Movatterモバイル変換


[0]ホーム

URL:


CN112076379B - A handheld multi-degree-of-freedom controllable intervention guide wire and intervention device - Google Patents

A handheld multi-degree-of-freedom controllable intervention guide wire and intervention device
Download PDF

Info

Publication number
CN112076379B
CN112076379BCN202010816165.1ACN202010816165ACN112076379BCN 112076379 BCN112076379 BCN 112076379BCN 202010816165 ACN202010816165 ACN 202010816165ACN 112076379 BCN112076379 BCN 112076379B
Authority
CN
China
Prior art keywords
guide wire
middle section
degree
driving motor
wheel
Prior art date
Legal status (The legal status is an assumption and is not a legal conclusion. Google has not performed a legal analysis and makes no representation as to the accuracy of the status listed.)
Active
Application number
CN202010816165.1A
Other languages
Chinese (zh)
Other versions
CN112076379A (en
Inventor
严鲁涛
李雨泽
李雪萌
王殿硕
曾博成
雷轩铮
Current Assignee (The listed assignees may be inaccurate. Google has not performed a legal analysis and makes no representation or warranty as to the accuracy of the list.)
Beijing Zhiwang Electric Power Technology Co ltd
Original Assignee
Beijing University of Posts and Telecommunications
Priority date (The priority date is an assumption and is not a legal conclusion. Google has not performed a legal analysis and makes no representation as to the accuracy of the date listed.)
Filing date
Publication date
Application filed by Beijing University of Posts and TelecommunicationsfiledCriticalBeijing University of Posts and Telecommunications
Priority to CN202010816165.1ApriorityCriticalpatent/CN112076379B/en
Publication of CN112076379ApublicationCriticalpatent/CN112076379A/en
Application grantedgrantedCritical
Publication of CN112076379BpublicationCriticalpatent/CN112076379B/en
Activelegal-statusCriticalCurrent
Anticipated expirationlegal-statusCritical

Links

Images

Classifications

Landscapes

Abstract

The invention discloses a hand-held multi-degree-of-freedom controllable interventional guide wire and an interventional device, wherein the interventional device comprises: the device comprises a handle shell, a control module, a button, a bearing, a multi-degree-of-freedom controllable intervention guide wire, a rigid sleeve, a driven wheel, a driving motor, a positioning seat, a transition wheel, a positioning wheel, a lead, a battery and a plug. The multi-degree-of-freedom controllable interventional guide wire comprises: a soft sleeve, a hydrophilic layer and a head end; wherein, the hydrophilic layer is positioned on the outer layer of the sleeve; the whole guide wire can be divided into an active bending section and a non-active bending section, and a spring is embedded in a hydrophilic layer of the active bending section to provide the bending restoring rigidity of the guide wire. The guidewire further includes: the front end torsion shaft, the front end limiting ball, the front end limiting plate, the front end torsion rope, the middle section limiting plate and the middle section torsion shaft are arranged inside the sleeve. The invention can accurately reproduce the manipulation operation of a surgeon and assist the surgeon to more efficiently and safely complete the diagnosis and treatment tasks of a patient.

Description

Hand-held multi-degree-of-freedom controllable intervention guide wire and intervention device
Technical Field
The invention discloses a handheld multi-degree-of-freedom controllable intervention guide wire and an intervention device, belongs to the field of medical equipment, and particularly relates to a multi-degree-of-freedom controllable guide wire for a vascular intervention operation.
Background
The minimally invasive interventional operation is an important branch of modern minimally invasive operations and is a product produced by people who are in the future under the background of the aging and aggravation of the population of the modern society. Cardiovascular and cerebrovascular diseases are one of several diseases seriously threatening human life, especially the life of the old, and according to the research results, the number of deaths caused by cardiovascular and cerebrovascular diseases increases along with the increase of the morbidity of the cardiovascular and cerebrovascular diseases every year. In a traditional minimally invasive interventional operation, a doctor uses a natural cavity as a passage, and under the guidance of equipment such as X-ray or magnetic resonance imaging and the like, a catheter and a guide wire are delivered to a diseased part of a human body through a blood vessel by means of an angiography technology, so that necessary diagnosis and treatment are implemented. Compared with the traditional surgical operation, the minimally invasive interventional operation has the obvious advantages of small wound, quick recovery and difficult complication generation.
The vascular intervention operation is a minimally invasive operation technology which reaches a farther lesion part in a human body through a blood vessel of the human body by means of a catheter and a guide wire and completes a corresponding medical process. It can effectively shorten the operation time, greatly relieve the pain of patients and shorten the recovery time, and has been widely applied at home and abroad.
The blood vessels in the human body are complicated and complicated, the wall thickness and the branches are more, great difficulty is added to delivery work, so that doctors are required to operate flexibly and move reliably, high requirements are undoubtedly put forward for operators, shaking of hands is inevitable, and the operation reliability is greatly reduced due to long-time fatigue. Catheters and guidewires are key instruments for vascular interventional procedures. However, the bending radius of the front end of the existing catheter or guide wire is fixed, so that the situation of probing and replacing the catheter for many times inevitably exists in the operation process, and the success rate and the safety of the operation are naturally influenced. Therefore, a steerable guidewire capable of autonomous bending and steering at the leading end is needed to address this problem.
The continuum robot has the advantages of high flexibility, good flexibility, various shapes and the like, determines the super-strong capability and wide application range of the continuum robot in working in an unknown non-structural environment, and is gradually used in minimally invasive surgical robots. The driving modes of the existing active feeding catheter or guide wire in a continuous body form mainly comprise magnetic navigation, an equal-curvature concentric tube, shape memory alloy, a fluid mode, a spring, a rope drive and the like.
The magnetic navigation is that a permanent magnet is arranged at the front end of a catheter or a guide wire, the advancing and the steering of the permanent magnet are controlled by utilizing the action of the magnetic field gradient change generated by the superconducting electromagnet on the force and the moment generated by the permanent magnet, and the catheter is driven to complete the guiding control. However, such devices are generally complex in structure, bulky in size, expensive in price and not easy to popularize.
Shape memory alloy actuation utilizes the transformation of shape memory alloy materials between a high temperature austenite phase and a low temperature martensite phase upon the application or removal of heat to achieve contraction and stretching and thus bend and recover the catheter. However, the memory alloy material has strong nonlinearity, and the characteristics of large hysteresis, low bandwidth and slow response make it difficult to control accurately.
The concentric tube robot is formed by mutually nesting pre-bent and super-elastic nickel-titanium alloy tubes. The shape and the end pose of the robot are controlled by the axial extension and the rotation around the axis of the concentric tube, and the operation action under the complex environment can be completed by adding a special actuator at the end of the concentric tube. However, the degree of freedom of the concentric tube robot depends on the number of sleeves, thus affecting the overall volume, and in addition, friction between the sleeves easily causes a problem of lifetime.
Fluid driving is also a common driving mode of a continuum robot, and the internal cavity of the robot is contracted or expanded by using fluids such as gas, liquid and the like so as to achieve the purposes of deformation and movement. The development of fluid corollary equipment such as pumps, valves and the like is mature, the driving force of a fluid driving mode is large, and the response speed is high. However, the fluid driving has the disadvantages of poor controllability and low position accuracy.
The rope drive is by pulling the rope, transmitting a force or torque to the end. The driving mode is characterized in that the driving unit is arranged externally and separated from the joint, so that the mass and the volume of the executing mechanism are reduced, the load capacity is high, and the operation is flexible. The external arrangement of the driving unit also reduces vibration and improves the precision of the tail end work. However, the cable drive arrangement requires some stiffness of the catheter or guidewire body so that forces or torques can be transferred to the catheter tip, which will have some effect on the overall flexibility of the catheter. Secondly, the coupling between the joints in the rope driving mode is strong, and the multi-degree-of-freedom control difficulty is large.
Based on the structure, the invention provides a handheld multi-degree-of-freedom controllable interventional guide wire and an interventional device. The rotary degree of freedom is realized by driving a driving gear by a rotary driving motor to drive a driven gear, so that a guide wire fixed with the driven gear is driven to rotate; the front end is crooked all adopts the rope drive form of turning round with the middle section is crooked, specifically drives the torsion shaft for driving motor, transmits the moment of torsion to spacing ball, turns round rope one end and passes spacing ball and fixed connection, and the other end is fixed with the seal wire, when the torsion shaft rotates, turns round the rope and tightens up and drive corresponding joint bending. The rope twisting driving mode enables the stress at two ends of the flexible joint to be converted into the joint internal force, does not affect other joints, is convenient for realizing the multi-degree-of-freedom design of the catheter, and is very suitable for highly integrated robot equipment. The multi-degree-of-freedom guide wire has good flexibility, can smoothly pass through a bent body cavity pipeline environment, can reduce the operation of a doctor, and assists the doctor to finish an interventional operation with high quality and high efficiency.
Disclosure of Invention
The invention aims to overcome part of defects of the prior art, provides a handheld multi-degree-of-freedom controllable interventional guide wire and an interventional device required by interventional surgery, and solves the problems that the traditional guide wire is not controllable, the structure of the existing active guide wire is complex, and the control is unstable.
A hand-held multi-degree-of-freedom controllable interventional guidewire, comprising: a soft sleeve, a hydrophilic layer and a head end; wherein, the hydrophilic layer is positioned on the outer layer of the sleeve; the whole guide wire can be divided into an active bending section and a non-active bending section, and a spring is embedded in a hydrophilic layer of the active bending section to provide the bending restoring rigidity of the guide wire.
The guidewire further includes: the front end torsion shaft, the front end limiting ball, the front end limiting plate, the front end torsion rope, the middle section limiting plate and the middle section torsion shaft are arranged inside the sleeve.
The front-end limiting ball is a light ball and is positioned at one end of the front-end torsion shaft, and a front-end ball threading hole is formed in the front-end limiting ball; the front end limiting plate is positioned in the cross section close to the end of the guide wire, and a front plate wire passing hole is formed in the front end limiting plate; one side of the front end limiting plate is provided with a front end limiting ball and a middle section twisted rope, the diameter of the front plate wire passing hole is smaller than that of the front end limiting ball, and the middle section twisted rope is fixedly connected with the front end limiting plate; the front end is turned round the rope and is passed front end ball threading hole and front bezel on the spacing ball of front end and cross the line hole to with front end spacing ball fixed connection, the other end passes the front bezel and crosses the line hole, and with head end fixed connection.
The middle section limiting plate is fixed inside the sleeve and arranged at the position of the cross section, and a through shaft hole and a middle plate through hole are arranged on the middle section limiting plate; one side of the middle section limiting plate is provided with a middle section limiting ball which is fixed at one end of the middle section torsion shaft and provided with a middle section ball threading hole; the diameter of the middle section limiting ball is larger than that of the middle plate wire passing hole; the middle section twisting rope penetrates through a middle section ball threading hole in the middle section limiting ball and is fixedly connected with the middle section limiting ball, and the other end of the middle section twisting rope penetrates through the middle plate threading hole and is fixedly connected with the front end limiting plate; the front end torsion shaft passes through the shaft passing hole in the middle section limiting plate.
The sleeve is made of medical nonmetal material with good elasticity and self-lubricating property, and can be polyamide, polyurethane and polyvinyl chloride.
The head end and the head end are in an arc shape, and a platinum material is added into the head end to increase the visibility of the guide wire under perspective.
A hand-held multi-degree-of-freedom controllable interventional device, comprising: the device comprises a handle shell, a control module, a button, a bearing, a multi-degree-of-freedom controllable intervention guide wire, a rigid sleeve, a driven wheel, a driving motor, a positioning seat, a transition wheel, a positioning wheel, a lead, a battery and a plug.
The guide wire with multiple degrees of freedom extends out of the interior of the handle shell; other components are disposed within the handle housing. The handle shell is used for the doctor to grip, the shape of the handle shell adopts a straight handle structure, and the two ends of the handle shell are thicker, and the middle part of the handle shell is thinner. The structure is suitable for the comfortable feeling of holding and can prevent the doctor from slipping off when pushing the guide wire. The handle shell can be made of aluminum alloy, nylon, Teflon and other materials, and has the advantages of light weight and high temperature disinfection resistance.
One end of the handle shell is provided with a plug for connecting an external power supply. The button comprises a middle-section bending button, a rotating button and a front-end bending button which are arranged on the side surface of the handle shell, and is connected with the control module through a wire and used for doctor operation, and the button is pressed to start the motor and drive the guide wire to rotate or bend.
The driving motor is a driving part of the guide wire with multiple degrees of freedom, comprises a rotary driving motor, a front end driving motor and a middle section driving motor, and is respectively connected with the control module through a lead.
The output shaft of the front-end driving motor is fixedly connected with a front-end torsion shaft of the multi-degree-of-freedom controllable intervention guide wire, the other end of the front-end torsion shaft is provided with a front-end limiting ball, and the front-end limiting ball is fixedly connected with the front-end torsion shaft. The electric energy of the front end driving motor is provided by a battery through a control module and a lead, and the control instruction of the front end driving motor comes from the front end bending button. When the front end bending button is pressed down, the front end driving motor rotates to drive the front end torsion shaft and the front end limiting ball to rotate, and further drive the front end torsion rope to rotate, so that the length of the front end torsion rope is shortened, and the front end bending of the multi-freedom-degree controllable intervention guide wire is driven.
Similarly, an output shaft of the middle-section driving motor is fixedly connected with a middle-section torsion shaft of the multi-degree-of-freedom controllable interventional guide wire, and the other end of the middle-section torsion shaft is fixedly connected with a middle-section limiting ball; when the middle section motor rotates, the rotary motion of the output shaft is transmitted to the middle section limiting ball through the middle section torsion shaft, so that the middle section torsion rope of the multi-freedom-degree controllable intervention guide wire is driven to rotate, the length of the middle section torsion rope is shortened, and the middle section bending of the multi-freedom-degree controllable intervention guide wire is driven.
The rotary drive motor is used for driving the guide wire to rotate, because when the guide wire moves in a blood vessel, the guide wire needs to be rotated to select a correct path when a bent section, particularly a bifurcation section, passes. The driving electric energy of the rotary driving motor is also provided by the control module through a rotary motor wire, and is different from the front-end driving motor and the middle-section driving motor in that an output shaft of the rotary driving motor is fixedly connected with a driving wheel which is a gear. The driving wheel is meshed with the driven wheel, the driven wheel is fixedly connected with the multi-degree-of-freedom controllable intervention guide wire through the rigid sleeve, and when the driving wheel rotates, the driven wheel drives the whole multi-degree-of-freedom controllable intervention guide wire to rotate. It should be noted that the guide wire rotation is an operation of twisting the wire in a manner similar to the manual operation of the doctor, and is not a unidirectional continuous rotation but a repeated reversing rotation. Thus, rotation of the guidewire does not result in twisting of the front torsion shaft and the midsection torsion shaft.
The control module is connected with the battery through a lead, connected with each button through a lead and connected with each driving motor through a lead; the control module is mainly used for controlling the conduction time of each driving motor so as to control the bending angle of the guide wire. And the control module further comprises a motor speed regulating module for controlling the rotating speed of the driving motor so as to control the bending speed of the guide wire. The control module receives an on-off instruction from the button, is used for controlling the connection and disconnection between the driving motor and the power supply and stores the connection time. When the novel guide wire bending device is used specifically, when the button is pressed down, the control module starts timing and adjusts to a fixed speed, the driving motor is conducted at the moment, the torsion shaft rotates, the torsion rope contracts, and the guide wire bends; after the button is released, the control module sends the storage time to the motor controller, the motor is continuously conducted but reversely rotated until the stored power-on time is reached, and at the moment, the guide wire is reset; if the button is pressed again in the motor reversal process, the time is cleared and is counted again; and after the guide wire is bent and reset, the control module cuts off a conduction loop between the power supply and the driving motor.
The position separating seat, the transition wheel and the position separating wheel form a position separating, guiding and tension adjusting system of two torsion shafts of the multi-degree-of-freedom controllable intervention guide wire. The positioning seat is positioned at one end close to the guide wire, the positioning seat is composed of a base and a limiting sliding block, the base is fixedly connected with the handle shell, the torsion shaft passes through the inside of the limiting sliding block and is fixedly connected with the limiting sliding block, and the limiting sliding block is used for preventing the guide wire from moving along the axial direction; the positioning wheel is positioned at the output shaft end of the motor and consists of a positioning wheel shaft and a positioning pulley, an axial adjusting hole is formed in the positioning pulley, and when the torsion shaft is loosened in the axial direction, the axial tension can be adjusted by adjusting the position of the positioning wheel shaft in the axial adjusting hole; the transition wheel is positioned between the indexing wheel and the indexing seat and consists of a transition wheel shaft and a transition pulley, a radial adjusting hole is formed in the transition pulley, and when the torsion shaft is loosened in the radial direction, the position of the radial adjusting hole can be adjusted through the transition wheel shaft, so that the radial tensioning degree can be adjusted.
Because the outer layer of the multi-degree-of-freedom controllable interventional guide wire is directly contacted with the blood vessel, if a soft material is selected to rotate and drive the motor, the torque cannot be directly transmitted to the guide wire. For this purpose, the guide wire is passed through the interior of a rigid sleeve and fixedly connected thereto, and when the rigid sleeve is rotated, the entire guide wire is driven to rotate. The bearings are assembled at two ends of the rigid sleeve and used for supporting the rigid sleeve, and the bearing seat of each bearing is fixedly connected with the handle shell. The rigid sleeve material can be selected from aluminum alloy, nylon and other light materials.
The invention provides a hand-held multi-degree-of-freedom controllable interventional guide wire and an interventional device, which are key tools for interventional diagnosis and treatment. The invention can accurately reproduce the manipulation operation of a surgeon and assist the surgeon to more efficiently and safely complete the diagnosis and treatment tasks of a patient. The invention has the obvious advantages that:
(1) the doctor can hold the position of the handle of the invention by hand, control the feed motion of the guide wire and realize the advance and retreat of the catheter in the blood vessel;
(2) the invention can realize the integral automatic rotation of the guide wire, the rotating speed and the forward and reverse rotating frequency are adjustable, the operation can realize the operation of twisting the guide wire by a doctor, so that the guide wire is twisted by a certain angle in the blood vessel of the human body, and the steering operation at a plurality of branches of the blood vessel of the human body is realized;
(3) the bending of the guide wire is formed by internal force formed by twisting rope driving, and the twisting rope has the advantages of simple structure, small mass, long service life and the like. Because the rope twisting acting force forms an internal force in the single-section acting area, no influence is caused on other guide wire sections, the rigidity of the guide wire is not required, and the multiple-degree-of-freedom expansion can be realized;
(4) the bending angle of the guide wire in the human blood vessel can be accurately controlled, and the bending of the front end and the middle section of the guide wire can be realized, so that the guide wire can smoothly enter the branches of the human blood vessel.
(5) The invention can well cooperate with surgeons to complete interventional diagnosis and treatment tasks, realize the cooperative control of various motion modes, so that the robot can freely walk in the multi-branch blood vessel environment in the human body, accurately and actively guide and position the focus part, and simultaneously avoid unnecessary collision with the blood vessel wall and other environments.
(6) The invention can be combined with a motion platform and a manipulator to form an autonomous interventional operation robot system.
Drawings
FIG. 1 is a sectional view and a partially enlarged view of the overall structure of the present invention
FIG. 2 is a sectional view of a docking station
FIG. 3 middle torsion Axis end views
FIG. 4 cross-sectional view of the middle limiting plate
FIG. 5 is a sectional view of the front end limiting plate
FIG. 6 is a cross-sectional view of the head end
FIG. 7 torsion Axis Split view
FIG. 8 transition wheel axle section view
FIG. 9 guide wire configuration with bending and rotational degrees of freedom of the tip
FIG. 10 guidewire configuration with bending and rotational degrees of freedom in the middle section
FIG. 11 shows the configuration of a guide wire with coupled degrees of freedom for bending the front end, bending the middle section, and rotating
FIG. 12 control flow chart
Figure 13a, b twist rope mathematic model
The numbers in the figures are as follows:
1a handle housing; 2, a control module; 3 bending the button lead in the middle section; 4 rotating the button wire; 5 bending the button lead at the front end; 6, bending the button in the middle section; 7 rotating the button; 8, bending a button at the front end; 9 bearing; 10 front end torsion shaft; 11a front end limiting ball; 11a front ball threading hole; 12a front end limiting plate; 12a front plate wire passing hole; 13a spring; 14 front end twisting; 15 a sleeve; 16 a hydrophilic layer; 17 a head end; 18, twisting the rope in the middle section; 19a middle section limiting plate; 19a through the shaft hole; 19b middle plate through hole; 20, a middle section limiting ball; 20a middle ball threading hole 21 middle torsion shaft; 22 a rigid sleeve; 23, a driven wheel; 24 driving wheels; 25 a rotary drive motor; 26a indexing seat; 26a base; 26b limiting slide block; 27 transition wheels; 27a transition wheel axle; 27b a transition pulley; 27c radial adjustment holes 28 indexing wheel; 28a indexing axle; 28b a indexing pulley; 28c an axial adjustment hole; 29 front end drive motor; 30, driving a motor in the middle section; 31 front end motor leads; 32 middle section motor lead; 33 rotating electrical machine wires; 34 power supply leads; 35 a battery; 36 plug.
Detailed Description
Reference will now be made in detail to embodiments of the present application, examples of which are illustrated in the accompanying drawings, wherein like or similar reference numerals refer to the same or similar components or components having the same or similar functions throughout. Throughout the description of the present application, it is to be noted that, unless otherwise expressly specified or limited, the terms "mounted," "connected," and "connected" are to be construed broadly, e.g., as meaning either a fixed connection, a removable connection, or an integral connection; may be mechanically connected, may be electrically connected or may be in communication with each other; either directly or indirectly through intervening media, either internally or in any other relationship. The specific meaning of the above terms in the present application can be understood by those of ordinary skill in the art as appropriate.
As shown in fig. 1, 3, 4, 5 and 6, one embodiment of the present invention is a handheld multi-degree-of-freedom controllable interventional guide wire, which is composed of asoft sleeve 15, ahydrophilic layer 16 and atip 17. The entire guide wire is divided into an active bending section (i.e., "front end + mid-section") and a non-active bending section. The active bending section can be actively bent under the driving of the twisted rope, and the part except the active bending section in the guide wire is an inactive bending section and is bent under the action of external force (extrusion of a blood vessel wall).
The outer layer of the whole guide wire is provided with a hydrophilic layer, and thehydrophilic layer 16 of the active bending section is embedded with aspring 13 to provide the recovery rigidity of bending.
The guide wire stretches out from the inside of thehandle shell 1, and a frontend torsion shaft 10, a frontend limiting ball 11, a frontend limiting plate 12, a frontend torsion rope 14, a middlesection torsion rope 18, a middlesection limiting plate 19, a middlesection limiting ball 20 and a middlesection torsion shaft 21 are arranged in the guide wire.
The surface layer of the guide wire is sequentially provided with asleeve 15 and ahydrophilic layer 16 from inside to outside, and thespring 13 is made of stainless steel; the front end of the guide wire is provided with ahead end 17 which is used for passing through a blood vessel channel to reach the affected part.
The material of thesleeve 15 may be polyamide, polyurethane, polyvinyl chloride, etc. Thehydrophilic layer 16 is mainly used to improve the lubricity between the guide wire and the blood vessel and improve the tracking performance, and the main material is polytetrafluoroethylene.
Thehead end 17 is positioned at one end of thesleeve 15, thehead end 17 reaches a lesion or penetrates through a lesion area at the earliest, and in order to increase the visibility of the guide wire under fluoroscopy, a platinum material is added to the head end. In order to improve the safety operation and avoid tearing and perforation, thehead end 17 is in an arc shape and made of polytetrafluoroethylene.
As shown in fig. 1-11, one embodiment of the present invention is a handheld multi-degree-of-freedom controllable interventional device, comprising: ahandle housing 1; acontrol module 2; thebutton lead 3 is bent in the middle section; arotary button wire 4; the front end bends thebutton wire 5; a middle-segment bending button 6; arotary button 7; a frontend bending button 8; abearing 9; a frontend torsion shaft 10; a frontend limit ball 11; a frontend limiting plate 12; aspring 13; a front-end torsion cord 14; asleeve 15; ahydrophilic layer 16; ahead end 17; a middlesection twisting rope 18; a middlesection limiting plate 19; a middlesection limit ball 20; a middlesection torsion shaft 21; arigid sleeve 22; a drivenpulley 23; adrive wheel 24; arotation driving motor 25; aindexing seat 26; atransition wheel 27; aindexing wheel 28; a frontend drive motor 29; a middlesection driving motor 30; the front-end motor lead 31; a middle section motor lead 32; a rotating electric machine wire 33; a power supply lead 34; abattery 35; and aplug 36.
Wherein, the dividingseat 26 comprises abase 26a and a limitingslide block 26 b; the middlesection limiting ball 20 is provided with a middle sectionball threading hole 20 a; the front-end limiting ball 11 is provided with a front-endball threading hole 11 a; thefront limiting plate 12 is provided with a front platewire passing hole 12 a; the middlesection limit plate 19 is provided with a middle platewire passing hole 19a and a middle platewire passing hole 19 b; theindexing wheel 28 consists of anindexing wheel shaft 28a, an indexingpulley 28b and anaxial adjusting hole 28 c;transition wheel 27 is composed of atransition wheel axle 27a, atransition pulley 27b, and aradial adjusting hole 27 c.
Thehandle shell 1 is a holding part of a doctor, and comprises acontrol module 2, a middle-sectionbending button lead 3, arotary button lead 4, a front-endbending button lead 5, abearing 9, a front-end torsion shaft 10, a middle-section torsion shaft 21, arigid sleeve 22, a drivenwheel 23, adriving wheel 24, arotary driving motor 25, a separatingseat 26, atransition wheel 27, aseparating wheel 28, a front-end driving motor 29, a middle-section driving motor 30, a front-end motor lead 31, a middle-section motor lead 32, a rotary motor lead 33, a power supply lead 34 and abattery 35.
Thehandle shell 1 is in a straight handle shape, two ends are thick, and the middle part is thin, so that the structure can improve the comfort of a doctor in holding and simultaneously prevent slipping in the using process. Thehandle shell 1 can be made of aluminum alloy, nylon, Teflon and other materials, has light weight and can resist high-temperature sterilization.
The side of thehandle shell 1 is provided with amiddle bending button 6, arotating button 7 and afront bending button 8 for the operation of a doctor, and the buttons are pressed to start the guide wire to rotate or bend.
One end of thehandle housing 1 is provided with aplug 36, which is arranged at the bottom end of thehandle housing 1 for connecting an external power supply.
Thebattery 35, the power supply lead 34 and theplug 36 constitute a power supply system in the medical multi-degree-of-freedom guide wire system, and mainly provide electric energy for the front-end driving motor 29, the middle-section driving motor 30 and therotary driving motor 25. Thebattery 35 is located near the end of thehandle housing 1 and has one end connected to the power conductor 34. Theplug 36 is connected to the power conductor 34. The power supply mode can use abattery 35 to supply power directly through the power wire 34, and can also use a mode of external power supply of theplug 36.
Thecontrol module 2 is arranged on one side of thebattery 35, and thecontrol module 2 is connected with thebattery 35 through a power supply lead 34; thecontrol module 2 is connected with the middle-section bending button 6, therotary button 7 and the front-end bending button 8 through a middle-sectionbending button lead 3, arotary button lead 4 and a front-endbending button lead 5 respectively; thecontrol module 2 is connected with therotary drive motor 25, the frontend drive motor 29 and the middlesection drive motor 30 through a rotary motor lead 33, a front end motor lead 31 and a middle section motor lead 32 respectively.
As shown in fig. 12, the specific control flow of thecontrol module 2 is as follows:
(1) when no button instruction is given from the outside, the control module is in a standby state, and the battery power, whether an external power supply is connected or not and the operation condition of the voltage stabilizing module are monitored in the standby state;
(2) when receiving an external button command, firstly judging the position of the button, namely judging one of the middle-section bending button 6, therotating button 7 and the front-end bending button 8;
(3) if thebutton 7 is judged to be rotated, firstly, the commutator is started according to the previously stored forward and reverse rotation frequency, therotation driving motor 25 starts forward and reverse rotation operation, and whether thebutton 7 is stopped is monitored in real time; when the stop (release) of therotary button 7 is detected, the commutator is stopped, reset is started, and therotary driving motor 25 is reset.
(4) If the frontend bending button 8 is judged, firstly, the corresponding time recorder is set to zero, time is recorded, the corresponding frontend driving motor 29 is conducted in the forward direction, the motor rotates in the forward direction, and whether the frontend bending button 8 stops (loosens) or not is monitored in real time; after the frontend bending button 8 stops, the recording time is sent to the countdown timer, the frontend driving motor 29 is conducted in the reverse direction until the countdown time is zero, and at this time, the frontend driving motor 29 resets.
(5) If it is judged as the middlestage bending button 6, the middlestage driving motor 30 is controlled similarly to the step (4).
The driving motor is a driving part of the guide wire with multiple degrees of freedom. Wherein, the frontend driving motor 29 is arranged at the middle part inside thehandle shell 1, the output shaft of the frontend driving motor 29 is fixedly connected with the frontend torsion shaft 10, and the connection mode can be shaft coupling, welding and gluing. The other end of the frontend torsion shaft 10 is fixedly connected with a frontend limiting ball 11 in a welding mode.
The power for thefront drive motor 29 is supplied by abattery 35 or an external power source through thecontrol module 2 and through thefront motor lead 5, the control commands of which are from thefront bending button 8. When the frontend bending button 8 is pressed, the frontend driving motor 29 rotates to drive the frontend torsion shaft 10 and the frontend limit ball 11 to rotate, and further drive the frontend torsion rope 14 to rotate, so that the length of the front end torsion rope is shortened, and further the front end of the guide wire is driven to bend.
The middlesection drive motor 30 is disposed in the middle of the inside of thehandle case 1, and is disposed in parallel with the frontend drive motor 29. Themid-section drive motor 30 has a mid-section motor lead 32 at one end for receiving electrical power from thecontrol module 2. The output shaft of the middlesection driving motor 30 is fixedly connected with the middlesection torsion shaft 21, and the connection mode can be coupling, welding and gluing. The other end of the middlesection torsion shaft 21 is fixedly connected with a middlesection limiting ball 20, and the connection mode is welding. When the middlesection driving motor 30 rotates, the rotation motion of the output shaft is transmitted to the middlesection limiting ball 20 through the middlesection torsion shaft 21, and then the middlesection torsion rope 18 is driven to rotate, so that the length of the middle section torsion rope is shortened, and the middle section of the guide wire is driven to bend.
Therotation driving motor 25 is used to drive the rotation of the entire guide wire, which is actually a repeated reverse rotation simulating the twist operation of the doctor's manual operation. The frequency and the rotation time of the commutation can be input by thecontrol module 2. The drive power for therotary drive motor 25 is likewise supplied by thecontrol module 2 via the rotary motor line 33. The output shaft of therotary driving motor 25 is fixedly connected with thedriving wheel 24, thedriving wheel 24 is a gear made of aluminum alloy, nylon or Teflon, and the connection mode can be coupling, welding or gluing. Thedriving wheel 24 is engaged with the drivenwheel 23, the drivenwheel 23 is a gear, the modulus of the gear is consistent with that of thedriving wheel 24, and the material is aluminum alloy, nylon or Teflon material. The drivenwheel 23 is embedded with arigid sleeve 22, and the driven wheel and the rigid sleeve are fixedly connected through gluing. Thesleeve 15 and thehydrophilic layer 16 are embedded in the inner layer of therigid sleeve 22 and are fixedly connected by gluing. When thedriving wheel 24 rotates, the drivenwheel 23 rotates therigid sleeve 22 and thesleeve 15 and thehydrophilic layer 16 of the guide wire.
Theindexing seat 26, thetransition wheel 27 and theindexing wheel 28 are positioned among the frontend driving motor 29, the middlesection driving motor 30 and the end part of thesleeve 15, and form an indexing, guiding and adjusting tensioning system of the frontend torsion shaft 10 and the middlesection torsion shaft 21. Wherein, theposition separating seat 26 is located near one end of the sleeve, theposition separating seat 26 is composed of abase 26a and a limitingslide block 26b, thebase 26a is fixedly connected with thehandle shell 1, and the fixing mode is threaded connection. The limitingslide blocks 26b are used for preventing the guide wire from moving along the axial direction, the frontend torsion shaft 10 and the middlesection torsion shaft 21 respectively penetrate through the central holes of the corresponding limitingslide blocks 26b and are fixedly connected with the same, and the connecting mode is cementing.
Theindexing wheel 28 is close to the output shaft ends of the frontend driving motor 29 and the middlesection driving motor 30, and the frontend torsion shaft 10 and the middlesection torsion shaft 21 are respectively positioned at two sides of theindexing wheel 28. Theindexing wheel 28 consists of anindexing wheel shaft 28a and anindexing pulley 28b, and anaxial adjusting hole 28c which is a long round hole is formed in the indexingpulley 28 b. When the front-end torsion shaft 10 or the middle-section torsion shaft 21 has slack in the axial direction, the axial tension can be adjusted by adjusting the position of theindex axle 28a in theaxial adjustment hole 28 c.
The twotransition wheels 27 are positioned between theindexing wheel 28 and theindexing seat 26, and the frontend torsion shaft 10 and the middlesection torsion shaft 21 extend out from one side of theindexing wheel 28, respectively enter one side of thecorresponding transition wheel 27 and enter a central hole of the limitingslide block 26b in the correspondingindexing seat 26. After protruding from thelimit slider 26b, thefront torsion bar 10 and themiddle torsion bar 21 enter the inside of thesleeve 15. Thetransition wheel 27 is composed of atransition wheel shaft 27a and atransition pulley 27b, aradial adjusting hole 27c is arranged on thetransition pulley 27b, and when the frontend torsion shaft 10 or the middlesection torsion shaft 21 is loosened in the radial direction, the position of thetransition wheel shaft 27a in theradial adjusting hole 27c can be used for achieving the adjustment of the radial tensioning degree.
Therigid sleeve 22 is a hollow tubular structure, mainly providing torsional rigidity, and may be made of light materials such as aluminum alloy, nylon, teflon, and the like. Thesleeve 15 and thehydrophilic layer 16 of the guide wire pass through the interior of therigid sleeve 22 and are fixedly connected thereto, by gluing. Therigid sleeve 22 is provided withbearings 9 at both ends for supporting therigid sleeve 22, and the bearing seat of thebearing 9 is fixedly connected with thehandle shell 1 in a threaded connection mode. When therigid sleeve 22 rotates, the entire guide wire is rotated.
Thesleeve 15 is a hollow tubular structure, and is internally provided with a frontend torsion shaft 10, a frontend limiting ball 11, a frontend limiting plate 12, a middlesection torsion shaft 21, a middlesection limiting ball 20, a middlesection limiting plate 19, a frontend torsion rope 14 and a middlesection torsion rope 18. Thefront torsion shaft 10 and themiddle torsion shaft 21 extend from thecorresponding limit sliders 26b and then enter thesleeve 15.
The frontend limiting ball 11 is fixed at one end of the frontend torsion shaft 10 and is a light ball made of nylon or Teflon, a front endball threading hole 11a is formed in the front end limiting ball, and a wear-resistant layer is coated on the surface layer of the front end limiting ball. The diameter of the frontend limiting ball 11 is larger than 0.3 mm.
Similarly, the middlesection limiting ball 20 is fixed at one end of the middlesection torsion shaft 10, is a light ball made of nylon or teflon, is internally provided with a middle sectionball threading hole 20a, and is coated with a wear-resistant layer on the surface. The diameter of the middlesection limiting ball 20 is larger than 0.3 mm.
The frontend limiting plate 12 is fixed to the cross section inside thecasing 15 by gluing. The frontend limiting plate 12 is positioned close to thehead end 7 of the guide wire, and a front platewire passing hole 12a is arranged on the front end limiting plate. The frontend limiting plate 12 may be made of aluminum alloy, nylon, teflon or other light materials.
The frontend limiting ball 11 and the middlesection twisting rope 18 are arranged on one side of the frontend limiting plate 12, and the diameter of the front platewire passing hole 12a can be 0.05-0.3mm and is smaller than that of the front end limiting ball. The middle section twistedrope 18 is fixedly connected with the frontend limiting plate 12 by gluing.
The front-end twisting rope 14 is a multi-strand inelastic thin rope with the number of strands being 3-8 strands, is mainly used for providing bending internal force at the front end of the guide wire and is made of nylon or stainless steel wires. Thefront end twist 14 rope passes through the front endball threading hole 11a and the frontplate threading hole 12a on the frontend limiting ball 11 and is fixedly connected with the frontend limiting ball 11, and the fixing mode is gluing. The other end of thefront end twist 14 rope passes through the front platewire passing hole 12a and is fixedly connected with thehead end 7, and the fixing mode is gluing.
Themiddle limiting plate 19 is fixed inside thecasing 15 by gluing. Themiddle limiting plate 19 is disposed at the cross-sectional position of thecasing 15, and is provided with amiddle shaft hole 19a and a middle platewire passing hole 19 b. The middlesection limiting plate 19 can be made of light materials such as aluminum alloy, nylon, teflon and the like.
One side of the middlesection limiting plate 19 is provided with a middlesection limiting ball 20, the middlesection limiting ball 20 is fixed at one end of a middlesection torsion shaft 21, and a middle sectionball threading hole 20a is formed in the middle section limiting ball.
The middle-section twisting rope 18 is a multi-strand inelastic thin rope with the number of strands being 3-8 strands, is mainly used for providing bending internal force for the middle section of the guide wire and is made of nylon or stainless steel wires. The middlesegment torsion rope 18 passes through the middle segmentball passing hole 20a on the middlesegment limiting ball 20 and is fixedly connected with the middlesegment limiting ball 20, and the fixing mode is cementing. The other end of the middlesection twisting rope 18 passes through the middle platewire passing hole 19b and is fixedly connected with the frontend limiting plate 12, and the fixing mode is gluing.
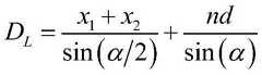
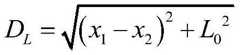
As shown in fig. 13a and b, the retraction distance calculation process of the fronttwisted string 14 and the middletwisted string 18 is:
suppose the diameter of rope is evenly distributed, and does not consider, according to the calculation of bifilar rope, when not twisting, the rope is mutually independent, and the interval between the pin joint of one side this moment is:
Figure BDA0002632782800000131
wherein x is1And x2The center distance between two ends of the twisted rope; l is0Is the initial distance.
When the rope twists reverse, turn round the rope and become helical structure, the length of rope between one side intersection point this moment shows to be:
Figure BDA0002632782800000132
wherein alpha is the helical angle of the twisted rope, d is the diameter of the rope, and n is the number of turns of the twist.
Combine above-mentioned two formulas, do not consider the length deformation of rope, then the shrinkage between the rope pin joint distance is:
Figure BDA0002632782800000133
the torque shaft is an important component for transmitting the torque of the motor. One end of the frontend torsion shaft 10 is fixedly connected with an output shaft of a frontend driving motor 29, and the other end of the front end torsion shaft passes through one side of the corresponding transition wheel from one side of thepositioning wheel 28 and enters the limitingslide block 26b in thecorresponding positioning seat 26, extends out and enters thesleeve 15, and passes through the throughshaft hole 19a on the middlesection limiting plate 19 until extending to one side of the frontend limiting plate 12 and is fixedly connected with the frontend limiting ball 11.
One end of the middlesection torsion shaft 21 is fixedly connected with an output shaft of the middlesection driving motor 30, and the other end of the middle section torsion shaft passes through one side of the corresponding transition wheel from one side of thepositioning wheel 28, enters the limitingslide block 26b in thecorresponding positioning seat 26, extends out of thesleeve 15, enters the sleeve until extending to one side of the middlesection limiting plate 19, and is fixedly connected with the middlesection limiting ball 20.
In the specific implementation:
(1) acquiring a two-dimensional projection image of an aorta vessel of a patient through a medical imaging system, and performing three-dimensional modeling on the vessel;
(2) a doctor carries out detailed observation, diagnosis and analysis according to the state of illness of a patient and plans a motion path of a minimally invasive interventional operation;
(3) the doctor holds thehandle shell 1 to push, and thehead end 17 drives the guide wire to enter the blood vessel through the puncture part;
(4) according to medical images, when the guidewire head end 17 reaches a bent or forked part of a blood vessel, the middle-section bending button 6, therotary button 7 or the front-end bending button 8 are correspondingly pressed down according to the bending angle and the forked form, so that the coordination control of multiple degrees of freedom is realized, and the blood vessel can be smoothly entered;
(5) after the branch is entered, the button is released, and thecontrol module 2 conducts the reverse motion of the motor according to the recorded time until the motor is reset;
(6) the doctor continues to push the guide wire until it reaches the affected part.

Claims (10)

1. The utility model provides a controllable seal wire of interveneeing of hand-held type multi freedom which characterized in that: the guide wire comprises: a soft sleeve, a hydrophilic layer and a head end; wherein, the hydrophilic layer is positioned on the outer layer of the sleeve; the whole guide wire is divided into an active bending section and a non-active bending section, and a spring is embedded in a hydrophilic layer of the active bending section to provide the bending restoring rigidity of the guide wire;
the guidewire further includes: the front end torsion shaft, the front end limiting ball, the front end limiting plate, the front end torsion rope, the middle section limiting plate and the middle section torsion shaft are arranged in the sleeve;
the front-end limiting ball is a light ball and is positioned at one end of the front-end torsion shaft, and a front-end ball threading hole is formed in the front-end limiting ball; the front end limiting plate is positioned in the cross section close to the end of the guide wire, and a front plate wire passing hole is formed in the front end limiting plate; one side of the front end limiting plate is provided with a front end limiting ball and a middle section twisted rope, the diameter of the front plate wire passing hole is smaller than that of the front end limiting ball, and the middle section twisted rope is fixedly connected with the front end limiting plate; the front end twisting rope passes through a front end ball threading hole and a front plate threading hole on the front end limiting ball and is fixedly connected with the front end limiting ball, and the other end of the front end twisting rope passes through the front plate threading hole and is fixedly connected with the head end;
the middle section limiting plate is fixed inside the sleeve and arranged at the position of the cross section, and a through shaft hole and a middle plate through hole are arranged on the middle section limiting plate; one side of the middle section limiting plate is provided with a middle section limiting ball which is fixed at one end of the middle section torsion shaft and provided with a middle section ball threading hole; the diameter of the middle section limiting ball is larger than that of the middle plate wire passing hole; the middle section twisting rope penetrates through a middle section ball threading hole in the middle section limiting ball and is fixedly connected with the middle section limiting ball, and the other end of the middle section twisting rope penetrates through the middle plate threading hole and is fixedly connected with the front end limiting plate; the front end torsion shaft passes through the shaft passing hole in the middle section limiting plate.
2. The hand-held multi-degree-of-freedom controllable interventional guidewire of claim 1, wherein: the sleeve is made of medical nonmetal materials with good elasticity and self-lubricating property, and comprises polyamide, polyurethane and polyvinyl chloride.
3. The hand-held multi-degree-of-freedom controllable interventional guidewire of claim 1, wherein: the head end adopts the circular arc appearance, in order to increase the visual ability of seal wire under perspective, the head end has added the platinum material.
4. A hand-held multi-degree-of-freedom controllable intervention device is characterized in that: the interventional device comprises: the device comprises a handle shell, a control module, a button, a bearing, a rigid sleeve, a driven wheel, a driving motor, a dividing seat, a transition wheel, a dividing wheel, a lead, a battery and a plug; the interventional device further comprises a multiple degree of freedom controllable interventional guidewire as set forth in any one of claims 1-3;
the guide wire with multiple degrees of freedom extends out of the interior of the handle shell; other components are arranged in the handle shell;
one end of the handle shell is provided with a plug for connecting an external power supply; the button is connected with the control module through a wire and used for being operated by a doctor, and the button is pressed to start the motor and drive the guide wire to rotate or bend;
the driving motor is a driving part of the guide wire with multiple degrees of freedom, comprises a rotary driving motor, a front end driving motor and a middle section driving motor, and is respectively connected with the control module through a lead;
the control module is connected with the battery through a lead, connected with each button through a lead and connected with each driving motor through a lead; the control module is mainly used for controlling the conduction time of each driving motor so as to control the bending angle of the guide wire;
the position separating seat, the transition wheel and the position separating wheel form a position separating, guiding and tension adjusting system of two torsion shafts of the multi-degree-of-freedom controllable intervention guide wire.
5. The hand-held multi-degree-of-freedom controllable interventional device of claim 4, wherein: an output shaft of the front-end driving motor is fixedly connected with a front-end torsion shaft of the multi-degree-of-freedom controllable interventional guide wire, a front-end limiting ball is arranged at the other end of the front-end torsion shaft, and the front-end limiting ball is fixedly connected with the front-end torsion shaft; the electric energy of the front end driving motor is provided by a battery through a control module and a lead, and a control instruction of the front end driving motor comes from a front end bending button; when the front end bending button is pressed down, the front end driving motor rotates to drive the front end torsion shaft and the front end limiting ball to rotate, and further drive the front end torsion rope to rotate, so that the length of the front end torsion rope is shortened, and the front end bending of the multi-freedom-degree controllable intervention guide wire is driven.
6. The hand-held multi-degree-of-freedom controllable interventional device of claim 4, wherein: an output shaft of the middle-section driving motor is fixedly connected with a middle-section torsion shaft of the multi-degree-of-freedom controllable interventional guide wire, and the other end of the middle-section torsion shaft is fixedly connected with a middle-section limiting ball; when the middle section motor rotates, the rotary motion of the output shaft is transmitted to the middle section limiting ball through the middle section torsion shaft, so that the middle section torsion rope of the multi-freedom-degree controllable intervention guide wire is driven to rotate, the length of the middle section torsion rope is shortened, and the middle section bending of the multi-freedom-degree controllable intervention guide wire is driven.
7. The hand-held multi-degree-of-freedom controllable interventional device of claim 4, wherein: the rotary driving motor is used for driving the guide wire to rotate, the driving electric energy of the rotary driving motor is provided by the control module through a rotary motor wire, an output shaft of the rotary driving motor is fixedly connected with a driving wheel, and the driving wheel is a gear; the driving wheel is meshed with the driven wheel, the driven wheel is fixedly connected with the multi-degree-of-freedom controllable interventional guide wire through the rigid sleeve, and when the driving wheel rotates, the driven wheel drives the whole multi-degree-of-freedom controllable interventional guide wire to rotate; wherein the guide wire rotation is a repeated reverse rotation.
8. The hand-held multi-degree-of-freedom controllable interventional device of claim 4, wherein: the control module further comprises a motor speed regulating module for controlling the rotating speed of the driving motor so as to control the bending speed of the guide wire.
9. The hand-held multi-degree-of-freedom controllable interventional device of claim 8, wherein: the control module receives an on-off instruction from the button, controls the connection and disconnection between the driving motor and the power supply, and stores the connection time; the method comprises the following specific steps: when the button is pressed, the control module starts timing and adjusts to a fixed speed, at the moment, the driving motor is conducted, the torsion shaft rotates, the torsion rope contracts, and the guide wire bends; after the button is released, the control module sends the storage time to the motor controller, the motor is continuously conducted but reversely rotated until the stored power-on time is reached, and at the moment, the guide wire is reset; if the button is pressed again in the motor reversal process, the time is cleared and is counted again; and after the guide wire is bent and reset, the control module cuts off a conduction loop between the power supply and the driving motor.
10. The hand-held multi-degree-of-freedom controllable interventional device of claim 4, wherein: the positioning seat is positioned at one end close to the guide wire and consists of a base and a limiting sliding block, the base is fixedly connected with the handle shell, the torsion shaft passes through the inside of the limiting sliding block and is fixedly connected with the limiting sliding block, and the limiting sliding block is used for preventing the guide wire from moving along the axial direction; the positioning wheel is positioned at the output shaft end of the motor and consists of a positioning wheel shaft and a positioning pulley, an axial adjusting hole is formed in the positioning pulley, and when the torsion shaft is loosened in the axial direction, the axial tension can be adjusted by adjusting the position of the positioning wheel shaft in the axial adjusting hole; the transition wheel is positioned between the indexing wheel and the indexing seat and consists of a transition wheel shaft and a transition pulley, a radial adjusting hole is formed in the transition pulley, and when the torsion shaft is loosened in the radial direction, the position of the radial adjusting hole can be adjusted through the transition wheel shaft, so that the radial tensioning degree can be adjusted.
CN202010816165.1A2020-08-142020-08-14 A handheld multi-degree-of-freedom controllable intervention guide wire and intervention deviceActiveCN112076379B (en)

Priority Applications (1)

Application NumberPriority DateFiling DateTitle
CN202010816165.1ACN112076379B (en)2020-08-142020-08-14 A handheld multi-degree-of-freedom controllable intervention guide wire and intervention device

Applications Claiming Priority (1)

Application NumberPriority DateFiling DateTitle
CN202010816165.1ACN112076379B (en)2020-08-142020-08-14 A handheld multi-degree-of-freedom controllable intervention guide wire and intervention device

Publications (2)

Publication NumberPublication Date
CN112076379A CN112076379A (en)2020-12-15
CN112076379Btrue CN112076379B (en)2021-06-18

Family

ID=73728042

Family Applications (1)

Application NumberTitlePriority DateFiling Date
CN202010816165.1AActiveCN112076379B (en)2020-08-142020-08-14 A handheld multi-degree-of-freedom controllable intervention guide wire and intervention device

Country Status (1)

CountryLink
CN (1)CN112076379B (en)

Families Citing this family (6)

* Cited by examiner, † Cited by third party
Publication numberPriority datePublication dateAssigneeTitle
CN112870528B (en)*2020-12-232022-03-29上海御瓣医疗科技有限公司Medical multistage controllable bend adjusting pipe
CN113601496B (en)*2021-08-172022-07-12东南大学Variable-rigidity concentric shaft robot and control method thereof
CN114099916B (en)*2021-11-162024-05-03环心医疗科技(苏州)有限公司Microcatheter
CN114984411B (en)*2022-05-312025-03-07珠海横乐医疗科技有限公司 A guidewire follower telescopic tube device for intracranial aneurysm interventional surgery
CN115715839A (en)*2022-10-082023-02-28深圳市精锋医疗科技股份有限公司Catheter bending steering control method, catheter system, and storage medium
CN115500953B (en)*2022-10-212023-10-13中国科学院深圳先进技术研究院 A magnetic control system and magnetic control method for vascular interventional guidewire

Citations (17)

* Cited by examiner, † Cited by third party
Publication numberPriority datePublication dateAssigneeTitle
US20070123750A1 (en)*2005-11-302007-05-31General Electric CompanyCatheter apparatus and methods of using same
CN101322865A (en)*2007-06-152008-12-17导管治疗有限公司Bendable stylet
CN101443068A (en)*2006-05-162009-05-27圣朱德医疗有限公司房颤分公司Steerable catheter using flat pull wires and method of making same
WO2011097350A1 (en)*2010-02-032011-08-11Navilyst Medical, Inc.Mechanical advantage for hub linear travel for a drainage catheter
CN102481433A (en)*2009-06-242012-05-30施菲姆德控股有限责任公司 Steerable medical delivery device and method of use
CN203154533U (en)*2012-11-072013-08-28南通伊诺精密塑胶导管有限公司Catheter with controllable bending head for interventional therapy
US20150231364A1 (en)*2010-05-142015-08-20C. R. Bard, Inc.Catheter Placement Device Including Guidewire and Catheter Control Elements
CN104883945A (en)*2012-12-132015-09-02艾姆瑞科医疗系统有限公司MRI compatible handle and steerable sheath
CN105188827A (en)*2013-05-072015-12-23圣犹达医疗用品电生理部门有限公司Steering actuator for deflectable catheter
CN106166067A (en)*2015-05-182016-11-30韦伯斯特生物官能(以色列)有限公司 Catheter with adjustable deflection
CN107261297A (en)*2017-08-012017-10-20郑州大学第附属医院The interposing catheter of multistage controlled deflection
CN107349014A (en)*2017-06-022017-11-17北京邮电大学Hard and soft changeable endoscope type micro-wound operation robot
CN109310848A (en)*2016-06-302019-02-05直观外科手术操作公司Systems and methods for steerable elongated devices
EP3449966A1 (en)*2013-05-242019-03-06Biosense Webster (Israel) Ltd.Configurable control handle for catheters and other surgical tool
CN110152162A (en)*2018-02-122019-08-23510心脏装置公司It is improved to turn to introducer sheath component
CN110382179A (en)*2017-02-272019-10-25朝日英达科株式会社Executor
CN209884984U (en)*2018-10-312020-01-03杭州唯强医疗科技有限公司 Bending handle and Bendable conduit

Patent Citations (17)

* Cited by examiner, † Cited by third party
Publication numberPriority datePublication dateAssigneeTitle
US20070123750A1 (en)*2005-11-302007-05-31General Electric CompanyCatheter apparatus and methods of using same
CN101443068A (en)*2006-05-162009-05-27圣朱德医疗有限公司房颤分公司Steerable catheter using flat pull wires and method of making same
CN101322865A (en)*2007-06-152008-12-17导管治疗有限公司Bendable stylet
CN102481433A (en)*2009-06-242012-05-30施菲姆德控股有限责任公司 Steerable medical delivery device and method of use
WO2011097350A1 (en)*2010-02-032011-08-11Navilyst Medical, Inc.Mechanical advantage for hub linear travel for a drainage catheter
US20150231364A1 (en)*2010-05-142015-08-20C. R. Bard, Inc.Catheter Placement Device Including Guidewire and Catheter Control Elements
CN203154533U (en)*2012-11-072013-08-28南通伊诺精密塑胶导管有限公司Catheter with controllable bending head for interventional therapy
CN104883945A (en)*2012-12-132015-09-02艾姆瑞科医疗系统有限公司MRI compatible handle and steerable sheath
CN105188827A (en)*2013-05-072015-12-23圣犹达医疗用品电生理部门有限公司Steering actuator for deflectable catheter
EP3449966A1 (en)*2013-05-242019-03-06Biosense Webster (Israel) Ltd.Configurable control handle for catheters and other surgical tool
CN106166067A (en)*2015-05-182016-11-30韦伯斯特生物官能(以色列)有限公司 Catheter with adjustable deflection
CN109310848A (en)*2016-06-302019-02-05直观外科手术操作公司Systems and methods for steerable elongated devices
CN110382179A (en)*2017-02-272019-10-25朝日英达科株式会社Executor
CN107349014A (en)*2017-06-022017-11-17北京邮电大学Hard and soft changeable endoscope type micro-wound operation robot
CN107261297A (en)*2017-08-012017-10-20郑州大学第附属医院The interposing catheter of multistage controlled deflection
CN110152162A (en)*2018-02-122019-08-23510心脏装置公司It is improved to turn to introducer sheath component
CN209884984U (en)*2018-10-312020-01-03杭州唯强医疗科技有限公司 Bending handle and Bendable conduit

Also Published As

Publication numberPublication date
CN112076379A (en)2020-12-15

Similar Documents

PublicationPublication DateTitle
CN112076379B (en) A handheld multi-degree-of-freedom controllable intervention guide wire and intervention device
US11523732B2 (en)Surgical device actuated using asymmetric spring system
CN111437036B (en)Serpentine surgical robot applied to minimally invasive surgery
US4838859A (en)Steerable catheter
US8671950B2 (en)Robotic medical instrument system
CN104755041B (en)Self-antagonistic drive for medical instruments
JP6250496B2 (en) Robotic surgical system
JP5289504B2 (en) Articulated surgical instrument for performing minimally invasive surgery with improved sophistication and sensitivity
CN110338741B (en)Visual flexible operation arm
CN103006165B (en)Flexible endoscope robot with variable rigidity
CN115666360A (en) Rigid device
TW201000160A (en)The control system of catheter feeder
CN104799891A (en)Instrument for robot-assisted micro-invasive surgery
CN108888848A (en)A kind of robotic mechanical system of fine fiber tube precision interventional procedure
CN103251458A (en)Wire transmission four-freedom-degree surgical instrument for minimally invasive surgery robot
JP2008504072A (en) Steerable follow-the-reader device
CN117083030A (en)Control of dynamic rigidized composite medical structures of robots
CN113040917A (en)Concentric tube surgical robot for natural orifice
CN110811842A (en)Portable ureter soft lens robot
WO2025139284A1 (en)Rolling kinematic pair-fronted snake-shaped end-effector mechanism
CN223287236U (en) Remotely controlled medical devices and robotic surgical systems
CN105250032A (en)Axial revolution module of minimally invasive apparatus
CN119950035A (en) Remotely controlled medical devices and robotic surgical systems
CN218106042U (en)Multidirectional bending control intervention device and intervention robot
WO2023202318A1 (en)Conveying system and handle assembly

Legal Events

DateCodeTitleDescription
PB01Publication
PB01Publication
SE01Entry into force of request for substantive examination
SE01Entry into force of request for substantive examination
GR01Patent grant
GR01Patent grant
TR01Transfer of patent right
TR01Transfer of patent right

Effective date of registration:20231226

Address after:102488, No.86-A902, Wanxing Road, Changyang, Fangshan District, Beijing

Patentee after:Beijing Zhiwang Electric Power Technology Co.,Ltd.

Address before:100000 Beijing city Haidian District Xitucheng Road No. 10

Patentee before:Beijing University of Posts and Telecommunications


[8]ページ先頭

©2009-2025 Movatter.jp