他可编程设备上执行一系列操作步骤以产生计算机实现的处理,从而在计算机或其他可编程设备上执行的指令提供用于实现在流程图一个流程或多个流程和/或方框图一个方框或多个方框中指定的功能的步骤。These computer program instructions can also be loaded on a computer or other programmable data processing apparatus to cause a series of operational steps to be performed on the computer or other programmable apparatus to produce a computer-implemented process such that The instructions provide steps for implementing the functions specified in one or more of the flowcharts and/or one or more blocks of the block diagrams.
最后应当说明的是:以上实施例仅用以说明本发明的技术方案而非对其限制,尽管参照上述实施例对本发明进行了详细的说明,所属领域的普通技术人员应当理解:依然可以对本发明的具体实施方式进行修改或者等同替换,而未脱离本发明精神和范围的任何修改或者等同替换,其均应涵盖在本发明的权利要求保护范围之内。Finally, it should be noted that the above embodiments are only used to illustrate the technical solutions of the present invention rather than to limit them. Although the present invention has been described in detail with reference to the above embodiments, those of ordinary skill in the art should understand that: the present invention can still be Modifications or equivalent replacements are made to the specific embodiments of the present invention, and any modifications or equivalent replacements that do not depart from the spirit and scope of the present invention shall be included within the protection scope of the claims of the present invention.
| Application Number | Priority Date | Filing Date | Title |
|---|---|---|---|
| CN202011384337.9ACN112163671A (en) | 2020-12-02 | 2020-12-02 | A method and system for generating a new energy scene |
| Application Number | Priority Date | Filing Date | Title |
|---|---|---|---|
| CN202011384337.9ACN112163671A (en) | 2020-12-02 | 2020-12-02 | A method and system for generating a new energy scene |
| Publication Number | Publication Date |
|---|---|
| CN112163671Atrue CN112163671A (en) | 2021-01-01 |
| Application Number | Title | Priority Date | Filing Date |
|---|---|---|---|
| CN202011384337.9APendingCN112163671A (en) | 2020-12-02 | 2020-12-02 | A method and system for generating a new energy scene |
| Country | Link |
|---|---|
| CN (1) | CN112163671A (en) |
| Publication number | Priority date | Publication date | Assignee | Title |
|---|---|---|---|---|
| CN112734386A (en)* | 2021-01-13 | 2021-04-30 | 国家电网有限公司 | New energy network access full-flow through method and system based on association matching algorithm |
| CN112950409A (en)* | 2021-04-19 | 2021-06-11 | 工数科技(广州)有限公司 | Production scheduling optimization method of gas and steam energy comprehensive utilization system |
| CN114862123A (en)* | 2022-04-12 | 2022-08-05 | 国网江苏省电力有限公司电力科学研究院 | Comprehensive energy system scene generation method and device |
| CN115357218A (en)* | 2022-08-02 | 2022-11-18 | 北京航空航天大学 | A high-entropy random number generation method based on chaotic predictive confrontation learning |
| CN116565859A (en)* | 2023-07-10 | 2023-08-08 | 国网吉林省电力有限公司辽源供电公司 | An artificial intelligence-based power grid optimization dispatching system and method |
| Publication number | Priority date | Publication date | Assignee | Title |
|---|---|---|---|---|
| CN111553587A (en)* | 2020-04-26 | 2020-08-18 | 中国电力科学研究院有限公司 | New energy scene generation method and system based on confrontation learning model |
| Publication number | Priority date | Publication date | Assignee | Title |
|---|---|---|---|---|
| CN111553587A (en)* | 2020-04-26 | 2020-08-18 | 中国电力科学研究院有限公司 | New energy scene generation method and system based on confrontation learning model |
| Title |
|---|
| JI QIAO等: "Renewable scenario generation using stable and controllable generative adversarial networks with transparent latent space", 《IEEE,CSEE JOURNAL OF POWER AND ENERGY SYSTEMS》* |
| 李洋等: "生成对抗网络及其在新能源数据质量中的应用研究综述", 《南方电网技术》* |
| 董骁翀等: "基于条件生成对抗网络的可再生能源日前场景生成方法", 《中国电机工程学报》* |
| Publication number | Priority date | Publication date | Assignee | Title |
|---|---|---|---|---|
| CN112734386A (en)* | 2021-01-13 | 2021-04-30 | 国家电网有限公司 | New energy network access full-flow through method and system based on association matching algorithm |
| CN112950409A (en)* | 2021-04-19 | 2021-06-11 | 工数科技(广州)有限公司 | Production scheduling optimization method of gas and steam energy comprehensive utilization system |
| CN114862123A (en)* | 2022-04-12 | 2022-08-05 | 国网江苏省电力有限公司电力科学研究院 | Comprehensive energy system scene generation method and device |
| CN115357218A (en)* | 2022-08-02 | 2022-11-18 | 北京航空航天大学 | A high-entropy random number generation method based on chaotic predictive confrontation learning |
| CN116565859A (en)* | 2023-07-10 | 2023-08-08 | 国网吉林省电力有限公司辽源供电公司 | An artificial intelligence-based power grid optimization dispatching system and method |
| CN116565859B (en)* | 2023-07-10 | 2023-09-19 | 国网吉林省电力有限公司辽源供电公司 | A power grid optimization dispatching system and method based on artificial intelligence |
| Publication | Publication Date | Title |
|---|---|---|
| CN112163671A (en) | A method and system for generating a new energy scene | |
| CN113094357B (en) | A traffic-missing data completion method based on spatiotemporal attention mechanism | |
| CN110751318B (en) | Ultra-short-term power load prediction method based on IPSO-LSTM | |
| Papageorgiou | Review study on fuzzy cognitive maps and their applications during the last decade | |
| CN113269363A (en) | A kind of trajectory prediction method, system, equipment and medium of hypersonic aircraft | |
| Amini et al. | Introduction to deep learning | |
| CN111553587A (en) | New energy scene generation method and system based on confrontation learning model | |
| CN107463966A (en) | Radar range profile's target identification method based on dual-depth neutral net | |
| CN112464567B (en) | Intelligent data assimilation method based on variational assimilation framework | |
| CN103105246A (en) | Greenhouse environment forecasting feedback method of back propagation (BP) neural network based on improvement of genetic algorithm | |
| Azzouz et al. | Steady state IBEA assisted by MLP neural networks for expensive multi-objective optimization problems | |
| Kamada et al. | An adaptive learning method of restricted Boltzmann machine by neuron generation and annihilation algorithm | |
| CN109523014A (en) | News comment automatic generation method and system based on production confrontation network model | |
| CN116306902A (en) | Time sequence data environment analysis and decision method, device, equipment and storage medium | |
| CN116306793B (en) | A task-oriented self-supervised learning method based on contrastive Siamese networks | |
| CN113077237B (en) | Course arrangement method and system for self-adaptive hybrid algorithm | |
| CN111414927A (en) | Method for evaluating seawater quality | |
| CN118643746B (en) | Automatic history fitting method integrating geologic modeling and numerical simulation agent model | |
| Xi et al. | Air Combat Maneuver Trajectory Prediction Model of Target Based on Chaotic Theory and IGA‐VNN | |
| CN113761148A (en) | Conversation information acquisition method, device, equipment and storage medium | |
| US20220121920A1 (en) | Multi-agent coordination method and apparatus | |
| CN118193507A (en) | Traffic flow data interpolation method and system based on tensor completion and graph annotation meaning network | |
| Altundogan et al. | Dynamic Fuzzy Cognitive Maps Based Crowd Analysis Using Time Series Obtained From Video Processing | |
| Gong et al. | Interactive generation of dynamically feasible vehicle trajectories using dual-vae | |
| CN109858799B (en) | Method and device for mining the correlation between active distribution network reconstruction measures and line overload rate |
| Date | Code | Title | Description |
|---|---|---|---|
| PB01 | Publication | ||
| PB01 | Publication | ||
| SE01 | Entry into force of request for substantive examination | ||
| SE01 | Entry into force of request for substantive examination | ||
| RJ01 | Rejection of invention patent application after publication | Application publication date:20210101 | |
| RJ01 | Rejection of invention patent application after publication |