

技术领域technical field
本发明属于低压台区运行管理评价技术领域,具体涉及一种基于边缘计算的台区状态评价方法The invention belongs to the technical field of low-voltage station area operation management evaluation, and in particular relates to a station area state evaluation method based on edge computing
背景技术Background technique
随着国家能源高效开发和利用战略决策转型,电力必然成为未来居民经济发展的能源基础,低压台区作为供电最后一千米,它的健康与否直接影响着用户用电质量和满意度。打造健康台区能提高供电质量、减少损耗、减少投诉,是供电企业科学管理、节能降耗的核心,台区管理水平的高低集中体现了供电企业的综合管理能力。加强台区健康管理,既是供电企业履行社会责任,也是通过内部挖掘提高企业效益的有效途径。With the transformation of the country's strategic decision-making for efficient development and utilization of energy, electricity will inevitably become the energy basis for future economic development of residents. As the last kilometer of power supply in the low-voltage station area, its health directly affects the quality and satisfaction of users' electricity consumption. Building a healthy Taiwan district can improve the quality of power supply, reduce losses, and reduce complaints. It is the core of scientific management, energy conservation and consumption reduction of power supply enterprises. The level of management in Taiwan districts reflects the comprehensive management capabilities of power supply enterprises. Strengthening the health management of Taiwan District is not only an effective way for power supply enterprises to fulfill their social responsibilities, but also an effective way to improve enterprise efficiency through internal mining.
传统的台区状态评价方法主要存在三个方面的问题:(1)缺乏大数据应用手段,过于强调专业分工,人为造成了台区管理工作中的专业壁垒、数据分割;(2)台区点多面广,设备众多、问题复杂,现场管理粗放,各级管理层缺乏直观的台区设备健康信息,造成了在台区投资决策与运维服务等方面缺乏精准高效的数据支撑;(3)高投诉、高跳闸、高线损是困扰台区经理的首要难题,台区设备指标信息分散,只注重单项指标的异常分析“治标不治本”。There are three main problems in the traditional state evaluation methods of Taiwan districts: (1) lack of big data application means, too much emphasis on professional division of labor, artificially causing professional barriers and data division in the management of Taiwan districts; (2) Taiwan district points There are many aspects, many equipment, complex problems, extensive on-site management, and the management at all levels lacks intuitive equipment health information in the Taiwan area, resulting in the lack of accurate and efficient data support in investment decision-making and operation and maintenance services in the Taiwan area; (3) High Complaints, high trips, and high line losses are the primary problems that plague the managers of the Taiwan District. The information on the equipment indicators in the Taiwan District is scattered, and only the abnormal analysis of a single index is focused on "solving the symptoms but not the root cause".
然而边缘计算技术的出现能有效地解决以上问题,边缘计算模式将计算分析功能扩展至台区边缘计算设备,将训练完成的模型载入边缘计算设备中,并定期对训练模型进行更新,从而分担数据中心负担,具有延时低、支持物理分布计算、适合实时分析和优化决策等特点,并且能高效利用台区数据,对台区状态进行合理评价,及时发现异常台区,便于运维人员对台区进行本地化管理。However, the emergence of edge computing technology can effectively solve the above problems. The edge computing mode extends the computing and analysis function to the edge computing equipment in the station area, loads the trained model into the edge computing equipment, and regularly updates the training model to share the burden The burden on the data center has the characteristics of low latency, support for physical distribution calculation, suitable for real-time analysis and optimization decision-making, etc., and can efficiently use the data of the station, make a reasonable evaluation of the status of the station, and find the abnormal station in time, which is convenient for the operation and maintenance personnel. Taiwan area for localized management.
发明内容SUMMARY OF THE INVENTION
本发明的目的是提供一种基于边缘计算的台区状态评价方法,用于减少云中心及主站的数据处理压力,使得出的评价结果更加合理。The purpose of the present invention is to provide a method for evaluating the state of a station area based on edge computing, which is used to reduce the data processing pressure of the cloud center and the main station, and make the evaluation result more reasonable.
本发明的技术方案为:一种基于边缘计算的台区状态评价方法,包括以下步骤:The technical scheme of the present invention is: a method for evaluating the state of a station area based on edge computing, comprising the following steps:
S1:在不同台区内安装边缘计算装置,利用边缘计算装置采集不同台区某历史时间段不同时刻的电气特征参数,通过边缘计算装置的边缘计算模块计算出所采集台区的运行状态参数;S1: Install edge computing devices in different station areas, use the edge computing devices to collect electrical characteristic parameters at different times in a certain historical time period in different station areas, and calculate the operating state parameters of the collected station areas through the edge computing module of the edge computing device;
S2:在云平台内构建台区状态评价模型,并对台区的运行状态参数进行预处理;S2: Build a state evaluation model of the station area in the cloud platform, and preprocess the operating state parameters of the station area;
S3:通过熵权法对台区运行状态参数进行处理,求出各状态参数的权重,得出客观权重;S3: Process the operating state parameters of the station area through the entropy weight method, obtain the weight of each state parameter, and obtain the objective weight;
S4:通过层次分析法对台区运行状态参数进行处理,求出各状态参数的权重,得出主观权重;S4: Process the operating state parameters of the station area through the analytic hierarchy process, obtain the weight of each state parameter, and obtain the subjective weight;
S5:将主观权重与客观权重相结合,得出综合权重,并构建状态评价函数,参照状态评价参考结果表,对台区状态进行评价;S5: Combine the subjective weight with the objective weight to obtain a comprehensive weight, and construct a state evaluation function, and evaluate the state of the station area with reference to the state evaluation reference result table;
S6:通过采集的台区历史数据,在云平台对预测模型进行深入训练,并定期对边缘设备的预测模型进行更新,保证边缘计算设备预测模型的准确率。S6: Through the collected historical data of the station area, the prediction model is deeply trained on the cloud platform, and the prediction model of the edge device is regularly updated to ensure the accuracy of the prediction model of the edge computing device.
所述步骤S1中台区的运行状态参数为供电半径X1、线缆线径的经济偏差率X2、综合线损率X3、变压器负载率X4、用户电压合格率X5、三相负荷不平衡度X6;The operating state parameters of the platform area in the step S1 are the power supply radius X1 , the economic deviation rate of the cable diameter X2 , the comprehensive line loss rate X3 , the transformer load rate X4 , the user voltage qualification rate X5 , the three-phase Load unbalance degree X6 ;
所述供电半径X1指变压器到用户端的距离,是评估台区运行状态是否合理的重要参数之一。供电半径越小,低压配电网台区运行状态越好;The power supply radius X1 refers to the distance from the transformer to the user terminal, which is one of the important parameters for evaluating whether the operating state of the station area is reasonable. The smaller the power supply radius, the better the operation status of the low-voltage distribution network station area;
所述线缆线径的经济偏差率X2指在低压配电网台区中流经导线的平均功率对应的经济截面积As与其实际截面积A的偏差与As的比值,线缆线径的经济偏差率越小,台区运行状态越好,其计算公式为:The economic deviation rate X2 of the cable diameter refers to the ratio of the deviation between the economic cross-sectional area As and the actual cross-sectional area A corresponding to the average power flowing through the wire in the low-voltage distribution network platform area and As , and the cable diameter The smaller the economic deviation rate of , the better the operating state of the station area. The calculation formula is:
线缆线径的经济偏差率Economic deviation rate of cable diameter
式中:Pav为线路传输平均有功功率,Un为线路额定电压,ρ为导线经济电流密度;In the formula: Pav is the average active power transmitted by the line,Un is the rated voltage of the line, ρ is the economical current density of the wire;
所述综合线损率X3指低压配电网台区线路损失电能与台区总供电量之比,用来反映台区运行是否经济,综合线损率越小,台区运行状态越好,计算公式为:The comprehensive line loss rate X3 refers to the ratio of the power loss of the low-voltage distribution network station area line to the total power supply of the station area, which is used to reflect whether the operation of the station area is economical. The smaller the comprehensive line loss rate, the better the operation state of the station area. The calculation formula is:
式中:p1为低压配电网台区供电负荷,p2为低压配电网台区用户总的电量数据;In the formula: p1 is the power supply load of the low-voltage distribution network station area, p2 is the total electricity data of users in the low-voltage distribution network station area;
所述变压器负载率X4指台区中所有负载的平均有功功率和整个台区的有功功率之比,能够反映台区变压器的负载情况,在变压器经济运行范围内,变压器负载率越小,低压配电网台区运行状态越好,其计算公式为:The transformer load rate X4 refers to the ratio of the average active power of all loads in the station area to the active power of the entire station area, which can reflect the load condition of the transformer in the station area. The better the operation state of the distribution network station area, the calculation formula is:
式中:w1为时间段T内台区供电负荷,S为变压器容量,为台区负载功率因数;In the formula: w1 is the power supply load of the station area in the time period T, S is the transformer capacity, is the load power factor of the station area;
所述用户电压合格率X5指低压配电网台区中电压合格的用户数量与整个台区用户数量的比值,用户电压合格率越大,低压配电网台区运行状态越好;The user voltage qualification rate X5 refers to the ratio of the number of qualified users with voltage in the low-voltage distribution network station area to the number of users in the entire station area, the greater the user voltage qualification rate, the better the low-voltage distribution network station area operation state;
所述三相负荷不平衡度X6指配电变压器低压侧出线端A、B、C三相中最大的负荷与三相平均负荷的偏差与三相平均负荷的比值,三相负荷不平衡程度越小,台区运行状态越好,计算公式为:The three-phase load unbalance degree X6 refers to the ratio of the deviation between the maximum load and the three-phase average load in the three phases of the low-voltage side outlet terminals A, B, and C of the distribution transformer to the three-phase average load, and the three-phase load unbalance degree. The smaller the value, the better the operating state of the station area. The calculation formula is:
式中:PA,PB,PC分别为配电变压器低压侧出线端A,B,C相的负荷。In the formula: PA , PB , and PC are the loads of phases A, B, and C at the low-voltage side of the distribution transformer, respectively.
所述步骤S2中,对台区的运行状态参数进行标准化处理的过程为将这些运行状态参数分为3类,分别为正向指标、逆向指标、区间型指标;In the step S2, the process of standardizing the operating state parameters of the station area is to divide these operating state parameters into three categories, which are respectively a forward index, a reverse index, and an interval index;
正向指标为:用户电压合格率X5;The positive index is: user voltage qualification rate X5 ;
逆向指标为:供电半径X1、线缆线径的经济偏差率X2、综合线损率X3、三相负荷不平衡度X6;The reverse indicators are: power supply radius X1 , economic deviation rate of cable diameter X2 , comprehensive line loss rate X3 , three-phase load unbalance degree X6 ;
区间指标为:变压器负载率X4;The interval index is: transformer load rate X4 ;
对于逆向指标,进行基于极值处理法的预处理,逆向指标的预处理公式为:For the reverse index, the preprocessing based on the extreme value processing method is performed. The preprocessing formula of the reverse index is:
式中Ximax、Ximin分别为若干个台区中该项指标Xi的最大值和最小值,i=1,2,……,n;In the formula,Ximax andXimin are the maximum and minimum values of the index Xi in several stations,i =1, 2, ..., n;
对于正向指标,将其转化为无量纲的逆向指标,正向指标的预处理公式为:For the forward index, it is converted into a dimensionless reverse index. The preprocessing formula of the forward index is:
式中Ximax、Ximin分别为若干个台区中该项指标Xi的最大值和最小值,i=1,2,……,n;In the formula,Ximax andXimin are the maximum and minimum values of the index Xi in several stations,i =1, 2, ..., n;
对于区间型指标,变压器负载率是无量纲指标,将其化为逆向指标,区间型指标预处理公式为:For the interval index, the transformer load rate is a dimensionless index, which is converted into a reverse index. The preprocessing formula of the interval index is:
式中:Ximid为该项指标Xi的正常区间中点值,i=1,2,……,n。In the formula: Ximid is the midpoint value of the normal interval of the index Xi , i = 1, 2, ..., n.
所述步骤S3中的熵权法是一种客观赋值方法。在具体使用的过程中,熵权法根据各指标的变异程度,利用信息熵计算出各指标的熵权,再通过熵权对各指标的权重进行修正,从而得到较为客观的指标权重。一般来说,若某个指标的信息熵指标权重确定方法之熵权法越小,表明指标值得变异程度越大,提供的信息量越多,在综合评价中所能起到的作用也越大,其权重也就越大。相反,若某个指标的信息熵指标权重确定方法之熵权法越大,表明指标值得变异程度越小,提供的信息量也越少,在综合评价中所起到的作用也越小,其权重也就越小。The entropy weight method in the step S3 is an objective assignment method. In the process of specific use, the entropy weight method uses the information entropy to calculate the entropy weight of each index according to the degree of variation of each index, and then corrects the weight of each index through the entropy weight to obtain a more objective index weight. Generally speaking, if the entropy weight method of the information entropy index weight determination method of an index is smaller, it indicates that the degree of variation of the index value is greater, the amount of information provided is more, and the role it can play in the comprehensive evaluation is greater. , the greater its weight. On the contrary, if the entropy weight method of the information entropy index weight determination method of an index is larger, it indicates that the degree of variation of the index value is smaller, the amount of information provided is also smaller, and the role it plays in the comprehensive evaluation is also smaller. The weight is also smaller.
所述步骤S3中包括以下步骤,The step S3 includes the following steps,
S3.1:计算第j项指标下第i个台区占该指标的比重Pij:S3.1: Calculate the proportion Pij of the i-th station area under the j-th index to this index:
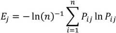
S3.2:计算第j项指标的熵值Ej:S3.2: Calculate the entropy value Ej of the jth index:
如果Pij=0,则定义If Pij = 0, then define
S3.3:计算各项指标的权值:S3.3: Calculate the weights of each indicator:
根据信息熵的计算公式,计算出各个指标的信息熵为E1,E2,…,Ek,通过信息熵计算各指标的客观权重:According to the calculation formula of information entropy, the information entropy of each index is calculated as E1 , E2 , ..., Ek , and the objective weight of each index is calculated by the information entropy:
式中1-Ej为信息熵冗杂度。where 1-Ej is the information entropy redundancy.
所述步骤S4中主观权重的确定采用层次分析法,层次分析法是将评价相关的元素分解成目标、准则等层次,并以此为基础,进行定性和定量分析评估。The determination of the subjective weight in the step S4 adopts the AHP, which is to decompose the evaluation-related elements into levels such as goals and criteria, and perform qualitative and quantitative analysis and evaluation based on this.
所述步骤S4包括以下步骤,The step S4 includes the following steps,
S4.1:构建比较矩阵,采用1-9标度法对各项指标的重要程度进行相互比较,S4.1: Construct a comparison matrix, and use the 1-9 scale method to compare the importance of each index with each other.
标度值为1代表二者相同重要;A scale value of 1 means both are equally important;
标度值为3代表前者相比后者稍微重要;A scale value of 3 means that the former is slightly more important than the latter;
标度值为5代表前者相比后者明显重要;A scale value of 5 means that the former is significantly more important than the latter;
标度值为7代表前者相比后者非常重要;A scale value of 7 means that the former is more important than the latter;
标度值为9代表前者相比后者极端重要;A scale value of 9 means that the former is extremely important than the latter;
标度值为2、4、6、8表示相邻判断的中间值;其中标度值为2表示前者相比后者介于同等重要和稍微重要之间,标度值为4表示前者相比后者介于稍微重要和明显重要之间,标度值为6表示前者相比后者介于明显重要和非常重要之间,标度值为8表示前者相比后者介于非常重要和极端重要之间;The scale values of 2, 4, 6, and 8 indicate the intermediate values of adjacent judgments; the scale value of 2 indicates that the former is equally important and slightly more important than the latter, and the scale value of 4 indicates that the former is more important than the latter. The latter is between slightly important and clearly important, a scale value of 6 means the former is between significantly important and very important compared to the latter, and a scale value of 8 means the former is between very important and extreme compared to the latter important;
倒数代表反比较;The reciprocal represents inverse comparison;
比较各项指标的重要性并建立判断比较矩阵:Compare the importance of each indicator and establish a judgment comparison matrix:
式中bij为第i个指标对第j个指标的重要程度。where bij is the importance of the i-th index to the j-th index.
其中,重要性的判断标准为:用户电压合格率X5>三相负荷不平衡度X6>综合线损率X3>变压器负载率X4>线缆线径的经济偏差率X2>台区供电半径X1;Among them, the criterion of importance is: user voltage qualification rate X5 > three-phase load unbalance degree X6 > comprehensive line loss rate X3 > transformer load rate X4 > economic deviation rate of cable diameter X2 > set District power supply radius X1 ;
其中台区供电半径X1为第1个指标,线缆线径的经济偏差率X2为第2个指标,综合线损率X3为第3个指标,变压器负载率X4为第4个指标,用户电压合格率X5为第5个指标,三相负荷不平衡度X6为第6个指标;Among them, the power supply radius of the station area X1 is the first index, the economic deviation rate of the cable diameter X2 is the second index, the comprehensive line loss rate X3 is the third index, and the transformer load rate X4 is the fourth index index, the user voltage qualification rate X5 is the fifth index, and the three-phase load unbalance degree X6 is the sixth index;
并且认为第2个指标对第1个指标的重要程度的标度值为2;And it is considered that the scale value of the importance of the second index to the first index is 2;
第3个指标对第1个指标的重要程度的标度值为4;The scale value of the importance of the third indicator to the first indicator is 4;
第3个指标对第2个指标的重要程度的标度值为3;The scale value of the importance of the third indicator to the second indicator is 3;
第4个指标对第1个指标的重要程度的标度值为3;The scale value of the importance of the fourth indicator to the first indicator is 3;
第4个指标对第2个指标的重要程度的标度值为2;The scale value of the importance of the fourth indicator to the second indicator is 2;
第4个指标对第3个指标的重要程度的标度值为1/2;The scale value of the importance of the fourth indicator to the third indicator is 1/2;
第5个指标对第1个指标的重要程度的标度值为6;The scale value of the importance of the fifth indicator to the first indicator is 6;
第5个指标对第2个指标的重要程度的标度值为5;The scale value of the importance of the fifth indicator to the second indicator is 5;
第5个指标对第3个指标的重要程度的标度值为3;The scale value of the importance of the fifth indicator to the third indicator is 3;
第5个指标对第4个指标的重要程度的标度值为3;The scale value of the importance of the fifth indicator to the fourth indicator is 3;
第6个指标对第1个指标的重要程度的标度值为5;The scale value of the importance of the sixth indicator to the first indicator is 5;
第6个指标对第2个指标的重要程度的标度值为4;The scale value of the importance of the sixth indicator to the second indicator is 4;
第6个指标对第3个指标的重要程度的标度值为2;The scale value of the importance of the sixth indicator to the third indicator is 2;
第6个指标对第4个指标的重要程度的标度值为2;The scale value of the importance of the sixth indicator to the fourth indicator is 2;
第6个指标对第5个指标的重要程度的标度值为1/2;The scale value of the importance of the sixth indicator to the fifth indicator is 1/2;
自比较的重要程度的标度值为1;The scale value of the importance of self-comparison is 1;
根据判断标准本发明构建的判断比较矩阵如下:The judgment comparison matrix constructed by the present invention according to the judgment standard is as follows:
S4.2:计算指标重要程度排序,记判断比较矩阵的最大特征值为λmax,求出λmax对应的特征向量,归一化后得到主观权重向量α,将主观权重向量α记作wj。S4.2: Calculate the ranking of the importance of the indicators, record the maximum eigenvalue of the judgment and comparison matrix as λmax , find the eigenvector corresponding to λmax , get the subjective weight vector α after normalization, and write the subjective weight vector α as wj .
S4.3为避免该权重计算方法中主观性带来的片面,对结果进行一致性检验,公式为:S4.3 In order to avoid the one-sidedness caused by the subjectivity of the weight calculation method, the results are checked for consistency. The formula is:
CR=CI/RICR =CI /RI
式中:CR为判断比较矩阵的随机一致性比率;CI为一般一致性指标;RI为随机平均一致性指标;In the formula: CR is the random consistency ratio of the judgment comparison matrix; CI is the general consistency index; RI is the random average consistency index;
n和RI的取值关系为:当n=1时,RI=0;The value relationship between n and RI is: when n=1 ,RI =0;
当n=2时,RI=0;When n=2, RI =0;
当n=3时,RI=0.52;When n=3, RI =0.52;
当n=4时,RI=0.89;When n=4, RI =0.89;
当n=5时,RI=1.12;When n=5, RI =1.12;
当n=6时,RI=1.24;When n=6, RI =1.24;
当n=7时,RI=1.36;When n=7, RI =1.36;
当检验结果CR<0.1时,则可认为判断矩阵的一致性可以接受,否则需要对判断矩阵进行修正。When the test resultCR <0.1, it can be considered that the consistency of the judgment matrix is acceptable; otherwise, the judgment matrix needs to be revised.
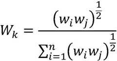
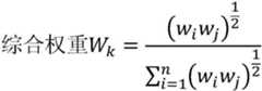
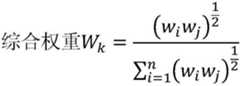
所述步骤S5中通过熵权法得到的客观权重记为wi、层次分析法得到的主观权重wj确定综合权重,并根据最小信息熵原理,用拉格朗日乘子法优化综合权重,得到综合权重Wk,其计算公式如下:In the step S5, the objective weight obtained by the entropy weight method is recorded as wi , and the subjective weight wj obtained by the AHP determines the comprehensive weight, and according to the principle of minimum information entropy, the Lagrange multiplier method is used to optimize the comprehensive weight, The comprehensive weight Wk is obtained, and its calculation formula is as follows:
状态评价函数为:The state evaluation function is:
Y=XWY=XW
式中:Xmn为第m个台区第n个指标;Y=(Y1,Y2,…,Ym)T,Ym为第m个台区状态评价函数;W=(W1,W2,…,Wn)T,Wn为第n个指标的综合权重。In the formula: Xmn is the n-th index of the m-th station; Y=(Y1 , Y2 , ..., Ym )T , Ym is the state evaluation function of the m-th station; W=(W1 , W2 , ..., Wn )T , Wn is the comprehensive weight of the nth index.
所述台区状态评价结果参考表的评价标准为:The evaluation criteria of the reference table for the state evaluation results of the station area are as follows:
当评价函数值小于0.25时,台区状态为运行状态好;When the evaluation function value is less than 0.25, the state of the station area is in a good running state;
当评价函数值为[0.25,0.5]时,台区状态为运行状态良;When the value of the evaluation function is [0.25, 0.5], the station area is in a good running state;
当评价函数值为(0.5,0.75]时,台区状态为运行状态差;When the value of the evaluation function is (0.5, 0.75], the state of the station area is the poor running state;
当评价函数值大于0.75时,台区状态为运行状态极差。When the evaluation function value is greater than 0.75, the state of the station area is extremely poor.
本发明的有益效果为:采用边缘计算技术对台区运行状态进行评价,减少了云中心及主站的数据处理压力,方便运维人员进行台区本地化管理,节省了大量的人力、物力、财力;The beneficial effects of the invention are: using edge computing technology to evaluate the operating state of the station area, reducing the data processing pressure of the cloud center and the main station, facilitating the operation and maintenance personnel to carry out the localized management of the station area, saving a lot of manpower, material resources, financial resources;
本发明方法将主观权重与客观权重相综合,避免了主观权重的主观性较大问题以及客观权重可能与实际重要程度不一致的问题,得出的综合权重兼顾了专家经验和数据自身的特征,避免了层次分析法和熵权法的缺陷,从而使综合权重更加合理,得出的评价结果更加准确;The method of the invention integrates the subjective weight and the objective weight, which avoids the problem that the subjectivity of the subjective weight is relatively large and the problem that the objective weight may be inconsistent with the actual degree of importance. The defects of AHP and entropy weight method are eliminated, so that the comprehensive weight is more reasonable and the evaluation result is more accurate;
采用边缘计算技术对台区运行状态进行评价,并定期对边缘计算装置中的评价模型进行更新优化,提高了评价结果的准确性。The edge computing technology is used to evaluate the operating status of the station area, and the evaluation model in the edge computing device is regularly updated and optimized to improve the accuracy of the evaluation results.
附图说明Description of drawings
图1是本发明的流程图。Figure 1 is a flow chart of the present invention.
图2是边缘计算设备的模型优化流程图Figure 2 is a flow chart of model optimization for edge computing devices
具体实施方式Detailed ways
下面将结合本发明实施例中的附图,对本发明实施例中的技术方案进行清楚、完整地描述。基于本发明中的实施例,本领域普通技术人员在没有做出创造性劳动前提下所获得的所有其他实施例,都属于本发明保护的范围。The technical solutions in the embodiments of the present invention will be clearly and completely described below with reference to the accompanying drawings in the embodiments of the present invention. Based on the embodiments of the present invention, all other embodiments obtained by those of ordinary skill in the art without creative efforts shall fall within the protection scope of the present invention.
如图1所示,本发明包括以下步骤:As shown in Figure 1, the present invention comprises the following steps:
S1:在不同台区内安装边缘计算装置,利用边缘计算装置采集不同台区某历史时间段不同时刻的电气特征参数,通过边缘计算装置的边缘计算模块计算出所采集台区的运行状态参数;S1: Install edge computing devices in different station areas, use the edge computing devices to collect electrical characteristic parameters at different times in a certain historical time period in different station areas, and calculate the operating state parameters of the collected station areas through the edge computing module of the edge computing device;
S2:在云平台内构建台区状态评价模型,并对台区的运行状态参数进行预处理;S2: Build a state evaluation model of the station area in the cloud platform, and preprocess the operating state parameters of the station area;
S3:通过熵权法对台区运行状态参数进行处理,求出各状态参数的权重,得出客观权重;S3: Process the operating state parameters of the station area through the entropy weight method, obtain the weight of each state parameter, and obtain the objective weight;
S4:通过层次分析法对台区运行状态参数进行处理,求出各状态参数的权重,得出主观权重;S4: Process the operating state parameters of the station area through the analytic hierarchy process, obtain the weight of each state parameter, and obtain the subjective weight;
S5:将主观权重与客观权重相结合,得出综合权重,并构建状态评价函数,参照状态评价参考结果表,对台区状态进行评价;S5: Combine the subjective weight with the objective weight to obtain a comprehensive weight, and construct a state evaluation function, and evaluate the state of the station area with reference to the state evaluation reference result table;
S6:使用采集的台区历史数据,在云平台对预测模型进行训练,并定期对边缘设备的预测模型进行更新,保证边缘计算设备预测模型的准确率。S6: Use the collected historical data of the station area to train the prediction model on the cloud platform, and regularly update the prediction model of the edge device to ensure the accuracy of the prediction model of the edge computing device.
所述步骤S1中台区的运行状态参数为供电半径X1、线缆线径的经济偏差率X2、综合线损率X3、变压器负载率X4、用户电压合格率X5、三相负荷不平衡度X6;The operating state parameters of the platform area in the step S1 are the power supply radius X1 , the economic deviation rate of the cable diameter X2 , the comprehensive line loss rate X3 , the transformer load rate X4 , the user voltage qualification rate X5 , the three-phase Load unbalance degree X6 ;
所述供电半径X1指变压器到用户端的距离,是评估台区运行状态是否合理的重要参数之一。供电半径越小,低压配电网台区运行状态越好;The power supply radius X1 refers to the distance from the transformer to the user terminal, which is one of the important parameters for evaluating whether the operating state of the station area is reasonable. The smaller the power supply radius, the better the operation status of the low-voltage distribution network station area;
所述线缆线径的经济偏差率X2指在低压配电网台区中流经导线的平均功率对应的经济截面积As与其实际截面积A的偏差与As的比值,线缆线径的经济偏差率越小,台区运行状态越好,其计算公式为:The economic deviation rate X2 of the cable diameter refers to the ratio of the deviation between the economic cross-sectional area As and the actual cross-sectional area A corresponding to the average power flowing through the wire in the low-voltage distribution network platform area and As , and the cable diameter The smaller the economic deviation rate of , the better the operating state of the station area. The calculation formula is:
式中:Pav为线路传输平均有功功率,Un为线路额定电压,ρ为导线经济电流密度;In the formula: Pav is the average active power transmitted by the line,Un is the rated voltage of the line, ρ is the economical current density of the wire;
所述综合线损率X3指低压配电网台区线路损失电能与台区总供电量之比,用来反映台区运行是否经济,综合线损率越小,台区运行状态越好,计算公式为:The comprehensive line loss rate X3 refers to the ratio of the power loss of the low-voltage distribution network station area line to the total power supply of the station area, which is used to reflect whether the operation of the station area is economical. The smaller the comprehensive line loss rate, the better the operation state of the station area. The calculation formula is:
式中:p1为低压配电网台区供电负荷,p2为低压配电网台区用户总的电量数据;In the formula: p1 is the power supply load of the low-voltage distribution network station area, p2 is the total electricity data of users in the low-voltage distribution network station area;
所述变压器负载率X4指台区中所有负载的平均有功功率和整个台区的有功功率之比,能够反映台区变压器的负载情况,在变压器经济运行范围内,变压器负载率越小,低压配电网台区运行状态越好,其计算公式为:The transformer load rate X4 refers to the ratio of the average active power of all loads in the station area to the active power of the entire station area, which can reflect the load condition of the transformer in the station area. The better the operation state of the distribution network station area, the calculation formula is:
式中:w1为时间段T内台区供电负荷,S为变压器容量,为台区负载功率因数;In the formula: w1 is the power supply load of the station area in the time period T, S is the transformer capacity, is the load power factor of the station area;
所述用户电压合格率X5指低压配电网台区中电压合格的用户数量与整个台区用户数量的比值,用户电压合格率越大,低压配电网台区运行状态越好;The user voltage qualification rate X5 refers to the ratio of the number of qualified users with voltage in the low-voltage distribution network station area to the number of users in the entire station area, the greater the user voltage qualification rate, the better the low-voltage distribution network station area operation state;
所述三相负荷不平衡度X6指配电变压器低压侧出线端A、B、C三相中最大的负荷与三相平均负荷的偏差与三相平均负荷的比值,三相负荷不平衡程度越小,台区运行状态越好,计算公式为:The three-phase load unbalance degree X6 refers to the ratio of the deviation between the maximum load and the three-phase average load in the three phases of the low-voltage side outlet terminals A, B, and C of the distribution transformer to the three-phase average load, and the three-phase load unbalance degree. The smaller the value, the better the operating state of the station area. The calculation formula is:
式中:PA,PB,PC分别为配电变压器低压侧出线端A,B,C相的负荷。In the formula: PA , PB , and PC are the loads of phases A, B, and C at the low-voltage side of the distribution transformer, respectively.
所述步骤S2中,对台区的运行状态参数进行标准化处理的过程为将这些运行状态参数分为3类,分别为正向指标、逆向指标、区间型指标;In the step S2, the process of standardizing the operating state parameters of the station area is to divide these operating state parameters into three categories, which are respectively a forward index, a reverse index, and an interval index;
正向指标为:用户电压合格率X5;The positive index is: user voltage qualification rate X5 ;
逆向指标为:供电半径X1、线缆线径的经济偏差率X2、综合线损率X3、三相负荷不平衡度X6;The reverse indicators are: power supply radius X1 , economic deviation rate of cable diameter X2 , comprehensive line loss rate X3 , three-phase load unbalance degree X6 ;
区间指标为:变压器负载率X4;The interval index is: transformer load rate X4 ;
对于逆向指标,进行基于极值处理法的预处理,逆向指标的预处理公式为:For the reverse index, the preprocessing based on the extreme value processing method is performed. The preprocessing formula of the reverse index is:
式中Ximax、Ximin分别为若干个台区中该项指标Xi的最大值和最小值,i=1,2,……,n;In the formula,Ximax andXimin are the maximum and minimum values of the index Xi in several stations,i =1, 2, ..., n;
对于正向指标,将其化为无量纲的逆向指标,正向指标的预处理公式为:For the forward index, it is transformed into a dimensionless reverse index. The preprocessing formula of the forward index is:
式中Ximax、Ximin分别为若干个台区中该项指标Xi的最大值和最小值,i=1,2,……,n;In the formula,Ximax andXimin are the maximum and minimum values of the index Xi in several stations,i =1, 2, ..., n;
对于区间型指标,变压器负载率是无量纲指标,将其化为逆向指标,区间型指标预处理公式为:For the interval index, the transformer load rate is a dimensionless index, which is converted into a reverse index. The preprocessing formula of the interval index is:
式中:Ximid为该项指标Xi的正常区间中点值,i=1,2,……,n。In the formula: Ximid is the midpoint value of the normal interval of the index Xi , i = 1, 2, ..., n.
所述步骤S3中的熵权法是一种客观赋值方法。在具体使用的过程中,熵权法根据各指标的变异程度,利用信息熵计算出各指标的熵权,再通过熵权对各指标的权重进行修正,从而得到较为客观的指标权重。一般来说,若某个指标的信息熵指标权重确定方法之熵权法越小,表明指标值得变异程度越大,提供的信息量越多,在综合评价中所能起到的作用也越大,其权重也就越大。相反,若某个指标的信息熵指标权重确定方法之熵权法越大,表明指标值得变异程度越小,提供的信息量也越少,在综合评价中所起到的作用也越小,其权重也就越小。The entropy weight method in the step S3 is an objective assignment method. In the process of specific use, the entropy weight method uses the information entropy to calculate the entropy weight of each index according to the degree of variation of each index, and then corrects the weight of each index through the entropy weight to obtain a more objective index weight. Generally speaking, if the entropy weight method of the information entropy index weight determination method of an index is smaller, it indicates that the degree of variation of the index value is greater, the amount of information provided is more, and the role it can play in the comprehensive evaluation is greater. , the greater its weight. On the contrary, if the entropy weight method of the information entropy index weight determination method of an index is larger, it indicates that the degree of variation of the index value is smaller, the amount of information provided is also smaller, and the role it plays in the comprehensive evaluation is also smaller. The weight is also smaller.
所述步骤S3中包括以下步骤,The step S3 includes the following steps,
S3.1:计算第j项指标下第i个台区占该指标的比重Pij:S3.1: Calculate the proportion Pij of the i-th station area under the j-th index to this index:
S3.2:计算第j项指标的熵值Ej:S3.2: Calculate the entropy value Ej of the jth index:
如果Pij=0,则定义If Pij = 0, then define
S3.3:计算各项指标的权值:S3.3: Calculate the weights of each indicator:
根据信息熵的计算公式,计算出各个指标的信息熵为E1,E2,…,Ek,通过信息熵计算各指标的客观权重:According to the calculation formula of information entropy, the information entropy of each index is calculated as E1 , E2 , ..., Ek , and the objective weight of each index is calculated by the information entropy:
式中1-Ej为信息熵冗杂度。where 1-Ej is the information entropy redundancy.
所述步骤S4中主观权重的确定采用层次分析法,层次分析法是将评价相关的元素分解成目标、准则等层次,并以此为基础,进行定性和定量分析评估。The determination of the subjective weight in the step S4 adopts the AHP, which is to decompose the evaluation-related elements into levels such as goals and criteria, and perform qualitative and quantitative analysis and evaluation based on this.
所述步骤S4包括以下步骤,The step S4 includes the following steps,
S4.1:构建比较矩阵,采用1-9标度法对各项指标的重要程度进行相互比较,S4.1: Construct a comparison matrix, and use the 1-9 scale method to compare the importance of each index with each other.
标度值为1代表二者相同重要;A scale value of 1 means both are equally important;
标度值为3代表前者相比后者稍微重要;A scale value of 3 means that the former is slightly more important than the latter;
标度值为5代表前者相比后者明显重要;A scale value of 5 means that the former is significantly more important than the latter;
标度值为7代表前者相比后者非常重要;A scale value of 7 means that the former is more important than the latter;
标度值为9代表前者相比后者极端重要;A scale value of 9 means that the former is extremely important than the latter;
标度值为2、4、6、8表示相邻判断的中间值,其中标度值为2表示前者相比后者介于同等重要和稍微重要之间,标度值为4表示前者相比后者介于稍微重要和明显重要之间,标度值为6表示前者相比后者介于明显重要和非常重要之间,标度值为8表示前者相比后者介于非常重要和极端重要之间;The scale values of 2, 4, 6, and 8 represent the intermediate values of adjacent judgments. The scale value of 2 means that the former is equally important and slightly more important than the latter, and the scale value of 4 means that the former is more important than the latter. The latter is between slightly important and clearly important, a scale value of 6 means the former is between significantly important and very important compared to the latter, and a scale value of 8 means the former is between very important and extreme compared to the latter important;
倒数代表反比较;The reciprocal represents inverse comparison;
如表1所示。As shown in Table 1.
比较各项指标的重要性并建立判断比较矩阵:Compare the importance of each indicator and establish a judgment comparison matrix:
式中bij为第i个指标对第j个指标的重要程度。where bij is the importance of the i-th index to the j-th index.
其中,重要性的判断标准为:用户电压合格率X5>三相负荷不平衡度X6>综合线损率X3>变压器负载率X4>线缆线径的经济偏差率X2>台区供电半径X1;Among them, the criterion of importance is: user voltage qualification rate X5 > three-phase load unbalance degree X6 > comprehensive line loss rate X3 > transformer load rate X4 > economic deviation rate of cable diameter X2 > set District power supply radius X1 ;
其中台区供电半径X1为第1个指标,线缆线径的经济偏差率X2为第2个指标,综合线损率X3为第3个指标,变压器负载率X4为第4个指标,用户电压合格率X5为第5个指标,三相负荷不平衡度X6为第6个指标;Among them, the power supply radius of the station area X1 is the first index, the economic deviation rate of the cable diameter X2 is the second index, the comprehensive line loss rate X3 is the third index, and the transformer load rate X4 is the fourth index index, the user voltage qualification rate X5 is the fifth index, and the three-phase load unbalance degree X6 is the sixth index;
并且认为第2个指标对第1个指标的重要程度的标度值为2;And it is considered that the scale value of the importance of the second index to the first index is 2;
第3个指标对第1个指标的重要程度的标度值为4;The scale value of the importance of the third indicator to the first indicator is 4;
第3个指标对第2个指标的重要程度的标度值为3;The scale value of the importance of the third indicator to the second indicator is 3;
第4个指标对第1个指标的重要程度的标度值为3;The scale value of the importance of the fourth indicator to the first indicator is 3;
第4个指标对第2个指标的重要程度的标度值为2;The scale value of the importance of the fourth indicator to the second indicator is 2;
第4个指标对第3个指标的重要程度的标度值为1/2;The scale value of the importance of the fourth indicator to the third indicator is 1/2;
第5个指标对第1个指标的重要程度的标度值为6;The scale value of the importance of the fifth indicator to the first indicator is 6;
第5个指标对第2个指标的重要程度的标度值为5;The scale value of the importance of the fifth indicator to the second indicator is 5;
第5个指标对第3个指标的重要程度的标度值为3;The scale value of the importance of the fifth indicator to the third indicator is 3;
第5个指标对第4个指标的重要程度的标度值为3;The scale value of the importance of the fifth indicator to the fourth indicator is 3;
第6个指标对第1个指标的重要程度的标度值为5;The scale value of the importance of the sixth indicator to the first indicator is 5;
第6个指标对第2个指标的重要程度的标度值为4;The scale value of the importance of the sixth indicator to the second indicator is 4;
第6个指标对第3个指标的重要程度的标度值为2;The scale value of the importance of the sixth indicator to the third indicator is 2;
第6个指标对第4个指标的重要程度的标度值为2;The scale value of the importance of the sixth indicator to the fourth indicator is 2;
第6个指标对第5个指标的重要程度的标度值为1/2;The scale value of the importance of the sixth indicator to the fifth indicator is 1/2;
自比较的重要程度的标度值为1;The scale value of the importance of self-comparison is 1;
根据判断标准本发明构建的判断比较矩阵如下:The judgment comparison matrix constructed by the present invention according to the judgment standard is as follows:
S4.2:计算指标重要程度排序,记判断比较矩阵的最大特征值为λmax,求出λmax对应的特征向量,归一化后得到主观权重向量α,将主观权重向量α记作wj。S4.2: Calculate the ranking of the importance of the indicators, record the maximum eigenvalue of the judgment and comparison matrix as λmax , find the eigenvector corresponding to λmax , get the subjective weight vector α after normalization, and write the subjective weight vector α as wj .
S4.3为避免该权重计算方法中主观性带来的片面,对结果进行一致性检验,公式为:S4.3 In order to avoid the one-sidedness caused by the subjectivity of the weight calculation method, the results are checked for consistency. The formula is:
CR=CI/RICR =CI /RI
式中:CR为判断比较矩阵的随机一致性比率;CI为一般一致性指标;RI为随机平均一致性指标;In the formula: CR is the random consistency ratio of the judgment comparison matrix; CI is the general consistency index; RI is the random average consistency index;
n和RI的取值关系为:当n=1时,RI=0;The value relationship between n and RI is: when n=1 ,RI =0;
当n=2时,RI=0;When n=2, RI =0;
当n=3时,RI=0.52;When n=3, RI =0.52;
当n=4时,RI=0.89;When n=4, RI =0.89;
当n=5时,RI=1.12;When n=5, RI =1.12;
当n=6时,RI=1.24;When n=6, RI =1.24;
当n=7时,RI=1.36;When n=7, RI =1.36;
如表2所示。As shown in table 2.
当检验结果CR<0.1时,则可认为判断矩阵的一致性可以接受,否则需要对判断矩阵进行修正。本发明方法的检验结果CR为0.0179,因此判断矩阵的一致性可以接受。When the test resultCR <0.1, it can be considered that the consistency of the judgment matrix is acceptable; otherwise, the judgment matrix needs to be revised. The test resultCR of the method of the present invention is 0.0179, so the consistency of the judgment matrix is acceptable.
所述步骤S5中通过熵权法得到的客观权重记为wi、层次分析法得到的主观权重wj确定综合权重,并根据最小信息熵原理,用拉格朗日乘子法优化综合权重,得到综合权重Wk,其计算公式如下:In the step S5, the objective weight obtained by the entropy weight method is recorded as wi , and the subjective weight wj obtained by the AHP determines the comprehensive weight, and according to the principle of minimum information entropy, the Lagrange multiplier method is used to optimize the comprehensive weight, The comprehensive weight Wk is obtained, and its calculation formula is as follows:
状态评价函数为:The state evaluation function is:
Y=XWY=XW
式中:Xmn为第m个台区第n个指标;Y=(Y1,Y2,…,Ym)T,Ym为第m个台区状态评价函数;W=(W1,W2,…,Wn)T,Wn为第n个指标的综合权重。In the formula: Xmn is the n-th index of the m-th station; Y=(Y1 , Y2 , ..., Ym )T , Ym is the state evaluation function of the m-th station; W=(W1 , W2 , ..., Wn )T , Wn is the comprehensive weight of the nth index.
所述台区状态评价结果参考表的评价标准为:The evaluation criteria of the reference table for the state evaluation results of the station area are as follows:
当评价函数值小于0.25时,台区状态为运行状态好;When the evaluation function value is less than 0.25, the state of the station area is in a good running state;
当评价函数值为[0.25,0.5]时,台区状态为运行状态良;When the value of the evaluation function is [0.25, 0.5], the station area is in a good running state;
当评价函数值为(0.5,0.75]时,台区状态为运行状态差;When the value of the evaluation function is (0.5, 0.75], the state of the station area is the poor running state;
当评价函数值大于0.75时,台区状态为运行状态极差。When the evaluation function value is greater than 0.75, the state of the station area is extremely poor.
下面结合具体的实施例对本方法进行说明。The method will be described below in conjunction with specific embodiments.
步骤1:在不同台区内安装边缘计算装置,利用边缘计算装置采集不同台区某历史时间段不同时刻的电气特征参数,通过边缘计算装置的边缘计算模块计算出所采集台区的运行状态参数;Step 1: Install edge computing devices in different station areas, use the edge computing devices to collect electrical characteristic parameters at different times in a certain historical time period in different station areas, and calculate the operating state parameters of the collected station areas through the edge computing module of the edge computing device;
其中8个台区的运行状态参数如表1:The operating state parameters of 8 stations are shown in Table 1:
表1:Table 1:
步骤2:在云平台内构建台区状态评价模型,并对台区的运行状态参数进行预处理;Step 2: Build a state evaluation model of the station area in the cloud platform, and preprocess the operating state parameters of the station area;
对台区的运行状态参数进行标准化处理的过程为将这些运行状态参数分为3类,分别为正向指标、逆向指标、区间型指标;The process of standardizing the operating state parameters of the station area is to divide these operating state parameters into three categories, namely positive indicators, reverse indicators, and interval indicators;
正向指标为:用户电压合格率X5;The positive index is: user voltage qualification rate X5 ;
逆向指标为:供电半径X1、线缆线径的经济偏差率X2、综合线损率X3、三相负荷不平衡度X6;The reverse indicators are: power supply radius X1 , economic deviation rate of cable diameter X2 , comprehensive line loss rate X3 , three-phase load unbalance degree X6 ;
区间指标为:变压器负载率X4;The interval index is: transformer load rate X4 ;
对于逆向指标,进行基于极值处理法的预处理,逆向指标的预处理公式为:For the reverse index, the preprocessing based on the extreme value processing method is performed. The preprocessing formula of the reverse index is:
式中Ximax、Ximin分别为若干个台区中该项指标Xi的最大值和最小值,i=1,2,……,n;In the formula,Ximax andXimin are the maximum and minimum values of the index Xi in several stations,i =1, 2, ..., n;
对于正向指标,将其化为无量纲的逆向指标,正向指标的预处理公式为:For the forward index, it is transformed into a dimensionless reverse index. The preprocessing formula of the forward index is:
式中Ximax、Ximin分别为若干个台区中该项指标Xi的最大值和最小值,i=1,2,……,n;In the formula,Ximax andXimin are the maximum and minimum values of the index Xi in several stations,i =1, 2, ..., n;
对于区间型指标,变压器负载率是无量纲指标,将其化为逆向指标,区间型指标预处理公式为:For the interval index, the transformer load rate is a dimensionless index, which is converted into a reverse index. The preprocessing formula of the interval index is:
式中:Ximid为该项指标Xi的正常区间中点值,i=1,2,……,n。In the formula: Ximid is the midpoint value of the normal interval of the index Xi , i = 1, 2, ..., n.
台区运行状态参数预处理结果如表2所示:The preprocessing results of the operating state parameters of the station area are shown in Table 2:
表2Table 2
步骤3:通过熵权法对台区运行状态参数进行处理,求出各状态参数的权重,得出客观权重。通过层次分析法对台区运行状态参数进行处理,求出各状态参数权重,得出主观权重;将主观权重与客观权重相结合,得出综合权重,权重结果如表3所示,并构建状态评价函数,参照状态评价参考结果表,对台区状态进行评价,评价结果如表4所示。Step 3: The operating state parameters of the station area are processed by the entropy weight method, the weight of each state parameter is obtained, and the objective weight is obtained. The operating state parameters of the station area are processed by the analytic hierarchy process, and the weight of each state parameter is obtained, and the subjective weight is obtained; the subjective weight is combined with the objective weight to obtain the comprehensive weight. The weight results are shown in Table 3, and the state is constructed. The evaluation function refers to the state evaluation reference result table to evaluate the state of the station area. The evaluation results are shown in Table 4.
表3table 3
表4Table 4
由以上结果可知台区1、2、3、5、6运行状态较为正常,各项指标基本合理;台区4、7、8的运行状态较差,由各项指标可知台区4的三相负荷不平衡程度较大,台区8的线损率较大,台区7的运行状态最差,需要对其进行优化改造,改善其状态特性。本发明定期对边缘计算装置中的评价模型优化更新,如图2所示,定期更新熵权法所求出的客观权重,提高了评价模型的准确性。From the above results, it can be seen that the operating states of
与现有的技术相比,本发明提供的技术方案具有以下有益效果:Compared with the prior art, the technical solution provided by the present invention has the following beneficial effects:
采用边缘计算技术对台区运行状态进行评价,减少了云中心及主站的数据处理压力,方便运维人员进行台区本地化管理,节省了大量的人力、物力、财力;The use of edge computing technology to evaluate the operating status of the station area reduces the data processing pressure on the cloud center and the main station, facilitates the operation and maintenance personnel to carry out the localized management of the station area, and saves a lot of manpower, material resources and financial resources;
本发明方法将主观权重与客观权重相综合,避免了主观权重的主观性较大问题以及客观权重可能与实际重要程度不一致的问题,得出的综合权重兼顾了专家经验和数据自身的特征,避免了层次分析法和熵权法的缺陷,从而使综合权重更加合理,得出的评价结果更加合理;The method of the invention integrates the subjective weight and the objective weight, which avoids the problem that the subjectivity of the subjective weight is relatively large and the problem that the objective weight may be inconsistent with the actual degree of importance. The defects of the analytic hierarchy process and the entropy weight method are eliminated, so that the comprehensive weight is more reasonable, and the evaluation results obtained are more reasonable;
采用边缘计算技术对台区运行状态进行评价,并定期对边缘计算装置中的评价模型进行更新优化,提高了评价结果的准确性。The edge computing technology is used to evaluate the operating status of the station area, and the evaluation model in the edge computing device is regularly updated and optimized to improve the accuracy of the evaluation results.
| Application Number | Priority Date | Filing Date | Title |
|---|---|---|---|
| CN202010751974.9ACN112085321A (en) | 2020-07-30 | 2020-07-30 | Station area state evaluation method based on edge calculation |
| Application Number | Priority Date | Filing Date | Title |
|---|---|---|---|
| CN202010751974.9ACN112085321A (en) | 2020-07-30 | 2020-07-30 | Station area state evaluation method based on edge calculation |
| Publication Number | Publication Date |
|---|---|
| CN112085321Atrue CN112085321A (en) | 2020-12-15 |
| Application Number | Title | Priority Date | Filing Date |
|---|---|---|---|
| CN202010751974.9APendingCN112085321A (en) | 2020-07-30 | 2020-07-30 | Station area state evaluation method based on edge calculation |
| Country | Link |
|---|---|
| CN (1) | CN112085321A (en) |
| Publication number | Priority date | Publication date | Assignee | Title |
|---|---|---|---|---|
| CN112506673A (en)* | 2021-02-04 | 2021-03-16 | 国网江苏省电力有限公司信息通信分公司 | Intelligent edge calculation-oriented collaborative model training task configuration method |
| CN112730950A (en)* | 2020-12-23 | 2021-04-30 | 广东电网有限责任公司佛山供电局 | Low-voltage power grid voltage monitoring data layered processing system and method |
| CN113162674A (en)* | 2020-12-30 | 2021-07-23 | 国网甘肃省电力公司信息通信公司 | Satellite selection method applied to space-air-ground integrated wireless communication |
| CN114511186A (en)* | 2021-12-31 | 2022-05-17 | 南京康尼机电股份有限公司 | Rail transit vehicle door installation and adjustment quality evaluation method and system and rail vehicle |
| CN114757470A (en)* | 2022-03-01 | 2022-07-15 | 国网浙江省电力有限公司营销服务中心 | CRITIC-AHP-based platform area data acquisition capability evaluation method |
| CN114820048A (en)* | 2022-04-12 | 2022-07-29 | 云南电网有限责任公司电力科学研究院 | Method and device for evaluating causes of low voltage in distribution station area |
| CN116436106A (en)* | 2023-06-14 | 2023-07-14 | 浙江卓松电气有限公司 | Low-voltage distribution detection system, method, terminal equipment and computer storage medium |
| CN116466674A (en)* | 2022-12-02 | 2023-07-21 | 南方电网数字电网研究院有限公司 | Offshore wind turbine power control test method based on controller hardware-in-the-loop |
| Publication number | Priority date | Publication date | Assignee | Title |
|---|---|---|---|---|
| US20020095276A1 (en)* | 1999-11-30 | 2002-07-18 | Li Rong | Intelligent modeling, transformation and manipulation system |
| WO2018157691A1 (en)* | 2017-02-28 | 2018-09-07 | 国网江苏省电力公司常州供电公司 | Active distribution network safety quantifying method |
| CN109214536A (en)* | 2018-11-22 | 2019-01-15 | 广东电网有限责任公司 | A kind of equipment health state evaluation method |
| CN109214702A (en)* | 2018-09-21 | 2019-01-15 | 东北电力大学 | Urban power distribution network operation level and power supply capacity fuzzy synthetic appraisement method based on AHP- entropy assessment |
| CN110348665A (en)* | 2019-04-03 | 2019-10-18 | 中国电力科学研究院有限公司 | A kind of low-voltage platform area electric power system data quality evaluating method and device |
| CN110516837A (en)* | 2019-07-10 | 2019-11-29 | 马欣 | A kind of Intelligence Diagnosis method, system and device based on AI |
| CN110943450A (en)* | 2019-12-12 | 2020-03-31 | 山东电工电气集团有限公司 | Platform area automatic topology line loss analysis method based on Internet of things |
| CN111027872A (en)* | 2019-12-16 | 2020-04-17 | 国家电网有限公司 | Method and system for determining power utilization maturity of regional users |
| CN111159165A (en)* | 2019-12-06 | 2020-05-15 | 国网安徽省电力有限公司淮南供电公司 | Electric power underground low-power-consumption edge computing system and method based on cloud platform |
| Publication number | Priority date | Publication date | Assignee | Title |
|---|---|---|---|---|
| US20020095276A1 (en)* | 1999-11-30 | 2002-07-18 | Li Rong | Intelligent modeling, transformation and manipulation system |
| WO2018157691A1 (en)* | 2017-02-28 | 2018-09-07 | 国网江苏省电力公司常州供电公司 | Active distribution network safety quantifying method |
| CN109214702A (en)* | 2018-09-21 | 2019-01-15 | 东北电力大学 | Urban power distribution network operation level and power supply capacity fuzzy synthetic appraisement method based on AHP- entropy assessment |
| CN109214536A (en)* | 2018-11-22 | 2019-01-15 | 广东电网有限责任公司 | A kind of equipment health state evaluation method |
| CN110348665A (en)* | 2019-04-03 | 2019-10-18 | 中国电力科学研究院有限公司 | A kind of low-voltage platform area electric power system data quality evaluating method and device |
| CN110516837A (en)* | 2019-07-10 | 2019-11-29 | 马欣 | A kind of Intelligence Diagnosis method, system and device based on AI |
| CN111159165A (en)* | 2019-12-06 | 2020-05-15 | 国网安徽省电力有限公司淮南供电公司 | Electric power underground low-power-consumption edge computing system and method based on cloud platform |
| CN110943450A (en)* | 2019-12-12 | 2020-03-31 | 山东电工电气集团有限公司 | Platform area automatic topology line loss analysis method based on Internet of things |
| CN111027872A (en)* | 2019-12-16 | 2020-04-17 | 国家电网有限公司 | Method and system for determining power utilization maturity of regional users |
| Title |
|---|
| 尤永康,梅磊,刘松涛,蒋迪作: "《私有云架构设计与实践》", vol. 1, 上海:上海交通大学出版社, pages: 4 - 7* |
| 王小雷,宋耐超,史雷敏,惠杰,姜恩宇,林顺富: "基于边缘计算的台区状态综合评价方法", 《电测与仪表》, pages 1 - 8* |
| 白昱阳;黄彦浩;陈思远;张俊;李柏青;王飞跃;: "云边智能:电力系统运行控制的边缘计算方法及其应用现状与展望", 自动化学报, no. 03, pages 397 - 410* |
| Publication number | Priority date | Publication date | Assignee | Title |
|---|---|---|---|---|
| CN112730950A (en)* | 2020-12-23 | 2021-04-30 | 广东电网有限责任公司佛山供电局 | Low-voltage power grid voltage monitoring data layered processing system and method |
| CN113162674A (en)* | 2020-12-30 | 2021-07-23 | 国网甘肃省电力公司信息通信公司 | Satellite selection method applied to space-air-ground integrated wireless communication |
| CN113162674B (en)* | 2020-12-30 | 2023-03-31 | 国网甘肃省电力公司信息通信公司 | Satellite selection method applied to space-air-ground integrated wireless communication |
| CN112506673A (en)* | 2021-02-04 | 2021-03-16 | 国网江苏省电力有限公司信息通信分公司 | Intelligent edge calculation-oriented collaborative model training task configuration method |
| CN114511186A (en)* | 2021-12-31 | 2022-05-17 | 南京康尼机电股份有限公司 | Rail transit vehicle door installation and adjustment quality evaluation method and system and rail vehicle |
| CN114757470A (en)* | 2022-03-01 | 2022-07-15 | 国网浙江省电力有限公司营销服务中心 | CRITIC-AHP-based platform area data acquisition capability evaluation method |
| CN114820048A (en)* | 2022-04-12 | 2022-07-29 | 云南电网有限责任公司电力科学研究院 | Method and device for evaluating causes of low voltage in distribution station area |
| CN116466674A (en)* | 2022-12-02 | 2023-07-21 | 南方电网数字电网研究院有限公司 | Offshore wind turbine power control test method based on controller hardware-in-the-loop |
| CN116436106A (en)* | 2023-06-14 | 2023-07-14 | 浙江卓松电气有限公司 | Low-voltage distribution detection system, method, terminal equipment and computer storage medium |
| CN116436106B (en)* | 2023-06-14 | 2023-09-05 | 浙江卓松电气有限公司 | Low-voltage distribution detection system, method, terminal equipment and computer storage medium |
| Publication | Publication Date | Title |
|---|---|---|
| CN112085321A (en) | Station area state evaluation method based on edge calculation | |
| CN110689240A (en) | A Fuzzy Comprehensive Evaluation Method for Economic Operation of Distribution Network | |
| CN110264112A (en) | Bidirectional weighted gray correlation-based power distribution network reliability influence factor analysis method | |
| CN108520330A (en) | A Differential Planning Method for Medium-Voltage Lines in Distribution Networks Considering the Uncertainty of Load Forecasting Errors | |
| CN110490454B (en) | Calculation method of operation efficiency of distribution network assets based on operation efficiency evaluation of distribution network equipment | |
| CN106779478A (en) | A kind of load scheduling Valuation Method | |
| CN108520362A (en) | A comprehensive evaluation method for the level of rural smart grid | |
| CN113450031B (en) | Method and device for selecting potential stations for smart energy service for residents | |
| CN116404655A (en) | Distribution network load flexible control method and system | |
| CN103578044A (en) | New energy power generation grid-connection comprehensive peak regulation capacity assessment model based on demand side responses | |
| CN106548413A (en) | A kind of power system energy storage fitness-for-service assessment method and system | |
| CN106096799A (en) | Minimum construction investment forecast system based on electric network performance index evaluation | |
| CN107305653A (en) | Low-voltage power distribution station area integrated evaluating method and device based on attribute mathematicses | |
| CN114692949A (en) | A Distributed Resource Optimization Method Based on Internal Benefit Allocation of Virtual Power Plant | |
| CN115860547A (en) | Rural electrification digital formation effect evaluation method based on combined empowerment-TOPSIS | |
| CN118505039A (en) | Distribution line vulnerability assessment method considering wind-light-load time sequence fluctuation characteristics | |
| CN110991715A (en) | Power distribution network energy efficiency evaluation system and method based on improved grey correlation degree | |
| CN114862229A (en) | Power quality evaluation method and device, computer equipment and storage medium | |
| CN111525554A (en) | Contribution-based high-loss cause identification method and system | |
| CN118983778B (en) | A method and system for evaluating energy saving and loss reduction adaptability based on medium and low voltage lines | |
| CN110648253A (en) | A distribution network investment allocation method based on historical investment results | |
| CN112561319B (en) | A comprehensive evaluation method for data center energy system | |
| CN114742395A (en) | Comprehensive energy system energy efficiency evaluation method based on index automatic configuration | |
| CN112465284A (en) | Power grid adaptability evaluation analysis method considering access of step power station | |
| CN117371317A (en) | System stability evaluation method, medium and system for power distribution network access |
| Date | Code | Title | Description |
|---|---|---|---|
| PB01 | Publication | ||
| PB01 | Publication | ||
| SE01 | Entry into force of request for substantive examination | ||
| SE01 | Entry into force of request for substantive examination | ||
| RJ01 | Rejection of invention patent application after publication | ||
| RJ01 | Rejection of invention patent application after publication | Application publication date:20201215 |