








技术领域technical field
本发明属于人居环境气流组织优化领域,涉及人工智能辅助智慧人居环境气流组织优化方法。The invention belongs to the field of air distribution optimization of human settlement environment, and relates to an artificial intelligence-assisted intelligent human settlement environment air distribution optimization method.
背景技术Background technique
空调系统除了给人们带来舒适的室内环境,也起到了通风除污的效果,为人们的工作和居住营造了一个相对健康的空间。面向建筑节能的总体要求,人们为了防止空气渗透而带来的建筑冷热负荷,不断提高建筑物的密封性,从而减少了室内外空气的交换,导致室内二氧化碳和其它气载污染物浓度不断升高,引发室内空气品质下降,这样的环境往往会导致居住人员产生不适反应和病症。相关研究表明通风可以大幅改善室内空气品质,减少室内空气污染,从而降低人员患病的概率。由于室内空气污染在散发后的分布主要受气流组织影响,而气流组织主要由建筑结构与通风系统的协同作用生成,因此人居环境气流组织优化既是健康、智慧建筑设计的重要一环,也是提高室内空气品质的重要手段。目前,针对室内气流组织优化的主要方法为借助计算流体力学软件(CFD)对采用不同通风方案的室内气流组织进行遍历式的模拟,针对每个通风方案或通风参数的微调都需要计算机重复一遍模拟迭代过程,对建筑设计人员而言费时费力。同时,由于模拟过程需要耗费大量计算资源,气流组织优化显然只能在有限数目的通风方案中筛选较优的方案,而该方案很可能仅是特定条件下的局部优化,气流组织的全局寻优很难实现。In addition to bringing people a comfortable indoor environment, the air conditioning system also has the effect of ventilation and decontamination, creating a relatively healthy space for people to work and live. Facing the general requirements of building energy conservation, people constantly improve the airtightness of the building in order to prevent the cooling and heating load of the building caused by air infiltration, thereby reducing the exchange of indoor and outdoor air, resulting in the continuous increase of indoor carbon dioxide and other airborne pollutant concentrations. High, causing the indoor air quality to decline, such an environment often leads to uncomfortable reactions and illnesses in the occupants. Relevant studies have shown that ventilation can greatly improve indoor air quality and reduce indoor air pollution, thereby reducing the probability of people getting sick. Since the distribution of indoor air pollution after emission is mainly affected by the air distribution, and the air distribution is mainly generated by the synergy of the building structure and the ventilation system, the optimization of air distribution in the living environment is not only an important part of healthy and smart building design, but also an important measure of indoor air quality. At present, the main method for indoor airflow organization optimization is to use computational fluid dynamics (CFD) software to conduct traversal simulation of indoor airflow organization with different ventilation schemes. For each ventilation scheme or fine-tuning of ventilation parameters, the computer needs to repeat the simulation. The iterative process is time-consuming and labor-intensive for architectural designers. At the same time, since the simulation process requires a lot of computing resources, the optimization of airflow organization can obviously only select the optimal solution from a limited number of ventilation solutions, and this solution is likely to be only a local optimization under specific conditions, and a global optimization of airflow organization. difficult to realize.
发明内容SUMMARY OF THE INVENTION
针对上述现有技术的缺点,本发明目的在于提供一种人工智能辅助智慧人居环境气流组织优化方法,通过人工智能的引入实现人居环境气流组织的快速、全局优化。所述智慧人居环境的是指通过人工智能的手段优化、营造的适宜人员居住的室内环境。In view of the above shortcomings of the prior art, the purpose of the present invention is to provide an artificial intelligence-assisted intelligent human settlement environment airflow organization optimization method, which realizes the rapid and global optimization of the human settlement environment airflow organization through the introduction of artificial intelligence. The smart living environment refers to an indoor environment that is optimized and created by means of artificial intelligence and is suitable for people to live in.
为达到上述目的,本发明采用的技术方案是:To achieve the above object, the technical scheme adopted in the present invention is:
首先,将建筑室内的几何数据、通风参数与其对应的流场信息数据进行快速组织归纳,通过机器学习的方式抽象出数据背后的隐藏关联;其次,定制基于机器学习的建筑环境性能化模拟工具,并将其应用于通风方案、建筑室内构造的初步推敲中。该方法可以指数化的减少复杂CFD的模拟时长,为室内气流组织全局优化提供决策支持。First, the geometric data, ventilation parameters and their corresponding flow field information data in the building are quickly organized and summarized, and the hidden associations behind the data are abstracted through machine learning; And apply it in the preliminary deliberation of ventilation scheme and building interior structure. This method can exponentially reduce the simulation time of complex CFD and provide decision support for the global optimization of indoor airflow organization.
本发明的技术方案主要包括:(1)建立建筑几何参数、通风参数与其对应的流场数据匹配对数据库;(2)将匹配对数据库划分为训练集、测试集两部分,通过机器学习的方法对数据库匹配对进行训练,抽象出数据背后的隐函数关系;(3)在测试集中挖掘建筑几何、通风参数与气流组织间的数学映射关系;(4)定制基于机器学习的性能化模拟工具实现通风参数改变下的气流组织实时同步获取,使气流组织全局寻优成为可能。The technical scheme of the present invention mainly includes: (1) establishing a database of matching pairs of building geometric parameters, ventilation parameters and their corresponding flow field data; (2) dividing the matching pair database into two parts: a training set and a test set, and through the method of machine learning Train the database matching pairs to abstract the implicit function relationship behind the data; (3) Mining the mathematical mapping relationship between building geometry, ventilation parameters and airflow organization in the test set; (4) Customize the implementation of machine learning-based performance-based simulation tools Real-time synchronous acquisition of airflow organization under changing ventilation parameters makes it possible to optimize airflow organization globally.
进一步,包括:Further, include:
(1)建立建筑几何参数、通风参数与其对应的流场数据组成的匹配对数据库:(1) Establish a matching pair database composed of building geometric parameters, ventilation parameters and their corresponding flow field data:
(1.1)在已公开的CFD模拟得到的各类建筑室内气流组织中,提取建筑几何参数、通风参数与其对应的流场数据,构造由三类数据组成的匹配对数据库,其中针对不同工况的三类数据均是一一对应关系,即在一组建筑几何参数和设定的通风参数下,其对应的流场数据是唯一的。(1.1) Extract the building geometric parameters, ventilation parameters and their corresponding flow field data from the various types of indoor air flow structures obtained by the published CFD simulation, and construct a matching pair database consisting of three types of data. The three types of data are all in a one-to-one correspondence, that is, under a set of building geometric parameters and set ventilation parameters, the corresponding flow field data is unique.
(1.2)所述建筑几何参数为由建筑外形尺寸,内部构造组成的多维向量X;所述通风参数是由风口位置、风速、角度组成的三维向量Y;所述气流场数据为CFD网格节点上的速度矢量构成的多维矩阵Pv。(1.2) The building geometric parameter is a multi-dimensional vector X composed of the building's external dimensions and internal structure; the ventilation parameter is a three-dimensional vector Y composed of the tuyere position, wind speed, and angle; The airflow field data is a CFD grid node The multidimensional matrix Pv consisting of the velocity vectors on .
(1.3)匹配对数据库中的建筑几何参数、通风参数作为输入数据集,可简化为为n维输入变量(n=x+y),气流场数据作为输出数据集y(k)。(1.3) The matching pairs of building geometric parameters and ventilation parameters in the database are used as input data sets, which can be simplified as is an n-dimensional input variable (n=x+y), and the airflow field data is taken as the output data set y(k) .
(1.4)将匹配对数据库拆分为训练集Ttrain和测试集Ttest两部分。(1.4) Split the matching pair database into two parts: training set Ttrain and test set Ttest .
即匹配对数据库T为:That is, the matching pair database T is:
T=TTrain∪TTest (1)T=TTrain ∪TTest (1)
(1.5)已公开的新的CFD模拟数据可随时添加进匹配对数据库中扩充学习样本数量。(1.5) New CFD simulation data that have been published can be added to the matching pair database at any time to expand the number of learning samples.
(2)运用多个自编码网络堆栈而成的机器学习模型对匹配对数据库中的数据集合进行学习,抽象出数据背后的隐函数关系。(2) Use a machine learning model composed of multiple self-encoding network stacks to learn the data set in the matching pair database, and abstract the implicit function relationship behind the data.
(2.1)自编码网络是一种无监督的神经网络,包含输入层、隐含层和输出层。该网络通过对原始特征的自学习,获得有限数量的特征表示,并利用这些特征表示达到重构输入的目的。(2.1) The self-encoding network is an unsupervised neural network that includes an input layer, a hidden layer and an output layer. The network obtains a limited number of feature representations through self-learning of the original features, and uses these feature representations to reconstruct the input.
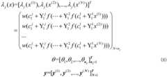
(2.2)自编码网络的参数学习分为两个过程:编码过程与解码过程。在编码过程中,首先对隐含层λ1(x)进行自学习,其中λ1(x)的计算公式如下:(2.2) The parameter learning of the self-encoding network is divided into two processes: the encoding process and the decoding process. In the encoding process, the hidden layer λ1 (x) is self-learned first, and the calculation formula of λ1 (x) is as follows:
λ1(x)=w(Y1x+c1) (2)λ1 (x)=w(Y1 x+c1 ) (2)
其中,Y1为编码矩阵,c1为编码偏置向量,w(·)为tan h函数。Among them, Y1 is the coding matrix, c1 is the coding bias vector, and w(·) is the tan h function.
(2.3)具有M个隐含层的自编码网络结构图如图1所示。解码过程则是通过确定解码矩阵来实现将隐含层表示λ1(x)解码为重构数据λ2(x)的过程,重构数据λ2(x)的输出公式为(2.3) The structure diagram of the self-encoding network with M hidden layers is shown in Figure 1. The decoding process is to realize the process of decoding the hidden layer representation λ1 (x) into the reconstructed data λ2 (x) by determining the decoding matrix. The output formula of the reconstructed data λ2 (x) is:
λ2(x)=f(Y2x+c2) (3)λ2 (x)=f(Y2 x+c2 ) (3)
其中,Y2为解码矩阵,c2为解码偏置向量,f(·)为tan h函数。Among them, Y2 is the decoding matrix, c2 is the decoding bias vector, and f(·) is the tan h function.
自编码网络学习过程通过最小化如下所示的均方误差代价函数实现网络参数的优化过程,即The self-encoding network learning process realizes the optimization process of network parameters by minimizing the mean square error cost function as shown below, i.e.
因此,自编码网络的最优参数集可转化为求解如下优化问题Therefore, the optimal parameter set of the autoencoder network can be transformed into solving the following optimization problem
该优化问题一般通过BP神经网络算法求解。在此基础上堆栈多个自编码网络即可得到用于挖掘数据隐函数关系的机器学习模型。This optimization problem is generally solved by BP neural network algorithm. On this basis, stacking multiple auto-encoding networks can obtain a machine learning model for mining data implicit function relationships.
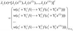
(2.4)具有j个隐含层的堆栈自编码学习网络的结构及训练方法如图2所示。(2.4) The structure and training method of the stacked autoencoder learning network with j hidden layers are shown in Figure 2.
在训练集TTest中,该模型在第j个隐含层上的最终输出可以表示为:In the training set TTest , the final output of the model on the jth hidden layer can be expressed as:
其中,与(j=1,2,…,m)分别为第j个自编码网络的编码矩阵与编码偏置向量,w(·)为tan h函数。in, and (j=1,2,...,m) are the encoding matrix and encoding bias vector of the j-th self-encoding network, respectively, and w(·) is the tan h function.
以上机器学习模型(MLM)通过一种逐层预训练方法对网络参数进行学习,其如何挖掘输入与输出间的数学映射关系将在下节讨论。The above machine learning model (MLM) learns network parameters through a layer-by-layer pre-training method, and how to mine the mathematical mapping relationship between input and output will be discussed in the next section.
(3)在训练集、测试集中挖掘建筑几何、通风参数与气流组织间的数学映射关系:包括堆栈自编码网络预训练、输出权重的最小二乘学习两部分。(3) Mining the mathematical mapping relationship between building geometry, ventilation parameters and airflow organization in the training set and test set: including the pre-training of the stack autoencoder network and the least squares learning of the output weights.
(3.1)堆栈自编码网络预训练首先将MLM的第一层作为一个自编码网络来训练,将训练数据作为输入来最小化公式(4),并初始化χ=2。(3.1) Stacked Autoencoder Network Pre-training First, the first layer of the MLM is trained as an autoencoder network, the training data is used as input to minimize Eq. (4), and χ=2 is initialized.
(3.2)训练第χ层时,将作为输入来最小化公式(4)。(3.2) When training the xth layer, the as input to minimize equation (4).
(3.3)令χ=χ+1,并迭代(3.2)步;χ>j时停止迭代,转入(3.4)。(3.3) Let χ=χ+1, and iterate step (3.2); when χ>j, stop the iteration and go to (3.4).
(3.4)网络最终输出为将其作为学习模型输入。(3.4) The final output of the network is Input it as a learned model.
(3.5)在输入、输出数学映射关系挖掘部分,将采用最小二乘方法优化输出权重θ。当所有自编码网络参数均被确定后,输入数据集所对应的隐含层表示λj(x(k))为已知。在气流组织预测问题中,总是希望关于x(k)的估计值可以准确逼近实际输出y(k),将其写为如下公式:(3.5) In the mining part of the input and output mathematical mapping relationship, the least squares method will be used to optimize the output weight θ. When all autoencoded network parameters After all are determined, the input data set The corresponding hidden layer representation λj (x(k) ) is known. In airflow organization prediction problems, an estimate of x(k) is always desired The actual output y(k) can be approximated exactly, which can be written as the following formula:
其中,in,
即:which is:
λj(x)θ=y (7)λj (x)θ=y (7)
以上公式即描述了输入参数(建筑几何、通风参数)与输出参数(气流组织节点数据)的数学映射关系,其中隐函数λj(x)可由下式学习得到:The above formula describes the mathematical mapping relationship between input parameters (building geometry, ventilation parameters) and output parameters (airflow organization node data), where the implicit function λj (x) can be learned from the following formula:
根据矩阵论,最优的输出权重向量θ为公式的极小范数最小二乘解,即:According to matrix theory, the optimal output weight vector θ is the minimal norm least squares solution of the formula, namely:
θ=λj(x)↑y (9)θ=λj (x)↑ y (9)
公式(7)-(9)用于在给定输入建筑几何与通风参数的条件下,直接学习匹配输出的节点气流场数据。Equations (7)-(9) are used to directly learn to match the output node airflow field data given the input building geometry and ventilation parameters.
(4)定制基于机器学习的性能化模拟工具实现通风参数改变下的气流组织实时同步获取(4) Customize the performance-based simulation tool based on machine learning to realize real-time synchronous acquisition of airflow organization under the change of ventilation parameters
基于第2节和第3节的MLM模型,可以得到气流组织的性能化模拟工具。对某公共建筑的通风气流组织情况进行模拟,如图3所示,该建筑外形(长宽高)尺寸为25.4m×30m×4.5m,设有一套全空气系统,包含1套送风系统(SA1)及两套回风系统(RA1,RA2),送风系统末端有16个送风口,回风系统有8个回风口,送风口尺寸均为0.3m×0.3m,回风口尺寸均为0.4m×0.2m,排风口尺寸为0.63m×0.32m。采用SF6作为示踪气体模拟不同通风情况下的室内SF6浓度场,以标识气流组织情况。如图4A为以上机器学习模型模拟的所有风口全开场景下的SF6浓度分布,而图4B则为同一时刻部分风口关闭下的SF6浓度分布,在机器学习模型的辅助下,由图4A到图4B的模拟可以通过改变通风参数实时完成,而不需要再像传统的CFD模拟一样进行重复计算,大大节省了气流组织模拟所需时间,为气流组织的实时在线优化,比如控制某个区域的浓度低于某阈值提供了技术支持。Based on the MLM models in
由于采用上述技术方案,本发明具有以下技术效果:本申请的技术方案的优点为通过基于机器学习的人工智能算法的引入,可以大幅提高人居环境气流组织的模拟计算效率,减少气流组织优化所需时间,为智慧建筑室内环境全局优化提供一种新的技术手段和方法。本发明与现有的基于CFD的室内气流场模拟优化在主要技术路径方面完全不同,CFD主要基于流体动力学基本方程,利用计算机快速的计算能力得到流体控制方程的近似解;而本发明则基于已有建筑气流组织模拟数据库,通过机器学习的方式抽象出数据背后的隐藏关联,在模型充分训练的基础上,挖掘建筑几何、通风参数(风口位置、风速、面积等)与气流组织的数学映射关系,进而通过定制基于机器学习的性能化模拟工具实现通风参数改变下的气流组织实时同步获取,使气流组织全局寻优成为可能。在本发明中,CFD及相关实验的结果仅作为供机器学习训练的数据库。Due to the adoption of the above-mentioned technical solutions, the present invention has the following technical effects: the advantages of the technical solutions of the present application are that, through the introduction of an artificial intelligence algorithm based on machine learning, the simulation calculation efficiency of the airflow organization in the living environment can be greatly improved, and the air distribution optimization problem can be reduced. It takes time to provide a new technical means and method for the overall optimization of the indoor environment of smart buildings. The present invention is completely different from the existing CFD-based indoor airflow field simulation optimization in terms of main technical paths. CFD is mainly based on the basic equation of fluid dynamics, and the approximate solution of the fluid control equation is obtained by using the fast computing power of the computer; while the present invention is based on the basic equation of fluid dynamics. There is an existing building airflow organization simulation database, and the hidden relationship behind the data is abstracted through machine learning. On the basis of sufficient model training, the mathematical mapping of building geometry, ventilation parameters (air vent position, wind speed, area, etc.) and airflow organization is excavated. Then, by customizing the performance-based simulation tool based on machine learning, the real-time synchronous acquisition of airflow organization under the change of ventilation parameters makes it possible to optimize the airflow organization globally. In the present invention, the results of CFD and related experiments are only used as a database for machine learning training.
附图说明Description of drawings
图1为具有M个隐含层的自编码网络结构图。Figure 1 is a structural diagram of an auto-encoding network with M hidden layers.
图2为具有j个隐含层的堆栈自编码学习网络的结构及训练方法示意图。FIG. 2 is a schematic diagram of the structure and training method of a stacked autoencoder learning network with j hidden layers.
图3为设有一套全空气系统的某建筑的示意图。Figure 3 is a schematic diagram of a building with a full air system.
图4A为图3所示实施例机器学习模型模拟的所有风口全开场景下的SF6浓度分布图。FIG. 4A is a diagram showing the distribution of SF6 concentrations in a scenario where all air vents are fully opened simulated by the machine learning model of the embodiment shown in FIG. 3 .
图4B为图4A所示实施例机器学习模型模拟的同一时刻部分风口关闭下的SF6浓度分布图。FIG. 4B is a graph of the concentration distribution of SF6 when some of the air vents are closed at the same moment simulated by the machine learning model of the embodiment shown in FIG. 4A .
图5为本发明智慧人居环境气流组织优化方法的流程图。FIG. 5 is a flow chart of a method for optimizing airflow distribution in a smart living environment according to the present invention.
图6为某大型超市内部环境示意图。Figure 6 is a schematic diagram of the internal environment of a large supermarket.
图7A为图6所示大型超市机器学习模型模拟的所有风口全开场景下的CO2浓度分布图。FIG. 7A is a CO2 concentration distribution diagram under the scenario where all the air vents are fully opened simulated by the machine learning model of the large supermarket shown in FIG. 6 .
图7B为图7A中部分风口关闭时在同一时刻由机器学习模型模拟的CO2浓度分布图。FIG. 7B is a graph of the CO2 concentration distribution simulated by the machine learning model at the same moment when some of the air vents in FIG. 7A are closed.
具体实施方式Detailed ways
下面结合本发明的附图和实施例对本发明作进一步说明。The present invention will be further described below with reference to the accompanying drawings and embodiments of the present invention.
本发明智慧人居环境气流组织优化方法的流程图如图5所示。根据该流程所包含的步骤进行具体的气流组织学习优化,过程如下:FIG. 5 is a flow chart of the method for optimizing the airflow organization of the smart living environment according to the present invention. According to the steps included in the process, the specific airflow organization learning optimization is carried out, and the process is as follows:
S101、建立建筑几何参数、通风参数与其对应的流场数据组成的匹配对数据库,即在已公开的CFD模拟得到的各类建筑室内气流组织中,提取建筑几何参数、通风参数与其对应的流场数据,构造由三类数据组成的匹配对数据库。S101 , establishing a matching pair database composed of building geometric parameters, ventilation parameters and their corresponding flow field data, that is, extracting building geometric parameters, ventilation parameters and their corresponding flow fields from various types of building indoor air flow structures obtained by public CFD simulation data, construct a matching pair database consisting of three types of data.
具体地,对于如图6所示的大型超市内部环境而言,其建筑几何参数及内部构造可在上述CFD模拟的建模数据中提取,其构成多维向量X;同理其通风参数如风口位置、风速、角度也可从建模数据中提取,其构成多维向量Y;而气流场数据则需要从CFD模拟的该算例计算数据中提取,其由CFD网格节点上的速度矢量构成多维矩阵Pv。进一步地,将多维向量X和Y作为输入数据集,可简化为其为n维输入变量(n=x+y),而气多维矩阵Pv作为输出数据集y(k)。进一步地,可将以上由输入数据集x(k)和输出数据集y(k)组成的匹配对数据库T拆分为训练集Ttrain和测试集Ttest两部分,即Specifically, for the internal environment of a large supermarket as shown in Figure 6, its architectural geometric parameters and internal structure can be extracted from the modeling data of the above CFD simulation, which constitutes a multi-dimensional vector X; similarly, its ventilation parameters such as the position of the tuyere , wind speed, and angle can also be extracted from the modeling data, which constitute a multi-dimensional vector Y; while the airflow field data needs to be extracted from the calculation data of this example of CFD simulation, which is composed of the velocity vector on the CFD grid node. A multi-dimensional matrix Pv . Further, taking multidimensional vectors X and Y as input datasets, it can be simplified to It is the n-dimensional input variable (n=x+y), and the gas multidimensional matrixPv is the output dataset y(k) . Further, the above matching pair database T composed of the input data set x(k) and the output data set y(k) can be split into two parts, the training set Ttrain and the test set Ttest , namely,
T=TTrain∪TTestT=TTrain ∪TTest
进一步地,所述大型超市的模拟数据仅为介绍实施例所需,而已公开的各类人居环境(家居、办公室、大会议室)的CFD模拟数据可随时加入匹配对数据库中扩充学习样本数量。Further, the simulation data of the large supermarket is only required for the introduction of the embodiment, and the CFD simulation data of various types of living environments (home, office, large conference room) that have been disclosed can be added to the matching pair database at any time to expand the number of learning samples. .
S102、运用多个自编码网络堆栈而成的机器学习模型对匹配对数据库中的数据集合进行学习,抽象出数据背后的隐函数关系。S102. Use a machine learning model formed by stacking multiple self-encoding networks to learn the data set in the matching pair database, and abstract the implicit function relationship behind the data.
具体地,对于如图6所示的大型超市而言,自编码网络如图1所示,该网络具体包含1个输入层、1个隐含层、1个输出层,其参数学习可分为编码过程与解码过程。Specifically, for the large supermarket shown in Figure 6, the self-encoding network is shown in Figure 1. The network specifically includes 1 input layer, 1 hidden layer, and 1 output layer, and its parameter learning can be divided into Encoding process and decoding process.
其中,在编码过程中,首先对单个隐含层λ1(x)进行自学习,其中λ1(x)的计算公式如下:Among them, in the encoding process, self-learning is first performed on a single hidden layer λ1 (x), where the calculation formula of λ1 (x) is as follows:
λ1(x)=w(Y1x+c1)λ1 (x)=w(Y1 x+c1 )
式中,Y1为编码矩阵,c1为编码偏置向量,w(·)为tan h函数。In the formula, Y1 is the coding matrix, c1 is the coding bias vector, and w(·) is the tan h function.
解码过程则是通过确定解码矩阵来实现将单个隐含层表示λ1(x)解码为重构数据λ2(x)的过程,重构数据λ2(x)的输出公式为The decoding process is to realize the process of decoding a single hidden layer representation λ1 (x) into reconstructed data λ2 (x) by determining the decoding matrix. The output formula of the reconstructed data λ2 (x) is:
λ2(x)=f(Y2x+c2)λ2 (x)=f(Y2 x+c2 )
其中,Y2为解码矩阵,c2为解码偏置向量,f(·)为tan h函数。Among them, Y2 is the decoding matrix, c2 is the decoding bias vector, and f(·) is the tan h function.
进一步地,自编码网络学习过程通过最小化如下所示的均方误差代价函数实现网络参数的优化过程,即Further, the self-encoding network learning process realizes the optimization process of network parameters by minimizing the mean square error cost function as shown below, namely,
因此,自编码网络的最优参数集可转化为求解如下优化问题Therefore, the optimal parameter set of the autoencoder network can be transformed into solving the following optimization problem
本实施例采用已公开的标准BP神经网络算法求解该优化问题。In this embodiment, the published standard BP neural network algorithm is used to solve the optimization problem.
进而对于本实施例,其由含有5个隐含层的堆栈自编码学习网络构成学习模块,堆栈自编码学习网络结构及训练方法如图2所示。Furthermore, for this embodiment, a learning module is formed by a stacked self-encoding learning network including 5 hidden layers, and the structure and training method of the stacked self-encoding learning network are shown in FIG. 2 .
在训练集TTest中,该模型在第5个隐含层上的最终输出可以表示为:In the training set TTest , the final output of the model on the 5th hidden layer can be expressed as:
其中,与分别为第5个自编码网络的编码矩阵与编码偏置向量,w(·)为tanh函数。以上机器学习模型通过逐层预训练算法对网络参数进行学习,其如何挖掘输入与输出间的数学映射关系将在S103中详述。in, and are the encoding matrix and encoding bias vector of the fifth auto-encoding network, respectively, and w( ) is the tanh function. The above machine learning model learns the network parameters through a layer-by-layer pre-training algorithm, and how to mine the mathematical mapping relationship between the input and the output will be described in detail in S103.
S103、在训练集、测试集中挖掘建筑几何、通风参数与气流组织间的数学映射关系:包括堆栈自编码网络预训练、输出权重的最小二乘学习两部分。S103 , mining the mathematical mapping relationship between building geometry, ventilation parameters and airflow organization in the training set and the test set: including two parts of stack autoencoding network pre-training and least squares learning of output weights.
具体地,对于如图6所示的大型超市而言,其涉及的堆栈自编码网络预训练首先将MLM的第一层作为一个自编码网络来训练,将训练数据作为输入来最小化公式(4),并初始化χ=2。网络共训练5层,其中训练第χ层时,将作为输入来最小化公式(4)。并令χ=χ+1,并迭代(3.2)步;χ>5时停止迭代,转入(3.4)。网络最终输出为将其作为学习模型输入。Specifically, for the large supermarket as shown in Fig. 6, the stacking auto-encoding network pre-training involved firstly trains the first layer of the MLM as an auto-encoding network, and takes the training data as input to minimize the formula (4 ), and initialize χ=2. The network trains a total of 5 layers, and when training the χth layer, the as input to minimize equation (4). And let χ=χ+1, and iterate step (3.2); stop the iteration when χ>5, and go to (3.4). The final output of the network is Input it as a learned model.
进一步地,在输入、输出数学映射关系挖掘部分,将采用最小二乘方法优化输出权重θ。当所有自编码网络参数均被确定后,输入数据集所对应的隐含层表示λj(x(k))为已知。在气流组织预测问题中,总是希望关于x(k)的估计值可以准确逼近实际输出y(k),将其写为如下公式:Further, in the mining part of the mathematical mapping relationship between input and output, the least squares method will be used to optimize the output weight θ. When all autoencoded network parameters After all are determined, the input data set The corresponding hidden layer representation λj (x(k) ) is known. In airflow organization prediction problems, an estimate of x(k) is always desired The actual output y(k) can be approximated exactly, which can be written as the following formula:
其中,in,
即:which is:
λj(x)θ=y(j=1,2…5)λj (x)θ=y(j=1,2…5)
以上公式即描述了如图6所示大型超市的输入参数(建筑几何、通风参数)与输出参数(气流组织节点数据)的数学映射关系,其中隐函数λj(x)可由下式学习得到:The above formula describes the mathematical mapping relationship between the input parameters (building geometry, ventilation parameters) and output parameters (airflow organization node data) of the large supermarket as shown in Figure 6, where the implicit function λj (x) can be learned from the following formula:
最后,根据矩阵论,最优的输出权重向量θ为公式的极小范数最小二乘解,即:Finally, according to matrix theory, the optimal output weight vector θ is the minimal norm least squares solution of the formula, namely:
θ=λj(x)↑yθ=λj (x)↑ y
以上公式即表示在自学习网络λj(x)↑经过充分训练且最优输出权重向量θ已确定的基础上,给定输入建筑几何与通风参数数据集x(k),即可学习匹配输出节点气流场数据集y(k)。The above formula means that on the basis that the self-learning network λj (x)↑ has been fully trained and the optimal output weight vector θ has been determined, given the input data set x(k) of building geometry and ventilation parameters, the matching output can be learned. Nodal airflow field dataset y(k) .
S104、定制基于机器学习的性能化模拟工具实现通风参数改变下的气流组织实时同步获取。S104 , customizing a performance-based simulation tool based on machine learning to achieve real-time synchronous acquisition of airflow organization under changing ventilation parameters.
具体地,该性能化模拟工具由对以上所述的机器学习过程进行软件封装实现。对于如图6所示的大型超市,其建筑几何参数与通风参数可由CFD模型数据直接提取,气流场数据也可由CFD对该模型的计算数据提取,通过以上实施例步骤,可首先实现当风口全开的室内CO2浓度(图7A所示),而当部分风口关闭时的室内CO2浓度(图7B所示)则可通过改变通风参数实时完成,而不需要再像传统的CFD模拟一样进行重新计算。Specifically, the performance-based simulation tool is implemented by encapsulating the above-mentioned machine learning process in software. For the large supermarket as shown in Figure 6, the building geometric parameters and ventilation parameters can be directly extracted from the CFD model data, and the airflow field data can also be extracted from the CFD calculation data of the model. Open indoorCO2 concentration (shown in Figure 7A), and indoorCO2 concentration when some of the vents are closed (shown in Figure 7B) can be done in real time by changing ventilation parameters, without the need for traditional CFD simulations. recalculate.
上述的对实施例的描述是为便于该技术领域的普通技术人员能理解和使用发明。熟悉本领域技术的人员显然可以容易地对这些实施例做出各种修改,并把在此说明的一般原理应用到其它实施例中而不必经过创造性的劳动。因此,本发明不限于上述实施例,本领域技术人员根据本发明的揭示,不脱离本发明范畴所做出的改进和修改都应该在本发明的保护范围之内。The foregoing description of the embodiments is provided to facilitate understanding and use of the invention by those of ordinary skill in the art. It will be apparent to those skilled in the art that various modifications to these embodiments can be readily made, and the generic principles described herein can be applied to other embodiments without inventive step. Therefore, the present invention is not limited to the above-mentioned embodiments, and improvements and modifications made by those skilled in the art according to the disclosure of the present invention without departing from the scope of the present invention should all fall within the protection scope of the present invention.
| Application Number | Priority Date | Filing Date | Title |
|---|---|---|---|
| CN202010919008.3ACN112149364B (en) | 2020-09-04 | 2020-09-04 | Intelligent human residential environment airflow organization optimization method |
| Application Number | Priority Date | Filing Date | Title |
|---|---|---|---|
| CN202010919008.3ACN112149364B (en) | 2020-09-04 | 2020-09-04 | Intelligent human residential environment airflow organization optimization method |
| Publication Number | Publication Date |
|---|---|
| CN112149364Atrue CN112149364A (en) | 2020-12-29 |
| CN112149364B CN112149364B (en) | 2022-11-29 |
| Application Number | Title | Priority Date | Filing Date |
|---|---|---|---|
| CN202010919008.3AActiveCN112149364B (en) | 2020-09-04 | 2020-09-04 | Intelligent human residential environment airflow organization optimization method |
| Country | Link |
|---|---|
| CN (1) | CN112149364B (en) |
| Publication number | Priority date | Publication date | Assignee | Title |
|---|---|---|---|---|
| CN113158593A (en)* | 2021-04-13 | 2021-07-23 | 中南建筑设计院股份有限公司 | Intelligent design method of hospital ward ventilation system based on artificial intelligence |
| CN113204827A (en)* | 2021-05-31 | 2021-08-03 | 升维科技有限公司 | Building energy-saving design method and system based on BIM |
| WO2022210516A1 (en)* | 2021-03-31 | 2022-10-06 | ダイキン工業株式会社 | Visualization system, and program |
| Publication number | Priority date | Publication date | Assignee | Title |
|---|---|---|---|---|
| CN103049612A (en)* | 2012-12-24 | 2013-04-17 | 江苏大学 | Building indoor environment optimization method based on model order reduction technology |
| CN104633856A (en)* | 2015-01-27 | 2015-05-20 | 天津大学 | Method for controlling artificial environment by combining CFD numerical simulation and BP neural network |
| US20180284752A1 (en)* | 2016-05-09 | 2018-10-04 | StrongForce IoT Portfolio 2016, LLC | Methods and systems for industrial internet of things data collection in downstream oil and gas environment |
| CN111191316A (en)* | 2020-01-06 | 2020-05-22 | 沈阳建筑大学 | Response surface-based building natural ventilation performance optimization model and optimization method |
| Publication number | Priority date | Publication date | Assignee | Title |
|---|---|---|---|---|
| CN103049612A (en)* | 2012-12-24 | 2013-04-17 | 江苏大学 | Building indoor environment optimization method based on model order reduction technology |
| CN104633856A (en)* | 2015-01-27 | 2015-05-20 | 天津大学 | Method for controlling artificial environment by combining CFD numerical simulation and BP neural network |
| US20180284752A1 (en)* | 2016-05-09 | 2018-10-04 | StrongForce IoT Portfolio 2016, LLC | Methods and systems for industrial internet of things data collection in downstream oil and gas environment |
| CN111191316A (en)* | 2020-01-06 | 2020-05-22 | 沈阳建筑大学 | Response surface-based building natural ventilation performance optimization model and optimization method |
| Title |
|---|
| HUANG JIANCA等: "3D Topography Measurement and Completion Method of Blast Furnace Burden Surface Using High-Temperature Industrial Endoscope", 《IEEE》* |
| Publication number | Priority date | Publication date | Assignee | Title |
|---|---|---|---|---|
| WO2022210516A1 (en)* | 2021-03-31 | 2022-10-06 | ダイキン工業株式会社 | Visualization system, and program |
| JP2022159090A (en)* | 2021-03-31 | 2022-10-17 | ダイキン工業株式会社 | Visualization system, and program |
| JP7161138B2 (en) | 2021-03-31 | 2022-10-26 | ダイキン工業株式会社 | Visualization system and program |
| US12025330B2 (en) | 2021-03-31 | 2024-07-02 | Daikin Industries, Ltd. | Visualization system for target area of air conditioner |
| EP4318295A4 (en)* | 2021-03-31 | 2024-10-02 | Daikin Industries, Ltd. | Visualization system, and program |
| CN113158593A (en)* | 2021-04-13 | 2021-07-23 | 中南建筑设计院股份有限公司 | Intelligent design method of hospital ward ventilation system based on artificial intelligence |
| CN113158593B (en)* | 2021-04-13 | 2023-02-07 | 中南建筑设计院股份有限公司 | Intelligent design method of hospital ward ventilation system based on artificial intelligence |
| CN113204827A (en)* | 2021-05-31 | 2021-08-03 | 升维科技有限公司 | Building energy-saving design method and system based on BIM |
| CN113204827B (en)* | 2021-05-31 | 2023-09-05 | 山东华烨规划建筑设计有限公司 | Building energy-saving design method and system based on BIM |
| Publication number | Publication date |
|---|---|
| CN112149364B (en) | 2022-11-29 |
| Publication | Publication Date | Title |
|---|---|---|
| Xu et al. | Prediction and optimization of heating and cooling loads in a residential building based on multi-layer perceptron neural network and different optimization algorithms | |
| Utkucu et al. | Interoperability and data exchange within BIM platform to evaluate building energy performance and indoor comfort | |
| Li et al. | An ANN-based fast building energy consumption prediction method for complex architectural form at the early design stage | |
| Gao et al. | Interpretable deep learning models for hourly solar radiation prediction based on graph neural network and attention | |
| Zhang et al. | A parametric approach for performance optimization of residential building design in Beijing | |
| CN112149364B (en) | Intelligent human residential environment airflow organization optimization method | |
| Yu et al. | Application of multi-objective genetic algorithm to optimize energy efficiency and thermal comfort in building design | |
| CN103049612B (en) | Building indoor environment optimization method based on model order reduction technology | |
| Wang et al. | BIM-based automated design for HVAC system of office buildings—An experimental study | |
| CN112605973A (en) | Robot motor skill learning method and system | |
| Lu et al. | Graph convolutional networks-based method for estimating design loads of complex buildings in the preliminary design stage | |
| CN113158593B (en) | Intelligent design method of hospital ward ventilation system based on artificial intelligence | |
| CN117574785A (en) | Zero-carbon building multi-objective optimization method based on machine learning hybrid modeling | |
| Zhao et al. | Construction cost prediction based on genetic algorithm and BIM | |
| CN107977711B (en) | A multi-agent genetic method for "three-line" collaborative optimization | |
| CN106162868A (en) | High efficiency indoor localization method based on location fingerprint | |
| CN116187175B (en) | Power transformation and distribution station neural network identification method based on electrical industry knowledge graph | |
| Zhao et al. | Research on Energy‐Saving Design Method of Green Building Based on BIM Technology | |
| Zhang | Energy-saving parameterized design of buildings based on genetic algorithm | |
| CN117556725A (en) | Flow field prediction method and system | |
| Xu | Sustainability Enhancement in Healthcare Facility Design: Structural and Functional Optimization Based on GCN | |
| Liu et al. | Research on green building design optimization based on building information modeling and improved genetic algorithm | |
| Song et al. | A novel robust heating load prediction algorithm based on hybrid residual network and temporal fusion transformer model | |
| Zhang | Research on the use of BIM technology in green building design based on neural network learning | |
| Gui et al. | Visual comfort generative design framework based on parametric network in underground space |
| Date | Code | Title | Description |
|---|---|---|---|
| PB01 | Publication | ||
| PB01 | Publication | ||
| SE01 | Entry into force of request for substantive examination | ||
| SE01 | Entry into force of request for substantive examination | ||
| GR01 | Patent grant | ||
| GR01 | Patent grant |