Movatterモバイル変換


[0]ホーム

URL:


CN112127867B - High-quality power supply system and control method for underground coal gasification and composite energy storage - Google Patents

High-quality power supply system and control method for underground coal gasification and composite energy storage
Download PDF

Info

Publication number
CN112127867B
CN112127867BCN202010934470.0ACN202010934470ACN112127867BCN 112127867 BCN112127867 BCN 112127867BCN 202010934470 ACN202010934470 ACN 202010934470ACN 112127867 BCN112127867 BCN 112127867B
Authority
CN
China
Prior art keywords
power
frequency
gas
gasification
energy storage
Prior art date
Legal status (The legal status is an assumption and is not a legal conclusion. Google has not performed a legal analysis and makes no representation as to the accuracy of the status listed.)
Active
Application number
CN202010934470.0A
Other languages
Chinese (zh)
Other versions
CN112127867A (en
Inventor
梁睿
黄宏旭
钟睿
任浩栋
陆梦恬
Current Assignee (The listed assignees may be inaccurate. Google has not performed a legal analysis and makes no representation or warranty as to the accuracy of the list.)
China University of Mining and Technology Beijing CUMTB
Original Assignee
China University of Mining and Technology Beijing CUMTB
Priority date (The priority date is an assumption and is not a legal conclusion. Google has not performed a legal analysis and makes no representation as to the accuracy of the date listed.)
Filing date
Publication date
Application filed by China University of Mining and Technology Beijing CUMTBfiledCriticalChina University of Mining and Technology Beijing CUMTB
Priority to CN202010934470.0ApriorityCriticalpatent/CN112127867B/en
Publication of CN112127867ApublicationCriticalpatent/CN112127867A/en
Application grantedgrantedCritical
Publication of CN112127867BpublicationCriticalpatent/CN112127867B/en
Activelegal-statusCriticalCurrent
Anticipated expirationlegal-statusCritical

Links

Images

Classifications

Landscapes

Abstract

Translated fromChinese

本发明公开了一种煤炭地下气化及复合储能的高品质电源系统及控制方法,适用于煤炭资源的开采和储能应用。包括煤炭地下气化系统、混合气体传输分离系统、储气系统、燃气轮机发电系统、废弃矿井抽水蓄能系统、超级电容储能系统和电能外送系统。实现了煤炭清洁高效利用,并实现了高质量的电能输出。同传统的煤矿开采、供能模式相比,将煤炭资源通过地下气化发电方法整合为高品质电力能源,不仅显著降低成品能源的传输、转化成本,更能实现地下煤炭资源清洁、绿色、高效开采,降低传统开采方式带来的环境污染与采空区地下空间浪费,提升环境、社会与经济综合效益,具有较高的工程实际意义。

Figure 202010934470

The invention discloses a high-quality power supply system and a control method for underground coal gasification and composite energy storage, which are suitable for coal resource mining and energy storage applications. Including underground coal gasification system, mixed gas transmission and separation system, gas storage system, gas turbine power generation system, abandoned mine pumped storage system, supercapacitor energy storage system and power delivery system. The clean and efficient utilization of coal is realized, and high-quality power output is realized. Compared with traditional coal mining and energy supply models, integrating coal resources into high-quality power energy through underground gasification power generation not only significantly reduces the cost of transmission and conversion of finished energy, but also enables underground coal resources to be clean, green and efficient. Mining, reducing environmental pollution and waste of underground space in goafs caused by traditional mining methods, and improving comprehensive environmental, social and economic benefits have high engineering practical significance.

Figure 202010934470

Description

High-quality power supply system for underground coal gasification and composite energy storage and control method
Technical Field
The invention relates to a high-quality power supply system and a control method, in particular to a high-quality power supply system and a control method for underground coal gasification and composite energy storage, which are suitable for coal resource exploitation and energy storage.
Background
Underground coal gasification is an integral green mining technology. The technology is a technology for converting underground coal into combustible gas in situ through thermochemical reaction, not only greatly reduces underground engineering and hard operation, but also greatly eliminates the pollution of coal mining to the environment and the adverse effect and harm of coal combustion to the ecological environment.
In addition, along with the gradual mining of coal resources, the abandoned mine formed after the mining of part of mining areas is empty can be transformed into a pumped storage power station of the abandoned mine, so that the land resources can be effectively utilized, the problems of surface subsidence, environmental pollution and the like are solved, and meanwhile, the rapid, stable and adjustable large-scale power energy storage capacity is provided.
At present, because underground occurrence characteristics of coal are inaccurate, underground gasification combustion speed control is unstable, combustible gas produced by the coal is influenced by various uncertain factors, the produced quantity and the concentration of each component have irrespective volatility, the power stability of a gas turbine of a gasification power station is greatly influenced, and the working condition health of power generation equipment and the frequency stability of the power grid are greatly threatened. Therefore, it is necessary to develop a mining area electric energy system with high energy supply quality based on underground coal gasification power generation and matching with a waste mine pumped storage power station.
Disclosure of Invention
The purpose of the invention is as follows: aiming at the defects of the technology, the high-quality power supply system and the control method for underground coal gasification and composite energy storage are provided, wherein the underground gas turbine gasification power station is combined with the abandoned mine pumped storage power station, a power supply system which is safe, flexible and strong in regulating capacity is built, the advantages of two technical means of underground coal resource gasification mining and composite energy storage energy scheduling are fully exerted, the coal mining utilization cost and the environmental pollution can be obviously reduced, and the safety, the flexibility and the power generation capacity of the power supply system are improved.
The technical scheme is as follows: in order to achieve the purpose, the high-quality power supply system for underground coal gasification and composite energy storage comprises an underground coal gasification system, a mixed gas transmission and separation system, a gas storage system, a gas turbine power generation system, a composite energy storage system and a step-up transformer; the underground coal gasification system comprises a blast device, an air inlet pipeline, an air outlet pipeline and an underground gasification furnace, the underground coal gasification system adopts a well type or non-well type underground gasification mode, high-temperature and high-pressure air and water vapor pass through the blast device and are sent into a gasification channel of the underground gas furnace through the air inlet pipeline, the coal is subjected to oxidation-reduction reaction in the gasification channel of the underground gas furnace and releases heat, and mixed gas after the reaction is sent to the ground through the air outlet pipeline; the inlet end of the mixed gas transmission and separation system is connected with an underground coal gasification gas outlet pipeline, a dust removal and dehydration device, a desulfurization and denitrification device and a gas separation device are arranged in the mixed gas transmission and separation system, and a flow regulating valve is arranged on a conveying pipeline; the gas storage system comprises a gas pipeline, a compression gas storage tank and a flow regulating valve, wherein the gas pipeline is connected with the compression gas storage tank, and the flow regulating valve is arranged at the joint of the gas pipeline and the compression gas storage tank; the gas turbine power generation system is conventionally arranged and comprises a compressor, a combustion chamber and a turbine, wherein the output end of the turbine is connected with a low-voltage side bus of a booster transformer of a regional power grid; the composite energy storage system comprises a waste mine pumped storage power station and a super capacitor which are connected with each other through lines; the abandoned mine pumped storage system comprises an upper reservoir, a lower reservoir, a water discharge channel, a pumped passage, a water turbine and a water pump, wherein the output ends of the water turbine and the water pump are connected with a low-voltage side bus of a step-up transformer of a regional power grid; the super-capacitor energy storage system comprises a double-layer super-capacitor, the output end of the double-layer super-capacitor is connected with a bus at the low-voltage side of a booster transformer of a regional power grid, the low-voltage side of the booster transformer is connected with a gas turbine, a water pump and the super-capacitor, the high-voltage side of the booster transformer is connected with an external power grid, and the electric energy of a power supply is boosted to the specified voltage of a power transmission grid and transmitted to the external power grid;
the underground coal gasification system comprises an underground coal gasification furnace, an air inlet pipeline, an air outlet pipeline, purification and separation equipment and an air storage tank, wherein high-temperature and high-pressure water vapor and oxygen enter the underground coal gasification furnace through the air inlet pipeline, coal is converted into combustible gas in situ in the underground coal gasification furnace through thermochemical reaction, an outlet at the tail end of the underground coal gasification furnace is connected with the purification and separation equipment for mixed gas through the air outlet pipeline, and H generated by gasifying an underground coal seam is purified and separated2、CO、CH4、N2、O2、C2H6The mixed combustible gas is captured and conveyed to the ground for mixed gas groupSeparating; the end outlet of which is connected to a gas turbine gasification power station, wherein CO is recovered by a CO capture unit for production, H2Purified and stored in a hydrogen storage facility, CH4、C2H6The gas is supplied as a combustion gas source to a gas turbine gasification power plant for power generation.
The gas turbine gasification power station comprises a plurality of gas turbine units, each gas turbine unit comprises a compressor, a combustion chamber and a turbine, air enters the compressor to be compressed into high-pressure gas, the high-pressure gas and mixed combustible gas separated by the coal underground gasification system are combusted in the combustion chamber to generate high-temperature and high-pressure flue gas, the high-temperature and high-pressure flue gas enters the turbine to push the turbine to rotate and generate power, the output end of the high-temperature and high-pressure flue gas is connected with a low-voltage side bus of a system step-up transformer, and electric energy is transmitted to an external power grid.
A composite energy storage system is constructed by the pumped storage power station and the super capacitor, and stored/released electric power participates in frequency adjustment of the gas turbine gasification power station.
The waste mine pumped storage power station comprises an upper reservoir and a lower reservoir, wherein the upper reservoir and the lower reservoir are formed by modifying and reinforcing two waste roadways with larger goaf height difference and an underground goaf; a water discharge channel and a water suction pipe are arranged between the upper reservoir and the lower reservoir, water suction equipment is arranged at the joint of the upper reservoir and the water suction pipe, a hydraulic generator for power generation is arranged between the lower reservoir and the water discharge channel, the tail end of the hydraulic generator is connected with the low-voltage side of the step-up transformer, and the stored/released electric power participates in the frequency regulation of the gas turbine gasification power station.
The step-up transformer is used for converting the low-value alternating voltage into another high-value alternating voltage with the same frequency, and the high-voltage side of the step-up transformer is connected with an external power grid, so that the electric energy of a power supply is increased to the specified voltage of the power transmission grid and is transmitted to the external power grid;
the super capacitor is connected with a waste mine pumped storage power station to form a composite energy storage system; when frequency disturbance occurs, a high-frequency component and a low-frequency component of a frequency signal are obtained through a time domain signal analysis method, and the capacity ratio of the super capacitor to the capacity ratio of the abandoned mine pumped storage power station participating in frequency modulation is distributed according to the size ratio of the high-frequency component to the low-frequency component, wherein the frequency fluctuation caused by the high-frequency component is stabilized by using the power density and the quick response speed of the super capacitor, and the frequency fluctuation caused by the low-frequency component is stabilized by using the capacity density of the abandoned mine pumped storage power station.
A control method of a high-quality power supply system for underground coal gasification and composite energy storage,
firstly, confirming all equipment generating fluctuation and capable of stabilizing the fluctuation, and collecting and calculating inertia constants of a gas turbine gasification power station and a abandoned mine pumped storage power station;
secondly, a virtual inertia control method is introduced to make up for the self inertia capability defect of the super capacitor energy storage, so that the composite energy storage system has the advantages of high response speed and large inertia capability;
finally, a power supply system frequency self-adaptive control model is utilized, the model comprises a gas turbine gasification power station, a waste mine pumped storage power station and a super capacitor, and by introducing a self-adaptive control coefficient, a composite energy storage system formed by the waste mine pumped storage power station and the super capacitor realizes efficient and coordinated frequency modulation response while having high energy density and high power density, so that the frequency modulation effect is good, the super capacitor works in the optimal state, and the damage of overcharge/overdischarge to equipment is avoided;
the method comprises the following steps:
(1) and determining a frequency control mechanism of a power supply system constructed by underground coal gasification and pumped storage. The power supply system constructed by utilizing underground coal gasification and pumped storage meets the following constraint at any time
PGT+PPHSD+PSCD-(PPHSC+PSCC)=Pgrid
Wherein, PGTThe output power of the power generator set of the gas turbine gasification power station; pgridThe index is the transmission power of the power supply system and the power grid and is determined by a power grid dispatching center; pPHSC、PPHSDRespectively charging and discharging power of the pumped storage power station of the abandoned mine; pSCC、PSCDRespectively charging and discharging power of the super capacitor; when the output of the gas turbine is unstable due to fluctuation of the gas source extraction amount, an equation is established by adjusting the charge and discharge power of the composite energy storage, and the fluctuation of the output of the gasification power station is inhibited;
(2) respectively collecting and calculating inertia constants H of gas turbine gasification power station and abandoned mine pumped storage power station in power supply systemGT、HPHSAnd capacity SGT、SPHSCalculating an integral inertia constant M;
(3) a super capacitor virtual synchronous motor frequency modulation control transfer function model is constructed, and by introducing a virtual inertia link, the super capacitor has rotor inertia similar to that of a synchronous motor, and meanwhile, the super capacitor still has second-level response speed.
(4) Establishing a power supply system frequency self-adaptive control model, and utilizing the inertia constant H in the step (2)GT、HPHSM determining adaptive control parameters for conventional gas turbines
Figure BDA0002671436160000031
Adaptive control parameter K of pumped storage power station of abandoned minephsSelf-adaptive control parameter K of super capacitor energy storagescAnd damping coefficient
Figure BDA0002671436160000032
(5) Determining the system frequency regulation dead zone as delta f according to the power grid frequency stability requirementset0.033 as the basis for judging whether to control the frequency under the disturbance unbalance of different degrees of power;
(6) measuring the frequency f of voltage signal of gasification power station by mutual inductor disposed on three output lines of synchronous generator of gasification power stationGTCalculating the grid frequency fgridAnd fGTComparing the difference value with delta f, and judging whether to perform self-adaptive frequency control to determine whether the composite energy storage system needs to work;
(7) according to the frequency criterion, directly executing the step (9) when the judgment is not needed; when the self-adaptive frequency control is needed, the frequency modulation controller of the composite energy storage system starts to work, a power distribution instruction is sent to the abandoned mine pumped storage power station and the super capacitor energy storage at the same time, and the self-adaptive control parameter K is controlled according to different working conditionsphs、KscThe change of (2) realizes self-adaptive frequency adjustment;
(8) recalculating grid and turbine frequencies fgridAnd fGTAnd with the frequency dead zone Δ fsetComparing to determine whether to perform adaptive frequency control until fgrid-fGT|≤ΔfsetAnd stopping the frequency control response process, and ending the power supply system self-adaptive frequency control process.
Advantageous effects
According to the invention, the mixed combustible gas extracted by the coal mine underground gasification system is separated through gas separation of the gasification power station, carbon monoxide is separated, and hydrogen is extracted and stored, so that the purity and concentration stability of a gas source of a gas turbine are ensured, and the safety of power generation of the gasification power station is improved; by introducing the frequency modulation control transfer function model of the virtual synchronous motor of the super capacitor, the super capacitor has the rotor inertia similar to that of the synchronous motor, and meanwhile, the super capacitor still has the second-level response speed; by setting the self-adaptive coefficients of the pumped storage power station and the super capacitor of the abandoned mine, the rapidity and the reserve capacity of the frequency response of the system are improved. The advantages of the power density and the energy density of the power source and the energy density are complementary, the generated power and the stored energy power are adjusted at the moment that the system faces frequency instability caused by air source fluctuation, the whole system has power disturbance resistance capability, and the frequency stability is improved; when the generated power and the stored energy power are adjusted, specifically, the characteristics of high power density and high response speed of the super capacitor are utilized, the super capacitor firstly provides power response, the super capacitor provides large-capacity frequency modulation power after a short time, and the super capacitor quits frequency modulation. Dynamic power adjustment can be realized according to the charge state of the super capacitor by introducing a self-adaptive coefficient, the super capacitor is ensured to work in the optimal state, and the coordination of the pumping unit and the super capacitor is realized at the same time, so that the overcharge/overdischarge of the super capacitor or the secondary drop of the system frequency is avoided; the output of the gas turbine gasification power station and the composite energy storage system is adjusted, the system integrally has high-power storage capacity, abundant electric energy can be stored when the gas source output and the concentration exceed the margin required by the power grid index, and the waste mine pumped storage power station releases the stored electric energy when the gas source is insufficient, so that the power fluctuation on the time sequence of the power supply system is stabilized.
Drawings
FIG. 1 is a schematic structural diagram of a high-quality power supply system for coal gasification power generation and combined energy storage according to the present invention;
FIG. 2 is a schematic diagram illustrating frequency modulation control of a super capacitor virtual synchronous motor according to the present invention;
FIG. 3 is a schematic diagram of a power system frequency adaptive control model according to the present invention;
FIG. 4 is a flow chart of the composite energy storage system frequency modulation control of the present invention;
FIG. 5 is a graph of power disturbance of a gas turbine caused by continuous random fluctuation of gas yield and concentration for 20 min;
FIG. 6 is a graph of the system frequency variation under 20min continuous disturbance.
Detailed Description
The present invention will be further described with reference to the accompanying drawings.
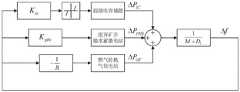
As shown in fig. 1, the high-quality power supply system combining gasification power generation and composite energy storage of the present invention includes an underground coal gasification system, a mixed gas transmission and separation system, a gas storage system, a gas turbine power generation system, a composite energy storage system, and a step-up transformer; the underground coal gasification system comprises a blowing device, an air inlet pipeline, an air outlet pipeline and an underground gasification furnace, the underground coal gasification system adopts a well type or non-well type underground gasification mode, high-temperature and high-pressure air and water vapor are sent into the underground gasification furnace through the air inlet pipeline through the blowing device to be gasified and communicatedCoal is subjected to oxidation-reduction reaction in the gasification channel of the underground gas furnace and releases heat, and mixed gas after reaction is sent to the ground through a gas outlet pipeline; the inlet end of the mixed gas transmission and separation system is connected with an underground coal gasification gas outlet pipeline, a dust removal and dehydration device, a desulfurization and denitrification device and a gas separation device are arranged in the mixed gas transmission and separation system, and a flow regulating valve is arranged on a conveying pipeline; the gas storage system comprises a gas pipeline, a compression gas storage tank and a flow regulating valve, wherein the gas pipeline is connected with the compression gas storage tank, and the flow regulating valve is arranged at the joint of the gas pipeline and the compression gas storage tank; the gas turbine power generation system is conventionally arranged and comprises a compressor, a combustion chamber and a turbine, wherein the output end of the turbine is connected with a low-voltage side bus of a booster transformer of a regional power grid; the composite energy storage system comprises a waste mine pumped storage power station and a super capacitor which are connected with each other through lines; the abandoned mine pumped storage system comprises an upper reservoir, a lower reservoir, a water discharge channel, a pumped passage, a water turbine and a water pump, wherein the output ends of the water turbine and the water pump are connected with a low-voltage side bus of a step-up transformer of a regional power grid; the super-capacitor energy storage system comprises a double-layer super-capacitor, the output end of the double-layer super-capacitor is connected with a bus at the low-voltage side of a booster transformer of a regional power grid, the low-voltage side of the booster transformer is connected with a gas turbine, a water pump and the super-capacitor, the high-voltage side of the booster transformer is connected with an external power grid, and the electric energy of a power supply is boosted to the specified voltage of a power transmission grid and transmitted to the external power grid; the underground coal gasification system comprises an underground coal gasification furnace, an air inlet pipeline, an air outlet pipeline, purification and separation equipment and an air storage tank, wherein high-temperature and high-pressure water vapor and oxygen enter the underground coal gasification furnace through the air inlet pipeline, coal is converted into combustible gas in situ in the underground coal gasification furnace through thermochemical reaction, an outlet at the tail end of the underground coal gasification furnace is connected with the purification and separation equipment for mixed gas through the air outlet pipeline, and H generated by gasifying an underground coal seam is purified and separated2、CO、CH4、N2、O2、C2H6Capturing and conveying the mixed combustible gas to the ground for separating components of the mixed gas; the end outlet of which is connected to a gas turbine gasification power station, wherein CO is recovered by a CO capture unit for production, H2Purified and stored in a hydrogen storage facility, CH4、C2H6The gas is supplied as a combustion gas source to a gas turbine gasification power plant for power generation. The gas turbine gasification power station comprises a plurality of gas turbine units, each gas turbine unit comprises a compressor, a combustion chamber and a turbine, air enters the compressor to be compressed into high-pressure gas, the high-pressure gas and mixed combustible gas separated by the coal underground gasification system are combusted in the combustion chamber to generate high-temperature and high-pressure flue gas, the high-temperature and high-pressure flue gas enters the turbine to push the turbine to rotate and generate power, the output end of the high-temperature and high-pressure flue gas is connected with a low-voltage side bus of a system step-up transformer, and electric energy is transmitted to an external power grid.
Constructing a composite energy storage system by using a waste mine pumped storage power station and a super capacitor, and enabling stored/released electric power to participate in frequency adjustment of a gas turbine gasification power station; when frequency disturbance occurs, a high-frequency component and a low-frequency component of a frequency signal are obtained through a time domain signal analysis method, and the capacity ratio of the super capacitor to the capacity ratio of the abandoned mine pumped storage power station participating in frequency modulation is distributed according to the size ratio of the high-frequency component to the low-frequency component, wherein the frequency fluctuation caused by the high-frequency component is stabilized by using the power density and the quick response speed of the super capacitor, and the frequency fluctuation caused by the low-frequency component is stabilized by using the capacity density of the abandoned mine pumped storage power station.
The waste mine pumped storage power station comprises an upper reservoir and a lower reservoir, wherein the upper reservoir and the lower reservoir are formed by modifying and reinforcing two waste roadways with larger goaf height difference and an underground goaf; a water discharge channel and a water suction pipe are arranged between the upper reservoir and the lower reservoir, water suction equipment is arranged at the joint of the upper reservoir and the water suction pipe, a hydraulic generator for power generation is arranged between the lower reservoir and the water discharge channel, the tail end of the hydraulic generator is connected with the low-voltage side of the step-up transformer, and the stored/released electric power participates in the frequency regulation of the gas turbine gasification power station.
The step-up transformer is used for converting the low-value alternating voltage into another high-value alternating voltage with the same frequency, and the high-voltage side of the step-up transformer is connected with an external power grid, so that the electric energy of a power supply is increased to the specified voltage of the power transmission grid and is transmitted to the external power grid;
a method for evaluating a high-quality power supply system combining gasification power generation and composite energy storage comprises the following steps:
firstly, confirming all equipment generating fluctuation and capable of stabilizing the fluctuation, and collecting and calculating inertia constants of a gas turbine gasification power station and a abandoned mine pumped storage power station;
secondly, a virtual inertia control method is introduced to make up for the self inertia capability defect of the super capacitor energy storage, so that the composite energy storage system has the advantages of high response speed and large inertia capability;
finally, a power supply system frequency self-adaptive control model is utilized, the model comprises a gas turbine gasification power station, a waste mine pumped storage power station and a super capacitor, and by introducing a self-adaptive control coefficient, a composite energy storage system formed by the waste mine pumped storage power station and the super capacitor realizes efficient and coordinated frequency modulation response while having high energy density and high power density, so that the frequency modulation effect is good, the super capacitor works in the optimal state, and the damage of overcharge/overdischarge to equipment is avoided;
the method comprises the following steps:
(1) and determining a frequency control mechanism of a power supply system constructed by underground coal gasification and pumped storage. The power supply system constructed by utilizing underground coal gasification and pumped storage meets the following constraint at any time
PGT+PPHSD+PSCD-(PPHSC+PSCC)=Pgrid
Wherein, PGTThe output power of the power generator set of the gas turbine gasification power station; pgridThe index is the transmission power of the power supply system and the power grid and is determined by a power grid dispatching center; pPHSC、PPHSDRespectively charging and discharging power of the pumped storage power station of the abandoned mine; pSCC、PSCDRespectively charging and discharging power of the super capacitor; when the output of the gas turbine is unstable due to fluctuation of the gas source extraction amount, an equation is established by adjusting the charge and discharge power of the composite energy storage, and the fluctuation of the output of the gasification power station is inhibited;
(2) respectively collecting and calculating inertia constants HGT, HPHS and capacity S of a gas turbine gasification power station and a waste mine pumped storage power station in a power supply systemGT、SPHSCalculating an integral inertia constant M;
(3) a super capacitor virtual synchronous motor frequency modulation control transfer function model is constructed, and by introducing a virtual inertia link, the super capacitor has rotor inertia similar to that of a synchronous motor, and meanwhile, the super capacitor still has second-level response speed.
(4) Establishing a power supply system frequency self-adaptive control model, and utilizing the inertia constant H in the step (2)GT、HPHSM determining adaptive control parameters for conventional gas turbines
Figure BDA0002671436160000071
Adaptive control parameter K of pumped storage power station of abandoned minephsSelf-adaptive control parameter K of super capacitor energy storagescAnd damping coefficient
Figure BDA0002671436160000072
(5) Determining the system frequency regulation dead zone as delta f according to the power grid frequency stability requirementset0.033 as the basis for judging whether to control the frequency under the disturbance unbalance of different degrees of power;
(6) measuring the frequency f of voltage signal of gasification power station by mutual inductor disposed on three output lines of synchronous generator of gasification power stationGTCalculating the grid frequency fgridAnd fGTComparing the difference value with delta f, and judging whether to perform self-adaptive frequency control to determine whether the composite energy storage system needs to work;
(7) according to the frequency criterion, directly executing the step (9) when the judgment is not needed; when it is determined that adaptive frequency control is required,the frequency modulation controller of the composite energy storage system starts to work, simultaneously sends out output distribution instructions to the pumped storage power station of the abandoned mine and the super capacitor energy storage, and adaptively controls the parameter K according to different working conditionsphs、KscThe change of (2) realizes self-adaptive frequency adjustment;
(8) recalculating grid and turbine frequencies fgridAnd fGTAnd with the frequency dead zone Δ fsetComparing to determine whether to perform adaptive frequency control until fgrid-fGT|≤ΔfsetStopping the frequency control response process, and ending the power supply system self-adaptive frequency control process;
and then, establishing a power supply system frequency elasticity evaluation index on the basis that: loss of elasticity ElossAnd stability maintaining ability
Figure BDA0002671436160000073
And evaluating the system frequency elasticity performance of the high-quality power supply system combining gasification power generation and composite energy storage, and finally determining whether the system reaches the national standard of power transmission.
The method comprises the following specific steps:
a using the formula: pGT+PPHSD+PSCD-(PPHSC+PSCC)=PgridDetermining the transmission power of a power supply system and a power grid including a gas turbine gasification power station, a abandoned mine pumped storage power station and a super capacitor, wherein: pGTThe output power of the power generator set of the gas turbine gasification power station; pPHSCCharging power P for pumped storage power station of abandoned minePHSDThe discharge power of the pumped storage power station of the abandoned mine is obtained; pSCCCharging power, P, for a supercapacitorSCDIs the discharge power of the super capacitor; when the output of the gas turbine is unstable due to fluctuation of the gas source extraction amount, an equation is established by adjusting the charge and discharge power of the composite energy storage, and the fluctuation of the output of the gasification power station is inhibited;
b, respectively collecting and calculating inertia constants H of the gas turbine gasification power station and the abandoned mine pumped storage power stationGT、HPHSAnd capacity SGT、SPHSUsing the formula:
Figure BDA0002671436160000081
calculating the integral inertia constant M of the gas turbine gasification power station and the abandoned mine pumped storage power station; in the formula (I), the compound is shown in the specification,
Figure BDA0002671436160000082
the sum of the capacities of a gas turbine gasification power station and a waste mine pumped storage power station in a power supply system; i is the number of gas turbine units and the single-machine inertia constant H of the gas turbineGT10, the inertia constant H of the water turbine of the pumped storage power station of the abandoned minePHSIs 6; single-machine capacity S of gas turbineGT20-30MW, capacity S of pumped storage power station in abandoned minePHSIs between 4 and 6 MW;
c, providing a super capacitor virtual synchronous motor frequency modulation control method: the super capacitor is connected to a power grid through a power electronic converter, and the super capacitor does not have the droop characteristic of a synchronous motor and the rotor inertia in an electronic control mode, so that an inertia integral link and a virtual droop amplification coefficient are introduced into a PI (proportional-integral) controller to counteract the negative effect brought by the connection of the super capacitor to the power grid; the output power P of the super capacitorSCCThe power instruction P issued by a system dispatching center is taken as the output mechanical power of the synchronous motor speed regulator*Electromagnetic power, as M, of synchronous machinesSCAnd representing a virtual inertia constant of the super capacitor, namely obtaining:
Figure BDA0002671436160000083
on the basis, the super-capacitor virtual synchronous motor frequency modulation control method is obtained by carrying out normalization processing and pull type conversion and taking the real-time frequency of the system into account, and is shown in fig. 2; wherein
Figure BDA0002671436160000084
Is the virtual droop coefficient, U, of the supercapacitorSThe real-time voltage of the power grid is obtained through a PLL phase locking module, and the real-time angular frequency of the system is converged with the angular frequency variation of the frequency modulation result of the super capacitor to obtain the internal frequency of the super capacitorPartial real-time frequency omegaSCIn addition, by introducing a virtual inertia link, the super capacitor has rotor inertia similar to that of a synchronous motor, and simultaneously has a second-level response speed, the rotor inertia constant of the traditional synchronous motor is usually a preset parameter for the motor to leave a factory, and a controller introduced into the virtual inertia link can change the inertia capacity of the super capacitor through parameter design, but because the construction cost of the super capacitor is higher, large capacity can not be put into use, therefore, the virtual inertia control method only can make up the defect of the inertia capacity of the super capacitor in energy storage, meanwhile, because of the charge state limitation of the super capacitor, the super capacitor is weak in the aspect of long-time power support, and a backup unit is required to inject energy in time during frequency modulation work, and the risk of secondary falling of the system frequency is avoided.
d, establishing a power supply system frequency adaptive control model, as shown in fig. 3: the system comprises a gas turbine unit, a pumping storage unit and a super capacitor; using the formula:
Figure BDA0002671436160000085
calculating self-adaptive control coefficient K of super capacitorSCAdaptive control coefficients for a pumped storage unit
Figure BDA0002671436160000086
Wherein Q isSOC
Figure BDA0002671436160000087
Respectively corresponding to the current state of charge, the upper limit of the state of charge and the lower limit of the state of charge of the super capacitor; k is a radical ofphs、kscDroop gain coefficients distributed as a waste mine pumped storage power station and a super capacitor can be set according to the regulation performance requirementphs、RscRespectively representing the droop coefficient of the pumping unit and the virtual droop coefficient of the super capacitor; adaptive control coefficient K using super capacitorSCThe dead zone module controls the super capacitor to determine the adjustment power delta P of the super capacitor energy storageSCThe dead zone module is added to limit the instantaneous power of the super capacitor and ensure that the super capacitor works in a reasonable charge state; self-adaptive control coefficient k of pumped storage power station utilizing abandoned minephsDetermining the regulated power DeltaP of a pumped storage power station in a abandoned minePHSUsing an inertia constant HGT、HPHSAnd M determining adaptive control parameters for a conventional gas turbine
Figure BDA0002671436160000091
R is the primary frequency modulation droop coefficient of the conventional gas turbine set and utilizes self-adaptive control parameters
Figure BDA0002671436160000092
Controlling the regulated power Δ P of a gas turbine gasification power stationGTWill be Δ PSC、ΔPPHSAnd Δ PGTSumming, and multiplying by the power system damping factor
Figure BDA0002671436160000093
Obtaining the frequency adjustment quantity delta f of the power supply system, and feeding back the delta f to ksc、kphsAt a new state of charge QSOCThen, recalculating the adaptive control coefficient to determine new frequency modulation power output until the frequency fluctuation of the new system meets the national standard requirement; meanwhile, self-adaptive control coefficients of the pumped storage power station and the super capacitor of the abandoned mine are obtained by the formula and are closely related to the charge state of the super capacitor, and the composite energy storage system takes the pumped storage power station of the abandoned mine as a main super capacitor as an auxiliary super capacitor; compared with a pumped storage power station of a abandoned mine, the super capacitor has very high instantaneous power, the frequency modulation capability of a second (S) level can be realized, the pumped storage unit has larger frequency modulation capacity, the frequency modulation response time is a minute (min) level, the scheduling step length of a general power system is about five minutes, and the pumped storage unit can meet the scheduling requirement.And the super capacitor is out of operation. The method has the advantages that the quick frequency response is realized, the electric energy quality is improved, the super capacitor is protected, the overcharge/overdischarge is avoided, the coordinated operation of the pumping unit and the super capacitor is realized, and the secondary voltage drop is avoided.
e, when the power imbalance of the composite power supply system combining the underground pumping storage of the underground coal gasification generator and the super capacitor occurs, setting the frequency variation quantity to be delta f according to the frequency stability requirement of the power grid, the frequency response characteristics of each part of the power supply system and the requirement of China on the frequency stability of the power gridset0.033 as the basis for judging whether to control the frequency under the disturbance unbalance of different degrees of power;
f measuring the frequency f of the voltage signal of the gasification power station through mutual inductors arranged on three output lines of the synchronous generator of the gas turbine gasification power stationGTCalculating the grid frequency fgridAnd fGTAnd the difference with the frequency variation Δ fsetComparing, and judging whether to perform self-adaptive frequency control; the specific operation is as follows:
at Δ fsetFor example, not less than 0.033, the composite energy storage system needs output power to participate in frequency modulation, as shown in fig. 4:
I. the primary frequency modulation dead zone threshold of the composite energy storage system is selected to be 0.033, when the frequency deviation exceeds the frequency modulation dead zone, the composite energy storage system acts to participate in frequency modulation, otherwise, the composite energy storage system does not act;
II, setting a starting threshold theta of the super capacitor according to user requirements, monitoring the frequency change rate and determining whether to start a super capacitor frequency modulation unit;
rate of change of frequency
Figure BDA0002671436160000094
The composite energy storage system adopts self-adaptive variable K droop control based on the SOC state of the super capacitor, otherwise, only the pumping storage unit is used for controlling through the traditional droop (K)11) assisting the frequency modulation of a gasification power generation gas turbine of a conventional unit;
and VI, issuing a force distribution instruction by the energy storage system control center.
gayiFrequency modulation dead zone delta f according to frequency criterionsetAnd frequency rate of change
Figure BDA0002671436160000101
Determining whether the composite energy storage system needs to carry out adaptive frequency control, when the adaptive frequency control needs to be carried out, starting the frequency modulation controller of the composite energy storage system to work, simultaneously sending out a power distribution instruction to the pumped storage power station of the abandoned mine and the super capacitor energy storage, and according to the adaptive control parameter K of the pumped storage power station of the abandoned mine under different working conditionsphsAnd adaptive control parameter K of super capacitor energy storagescTo determine the output conditions of the pumping unit and the super capacitor, specifically, the dead frequency zone Δ fsetWhen the frequency is more than or equal to 0.033, the composite energy storage system participates in the adaptive frequency modulation control, and if the frequency is in a frequency dead zone delta fsetFrequency change rate of not less than 0.033
Figure BDA0002671436160000102
Performing variable K droop control on a composite energy storage system consisting of the pumping unit and the super capacitor to obtain output delta P of the pumping unit and the super capacitorPHSAnd Δ PSCIf in the frequency dead zone Δ fsetFrequency change rate of not less than 0.033
Figure BDA0002671436160000103
The traditional droop control is carried out only by the pumping and storage unit to obtain the output delta P of the pumping and storage unitPHSThe super capacitor keeps the original charge state unchanged. Then, the power change signal is converted into a system frequency change signal, the system frequency change signal is fed back to a power response input end, and the self-adaptive control parameter K of the abandoned mine pumped storage power station is recalculated according to the charge state of the super capacitorphsAnd adaptive control parameter K of super capacitor energy storagesc
h recalculating the grid frequency fgridAnd fGTAnd with the frequency dead zone Δ fsetComparing to determine whether to perform adaptive frequency control until fgrid-fGT|≤ΔfsetThe frequency control response procedure is stopped. To this end, the power supply system adapts to the frequencyThe control process is ended;
simulation verification
In order to verify the effectiveness and reliability of the invention, a power supply system self-adaptive frequency control model which accords with the actual control characteristics is built in Matlab/Simulink. A frequency characteristic model of a multi-power-supply system comprising a pumped storage power station, a super capacitor and a gas turbine gasification power station is established in the simulation system. Comparing the method, the single extraction and storage mode, the single super capacitor mode and the non-energy storage mode (all comprising thermal power generating units), in order to further evaluate the continuous disturbance resisting capability of the system under the influence of a plurality of uncertain factors such as the output of the gasification power station, unstable methane concentration and the like, 20min continuous power disturbance is set, as shown in figure 5, and the frequency change conditions of different frequency modulation combinations are shown in figure 6.
By observing fig. 5 and fig. 6, comparing the frequency changes in the four operation modes, it can be seen that when the system is subjected to continuous small disturbance, the system has volatility: the composite energy storage < single pumping storage < no energy storage < single SC, which is because the original system gas turbine has small rotating reserve capacity and weak inertia under the unstable conditions of gas source output and concentration, even if a super capacitor is added, the frequency is rapidly fluctuated due to the rapid response of an inverter, thereby causing quality deterioration. As can be seen from the great rapid decrease of the frequency of 100s in fig. 5, the inertial response capability of the power supply system can be significantly improved by introducing the pumping unit, and the combination of the pumping unit and the SC makes the system have excellent response speed, so that the frequency flexibility is further improved.
System frequency elasticity index under 120 min continuous power disturbance of table
Figure BDA0002671436160000104
Figure BDA0002671436160000111
Observe Table 1 and compare the elastic loss E in the four operating modeslossIt can be seen that the waste mine is pumped for storageDue to the introduction of the power station, the frequency stability of system frequency modulation is remarkably improved, the frequency reduction trend can be timely restrained when large disturbance occurs, and reaction time is provided for other frequency modulation units. However, as can be seen from the single SC frequency modulation situation, due to the capacity limitation of the super capacitor, the system frequency will be subjected to the risk of secondary dropping and a large elastic loss. In the frequency recovery stage, due to the fact that the frequency modulation capacity is increased by the aid of the storage unit, the steady-state frequency difference of the system is greatly reduced compared with that of a single SC (single carrier frequency) and energy-storage-free mode, and the elastic recovery capability of the system frequency is remarkably improved.

Claims (8)

1. The utility model provides a coal underground gasification and compound high-quality electrical power generating system of energy storage which characterized in that: the system comprises an underground coal gasification system, a mixed gas transmission and separation system, a gas storage system, a gas turbine gasification power station, a composite energy storage system and a step-up transformer; the underground coal gasification system comprises a blast device, an air inlet pipeline, an air outlet pipeline and an underground gasification furnace, the underground coal gasification system adopts a well type or non-well type underground gasification mode, high-temperature and high-pressure air and water vapor pass through the blast device and are sent into a gasification channel of the underground gas furnace through the air inlet pipeline, the coal is subjected to oxidation-reduction reaction in the gasification channel of the underground gas furnace and releases heat, and mixed gas after the reaction is sent to the ground through the air outlet pipeline; the inlet end of the mixed gas transmission and separation system is connected with an underground coal gasification gas outlet pipeline, a dust removal and dehydration device, a desulfurization and denitrification device and a gas separation device are arranged in the mixed gas transmission and separation system, and a flow regulating valve is arranged on a conveying pipeline; the gas storage system comprises a gas pipeline, a compression gas storage tank and a flow regulating valve, wherein the gas pipeline is connected with the compression gas storage tank, and the flow regulating valve is arranged at the joint of the gas pipeline and the compression gas storage tank; the conventional arrangement of a gas turbine gasification power station comprises a compressor, a combustion chamber and a turbine, wherein the output end of the turbine is connected with a low-voltage side bus of a booster transformer of a regional power grid; the composite energy storage system comprises a waste mine pumped storage power station and a super capacitor which are connected with each other through lines; the abandoned mine pumped storage power station comprises an upper reservoir, a lower reservoir, a water discharge channel, a pumping channel, a water turbine and a water pump, wherein the output end of the water turbine and the water pump are connected with a low-voltage side bus of a booster transformer of a regional power grid; the super-capacitor energy storage system comprises a double-layer super-capacitor, the output end of the double-layer super-capacitor is connected with a low-voltage side bus of a booster transformer of a regional power grid, the low-voltage side of the booster transformer is connected with a gas turbine, a water pump and the super-capacitor, and the high-voltage side of the booster transformer is connected with an external power grid, so that electric energy of a power supply is boosted to a specified voltage of a power transmission grid and is transmitted to the external power grid.
2. The high-quality power supply system for underground coal gasification and combined energy storage according to claim 1, wherein: the underground coal gasification system comprises an underground coal gasification furnace, an air inlet pipeline, an air outlet pipeline, purification and separation equipment and an air storage tank, wherein high-temperature and high-pressure water vapor and oxygen enter the underground coal gasification furnace through the air inlet pipeline, coal is converted into combustible gas in situ in the underground coal gasification furnace through thermochemical reaction, an outlet at the tail end of the underground coal gasification furnace is connected with the purification and separation equipment for mixed gas through the air outlet pipeline, and H generated by gasifying an underground coal seam is purified and separated2、CO、CH4、N2、O2、C2H6Capturing and conveying the mixed combustible gas to the ground for separating components of the mixed gas; the end outlet of which is connected to a gas turbine gasification power station, wherein CO is recovered by a CO capture unit for production, H2Purified and stored in a hydrogen storage facility, CH4、C2H6The gas is supplied as a combustion gas source to a gas turbine gasification power plant for power generation.
3. The high-quality power supply system for underground coal gasification and combined energy storage according to claim 1, wherein: the gas turbine gasification power station comprises a plurality of gas turbine units, each gas turbine unit comprises a compressor, a combustion chamber and a turbine, air enters the compressor to be compressed into high-pressure gas, the high-pressure gas and mixed combustible gas separated by the coal underground gasification system are combusted in the combustion chamber to generate high-temperature and high-pressure flue gas, the high-temperature and high-pressure flue gas enters the turbine to push the turbine to rotate and generate power, the output end of the high-temperature and high-pressure flue gas is connected with a low-voltage side bus of a system step-up transformer, and electric energy is transmitted to an external power grid.
4. The high-quality power supply system for underground coal gasification and combined energy storage according to claim 1, wherein: a composite energy storage system is constructed by the pumped storage power station and the super capacitor, and stored/released electric power participates in frequency adjustment of the gas turbine gasification power station.
5. The high-quality power supply system for underground coal gasification and combined energy storage according to claim 1, wherein: the waste mine pumped storage power station comprises an upper reservoir and a lower reservoir, wherein the upper reservoir and the lower reservoir are formed by modifying and reinforcing two waste roadways with larger goaf height difference and an underground goaf; a water discharge channel and a water suction pipe are arranged between the upper reservoir and the lower reservoir, water suction equipment is arranged at the joint of the upper reservoir and the water suction pipe, a hydraulic generator for power generation is arranged between the lower reservoir and the water discharge channel, the tail end of the hydraulic generator is connected with the low-voltage side of the step-up transformer, and the stored/released electric power participates in the frequency regulation of the gas turbine gasification power station.
6. The high-quality power supply system for underground coal gasification and combined energy storage according to claim 1, wherein: the step-up transformer is used for converting the low-value alternating voltage into another high-value alternating voltage with the same frequency, and the high-voltage side of the step-up transformer is connected with an external power grid to raise the electric energy of a power supply to the specified voltage of a power transmission grid and transmit the electric energy to the external power grid.
7. The high-quality power supply system for underground coal gasification and combined energy storage according to claim 1, wherein: the super capacitor is connected with a waste mine pumped storage power station to form a composite energy storage system; when frequency disturbance occurs, a high-frequency component and a low-frequency component of a frequency signal are obtained through a time domain signal analysis method, and the capacity ratio of the super capacitor to the capacity ratio of the abandoned mine pumped storage power station participating in frequency modulation is distributed according to the size ratio of the high-frequency component to the low-frequency component, wherein the frequency fluctuation caused by the high-frequency component is stabilized by using the power density and the quick response speed of the super capacitor, and the frequency fluctuation caused by the low-frequency component is stabilized by using the capacity density of the abandoned mine pumped storage power station.
8. A control method of a high-quality power supply system using underground coal gasification and combined energy storage according to any one of the preceding claims, which is characterized in that:
firstly, confirming all equipment generating fluctuation and capable of stabilizing the fluctuation, and collecting and calculating inertia constants of a gas turbine gasification power station and a abandoned mine pumped storage power station;
secondly, a virtual inertia control method is introduced to make up for the self inertia capability defect of the super capacitor energy storage, so that the composite energy storage system has the advantages of high response speed and large inertia capability;
finally, a power supply system frequency self-adaptive control model is utilized, the model comprises a gas turbine gasification power station, a waste mine pumped storage power station and a super capacitor, and by introducing a self-adaptive control coefficient, a composite energy storage system formed by the waste mine pumped storage power station and the super capacitor realizes efficient and coordinated frequency modulation response while having high energy density and high power density, so that the frequency modulation effect is good, the super capacitor works in the optimal state, and the damage of overcharge/overdischarge to equipment is avoided;
the method comprises the following steps:
(1) determining the frequency control mechanism of the power supply system constructed by utilizing underground coal gasification and pumped storage, and satisfying the following constraints at any time based on the power supply system constructed by utilizing underground coal gasification and pumped storage
PGT+PPHSD+PSCD-(PPHSC+PSCC)=Pgrid
Wherein, PGTThe output power of the power generator set of the gas turbine gasification power station; pgridThe index is the transmission power of the power supply system and the power grid and is determined by a power grid dispatching center; pPHSC、PPHSDRespectively charging and discharging power of the pumped storage power station of the abandoned mine; pSCC、PSCDRespectively charging and discharging power of the super capacitor; when the output of the gas turbine is unstable due to fluctuation of the gas source extraction amount, an equation is established by adjusting the charge and discharge power of the composite energy storage, and the fluctuation of the output of the gasification power station is inhibited;
(2) respectively collecting and calculating inertia constants H of gas turbine gasification power station and abandoned mine pumped storage power station in power supply systemGT、HPHSAnd capacity SGT、SPHSCalculating an integral inertia constant M;
(3) constructing a frequency modulation control transfer function model of a super capacitor virtual synchronous motor, and introducing a virtual inertia link to ensure that the super capacitor has rotor inertia similar to that of the synchronous motor and also has second-level response speed;
(4) establishing a power supply system frequency self-adaptive control model, and utilizing the inertia constant H in the step (2)GT、HPHSM determining adaptive control parameters for conventional gas turbines
Figure FDA0003096059420000031
Adaptive control parameter K of pumped storage power station of abandoned minephsSelf-adaptive control parameter K of super capacitor energy storagescAnd damping coefficient
Figure FDA0003096059420000032
(5) Determining the system frequency regulation dead zone as delta f according to the power grid frequency stability requirementset0.033 as the basis for judging whether to control the frequency under the disturbance unbalance of different degrees of power;
(6) the voltage of the gasification power station is measured by the mutual inductors arranged on three output lines of the synchronous generator of the gasification power stationFrequency f of the signalGTCalculating the grid frequency fgridAnd fGTAnd with the system frequency adjustment dead band Δ fsetComparing, and judging whether to perform self-adaptive frequency control to determine whether the composite energy storage system needs to work;
(7) according to frequency criterion, when self-adaptive frequency control is needed, the frequency modulation controller of the composite energy storage system starts to work, a power distribution instruction is sent to the abandoned mine pumped storage power station and the super capacitor energy storage at the same time, and self-adaptive control parameter K is controlled according to different working conditionsphs、KscThe change of (2) realizes self-adaptive frequency adjustment;
(8) recalculating grid and turbine frequencies fgridAnd fGTAnd with the system frequency adjustment dead band Δ fsetComparing to determine whether to perform adaptive frequency control until fgrid-fGT|≤ΔfsetAnd stopping the frequency control response process, and ending the power supply system self-adaptive frequency control process.
CN202010934470.0A2020-09-082020-09-08 High-quality power supply system and control method for underground coal gasification and composite energy storageActiveCN112127867B (en)

Priority Applications (1)

Application NumberPriority DateFiling DateTitle
CN202010934470.0ACN112127867B (en)2020-09-082020-09-08 High-quality power supply system and control method for underground coal gasification and composite energy storage

Applications Claiming Priority (1)

Application NumberPriority DateFiling DateTitle
CN202010934470.0ACN112127867B (en)2020-09-082020-09-08 High-quality power supply system and control method for underground coal gasification and composite energy storage

Publications (2)

Publication NumberPublication Date
CN112127867A CN112127867A (en)2020-12-25
CN112127867Btrue CN112127867B (en)2021-09-07

Family

ID=73845061

Family Applications (1)

Application NumberTitlePriority DateFiling Date
CN202010934470.0AActiveCN112127867B (en)2020-09-082020-09-08 High-quality power supply system and control method for underground coal gasification and composite energy storage

Country Status (1)

CountryLink
CN (1)CN112127867B (en)

Families Citing this family (3)

* Cited by examiner, † Cited by third party
Publication numberPriority datePublication dateAssigneeTitle
CN116608078B (en)*2023-05-222024-04-30中国矿业大学Mine high-quality energy-resource cooperative output system and method based on clean energy
CN119253821A (en)*2024-12-032025-01-03北京扬德环保能源科技股份有限公司 A mine power distribution system based on coal-bed methane generator
CN119352946A (en)*2024-12-232025-01-24安徽蓝氢能源科技有限公司 Coal in-situ gasification and deep processing system and method

Family Cites Families (7)

* Cited by examiner, † Cited by third party
Publication numberPriority datePublication dateAssigneeTitle
CN101509368B (en)*2009-03-192011-03-16新奥科技发展有限公司Underground coal gasification multi-combining production system and method
US8471520B2 (en)*2010-05-042013-06-25Xtreme Power Inc.Managing renewable power generation
CN103883400B (en)*2012-12-242016-04-20新奥气化采煤有限公司Electricity-generating method and power generation system
UA84303U (en)*2013-05-272013-10-10Государственное Высшее Учебное Заведение Донецкий Национальный Технический УниверситетMethod for underground coal gasification for production of generator gas
RU2539055C1 (en)*2013-12-102015-01-10Федеральное Государственное Автономное Образовательное Учреждение Высшего Профессионального Образования "Дальневосточный Федеральный Университет" (Двфу)Coal gasification complex
CN106382114B (en)*2016-11-182019-03-22中为(上海)化学有限公司Modular device system for coal underground gasifying technology
CN111322113A (en)*2020-03-202020-06-23中国矿业大学(北京)Underground reservoir gradient water pumping energy storage system for post-mining abandoned mine

Also Published As

Publication numberPublication date
CN112127867A (en)2020-12-25

Similar Documents

PublicationPublication DateTitle
CN112127867B (en) High-quality power supply system and control method for underground coal gasification and composite energy storage
CN115000991A (en)Thermal power-flywheel energy storage cooperative frequency modulation control method and system
Meng et al.Energy storage auxiliary frequency modulation control strategy considering ACE and SOC of energy storage
CN111541272B (en) A multi-time scale scheduling method and system for carbon capture power plants
CN208835760U (en)A kind of ammonia fuel cell power generation peak adjusting frequency modulation system
CN108321823B (en)Secondary frequency modulation control method and system based on energy storage battery
CN105186569A (en)Recovery path selection method when wind power plant participating power grid black-start
CN115276008A (en) Evaluation method of new energy carrying capacity of power system considering peak and frequency regulation demand
CN111446724A (en) A frequency coordination control method for multi-source interconnected microgrid based on sliding mode algorithm
CN112072677A (en) A fractional-order PID-based method for combined pumped storage and electrochemical energy storage to participate in power grid load frequency control
CN109636254A (en)A kind of micro-capacitance sensor Optimization Scheduling considering short-duration power demand
CN106230016A (en)Scene hydrogen energy storage and Coal Chemical Industry hybrid power electricity generation system
CN103326391B (en)New energy grid-connected tie line power smooth control method and device
CN112688344A (en)Wind power plant frequency control method and system for offshore wind power base delivery system
CN113988367A (en) A stochastic optimal scheduling method for wind-solar-fire-storage coupled carbon capture and utilization system
CN111342453B (en) A backup decision-making method for an electrical integrated energy system considering multiple types of backup resources
CN116599119B (en)Wind-storage combined black start control method considering recovery capability of energy storage power station
CN116961028A (en) Flywheel energy storage array assists primary frequency regulation control method and system of traditional thermal power units
CN113991644B (en) An improved method for gas turbine black start considering energy storage auxiliary system
Li et al.Wind-storage-turbine bundled technology for the power supply of offshore oil and gas platforms
Xi et al.Strategy of smoothing wind power fluctuation based on HP filtering method
AU2022283567B2 (en)Method and system for operating an electrical grid
CN221353935U (en) A new energy storage combined heat and power system
Yan et al.A Virtual DC Power Damping Strategy for Grid-Forming Converters
Xu et al.Multi-energy coupling low-carbon optimal operation of sea-land interconnected off-grid microgrid

Legal Events

DateCodeTitleDescription
PB01Publication
PB01Publication
SE01Entry into force of request for substantive examination
SE01Entry into force of request for substantive examination
GR01Patent grant
GR01Patent grant

[8]ページ先頭

©2009-2025 Movatter.jp