

技术领域technical field
本发明涉及唯一可译映射码本的获取方法,属于通信技术领域。The invention relates to a method for obtaining a unique decodable map codebook, and belongs to the technical field of communication.
背景技术Background technique
在蜂窝移动通信系统中,多址接入系统是用于基站与多个用户间在无线电广播信道中建立通信链路的一种信号调制方式。多址接入方式决定了信号的生成、发送和接收形态,并在后续系统物理层和高层关键技术选择和系统整体设计起到最为关键的作用,是整个蜂窝系统最为核心和基础性的技术。In a cellular mobile communication system, a multiple access system is a signal modulation method used to establish a communication link between a base station and multiple users in a radio broadcast channel. The multiple access mode determines the form of signal generation, transmission and reception, and plays the most critical role in the selection of the physical layer and high-level key technologies of the subsequent system and the overall design of the system. It is the most core and basic technology of the entire cellular system.
在第五代无线通信系统中,多址接入技术需要支持大量设备接入,因此人们提出了很多种多址接入技术。在下行多址接入系统中,很重要的一点就是如何从数据流中准确无误地恢复出不同用户的信息,现有技术中没有公开文件解决如何在保证大量用户接入的同时,降低接收端数据恢复的复杂度的问题。In the fifth-generation wireless communication system, the multiple access technology needs to support the access of a large number of devices, so people have proposed many multiple access technologies. In the downlink multiple access system, a very important point is how to accurately recover the information of different users from the data stream. There is no public document in the prior art to solve how to ensure the access of a large number of users and reduce the number of receivers. The complexity of data recovery.
发明内容SUMMARY OF THE INVENTION
本发明目的是为了解决现有技术中在保证大量用户接入的前提下无法降低接收端数据恢复的复杂度的问题,提供了一种下行多址接入系统中唯一可译映射码本的获取方法。The purpose of the present invention is to solve the problem in the prior art that the complexity of data recovery at the receiving end cannot be reduced under the premise of ensuring the access of a large number of users, and provides an acquisition of a unique decodable mapping codebook in a downlink multiple access system method.
本发明所述一种下行多址接入系统中唯一可译映射码本的获取方法,它包括:The method for obtaining a unique decodable mapping codebook in a downlink multiple access system according to the present invention includes:
S1、获取用户数为K、码长为N、资源数为M的下行多址接入系统中传输码本X的唯一可译条件;S1. Obtain the unique decipherable condition of the transmission codebook X in the downlink multiple access system with the number of users being K, the code length being N, and the number of resources being M;
其中第m行第n列的元素xm,n表示第n个变量节点在第m路资源上的调制信号;Wherein the element xm,n of the mth row and the nth column represents the modulation signal of the nth variable node on the mth resource;
n=1,2,…,N,m=1,2,…,M;n=1,2,...,N,m=1,2,...,M;
S2、在资源数M=1时,传输码本X=[x1,1,x1,2,…,x1,N],设每个x1,n∈δ1,n,根据接收信号集Φ获取δ1,n;S2. When the number of resources M=1, the transmission codebook X=[x1,1 ,x1,2 ,...,x1,N ], set each x1,n ∈δ1,n , according to the received signal Set Φ to obtain δ1,n ;
S3、δ1,n中有Q种取值,当Q=2时,根据S2获取的δ1,n计算接收信号r1的幅度bt,即获得唯一可译映射码本;There are Q kinds of values in S3 and δ1,n . When Q=2, the amplitude bt of the received signal r1 is calculated according to the δ1,n obtained in S2, that is, a unique decodable mapping codebook is obtained;
所述r1表示接收信号集Φ第1路资源上的接收信号;The r1 represents the received signal on the first resource of the received signal set Φ;
根据幅度bt能够使接收端从接收信号集Φ中分离出唯一的用户信息。According to the amplitude bt , the receiving end can separate unique user information from the received signal set Φ.
优选的,S1所述获取唯一可译条件的具体方法包括:Preferably, the specific method for obtaining the unique translatability condition described in S1 includes:
用户数为K、码长为N、资源数为M的下行多址接入系统,传输码本X是M×N的矩阵:In a downlink multiple access system with K users, N code lengths, and M resources, the transmission codebook X is an M×N matrix:
其中第m行第n列的元素xm,n表示第n个变量节点在第m路资源上的调制信号,将第m行元素定义为X(m)=(xm,1,xm,2,…,xm,N),设X(m)∈Ψ,|Ψ|为向量集合Ψ中元素的个数;The element xm,n of the mth row and the nth column represents the modulation signal of the nth variable node on the mth resource, and the mth row element is defined as X(m) = (xm,1 ,xm, 2 ,...,xm,N ), let X(m) ∈Ψ, |Ψ| be the number of elements in the vector set Ψ;
在接收端,第m路资源上的接收信号rm表示为:At the receiving end, the received signal rm on themth resource is expressed as:
设rm∈Φ,|Φ|为接收信号集Φ中元素的个数; Let rm ∈Φ, |Φ| be the number of elements in the received signal set Φ;
则实现唯一可译的条件是|Ψ|=|Φ|。Then the only translatable condition is that |Ψ|=|Φ|.
优选的,S2所述根据接收信号集Φ获取δ1,n的具体方法包括:Preferably, the specific method for obtaining δ1,n according to the received signal set Φ described in S2 includes:
在资源数M=1时,传输码本X为:When the number of resources M=1, the transmission codebook X is:
X=[x1,1,x1,2,…,x1,N];X=[x1,1 ,x1,2 ,...,x1,N ];
设每个x1,n∈δ1,n;Let each x1,n ∈δ1,n ;
δ1,n中有Q种取值,Q为偶数,此时|Ψ|=|Φ|=QN;There are Q values in δ1,n , and Q is an even number, at this time |Ψ|=|Φ|=QN ;
δ1,n为:δ1,n is:
其中:为正整数,且满足in: is a positive integer and satisfies
优选的,S3所述计算获得唯一可译映射码本的具体方法包括:Preferably, the specific method for obtaining the unique decodable map codebook by the calculation described in S3 includes:
设接收信号r1的幅度为bt(1≤t≤|Φ|,bt∈Φ),设Φ={β,-β},则:Let the amplitude of the received signal r1 be bt (1≤t≤|Φ|, bt ∈Φ), and set Φ={β,-β}, then:
β={|Φ|-1,|Φ|-3,...,3,1};β={|Φ|-1,|Φ|-3,...,3,1};
由于采用唯一映射,因此有:Because of the unique mapping, there are:
当Q=2时,每个用户都采用2PAM调制,即信号幅度只有和When Q=2, each user adopts 2PAM modulation, that is, the signal amplitude is only and
此时|Φ|=2N;At this time |Φ|=2N ;
由于对称性,公式(1)能够简化为个等式,当N≥3时有:即未知数数目小于方程数目,方程有唯一解,公式(1)为:Due to the symmetry, Equation (1) can be simplified to equations, when N ≥ 3, there are: That is, the number of unknowns is less than the number of equations, the equation has a unique solution, formula (1) is:
其中:in:
函数g(s)表示将十进制整数s转化为二进制数,g(s)v表示函数g(s)中的第v位数The function g(s) represents the conversion of the decimal integer s into a binary number, and g(s)v represents the vth digit in the function g(s).
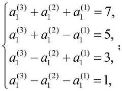
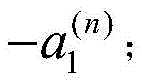
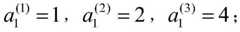
设只有三个用户,公式(2)为:Suppose there are only three users, Formula (2) is:
求解获得:Solve to get:
定义矩阵Q(N,2PAM)为:Define the matrix Q(N,2PAM) as:
则公式(2)为:Then formula (2) is:
求解获得方程的解Solve to get the solution of the equation
也就是获得了接收信号r1的幅度bt,即获得唯一可译映射码本。That is, the amplitude bt of the received signal r1 is obtained, that is, the unique decodable map codebook is obtained.
优选的,所述下行多址接入系统包括:Preferably, the downlink multiple access system includes:
在发射端,先将多用户的信息进行联合编码和交织映射,然后根据传输码本分配到不同资源上,进而在信道中传输,在不考虑噪声的情况下,每路资源上的信号是多个用户的信号之和;At the transmitting end, the multi-user information is firstly coded and interleaved and mapped, and then allocated to different resources according to the transmission codebook, and then transmitted in the channel. Without considering the noise, the number of signals on each resource is multi-channel. the sum of the signals of each user;
在接收端,对多路资源上的接收信号分别进行串行干扰消除,然后再进行信号合并和处理,最后进行译码得到不同用户的信息。At the receiving end, serial interference cancellation is performed on the received signals on the multi-channel resources respectively, and then the signals are combined and processed, and finally the information of different users is obtained by decoding.
本发明的优点:本发明提出的下行多址接入系统中唯一可译映射码本的获取方法用于下行多用户联合传输的通信场景。在发射端,多用户的信息先进行多用户联合编码和交织映射,然后根据传输码本将其分配到不同资源上,再进行传输。本发明对码本中不同用户的信号幅度进行设计,使得接收端可以很容易地将各用户的信息从接收信号集中分离出来,并且结果唯一。当采用合适的信道编码时,本方法能够获得良好的误比特率性能。Advantages of the present invention: The method for obtaining a unique decodable and mappable codebook in a downlink multiple access system proposed by the present invention is used in a communication scenario of downlink multi-user joint transmission. At the transmitting end, the multi-user information is firstly encoded and interleaved by multi-users, and then allocated to different resources according to the transmission codebook, and then transmitted. The present invention designs the signal amplitudes of different users in the codebook, so that the receiving end can easily separate the information of each user from the received signal set, and the result is unique. When appropriate channel coding is adopted, the method can obtain good bit error rate performance.
附图说明Description of drawings
图1是非唯一可译映射和唯一可译映射示意图;1 is a schematic diagram of a non-uniquely translatable mapping and a uniquely translatable mapping;
图2是AWGN信道下不同NOMA系统的平均BER性能仿真图。Figure 2 is a simulation diagram of the average BER performance of different NOMA systems under AWGN channels.
具体实施方式Detailed ways
下面将结合本发明实施例中的附图,对本发明实施例中的技术方案进行清楚、完整地描述,显然,所描述的实施例仅仅是本发明一部分实施例,而不是全部的实施例。基于本发明中的实施例,本领域普通技术人员在没有作出创造性劳动的前提下所获得的所有其他实施例,都属于本发明保护的范围。The technical solutions in the embodiments of the present invention will be clearly and completely described below with reference to the accompanying drawings in the embodiments of the present invention. Obviously, the described embodiments are only a part of the embodiments of the present invention, but not all of the embodiments. Based on the embodiments of the present invention, all other embodiments obtained by those of ordinary skill in the art without creative work fall within the protection scope of the present invention.
需要说明的是,在不冲突的情况下,本发明中的实施例及实施例中的特征可以相互组合。It should be noted that the embodiments of the present invention and the features of the embodiments may be combined with each other under the condition of no conflict.
具体实施方式一:本实施方式所述下行多址接入系统中唯一可译映射码本的获取方法,它包括:S1、获取用户数为K、码长为N、资源数为M的下行多址接入系统中传输码本X的唯一可译条件;Embodiment 1: The method for obtaining a unique decodable and mappable codebook in a downlink multiple access system according to this embodiment includes: S1, obtaining a downlink multiple access codebook with the number of users K, the code length being N, and the number of resources being M. The only decipherable condition of the transmission codebook X in the address access system;
其中第m行第n列的元素xm,n表示第n个变量节点在第m路资源上的调制信号;Wherein the element xm,n of the mth row and the nth column represents the modulation signal of the nth variable node on the mth resource;
n=1,2,…,N,m=1,2,…,M;n=1,2,...,N,m=1,2,...,M;
S2、在资源数M=1时,传输码本X=[x1,1,x1,2,…,x1,N],设每个x1,n∈δ1,n,根据接收信号集Φ获取δ1,n;S2. When the number of resources M=1, the transmission codebook X=[x1,1 ,x1,2 ,...,x1,N ], set each x1,n ∈δ1,n , according to the received signal Set Φ to obtain δ1,n ;
S3、δ1,n中有Q种取值,当Q=2时,根据S2获取的δ1,n计算接收信号r1的幅度bt,即获得唯一可译映射码本;There are Q kinds of values in S3 and δ1,n . When Q=2, the amplitude bt of the received signal r1 is calculated according to the δ1,n obtained in S2, that is, a unique decodable mapping codebook is obtained;
所述r1表示接收信号集Φ第1路资源上的接收信号;The r1 represents the received signal on the first resource of the received signal set Φ;
根据幅度bt能够使接收端从接收信号集Φ中分离出唯一的用户信息。According to the amplitude bt , the receiving end can separate unique user information from the received signal set Φ.
进一步的,S1所述获取唯一可译条件的具体方法包括:Further, the specific method for obtaining the unique translatability condition described in S1 includes:
用户数为K、码长为N、资源数为M的下行多址接入系统,传输码本X是M×N的矩阵:In a downlink multiple access system with K users, N code lengths, and M resources, the transmission codebook X is an M×N matrix:
其中第m行第n列的元素xm,n表示第n个变量节点在第m路资源上的调制信号,将第m行元素定义为X(m)=(xm,1,xm,2,…,xm,N),设X(m)∈Ψ,|Ψ|为向量集合Ψ中元素的个数;The element xm,n of the mth row and the nth column represents the modulation signal of the nth variable node on the mth resource, and the mth row element is defined as X(m) = (xm,1 ,xm, 2 ,...,xm,N ), let X(m) ∈Ψ, |Ψ| be the number of elements in the vector set Ψ;
在接收端,第m路资源上的接收信号rm表示为:At the receiving end, the received signal rm on themth resource is expressed as:
设rm∈Φ,|Φ|为接收信号集Φ中元素的个数; Let rm ∈Φ, |Φ| be the number of elements in the received signal set Φ;
则实现唯一可译的条件是|Ψ|=|Φ|。Then the only translatable condition is that |Ψ|=|Φ|.
再进一步的,S2所述根据接收信号集Φ获取δ1,n的具体方法包括:Still further, the specific method for obtaining δ1,n according to the received signal set Φ described in S2 includes:
在资源数M=1时,传输码本X为:When the number of resources M=1, the transmission codebook X is:
X=[x1,1,x1,2,…,x1,N];X=[x1,1 ,x1,2 ,...,x1,N ];
设每个x1,n∈δ1,n;δ1,n表示x1,n的集合;Let each x1,n ∈δ1,n ;δ1,n represent the set of x1,n ;
δ1,n中有Q种取值,Q为偶数,此时|Ψ|=|Φ|=QN;There are Q values in δ1,n , and Q is an even number, at this time |Ψ|=|Φ|=QN ;
δ1,n为:δ1,n is:
其中:为正整数,且满足in: is a positive integer and satisfies
本实施方式中,如图1所示假设M=1,N=2,即X=[x1,1,x1,2],In this embodiment, as shown in FIG. 1 , it is assumed that M=1, N=2, that is, X=[x1,1 ,x1,2 ],
设x1,1和x1,2都采用BPSK调制,即x1,1∈δ1,1,x1,2∈δ1,2,Suppose both x1,1 and x1,2 adopt BPSK modulation, that is, x1,1 ∈δ1,1 , x1,2 ∈ δ1,2 ,
其中δ1,1=δ1,2=(+1,-1),则X(1)属于集合Ψ={(+1,+1),(+1,-1),(-1,+1),(-1,-1)};where δ1,1 =δ1,2 =(+1,-1), then X(1) belongs to the set Ψ={(+1,+1),(+1,-1),(-1,+ 1),(-1,-1)};
接收信号r1=x1,1+x1,2,接收信号集Φ={+2,0,-2};Received signal r1 =x1,1 +x1,2 , received signal set Φ={+2,0,-2};
若φ=+2,则可知x(1)=(+1,+1);φ表示接收信号集Φ中的元素;If φ=+2, it can be known that x(1) =(+1,+1); φ represents the element in the received signal set Φ;
同理若φ=-2,则可知x(1)=(-1,-1);Similarly, if φ=-2, it can be known that x(1) = (-1,-1);
然而当φ=0时,很难判断x(1)=(+1,-1)或x(1)=(-1,+1);However, when φ=0, it is difficult to judge x(1) = (+1, -1) or x(1) = (-1, +1);
但若令δ1,1=(+2,-2),δ1,2=(+1,-1),则Ψ={(+2,+1),(+2,-1),(-2,+1),(-2,-1)},相应地,Φ={+3,+1,-1,-3},此时接收端根据接收信号可以唯一地判断出发射信号的取值;But if δ1,1 =(+2,-2), δ1,2 =(+1,-1), then Ψ={(+2,+1),(+2,-1),( -2,+1),(-2,-1)}, correspondingly, Φ={+3,+1,-1,-3}, at this time, the receiving end can uniquely judge the transmitted signal according to the received signal value;
因此,实现唯一可译条件是|Ψ|≤|Φ|。Therefore, the realization of the unique translatability condition is |Ψ|≤|Φ|.
由于当|Ψ|<|Φ|时,接收信号熵大于发射信号熵,因此为了充分利用有用信息,只考虑|Ψ|=|Φ|情况。Since the entropy of the received signal is greater than the entropy of the transmitted signal when |Ψ|<|Φ|, in order to make full use of the useful information, only the case of |Ψ|=|Φ| is considered.
再进一步的,S3所述计算获得唯一可译映射码本的具体方法包括:Still further, the specific method for obtaining the unique decodable map codebook by the calculation described in S3 includes:
设接收信号r1的幅度为bt(1≤t≤|Φ|,bt∈Φ),设Φ={β,-β},则:Let the amplitude of the received signal r1 be bt (1≤t≤|Φ|, bt ∈Φ), and set Φ={β,-β}, then:
β={|Φ|-1,|Φ|-3,...,3,1};β={|Φ|-1,|Φ|-3,...,3,1};
由于采用唯一映射,因此有:Because of the unique mapping, there are:
当Q=2时,每个用户都采用2PAM调制,即信号幅度只有和When Q=2, each user adopts 2PAM modulation, that is, the signal amplitude is only and
此时|Φ|=2N;At this time |Φ|=2N ;
由于对称性,公式(1)能够简化为个等式,当N≥3时有:即未知数数目小于方程数目,方程有唯一解,公式(1)为:Due to the symmetry, Equation (1) can be simplified to equations, when N ≥ 3, there are: That is, the number of unknowns is less than the number of equations, the equation has a unique solution, formula (1) is:
其中:in:
函数g(s)表示将十进制整数s转化为二进制数,g(s)v表示函数g(s)中的第v位数The function g(s) represents the conversion of the decimal integer s into a binary number, and g(s)v represents the vth digit in the function g(s).
设只有三个用户,公式(2)为:Suppose there are only three users, Formula (2) is:
求解获得:Solve to get:
定义矩阵Q(N,2PAM)为:Define the matrix Q(N,2PAM) as:
则公式(2)为:Then formula (2) is:
求解获得方程的解Solve to get the solution of the equation
也就是获得了接收信号r1的幅度bt,即获得唯一可译映射码本。That is, the amplitude bt of the received signal r1 is obtained, that is, the unique decodable map codebook is obtained.
本实施方式中,由于正交幅度调制和脉冲幅度调制在本质上是相同的,因此[1j,2j,...,2(N-1)j]也可以作为变量节点的幅度。In this embodiment, since the quadrature amplitude modulation and the pulse amplitude modulation are essentially the same, [1j, 2j, . . . , 2(N-1) j] can also be used as the amplitude of the variable node.
再进一步的,所述下行多址接入系统包括:Still further, the downlink multiple access system includes:
在发射端,先将多用户的信息进行联合编码和交织映射,然后根据传输码本分配到不同资源上,进而在信道中传输,在不考虑噪声的情况下,每路资源上的信号是多个用户的信号之和;At the transmitting end, the multi-user information is firstly coded and interleaved and mapped, and then allocated to different resources according to the transmission codebook, and then transmitted in the channel. Without considering the noise, the number of signals on each resource is multi-channel. the sum of the signals of each user;
在接收端,对多路资源上的接收信号分别进行串行干扰消除,然后再进行信号合并和处理,最后进行译码得到不同用户的信息。At the receiving end, serial interference cancellation is performed on the received signals on the multi-channel resources respectively, and then the signals are combined and processed, and finally the information of different users is obtained by decoding.
本发明中,以一个(1,4)多址接入系统为例,其中四个变量节点占用一路资源;In the present invention, a (1,4) multiple access system is taken as an example, in which four variable nodes occupy one channel of resources;
若码率R=1,则此时承载率λ=4,将±2、±1、±2j和±j分配给四个变量节点,此时传输码本的基矩阵BX可以写成下式形式:If the code rate R=1, then the bearing rate λ=4 at this time, and ±2, ±1, ±2j and ±j are allocated to the four variable nodes. At this time, the basis matrix BX of the transmission codebook can be written in the following form :
若每个变量节点占用两路资源,且每个节点可以在其相应列任选两路资源占用,给出传输码本基矩阵BX的一种设计方案如下所示:If each variable node occupies two channels of resources, and each node can choose to occupy two channels of resources in its corresponding column, a design scheme of the transmission codebook fundamental matrix BX is given as follows:
若码率R=1,则此时承载率λ=2。If the code rate R=1, then the bearing rate λ=2 at this time.
实际传输时,正负号取决于码字的取值,例如,若码字v=(10010111),且设0对应正号,1对应负号,则相应调制信号的符号为(-++-+---),若以公式(3)作为基矩阵,则传输码本X为:In actual transmission, the sign depends on the value of the codeword. For example, if the codeword v=(10010111), and 0 corresponds to the positive sign and 1 corresponds to the negative sign, the symbol of the corresponding modulated signal is (-++- +---), if formula (3) is used as the basis matrix, the transmission codebook X is:
同理,若以公式(4)作为基矩阵,则X为:Similarly, if formula (4) is used as the basis matrix, then X is:
本发明中,为了衡量多址接入系统的频谱效率,我们将每路传输资源所能传输的信息比特数定义为承载率λ,单位为比特/资源(或比特/符号)。假设用户数为K,码长为N,码率为R,资源数为M,调制符号取自信号集δ,且δ中含有Q个元素,则λ可利用下式计算:In the present invention, in order to measure the spectral efficiency of the multiple access system, we define the number of information bits that can be transmitted by each transmission resource as the bearing rate λ, and the unit is bits/resource (or bits/symbol). Assuming that the number of users is K, the code length is N, the code rate is R, the number of resources is M, the modulation symbol is taken from the signal set δ, and δ contains Q elements, then λ can be calculated by the following formula:
对AWGN信道下不同NOMA系统的平均BER性能进行仿真,仿真结果如图2所示,图2中给出了基于本发明提出的唯一可译映射的多址接入系统在编码和未编码两种情况下的平均BER性能,并用SCMA系统以及功率域NOMA系统进行对比,在功率域NOMA系统中,每路资源同时服务两个用户,因此λ=2,给两个用户分配不同的功率,比值为P1/P2,分配功率大的用户比功率小的用户BER性能好,因此在计算平均BER性能时,功率域NOMA系统的性能较差。在SCMA系统中,我们使用现有技术中给出的码本,λ=1.5,可以看出,SCMA系统平均BER性能更好,逼近于BPSK系统。对于基于唯一可译映射方案的多址接入系统来说,在未采用信道编码的情况下,系统BER性能比SCMA系统更差,但是可以提供更高的资源承载率,若采用合适的信道编码,当Eb/N0超过某一门限值时,该系统相比于SCMA系统具有更好的BER性能,BER性能的提升是编码增益带来的。The average BER performance of different NOMA systems under the AWGN channel is simulated, and the simulation results are shown in Figure 2. Figure 2 shows the coded and uncoded multiple access systems based on the unique translatable mapping proposed by the present invention. The average BER performance in the case, and compared with the SCMA system and the power domain NOMA system. In the power domain NOMA system, each channel resource serves two users at the same time, so λ=2, assigning different power to the two users, the ratio is P1 /P2 , the users with higher allocated power have better BER performance than users with lower power, so when calculating the average BER performance, the performance of the power domain NOMA system is poor. In the SCMA system, we use the codebook given in the prior art, λ=1.5, it can be seen that the average BER performance of the SCMA system is better, which is close to the BPSK system. For the multiple access system based on the unique translatable mapping scheme, the BER performance of the system is worse than that of the SCMA system without channel coding, but it can provide a higher resource carrying rate. If appropriate channel coding is used , when Eb /N0 exceeds a certain threshold value, the system has better BER performance than SCMA system, and the improvement of BER performance is brought about by coding gain.
虽然在本文中参照了特定的实施方式来描述本发明,但是应该理解的是,这些实施例仅仅是本发明的原理和应用的示例。因此应该理解的是,可以对示例性的实施例进行许多修改,并且可以设计出其他的布置,只要不偏离所附权利要求所限定的本发明的精神和范围。应该理解的是,可以通过不同于原始权利要求所描述的方式来结合不同的从属权利要求和本文中所述的特征。还可以理解的是,结合单独实施例所描述的特征可以使用在其他所述实施例中。Although the invention has been described herein with reference to specific embodiments, it should be understood that these embodiments are merely illustrative of the principles and applications of the invention. It should therefore be understood that many modifications may be made to the exemplary embodiments and other arrangements can be devised without departing from the spirit and scope of the invention as defined by the appended claims. It should be understood that the features described in the various dependent claims and herein may be combined in different ways than are described in the original claims. It will also be appreciated that features described in connection with a single embodiment may be used in other described embodiments.
| Application Number | Priority Date | Filing Date | Title |
|---|---|---|---|
| CN202010980022.4ACN112073154A (en) | 2020-09-17 | 2020-09-17 | Method for obtaining unique translatable mapping codebook in downlink multiple access system |
| Application Number | Priority Date | Filing Date | Title |
|---|---|---|---|
| CN202010980022.4ACN112073154A (en) | 2020-09-17 | 2020-09-17 | Method for obtaining unique translatable mapping codebook in downlink multiple access system |
| Publication Number | Publication Date |
|---|---|
| CN112073154Atrue CN112073154A (en) | 2020-12-11 |
| Application Number | Title | Priority Date | Filing Date |
|---|---|---|---|
| CN202010980022.4APendingCN112073154A (en) | 2020-09-17 | 2020-09-17 | Method for obtaining unique translatable mapping codebook in downlink multiple access system |
| Country | Link |
|---|---|
| CN (1) | CN112073154A (en) |
| Publication number | Priority date | Publication date | Assignee | Title |
|---|---|---|---|---|
| US20100226269A1 (en)* | 2009-03-03 | 2010-09-09 | Qualcomm Incorporated | 12method and system for reducing feedback information in multicarrier-based communication systems based on tiers |
| US20120257640A1 (en)* | 2011-04-07 | 2012-10-11 | Omid Mashayekhi | Uniquely Decodable Codes And Decoder for Overloaded Synchronous CDMA Systems |
| CN104202129A (en)* | 2014-08-29 | 2014-12-10 | 哈尔滨工业大学 | Multi-antenna multiplexing method based on uniquely decodable code |
| CN104202117A (en)* | 2014-08-25 | 2014-12-10 | 哈尔滨工业大学 | Uniquely decodable code encoding method based on traversal mode |
| CN108462662A (en)* | 2017-02-17 | 2018-08-28 | 索尼公司 | Electronic equipment and communication means for the multiple access access based on non orthogonal resources |
| CN108521317A (en)* | 2018-04-09 | 2018-09-11 | 哈尔滨工业大学 | A SCMA Uplink Transmission Method Based on Asynchronous Detection |
| CN109039976A (en)* | 2018-09-25 | 2018-12-18 | 哈尔滨工业大学 | A kind of downlink multi-access cut-in method based on unique decodable code |
| CN110601796A (en)* | 2019-09-19 | 2019-12-20 | 哈尔滨工业大学 | Downlink multi-user joint channel coding transmitting and receiving method and system |
| CN110808739A (en)* | 2019-10-23 | 2020-02-18 | 中国人民解放军战略支援部队航天工程大学 | Binary coding method and device with unknown source symbol probability distribution |
| CN111226404A (en)* | 2017-07-31 | 2020-06-02 | 弗劳恩霍夫应用研究促进协会 | Data transfer for multiple users via shared resources based on structured overlay coding |
| Publication number | Priority date | Publication date | Assignee | Title |
|---|---|---|---|---|
| US20100226269A1 (en)* | 2009-03-03 | 2010-09-09 | Qualcomm Incorporated | 12method and system for reducing feedback information in multicarrier-based communication systems based on tiers |
| CN102342067A (en)* | 2009-03-03 | 2012-02-01 | 高通股份有限公司 | Method and system for reducing feedback information in a multi-carrier based communication system based on frequency grouping |
| US20120257640A1 (en)* | 2011-04-07 | 2012-10-11 | Omid Mashayekhi | Uniquely Decodable Codes And Decoder for Overloaded Synchronous CDMA Systems |
| CN104202117A (en)* | 2014-08-25 | 2014-12-10 | 哈尔滨工业大学 | Uniquely decodable code encoding method based on traversal mode |
| CN104202129A (en)* | 2014-08-29 | 2014-12-10 | 哈尔滨工业大学 | Multi-antenna multiplexing method based on uniquely decodable code |
| CN108462662A (en)* | 2017-02-17 | 2018-08-28 | 索尼公司 | Electronic equipment and communication means for the multiple access access based on non orthogonal resources |
| CN111226404A (en)* | 2017-07-31 | 2020-06-02 | 弗劳恩霍夫应用研究促进协会 | Data transfer for multiple users via shared resources based on structured overlay coding |
| CN108521317A (en)* | 2018-04-09 | 2018-09-11 | 哈尔滨工业大学 | A SCMA Uplink Transmission Method Based on Asynchronous Detection |
| CN109039976A (en)* | 2018-09-25 | 2018-12-18 | 哈尔滨工业大学 | A kind of downlink multi-access cut-in method based on unique decodable code |
| CN110601796A (en)* | 2019-09-19 | 2019-12-20 | 哈尔滨工业大学 | Downlink multi-user joint channel coding transmitting and receiving method and system |
| CN110808739A (en)* | 2019-10-23 | 2020-02-18 | 中国人民解放军战略支援部队航天工程大学 | Binary coding method and device with unknown source symbol probability distribution |
| Title |
|---|
| QI-YUE YU: "A Unified Multiuser Coding Framework for Multiple-Access Technologies", 《IEEE SYSTEMS JOURNAL》* |
| 郭鸣坤: "一种基于距离谱的稀疏码多址接入码本设计", 《北京邮电大学学报》* |
| Publication | Publication Date | Title |
|---|---|---|
| JP5123301B2 (en) | Encoding and decoding method and apparatus for use in a wireless communication system | |
| JP3569288B2 (en) | Method and apparatus for decoding an encoded signal | |
| CN1708935B (en) | Data detection and demodulation for radio communication systems | |
| IL100029A (en) | Method and apparatus for improving detection of data bits in a slow frequency hopping communication system | |
| CN1192537C (en) | Apparatus and method for transmitting punctured or repeated data | |
| CN113794662B (en) | LFM technology-based satellite Internet of things transmission method and system | |
| CN117294398B (en) | Efficient environmental LTE backscattering system and method | |
| Kulhandjian et al. | Design of permutation-based sparse code multiple access system | |
| Kumar et al. | A survey on NOMA techniques for 5G scenario | |
| Peng et al. | Physical layer network coding in network MIMO: A new design for 5G and beyond | |
| CN110601796B (en) | Downlink multi-user joint channel coding transmission and reception method and system | |
| KR101311634B1 (en) | Method for generating codeword in wireless communication system | |
| CN111030740B (en) | Downlink SCMA codebook design method based on hierarchical space-time structure | |
| CN109039973A (en) | A kind of transmission method of binary frequency shift keying signal | |
| CN112073154A (en) | Method for obtaining unique translatable mapping codebook in downlink multiple access system | |
| CN103516484A (en) | Orthogonal difference space-time network coding method for bidirectional relay channel model | |
| CN109428679B (en) | ZigBee adaptive multi-rate transmission method | |
| Zeng et al. | Polar coded cooperative differential spatial modulation based on plotkin construction and quasi-uniform puncturing | |
| CN104104418A (en) | High transmission rate and bandwidth utilization rate of MIMO Multi-h CPM wireless communication method | |
| Ma et al. | Coded tandem spreading for grant-free random access system with massive connections | |
| CN111602352A (en) | Method and computing device for facilitating multiple access in a wireless communication network | |
| US20220060295A1 (en) | Method And Apparatus For Sequentially Detecting And Decoding Sparse Code Multiple Access Signal For Multiple Users | |
| Kang et al. | Dual-domain compressed sensing method for oceanic environmental elements collection with underwater sensor networks | |
| Zou et al. | Non-Orthogonal Superimposed Pilot for Goodput Enhancement in Digital Semantic Communication | |
| CN120165999B (en) | SCMA transmission method and device based on compressed sensing measurement matrix |
| Date | Code | Title | Description |
|---|---|---|---|
| PB01 | Publication | ||
| PB01 | Publication | ||
| SE01 | Entry into force of request for substantive examination | ||
| SE01 | Entry into force of request for substantive examination | ||
| RJ01 | Rejection of invention patent application after publication | ||
| RJ01 | Rejection of invention patent application after publication | Application publication date:20201211 |