Movatterモバイル変換


[0]ホーム

URL:


CN112098131B - A steam generator simulation device for simulating the non-uniform inflow of nuclear main pump inlet - Google Patents

A steam generator simulation device for simulating the non-uniform inflow of nuclear main pump inlet
Download PDF

Info

Publication number
CN112098131B
CN112098131BCN202010969133.5ACN202010969133ACN112098131BCN 112098131 BCN112098131 BCN 112098131BCN 202010969133 ACN202010969133 ACN 202010969133ACN 112098131 BCN112098131 BCN 112098131B
Authority
CN
China
Prior art keywords
plate
main pump
inlet
steam generator
nuclear main
Prior art date
Legal status (The legal status is an assumption and is not a legal conclusion. Google has not performed a legal analysis and makes no representation as to the accuracy of the status listed.)
Active
Application number
CN202010969133.5A
Other languages
Chinese (zh)
Other versions
CN112098131A (en
Inventor
王德忠
宋煜
尹俊连
黄松
许锐
Current Assignee (The listed assignees may be inaccurate. Google has not performed a legal analysis and makes no representation or warranty as to the accuracy of the list.)
Shanghai Jiao Tong University
Original Assignee
Shanghai Jiao Tong University
Priority date (The priority date is an assumption and is not a legal conclusion. Google has not performed a legal analysis and makes no representation as to the accuracy of the date listed.)
Filing date
Publication date
Application filed by Shanghai Jiao Tong UniversityfiledCriticalShanghai Jiao Tong University
Priority to CN202010969133.5ApriorityCriticalpatent/CN112098131B/en
Publication of CN112098131ApublicationCriticalpatent/CN112098131A/en
Application grantedgrantedCritical
Publication of CN112098131BpublicationCriticalpatent/CN112098131B/en
Activelegal-statusCriticalCurrent
Anticipated expirationlegal-statusCritical

Links

Images

Classifications

Landscapes

Abstract

The invention provides a steam generator simulation device for simulating non-uniform incoming flow of a nuclear main pump inlet, which comprises a lower end enclosure, a cylinder, an upper end enclosure, a guide plate, an upper-layer pore plate, a partition plate, a lower-layer pore plate, an inlet pipe and an outlet pipe, wherein the lower end enclosure is provided with a plurality of through holes; the upper end enclosure and the lower end enclosure are respectively connected to the upper end and the lower end of the cylinder body, and an inlet pipe and an outlet pipe are arranged on the lower end enclosure; the center of the cylinder body is provided with a partition plate, the partition plate extends to the lower end enclosure to divide the space between the cylinder body and the lower end enclosure into a left chamber and a right chamber, and the inlet pipe and the outlet pipe are respectively positioned in the left chamber and the right chamber; a guide plate is arranged in the upper end enclosure, an upper-layer pore plate is arranged on the upper portion of the right cavity, and a lower-layer pore plate is arranged on the lower portion of the right cavity. The upper-layer pore plate uniformly rectifies fluid, and the lower-layer pore plate enables the fluid to have the same flow velocity distribution as that of the outlet of the nuclear main pump, so that the non-uniform incoming flow of the inlet of the nuclear main pump is simulated, and the method can be used for researching the influence of the non-uniform incoming flow on the performance of the nuclear main pump.

Description

Steam generator simulation device for simulating non-uniform incoming flow of nuclear main pump inlet
Technical Field
The invention relates to the technical field of nuclear power, in particular to a steam generator simulation device for simulating non-uniform incoming flow of an inlet of a nuclear main pump.
Background
The steam generator at the inlet of the nuclear main pump is directly connected with the two main pumps, so that the incoming flow of the main pump inlet is uneven. In order to research the influence of non-uniform incoming flow of the steam generator on the main pump, the construction shrinkage ratio is 1:2.3 main pump test bench. The steam generator simulation device can simulate an outlet non-uniform flow field generated by an actual steam generator and also provides a basis for subsequent other researches. In the steam generator plant in the nuclear power plant, a form of U-shaped pipe is used, which is expensive to manufacture and process. In most researches on non-uniform inflow of the inlet of the nuclear main pump, only the structure of the lower chamber of the steam generator is reserved mostly, so that the deviation of the flow field of the inlet of the nuclear main pump from the actual flow field is large.
Patent document CN104005963A discloses a main pump structure for a small nuclear power station, which is composed of an inlet guide vane, a sealing ring, an impeller, an outlet guide vane, a snap ring, a key, an impeller bolt, a bolt gasket, a piston ring, a set of fasteners, a main bolt, a main nut gasket, a rotating shaft, a driving device, a heat insulation sealing body, an inner cylinder of a double-layer sleeve of a pressure container, an outer cylinder of the double-layer sleeve of the pressure container, and the like. The pump is driven by the driving device to circulate the reactor coolant at a predetermined flow rate, and transfers heat generated by the reactor core to the two circuits through the steam generator. The steam generator in the scheme is connected in a loop of the nuclear main pump, the uniformity of fluid at an inlet of the nuclear main pump can be influenced, and the effect research of specific influence needs to be realized through a simulation device or is too high in cost. Therefore, designing a steam generator simulator for simulating non-uniform inflow of the inlet of the nuclear main pump is necessary for researching the influence of the non-uniform inflow of the nuclear main pump.
Disclosure of Invention
Aiming at the defects in the prior art, the invention aims to provide a steam generator simulation device for simulating non-uniform inflow of a nuclear main pump inlet.
The invention provides a steam generator simulation device for simulating non-uniform incoming flow of a nuclear main pump inlet, which comprises a lower end enclosure, a cylinder, an upper end enclosure, a guide plate, an upper-layer pore plate, a partition plate, a lower-layer pore plate, an inlet pipe and an outlet pipe, wherein the lower end enclosure is provided with a plurality of through holes;
the upper end enclosure and the lower end enclosure are respectively connected to the upper end and the lower end of the cylinder body, and an inlet pipe and an outlet pipe are arranged on the lower end enclosure;
the center of the cylinder body is provided with a partition plate, the partition plate extends to the lower end enclosure to divide the space between the cylinder body and the lower end enclosure into a left chamber and a right chamber, and the inlet pipe and the outlet pipe are respectively positioned in the left chamber and the right chamber;
a guide plate is arranged in the upper end enclosure, an upper-layer pore plate is arranged on the upper portion of the right cavity, and a lower-layer pore plate is arranged on the lower portion of the right cavity.
Preferably, the sealing device further comprises a bottom plate, the bottom plate is arranged at the bottom of the lower sealing head, and the upper part of the bottom plate is connected with the partition plate.
Preferably, still include the row's clean pipe, arrange clean pipe setting in low head minimum, arrange clean pipe intercommunication left cavity and right cavity.
Preferably, still include the blast pipe, the blast pipe sets up the top at the top of upper cover.
Preferably, the guide plate is arranged above the partition plate, the guide plate is arc-shaped, and the guide plate can guide and introduce the fluid in the left chamber into the right chamber to inhibit the formation of vortex.
Preferably, the openings on the upper-layer pore plate and the lower-layer pore plate are arranged in multiple rows, and the openings are distributed in a regular triangle form, that is, three adjacent openings which are not on the same straight line form a regular triangle.
Preferably, the upper layer orifice plate and the lower layer orifice plate can be detachably arranged in the right chamber of the cylinder body.
Preferably, the axial lengths of the openings on the upper-layer orifice plate are equal, and the flow velocity distribution of the fluid flowing through the upper-layer orifice plate tends to be uniform.
Preferably, the axial lengths of the holes on the lower-layer pore plate are different, and the flow velocity distribution of the fluid flowing through the lower-layer pore plate and the flow velocity distribution of the outlet of the simulated prototype nuclear main pump inlet steam generator meet the similar principle.
Preferably, the axial length of the opening on the lower-layer orifice plate is gradually increased from the side close to the partition plate to the side far away from the partition plate.
Compared with the prior art, the invention has the following beneficial effects:
1. the upper-layer pore plate uniformly rectifies fluid, and the lower-layer pore plate enables the fluid to have the same flow velocity distribution as that of the outlet of the nuclear main pump, so that the non-uniform incoming flow of the inlet of the nuclear main pump is simulated, and the method can be used for researching the influence of the non-uniform incoming flow on the performance of the nuclear main pump.
2. The invention gives consideration to the manufacturing feasibility and reduces the manufacturing cost on the basis of obtaining the outlet speed distribution meeting the requirement, and is favorable for researching the non-uniform incoming flow of the inlet of the nuclear main pump.
3. The invention forms a U-shaped structure through the baffle plate nuclear baffle plate, is used for simulating the structure of a real steam generator, and changes the fluid velocity after passing through the holes with different axial lengths on the lower-layer pore plate, thereby simulating the fluid flow velocity distribution at the outlet of the real steam generator.
Drawings
Other features, objects and advantages of the invention will become more apparent upon reading of the detailed description of non-limiting embodiments with reference to the following drawings:
FIG. 1 is a schematic structural diagram of the present invention.
FIG. 2 is a schematic top view of an upper or lower orifice plate of the present invention.
Fig. 3 is an enlarged view of a person in the area a in fig. 2.
Fig. 4 is an enlarged view of the region B in fig. 2.
Fig. 5 is a schematic longitudinal cross-section (or longitudinal section) of a lower orifice plate according to the present invention.
FIG. 6 is a Moody friction coefficient chart.
FIG. 7 is a graph showing the relationship between the axial length of holes and the hole row number of the lower hole plate according to the present invention.
The figures show that:
lower end socket 1 clapboard 7
Lower-layer pore plate 8 ofcylinder 2
Upper head 3inlet pipe 9
Deflector 4outlet pipe 10
Exhaust pipe 11 of upper-layer orifice plate 5
Bottom plate 6 row ofclean pipes 12
Detailed Description
The present invention will be described in detail with reference to specific examples. The following examples will assist those skilled in the art in further understanding the invention, but are not intended to limit the invention in any way. It should be noted that it would be obvious to those skilled in the art that various changes and modifications can be made without departing from the spirit of the invention. All falling within the scope of the present invention.
The invention aims to provide a steam generator simulation device capable of simulating non-uniform incoming flow of a nuclear main pump inlet, which is a device capable of simulating a non-uniform incoming flow field of the nuclear main pump inlet.
According to the steam generator simulation device for simulating the non-uniform incoming flow of the inlet of the nuclear main pump, as shown in fig. 1, the steam generator simulation device comprises a lower end enclosure 1, acylinder 2, an upper end enclosure 3, a guide plate 4, an upper-layer pore plate 5, a partition plate 7, a lower-layer pore plate 8, aninlet pipe 9 and anoutlet pipe 10; the upper end enclosure 3 and the lower end enclosure 1 are respectively connected to the upper end and the lower end of thecylinder 2, and the lower end enclosure 1 is provided with aninlet pipe 9 and anoutlet pipe 10; a partition plate 7 is arranged in the center of thecylinder 2, the partition plate 7 extends to the lower end enclosure 1 to divide the space between thecylinder 2 and the lower end enclosure 1 into a left chamber and a right chamber, and theinlet pipe 9 and theoutlet pipe 10 are respectively positioned in the left chamber and the right chamber; a guide plate 4 is arranged inside the upper end enclosure 3, an upper-layer pore plate 5 is arranged on the upper portion of the right cavity, and a lower-layer pore plate 8 is arranged on the lower portion of the right cavity.
Preferably, thecylinder 2 is connected with the upper seal head 3 and the lower seal head 1 by adopting container flanges. The related dimension of the lower end socket 1 is strictly designed by reducing the dimension by 1:2.3 according to the dimension of the lower cavity of the steam generator at the inlet of the simulated prototype nuclear main pump, so as to ensure the similarity of hydraulic models. The structural forms of the lower end socket 1 and the upper end socket 3 are spherical end sockets. The number of theoutlet pipes 10 is two, and the twooutlet pipes 10 are symmetrically arranged.
As shown in fig. 1, the sealing device further comprises abottom plate 6, wherein thebottom plate 6 is arranged at the bottom of the lower sealing head 1, and the upper part of thebottom plate 6 is connected with a partition plate 7. Still include row'sclean pipe 12, arrangeclean pipe 12 and set up in low head 1 minimum, arrangeclean pipe 12 intercommunication left cavity and right cavity. Still includeexhaust pipe 11,exhaust pipe 11 sets up the top at last head 3. The guide plate 4 is arranged above the partition plate 7, the guide plate 4 is arc-shaped, and the guide plate 4 can guide the fluid in the left chamber into the right chamber, so that the formation of a vortex is inhibited, the flow resistance loss is reduced, and the rectification effect is achieved.
Preferably, thebottom plate 6 is inclined downward from the right chamber (the chamber where theoutlet pipe 10 is located) to the left chamber (the chamber where theinlet pipe 9 is located), theinlet pipe 9 is positioned lower than thebottom plate 6, and the portion of thebottom plate 6 located in the right chamber is provided with through holes near the partition 7, so that the fluid in the right chamber enters below thebottom plate 6 through the through holes and is discharged through thedischarge pipe 12.
As shown in fig. 1, 2-5 and 7, the openings of the upper-layer orifice plate 5 and the lower-layer orifice plate 8 are arranged in multiple rows, and the openings are distributed in a regular triangle form, that is, three adjacent openings which are not on the same straight line form a regular triangle. The upper-layer pore plate 5 and the lower-layer pore plate 8 can be detachably arranged in the right cavity of the cylinder 3. The axial lengths of the holes on the upper-layer pore plate 5 are equal, and the flow velocity distribution of the fluid after flowing through the upper-layer pore plate 5 tends to be uniform. As shown in fig. 5 and 7, the axial lengths of the openings of the lower-layer orifice plate 8 are different, and the flow velocity distribution of the fluid flowing through the lower-layer orifice plate 8 and the flow velocity distribution of the outlet of the inlet steam generator of the simulated prototype nuclear main pump satisfy a similar principle. The axial length of the opening on the lower-layer orifice plate 8 is gradually increased from the side close to the partition plate 7 to the side far away from the partition plate 7.
Preferably, the number of the upper-layer pore plates 5 is two, the speed of the fluid tends to be uniform after passing through the upper-layer pore plates 5, the number of the lower-layer pore plates 8 is one, and the speed distribution of the fluid after passing through the lower-layer pore plates 8 and the speed distribution of the outlet of the inlet steam generator of the simulated prototype nuclear main pump meet the similar principle. Preferably, the radial dimension of the openings in the upper layer ofperforated plate 5 is the same, and the radial dimension of the openings in the lower layer of perforated plate 8 is the same.
A steam generator simulation device for simulating non-uniform inflow of an inlet of a nuclear main pump is connected into a loop, aninlet pipe 9 is connected with a loop pipeline, and anoutlet pipe 10 is connected with a model main pump. Fluid medium in the loop enters from aninlet pipe 9 of the lower end enclosure 1, flows through a left chamber of thecylinder 2 and then enters a right chamber through the guide plate 4, when the fluid medium passes through the upper end enclosure 3, the guide plate 4 can inhibit the vortex formed at the position, then the fluid flows through the upper-layer pore plate 5, the upper-layer pore plate 5 has a rectification function, the overall flow of the fluid medium after passing through the upper-layer pore plate 5 is relatively uniform, then the fluid medium passes through the lower-layer pore plate 8 below the right cavity of thecylinder 2, the lower-layer pore plate 8 has pore channels with different axial lengths, different outlet speed distributions can be obtained by designing different pore channel sizes, and finally, after the desired flow field velocity profile (a flow field velocity profile satisfying a similar principle to that of the simulated prototype nuclear main pump inlet steam generator outlet) is obtained, the fluidic medium flow exits theoutlet pipe 10 into the model main pump.
In order to simultaneously consider the simple structure of the equipment and simulate the linear distribution velocity field in the U-shaped pipe of the inlet steam generator of the prototype nuclear main pump, the invention designs the lower-layer pore plate 8 with pore canals with different lengths, and the design steps of the lower-layer pore plate 8 are as follows:
step 1: extracting a speed distribution curve function of an outlet of a U-shaped pipe of a steam generator at an inlet of a prototype nuclear main pump;
step 2: the lower layer orifice plate 8 is provided with holes;
and step 3: calculating the velocity distribution of the flow field of the lower-layer pore plate 8;
and 4, step 4: and calculating the distribution of the axial length (channel length) of the openings on the lower-layer pore plate 8.
The step 1 specifically comprises the following steps:
assuming that the outlet speed distribution of a U-shaped pipe of an inlet steam generator of a prototype nuclear main pump is a linear function, the hole row number x from the center to the edge of the U-shaped pipe is an abscissa, and the speed w is set as an ordinate, the method comprises the following steps:
w=kmx+bm
wherein k ism,bmIs a constant.
Thestep 2 specifically comprises the following steps:
as shown in fig. 2-4, the lower-layer orifice plate 8 adopts regular triangle rows according to GB151, that is, three adjacent openings which are not on the same straight line form a regular triangle, the opening diameter is d, the hole center distance is d1, n holes are obtained, a rows of holes are counted from the side close to the partition plate 7 to the side far from the partition plate 7, the hole row number (row from the side close to the partition plate 7) is represented by i, i is 1, 2, 3 … a, and the distance from the first row to the center of the partition plate 7 is L.
The step 3 specifically comprises the following steps:
because the flow velocity distribution of the fluid after flowing through the lower-layer pore plate 8 and the velocity distribution of the outlet of the simulated prototype nuclear main pump inlet steam generator meet the similar principle, the flow velocity distribution curve of the flow field after flowing through the lower-layer pore plate 8 is also a linear function, namely v ═ ki + b, and the outlet of the simulated prototype nuclear main pump inlet steam generatorThe upper openings are m rows, the gradient of the flow velocity distribution in the pipe is km(ii) a The holes on the lower layer orifice plate 8 are a rows, and the slope of the flow velocity distribution of the fluid after flowing through the lower layer orifice plate 8 is obtained according to the proportional relation
Figure BDA0002683419140000051
The relationship between the speed of the next row and the speed of the previous row is:
vi-vi-1=k
the average velocity of the fluid after passing through the lower orifice plate 8 is:
Figure BDA0002683419140000061
wherein Q ismVolume flow through the lower orifice plate 8 in m3R is the pore radius in m;
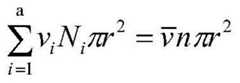
the average flow rate multiplied by the total orifice number equals the sum of the velocities within each orifice:
Figure BDA0002683419140000062
Figure BDA0002683419140000063
wherein N isiThe number of the pore channels in the ith row is represented;
the speed value of the row of the pore canals with the highest speed is equal to the average speed multiplied by the total hole number minus the speed of each row of the rest pore canals with the highest speed multiplied by the corresponding pore canal number, and then divided by the maximum row of the pore canals:
Figure BDA0002683419140000064
then
b=vmax-k×1
Finally, a specific functional relationship of v ═ ki + b can be obtained.
The step 4 specifically comprises the following steps:
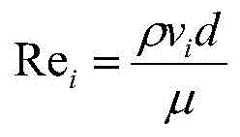
the Reynolds number in the upper opening of the lower-layer pore plate 8 is:
Figure BDA0002683419140000065
Figure BDA0002683419140000066
Figure BDA0002683419140000067
wherein, ReiReynolds number, Re, of the ith row of holesmaxAt maximum Reynolds number, ReminIs the minimum Reynolds number, and ρ is the fluid density in kg/m3;viIs the flow velocity in the ith row of holes in units of m/s, v1Is the flow velocity in row 1 hole, vaIs the flow velocity in the a-th row of holes, d is the diameter of the holes, in m; mu is the kinematic viscosity of the fluid, in Pa · s;
relative roughness of
Figure BDA0002683419140000068
Wherein epsilon is absolute roughness, and epsilon is 0.1 to obtain relative roughness;
according to the Moody friction coefficient diagram (figure 6), the Reynolds numbers of different pore channels are different due to different lengths, and the Moody diagram is searched according to the calculated maximum Reynolds number and minimum Reynolds number to obtain friction factors corresponding to different pores; in the application, the friction factor values corresponding to different channels are similar and are positioned in a smoother section in the figure, and for the convenience of calculation, the friction factor value corresponding to the average flow rate is selected as the friction factor lambda value of each channel, wherein lambda is approximately equal to 0.027;
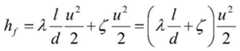
according to a straight pipe resistance formula:
Figure BDA0002683419140000071
wherein h isfIs the straight pipe resistance in m2/s2(ii) a λ is friction factor, 0.027 is taken; 1 is the length of the tube in mm; d is the pipe diameter in mm; zeta is a local resistance coefficient, and a formula is calculated and shown in the follow-up; u is the flow velocity in the tube, m/s.
According to the fact that head losses hf (representing the flow mechanical energy loss of fluid in unit weight, corresponding to a lower-layer pore plate, namely the mechanical energy loss when different pore channel fluids flow) of parallel pipelines are the same, for two different holes, the numbers of the holes are hole 1 andhole 2, the method comprises the following steps: h isf1=hf2
Figure BDA0002683419140000072
Figure BDA0002683419140000073
Let ζ be12ζ (wherein ζ)1=1;ζ20.5, the former representing the local resistance coefficient due to the constriction when the fluid flows into the channel and the latter representing the local resistance coefficient due to the flare), then:
Figure BDA0002683419140000074
finally, assuming a first row of channels having a length of 50mm, a distribution of the lengths of the channels of the evaporator simulating assembly is obtained as shown in FIG. 7.
In one embodiment, the upper sealing head 3 is in the form of a spherical sealing head, the inner diameter of the spherical sealing head is 1932mm, the wall thickness of the spherical sealing head is 12mm, a flow guide plate 4 is arranged in the middle of the spherical sealing head and used for improving the flow field structure, the flow guide plate 4 is connected with the upper sealing head 3 in a welding mode, anexhaust pipe 11 is arranged on the top of the upper sealing head 3, and the upper sealing head 3 is connected with thebarrel 2 through a container flange.
The internal diameter ofcylindrical barrel 2 is 1932mm, and the wall thickness is 12mm, highly equals about 4m, is equipped with the baffle 7 that the wall thickness is 12mm in the middle of thebarrel 2, baffle 7 and 1bottom plate 6 sealing connection of low head, and baffle 7 is withbarrel 2 and 1 inside two cavities that divide into of low head, left cavity feed liquor, and right cavity goes out the liquid, andbarrel 2 and 1 adoption container flange joint of low head.
Three orifice plates (twoupper orifice plates 5 and one lower orifice plate 8) are placed in the right cavity of thecylinder body 2, the orifice plates are detachably connected, the twoupper orifice plates 5 above have an effect of homogenizing incoming flow, the lower orifice plate 8 below can linearize the uniform flow field velocity distribution, the fluid flow velocity distribution at the outlet of the lower orifice plate 8 and the velocity distribution at the outlet of the simulated prototype nuclear main pump inlet steam generator meet the similarity principle, the holes of theupper orifice plate 5 and the lower orifice plate 8 adopt a regular triangle form according to GB151, the hole diameter d is 38mm, the hole distance d1 is 55mm, the axial length distribution of the holes on the lower orifice plate 8 is shown in figure 7, the hole row number is 19 rows from one end close to the partition plate 7.
The related dimension of the lower end socket 1 is strictly designed according to the dimension of the lower chamber of the original steam generator in a size reduction of 1:2.3, so that the similarity of hydraulic models is ensured. The structural form of the lower end enclosure 1 is a spherical end enclosure, the inner diameter is 1932mm, the wall thickness is 12mm, the bottom of the lower end enclosure 1 is provided with abottom plate 6, the thickness is 12mm, liquid is reserved in a clean discharging container, the bottom of the lower end enclosure 1 is provided with a clean dischargingpipe 12, and the lower end enclosure 1 is provided with aninlet pipe 9 and two symmetrically arrangedoutlet pipes 10.
In the description of the present application, it is to be understood that the terms "upper", "lower", "front", "rear", "left", "right", "vertical", "horizontal", "top", "bottom", "inner", "outer", and the like indicate orientations or positional relationships based on those shown in the drawings, and are only for convenience in describing the present application and simplifying the description, but do not indicate or imply that the referred device or element must have a specific orientation, be constructed in a specific orientation, and be operated, and thus, should not be construed as limiting the present application.
The foregoing description of specific embodiments of the present invention has been presented. It is to be understood that the present invention is not limited to the specific embodiments described above, and that various changes or modifications may be made by one skilled in the art within the scope of the appended claims without departing from the spirit of the invention. The embodiments and features of the embodiments of the present application may be combined with each other arbitrarily without conflict.

Claims (9)

1. A steam generator simulation device for simulating non-uniform incoming flow of a nuclear main pump inlet is characterized by comprising a lower seal head (1), a barrel body (2), an upper seal head (3), a guide plate (4), an upper-layer pore plate (5), a partition plate (7), a lower-layer pore plate (8), an inlet pipe (9) and an outlet pipe (10);
the upper sealing head (3) and the lower sealing head (1) are respectively connected to the upper end and the lower end of the cylinder body (2), and an inlet pipe (9) and an outlet pipe (10) are arranged on the lower sealing head (1);
a partition plate (7) is arranged in the center of the cylinder body (2), the partition plate (7) extends to the lower end enclosure (1) to divide the space of the cylinder body (2) and the lower end enclosure (1) into a left chamber and a right chamber, and the inlet pipe (9) and the outlet pipe (10) are respectively positioned in the left chamber and the right chamber;
a guide plate (4) is arranged inside the upper end enclosure (3), an upper-layer pore plate (5) is arranged at the upper part of the right chamber, and a lower-layer pore plate (8) is arranged at the lower part of the right chamber;
the axial lengths of the holes in the lower-layer pore plate (8) are different, and the flow velocity distribution of fluid flowing through the lower-layer pore plate (8) and the velocity distribution of the outlet of the simulated prototype nuclear main pump inlet steam generator meet the similar principle.
2. The steam generator simulator for simulating the non-uniform inflow of the inlet of the nuclear main pump as claimed in claim 1, further comprising a bottom plate (6), wherein the bottom plate (6) is arranged at the bottom of the lower seal head (1), and a partition plate (7) is connected to the upper part of the bottom plate (6).
3. The steam generator simulator for simulating the non-uniform inflow of the inlet of the nuclear main pump as claimed in claim 1, further comprising a drain pipe (12), wherein the drain pipe (12) is arranged at the lowest point of the lower head (1), and the drain pipe (12) is communicated with the left chamber and the right chamber.
4. The steam generator simulator for simulating the non-uniform inflow of the inlet of the nuclear main pump as claimed in claim 1, further comprising an exhaust pipe (11), wherein the exhaust pipe (11) is arranged at the top end of the upper end enclosure (3).
5. The steam generator simulator for simulating the non-uniform inflow of the inlet of the nuclear main pump according to claim 1, wherein the guide plate (4) is arranged above the partition plate (7), the guide plate (4) is arc-shaped, and the guide plate (4) can guide and introduce the fluid in the left chamber into the right chamber to inhibit the formation of vortex.
6. The steam generator simulator for simulating the non-uniform inflow of the inlet of the nuclear main pump, as recited in claim 1, wherein the openings of the upper-layer orifice plate (5) and the lower-layer orifice plate (8) are arranged in multiple rows, and the openings are distributed in a regular triangle manner, that is, three adjacent openings which are not on the same straight line form a regular triangle.
7. The steam generator simulator for simulating the non-uniform inflow of the inlet of the nuclear main pump as claimed in claim 1, wherein the upper-layer orifice plate (5) and the lower-layer orifice plate (8) are detachably mounted in the right chamber of the cylinder (3).
8. The steam generator simulator for simulating the non-uniform inflow of the inlet of the nuclear main pump, as recited in claim 1, wherein the axial lengths of the openings of the upper-layer orifice plate (5) are equal, and the flow velocity distribution of the fluid flowing through the upper-layer orifice plate (5) tends to be uniform.
9. The steam generator simulator for simulating non-uniform inflow of the inlet of the nuclear main pump according to claim 1, wherein the axial length of the opening of the lower-layer orifice plate (8) is gradually increased from the side close to the partition plate (7) to the side far away from the partition plate (7).
CN202010969133.5A2020-09-152020-09-15 A steam generator simulation device for simulating the non-uniform inflow of nuclear main pump inletActiveCN112098131B (en)

Priority Applications (1)

Application NumberPriority DateFiling DateTitle
CN202010969133.5ACN112098131B (en)2020-09-152020-09-15 A steam generator simulation device for simulating the non-uniform inflow of nuclear main pump inlet

Applications Claiming Priority (1)

Application NumberPriority DateFiling DateTitle
CN202010969133.5ACN112098131B (en)2020-09-152020-09-15 A steam generator simulation device for simulating the non-uniform inflow of nuclear main pump inlet

Publications (2)

Publication NumberPublication Date
CN112098131A CN112098131A (en)2020-12-18
CN112098131Btrue CN112098131B (en)2021-12-24

Family

ID=73759177

Family Applications (1)

Application NumberTitlePriority DateFiling Date
CN202010969133.5AActiveCN112098131B (en)2020-09-152020-09-15 A steam generator simulation device for simulating the non-uniform inflow of nuclear main pump inlet

Country Status (1)

CountryLink
CN (1)CN112098131B (en)

Families Citing this family (2)

* Cited by examiner, † Cited by third party
Publication numberPriority datePublication dateAssigneeTitle
CN112964894B (en)*2021-02-032022-08-26青岛科技大学Water vapor simulation generator for gas field distribution measurement experiment
CN115050492B (en)*2022-05-072024-05-10上海核工程研究设计院股份有限公司Visual test piece of steam generator hydroecium head and main pump case integration

Citations (7)

* Cited by examiner, † Cited by third party
Publication numberPriority datePublication dateAssigneeTitle
US3898961A (en)*1972-06-261975-08-12Siemens AgSteam generator
CN1649665A (en)*2002-04-142005-08-03益达科技责任有限公司 Steam Reforming Fuel Processor, Combustor Assembly, and Method of Operation
CN101307897A (en)*2008-06-242008-11-19清华大学 A device to ensure the flow uniformity of the medium in the primary circuit of the gas-cooled reactor in the steam generator
CN102049224A (en)*2009-10-272011-05-11中国石油化工股份有限公司Flow field turbulator
CN204177137U (en)*2014-09-042015-02-25安徽食亿鲜食品有限公司A kind of cellular-type can cooling vacuum vapor drying plant
CN105716061A (en)*2015-12-142016-06-29美的集团股份有限公司Steam generator, steam generator system and household appliance
CN110578915A (en)*2019-09-112019-12-17常州大学 A steam generator with preheater and superheater

Family Cites Families (7)

* Cited by examiner, † Cited by third party
Publication numberPriority datePublication dateAssigneeTitle
DK0439765T3 (en)*1990-01-311995-10-02Siemens Ag A steam generator
JP2963586B2 (en)*1992-09-241999-10-18株式会社日立製作所 Steam generator
JP2012063119A (en)*2010-09-172012-03-29Toshiba CorpMoisture separating heating apparatus
JP6232051B2 (en)*2012-04-252017-11-15エスエムアール・インベンテック・エルエルシー Nuclear steam supply system and method
CN203311741U (en)*2013-07-122013-11-27中国核动力研究设计院Simulation structure of downward channel of steam generator
CN207990581U (en)*2017-12-082018-10-19李尚福High performance vapor generator
CN210462964U (en)*2020-01-172020-05-05北京民利储能技术有限公司Steam generator for fused salt energy storage

Patent Citations (7)

* Cited by examiner, † Cited by third party
Publication numberPriority datePublication dateAssigneeTitle
US3898961A (en)*1972-06-261975-08-12Siemens AgSteam generator
CN1649665A (en)*2002-04-142005-08-03益达科技责任有限公司 Steam Reforming Fuel Processor, Combustor Assembly, and Method of Operation
CN101307897A (en)*2008-06-242008-11-19清华大学 A device to ensure the flow uniformity of the medium in the primary circuit of the gas-cooled reactor in the steam generator
CN102049224A (en)*2009-10-272011-05-11中国石油化工股份有限公司Flow field turbulator
CN204177137U (en)*2014-09-042015-02-25安徽食亿鲜食品有限公司A kind of cellular-type can cooling vacuum vapor drying plant
CN105716061A (en)*2015-12-142016-06-29美的集团股份有限公司Steam generator, steam generator system and household appliance
CN110578915A (en)*2019-09-112019-12-17常州大学 A steam generator with preheater and superheater

Non-Patent Citations (2)

* Cited by examiner, † Cited by third party
Title
CPR1000蒸汽发生器的结构分析;刘振凤等;《一重技术》;20100615;全文*
Experimental dataset with high-speed visualization for vertical upward steam-water flow with transition from annulus to circular channel;Zhiee Jhia Ooi等;《International Journal of Heat and Mass Transfer》;20200814;全文*

Also Published As

Publication numberPublication date
CN112098131A (en)2020-12-18

Similar Documents

PublicationPublication DateTitle
CN112098131B (en) A steam generator simulation device for simulating the non-uniform inflow of nuclear main pump inlet
CN105973052A (en)Tube in cross-flow conduit heat exchanger
CN110282074B (en)Variable working condition low noise configuration regulation and control method for ship cooling pipeline system
Mallela et al.Numerical investigation of the effect of geometry on the performance of a jet pump
CN110705047B (en) A Design and Calculation Method for Wound Tube Heat Exchanger with Baffles
CN109579575B (en)Fractal Channel Printed Circuit Board Heat Exchanger
Bing et al.Multi-parameter optimization design, numerical simulation and performance test of mixed-flow pump impeller
CN104828884A (en)Multilayer nested cavitator capable of forming large-range cavitation
CN105571356A (en)Rib/spiral piece combined double-pipe heat exchanger
CN107036483A (en)It is a kind of to improve the parallel cooling duct of assignment of traffic uniformity
Shao et al.Study of improvements on flow maldistribution of double tube-passes shell-and-tube heat exchanger with rectangular header
Ham et al.Two-phase flow distribution in a refrigerant distributor having four indoor-unit connections of a variable refrigerant flow system
Bosak et al.Studying the mutual interaction of hydraulic characteristics of water-distributing pipelines and their spraying devices in the coolers at energy units
CN105258533A (en)Shell-and-tube heat exchanger of fractal structure
DzyubenkoEstimation of the thermohydraulic efficiency of heat exchanging apparatuses with twisted tubes
CN212870841U (en)Winding tube type evaporator
CN102374810B (en)Low-water-level horizontal steam distributing pipe bottom-heating steam-jetting heat storage device
CN115992910B (en) A spiral cooling high temperature back pressure regulating valve
CN209147781U (en) A shell and tube heat exchanger
CN103868372B (en)Geothermal heat exchange system and geothermal heat energy power generation and geothermal heat pump system thereof
CN216845238U (en)Cyclone distributor and air-cooled heat pump unit
CN109668167A (en)A kind of LNG submerged combustion gasifier flue gas distributor and its design method
CN202140236U (en)Six-working-condition bidirectional tidal power generation hydraulic turbine
CN210832462U (en)Stepped guide plate device for jet flow vortex elimination in limited space
CN116428897A (en) A plate heat exchanger with a spindle-shaped hot runner

Legal Events

DateCodeTitleDescription
PB01Publication
PB01Publication
SE01Entry into force of request for substantive examination
SE01Entry into force of request for substantive examination
GR01Patent grant
GR01Patent grant

[8]ページ先頭

©2009-2025 Movatter.jp