Movatterモバイル変換


[0]ホーム

URL:


CN112146228A - Control method and device of air conditioner and storage medium - Google Patents

Control method and device of air conditioner and storage medium
Download PDF

Info

Publication number
CN112146228A
CN112146228ACN202011031856.7ACN202011031856ACN112146228ACN 112146228 ACN112146228 ACN 112146228ACN 202011031856 ACN202011031856 ACN 202011031856ACN 112146228 ACN112146228 ACN 112146228A
Authority
CN
China
Prior art keywords
model
air conditioner
user
electricity price
information
Prior art date
Legal status (The legal status is an assumption and is not a legal conclusion. Google has not performed a legal analysis and makes no representation as to the accuracy of the status listed.)
Granted
Application number
CN202011031856.7A
Other languages
Chinese (zh)
Other versions
CN112146228B (en
Inventor
王玉宾
宋德超
陈翀
岳冬
Current Assignee (The listed assignees may be inaccurate. Google has not performed a legal analysis and makes no representation or warranty as to the accuracy of the list.)
Gree Electric Appliances Inc of Zhuhai
Zhuhai Lianyun Technology Co Ltd
Original Assignee
Gree Electric Appliances Inc of Zhuhai
Zhuhai Lianyun Technology Co Ltd
Priority date (The priority date is an assumption and is not a legal conclusion. Google has not performed a legal analysis and makes no representation as to the accuracy of the date listed.)
Filing date
Publication date
Application filed by Gree Electric Appliances Inc of Zhuhai, Zhuhai Lianyun Technology Co LtdfiledCriticalGree Electric Appliances Inc of Zhuhai
Priority to CN202011031856.7ApriorityCriticalpatent/CN112146228B/en
Publication of CN112146228ApublicationCriticalpatent/CN112146228A/en
Application grantedgrantedCritical
Publication of CN112146228BpublicationCriticalpatent/CN112146228B/en
Activelegal-statusCriticalCurrent
Anticipated expirationlegal-statusCritical

Links

Images

Classifications

Landscapes

Abstract

The invention discloses a control method, equipment and a storage medium of an air conditioner, wherein the method comprises the following steps: acquiring environmental information at the current moment and physiological characteristic information of a user at the current moment; based on preset constraint conditions, solving a multi-target optimization model which is pre-constructed according to a user comfort model and an electricity price model by using the environmental information at the current moment and the physiological characteristic information of the user at the current moment to obtain an optimal solution of the multi-target optimization model as the environmental information at the next moment; determining the operation information of the air conditioner according to the environmental information at the current moment and the environmental information at the next moment; and controlling the air conditioner according to the operation information, so that the aim of saving energy is fulfilled while the comfort of a user is ensured. By adopting the technical scheme of the invention, the intellectualization of the air conditioner can be improved, and the energy consumption of the air conditioner can be reduced.

Description

Control method and device of air conditioner and storage medium
Technical Field
The invention belongs to the technical field of air conditioners, and particularly relates to a control method and equipment of an air conditioner and a storage medium.
Background
Air conditioners have become an indispensable indoor temperature adjusting device in life, but the air conditioners provide a comfortable environment for people and bring a lot of negative effects: the rapid increase of the electricity consumption and the long-term constant temperature and large temperature difference cause 'air conditioning diseases'. Most of the existing air conditioners mainly rely on active control of people to achieve the purposes of comfort and energy conservation, and the devices cannot be actively adjusted until users perceive discomfort, and particularly, active control cannot be performed in real time when the users are unconscious, so that the purposes of comfort and power consumption increase while the users cannot achieve.
Therefore, how to improve the intelligence of the air conditioner and reduce the energy consumption of the air conditioner is a technical problem to be solved urgently by the technical personnel in the field.
Disclosure of Invention
The invention mainly aims to provide a control method, equipment and a storage medium of an air conditioner, so as to solve the problems of low intellectualization and high energy consumption of the air conditioner in the prior art.
In view of the above problem, in a first aspect, the present invention provides a method for controlling an air conditioner, including:
acquiring environmental information at the current moment and physiological characteristic information of a user at the current moment;
based on preset constraint conditions, solving a pre-constructed multi-target optimization model by using the environmental information at the current moment and the physiological characteristic information of the user at the current moment to obtain the optimal solution of the multi-target optimization model as the environmental information at the next moment; the multi-target optimizing model is according to a user comfort level model and an electricity price model;
determining the operation information of the air conditioner according to the environmental information at the current moment and the environmental information at the next moment;
and controlling the air conditioner according to the operation information.
Further, in the control method of the air conditioner, the multi-target optimization model includes, according to a user comfort model and an electricity price model:
and weighting the user comfort level model and the electricity price model respectively and then summing to obtain the multi-target optimizing model.
Further, the control method of the air conditioner further includes:
and generating a weight value of the user comfort level model and a weight value of the electricity price model in response to weight settings respectively for the user comfort level model and the electricity price model.
Further, the control method of the air conditioner further includes:
acquiring user comfort level preference information and user energy-saving preference information;
and setting a weight value of the user comfort level model according to the user comfort level preference information, and setting a weight value of the electricity price model according to the user energy-saving preference information.
Further, in the control method of the air conditioner, before weighting and summing the user comfort level model and the electricity price model to obtain the multi-target optimization model, the method further includes:
normalizing the user comfort level model and the electricity price model to obtain a normalized user comfort level model and a normalized electricity price model;
correspondingly, the user comfort model and the electricity price model are weighted respectively and then summed to obtain the multi-target optimizing model, which comprises the following steps:
and weighting the normalized user comfort level model and the normalized electricity price model respectively and then summing to obtain the multi-target optimizing model.
Further, in the control method of an air conditioner, the constraint condition includes:
the operation power of the air conditioner is within a preset power range, and the comfort level of a user is within a preset comfort level range.
Further, in the control method of the air conditioner, the environmental information is an indoor temperature, and the user physiological characteristic information is a user body surface temperature;
the user comfort model is as follows:
comfort (t) ═ G (t), st (t)); wherein, t (t) is the indoor temperature at the time t, st (t) is the user body surface temperature at the time t, and comfort (t) is the user comfort at the time t;
further, in the control method of the air conditioner, the electricity price model is:
Figure BDA0002703942480000021
wherein C (t +1) is the total electricity price from t moment to t +1 moment, P (t +1) is the power value of the air conditioner at t +1 moment,
Figure BDA0002703942480000031
the real-time electricity price from the time T to the time T +1, and T (T +1) is the indoor temperature at the time T + 1.
Further, in the above method for controlling an air conditioner, controlling the air conditioner according to the operation information includes:
if the number of the operation information is multiple, performing weighted calculation on all the operation information according to the user weight value corresponding to each operation information to obtain target operation information;
and controlling the air conditioner according to the target operation information.
The invention also provides control equipment of the air conditioner, which comprises a memory and a processor;
the memory has stored thereon a computer program which, when executed by the processor, implements the steps of the control method of the air conditioner as set forth in any one of the above.
The present invention also provides a storage medium having stored thereon a computer program which, when executed by a processor, implements the steps of the control method of the air conditioner as set forth in any one of the above.
Compared with the prior art, one or more embodiments in the above scheme can have the following advantages or beneficial effects:
the control method, the equipment and the storage medium of the air conditioner of the invention acquire the environmental information at the current moment and the physiological characteristic information of the user at the current moment; the method comprises the steps of solving a multi-target optimizing model which is constructed in advance according to a user comfort level model and an electricity price model by utilizing environmental information at the current moment and user physiological characteristic information at the current moment, determining operation information of the air conditioner according to the environmental information at the current moment and the environmental information at the next moment after the optimal solution of the multi-target optimizing model is obtained and used as the environmental information at the next moment, and controlling the air conditioner according to the operation information, so that the purposes of ensuring the comfort of a user and saving energy are achieved. By adopting the technical scheme of the invention, the intellectualization of the air conditioner can be improved, and the energy consumption of the air conditioner can be reduced.
Additional features and advantages of the invention will be set forth in the description which follows, and in part will be obvious from the description, or may be learned by the practice of the invention. The objectives and other advantages of the invention will be realized and attained by the structure particularly pointed out in the written description and claims hereof as well as the appended drawings.
Drawings
The accompanying drawings, which are included to provide a further understanding of the invention and are incorporated in and constitute a part of this specification, illustrate embodiments of the invention and together with the description serve to explain the principles of the invention and not to limit the invention. In the drawings:
fig. 1 is a flowchart illustrating an embodiment of a control method of an air conditioner according to the present invention;
FIG. 2 is a schematic structural diagram of an embodiment of a control device of an air conditioner according to the present invention;
fig. 3 is a schematic structural diagram of an embodiment of a control apparatus of an air conditioner according to the present invention.
Detailed Description
The following detailed description of the embodiments of the present invention will be provided with reference to the drawings and examples, so that how to apply the technical means to solve the technical problems and achieve the technical effects can be fully understood and implemented. It should be noted that, as long as there is no conflict, the embodiments and the features of the embodiments of the present invention may be combined with each other, and the technical solutions formed are within the scope of the present invention.
Example one
In order to solve the technical problems in the prior art, embodiments of the present invention provide a control method for an air conditioner.
Fig. 1 is a flowchart of an embodiment of a control method of an air conditioner of the present invention, and as shown in fig. 1, the control method of the air conditioner of the present embodiment may specifically include the following steps:
100. acquiring environmental information at the current moment and physiological characteristic information of a user at the current moment;
in this embodiment, the environmental information of the area where the user is located at the current moment and the physiological characteristic information of the user at the current moment may be collected through various sensors. In this embodiment, the environmental information is preferably an indoor temperature, and the user physiological characteristic information is preferably a user body surface temperature.
101. Based on preset constraint conditions, solving a pre-constructed multi-target optimization model by using the environmental information at the current moment and the physiological characteristic information of the user at the current moment to obtain the optimal solution of the multi-target optimization model as the environmental information at the next moment;
after the environmental information at the current moment and the physiological characteristic information of the user at the current moment are obtained, a multi-target optimization model which is pre-constructed according to a user comfort level model and an electricity price model can be input, and the multi-target optimization model is solved based on a preset constraint condition to obtain the optimal solution of the multi-target optimization model as the environmental information at the next moment. The optimal solution of the embodiment may be the lowest electricity price or the highest comfort level or a minimum value obtained by integrating the electricity price and the comfort level. In this embodiment, the operating power of the air conditioner is within the preset power range, and the comfort level of the user is within the preset comfort level range.
For example, an ant colony algorithm may be used to obtain an optimal solution of the multi-target optimization model, and the obtained optimal solution may be used as the environmental information at the next time, so as to control the air conditioner with the environmental information at the next time as a target.
102. Determining the operation information of the air conditioner according to the environmental information at the current moment and the environmental information at the next moment;
specifically, the present embodiment describes the technical solution of the present invention by taking the environment information as the indoor temperature, and the operation information of the air conditioner includes the target operation power and the target operation time of the air conditioner as an example.
In this embodiment, the environmental information at the current time and the environmental information at the next time may be substituted into the pre-established association between the operating power of the air conditioner and the indoor temperature, so that the target operating power of the air conditioner may be obtained, and the target operating duration of the air conditioner may be determined according to the current time and the next time.
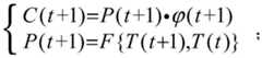
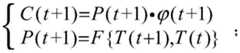
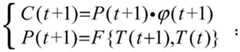
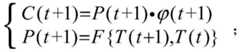
For example, the correlation between the air conditioner operation power and the indoor temperature in the present embodiment may be the following relation:
P(t+1)=F{T(t+1),T(t)};
wherein, P (T +1) is the target operating power of the air conditioner at the time T +1, T (T +1) is the environmental information at the time T +1, and T (T) is the environmental information at the time T.
103. And controlling the air conditioner according to the operation information of the air conditioner.
In the embodiment, the air conditioner can be controlled according to the determined operation information of the air conditioner, so that manual operation and control are avoided, a user does not need to actively switch the operation mode of the air conditioner, the comfort level required by the user can be met, and meanwhile, the cost for using the air conditioner is within the acceptance range of the user.
In this embodiment, when the air conditioner is controlled according to the operation information of the air conditioner, the cost for using the air conditioner may be obtained by referring to the following calculation formula:
Figure BDA0002703942480000051
wherein C (t) is the total electricity price,
Figure BDA0002703942480000052
is the real-time electricity price.
It should be noted that, in this embodiment, if the number of the running information is multiple, that is, there are multiple users, each user has different physiological characteristic information, and the requirements of different users are different, so in this embodiment, all the running information may be weighted according to the user weight value corresponding to each running information, so as to obtain the target running information; and controlling the air conditioner according to the target operation information.
For example, when a child and an adult are present simultaneously, the child comfort temperature is 27 ℃, the adult comfort temperature is 25 ℃, the child weight is 0.8, the adult weight is 0.2, and the weighted temperature is 26.6 ℃. The information of each user can be confirmed through face images, voiceprints and the like.
The control method of the air conditioner of the embodiment obtains the environmental information at the current moment and the physiological characteristic information of the user at the current moment; the method comprises the steps of solving a multi-target optimizing model which is constructed in advance according to a user comfort level model and an electricity price model by utilizing environmental information at the current moment and user physiological characteristic information at the current moment, determining operation information of the air conditioner according to the environmental information at the current moment and the environmental information at the next moment after the optimal solution of the multi-target optimizing model is obtained and used as the environmental information at the next moment, and controlling the air conditioner according to the operation information, so that the purposes of ensuring the comfort of a user and saving energy are achieved. By adopting the technical scheme of the invention, the intellectualization of the air conditioner can be improved, and the energy consumption of the air conditioner can be reduced.
Further, in the above embodiment, the user comfort model and the electricity price model may be weighted respectively and then summed to obtain the multi-objective optimization model. For example, the environmental information of the present embodiment is an indoor temperature, and the physiological characteristic information of the user is a body surface temperature of the user; the user comfort model may be:
comfort (t) ═ G (t), st (t)); wherein, t (t) is the indoor temperature at the time t, st (t) is the user body surface temperature at the time t, and comfort (t) is the user comfort at the time t;
Figure BDA0002703942480000061
wherein C (t +1) is the total electricity price from t moment to t +1 moment, P (t +1) is the power value of the air conditioner at t +1 moment,
Figure BDA0002703942480000062
the real-time electricity price from the time T to the time T +1, and T (T +1) is the indoor temperature at the time T + 1.
In practical application, because the values of the electricity price and the comfort level are not uniform, in this embodiment, before the step of weighting the user comfort level model and the electricity price model respectively and then summing the weighted models to obtain the multi-target optimization searching model is executed, the user comfort level model and the electricity price model are normalized to obtain a normalized user comfort level model and a normalized electricity price model, and thus, the normalized user comfort level model and the normalized electricity price model are weighted respectively and then summed to obtain the multi-target optimization searching model.
For example, the multi-target optimization model of this embodiment may correspond to the following functional relation:
H(t)=αC'(t)+βComfort'(t);
where C '(t) is a normalized electricity price model, α is a weight value of C' (t), Comfort '(t) is a normalized user Comfort model, and β is a weight value of Comfort' (t).
In this embodiment, based on a preset constraint condition, the pre-constructed multi-target optimization model is solved by using the environmental information at the current time and the physiological characteristic information of the user at the current time, so as to obtain a minimum value of h (t), where the minimum value is the environmental information at the next time, and under the environmental information at the next time, when the air conditioner operates at the target operating power, the electricity price corresponding to the air conditioner is within an energy saving range acceptable to the user.
In a specific implementation process, the user can set the weight of the user comfort model and the weight of the electricity price model according to the own requirements, and at the moment, the weight setting aiming at the user comfort model and the weight setting aiming at the electricity price model can be responded to respectively to generate the weight value of the user comfort model and the weight value of the electricity price model.
In addition, in the embodiment, historical data of the air conditioner used by the user can be analyzed to obtain user comfort preference information and user energy-saving preference information; and setting a weight value of the user comfort level model according to the user comfort level preference information, and setting a weight value of the electricity price model according to the user energy-saving preference information.
In this embodiment, h (t) is a weighting of comfort level and electricity price, since all energy saving is established on the basis of sacrificing comfort level, the comfort level has a reasonable range to represent the acceptable degree of the user, when α is greater than β, it is determined that energy saving is dominant, and it is sufficient at the edge of the comfort level region, otherwise, it is determined that the optimal comfort level is ensured.
It should be noted that the method of the embodiment of the present invention may be executed by a single device, such as a computer or a server. The method of the embodiment can also be applied to a distributed scene and completed by the mutual cooperation of a plurality of devices. In the case of such a distributed scenario, one device of the multiple devices may only perform one or more steps of the method according to the embodiment of the present invention, and the multiple devices interact with each other to complete the method.
Example two
In order to solve the technical problems in the prior art, embodiments of the present invention provide a control device for an air conditioner.
Fig. 2 is a schematic structural diagram of a control device of an air conditioner according to an embodiment of the present invention. As shown in fig. 2, the control apparatus of the air conditioner of the present embodiment may include an obtainingmodule 20, a solvingmodule 21, a determiningmodule 22, and acontrol module 23.
An obtainingmodule 20, configured to obtain environmental information at a current time and user physiological characteristic information at the current time;
the solvingmodule 21 is configured to solve the pre-constructed multi-target optimization model by using the environmental information at the current time and the physiological characteristic information of the user at the current time based on a preset constraint condition, and obtain an optimal solution of the multi-target optimization model as the environmental information at the next time; the multi-target optimizing model is according to a user comfort level model and an electricity price model; the operation power of the air conditioner is within a preset power range, and the comfort level of a user is within a preset comfort level range;
the determiningmodule 22 is configured to determine the operation information of the air conditioner according to the environmental information at the current time and the environmental information at the next time;
and thecontrol module 23 is used for controlling the air conditioner according to the operation information of the air conditioner.
In a specific implementation process, if the number of the operation information is multiple, performing weighted calculation on all the operation information according to a user weight value corresponding to each operation information to obtain target operation information; and controlling the air conditioner according to the target operation information.
The control device of the air conditioner of the embodiment acquires the environmental information at the current moment and the physiological characteristic information of the user at the current moment; the multi-target optimizing model which is pre-constructed according to the user comfort level model and the electricity price model is solved by utilizing the environmental information at the current moment and the physiological characteristic information of the user at the current moment, after the optimal solution of the multi-target optimizing model is obtained to be used as the environmental information at the next moment, the operation information of the air conditioner is determined according to the environmental information at the current moment and the environmental information at the next moment, and the air conditioner is controlled according to the operation information, so that the aim of saving energy is fulfilled while the comfort of the user is ensured. By adopting the technical scheme of the invention, the intellectualization of the air conditioner can be improved, and the energy consumption of the air conditioner can be reduced.
Further, the solvingmodule 21 of this embodiment is further configured to weight the user comfort level model and the electricity price model respectively and then sum the weighted models to obtain a multi-objective optimization model.
In practical application, the weight values of the user comfort model and the electricity price model can be generated in response to the weight settings respectively for the user comfort model and the electricity price model. User comfort level preference information and user energy-saving preference information can also be acquired; and setting a weight value of the user comfort level model according to the user comfort level preference information, and setting a weight value of the electricity price model according to the user energy-saving preference information.
In a specific implementation process, the solvingmodule 21 is further configured to perform normalization processing on the user comfort level model and the electricity price model to obtain a normalized user comfort level model and a normalized electricity price model; correspondingly, the normalized user comfort level model and the normalized electricity price model can be weighted respectively and then summed to obtain the multi-target optimizing model.
In this embodiment, the environmental information is an indoor temperature, and the user physiological characteristic information is a user body surface temperature;
the user comfort model is:
comfort (t) ═ G (t), st (t)); wherein, t (t) is the indoor temperature at the time t, st (t) is the user body surface temperature at the time t, and comfort (t) is the user comfort at the time t;
the electricity price model is as follows:
Figure BDA0002703942480000081
wherein C (t +1) is the total electricity price from t moment to t +1 moment, P (t +1) is the power value of the air conditioner at t +1 moment,
Figure BDA0002703942480000082
the real-time electricity price from the time T to the time T +1, and T (T +1) is the indoor temperature at the time T + 1.
The apparatus of the foregoing embodiment is used to implement the corresponding method in the foregoing embodiment, and specific implementation schemes thereof may refer to the method described in the foregoing embodiment and relevant descriptions in the method embodiment, and have beneficial effects of the corresponding method embodiment, which are not described herein again.
EXAMPLE III
In order to solve the technical problems in the prior art, embodiments of the present invention provide a control device for an air conditioner.
Fig. 3 is a schematic structural diagram of an implementation of the control device of the air conditioner of the present invention, and as shown in fig. 3, the control device of the air conditioner of this embodiment may include a memory and a processor, where the memory stores a computer program, and the computer program is executed by the processor to implement the control method of the air conditioner of the above embodiment.
Example four
In order to solve the above technical problems in the prior art, embodiments of the present invention provide a storage medium.
The storage medium of the present embodiment stores thereon a computer program that realizes the control method of the air conditioner of the above-described embodiment when executed by a processor.
It is understood that the same or similar parts in the above embodiments may be mutually referred to, and the same or similar parts in other embodiments may be referred to for the content which is not described in detail in some embodiments.
It should be noted that the terms "first," "second," and the like in the description of the present invention are used for descriptive purposes only and are not to be construed as indicating or implying relative importance. Further, in the description of the present invention, the meaning of "a plurality" means at least two unless otherwise specified.
Any process or method descriptions in flow charts or otherwise described herein may be understood as representing modules, segments, or portions of code which include one or more executable instructions for implementing specific logical functions or steps of the process, and alternate implementations are included within the scope of the preferred embodiment of the present invention in which functions may be executed out of order from that shown or discussed, including substantially concurrently or in reverse order, depending on the functionality involved, as would be understood by those reasonably skilled in the art of the present invention.
It should be understood that portions of the present invention may be implemented in hardware, software, firmware, or a combination thereof. In the above embodiments, the various steps or methods may be implemented in software or firmware stored in memory and executed by a suitable instruction execution system. For example, if implemented in hardware, as in another embodiment, any one or combination of the following techniques, which are known in the art, may be used: a discrete logic circuit having a logic gate circuit for implementing a logic function on a data signal, an application specific integrated circuit having an appropriate combinational logic gate circuit, a Programmable Gate Array (PGA), a Field Programmable Gate Array (FPGA), or the like.
It will be understood by those skilled in the art that all or part of the steps carried by the method for implementing the above embodiments may be implemented by hardware related to instructions of a program, which may be stored in a computer readable storage medium, and when the program is executed, the program includes one or a combination of the steps of the method embodiments.
In addition, each functional unit in the embodiments of the present invention may be integrated in one processing module 32, or each unit may exist alone physically, or two or more units are integrated in one module. The integrated module can be realized in a hardware mode, and can also be realized in a software functional module mode. The integrated module, if implemented in the form of a software functional module and sold or used as a stand-alone product, may also be stored in a computer readable storage medium.
The storage medium mentioned above may be a read-only memory, a magnetic or optical disk, etc.
In the description herein, references to the description of the term "one embodiment," "some embodiments," "an example," "a specific example," or "some examples," etc., mean that a particular feature, structure, material, or characteristic described in connection with the embodiment or example is included in at least one embodiment or example of the invention. In this specification, the schematic representations of the terms used above do not necessarily refer to the same embodiment or example. Furthermore, the particular features, structures, materials, or characteristics described may be combined in any suitable manner in any one or more embodiments or examples.
Although the embodiments of the present invention have been described above, the above description is only for the convenience of understanding the present invention, and is not intended to limit the present invention. It will be understood by those skilled in the art that various changes in form and details may be made therein without departing from the spirit and scope of the invention as defined by the appended claims.

Claims (11)

1. A control method of an air conditioner, comprising:
acquiring environmental information at the current moment and physiological characteristic information of a user at the current moment;
based on preset constraint conditions, solving a pre-constructed multi-target optimization model by using the environmental information at the current moment and the physiological characteristic information of the user at the current moment to obtain the optimal solution of the multi-target optimization model as the environmental information at the next moment; the multi-target optimizing model is according to a user comfort level model and an electricity price model;
determining the operation information of the air conditioner according to the environmental information at the current moment and the environmental information at the next moment;
and controlling the air conditioner according to the operation information.
2. The control method of an air conditioner according to claim 1, wherein the multi-objective optimization model includes, according to a user comfort model and a power rate model:
and weighting the user comfort level model and the electricity price model respectively and then summing to obtain the multi-target optimizing model.
3. The control method of an air conditioner according to claim 2, further comprising:
and generating a weight value of the user comfort level model and a weight value of the electricity price model in response to weight settings respectively for the user comfort level model and the electricity price model.
4. The control method of an air conditioner according to claim 2, further comprising:
acquiring user comfort level preference information and user energy-saving preference information;
and setting a weight value of the user comfort level model according to the user comfort level preference information, and setting a weight value of the electricity price model according to the user energy-saving preference information.
5. The method as claimed in claim 2, wherein before weighting and summing the user comfort model and the electricity price model to obtain the multi-objective optimization model, the method further comprises:
normalizing the user comfort level model and the electricity price model to obtain a normalized user comfort level model and a normalized electricity price model;
correspondingly, the user comfort model and the electricity price model are weighted respectively and then summed to obtain the multi-target optimizing model, which comprises the following steps:
and weighting the normalized user comfort level model and the normalized electricity price model respectively and then summing to obtain the multi-target optimizing model.
6. The control method of an air conditioner according to claim 1, wherein the constraint condition includes:
the operation power of the air conditioner is within a preset power range, and the comfort level of a user is within a preset comfort level range.
7. The control method of an air conditioner according to claim 1, wherein the environmental information is an indoor temperature, and the user physiological characteristic information is a user body surface temperature;
the user comfort model is as follows:
comfort (t) ═ G (t), st (t)); wherein, t (t) is the indoor temperature at the time t, st (t) is the user body surface temperature at the time t, and comfort (t) is the user comfort at the time t.
8. The control method of an air conditioner according to claim 7, wherein the electricity price model is:
Figure FDA0002703942470000021
wherein C (t +1) is the total electricity price from t moment to t +1 moment, P (t +1) is the power value of the air conditioner at t +1 moment,
Figure FDA0002703942470000022
the real-time electricity price from the time T to the time T +1, and T (T +1) is the indoor temperature at the time T + 1.
9. The method of claim 1, wherein controlling the air conditioner according to the operation information comprises:
if the number of the operation information is multiple, performing weighted calculation on all the operation information according to the user weight value corresponding to each operation information to obtain target operation information;
and controlling the air conditioner according to the target operation information.
10. A control apparatus of an air conditioner, characterized by comprising a memory and a processor;
the memory has stored thereon a computer program which, when executed by the processor, implements the steps of the control method of the air conditioner according to any one of claims 1 to 9.
11. A storage medium on which a computer program is stored, wherein the computer program, when executed by a processor, implements the steps of the control method of the air conditioner according to any one of claims 1 to 9.
CN202011031856.7A2020-09-272020-09-27Control method and device of air conditioner and storage mediumActiveCN112146228B (en)

Priority Applications (1)

Application NumberPriority DateFiling DateTitle
CN202011031856.7ACN112146228B (en)2020-09-272020-09-27Control method and device of air conditioner and storage medium

Applications Claiming Priority (1)

Application NumberPriority DateFiling DateTitle
CN202011031856.7ACN112146228B (en)2020-09-272020-09-27Control method and device of air conditioner and storage medium

Publications (2)

Publication NumberPublication Date
CN112146228Atrue CN112146228A (en)2020-12-29
CN112146228B CN112146228B (en)2021-11-23

Family

ID=73894256

Family Applications (1)

Application NumberTitlePriority DateFiling Date
CN202011031856.7AActiveCN112146228B (en)2020-09-272020-09-27Control method and device of air conditioner and storage medium

Country Status (1)

CountryLink
CN (1)CN112146228B (en)

Citations (7)

* Cited by examiner, † Cited by third party
Publication numberPriority datePublication dateAssigneeTitle
JP2012154591A (en)*2011-01-272012-08-16Mitsubishi Electric CorpAir conditioner
CN104122819A (en)*2014-07-182014-10-29东北电力大学User habit based intelligent household electricity utilization method and system thereof
CN104850013A (en)*2015-04-282015-08-19南京邮电大学Intelligent electricity utilization method of household appliances
CN105352108A (en)*2015-09-292016-02-24中国电力科学研究院Load optimization control method based on air conditioner electricity utilization mode
CN105910230A (en)*2016-04-292016-08-31珠海格力电器股份有限公司Intelligent temperature control method and device for air conditioner and air conditioning system
CN109210710A (en)*2018-08-232019-01-15青岛海尔空调器有限总公司Method and device based on human comfort control compressor of air conditioner
CN111027786A (en)*2019-12-302020-04-17云南恒协科技有限公司 A microgrid operation optimization and energy efficiency management system

Patent Citations (7)

* Cited by examiner, † Cited by third party
Publication numberPriority datePublication dateAssigneeTitle
JP2012154591A (en)*2011-01-272012-08-16Mitsubishi Electric CorpAir conditioner
CN104122819A (en)*2014-07-182014-10-29东北电力大学User habit based intelligent household electricity utilization method and system thereof
CN104850013A (en)*2015-04-282015-08-19南京邮电大学Intelligent electricity utilization method of household appliances
CN105352108A (en)*2015-09-292016-02-24中国电力科学研究院Load optimization control method based on air conditioner electricity utilization mode
CN105910230A (en)*2016-04-292016-08-31珠海格力电器股份有限公司Intelligent temperature control method and device for air conditioner and air conditioning system
CN109210710A (en)*2018-08-232019-01-15青岛海尔空调器有限总公司Method and device based on human comfort control compressor of air conditioner
CN111027786A (en)*2019-12-302020-04-17云南恒协科技有限公司 A microgrid operation optimization and energy efficiency management system

Non-Patent Citations (1)

* Cited by examiner, † Cited by third party
Title
王瑞: "《建筑节能设计》", 31 March 2015*

Also Published As

Publication numberPublication date
CN112146228B (en)2021-11-23

Similar Documents

PublicationPublication DateTitle
CN109631241B (en)Building indoor comfortable environment regulating system
CN112178861B (en)Control method and device of gymnasium air conditioner, controller and air conditioning system
TWI435038B (en)Air conditioning control device and method thereof
CN112378056B (en)Intelligent air conditioner control method and device, computer equipment and storage medium
CN104990207B (en)A kind of dynamic self-adapting air-conditioner control system
CN114838470B (en)Control method and system of heating ventilation air conditioner
WO2020256153A1 (en)Information processing method, information processing device, and program
WO2020042417A1 (en)Air conditioner control method and device, and air conditioning device
CN115585538B (en)Indoor temperature adjusting method and device, electronic equipment and storage medium
CN112736915B (en)Demand response control system, method, device and equipment for regional equipment cluster
CN112050398A (en)Air conditioner and control method thereof
WO2023197696A1 (en)Frequency conversion control method and device based on apparent temperature, air conditioner, and storage medium
CN115614953A (en) A HVAC intelligent air supply control method and system
CN113446713A (en)Digital twin-based intelligent data optimal control and energy saving method and system
CN112361542B (en)Control method and device of kitchen air conditioner, controller and electric appliance system
CN113739386A (en)Control method, system, equipment and medium for public space thermal environment air conditioning system
CN110925942B (en)Air conditioner control method and device
CN112146228B (en)Control method and device of air conditioner and storage medium
CN115031388A (en) Air conditioning set temperature control system and method based on thermal demand comfort demand
CN119573209A (en) Air conditioning method, device, computer equipment and storage medium
CN115031362A (en)Intelligent air conditioner regulation and control method and system
WO2024188363A1 (en)Air conditioner temperature adjustment method and system, device, and medium
CN118483941A (en)Equipment control method, device, electronic equipment and storage medium
CN115218386A (en) Air conditioner control method, device, and air conditioner
CN116792882A (en)Remote intelligent control management system for air conditioner

Legal Events

DateCodeTitleDescription
PB01Publication
PB01Publication
SE01Entry into force of request for substantive examination
SE01Entry into force of request for substantive examination
GR01Patent grant
GR01Patent grant

[8]ページ先頭

©2009-2025 Movatter.jp