




技术领域technical field
本公开的实施例涉及计算机技术领域,具体涉及物品推荐页面生成方法、装置、电子设备和可读介质。Embodiments of the present disclosure relate to the field of computer technologies, and in particular, to a method, apparatus, electronic device, and readable medium for generating an item recommendation page.
背景技术Background technique
物品推荐页面生成,是根据目标用户的历史订单信息,确定与历史订单信息相关联的物品信息以及生成相应的物品推荐页面的一项技术。目前常用的物品推荐页面生成方法是将与目标用户浏览的历史订单信息相似的物品信息作为推荐物品信息以生成物品推荐页面。Item recommendation page generation is a technology for determining item information associated with the historical order information and generating a corresponding item recommendation page according to the target user's historical order information. At present, the commonly used method for generating an item recommendation page is to use item information similar to the historical order information browsed by the target user as the recommended item information to generate the item recommendation page.
然而,当采用上述方式进行物品推荐页面生成时,往往会存在如下技术问题:However, when the above method is used to generate the item recommendation page, there are often the following technical problems:
第一,未对历史订单信息进行推荐度评估,从而,使得根据历史订单信息得到物品信息可能存在推荐价值不高的情况,进而,使得推荐页面中包含了较多难以促进目标用户执行价值相关操作的物品信息,因此,造成了计算资源的浪费;First, the recommendation degree is not evaluated on the historical order information, so that the item information obtained according to the historical order information may have a low recommendation value, and further, the recommendation page contains many items that are difficult to promote the target user to perform value-related operations. Item information, therefore, resulting in a waste of computing resources;
第二,在对历史订单信息进行推荐度评估时,未对历史订单的类别进行细分,同时,未综合考虑影响历史订单信息推荐度评估的因素,从而,使得生成的推荐度数值不够准确,进而,使得推荐的内容难以满足服务提供平台的诉求以及难以提高用户执行价值相关操作的频率,可能会造成货品的积压、货架资源的浪费以及货品保鲜资源的过多消耗。Second, when evaluating the recommendation degree of historical order information, the categories of historical orders are not subdivided, and at the same time, the factors affecting the recommendation degree evaluation of historical order information are not comprehensively considered, so that the generated recommendation degree value is not accurate enough. Furthermore, it is difficult for the recommended content to meet the demands of the service providing platform and to increase the frequency of users performing value-related operations, which may result in a backlog of goods, waste of shelf resources, and excessive consumption of fresh-keeping resources.
发明内容SUMMARY OF THE INVENTION
本公开的内容部分用于以简要的形式介绍构思,这些构思将在后面的具体实施方式部分被详细描述。本公开的内容部分并不旨在标识要求保护的技术方案的关键特征或必要特征,也不旨在用于限制所要求的保护的技术方案的范围。本公开的一些实施例提出了物品推荐页面生成方法、装置、电子设备和计算机可读介质,来解决以上背景技术部分提到的技术问题中的一项或多项。This summary of the disclosure serves to introduce concepts in a simplified form that are described in detail in the detailed description that follows. The content section of this disclosure is not intended to identify key features or essential features of the claimed technical solution, nor is it intended to be used to limit the scope of the claimed technical solution. Some embodiments of the present disclosure propose an item recommendation page generation method, apparatus, electronic device, and computer-readable medium to solve one or more of the technical problems mentioned in the above background art section.
第一方面,本公开的一些实施例提供了一种物品推荐页面生成方法,该方法包括:对目标用户在预定时间段内的历史订单信息集合中的每个历史订单信息进行推荐评估以生成推荐度数值,得到推荐度数值集合,其中,上述历史订单信息包括:物品名称,物品标签值,物品平均浏览次数,物品价值转移次数,物品价值转移数值,物品价值转移数值占比,物品价值产生数值,保质期剩余时长。从上述历史订单信息集合中选择包括的物品保质期剩余时长在第一预定范围内的历史订单信息作为候选订单信息,得到候选订单信息集合。上述候选订单信息集合中选择对应的推荐度数值在第二预定范围内的候选订单信息作为候选推荐物品信息,得到候选推荐物品信息集合。基于上述候选推荐物品信息集合,生成推荐物品信息列表。基于上述推荐物品信息列表和预设的基础页面,生成物品推荐页面。In a first aspect, some embodiments of the present disclosure provide a method for generating an item recommendation page, the method comprising: performing recommendation evaluation on each historical order information in a set of historical order information of a target user within a predetermined time period to generate a recommendation degree value to obtain a set of recommendation degree values, where the above historical order information includes: item name, item tag value, average number of item views, item value transfer times, item value transfer value, item value transfer value ratio, item value generation value , the remaining duration of the shelf life. The candidate order information set is obtained by selecting the historical order information including the remaining duration of the shelf life of the item within the first predetermined range from the above-mentioned historical order information set as candidate order information. From the candidate order information set, the candidate order information whose corresponding recommendation degree value is within the second predetermined range is selected as the candidate recommended item information to obtain the candidate recommended item information set. Based on the above-mentioned candidate recommended item information set, a recommended item information list is generated. Based on the above-mentioned recommended item information list and the preset basic page, an item recommendation page is generated.
在一些实施例中,所述对目标用户在预定时间段内的历史订单信息集合中的每个历史订单信息进行推荐评估以生成推荐度数值,包括:In some embodiments, the performing recommendation evaluation on each historical order information in the set of historical order information of the target user within a predetermined time period to generate a recommendation degree value includes:
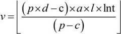
通过以下公式,对所述历史订单信息进行推荐度评估以生成推荐度数值:Through the following formula, the recommendation degree is evaluated on the historical order information to generate the recommendation degree value:
, ,
其中,表示所述推荐度数值,表示所述历史订单信息包括的物品价值转移数值,表示所述历史订单信息包括的物品价值转移数值占比,表示所述历史订单信息包括的物品价值产生数值,表示所述历史订单信息包括的物品价值转移次数,表示所述历史订单信息包括的物品平均浏览次数,表示所述历史订单信息包括的物品标签值,表示所述历史订单信息集合中历史订单信息的数量,表示序号,表示所述历史订单信息集合中历史订单信息包括的物品价值转移数值,表示所述历史订单信息集合中历史订单信息包括的物品价值转移数值占比,表示所述历史订单信息集合中历史订单信息包括的物品价值产生数值,表示所述历史订单信息集合中历史订单信息包括的物品价值转移次数,表示所述历史订单信息集合中历史订单信息包括的物品平均浏览次数,表示所述历史订单信息集合中历史订单信息包括的物品标签值,表示所述历史订单信息集合中第个历史订单信息包括的物品价值转移数值,表示所述历史订单信息集合中第个历史订单信息包括的物品价值转移数值占比,表示所述历史订单信息集合中第个历史订单信息包括的物品价值产生数值,表示所述历史订单信息集合中第个历史订单信息包括的物品价值转移次数,表示所述历史订单信息集合中第个历史订单信息包括的物品平均浏览次数,表示所述历史订单信息集合中第个历史订单信息包括的物品标签值。in, represents the recommendation degree value, represents the item value transfer value included in the historical order information, Indicates the proportion of the item value transfer value included in the historical order information, represents the value of the item value included in the historical order information, Indicates the number of item value transfers included in the historical order information, represents the average browsing times of items included in the historical order information, Indicates the item tag value included in the historical order information, represents the quantity of historical order information in the historical order information set, indicates the serial number, represents the item value transfer value included in the historical order information in the historical order information set, represents the proportion of the value transfer value of items included in the historical order information in the historical order information set, represents the value of the item value included in the historical order information in the historical order information set, represents the number of item value transfers included in the historical order information in the historical order information set, represents the average browsing times of items included in the historical order information in the historical order information set, represents the item tag value included in the historical order information in the historical order information set, Indicates the first order in the historical order information set Item value transfer value included in historical order information, Indicates the first order in the historical order information set The proportion of item value transfer value included in the historical order information, Indicates the first order in the historical order information set The value of the item included in the historical order information generates a numerical value, Indicates the first order in the historical order information set The number of item value transfers included in the historical order information, Indicates the first order in the historical order information set The average number of item views included in the historical order information, Indicates the first order in the historical order information set The item tag value included in the historical order information.
第二方面,本公开的一些实施例提供了一种物品推荐页面生成装置,装置包括:推荐评估单元,被配置成对目标用户在预定时间段内的历史订单信息集合中的每个历史订单信息进行推荐评估以生成推荐度数值,得到推荐度数值集合,其中,上述历史订单信息包括:物品名称,物品标签值,物品平均浏览次数,物品价值转移次数,物品价值转移数值,物品价值转移数值占比,物品价值产生数值,保质期剩余时长。第一选择单元,被配置成从上述历史订单信息集合中选择包括的物品保质期剩余时长在第一预定范围内的历史订单信息作为候选订单信息,得到候选订单信息集合。第二选择单元,被配置成从上述候选订单信息集合中选择对应的推荐度数值在第二预定范围内的候选订单信息作为候选推荐物品信息,得到候选推荐物品信息集合。第一生成单元,被配置成基于上述候选推荐物品信息集合,生成推荐物品信息列表。第二生成单元,被配置成基于上述推荐物品信息列表和预设的基础页面,生成物品推荐页面。In a second aspect, some embodiments of the present disclosure provide an apparatus for generating an item recommendation page, the apparatus includes: a recommendation evaluation unit configured to evaluate each historical order information in a set of historical order information of a target user within a predetermined time period Carry out recommendation evaluation to generate a recommendation degree value, and obtain a recommendation degree value set, wherein the above-mentioned historical order information includes: item name, item tag value, average item browsing times, item value transfer times, item value transfer value, and item value transfer value accounted for Ratio, the value of the item generates a numerical value, and the remaining time of the shelf life. The first selection unit is configured to select, from the above-mentioned historical order information set, the historical order information that includes the remaining duration of the shelf life of the item within the first predetermined range as candidate order information to obtain a candidate order information set. The second selection unit is configured to select candidate order information with a corresponding recommendation degree value within the second predetermined range from the above candidate order information set as candidate recommended item information to obtain a candidate recommended item information set. The first generating unit is configured to generate a recommended item information list based on the above-mentioned candidate recommended item information set. The second generating unit is configured to generate an item recommendation page based on the above-mentioned recommended item information list and a preset basic page.
第三方面,本公开的一些实施例提供了一种电子设备,包括:一个或多个处理器;存储装置,其上存储有一个或多个程序,当一个或多个程序被一个或多个处理器执行,使得一个或多个处理器实现如第一方面中所描述的方法。In a third aspect, some embodiments of the present disclosure provide an electronic device, comprising: one or more processors; a storage device on which one or more programs are stored, when one or more programs are stored by one or more The processor executes such that the one or more processors implement the method as described in the first aspect.
第四方面,本公开的一些实施例提供了一种计算机可读介质,其上存储有计算机程序,其中,程序被处理器执行时实现如第一方面中所描述的方法。In a fourth aspect, some embodiments of the present disclosure provide a computer-readable medium having a computer program stored thereon, wherein the program, when executed by a processor, implements the method as described in the first aspect.
本公开的上述各个实施例具有如下有益效果:通过本公开的一些实施例的物品推荐页面生成方法,在精简推荐页面内容的同时,保持或提高了物品推荐页面中的推荐物品信息与目标用户之间的关联程度。从而,提高了目标用户执行价值相关操作的频率以及减少了计算机资源的浪费。具体来说,发明人发现,造成计算机资源浪费的原因在于:未通过推荐度评估对历史订单信息的推荐度进行量化分析,导致推荐页面中的内容与目标用户的关联度较低以及推荐页面中包含了较多难以促进目标用户执行价值相关操作的物品信息。基于此,本公开的物品推荐页面生成方法,引入了目标用户在预定时间段内的历史订单信息集合。此外,通过确定上述历史订单信息集合中每个历史订单信息的推荐度数值,实现了对推荐度数值的量化。然后,基于推荐度数值集合,从上述历史订单信息集合中筛选出满足条件的历史订单信息作为推荐物品信息以生成推荐信息列表。从而,提高了推荐的物品信息与目标用户之间的关联度,保证了目标用户价值相关操作的频率的稳定以及减少了计算资源的浪费。The above-mentioned embodiments of the present disclosure have the following beneficial effects: through the method for generating an item recommendation page of some embodiments of the present disclosure, while simplifying the content of the recommendation page, the relationship between the recommended item information in the item recommendation page and the target user is maintained or improved. degree of correlation between. Therefore, the frequency of performing value-related operations by the target user is increased and the waste of computer resources is reduced. Specifically, the inventor found that the reason for the waste of computer resources is that the recommendation degree of historical order information was not quantitatively analyzed through the recommendation degree evaluation, resulting in a low degree of relevance between the content in the recommended page and the target user, and in the recommendation page. Contains a lot of item information that is difficult to promote target users to perform value-related operations. Based on this, the method for generating an item recommendation page of the present disclosure introduces a set of historical order information of the target user within a predetermined time period. In addition, by determining the recommendation degree value of each historical order information in the above-mentioned historical order information set, the quantification of the recommendation degree value is realized. Then, based on the set of recommendation degree values, the historical order information that satisfies the condition is selected from the above-mentioned historical order information set as recommended item information to generate a recommended information list. Therefore, the degree of association between the recommended item information and the target user is improved, the frequency of the value-related operation of the target user is guaranteed to be stable, and the waste of computing resources is reduced.
附图说明Description of drawings
结合附图并参考以下具体实施方式,本公开各实施例的上述和其他特征、优点及方面将变得更加明显。贯穿附图中,相同或相似的附图标记表示相同或相似的元素。应当理解附图是示意性的,元件和元素不一定按照比例绘制。The above and other features, advantages and aspects of various embodiments of the present disclosure will become more apparent when taken in conjunction with the accompanying drawings and with reference to the following detailed description. Throughout the drawings, the same or similar reference numbers refer to the same or similar elements. It should be understood that the drawings are schematic and that elements and elements are not necessarily drawn to scale.
图1是根据本公开的一些实施例的物品推荐页面生成方法的一个应用场景的示意图;1 is a schematic diagram of an application scenario of a method for generating an item recommendation page according to some embodiments of the present disclosure;
图2是根据本公开的物品推荐页面生成方法的一些实施例的流程图;2 is a flowchart of some embodiments of a method for generating an item recommendation page according to the present disclosure;
图3是根据本公开的物品推荐页面生成方法的另一些实施例的流程图;FIG. 3 is a flowchart of other embodiments of the method for generating an item recommendation page according to the present disclosure;
图4是根据本公开的物品推荐页面生成装置的一些实施例的结构示意图;4 is a schematic structural diagram of some embodiments of an apparatus for generating an item recommendation page according to the present disclosure;
图5是适于用来实现本公开的一些实施例的电子设备的结构示意图。5 is a schematic structural diagram of an electronic device suitable for implementing some embodiments of the present disclosure.
具体实施方式Detailed ways
下面将参照附图更详细地描述本公开的实施例。虽然附图中显示了本公开的某些实施例,然而应当理解的是,本公开可以通过各种形式来实现,而且不应该被解释为限于这里阐述的实施例。相反,提供这些实施例是为了更加透彻和完整地理解本公开。应当理解的是,本公开的附图及实施例仅用于示例性作用,并非用于限制本公开的保护范围。Embodiments of the present disclosure will be described in more detail below with reference to the accompanying drawings. While certain embodiments of the present disclosure are shown in the drawings, it should be understood that the present disclosure may be embodied in various forms and should not be construed as limited to the embodiments set forth herein. Rather, these embodiments are provided for a thorough and complete understanding of the present disclosure. It should be understood that the drawings and embodiments of the present disclosure are only for exemplary purposes, and are not intended to limit the protection scope of the present disclosure.
另外还需要说明的是,为了便于描述,附图中仅示出了与有关发明相关的部分。在不冲突的情况下,本公开中的实施例及实施例中的特征可以相互组合。In addition, it should be noted that, for the convenience of description, only the parts related to the related invention are shown in the drawings. The embodiments of this disclosure and features of the embodiments may be combined with each other without conflict.
需要注意,本公开中提及的“第一”、“第二”等概念仅用于对不同的装置、模块或单元进行区分,并非用于限定这些装置、模块或单元所执行的功能的顺序或者相互依存关系。It should be noted that concepts such as "first" and "second" mentioned in the present disclosure are only used to distinguish different devices, modules or units, and are not used to limit the order of functions performed by these devices, modules or units or interdependence.
需要注意,本公开中提及的“一个”、“多个”的修饰是示意性而非限制性的,本领域技术人员应当理解,除非在上下文另有明确指出,否则应该理解为“一个或多个”。It should be noted that the modifications of "a" and "a plurality" mentioned in the present disclosure are illustrative rather than restrictive, and those skilled in the art should understand that unless the context clearly indicates otherwise, they should be understood as "one or a plurality of". multiple".
本公开实施方式中的多个装置之间所交互的消息或者信息的名称仅用于说明性的目的,而并不是用于对这些消息或信息的范围进行限制。The names of messages or information exchanged between multiple devices in the embodiments of the present disclosure are only for illustrative purposes, and are not intended to limit the scope of these messages or information.
下面将参考附图并结合实施例来详细说明本公开。The present disclosure will be described in detail below with reference to the accompanying drawings and in conjunction with embodiments.
图1是本公开的一些实施例的物品推荐页面生成方法的一个应用场景的示意图。FIG. 1 is a schematic diagram of an application scenario of the method for generating an item recommendation page according to some embodiments of the present disclosure.
在图1的应用场景中,首先,计算设备101可以对目标用户在预定时间段内的历史订单信息集合102中的每个历史订单信息进行推荐评估以生成推荐度数值,得到推荐度数值集合103,其中,上述历史订单信息包括:物品名称,物品标签值,物品平均浏览次数,物品价值转移次数,物品价值转移数值,物品价值转移数值占比,物品价值产生数值,保质期剩余时长。其次,,计算设备101可以从上述历史订单信息集合102中选择包括的物品保质期剩余时长在第一预定范围内的历史订单信息作为候选订单信息,得到候选订单信息集合104。然后,计算设备101可以从上述候选订单信息集合104中选择对应的推荐度数值在第二预定范围内的候选订单信息作为候选推荐物品信息,得到候选推荐物品信息集合105。进而,计算设备101可以基于上述候选推荐物品信息集合105,生成推荐物品信息列表106。最后,计算设备101可以基于上述推荐物品信息列表106和预设的基础页面107,生成物品推荐页面108。In the application scenario of FIG. 1 , first, the computing device 101 may perform recommendation evaluation on each historical order information in the historical order information set 102 of the target user within a predetermined time period to generate a recommendation degree value, and obtain a recommendation degree value set 103 , wherein the above-mentioned historical order information includes: item name, item tag value, average item browsing times, item value transfer times, item value transfer value, item value transfer value ratio, item value generation value, and the remaining duration of the shelf life. Next, the computing device 101 may select the historical order information included in the above-mentioned historical order information set 102 with the remaining duration of the shelf life of the item within the first predetermined range as candidate order information to obtain the candidate order information set 104 . Then, the computing device 101 can select the candidate order information with the corresponding recommendation degree value within the second predetermined range from the candidate order information set 104 as the candidate recommended item information to obtain the candidate recommended item information set 105 . Further, the computing device 101 may generate a recommended
需要说明的是,上述计算设备101可以是硬件,也可以是软件。当计算设备为硬件时,可以实现成多个服务器或终端设备组成的分布式集群,也可以实现成单个服务器或单个终端设备。当计算设备体现为软件时,可以安装在上述所列举的硬件设备中。其可以实现成例如用来提供分布式服务的多个软件或软件模块,也可以实现成单个软件或软件模块。在此不做具体限定。It should be noted that the above computing device 101 may be hardware or software. When the computing device is hardware, it can be implemented as a distributed cluster composed of multiple servers or terminal devices, or can be implemented as a single server or a single terminal device. When a computing device is embodied as software, it may be installed in the hardware devices listed above. It can be implemented, for example, as multiple software or software modules for providing distributed services, or as a single software or software module. There is no specific limitation here.
应该理解,图1中的计算设备的数目仅仅是示意性的。根据实现需要,可以具有任意数目的计算设备。It should be understood that the number of computing devices in FIG. 1 is merely illustrative. There may be any number of computing devices depending on implementation needs.
继续参考图2,示出了根据本公开的物品推荐页面生成方法的一些实施例的流程200。该物品推荐页面生成方法,包括以下步骤:Continuing to refer to FIG. 2 , a
步骤201,对目标用户在预定时间段内的历史订单信息集合中的每个历史订单信息进行推荐评估以生成推荐度数值,得到推荐度数值集合。
在一些实施例中,物品推荐页面生成方法的执行主体(如图1所示的计算设备101)可以通过以下公式对目标用户在预定时间段内的历史订单信息集合中的每个历史订单信息进行推荐评估以生成推荐度数值,得到推荐度数值集合,其中,上述历史订单信息可以包括:物品名称,物品标签值,物品平均浏览次数,物品价值转移次数(例如,物品购买数量),物品价值转移数值(例如,物品单价),物品价值转移数值占比(例如,物品折扣),物品价值产生数值(例如,物品成本价),保质期剩余时长。上述物品标签值可以用于表征上述目标用户是通过何种方式获得上述物品名称对应的物品信息。可以用“1”表征上述目标用户是通过自行搜索的方式获得上述物品名称对应的物品信息。可以用“2”表征上述目标用户是通过系统推荐的方式获得上述物品名称对应的物品信息:In some embodiments, the execution body of the method for generating the item recommendation page (the computing device 101 shown in FIG. 1 ) may perform the following formula on each historical order information in the historical order information set of the target user within a predetermined period of time. Recommendation evaluation to generate a recommendation degree value, and obtain a recommendation degree value set, wherein the above-mentioned historical order information may include: item name, item tag value, average item browsing times, item value transfer times (for example, item purchase quantity), item value transfer Value (for example, item unit price), percentage of item value transfer value (for example, item discount), item value generation value (for example, item cost price), remaining duration of shelf life. The above-mentioned item tag value may be used to represent how the above-mentioned target user obtains the above-mentioned item information corresponding to the above-mentioned item name. "1" can be used to indicate that the above-mentioned target user obtains the item information corresponding to the above-mentioned item name by self-searching. "2" can be used to indicate that the above target user obtains the item information corresponding to the above item name through system recommendation:
。 .
其中,表示上述推荐度数值。表示上述历史订单信息包括的物品价值转移数值。表示上述历史订单信息包括的物品价值转移数值占比。表示上述历史订单信息包括的物品价值产生数值。表示上述历史订单信息包括的物品价值转移次数。表示上述历史订单信息包括的物品平均浏览次数。表示上述历史订单信息包括的物品标签值。表示向下取整。in, Indicates the above-mentioned recommended degree value. Indicates the item value transfer value included in the above historical order information. Indicates the proportion of item value transfer value included in the above historical order information. Indicates the value generation value of the item included in the above historical order information. Indicates the number of item value transfers included in the above historical order information. Indicates the average browsing times of items included in the above historical order information. Indicates the item tag value included in the above historical order information. Indicates rounded down.
作为示例,上述历史订单信息集合可以是[[凤梨蛋黄酥,1,40次,5盒,30元,9.8折,20元,7天],[司康饼,1,12次,20块,8元,9.6折,3元,7天],[芝士蛋挞,2,50次,3盒,45元,9.8折,30元,4天],[凤梨酥,1,32次,2盒,40元,9.8折,20元,4天]]。则上述历史订单信息[凤梨蛋黄酥,1,40次,5盒,30元,9.8折,20元,7天]对应的推荐度数值可以是17(计算过程如下式)。As an example, the above historical order information set may be [[Pineapple egg yolk pastry, 1, 40 times, 5 boxes, 30 yuan, 9.2% off, 20 yuan, 7 days], [scones, 1, 12 times, 20 pieces, 8 yuan, 9.6% off, 3 yuan, 7 days], [cheese tart, 2, 50 times, 3 boxes, 45 yuan, 9.2% off, 30 yuan, 4 days], [pineapple cake, 1, 32 times, 2 boxes, 40 yuan, 9.2% off, 20 yuan, 4 days]]. Then the above historical order information [pineapple egg yolk pastry, 1, 40 times, 5 boxes, 30 yuan, 9.2% off, 20 yuan, 7 days] corresponds to the recommended value of 17 (the calculation process is as follows).
。 .
在一些实施例的一些可选的实现方式中,上述执行主体对目标用户在预定时间段内的历史订单信息集合中的每个历史订单信息进行推荐评估以生成推荐度数值,得到推荐度数值集合,可以包括以下步骤:In some optional implementations of some embodiments, the above-mentioned execution body performs recommendation evaluation on each historical order information in the historical order information set of the target user within a predetermined time period to generate a recommendation degree value, and obtain a recommendation degree value set , which can include the following steps:
第一步,将历史订单信息包括的物品价值转移数值和物品价值转移数值占比的乘积值确定为第一乘积值。In the first step, the product value of the item value transfer value included in the historical order information and the ratio of the item value transfer value ratio is determined as the first product value.
第二步,将历史订单信息包括的物品价值产生数值与第一乘积值的差值确定为第一差值。In the second step, the difference between the item value generation value included in the historical order information and the first product value is determined as the first difference.
第三步,将历史订单信息包括的物品价值转移数值和物品价值产生数值的差值确定为第二差值。In the third step, the difference between the item value transfer value included in the historical order information and the item value generation value is determined as the second difference value.
第四步,将第一差值和历史订单信息包括的物品价值转移次数和物品价值产生数值的乘积值确定为第二乘积值。The fourth step is to determine the second product value as the product value of the first difference value and the number of times of item value transfer and the item value generation value included in the historical order information.
第五步,基于历史订单信息、第一差值、第二差值和第二乘积值,确定推荐度数值。Step 5: Determine the recommendation degree value based on the historical order information, the first difference value, the second difference value and the second product value.
步骤202,从历史订单信息集合中选择包括的物品保质期剩余时长在第一预定范围内的历史订单信息作为候选订单信息,得到候选订单信息集合。Step 202: Select the historical order information including the remaining duration of the shelf life of the item within the first predetermined range from the historical order information set as candidate order information to obtain a candidate order information set.
在一些实施例中,上述执行主体可以从历史订单信息集合中选择包括的物品保质期剩余时长在第一预定范围内的历史订单信息作为候选订单信息,得到候选订单信息集合。其中,上述第一预定范围可以是[4天,7天]。In some embodiments, the above-mentioned execution subject may select, from the historical order information set, the historical order information that includes the remaining duration of the shelf life of the item within the first predetermined range as the candidate order information to obtain the candidate order information set. Wherein, the above-mentioned first predetermined range may be [4 days, 7 days].
作为示例,上述历史订单信息集合可以是[[凤梨蛋黄酥,1,40次,5盒,30元,9.8折,20元,7天],[司康饼,1,12次,20块,8元,9.6折,3元,7天],[芝士蛋挞,2,50次,3盒,45元,9.8折,30元,4天],[凤梨酥,1,32次,2盒,40元,9.8折,20元,4天]]。则从上述历史订单信息集合中选择包括的物品保质期剩余时长在4天至7天内的历史订单信息作为候选订单信息,得到候选订单信息集合可以是[[凤梨蛋黄酥,1,40次,5盒,30元,9.8折,20元,7天],[司康饼,1,12次,20块,8元,9.6折,3元,7天],[芝士蛋挞,2,50次,3盒,45元,9.8折,30元,4天],[凤梨酥,1,32次,2盒,40元,9.8折,20元,4天]]。As an example, the above historical order information set may be [[Pineapple egg yolk pastry, 1, 40 times, 5 boxes, 30 yuan, 9.2% off, 20 yuan, 7 days], [scones, 1, 12 times, 20 pieces, 8 yuan, 9.6% off, 3 yuan, 7 days], [cheese tart, 2, 50 times, 3 boxes, 45 yuan, 9.2% off, 30 yuan, 4 days], [pineapple cake, 1, 32 times, 2 boxes, 40 yuan, 9.2% off, 20 yuan, 4 days]]. Then, from the above historical order information set, select the historical order information that includes the remaining shelf life of the item within 4 days to 7 days as the candidate order information, and the candidate order information set can be [[Pineapple egg yolk cake, 1, 40 times, 5 boxes , 30 yuan, 9.2% off, 20 yuan, 7 days], [scones, 1, 12 times, 20 yuan, 8 yuan, 6% off, 3 yuan, 7 days], [cheese egg tart, 2, 50 times, 3 Box, 45 yuan, 9.2% off, 30 yuan, 4 days], [pineapple cake, 1, 32 times, 2 boxes, 40 yuan, 9.2% off, 20 yuan, 4 days]].
步骤203,从候选订单信息集合中选择对应的推荐度数值在第二预定范围内的候选订单信息作为候选推荐物品信息,得到候选推荐物品信息集合。Step 203: Select candidate order information with a corresponding recommendation degree value within a second predetermined range from the candidate order information set as candidate recommended item information to obtain a candidate recommended item information set.
在一些实施例中,上述执行主体可以从候选订单信息集合中选择对应的推荐度数值在第二预定范围内的候选订单信息作为候选推荐物品信息,得到候选推荐物品信息集合。其中,上述第二预定范围可以是。In some embodiments, the execution subject may select candidate order information with a corresponding recommendation degree value within the second predetermined range from the candidate order information set as candidate recommended item information to obtain the candidate recommended item information set. Wherein, the above-mentioned second predetermined range may be .
作为示例,上述候选订单信息集合可以是[[凤梨蛋黄酥,1,40次,5盒,30元,9.8折,20元,7天],[司康饼,1,12次,20块,8元,9.6折,3元,7天],[芝士蛋挞,2,50次,3盒,45元,9.8折,30元,4天],[凤梨酥,1,32次,2盒,40元,9.8折,20元,4天]]。上述候选订单信息集合中各个候选订单信息对应的推荐度数值分别可以是17,46,22,6。因此,得到的候选推荐物品信息集合可以是[[凤梨蛋黄酥,1,40次,5盒,30元,9.8折,20元,7天],[司康饼,1,12次,20块,8元,9.6折,3元,7天],[芝士蛋挞,2,50次,3盒,45元,9.8折,30元,4天]]。As an example, the above-mentioned candidate order information set may be [[Pineapple Egg Yolk Cake, 1, 40 times, 5 boxes, 30 yuan, 9.2% off, 20 yuan, 7 days], [scones, 1, 12 times, 20 pieces, 8 yuan, 9.6% off, 3 yuan, 7 days], [cheese tart, 2, 50 times, 3 boxes, 45 yuan, 9.2% off, 30 yuan, 4 days], [pineapple cake, 1, 32 times, 2 boxes, 40 yuan, 9.2% off, 20 yuan, 4 days]]. The recommendation degree values corresponding to each candidate order information in the above candidate order information set may be 17, 46, 22, and 6, respectively. Therefore, the obtained information set of candidate recommended items can be [[pineapple egg yolk cake, 1, 40 times, 5 boxes, 30 yuan, 9.2% off, 20 yuan, 7 days], [scones, 1, 12 times, 20 yuan , 8 yuan, 9.6% off, 3 yuan, 7 days], [cheese tart, 2, 50 times, 3 boxes, 45 yuan, 9.2% off, 30 yuan, 4 days]].
步骤204,基于候选推荐物品信息集合,生成上述推荐物品信息列表。
在一些实施例中,上述执行主体可以基于候选推荐物品信息集合,通过各种方式,生成上述推荐物品信息列表。In some embodiments, the above-mentioned execution body may generate the above-mentioned recommended item information list in various ways based on the candidate recommended item information set.
在一些实施例的一些可选的实现方式中,上述执行主体基于候选推荐物品信息集合,通过各种方式,生成上述推荐物品信息列表,可以包括以下步骤:In some optional implementations of some embodiments, the above-mentioned execution body generates the above-mentioned recommended item information list in various ways based on the candidate recommended item information set, which may include the following steps:
第一步,获取初始推荐物品信息列表。The first step is to obtain the initial recommended item information list.
第二步,将候选推荐物品信息集合中的各个候选推荐物品信息添加到初始推荐物品信息列表以生成推荐物品信息列表。In the second step, each candidate recommended item information in the candidate recommended item information set is added to the initial recommended item information list to generate a recommended item information list.
步骤205,基于推荐物品信息列表和预设的基础页面,生成物品推荐页面。
在一些实施例,上述执行主体可以基于推荐物品信息列表和预设的基础页面,生成物品推荐页面。In some embodiments, the above-mentioned execution body may generate an item recommendation page based on the recommended item information list and a preset basic page.
作为示例,可以将上述推荐物品信息列表填入上述预设的基础页面中的内容显示部分中以生成物品推荐页面。As an example, the above-mentioned recommended item information list may be filled in the content display part of the above-mentioned preset basic page to generate an item recommendation page.
本公开的上述各个实施例具有如下有益效果:通过本公开的一些实施例的物品推荐页面生成方法,在精简推荐页面内容的同时,保持或提高了物品推荐页面中的推荐物品信息与目标用户之间的关联程度。从而,提高了目标用户执行价值相关操作的频率以及减少了计算机资源的浪费。具体来说,发明人发现,造成计算机资源浪费的原因在于:未通过推荐度评估对历史订单信息的推荐度进行量化分析,导致推荐页面中的内容与目标用户的关联度较低以及推荐页面中包含了较多难以促进目标用户执行价值相关操作的物品信息。基于此,本公开的物品推荐页面生成方法,引入了目标用户在预定时间段内的历史订单信息集合。此外,通过确定上述历史订单信息集合中每个历史订单信息的推荐度数值,实现了对推荐度数值的量化。然后,基于推荐度数值集合,从上述历史订单信息集合中筛选出满足条件的历史订单信息作为推荐物品信息以生成推荐信息列表。从而,提高了推荐的物品信息与目标用户之间的关联度,保证了目标用户价值相关操作的频率的稳定以及减少了计算资源的浪费。The above-mentioned embodiments of the present disclosure have the following beneficial effects: through the method for generating an item recommendation page of some embodiments of the present disclosure, while simplifying the content of the recommendation page, the relationship between the recommended item information in the item recommendation page and the target user is maintained or improved. degree of correlation between. Therefore, the frequency of performing value-related operations by the target user is increased and the waste of computer resources is reduced. Specifically, the inventor found that the reason for the waste of computer resources is that the recommendation degree of historical order information was not quantitatively analyzed through the recommendation degree evaluation, resulting in a low degree of relevance between the content in the recommended page and the target user, and in the recommendation page. Contains a lot of item information that is difficult to promote target users to perform value-related operations. Based on this, the method for generating an item recommendation page of the present disclosure introduces a set of historical order information of the target user within a predetermined time period. In addition, by determining the recommendation degree value of each historical order information in the above-mentioned historical order information set, the quantification of the recommendation degree value is realized. Then, based on the set of recommendation degree values, the historical order information that satisfies the condition is selected from the above-mentioned historical order information set as recommended item information to generate a recommended information list. Therefore, the degree of association between the recommended item information and the target user is improved, the frequency of the value-related operation of the target user is guaranteed to be stable, and the waste of computing resources is reduced.
进一步参考图3,其示出了物品推荐页面生成方法的另一些实施例的流程300,该物品推荐页面生成方法的流程300,包括以下步骤:Referring further to FIG. 3, it shows a
步骤301,响应于接收到目标用户的获取信息请求,获取目标用户在预定时间段内的历史订单信息集合。
在一些实施例中,上述执行主体可以响应于接收到目标用户的获取信息请求,通过有线连接或无限连接的方式获取目标用户在预定时间段内的历史订单信息集合。其中,上述历史订单信息可以包括:物品名称,物品标签值,物品平均浏览次数,物品价值转移次数(例如,物品购买数量),物品价值转移数值(例如,物品单价),物品价值转移数值占比(例如,物品折扣),物品价值产生数值(例如,物品成本价),物品保质期剩余时长。上述物品标签值可以用于表征上述目标用户是通过何种方式获得上述物品名称对应的物品信息。可以用“1”表征上述目标用户是通过自行搜索的方式获得上述物品名称对应的物品信息。可以用“2”表征上述目标用户是通过系统推荐的方式获得上述物品名称对应的物品信息。In some embodiments, in response to receiving a request for obtaining information from the target user, the above-mentioned execution body may obtain the set of historical order information of the target user within a predetermined period of time through a wired connection or an unlimited connection. The above historical order information may include: item name, item tag value, average number of item views, item value transfer times (for example, item purchase quantity), item value transfer value (for example, item unit price), and item value transfer value ratio (e.g. item discount), item value yields a value (e.g. item cost price), remaining item shelf life. The above-mentioned item tag value may be used to represent how the above-mentioned target user obtains the above-mentioned item information corresponding to the above-mentioned item name. "1" can be used to indicate that the above-mentioned target user obtains the item information corresponding to the above-mentioned item name by self-searching. "2" can be used to indicate that the above-mentioned target user obtains the item information corresponding to the above-mentioned item name by means of system recommendation.
作为示例,上述历史订单信息集合可以是[[凤梨蛋黄酥,1,40次,5盒,30元,9.8折,20元,7天],[司康饼,1,12次,20块,8元,9.6折,3元,7天],[芝士蛋挞,2,50次,3盒,45元,9.8折,30元,4天],[凤梨酥,1,32次,2盒,40元,9.8折,20元,4天]]。As an example, the above historical order information set may be [[Pineapple egg yolk pastry, 1, 40 times, 5 boxes, 30 yuan, 9.2% off, 20 yuan, 7 days], [scones, 1, 12 times, 20 pieces, 8 yuan, 9.6% off, 3 yuan, 7 days], [cheese tart, 2, 50 times, 3 boxes, 45 yuan, 9.2% off, 30 yuan, 4 days], [pineapple cake, 1, 32 times, 2 boxes, 40 yuan, 9.2% off, 20 yuan, 4 days]].
步骤302,对目标用户在预定时间段内的历史订单信息集合中的每个历史订单信息进行推荐评估以生成推荐度数值,得到推荐度数值集合。Step 302: Perform recommendation evaluation on each historical order information in the historical order information set of the target user within a predetermined time period to generate a recommendation degree value, and obtain a recommendation degree value set.
在一些实施例中,上述执行主体可以通过以下公式对上述历史订单信息进行推荐评估以生成推荐度数值:In some embodiments, the above-mentioned execution body may perform recommendation evaluation on the above-mentioned historical order information through the following formula to generate a recommendation degree value:
。 .
其中,表示上述推荐度数值。表示上述历史订单信息包括的物品价值转移数值。表示上述历史订单信息包括的物品价值转移数值占比。表示上述历史订单信息包括的物品价值产生数值。表示上述历史订单信息包括的物品价值转移次数。表示上述历史订单信息包括的物品平均浏览次数。表示上述历史订单信息包括的物品标签值。表示上述历史订单信息集合中历史订单信息的数量。表示序号。表示上述历史订单信息集合中历史订单信息包括的物品价值转移数值。表示上述历史订单信息集合中历史订单信息包括的物品价值转移数值占比。表示上述历史订单信息集合中历史订单信息包括的物品价值产生数值。表示上述历史订单信息集合中历史订单信息包括的物品价值转移次数。表示上述历史订单信息集合中历史订单信息包括的物品平均浏览次数。表示上述历史订单信息集合中历史订单信息包括的物品标签值。表示上述历史订单信息集合中第个历史订单信息包括的物品价值转移数值。表示上述历史订单信息集合中第个历史订单信息包括的物品价值转移数值占比。表示上述历史订单信息集合中第个历史订单信息包括的物品价值产生数值。表示上述历史订单信息集合中第个历史订单信息包括的物品价值转移次数。表示上述历史订单信息集合中第个历史订单信息包括的物品平均浏览次数。表示上述历史订单信息集合中第个历史订单信息包括的物品标签值。in, Indicates the above-mentioned recommended degree value. Indicates the item value transfer value included in the above historical order information. Indicates the proportion of item value transfer value included in the above historical order information. Indicates the value generation value of the item included in the above historical order information. Indicates the number of item value transfers included in the above historical order information. Indicates the average browsing times of items included in the above historical order information. Indicates the item tag value included in the above historical order information. Indicates the quantity of historical order information in the above historical order information collection. Indicates the serial number. Indicates the item value transfer value included in the historical order information in the above historical order information set. Indicates the proportion of the value transfer value of items included in the historical order information in the above historical order information set. Indicates the value generation value of the items included in the historical order information in the above historical order information set. Indicates the number of item value transfers included in the historical order information in the above historical order information set. Indicates the average browsing times of items included in the historical order information in the above historical order information set. Indicates the item tag value included in the historical order information in the above historical order information set. Indicates the first order in the above historical order information collection Item value transfer value included in historical order information. Indicates the first order in the above historical order information collection The proportion of item value transfer value included in the historical order information. Indicates the first order in the above historical order information collection The value of the item included in the historical order information generates a numerical value. Indicates the first order in the above historical order information collection The number of item value transfers included in the historical order information. Indicates the first order in the above historical order information collection The average number of item views included in the historical order information. Indicates the first order in the above historical order information collection The item tag value included in the historical order information.
作为示例,上述历史订单信息集合可以是[[凤梨蛋黄酥,1,40次,5盒,30元,9.8折,20元,7天],[司康饼,1,12次,20块,8元,9.6折,3元,7天],[芝士蛋挞,2,50次,3盒,45元,9.8折,30元,4天],[凤梨酥,1,32次,2盒,40元,9.8折,20元,4天]]。上述推荐度数值集合可以是[1.46,0.59,1.39,0.56]。其中,上述推荐度数值集合中的推荐度数值均保留两位小数。As an example, the above historical order information set may be [[Pineapple egg yolk pastry, 1, 40 times, 5 boxes, 30 yuan, 9.2% off, 20 yuan, 7 days], [scones, 1, 12 times, 20 pieces, 8 yuan, 9.6% off, 3 yuan, 7 days], [cheese tart, 2, 50 times, 3 boxes, 45 yuan, 9.2% off, 30 yuan, 4 days], [pineapple cake, 1, 32 times, 2 boxes, 40 yuan, 9.2% off, 20 yuan, 4 days]]. The above-mentioned set of recommendation degree values may be [1.46, 0.59, 1.39, 0.56]. Wherein, the recommendation degree values in the above-mentioned recommendation degree value set all retain two decimal places.
上述步骤302中的公式作为本公开的实施例的一个发明点,解决了背景技术提及的技术问题二“在对历史订单信息进行推荐度评估时,未对历史订单的类别进行细分,同时,未综合考虑影响历史订单信息推荐度评估的因素,从而,使得生成的推荐度数值不够准确,进而,使得推荐的内容难以满足服务提供平台的诉求以及难以提高用户执行价值相关操作的频率,可能会造成货品的积压、货架资源的浪费以及货品保鲜资源的过多消耗”。导致货品的积压、货架资源的浪费以及货品保鲜资源的过多消耗的因素往往如下:未能综合考虑对历史订单信息进行推荐度评估产生影响的因素,使得生成的推荐度数值不够准确。如果解决了上述因素,就能够达到减少货品积压,提高货架资源使用效率以及减少用于货品保鲜的设备投入的效果。为了达到这一效果,首先,本公开引入了历史订单信息包括的物品价值转移数值、物品价值转移数值占比、物品价值产生数值和物品价值转移次数。从而,得到了每个历史订单信息对应的实际利润值。通过此种方式,满足了服务提供平台的一个诉求。其次,本公开引入了物品平均浏览次数,以此来量化目标用户对物品的需求程度。除此之外,本公开还引入了物品标签值,通过上述物品标签值来表征历史订单信息对应的物品是用户主动检索的还是系统推荐的。在实际情况中,如果目标用户购买的是系统推荐的物品,则表明向用户推荐的物品往往可以满足用户的消费习惯。如果目标用户购买的是通过主动检索得到的物品,则表明该类物品与用户的需求更为吻合,可以向用户推送与用户通过主动检索得到的物品类似的物品。通过充分考虑对推荐度估计产生影响的因素,从而,在一定程度上保证了推荐度数值的准确性。进而,满足服务提供平台的诉求并提高了推荐的内容与目标用户之间的关联程度,从而提高了目标用户执行价值相关操作的频率、减少了货品的积压、货架资源的浪费以及用于货品保鲜方面的设备投入。The formula in the above-mentioned
步骤303,从历史订单信息集合中选择包括的物品保质期剩余时长在第一预定范围内的历史订单信息作为候选订单信息,得到候选订单信息集合。Step 303: Select the historical order information including the remaining duration of the shelf life of the item within the first predetermined range from the historical order information set as candidate order information to obtain a candidate order information set.
步骤304,从候选订单信息集合中选择对应的推荐度数值在第二预定范围内的候选订单信息作为候选推荐物品信息,得到候选推荐物品信息集合。
在一些实施例中,步骤303-304的具体实现方式及所带来的技术效果可以参考图2对应的那些实施例中的步骤202-203,在此不再赘述。In some embodiments, for the specific implementation manner of steps 303-304 and the technical effects brought about, reference may be made to steps 202-203 in those embodiments corresponding to FIG. 2, and details are not repeated here.
步骤305,从候选推荐物品信息集合中选择包括的物品标签值不满足第一预定条件的候选推荐物品信息作为第一基础推荐物品信息,得到第一基础推荐物品信息集合。Step 305: Select candidate recommended item information whose item tag value does not meet the first predetermined condition from the candidate recommended item information set as the first basic recommended item information to obtain the first basic recommended item information set.
在一些实施例,上述执行主体可以从候选推荐物品信息集合中选择包括的物品标签值不满足第一预定条件的候选推荐物品信息作为第一基础推荐物品信息,得到第一基础推荐物品信息集合。其中,上述第一预定条件可以是物品标签值为2。In some embodiments, the execution subject may select candidate recommended item information whose item tag value does not meet the first predetermined condition from the candidate recommended item information set as the first basic recommended item information to obtain the first basic recommended item information set. Wherein, the above-mentioned first predetermined condition may be that the item tag value is 2.
作为示例,上述候选推荐物品信息集合可以是[[凤梨蛋黄酥,1,40次,5盒,30元,9.8折,20元,7天],[芝士蛋挞,2,50次,3盒,45元,9.8折,30元,4天]]。因此,得到的第一基础推荐物品信息集合可以是[[凤梨蛋黄酥,1,40次,5盒,30元,9.8折,20元,7天]]。As an example, the above-mentioned candidate recommended item information set may be [[Pineapple egg yolk pastry, 1, 40 times, 5 boxes, 30 yuan, 9.2% off, 20 yuan, 7 days], [cheese egg tart, 2, 50 times, 3 boxes, 45 yuan, 9.2% off, 30 yuan, 4 days]]. Therefore, the obtained first basic recommended item information set may be [[pineapple egg yolk cake, 1, 40 times, 5 boxes, 30 yuan, 9.2% off, 20 yuan, 7 days]].
步骤306,从候选推荐物品信息集合中选择包括的物品标签值满足第一预定条件的候选推荐物品信息作为替换推荐物品信息,得到替换推荐物品信息集合。
在一些实施例中,上述执行主体可以从候选推荐物品信息集合中选择包括的物品标签值满足第一预定条件的候选推荐物品信息作为替换推荐物品信息,得到替换推荐物品信息集合。其中,上述第一预定条件可以是物品标签值为2。In some embodiments, the execution subject may select candidate recommended item information whose item tag value meets the first predetermined condition from the candidate recommended item information set as the replacement recommended item information to obtain the replacement recommended item information set. Wherein, the above-mentioned first predetermined condition may be that the item tag value is 2.
作为示例,上述候选推荐物品信息集合可以是[[凤梨蛋黄酥,1,40次,5盒,30元,9.8折,20元,7天],[芝士蛋挞,2,50次,3盒,45元,9.8折,30元,4天]]。因此,得到的替换推荐物品信息集合可以是[[芝士蛋挞,2,50次,3盒,45元,9.8折,30元,4天]]。As an example, the above-mentioned candidate recommended item information set may be [[Pineapple egg yolk pastry, 1, 40 times, 5 boxes, 30 yuan, 9.2% off, 20 yuan, 7 days], [cheese egg tart, 2, 50 times, 3 boxes, 45 yuan, 9.2% off, 30 yuan, 4 days]]. Therefore, the obtained replacement recommended item information set may be [[cheese egg tart, 2, 50 times, 3 boxes, 45 yuan, 9.2% off, 30 yuan, 4 days]].
步骤307,基于替换推荐物品信息集合,生成第二基础推荐物品信息集合。
在一些实施例中,上述执行主体可以基于替换推荐物品信息集合,通过各种方式,生成第二基础推荐物品信息集合。In some embodiments, the above-mentioned execution body may generate the second basic recommended item information set in various ways based on the replacement recommended item information set.
在一些实施例的一些可选的实现方式中,上述执行主体可以从数据库中筛选出与上述替换推荐物品信息集合中每个替换推荐物品信息关联度满足第二预定条件的物品信息作为第二基础推荐物品信息,得到第二基础推荐物品信息集合。其中,上述第二预定条件可以是与替换推荐物品信息关联度最大的物品信息。上述关联度可以通过余弦相似度,马氏距离,皮尔逊相关系数等方法计算得到。In some optional implementations of some embodiments, the above-mentioned execution body may filter out from the database the item information whose correlation degree with each alternative recommended item information in the above-mentioned alternative recommended item information set satisfies the second predetermined condition as the second basis The recommended item information is obtained, and the second basic recommended item information set is obtained. Wherein, the above-mentioned second predetermined condition may be the item information with the highest degree of correlation with the replacement recommended item information. The above correlation degree can be calculated by methods such as cosine similarity, Mahalanobis distance, and Pearson correlation coefficient.
作为示例,上述替换物品信息可以是[芝士蛋挞,2,50次,3盒,45元,9.8折,30元,4天]。上述第二基础推荐物品信息可以是[葡式蛋挞,2,45元,9.8折,30元]。As an example, the above replacement item information may be [cheese tart, 2, 50 times, 3 boxes, 45 yuan, 9.2% off, 30 yuan, 4 days]. The above-mentioned second basic recommended item information may be [Portuguese egg tarts, 2, 45 yuan, 9.2% off, 30 yuan].
步骤308,将第一基础推荐物品信息集合和第二基础推荐物品信息集合进行组合以生成上述推荐物品信息列表。Step 308: Combine the first basic recommended item information set and the second basic recommended item information set to generate the above recommended item information list.
在一些实施例中,上述执行主体可以将上述第一基础推荐物品信息集合和上述第二基础推荐物品信息集合进行组合以生成上述推荐物品信息列表。In some embodiments, the execution subject may combine the first basic recommended item information set and the second basic recommended item information set to generate the recommended item information list.
作为示例,上述推荐物品信息列表可以是[[凤梨蛋黄酥,1,30元,9.8折,20元],[葡式蛋挞,2,45元,9.8折,30元]]。As an example, the above recommended item information list may be [[Pineapple egg yolk pastry, 1, 30 yuan, 9.2% off, 20 yuan], [Portuguese egg tarts, 2, 45 yuan, 9.2% off, 30 yuan]].
步骤309,基于推荐物品信息列表和预设的基础页面,生成物品推荐页面
在一些实施例中,步骤309的具体实现方式及所带来的技术效果可以参考图2对应的那些实施例中的步骤204,在此不再赘述。In some embodiments, for the specific implementation manner of
本公开的上述各个实施例具有如下有益效果:首先,本公开引入了历史订单信息包括的物品价值转移数值、物品价值转移数值占比、物品价值产生数值和物品价值转移次数。从而,得到了每个历史订单信息对应的实际利润值。通过此种方式,满足了服务提供平台的一个诉求。其次,本公开引入了物品平均浏览次数,以此来量化目标用户对物品的需求程度。除此之外,本公开还引入了物品标签值,通过上述物品标签值来表征历史订单信息对应的物品是用户主动检索的还是系统推荐的。在实际情况中,如果目标用户购买的是系统推荐的物品,则表明向用户推荐的物品往往可以满足用户的消费习惯。如果目标用户购买的是通过主动检索得到的物品,则表明该类物品与用户的需求更为吻合,可以向用户推送与用户通过主动检索得到的物品类似的物品。通过充分考虑对推荐度估计产生影响的因素,从而,在一定程度上保证了推荐度数值的准确性。进而,满足服务提供平台的诉求并提高了推荐的内容与目标用户之间的关联程度,从而提高了目标用户执行价值相关操作的频率、减少了货品的积压、货架资源的浪费以及用于货品保鲜方面的设备投入。The above embodiments of the present disclosure have the following beneficial effects: First, the present disclosure introduces the item value transfer value, the item value transfer value ratio, the item value generation value and the item value transfer times included in the historical order information. Thus, the actual profit value corresponding to each historical order information is obtained. In this way, a demand of the service providing platform is satisfied. Secondly, the present disclosure introduces the average browsing times of items, so as to quantify the degree of demand for items by target users. In addition, the present disclosure also introduces an item tag value, which is used to represent whether the item corresponding to the historical order information is actively retrieved by the user or recommended by the system. In actual situations, if the target user purchases the items recommended by the system, it means that the items recommended to the user can often satisfy the user's consumption habits. If the target user purchases an item obtained through active retrieval, it indicates that this type of item is more in line with the user's needs, and an item similar to the item obtained by the user through active retrieval can be pushed to the user. By fully considering the factors affecting the recommendation degree estimation, the accuracy of the recommendation degree value is guaranteed to a certain extent. Furthermore, it satisfies the demands of the service providing platform and improves the degree of association between the recommended content and the target user, thereby increasing the frequency of value-related operations performed by the target user, reducing the backlog of goods, waste of shelf resources, and the need for freshness of goods. investment in equipment.
进一步参考图4,作为对上述各图所示方法的实现,本公开提供了一种物品推荐页面生成方法的一些实施例,这些装置实施例与图2所示的那些方法实施例相对应,该装置具体可以应用于各种电子设备中。With further reference to FIG. 4 , as an implementation of the methods shown in the above figures, the present disclosure provides some embodiments of a method for generating an item recommendation page, and these apparatus embodiments correspond to those method embodiments shown in FIG. 2 . The device can be specifically applied to various electronic devices.
如图4所示,一些实施例的物品推荐页面生成装置400包括:推荐评估单元401、第一选择单元402、第二选择单元403、第一生成单元404和第二生成单元405。其中,推荐评估单元401,被配置成对目标用户在预定时间段内的历史订单信息集合中的每个历史订单信息进行推荐评估以生成推荐度数值,得到推荐度数值集合,其中,上述历史订单信息包括:物品名称,物品标签值,物品平均浏览次数,物品价值转移次数,物品价值转移数值,物品价值转移数值占比,物品价值产生数值,保质期剩余时长。第一选择单元402,被配置成从上述历史订单信息集合中选择包括的物品保质期剩余时长在第一预定范围内的历史订单信息作为候选订单信息,得到候选订单信息集合。第二选择单元403,被配置成从上述候选订单信息集合中选择对应的推荐度数值在第二预定范围内的候选订单信息作为候选推荐物品信息,得到候选推荐物品信息集合。第一生成单元404,被配置成基于上述候选推荐物品信息集合,生成推荐物品信息列表。第二生成单元405,被配置成基于上述推荐物品信息列表和预设的基础页面,生成物品推荐页面。As shown in FIG. 4 , the
可以理解的是,该装置400中记载的诸单元与参考图2描述的方法中的各个步骤相对应。由此,上文针对方法描述的操作、特征以及产生的有益效果同样适用于装置400及其中包含的单元,在此不再赘述。It can be understood that the units recorded in the
下面参考图5,其示出了适于用来实现本公开的一些实施例的电子设备(例如图1中的计算设备101)500的结构示意图。图5示出的电子设备仅仅是一个示例,不应对本公开的实施例的功能和使用范围带来任何限制。Referring now to FIG. 5 , a schematic structural diagram of an electronic device (eg, computing device 101 in FIG. 1 ) 500 suitable for implementing some embodiments of the present disclosure is shown. The electronic device shown in FIG. 5 is only an example, and should not impose any limitation on the function and scope of use of the embodiments of the present disclosure.
如图5所示,电子设备500可以包括处理装置(例如中央处理器、图形处理器等)501,其可以根据存储在只读存储器(ROM)502中的程序或者从存储装置508加载到随机访问存储器(RAM)503中的程序而执行各种适当的动作和处理。在RAM 503中,还存储有电子设备500操作所需的各种程序和数据。处理装置501、ROM 502以及RAM 503通过总线504彼此相连。输入/输出(I/O)接口505也连接至总线504。As shown in FIG. 5 , an
通常,以下装置可以连接至I/O接口505:包括例如触摸屏、触摸板、键盘、鼠标、摄像头、麦克风、加速度计、陀螺仪等的输入装置506;包括例如液晶显示器(LCD)、扬声器、振动器等的输出装置507;包括例如磁带、硬盘等的存储装置508;以及通信装置509。通信装置509可以允许电子设备500与其他设备进行无线或有线通信以交换数据。虽然图5示出了具有各种装置的电子设备500,但是应理解的是,并不要求实施或具备所有示出的装置。可以替代地实施或具备更多或更少的装置。图5中示出的每个方框可以代表一个装置,也可以根据需要代表多个装置。Typically, the following devices can be connected to the I/O interface 505:
特别地,根据本公开的一些实施例,上文参考流程图描述的过程可以被实现为计算机软件程序。例如,本公开的一些实施例包括一种计算机程序产品,其包括承载在计算机可读介质上的计算机程序,该计算机程序包含用于执行流程图所示的方法的程序代码。在这样的一些实施例中,该计算机程序可以通过通信装置509从网络上被下载和安装,或者从存储装置508被安装,或者从ROM 502被安装。在该计算机程序被处理装置501执行时,执行本公开的一些实施例的方法中限定的上述功能。In particular, according to some embodiments of the present disclosure, the processes described above with reference to the flowcharts may be implemented as computer software programs. For example, some embodiments of the present disclosure include a computer program product comprising a computer program carried on a computer-readable medium, the computer program containing program code for performing the method illustrated in the flowchart. In some such embodiments, the computer program may be downloaded and installed from the network via the
需要说明的是,本公开的一些实施例上述的计算机可读介质可以是计算机可读信号介质或者计算机可读存储介质或者是上述两者的任意组合。计算机可读存储介质例如可以是——但不限于——电、磁、光、电磁、红外线、或半导体的系统、装置或器件,或者任意以上的组合。计算机可读存储介质的更具体的例子可以包括但不限于:具有一个或多个导线的电连接、便携式计算机磁盘、硬盘、随机访问存储器(RAM)、只读存储器(ROM)、可擦式可编程只读存储器(EPROM或闪存)、光纤、便携式紧凑磁盘只读存储器(CD-ROM)、光存储器件、磁存储器件、或者上述的任意合适的组合。在本公开的一些实施例中,计算机可读存储介质可以是任何包含或存储程序的有形介质,该程序可以被指令执行系统、装置或者器件使用或者与其结合使用。而在本公开的一些实施例中,计算机可读信号介质可以包括在基带中或者作为载波一部分传播的数据信号,其中承载了计算机可读的程序代码。这种传播的数据信号可以采用多种形式,包括但不限于电磁信号、光信号或上述的任意合适的组合。计算机可读信号介质还可以是计算机可读存储介质以外的任何计算机可读介质,该计算机可读信号介质可以发送、传播或者传输用于由指令执行系统、装置或者器件使用或者与其结合使用的程序。计算机可读介质上包含的程序代码可以用任何适当的介质传输,包括但不限于:电线、光缆、RF(射频)等等,或者上述的任意合适的组合。It should be noted that, in some embodiments of the present disclosure, the computer-readable medium described above may be a computer-readable signal medium or a computer-readable storage medium, or any combination of the foregoing two. The computer-readable storage medium can be, for example, but not limited to, an electrical, magnetic, optical, electromagnetic, infrared, or semiconductor system, apparatus or device, or a combination of any of the above. More specific examples of computer readable storage media may include, but are not limited to, electrical connections with one or more wires, portable computer disks, hard disks, random access memory (RAM), read only memory (ROM), erasable Programmable read only memory (EPROM or flash memory), optical fiber, portable compact disk read only memory (CD-ROM), optical storage devices, magnetic storage devices, or any suitable combination of the above. In some embodiments of the present disclosure, a computer-readable storage medium can be any tangible medium that contains or stores a program that can be used by or in conjunction with an instruction execution system, apparatus, or device. Rather, in some embodiments of the present disclosure, a computer-readable signal medium may include a data signal propagated in baseband or as part of a carrier wave, carrying computer-readable program code therein. Such propagated data signals may take a variety of forms, including but not limited to electromagnetic signals, optical signals, or any suitable combination of the foregoing. A computer-readable signal medium can also be any computer-readable medium other than a computer-readable storage medium that can transmit, propagate, or transport the program for use by or in connection with the instruction execution system, apparatus, or device . Program code embodied on a computer readable medium may be transmitted using any suitable medium including, but not limited to, electrical wire, optical fiber cable, RF (radio frequency), etc., or any suitable combination of the foregoing.
在一些实施方式中,客户端、服务器可以利用诸如HTTP(HyperText TransferProtocol,超文本传输协议)之类的任何当前已知或未来研发的网络协议进行通信,并且可以与任意形式或介质的数字数据通信(例如,通信网络)互连。通信网络的示例包括局域网(“LAN”),广域网(“WAN”),网际网(例如,互联网)以及端对端网络(例如,ad hoc端对端网络),以及任何当前已知或未来研发的网络。In some embodiments, the client and server can communicate using any currently known or future developed network protocol such as HTTP (HyperText Transfer Protocol), and can communicate with digital data in any form or medium (eg, a communications network) interconnect. Examples of communication networks include local area networks ("LAN"), wide area networks ("WAN"), the Internet (eg, the Internet), and peer-to-peer networks (eg, ad hoc peer-to-peer networks), as well as any currently known or future development network of.
上述计算机可读介质可以是上述装置中所包含的;也可以是单独存在,而未装配入该电子设备中。上述计算机可读介质承载有一个或者多个程序,当上述一个或者多个程序被该电子设备执行时,使得该电子设备:对目标用户在预定时间段内的历史订单信息集合中的每个历史订单信息进行推荐评估以生成推荐度数值,得到推荐度数值集合,其中,上述历史订单信息包括:物品名称,物品标签值,物品平均浏览次数,物品价值转移次数,物品价值转移数值,物品价值转移数值占比,物品价值产生数值,保质期剩余时长。从上述历史订单信息集合中选择包括的物品保质期剩余时长在第一预定范围内的历史订单信息作为候选订单信息,得到候选订单信息集合。上述候选订单信息集合中选择对应的推荐度数值在第二预定范围内的候选订单信息作为候选推荐物品信息,得到候选推荐物品信息集合。基于上述候选推荐物品信息集合,生成推荐物品信息列表。基于上述推荐物品信息列表和预设的基础页面,生成物品推荐页面。The above-mentioned computer-readable medium may be included in the above-mentioned apparatus; or may exist alone without being assembled into the electronic device. The above-mentioned computer-readable medium carries one or more programs, and when the above-mentioned one or more programs are executed by the electronic device, the electronic device makes the electronic device: for each historical order information set of the target user within a predetermined time period The order information is recommended to be evaluated to generate a recommendation degree value, and a set of recommendation degree values is obtained, wherein the above historical order information includes: item name, item tag value, average item browsing times, item value transfer times, item value transfer value, item value transfer Value ratio, the value of the item generates a value, and the remaining time of the shelf life. The candidate order information set is obtained by selecting the historical order information including the remaining duration of the shelf life of the item within the first predetermined range from the above-mentioned historical order information set as candidate order information. From the candidate order information set, the candidate order information whose corresponding recommendation degree value is within the second predetermined range is selected as the candidate recommended item information to obtain the candidate recommended item information set. Based on the above-mentioned candidate recommended item information set, a recommended item information list is generated. Based on the above-mentioned recommended item information list and the preset basic page, an item recommendation page is generated.
可以以一种或多种程序设计语言或其组合来编写用于执行本公开的一些实施例的操作的计算机程序代码,上述程序设计语言包括面向对象的程序设计语言—诸如Java、Smalltalk、C++,还包括常规的过程式程序设计语言—诸如“C”语言或类似的程序设计语言。程序代码可以完全地在用户计算机上执行、部分地在用户计算机上执行、作为一个独立的软件包执行、部分在用户计算机上部分在远程计算机上执行、或者完全在远程计算机或服务器上执行。在涉及远程计算机的情形中,远程计算机可以通过任意种类的网络——包括局域网(LAN)或广域网(WAN)——连接到用户计算机,或者,可以连接到外部计算机(例如利用因特网服务提供商来通过因特网连接)。Computer program code for carrying out operations of some embodiments of the present disclosure may be written in one or more programming languages, including object-oriented programming languages—such as Java, Smalltalk, C++, or a combination thereof, Also included are conventional procedural programming languages - such as the "C" language or similar programming languages. The program code may execute entirely on the user's computer, partly on the user's computer, as a stand-alone software package, partly on the user's computer and partly on a remote computer, or entirely on the remote computer or server. In the case of a remote computer, the remote computer may be connected to the user's computer through any kind of network, including a local area network (LAN) or a wide area network (WAN), or may be connected to an external computer (eg, using an Internet service provider to via an Internet connection).
附图中的流程图和框图,图示了按照本公开各种实施例的系统、方法和计算机程序产品的可能实现的体系架构、功能和操作。在这点上,流程图或框图中的每个方框可以代表一个模块、程序段、或代码的一部分,该模块、程序段、或代码的一部分包含一个或多个用于实现规定的逻辑功能的可执行指令。也应当注意,在有些作为替换的实现中,方框中所标注的功能也可以以不同于附图中所标注的顺序发生。例如,两个接连地表示的方框实际上可以基本并行地执行,它们有时也可以按相反的顺序执行,这依所涉及的功能而定。也要注意的是,框图和/或流程图中的每个方框、以及框图和/或流程图中的方框的组合,可以用执行规定的功能或操作的专用的基于硬件的系统来实现,或者可以用专用硬件与计算机指令的组合来实现。The flowchart and block diagrams in the Figures illustrate the architecture, functionality, and operation of possible implementations of systems, methods and computer program products according to various embodiments of the present disclosure. In this regard, each block in the flowchart or block diagrams may represent a module, segment, or portion of code that contains one or more logical functions for implementing the specified functions executable instructions. It should also be noted that, in some alternative implementations, the functions noted in the blocks may occur out of the order noted in the figures. For example, two blocks shown in succession may, in fact, be executed substantially concurrently, or the blocks may sometimes be executed in the reverse order, depending upon the functionality involved. It is also noted that each block of the block diagrams and/or flowchart illustrations, and combinations of blocks in the block diagrams and/or flowchart illustrations, can be implemented in dedicated hardware-based systems that perform the specified functions or operations , or can be implemented in a combination of dedicated hardware and computer instructions.
描述于本公开的一些实施例中的单元可以通过软件的方式实现,也可以通过硬件的方式来实现。所描述的单元也可以设置在处理器中,例如,可以描述为:一种处理器包括推荐评估单元、第一选择单元、第二选择单元、第一生成单元、第二生成单元。其中,这些单元的名称在某种情况下并不构成对该单元本身的限定,例如,推荐评估单元还可以被描述为“对目标用户在预定时间段内的历史订单信息集合中的每个历史订单信息进行推荐评估以生成推荐度数值,得到推荐度数值集合的单元”。The units described in some embodiments of the present disclosure may be implemented by means of software, and may also be implemented by means of hardware. The described unit may also be provided in the processor, for example, it may be described as: a processor includes a recommendation evaluation unit, a first selection unit, a second selection unit, a first generation unit, and a second generation unit. Among them, the names of these units do not constitute a limitation of the unit itself in some cases, for example, the recommendation evaluation unit can also be described as "for each historical order information set of the target user within a predetermined period of time. The order information is recommended to be evaluated to generate the recommendation degree value, and the unit of the recommendation degree value set is obtained.
本文中以上描述的功能可以至少部分地由一个或多个硬件逻辑部件来执行。例如,非限制性地,可以使用的示范类型的硬件逻辑部件包括:现场可编程门阵列(FPGA)、专用集成电路(ASIC)、专用标准产品(ASSP)、片上系统(SOC)、复杂可编程逻辑设备(CPLD)等等。The functions described herein above may be performed, at least in part, by one or more hardware logic components. For example, without limitation, exemplary types of hardware logic components that may be used include: Field Programmable Gate Arrays (FPGAs), Application Specific Integrated Circuits (ASICs), Application Specific Standard Products (ASSPs), Systems on Chips (SOCs), Complex Programmable Logical Devices (CPLDs) and more.
以上描述仅为本公开的一些较佳实施例以及对所运用技术原理的说明。本领域技术人员应当理解,本公开的实施例中所涉及的发明范围,并不限于上述技术特征的特定组合而成的技术方案,同时也应涵盖在不脱离上述发明构思的情况下,由上述技术特征或其等同特征进行任意组合而形成的其它技术方案。例如上述特征与本公开的实施例中公开的(但不限于)具有类似功能的技术特征进行互相替换而形成的技术方案。The above descriptions are merely some preferred embodiments of the present disclosure and illustrations of the applied technical principles. Those skilled in the art should understand that the scope of the invention involved in the embodiments of the present disclosure is not limited to the technical solution formed by the specific combination of the above-mentioned technical features, and should also cover, without departing from the above-mentioned inventive concept, the above-mentioned Other technical solutions formed by any combination of technical features or their equivalent features. For example, a technical solution is formed by replacing the above features with the technical features disclosed in the embodiments of the present disclosure (but not limited to) with similar functions.
| Application Number | Priority Date | Filing Date | Title |
|---|---|---|---|
| CN202011219704.XACN112102043B (en) | 2020-11-05 | 2020-11-05 | Item recommendation page generation method and device, electronic equipment and readable medium |
| Application Number | Priority Date | Filing Date | Title |
|---|---|---|---|
| CN202011219704.XACN112102043B (en) | 2020-11-05 | 2020-11-05 | Item recommendation page generation method and device, electronic equipment and readable medium |
| Publication Number | Publication Date |
|---|---|
| CN112102043A CN112102043A (en) | 2020-12-18 |
| CN112102043Btrue CN112102043B (en) | 2021-03-02 |
| Application Number | Title | Priority Date | Filing Date |
|---|---|---|---|
| CN202011219704.XAActiveCN112102043B (en) | 2020-11-05 | 2020-11-05 | Item recommendation page generation method and device, electronic equipment and readable medium |
| Country | Link |
|---|---|
| CN (1) | CN112102043B (en) |
| Publication number | Priority date | Publication date | Assignee | Title |
|---|---|---|---|---|
| CN112365328B (en)* | 2021-01-13 | 2021-05-25 | 北京每日优鲜电子商务有限公司 | Article sale information display method and device, electronic equipment and readable medium |
| CN113191840B (en)* | 2021-04-25 | 2024-09-24 | 北京沃东天骏信息技术有限公司 | Article information display method, apparatus, electronic device, and computer-readable medium |
| Publication number | Priority date | Publication date | Assignee | Title |
|---|---|---|---|---|
| CN106228386A (en)* | 2016-07-12 | 2016-12-14 | 腾讯科技(深圳)有限公司 | A kind of information-pushing method and device |
| CN110097412A (en)* | 2018-01-31 | 2019-08-06 | 阿里巴巴集团控股有限公司 | Item recommendation method, device, equipment and storage medium |
| CN111401974A (en)* | 2020-06-03 | 2020-07-10 | 北京每日优鲜电子商务有限公司 | Information sending method, information sending device, electronic equipment and computer readable medium |
| CN111428143A (en)* | 2020-06-11 | 2020-07-17 | 北京每日优鲜电子商务有限公司 | Commodity recommendation method and system, server and storage medium |
| CN111881361A (en)* | 2020-09-28 | 2020-11-03 | 北京每日优鲜电子商务有限公司 | Article information pushing method and device, electronic equipment and computer readable medium |
| Publication number | Priority date | Publication date | Assignee | Title |
|---|---|---|---|---|
| US6317722B1 (en)* | 1998-09-18 | 2001-11-13 | Amazon.Com, Inc. | Use of electronic shopping carts to generate personal recommendations |
| Publication number | Priority date | Publication date | Assignee | Title |
|---|---|---|---|---|
| CN106228386A (en)* | 2016-07-12 | 2016-12-14 | 腾讯科技(深圳)有限公司 | A kind of information-pushing method and device |
| CN110097412A (en)* | 2018-01-31 | 2019-08-06 | 阿里巴巴集团控股有限公司 | Item recommendation method, device, equipment and storage medium |
| CN111401974A (en)* | 2020-06-03 | 2020-07-10 | 北京每日优鲜电子商务有限公司 | Information sending method, information sending device, electronic equipment and computer readable medium |
| CN111428143A (en)* | 2020-06-11 | 2020-07-17 | 北京每日优鲜电子商务有限公司 | Commodity recommendation method and system, server and storage medium |
| CN111881361A (en)* | 2020-09-28 | 2020-11-03 | 北京每日优鲜电子商务有限公司 | Article information pushing method and device, electronic equipment and computer readable medium |
| Publication number | Publication date |
|---|---|
| CN112102043A (en) | 2020-12-18 |
| Publication | Publication Date | Title |
|---|---|---|
| CN111932187B (en) | Inventory-related information display method, apparatus, electronic device, and readable medium | |
| CN112035753B (en) | Recommendation page generation method and device, electronic equipment and computer readable medium | |
| CN112036802B (en) | Item replenishment information display method, device, electronic device and readable medium | |
| CN112950239B (en) | Method, apparatus, device and computer readable medium for generating user information | |
| CN111783810A (en) | Method and apparatus for determining attribute information of user | |
| CN112102043B (en) | Item recommendation page generation method and device, electronic equipment and readable medium | |
| CN112182374B (en) | Inventory control methods, devices, electronic equipment and computer-readable media | |
| CN110866040A (en) | User portrait generation method, device and system | |
| CN115081960A (en) | Regional hollow rate information generation method and device, electronic equipment and computer medium | |
| CN111813815A (en) | Data table display method, apparatus, electronic device and computer readable medium | |
| WO2022156589A1 (en) | Method and device for determining live broadcast click rate | |
| CN111770125A (en) | Method and apparatus for pushing information | |
| CN114049072B (en) | Index determination method and device, electronic equipment and computer readable medium | |
| CN112214665A (en) | Content display method and device, electronic equipment and computer readable storage medium | |
| CN111738632B (en) | Device control method, apparatus, electronic device, and computer-readable medium | |
| CN112200643B (en) | Article information pushing method and device, electronic equipment and computer readable medium | |
| US20240296394A1 (en) | Data analysis method, apparatus, device and medium | |
| CN111767290B (en) | Method and device for updating user portrait | |
| CN118626536A (en) | Object mining method, device, equipment and storage medium | |
| CN112308378A (en) | Scheduling device control method, scheduling device control device, electronic device and computer readable medium | |
| CN112364232A (en) | Information generation method and device, electronic equipment and computer readable medium | |
| CN113763083A (en) | Information processing method and device | |
| CN114926234A (en) | Article information pushing method and device, electronic equipment and computer readable medium | |
| CN111985967A (en) | Article information generation method and device, electronic equipment and computer readable medium | |
| CN113077351A (en) | Information pushing method and device applied to insurance industry, electronic equipment and medium |
| Date | Code | Title | Description |
|---|---|---|---|
| PB01 | Publication | ||
| PB01 | Publication | ||
| SE01 | Entry into force of request for substantive examination | ||
| SE01 | Entry into force of request for substantive examination | ||
| GR01 | Patent grant | ||
| GR01 | Patent grant | ||
| TR01 | Transfer of patent right | Effective date of registration:20231121 Address after:518000, Building 702, Building A, No. 4545 Songbai Road, Heshuikou Community, Matian Street, Guangming District, Shenzhen, Guangdong Province Patentee after:Shenzhen Yongsheng Intellectual Property Service Co.,Ltd. Address before:100102 room 801, 08 / F, building 7, yard 34, Chuangyuan Road, Chaoyang District, Beijing Patentee before:BEIJING MISSFRESH E-COMMERCE Co.,Ltd. | |
| TR01 | Transfer of patent right | ||
| TR01 | Transfer of patent right | Effective date of registration:20240424 Address after:No. 106, Jiangshiwu Group, Songjiaqiao Village, Ansha Town, Changsha County, Changsha City, Hunan Province, 410100 Patentee after:Hunan Jinzhong Customized Technology Co.,Ltd. Country or region after:China Address before:518000, Building 702, Building A, No. 4545 Songbai Road, Heshuikou Community, Matian Street, Guangming District, Shenzhen, Guangdong Province Patentee before:Shenzhen Yongsheng Intellectual Property Service Co.,Ltd. Country or region before:China | |
| TR01 | Transfer of patent right | ||
| TR01 | Transfer of patent right | Effective date of registration:20250723 Address after:No. 14, 6th Floor, Unit 2, Building 4, No. 88 Yangzishan Road, Chenghua District, Chengdu City, Sichuan Province 610000 Patentee after:Sichuan Tiancheng Excellent Intellectual Property Service Co.,Ltd. Country or region after:China Address before:No. 106, Jiangshiwu Group, Songjiaqiao Village, Ansha Town, Changsha County, Changsha City, Hunan Province, 410100 Patentee before:Hunan Jinzhong Customized Technology Co.,Ltd. Country or region before:China | |
| TR01 | Transfer of patent right |