Movatterモバイル変換


[0]ホーム

URL:


CN112153043A - Website security detection method and device, electronic equipment and storage medium - Google Patents

Website security detection method and device, electronic equipment and storage medium
Download PDF

Info

Publication number
CN112153043A
CN112153043ACN202011002863.4ACN202011002863ACN112153043ACN 112153043 ACN112153043 ACN 112153043ACN 202011002863 ACN202011002863 ACN 202011002863ACN 112153043 ACN112153043 ACN 112153043A
Authority
CN
China
Prior art keywords
target website
threat
website
threat degree
coefficient
Prior art date
Legal status (The legal status is an assumption and is not a legal conclusion. Google has not performed a legal analysis and makes no representation as to the accuracy of the status listed.)
Pending
Application number
CN202011002863.4A
Other languages
Chinese (zh)
Inventor
胡招武
范渊
Current Assignee (The listed assignees may be inaccurate. Google has not performed a legal analysis and makes no representation or warranty as to the accuracy of the list.)
DBAPPSecurity Co Ltd
Hangzhou Dbappsecurity Technology Co Ltd
Original Assignee
Hangzhou Dbappsecurity Technology Co Ltd
Priority date (The priority date is an assumption and is not a legal conclusion. Google has not performed a legal analysis and makes no representation as to the accuracy of the date listed.)
Filing date
Publication date
Application filed by Hangzhou Dbappsecurity Technology Co LtdfiledCriticalHangzhou Dbappsecurity Technology Co Ltd
Priority to CN202011002863.4ApriorityCriticalpatent/CN112153043A/en
Publication of CN112153043ApublicationCriticalpatent/CN112153043A/en
Pendinglegal-statusCriticalCurrent

Links

Images

Classifications

Landscapes

Abstract

The application discloses a website security detection method, which comprises the following steps: obtaining a target website and threat degree coefficients of accessible links of the target website on each threat information platform; calculating a final threat degree coefficient of the target website according to the threat degree coefficient; and outputting the final threat degree coefficient of the target website. The threat degree of the target website is obtained by obtaining the threat degree coefficient of the target website and the real-time update of the accessible link of the target website on the threat information platform, the defect that a user continues to visit a dangerous website, namely the target website, due to the fact that the blacklist information of the malicious website is not updated timely in the related technology is avoided, the user can know the threat degree of the target website according to the threat information data updated in real time, the user access safety risk is reduced, and the user experience is improved. The application also provides a website safety detection device, an electronic device and a storage medium, and the website safety detection device, the electronic device and the storage medium have the beneficial effects.

Description

Website security detection method and device, electronic equipment and storage medium
Technical Field
The present application relates to the field of website security technologies, and in particular, to a method and an apparatus for detecting website security, an electronic device, and a storage medium.
Background
When accessing a target website, a netizen user may access a malicious website under an unknown condition, so that a user terminal is damaged by computer viruses. Generally, a user cannot be completely prevented from accessing a target website, but technical means can help the user identify the threat level of the target website, and give an early warning and a prompt before the user accesses the target website so as to prevent or reduce the risk brought to the user by accessing the target website. At present, the security of a target website is judged through a malicious website blacklist provided by each security manufacturer or stored by a server, but the traditional blacklist identification mode has the defect that the blacklist information is not updated timely, and the access security risk of a user is increased.
Disclosure of Invention
The application aims to provide a website security detection method, so that a user can know the threat degree of a target website according to threat information data updated in real time, the access security risk of the user is reduced, and the user experience is improved. The specific scheme is as follows:
in a first aspect, the present application discloses a website security detection method, including:
acquiring a target website and a threat degree coefficient of an accessible link of the target website on a threat intelligence platform;
calculating a final threat degree coefficient of the target website according to the threat degree coefficient;
and outputting the final threat degree coefficient of the target website.
Optionally, calculating a final threat degree coefficient of the target website according to the threat degree coefficient, including:
distributing corresponding weights to the threat degree coefficients of each threat intelligence platform, and respectively calculating preliminary threat degree values of the target website and the accessible links by using a weighted average method;
and assigning corresponding weights to the preliminary threat degree value of the target website and the preliminary threat degree value of the accessible link, and calculating a final threat degree coefficient of the target website by using a weighted average method.
Optionally, assigning corresponding weights to the preliminary threat degree value of the target website and the preliminary threat degree value of the accessible link, and calculating a final threat degree coefficient of the target website by using a weighted average method, including:
setting respective corresponding weights of the preliminary threat degree values of the target website and the accessible link, so that the weight occupied by the target website is greater than the weight occupied by the accessible link;
and calculating a final threat degree coefficient of the target website by using a weighted average method according to the preliminary threat degree values of the target website and the accessible links and the corresponding weights.
Optionally, the obtaining manner of the accessible link of the target website includes:
and analyzing the content of the a label in the target website by using an XPath tool to obtain the accessible link of the target website.
Optionally, the obtaining of the threat degree coefficient of the target website and the accessible link of the target website on the threat intelligence platform includes:
acquiring initial threat degree coefficients of the target website and the accessible links on each threat intelligence platform;
and carrying out standardization processing on the initial threat degree coefficient by using a dispersion standardization method to obtain the threat degree coefficient corresponding to the target website and the accessible link.
Optionally, after outputting the final threat degree coefficient of the target website, the method further includes:
and dividing the threat level of the target website according to a preset threat level table and the final threat level coefficient, and outputting the threat level of the target website.
In a second aspect, the present application discloses a website security detection apparatus, including:
the system comprises an acquisition module, a storage module and a processing module, wherein the acquisition module is used for acquiring a target website and threat degree coefficients of accessible links of the target website on each threat information platform;
the calculation module is used for calculating the final threat degree coefficient of the target website according to the threat degree coefficient;
and the output module is used for outputting the final threat degree coefficient of the target website.
Optionally, the method further includes:
and the dividing module is used for dividing the threat level of the target website according to a preset threat level table and the final threat level coefficient and outputting the threat level of the target website.
In a third aspect, the present application discloses an electronic device, comprising:
a memory for storing a computer program;
and the processor is used for realizing the steps of the website security detection method when executing the computer program.
In a fourth aspect, the present application provides a storage medium, having a computer program stored thereon, where the computer program is executed by a processor to implement the steps of the website security detection method.
The application provides a website security detection method, which comprises the following steps: acquiring a target website and a threat degree coefficient of an accessible link of the target website on a threat intelligence platform; calculating a final threat degree coefficient of the target website according to the threat degree coefficient; and outputting the final threat degree coefficient of the target website.
Therefore, the threat degree coefficient of the target website is obtained by obtaining the threat degree coefficient of the target website and the accessible link of the target website updated in real time on the threat information platform, and the final threat degree coefficient of the target website is obtained by calculation, so that the threat degree of the target website of the user is prompted, the defect that the user continues to visit the dangerous website, namely the target website, due to the fact that the blacklist information of the malicious website is not updated timely in the related technology is avoided, the user can know the threat degree of the target website according to the threat information data updated in real time, the access safety risk of the user is reduced, and the user experience is improved. The application also provides a website safety detection device, an electronic device and a storage medium, and the website safety detection device, the electronic device and the storage medium have the beneficial effects and are not repeated herein.
Drawings
In order to more clearly illustrate the embodiments of the present application or the technical solutions in the prior art, the drawings needed to be used in the description of the embodiments or the prior art will be briefly introduced below, it is obvious that the drawings in the following description are only embodiments of the present application, and for those skilled in the art, other drawings can be obtained according to the provided drawings without creative efforts.
Fig. 1 is a flowchart of a website security detection method according to an embodiment of the present disclosure;
fig. 2 is a flowchart of another website security detection method according to an embodiment of the present application;
fig. 3 is a schematic structural diagram of a website security detection apparatus according to an embodiment of the present disclosure.
Detailed Description
In order to make the objects, technical solutions and advantages of the embodiments of the present application clearer, the technical solutions in the embodiments of the present application will be clearly and completely described below with reference to the drawings in the embodiments of the present application, and it is obvious that the described embodiments are some embodiments of the present application, but not all embodiments. All other embodiments, which can be derived by a person skilled in the art from the embodiments given herein without making any creative effort, shall fall within the protection scope of the present application.
In a common website security detection method, the threat degree of a target website is judged in a malicious website blacklist mode, but the disadvantage that website information in the malicious website blacklist is not updated timely is overcome in the malicious website detection method, so that a user continues to access the malicious website, and the risk of viruses in a user terminal is increased. Based on the above technical problem, this embodiment provides a website security detection method, which obtains a threat level of a target website by obtaining a threat level coefficient updated in real time by an accessible link of the target website and the target website on a threat information platform, and reduces a user access security risk, specifically referring to fig. 1, where fig. 1 is a flowchart of a website security detection method provided in this embodiment of the present application, and specifically includes:
s101, threat degree coefficients of the target website and the accessible links of the target website on each threat intelligence platform are obtained.
In this embodiment, the target website refers to the target website itself, i.e. the root link, which is recorded asx0The accessible link of the target website is a sub-link of the target website. The content of the target website and the accessible link of the target website is not limited in this embodiment, and may be a text document, a picture, a video, or one or any combination thereof. Each threat information platform can provide a real-time updating function by analyzing data returned by the same target object or target website, support real-time response to the threat information data, and support network defense and threat analysis. In the embodiment, by acquiring threat intelligence data, namely a threat degree coefficient, about the target website and the target website accessible link in the threat intelligence platform, which is updated in real time, the real-time latest threat degree of the target website can be known, and the access security risk is reduced. The number of each threat intelligence platform is not limited in this embodiment, and may be one or more, and may be selected according to actual conditions. In order to improve the accuracy of the acquired threat intelligence data, the number of threat intelligence platforms in the embodiment is multiple, so that the contingency of target website root links and sub-link threat intelligence data in a single threat intelligence platform can be reduced.
The embodiment does not limit the obtaining manner of the accessible link of the target website, and may use an XPath tool, or other obtaining sub-link manners, which may be selected according to the actual situation. In order to improve the operation efficiency of the processor, the manner of obtaining the accessible link of the target website in this embodiment may include: and analyzing the content of the a label in the target website by using an XPath tool to obtain the accessible link of the target website. It can be understood that the process of obtaining the accessible link of the target website may be, first, constructing a request message, sending a request to simulate accessing the target website, then, obtaining the response content of the request, that is, the response message of the target website, and finally, parsing and extracting the content of the specific tag, that is, the a tag, by using an XPath tool. XPath is a language tool which can be used to search specific content in XML document, and can conveniently and quickly search and extract the specific content in the document with tree structure according to node attributesThe contents of the node. In this embodiment, only the content of the target website a label node attribute needs to be extracted and recorded as xiWhere i is 1 to n, n represents the total number of extracted a-tag contents.
The data interval of the threat level coefficient is not limited in this embodiment, and may be 1 to 100, 1 to 10, or 0 to 1, depending on the data interval mode stored by each threat intelligence platform, and it can be understood that a larger threat level data value indicates a larger threat level. In order to determine the threat level of the target website according to the degree of the threat level, the threat intelligence data acquired by each threat intelligence platform needs to be standardized uniformly, the embodiment does not limit the specific manner of the unified standardization, and the method can be z-score standardization or min-max standardization (dispersion standardization), and a user can select the threat level according to the actual situation. In order to reduce the computational complexity, in this embodiment, obtaining the target website and the threat level coefficient of the target website accessible to link with the threat intelligence platform may include: acquiring initial threat degree coefficients of a target website and accessible links on each threat information platform; and carrying out standardization processing on the initial threat degree coefficient by using a dispersion standardization method to obtain the threat degree coefficient corresponding to the target website and the accessible link. That is, in this embodiment, a dispersion standardization method is adopted, and initial threat degree values of the target website and the links and the sub-links, which are acquired by each threat information platform, are standardized to obtain a unified and standardized threat degree coefficient.
And S102, calculating the final threat degree coefficient of the target website according to the threat degree coefficient.
It can be understood that, in the related art, by using the manner of the blacklist of the malicious website, when the blacklist website includes the target website, it indicates that the threat degree of the target website is large, and the target website is a malicious website, and the user is not advised to continue to access the target website; when the blacklist website information does not include the target website, the target website is indicated as a safe website, and the user can continue to access the safe website; however, in the manner of identifying the threat level of the target website, the blacklist information is not updated timely, and the target website may be infected with a computer virus in a recent time period or just before, and the blacklist information cannot acquire the information, so that the decision information cannot be provided for the user. In the embodiment, the threat degree of the target website can be judged by acquiring the threat information data of the target website updated in time on the threat information platform. In order to further identify the risk level of the target website, in this embodiment, after threat intelligence data of a root link and a sub-link of the target website is acquired, the threat intelligence data is processed to obtain a threat level value or a threat level of the target website, so that user experience can be improved, for example, when the risk level or the final threat level coefficient of the target website obtained after processing is low and a user really has a need to access the target website, the user can continue to access the target website.
It can be further understood that, in this embodiment, the final threat degree coefficient of the target website refers to a threat degree coefficient obtained after the target website itself and the accessible link of the target website are comprehensively evaluated. The embodiment does not limit the calculation mode of the final threat degree coefficient of the target website, and may select the maximum threat degree coefficient in the root link and the sub-link of the target website from each threat intelligence platform as the final threat degree coefficient, or may select the root link and the sub-link in each threat intelligence platform for average calculation, and the obtained average threat degree coefficient is used as the final threat degree coefficient, and the user may select the final threat degree coefficient according to the actual situation.
In order to comprehensively consider the threat intelligence data of the target website of each threat intelligence platform and improve the accuracy of the final threat degree coefficient, in this embodiment, the calculating the final threat degree coefficient of the target website according to the threat degree coefficient may include: distributing corresponding weights to the threat degree coefficients of each threat information platform, and respectively calculating the preliminary threat degree values of the target website and the accessible links by using a weighted average method; and distributing corresponding weights to the preliminary threat degree value of the target website and the preliminary threat degree value of the accessible link, and calculating a final threat degree coefficient of the target website by using a weighted average method. The method comprises the steps of firstly calculating a weighted average, distributing corresponding weights to threat degree coefficients of target websites in each threat information platform, multiplying each threat degree coefficient by the corresponding weight, and adding the multiplied threat degree coefficients to obtain a preliminary threat degree value corresponding to the target website and the target website sub-link. And then, distributing corresponding weights to the target website and the target website sub-link, multiplying the preliminary threat degree values by the corresponding weights respectively, and adding to obtain a final threat degree coefficient of the target website.
It should be noted that, in this embodiment, the weight values corresponding to each threat information platform are not limited, the same weight value, that is, the average method, may also be distributed according to a preset weight table, the corresponding weight values are also not limited in this embodiment, the setting rule of the preset weight table is also not limited in this embodiment, the setting may be performed according to experience, or may be determined according to an algorithm, and it is understood that the sum of the weight values corresponding to each threat information platform is 1. Similarly, the sum of the weighted values corresponding to the preliminary threat degree values of the root link and the sub-link of the target website is also 1, and the embodiment does not limit the weights corresponding to the preliminary threat degree values of the target website itself and the sub-link of the target website, as long as the sum of the weighted values is 1.
In order to improve the accuracy of determining the threat level of the target website, in this embodiment, corresponding weights are assigned to the preliminary threat level value of the target website and the preliminary threat level value of the accessible link, and a final threat level coefficient of the target website is calculated by using a weighted average method, which may include: setting weights corresponding to the preliminary threat degree values of the target website and the accessible link respectively, so that the weight occupied by the target website is greater than the weight occupied by the accessible link; and calculating a final threat degree coefficient of the target website by using a weighted average method according to the preliminary threat degree values of the target website and the accessible links and the corresponding weights. That is, the corresponding weight of the preliminary threat degree value of the target website itself is set to be greater than the corresponding weight of the preliminary threat degree value of the sub-link of the target website, and it can be understood that, generally, the importance degree of the preliminary threat degree value of the target website itself accounts for the major proportion, and the major requirement of the user for accessing the target website also is to access the target website itself, so the corresponding weight of the preliminary threat degree value of the root link of the target website set in this embodiment is greater than the weight value occupied by the sub-link. In this embodiment, the weight of each sub-link is not limited, and the weights of the sub-links may be the same or different, as long as the weight is smaller than the weight occupied by the target website itself. In order to improve the operation efficiency, the weights corresponding to the primary threat degree values of the sub-links of each target website are set to be the same, so that the processing efficiency of the computer can be effectively improved.
For example, the threat degree coefficient of the target website on each threat intelligence platform is obtained as yijWherein i is 0 to n, j is 1 to m, namely the number of the target website sub-links is n, and the number of the threat information platforms is m. For m different threat information platforms, a weight ratio can be set for each platform by analyzing the credibility of threat information data and the information updating time, and the weight ratio is set as pjAnd the range is 0 to 1, the credibility score of the threat information data in the threat information platform is represented, the larger the proportion is, the higher the credibility is represented, and the initial threat degree coefficient of the target website and the accessible link of the target website can be calculated by the following formula:
Figure BDA0002694924920000071
wherein r isiRepresenting a Link xiA preliminary threat level score, y, calculated from the threat intelligencei,jRepresenting a Link xiThe threat level on platform j is scored, i from 0 to n, and j from 1 to m. It should be noted that p corresponds to different links, i.e., the root link and each child linkjAre identical, i.e. pjThe value of (c) is relevant only to the threat intelligence platform.
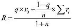
As another example, target site root link x0The initial threat degree value of (1) accounts for the main proportion, the weight value is set as q, and the weight of each sub-link accounts for
Figure BDA0002694924920000081
The final threat level coefficient for the target website may then be derived from the following equation:
Figure BDA0002694924920000082
wherein, R represents the final threat degree coefficient of the target website, and i is 1 to n.
And S103, outputting the final threat degree coefficient of the target website.
The output mode of the final threat degree coefficient of the target website is not limited in this embodiment, and may be in a text form or a voice form, and the user may set the final threat degree coefficient according to actual conditions. The output content is not limited in this embodiment, the final threat degree coefficient may be directly output, and other content, such as access recommendation or access non-recommendation, may be added on the basis of outputting the final threat degree coefficient, and the user may set according to actual needs.
Based on the technical scheme, the threat degree coefficient of the target website is obtained by obtaining the threat degree coefficient which is accessible and linked to each threat information platform and is updated in real time by the target website and the target website, the threat degree of the target website can be further judged by using a weighted average method, the defect that a user continues to visit the malicious website, namely the target website, due to the fact that the blacklist information of the malicious website is not updated in time in the related technology is avoided, the safety risk of the user visiting the malicious website is effectively reduced, and the user experience is improved.
Based on the foregoing embodiment, in order to improve user experience and enable a user to clearly know the threat level of a target website, this embodiment provides a website security detection method, in which a calculated final threat level coefficient of the target website is matched with a preset threat level table, and a threat level of the target website is obtained by dividing, specifically referring to fig. 2, where fig. 2 is a flowchart of another website security detection method provided in this embodiment of the present application, and the method includes:
s201, threat degree coefficients of the target website and the accessible links of the target website on each threat intelligence platform are obtained.
S202, calculating the final threat degree coefficient of the target website according to the threat degree coefficient.
For specific contents of step S201 and step S202, reference may be made to the above embodiments, and details are not repeated in this embodiment.
And S203, dividing the threat level of the target website according to the preset threat level table and the final threat level coefficient, and outputting the threat level of the target website.
The present embodiment does not limit the level design rule of the preset level table, for example, the final threat level coefficient of the target website is between 1 and 30 points, and is set as a low risk; the final threat degree coefficient of the target website is between 31 and 60 points and is set as medium risk; the final threat level coefficient for the target web site is between 61 and 100 points, set as high risk. Or the final threat degree coefficient of the target website is between 1 and 20 points, and the security is set; the final threat degree coefficient of the target website is between 21 and 40 points and is set as low risk; the final threat degree coefficient of the target website is between 41 and 70 points and is set as medium risk; the final threat degree coefficient of the target website is between 71 and 100 points and is set as high risk, and the user can select and adjust the coefficient according to the actual effect.
Based on the technical scheme, the embodiment enables the user to simply and directly know the threat degree of the target website by dividing the threat level of the target website, provides powerful decision information for the user to judge whether to continue accessing the target website, and improves user experience.
Referring to fig. 3, fig. 3 is a schematic structural diagram of a website security detection apparatus according to an embodiment of the present disclosure, where the website security detection apparatus described below and the website security detection method described above are referred to with reference to each other, and the website security detection apparatus includes:
in some specific embodiments, the method specifically includes:
an obtainingmodule 301, configured to obtain a target website and threat degree coefficients of accessible links of the target website on each threat information platform;
a calculatingmodule 302, configured to calculate a final threat degree coefficient of the target website according to the threat degree coefficient;
and anoutput module 303, configured to output the final threat degree coefficient of the target website.
In some specific embodiments, thecalculation module 302 includes:
the first calculation unit is used for distributing corresponding weights to the threat degree coefficients of all threat information platforms and calculating preliminary threat degree values of the target website and the accessible links respectively by using a weighted average method;
and the second calculation unit is used for allocating corresponding weights to the preliminary threat degree value of the target website and the preliminary threat degree value of the accessible link, and calculating a final threat degree coefficient of the target website by using a weighted average method.
In some specific embodiments, the second computing unit includes:
the setting subunit is used for setting respective corresponding weights of the preliminary threat degree values of the target website and the accessible links, so that the weight occupied by the target website is greater than the weight occupied by the accessible links;
and the weighted average subunit is used for calculating a final threat degree coefficient of the target website by using a weighted average method according to the preliminary threat degree values of the target website and the accessible links and the corresponding weights.
In some specific embodiments, the obtainingmodule 301 includes:
and the accessible link acquisition unit is used for analyzing the content of the a label in the target website by using an XPath tool to obtain the accessible link of the target website.
In some specific embodiments, the obtainingmodule 301 includes:
the initial threat degree coefficient acquisition unit is used for acquiring the initial threat degree coefficients of the target website and accessible links on each threat information platform;
and the standardization unit is used for carrying out standardization processing on the initial threat degree coefficient by using a dispersion standardization method to obtain the threat degree coefficient corresponding to the target website and the accessible link.
In some specific embodiments, the method further comprises:
and the dividing module is used for dividing the threat level of the target website according to the preset threat level table and the final threat level coefficient, and outputting the threat level of the target website.
Since the embodiment of the website security detection apparatus corresponds to the embodiment of the website security detection method, reference is made to the description of the embodiment of the website security detection apparatus for the embodiment of the website security detection apparatus, and details are not repeated here.
In the following, an electronic device provided by an embodiment of the present application is introduced, and the electronic device described below and the method described above may be referred to correspondingly.
The application provides an electronic device, including:
a memory for storing a computer program;
and the processor is used for realizing the steps of the website security detection method when executing the computer program.
Since the embodiment of the electronic device portion corresponds to the embodiment of the website security detection method portion, please refer to the description of the embodiment of the website security detection method portion for the embodiment of the electronic device portion, which is not repeated here.
In the following, a storage medium provided by an embodiment of the present application is described, and the storage medium described below and the method described above may be referred to correspondingly.
The application provides a storage medium, wherein a computer program is stored on the storage medium, and when being executed by a processor, the computer program realizes the steps of the website security detection method.
Since the embodiment of the storage medium portion corresponds to the embodiment of the website security detection method portion, please refer to the description of the embodiment of the website security detection method portion for the embodiment of the storage medium portion, which is not repeated here.
The embodiments are described in a progressive manner in the specification, each embodiment focuses on differences from other embodiments, and the same and similar parts among the embodiments are referred to each other. The device disclosed by the embodiment corresponds to the method disclosed by the embodiment, so that the description is simple, and the relevant points can be referred to the method part for description.
Those of skill would further appreciate that the various illustrative elements and algorithm steps described in connection with the embodiments disclosed herein may be implemented as electronic hardware, computer software, or combinations of both, and that the various illustrative components and steps have been described above generally in terms of their functionality in order to clearly illustrate this interchangeability of hardware and software. Whether such functionality is implemented as hardware or software depends upon the particular application and design constraints imposed on the implementation. Skilled artisans may implement the described functionality in varying ways for each particular application, but such implementation decisions should not be interpreted as causing a departure from the scope of the present application.
The steps of a method or algorithm described in connection with the embodiments disclosed herein may be embodied directly in hardware, in a software module executed by a processor, or in a combination of the two. A software module may reside in Random Access Memory (RAM), memory, Read Only Memory (ROM), electrically programmable ROM, electrically erasable programmable ROM, registers, hard disk, a removable disk, a CD-ROM, or any other form of storage medium known in the art.
The website security detection method, the website security detection device, the electronic device and the storage medium provided by the present application are described in detail above. The principles and embodiments of the present application are explained herein using specific examples, which are provided only to help understand the method and the core idea of the present application. It should be noted that, for those skilled in the art, it is possible to make several improvements and modifications to the present application without departing from the principle of the present application, and such improvements and modifications also fall within the scope of the claims of the present application.

Claims (10)

1. A website security detection method is characterized by comprising the following steps:
obtaining a target website and threat degree coefficients of accessible links of the target website on each threat information platform;
calculating a final threat degree coefficient of the target website according to the threat degree coefficient;
and outputting the final threat degree coefficient of the target website.
2. The website security detection method according to claim 1, wherein calculating a final threat level coefficient of the target website according to the threat level coefficient includes:
distributing corresponding weights to the threat degree coefficients of each threat intelligence platform, and respectively calculating preliminary threat degree values of the target website and the accessible links by using a weighted average method;
and assigning corresponding weights to the preliminary threat degree value of the target website and the preliminary threat degree value of the accessible link, and calculating a final threat degree coefficient of the target website by using a weighted average method.
3. The website security detection method according to claim 2, wherein the preliminary threat level value of the target website and the preliminary threat level value of the accessible link are assigned with corresponding weights, and a final threat level coefficient of the target website is calculated by using a weighted average method, including:
setting respective corresponding weights of the preliminary threat degree values of the target website and the accessible link, so that the weight occupied by the target website is greater than the weight occupied by the accessible link;
and calculating a final threat degree coefficient of the target website by using a weighted average method according to the preliminary threat degree values of the target website and the accessible links and the corresponding weights.
4. The website security detection method according to claim 1, wherein the manner of obtaining the accessible link of the target website includes:
and analyzing the content of the a label in the target website by using an XPath tool to obtain the accessible link of the target website.
5. The website security detection method according to claim 1, wherein the obtaining of the threat level coefficient of the target website and the accessible link of the target website on a threat intelligence platform comprises:
acquiring initial threat degree coefficients of the target website and the accessible links on each threat intelligence platform;
and carrying out standardization processing on the initial threat degree coefficient by using a dispersion standardization method to obtain the threat degree coefficient corresponding to the target website and the accessible link.
6. The website security detection method according to any one of claims 1 to 5, further comprising, after outputting the final threat degree coefficient of the target website:
and dividing the threat level of the target website according to a preset threat level table and the final threat level coefficient, and outputting the threat level of the target website.
7. A website security detection apparatus, comprising:
the system comprises an acquisition module, a storage module and a processing module, wherein the acquisition module is used for acquiring a target website and threat degree coefficients of accessible links of the target website on each threat information platform;
the calculation module is used for calculating the final threat degree coefficient of the target website according to the threat degree coefficient;
and the output module is used for outputting the final threat degree coefficient of the target website.
8. The website security detection apparatus according to claim 7, further comprising:
and the dividing module is used for dividing the threat level of the target website according to a preset threat level table and the final threat level coefficient and outputting the threat level of the target website.
9. An electronic device, comprising:
a memory for storing a computer program;
a processor for implementing the steps of the website security detection method according to any one of claims 1 to 6 when executing the computer program.
10. A storage medium having stored thereon a computer program for implementing the steps of the website security detection method according to any one of claims 1 to 6 when executed by a processor.
CN202011002863.4A2020-09-222020-09-22Website security detection method and device, electronic equipment and storage mediumPendingCN112153043A (en)

Priority Applications (1)

Application NumberPriority DateFiling DateTitle
CN202011002863.4ACN112153043A (en)2020-09-222020-09-22Website security detection method and device, electronic equipment and storage medium

Applications Claiming Priority (1)

Application NumberPriority DateFiling DateTitle
CN202011002863.4ACN112153043A (en)2020-09-222020-09-22Website security detection method and device, electronic equipment and storage medium

Publications (1)

Publication NumberPublication Date
CN112153043Atrue CN112153043A (en)2020-12-29

Family

ID=73896177

Family Applications (1)

Application NumberTitlePriority DateFiling Date
CN202011002863.4APendingCN112153043A (en)2020-09-222020-09-22Website security detection method and device, electronic equipment and storage medium

Country Status (1)

CountryLink
CN (1)CN112153043A (en)

Citations (9)

* Cited by examiner, † Cited by third party
Publication numberPriority datePublication dateAssigneeTitle
CN101340434A (en)*2008-05-152009-01-07王瑞 Website malicious content detection and authentication method and system
US20100186088A1 (en)*2009-01-172010-07-22Jaal, LlcAutomated identification of phishing, phony and malicious web sites
US20100281536A1 (en)*2009-04-302010-11-04Bank Of America CorporationPhish probability scoring model
US20170279836A1 (en)*2016-03-252017-09-28Cisco Technology, Inc.Distributed feedback loops from threat intelligence feeds to distributed machine learning systems
CN107239701A (en)*2016-03-292017-10-10腾讯科技(深圳)有限公司Recognize the method and device of malicious websites
CN108460278A (en)*2018-02-132018-08-28北京奇安信科技有限公司A kind of threat information processing method and device
US20190387005A1 (en)*2017-03-102019-12-19Visa International Service AssociationIdentifying malicious network devices
CN110826837A (en)*2018-12-292020-02-21北京安天网络安全技术有限公司Method and device for evaluating real-time risk of website assets and storage medium
CN110868383A (en)*2018-12-242020-03-06北京安天网络安全技术有限公司Website risk assessment method and device, electronic equipment and storage medium

Patent Citations (9)

* Cited by examiner, † Cited by third party
Publication numberPriority datePublication dateAssigneeTitle
CN101340434A (en)*2008-05-152009-01-07王瑞 Website malicious content detection and authentication method and system
US20100186088A1 (en)*2009-01-172010-07-22Jaal, LlcAutomated identification of phishing, phony and malicious web sites
US20100281536A1 (en)*2009-04-302010-11-04Bank Of America CorporationPhish probability scoring model
US20170279836A1 (en)*2016-03-252017-09-28Cisco Technology, Inc.Distributed feedback loops from threat intelligence feeds to distributed machine learning systems
CN107239701A (en)*2016-03-292017-10-10腾讯科技(深圳)有限公司Recognize the method and device of malicious websites
US20190387005A1 (en)*2017-03-102019-12-19Visa International Service AssociationIdentifying malicious network devices
CN108460278A (en)*2018-02-132018-08-28北京奇安信科技有限公司A kind of threat information processing method and device
CN110868383A (en)*2018-12-242020-03-06北京安天网络安全技术有限公司Website risk assessment method and device, electronic equipment and storage medium
CN110826837A (en)*2018-12-292020-02-21北京安天网络安全技术有限公司Method and device for evaluating real-time risk of website assets and storage medium

Similar Documents

PublicationPublication DateTitle
CN110413908A (en)The method and apparatus classified based on web site contents to uniform resource locator
CN111565171B (en)Abnormal data detection method and device, electronic equipment and storage medium
CN109831459B (en)Method, device, storage medium and terminal equipment for secure access
CN110401660B (en)False flow identification method and device, processing equipment and storage medium
CN113839817A (en)Network asset risk assessment method, device and system
CN107766224B (en)Test method and test device
CN107204956A (en)website identification method and device
JP2018041442A (en)System and method for detecting web page abnormal element
CN116521511A (en)Risk code pre-detection method, device, equipment and storage medium
CN109670100B (en)Page data capturing method and device
WO2021135322A1 (en)Automatic question setting method, apparatus and system
CN114978757A (en)Alarm aggregation method and device, electronic equipment and storage medium
CN111985192B (en) A Web attack report generation method, device, equipment and computer medium
CN111385272A (en) Method and device for detecting weak password
CN107786529B (en)Website detection method, device and system
CN112232719A (en)Index quantitative scoring method, computer equipment and storage medium
CN114697110A (en) A network attack detection method, device, equipment and storage medium
CN112153043A (en)Website security detection method and device, electronic equipment and storage medium
CN119025412A (en) Intelligent agent processing method, device, equipment and storage medium
CN117113348A (en)Threat detection code generation and use methods, apparatus, devices and media
CN108133046B (en)Data analysis method and device
CN115688111A (en)Safety test method, device, equipment and medium based on http request
CN112015946B (en) Video detection method, device, computing equipment and computer storage medium
CN113312750A (en)Method and device for acquiring environmental sensitivity of metal material
CN119420582B (en)Construction method, equipment and storage medium of self-feedback network security knowledge graph

Legal Events

DateCodeTitleDescription
PB01Publication
PB01Publication
SE01Entry into force of request for substantive examination
SE01Entry into force of request for substantive examination
RJ01Rejection of invention patent application after publication
RJ01Rejection of invention patent application after publication

Application publication date:20201229


[8]ページ先頭

©2009-2025 Movatter.jp